Digital Listing Kit 6130 E. Calle Del Media

Page 1

Subject Property 6130 E Calle Del Media APN:AZScottsdale85251172-44-002-C

Data Provided By: American Title Ins Co

© 2022 CoreLogic. All rights reserved

First

There are many online sources that can provide useful information regarding similar topics including, but not limited to, the following sites:

PROTECT YOURSELF VERIFY AND NOTIFY

WIRE FRAUD ADVISORY

DO NOT TRUST EMAILS SEEKING PERSONAL/FINANCIAL INFORMATION

ONLINE RESOURCES:

Immediately notify your banking institution and Settlement/Title Company if you are a victim of wire fraud.

• If you receive an email requesting personal/financial information or asking you to download, click on a link, send, and/or do anything that may seem unusual to you, call your escrow officer immediately prior to acting on the suspicious email to verify the validity of the email.

Criminals are targeting social media and email to steal information. This is particularly common in real estate transactions because sensitive data, including social security numbers, bank account numbers, and wire instructions are often sent by electronic means. We do not want you to be the next victim of wire fraud. Money wired to a fraudulent account is stolen money that typically cannot be recovered. Additionally, there is generally no insurance for this loss. You may never get the money back.

The Internet Crime Complaint Center @ www.ic3.gov

DO NOT TRUST EMAILS CONTAINING WIRE INSTRUCTIONS

• Never direct, accept or allow anyone in the transaction to consent to receiving transfer instructions without a direct personal telephone call to the individual allegedly providing the instructions.

The undersigned acknowledges receipt of this Wire Fraud Advisory.

• It is imperative that this call be made to a number obtained in person from the individual or through other reliable means, not from a number provided in the email or the wiring instructions

Before you wire funds to any party (including your lawyer, title agent, mortgage broker, or real estate agent) personally meet them or call a verified telephone number (not the telephone number in the email) to confirm before you act!

• If you receive an email containing wire transfer instructions, immediately call your escrow officer to ensure the validity of the instructions.

The National White Collar Crime Center @ http://www.nw3c.org/research

Client Date Client Date

On Guard Online @ www.onguardonline.gov

The Federal Bureau of Investigation @ https://www.fbi.gov/scams and safety

TRUST YOUR SOURCE OF INFORMATION

LIMITATION OF LIABILITY FOR INFORMATIONAL REPORTS

This report is not an insured product or service or a representation of the condition of title to real property. It is not an abst ract, legal opinion, opinion of title, title insurance commitment or preliminary report, or any form of Title Insurance or Guaranty. This report is issued exclusively for the benefit of the Applicant therefor and may not be used or relied upon by any other person. This report may not be reproduced in any manner without First American or Title Security's prior written consent. First American or Title Security does not represent or warrant that the information herein is complete or free from error, and the information herein is provided without any warranties of any kind, as-is, and with all faults. As a material part of the consideration given in exchange for the issuance of this report, recipient agrees that First American or Title Security's sole liability for any loss or damage caused by an error or omission due to inaccurate information or negligence in preparing this report shall be limited to the fee charged for the report. Recipient accepts this report with this limitation and agrees that First American or Title Security would not have issued this report but for the limitation of liability described above. First American or Title Security makes no representation or warranty as to the legality or propriety of recipient's use of the information herein.

IMPORTANT -- PLEASE READ CAREFULLY:

Disclaimer

This REiSource report is provided "as is" without warranty of any kind, either express or implied, including without limitations any warrantees of merchantability or fitness for a particular purpose. There is no representation of warranty that this information is complete or free from error, and the provider does not assume, and expressly disclaims, any liability to any person or entity for loss or damage caused by errors or omissions in this REiSource report without a title insurance policy.

Data Provided By: First American Title Ins Co

The information contained in the REiSource report is delivered from your Title Company, who reminds you that you have the right as a consumer to compare fees and serviced levels for Title, Escrow, and all other services associated with property ownership, and to select providers accordingly. Your home is the largest investment you will make in your lifetime and you should demand the very best.

© 2022 CoreLogic. All rights reserved

Vesting Codes : / / Revocable Trust

Prior 1st Mtg Amt/Type : $1,180,000 / Conv

Legal Lot : 1

Owner OccupiedIndicator : O

Owner Information

1st Mtg Term : 30

Prior Deed Type : Warranty Deed

1st Mtg Amount/Type : $1,200,000 / Cnv

APN : 172-44-002-C

Deed Type : Warranty Deed Price Per SqFt : $545.42

Location Information

Census Tract / Block : 1080.00 / 2 Map Reference : 851

School District : Scottsdale 48

Subdivision : Arcadia Blk 20

Munic/Township : Phoenix

Subject Property :   6130 E Calle Del Media Scottsdale AZ 85251

Customer Name : Chantel Cortez

1st Mtg Int. Rate/Type : 3% / Adjustable Int Rate Loan

Sale Price : $2,750,000

Prior 1st Mtg Rate/Type : $4 / Adjustable Int Rate Loan

Customer Company Name : FIRST AMERICAN TITLE Prepared On : 09/16/2022

Mailing Address : 6130 E Calle Del Media, Scottsdale AZ 85251-3020 C003

Prior Lender : Wells Fargo Bk Na

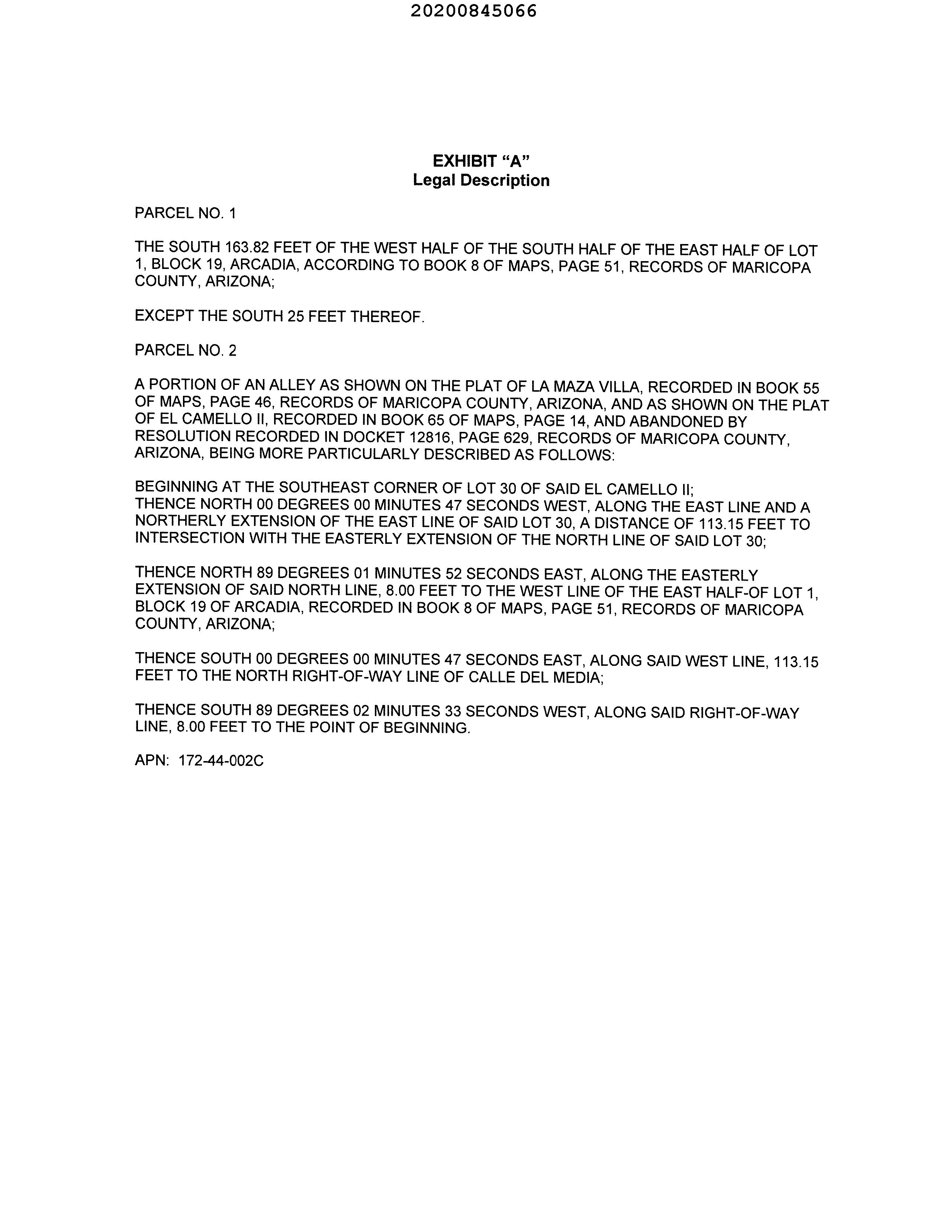
Legal Description : Lot 1 19 Arcadia Mcr 8-51 Lot 1 Blk 19 S 163.82f W2 S2 E2 Ex S 25f Rd & Also 8f Pt Aband Alley (desc P/f 04-1151414) P/f 07-1287502

Document # : 845066

Prior Sale Information

Prior Sale Price : $1,680,000

Prior Doc Number : 460805

County : Maricopa, Az

Prior Rec/Sale Date : 06/01/2011 / 05/26/2011

1st Mtg Document # : 845067

Title Company : Wfg Nat'l Title Ins

Legal Block : 19 Neighbor Code : 05-004

Owner Name : Sprague Todd P

Recording/Sale Date : 09/10/2020 / 09/02/2020

Lender : Umpqua Bk

Seller Name : Davis Gregg & Elizabeth A

Last Market Sale Information

Township-Range- Sect : 02N-04E-21

© 2022 CoreLogic. All rights reserved

Water Type : Type Unknown State Use : Single Fam Resurban Subd ( 6 )

Tax Information

Living Area : 5,042

Improve % : 80% Current AssessedYear : 2023

Cooling Type : Heated Bath Fixtures : 21

Parking Type : Garage Exterior wall : Frame/stucco Pool Size : 480

Gross Area : 5,042

Lot Size : 24,011 Sewer Type : Public Service

Zoning : RE-24

Lot Acres : 0.55

Property Tax : $19,415.30 Current ImprovementYearValue : $247,090

Assessed Year : 2021 Market Value : $2,421,800

Roof Type : Wood Frame Pool : Pool

Capacity :Garage 3

© 2022 CoreLogic. All rights reserved

Land Use : Sfr

Roof Material : Wood Air Cond : Refrigeration

Heat Type : Heated Quality : Excellent # of Stories : 1

Land Value : $484,300

Tax Year : 2021 Current YearValue :Total $308,860

Total TaxableValue : $215,084 Tax Rate Area : 481300 Current YearValue :Land $61,770

Patio Type : Covered Concrete Masonry Patio

Property Information

ImprovementValue : $1,937,500

Customer Name : Chantel Cortez Customer Company Name : FIRST AMERICAN TITLE Prepared On : 09/16/2022

Property Characteristics

Total Value : $2,421,800

Year Built / Eff : 2011

Lot

$2,421,800

2 6238 E Calle Rosa 3,395,000 771,700 11/03/2021 4,659 19,232 2021 0.25 R1-14 6339 E Exeter Blvd 2,700,000 1,772,000 01/28/2022 5,366 24,093 1966 0.29 RE-24 5931 E Lafayette Blvd 4,475,000 2,513,000 02/28/2022 6 5,090 26,310 2018 0.32 RE-24

Price Per Square Foot $545.42 $503 $924 $742.07

Year Built 2011 1957 2021 2001 Size 24,011 14,693 43,710 27,154

6

5 5902 E Calle Del Sud 2,995,000 1,197,300 03/01/2022 6 4,959 23,660 2021 0.32 RE-24 5902 E Lafayette Blvd 2,950,000 1,959,000 12/16/2021 6 4,567 25,638 2005 0.34 RE-24 6301 E Mariposa St 3,262,500 1,436,500 02/25/2022 4,675 40,036 1979 0.41 RE-35 5848 E TuberiaCalle 4,180,000 2,111,500 08/01/2022 4,522 19,465 2018 0.42 R1-14 6404 GainsboroughE Rd 3,150,000 1,750,000 03/31/2022 4,848 43,710 2000 0.44 R1-35 5801 E Exeter Blvd 4,500,000 1,865,700 04/22/2022 4,958 28,776 1981 0.44 RE-24 4459 N 64th St 2,600,000 1,701,000 12/28/2021 4,819 38,177 2000 0.47 R1-35

Criteria

5

Subject Property Low High Average

Customer Company Name : FIRST AMERICAN TITLE Prepared On : 09/16/2022

Sales Analysis

5

3

Total Assessed Value $771,700 $2,513,000 $1,671,638

Sale Price $2,750,000 $2,600,000 $4,500,000 $3,621,594

Distance From 0.24 0.69 0.43

S 6130 E Calle Del Media 2,750,000 2,421,800 09/10/2020 5,042 24,011 2011 RE-24

4

7

10

of Comparables # Address Sale Price TotalValueAssessed Sale Date Bed Bath Living Area Lot Size YearBuilt (Miles)Dist Zoning

1 6247 E Lafayette Blvd 3,600,000 2,322,200 11/10/2021 5,026 24,045 2018 0.24 RE-24

Subject 0

8

6

Bldg/Living Area 5042 4389 5376 4893

9

6

7

6

11

6

Customer Name : Chantel Cortez

© 2022 CoreLogic. All rights reserved

Summary

BathroomsBedrooms 7 4 7 6 Stories 1 1 2 1

7

6

12 5810 E TuberiaCalle 3,863,000 1,327,200 03/23/2022 6 4,389 17,734 1957 0.49 R1-14 13 4218 N 57th Way 4,350,000 2,070,300 11/23/2021 5 4,824 18,927 2018 0.54 RE-24 14 4015 N 57th Pl 3,800,000 1,849,300 04/26/2022 7 4,984 14,693 2014 0.6 R1-14 15 6302 E Hillcrest Blvd 4,250,000 1,269,500 12/20/2021 4 5,376 35,005 1973 0.62 RE-35 16 5602 E Exeter Blvd 3,875,000 830,000 09/17/2021 6 5,223 34,964 2021 0.69 RE-35 Distressed Sales = Map Customer Name : Chantel Cortez Customer Company Name : FIRST AMERICAN TITLE Prepared On : 09/16/2022 © 2022 CoreLogic. All rights reserved

Total Tax Value: $2,513,000 Bath(F/H): /

Year Built / Eff: 2018 /

# of units: Document #: 1206905 Bedrooms: Pool: Total Tax Value: $2,322,200 Bath(F/H): /

Total Tax Value: $771,700 Bath(F/H): /

Year Built / Eff: 2021 /

APN / Alternate APN: 128-56-059 / Deed Type: Warranty Deed Land Use: Sfr Subdivision / Tract: Hidden Village 12 Lts 540-551, 558-568 / Lot Size: 24,045

Owner Name: Calle Rosa Llc / APN / Alternate APN: 128-56-066 / Deed Type: Warranty Deed Land Use: Sfr Subdivision / Tract: Hidden Village 12 Lts 540-551, 558-568 / Lot Size: 19,232

Customer Name : Chantel Cortez

Rec. Date / Price: 11/10/2021 / $3,600,000 Living Area: 5,026

Details of Comparables

Year Built / Eff: 2011 / Rec. Date / Price: 09/10/2020 / $2,750,000 Living Area: 5,042

Total Tax Value: $2,421,800 Bath(F/H): /

© 2022 CoreLogic. All rights reserved

#1   6247 E Lafayette Blvd Scottsdale Az 85251

#4   5931 E Lafayette Blvd Phoenix Az 85018

Owner Name: Schmidt Mary A /Schmidt Randolph G APN / Alternate APN: 128-31-063 / Deed Type: Warranty Deed Land Use: Sfr Subdivision / Tract: Jokake Terrace / Lot Size: 26,310

Owner Name: Dean Laura B /Aden Allison K

#3   6339 E Exeter Blvd Scottsdale Az 85251

Rec. Date / Price: 11/03/2021 / $3,395,000 Living Area: 4,659 # of units: Document #: 1182026 Bedrooms: Pool: Pool

Rec. Date / Price: 02/28/2022 / $4,475,000 Living Area: 5,090 # of units: Document #: 182537 Bedrooms: Pool: Pool

Subject Property: 6130 E Calle Del Media Scottsdale Az 85251

Customer Company Name : FIRST AMERICAN TITLE Prepared On : 09/16/2022

Year Built / Eff: 2018 /

Year Built / Eff: 1966 / Rec. Date / Price: 01/28/2022 / $2,700,000 Living Area: 5,366 # of units: Document #: 85423 Bedrooms: Pool: Pool

# of units: Document #: 845066 Bedrooms: Pool: Pool

#2   6238 E Calle Rosa Scottsdale Az 85251

APN / Alternate APN: 172-45-076 / Deed Type: Warranty Deed Land Use: Sfr Subdivision / Tract: Savoy Estates 2 / Lot Size: 24,093

Owner Name: Livingston Adam /Livingston Megan

Total Tax Value: $1,772,000 Bath(F/H): /

Land Use: Sfr Subdivision / Tract: Arcadia Blk 20 / Lot Size: 24,011

Owner Name: Sprague Todd P / APN / Alternate APN: 172-44-002-C / Deed Type: Warranty Deed

#8   5848 E Calle Tuberia Phoenix Az 85018

# of units: Document #: 1330743 Bedrooms: Pool: Pool

Total Tax Value: $1,959,000 Bath(F/H): /

© 2022 CoreLogic. All rights reserved

Total Tax Value: $1,197,300 Bath(F/H): /

Owner Name: Joshua R / APN / Alternate APN: 172-28-030 / Deed Type: Warranty Deed Land Use: Sfr Subdivision / Tract: Apache Estates / Lot Size: 40,036

Total Tax Value: $1,436,500 Bath(F/H): /

Owner Name: Culley Carrie A / APN / Alternate APN: 172-43-043-A / Deed Type: Warranty Deed Land Use: Sfr Subdivision / Tract: Charnwood 2 / Lot Size: 25,638

Year Built / Eff: 2005 / Rec. Date / Price: 12/16/2021 / $2,950,000 Living Area: 4,567

Rec. Date / Price: 08/01/2022 / $4,180,000 Living Area: 4,522

Owner Name: Arcadia Estate Llc / APN / Alternate APN: 173-45-008-C / Deed Type: Warranty Deed Land Use: Sfr Subdivision / Tract: Lombardi Estates Blk 4 / Lot Size: 43,710

# of units: Document #: 287870 Bedrooms: Pool: Pool

APN / Alternate APN: 128-31-042-A / Deed Type: Warranty Deed Land Use: Sfr Subdivision / Tract: Sun Valley Estates Lt 1-4, 8-17, 20-33 / Lot Size: 19,465

# of units: Document #: 613166 Bedrooms: Pool: Pool Total Tax Value: $2,111,500 Bath(F/H): /

#6   5902 E Lafayette Blvd Phoenix Az 85018

# of units: Document #: 189652 Bedrooms: Pool: Pool

Customer Name : Chantel Cortez

Total Tax Value: $1,750,000 Bath(F/H): /

Rec. Date / Price: 03/31/2022 / $3,150,000 Living Area: 4,848

Owner Name: Flores Robert J /Flores Jennifer APN / Alternate APN: 172-43-031 / Deed Type: Warranty Deed Land Use: Sfr Subdivision / Tract: Charnwood 2 / Lot Size: 23,660

Customer Company Name : FIRST AMERICAN TITLE Prepared On : 09/16/2022

Year Built / Eff: 2018 /

#5   5902 E Calle Del Sud Phoenix Az 85018

Year Built / Eff: 2000 /

#7   6301 E Mariposa St Scottsdale Az 85251

Owner Name: Anderson Jason E /Anderson Adriann J

Year Built / Eff: 2021 / Rec. Date / Price: 03/01/2022 / $2,995,000 Living Area: 4,959

Year Built / Eff: 1979 / Rec. Date / Price: 02/25/2022 / $3,262,500 Living Area: 4,675 # of units: Document #: 176935 Bedrooms: Pool: Pool

#9   6404 E Gainsborough Rd Scottsdale Az 85251

Total Tax Value: $1,865,700 Bath(F/H): /

Year Built / Eff: 2000 /

Total Tax Value: $1,701,000 Bath(F/H): /

Owner Name: Fotovich Brian / APN / Alternate APN: 173-45-008-D / Deed Type: Warranty Deed Land Use: Sfr Subdivision / Tract: Lombardi Estates Blk 4 / Lot Size: 38,177

# of units: Document #: 358098 Bedrooms: Pool: Pool

Year Built / Eff: 2018 / Rec. Date / Price: 11/23/2021 / $4,350,000 Living Area: 4,824

© 2022 CoreLogic. All rights reserved

Total Tax Value: $1,327,200 Bath(F/H): /

Owner Name: Goodrich / APN / Alternate APN: 172-42-074 / Deed Type: Warranty Deed Land Use: Sfr Subdivision / Tract: Exeter Square Amd / Lot Size: 18,927

Year Built / Eff: 1981 / Rec. Date / Price: 04/22/2022 / $4,500,000 Living Area: 4,958

Year Built / Eff: 2014 /

# of units: Document #: 1375270 Bedrooms: Pool: Pool

#11   4459 N 64th St Scottsdale Az 85251

#13   4218 N 57th Way Phoenix Az 85018

Customer Name : Chantel Cortez

Total Tax Value: $1,849,300 Bath(F/H): /

# of units: Document #: 1251053 Bedrooms: Pool: Pool

Customer Company Name : FIRST AMERICAN TITLE Prepared On : 09/16/2022

Land Use: Sfr Subdivision / Tract: Exeter Park / Lot Size: 28,776

Land Use: Sfr Subdivision / Tract: Sun Valley Estates Lt 1-4, 8-17, 20-33 / Lot Size: 17,734

Rec. Date / Price: 03/23/2022 / $3,863,000 Living Area: 4,389

#12   5810 E Calle Tuberia Phoenix Az 85018

# of units: Document #: 261892 Bedrooms: Pool: Pool

Owner Name: Wright Family Trust / APN / Alternate APN: 128-28-007 / Deed Type: Warranty Deed Land Use: Sfr Subdivision / Tract: Del Rey Estates 4 / Lot Size: 14,693

Year Built / Eff: 1957 /

Owner Name: Frost Scott / APN / Alternate APN: 172-43-045 / Deed Type: Warranty Deed

Rec. Date / Price: 04/26/2022 / $3,800,000 Living Area: 4,984

Total Tax Value: $2,070,300 Bath(F/H): /

Rec. Date / Price: 12/28/2021 / $2,600,000 Living Area: 4,819

#10   5801 E Exeter Blvd Phoenix Az 85018

Owner Name: Davison Ellen & Brian / APN / Alternate APN: 128-31-038-A / Deed Type: Warranty Deed

# of units: Document #: 365124 Bedrooms: Pool: Pool

#14   4015 N 57th Pl Phoenix Az 85018

Deed Type: Warranty Deed

#16   5602 E Exeter Blvd Phoenix Az 85018

# of units: Document #: 1342120 Bedrooms: Pool: Total Tax Value: $1,269,500 Bath(F/H): /

Land Use: Sfr Subdivision / Tract: Edgewood Estates / Lot Size: 34,964

Deed Type: Warranty Deed

# of units: Document #: 1008319

© 2022 CoreLogic. All rights reserved

Owner Name: Breakwater Master Holdings / APN / Alternate APN: 172-31-010-A /

Land Use: Sfr Subdivision / Tract: Camelback East / Lot Size: 35,005

#15   6302 E Hillcrest Blvd Scottsdale Az 85251

Year Built / Eff: 2021 / Rec. Date / Price: 09/17/2021 / $3,875,000 Living Area: 5,223

Bedrooms: Pool: Pool Total Tax Value: $830,000 Bath(F/H): /

Customer Name : Chantel Cortez

Customer Company Name : FIRST AMERICAN TITLE Prepared On : 09/16/2022

Year Built / Eff: 1973 / Rec. Date / Price: 12/20/2021 / $4,250,000 Living Area: 5,376

Owner Name: Cjb Trust / APN / Alternate APN: 172-27-015 /

Name

© 2022 CoreLogic. All rights reserved

Subject Property :   6130 E Calle Del Media Scottsdale AZ 85251

Chantel Cortez

Name

Customer Company : On : 09/16/2022

FIRST AMERICAN TITLE Prepared

Customer :

Customer Name : Chantel Cortez

Customer Company Name : FIRST AMERICAN TITLE

Prepared On : 09/16/2022

© 2022 CoreLogic. All rights reserved

Arizona Schools For detailed information and statistics on Arizona schools please go ©2021FirstFirsthttps://azreportcards.azed.gov/toAmericanTitleInsuranceCompany,andtheoperatingdivisionsthereof,makenoexpressorimpliedwarrantyrespectingtheinformationpresentedandassumenoresponsibilityforerrorsoromissions.American,theeaglelogo,FirstAmericanTitle,andfirstam.comareregisteredtrademarksortrademarksofFirstAmericanFinancialCorporationand/oritsaffiliates.FirstAmericanFinancialCorporationand/oritsaffiliates.Allrightsreserved.NYSE:FAF05117910421

4330 N 62nd St Scottsdale AZ 85251

Total Expenditure/Student : 115

Kindergarten : Yes School Enrollment : Enrollment : 398

6535 E Osborn Rd Ste 401 Scottsdale AZ 85251

Telephone : (480) 484-2000

Elementary Schools

Distance 0.84 Miles

Lowest Grade : K

Highest Grade : 5th

© 2022 CoreLogic. All rights reserved

Hopi Elementary School Distance 1.25 Miles

Public Schools :

Kindergarten : Yes School Enrollment : Enrollment : 149 Total Expenditure/Student :

Hirsch Academy A Challenge Foundation

5110 E Lafayette Blvd Phoenix AZ 85018

Telephone : (480) 484-7500

Telephone : (480) 488-9362

School District : Hirsch Academy A Challenge Foundation (91275)

Lowest Grade : Pre-K

Lowest Grade : K

School District : Scottsdale Unified District (4240)

Echo Canyon K-8 Distance 0.21 Miles

Customer Company Name : FIRST AMERICAN TITLE Prepared On : 09/16/2022

School District : Scottsdale Unified District (4240)

Total Expenditure/Student : 115

Highest Grade : 8th

Highest Grade : 6th

Kindergarten : Yes School Enrollment : Enrollment : 704

Customer Name : Chantel Cortez

Total Expenditure/Student : 115

Customer Company Name : FIRST AMERICAN TITLE Prepared On : 09/16/2022

Total Expenditure/Student : Advanced Placement : No

© 2022 CoreLogic. All rights reserved

Great Hearts Academies - Veritas Prep Distance 1.15 Miles

Telephone : (480) 484-3500

Telephone : (480) 484-4900

3102 N 56th St Phoenix AZ Telephone :85018(602) 263-1128

School District : Scottsdale Unified District (4240)

Distance 1.99 Miles

4610 E Osborn Rd Phoenix AZ 85018

Middle Schools

High Schools

Total Expenditure/Student : 115

School District : Veritas AcademyPreparatory(80992)

Tavan Elementary School

Lowest Grade : Pre-K Highest Grade : 5th Kindergarten : Yes School Enrollment : Enrollment : 661

Lowest Grade : 6th Highest Grade : 8th Kindergarten : No School Enrollment : Enrollment : 850

School District : Scottsdale Unified District (4240)

5402 E Osborn Rd Phoenix AZ 85018

Ingleside Middle School

Lowest Grade : 6th Highest Grade : 12th School Enrollment : Enrollment : 796

Customer Name : Chantel Cortez

Distance 1.11 Miles

Distance 1.94 Miles

School District : East Valley Institute Of Technology (4516)

Arcadia High School

4703 E Indian School Rd Phoenix AZ 85018

Evit - Arcadia High School

School District : Scottsdale Unified District (4240)

Total Expenditure/Student : 115 Advanced Placement : No

Telephone : (480) 484-6300

Lowest Grade : 9th Highest Grade : 12th School Enrollment : Enrollment : 0

Customer Name : Chantel Cortez

Total Expenditure/Student : Advanced Placement : No

4703 E Indian School Rd Phoenix AZ 85018

Distance 1.9 Miles

Lowest Grade : 9th Highest Grade : 12th School Enrollment : Enrollment : 1824

Telephone : (480) 484-6300

© 2022 CoreLogic. All rights reserved

Customer Company Name : FIRST AMERICAN TITLE Prepared On : 09/16/2022

Flexbiotech, Inc. 6135 E Calle Rosa Scottsdale Az (443) 472-0487 0.28

Sumits Yoga 3843 N 60th Pl Scottsdale Az (925) 786-7589 0.35

Stuart C Kozinn Md Ltd 6035 E Montecito Ave Scottsdale Az (480) 994-1149 0.22

Health Care Services

Name Address Telephone Distance (Miles)

Bull Rides Llc 6328 E Calle Del Norte Scottsdale Az (480) 275-8256 0.26

Course Companion Llc 44 Spur Cir Scottsdale Az (480) 675-9234 0.59

Customer Company Name : FIRST AMERICAN TITLE Prepared On : 09/16/2022

Customer Name : Chantel Cortez

Lafayette Group Inc 6730 E Lafayette Blvd Scottsdale Az (480) 946-8519 0.76

Eating / Drinking

Local

Banks / Financial

Rmc Mortgage 6740 E Camelback Rd Scottsdale Az (480) 315-7776 0.78

Equitable Home Mortgage, Inc 6831 E 5th Ave Scottsdale Az (480) 429-2100 0.9

Oasis Pool Grill Bar 6000 E Camelback Rd Scottsdale Az (480) 941-8200 0.39

J & G Steakhouse 6000 E Camelback Rd Scottsdale Az (480) 214-8000 0.39

Name Address Telephone Distance (Miles)

D S Demaine Dds 6117 E Exeter Blvd Scottsdale Az (602) 595-3531 0.12

Name Address Telephone Distance (Miles)

© 2022 CoreLogic. All rights reserved

Wells Fargo Bank, National Association 6770 E Camelback Rd Scottsdale Az (480) 858-8280 0.83

Name Address Telephone Distance (Miles)

Linger Longer Entertainment, Llc 5716 E Calle Tuberia Phoenix Az (602) 955-0339 0.61

Lobby Tea Court 6000 E Camelback Rd Scottsdale Az (480) 941-8200 0.39

Scratch 2 French Cafe, Llc 3627 N 60th St Scottsdale Az (602) 252-8900 0.53

Certified Medical Billing And Coding, Llc 4222 N 62nd Pl Scottsdale Az (480) 371-9711 0.13

AttractionsBusiness/Recreation

Name Address Telephone Distance (Miles)

Whole-self Fitness Llc 6405 E Indian School Rd # Scottsdale Az (602) 690-4361 0.55

Sheraton Phoenician Corporation 6000 E Camelback Rd Scottsdale Az (480) 941-8200 0.39

Ahf Fitness Llc 5838 E Calle Tuberia Phoenix Az (602) 391-6179 0.48

Organizations / Associations

Customer Name : Chantel Cortez

At The Phoenician 6000 E Camelback Rd Scottsdale Az (480) 423-2660 0.39

Shopping

Name Address Telephone Distance (Miles)

Name Address Telephone Distance (Miles)

I-market Llc 6140 E Calle Tuberia Scottsdale Az (480) 840-1704 0.21

Red Apple Llc 6401 E Exeter Blvd Scottsdale Az (480) 947-8122 0.36

Simple Science Juices, Llc 6446 E Monterosa St Scottsdale Az (480) 994-8988 0.39

Name Address Telephone Distance (Miles)

Evolved Fitness, Inc. 6711 E Camelback Rd Scottsdale Az (480) 946-7156 0.75 Russ Cutlip Fitness Llc 6237 E Monterey Way Scottsdale Az (480) 949-9229 0.78

Customer Company Name : FIRST AMERICAN TITLE Prepared On : 09/16/2022

© 2022 CoreLogic. All rights reserved

Phoenician Resort 6000 E Camelback Rd Scottsdale Az (480) 941-8200 0.39

Personal Services

Phoenician Operating Llc 6000 E Camelback Rd Scottsdale Az (480) 941-8200 0.39

Arizona Conference Of Seventh-day Adventists 5902 E Camelback Rd Phoenix Az (480) 947-3781 0.46

Hospitality

The Church Of Jesus Christ Of Latterday Saints 4225 N 56th St Phoenix Az (480) 994-9126 0.7

Christian Camelback Church 6235 E Camelback Rd Scottsdale Az (480) 945-7596 0.39

Christian Science First Church 6427 E Indian School Rd Scottsdale Az (480) 945-3721 0.57

R And R Surplus 6000 E Camelback Rd Scottsdale Az (480) 945-2276 0.39

Recording Date : 03/25/2020

Sale Price  : $82,000

Stories : 1 APN : 172-44-029

Owner Name : Perumbeti Ajay C

Sale Price  : $2,200,000

Sale Date : 03/18/2020

Property Tax : $9,422.58

Bed / Bath : / 4

Yr Blt / Eff Yr Blt : 1957 / APN : 172-44-042-A

Land Use : Sfr Lot Acres : 0.39

Recording Date : 05/31/2019

Land Use : Sfr Lot Acres : 0.42

Customer Company Name : FIRST AMERICAN TITLE Prepared On : 09/16/2022

Bed / Bath : / 3 Lot Acres : 0.40

© 2022 CoreLogic. All rights reserved

Owner Name : Heywood Van F

Owner Name : Michael Fratianni

Total Value : $1,412,100 Sale Price  : $1,850,000

6115 E CALLE DEL NORTE

Recording Date : 06/14/2013

Sale Date : 06/10/2013

Sale Date : 11/15/1977

Customer Name : Chantel Cortez

6144 E CALLE DEL MEDIA Distance 0.03 Miles

6112 E CALLE DEL MEDIA Distance 0.03 Miles

Distance 0.03 Miles

Subdivision : Arcadia Blk 20

Subdivision : El Camello 2

Owner Name : Mcdowell Sally L

Sale Date : 05/21/2019

Total Value : $1,154,200

Subdivision : Hidden Village 10-a

Land Use : Sfr Lot Acres : 0.53

Stories : 2 Living Area : 5,998

Subdivision : Arcadia Blk 20

Yr Blt / Eff Yr Blt : 1957 / APN : 172-44-001-D

Yr Blt / Eff Yr Blt : 2009 / APN : 172-44-002-D

Total Value : $988,800

Property Tax : $6,552.82

Bed / Bath : / 5 Property Tax : $10,706.82

Sale Price  : $1,140,000

Stories : 1 Living Area : 4,319

Stories : 1 Living Area : 3,317

6129 E CALLE DEL MEDIA Distance 0.03 Miles

Total Value : $2,435,800

Land Use : Sfr

Bed / Bath : / 7 Property Tax : $21,209.72

Living Area : 2,872

Yr Blt / Eff Yr Blt  : 1959 /

Recording Date : 04/30/2015

Subdivision  : Hidden Village 10-a

Recording Date : 09/29/2017

Yr Blt / Eff Yr Blt : 1963 / APN : 172-44-015

Subdivision : Arcadia Blk 20

Lot Acres : 0.38

Owner Name : Britt Edward H

Sale Price  : $2,100,000

Distance 0.04 Miles

Owner Name : Schwimmer-denmark

Total Value : $1,228,700

Sale Date : 09/26/2017

Total Value : $1,358,500

Bed / Bath : / 5 Property Tax : $9,669.80

Stories : 1 Living Area : 4,137

Subdivision : La Maza Villa 1

Total Value : $1,917,700

Total Value : $1,441,800 Property Tax : $8,371.10

Recording Date : 03/28/2008

Lot Acres : 0.41

Sale Price  : $1,065,000

6141 E CALLE DEL NORTE Distance 0.04 Miles

Land Use : Sfr Lot Acres : 0.46

Stories : 1 Living Area : 3,855

Customer Company Name : FIRST AMERICAN TITLE Prepared On : 09/16/2022

Sale Date : 04/23/2015

© 2022 CoreLogic. All rights reserved

Yr Blt / Eff Yr Blt : 1963 / APN : 172-44-001-C

Land Use : Sfr

Customer Name : Chantel Cortez

Recording Date : 12/01/2004

6111 E CALLE DEL MEDIA Distance 0.04 Miles

Land Use : Sfr Lot Acres : 0.52

Yr Blt / Eff Yr Blt : 1957 / APN : 172-44-043

6113 E CALLE DEL NORTE

Owner Name : Stofko John P

Sale Date : 10/28/2004

Subdivision : El Camello 2

Sale Price  : $1,705,000

6139 E CALLE DEL MEDIA Distance 0.04 Miles

Bed / Bath : / 7 Property Tax : $14,862.32

Sale Date : 02/20/2008

Bed / Bath : / 7

Yr Blt / Eff Yr Blt : 1959 / APN : 172-44-036

Bed / Bath : / 4 Property Tax : $8,942.46

Sale Price  : $995,000

Land Use : Sfr Living Area : 4,200

Owner Name : Hancock

Stories : 1 Living Area : 5,006

Subdivision : Hidden Village 10-a

Land Use : Sfr Lot Acres : 0.43

Sale Date : 11/03/2006

Recording Date : 03/15/2012

Stories : 1 Living Area : 1,942

Bed / Bath : / 2 Property Tax : $5,379.78

Total Value : $1,098,100

Yr Blt / Eff Yr Blt : 1957 / APN : 172-44-041

Stories : 1 Living Area : 3,181

© 2022 CoreLogic. All rights reserved

6102 E CALLE DEL MEDIA Distance 0.06 Miles

Customer Name : Chantel Cortez

Customer Company Name : FIRST AMERICAN TITLE Prepared On : 09/16/2022

Yr Blt / Eff Yr Blt : 1958 / APN : 172-44-030

Total Value : $729,300

Recording Date : 11/13/2006

Owner Name : Sud Property Holdings Llc

6130 E CALLE DEL SUD

Sale Date : 03/11/2012

Sale Price  : $625,000

Owner Name : Campbell Melissa C

Bed / Bath : / 4 Property Tax : $7,244.22

Distance 0.06 Miles

Subdivision : El Camello 2

Sale Price  : $1,285,000

Land Use : Sfr Lot Acres : 0.41

Housing

Median Home Value: $1,254,400 $300,000 - $500,000: 3.9%

Average Current Year: 3.18 $25,000 - $35,000 5.38%

Unmarried People: 33.48%

Growth Last 10 Years: -10.79% $75,000 - $100,000 1.37%

Under $300: 0% Below $100,000: 2.05%

Unit Occupied Owner: 95.3% Above $500,000: 91.07%

Estimate in 5 Years: 3,315 18 - 24 6.33%

Married People: 66.52%

Male Population: 51.81% Above $100,000 81.41%

© 2022 CoreLogic. All rights reserved

$800 - $1,999: 18.69% $150,000 - $200,000: 0% Over $2,000: 70.43% $200,000 - $300,000: 2.98%

Census Tract / block: 1080.00 / 2     Year: 2018

Current Year: 1,022 0 - $25,000 7.24%

Population Population by Age

Growth Last 10 Years: -252.74% 65 - 74 6.08% 75+

Household

Growth Last 5 Years: -4.7% $50,000 - $75,000 1.96%

$300 - $799: 10.88% $100,000 - $150,000: 0%

Estimate Current Year: 3,266 12 - 17

Estimate in 5 Years: 1,042 $35,000 - $50,000 2.64%

Household Size Household Income

Female Population: 48.19% Average Household Income: $173,056

Median Mortgage Payments Home Values

Customer Company Name : FIRST AMERICAN TITLE Prepared On : 09/16/2022

Median Mortgage: $3,079

Customer Name : Chantel Cortez

Count: 3,254 0 - 11

Growth Last 5 Years: -0.46% 25 - 64 51.14%

Private School: 13.83% Attended Some College: 9.07%

15 min - 28 min: 35.95%

$500 - $749 0% 1980 - 1989 7.44%

Public School: 20.86% Graduate Of High School: 7.25%

Enrollment

Education

Protective Services: Blue-Collar: 2.05%

Over 60 min: 1.2%

Less Than $499 0% 1990 - 1994

Private House Hold: Farming: 2.05%

Year Built

Commute Time

Workforce

© 2022 CoreLogic. All rights reserved

$1000 and Over 100% 1900 - 1969 62.71%

Technical: Government Worker: 6.57%

Customer Name : Chantel Cortez

Manager/Prof: 65.3% Private Worker: 56.54%

Public College: 3.8% College Graduate: 48.76%

Customer Company Name : FIRST AMERICAN TITLE Prepared On : 09/16/2022

Rent Payments

Sales: 21.91% Self Employed Worker: 21.06%

Unit Occupied Renter: 4.7% 1999 - 2000

Not Enrolled in School: 65.31%

Less Than 15 Min: 47.64%

30 min - 57 min: 15.21%

Median Gross Rent: 1995 - 1998

Not A High School Graduate: 0%

Private Pre-Primary School: 2.64%

Public Pre-Primary School: 0.39%

Occupation:

Administrative: Unpaid Family Worker: 10.32%

$750 - $999 0% 1970 - 1979 8.67%

Service: 10.74% Skilled:

Private College: 0.16% Graduate Degree: 34.92%

Prepared On : 09/16/2022

Customer Name : Chantel Cortez

© 2022 CoreLogic. All rights reserved

Customer Company Name : FIRST AMERICAN TITLE

Customer Name : Chantel Cortez

Customer Company Name : FIRST AMERICAN TITLE

© 2022 CoreLogic. All rights reserved

Prepared On : 09/16/2022

Prepared On : 09/16/2022

Customer Company Name : FIRST AMERICAN TITLE

Customer Name : Chantel Cortez

© 2022 CoreLogic. All rights reserved

PARCEL: 172-44-002C 4

TOTAL DUE

FIRST HALF  9,355.83  9,355.83  0.00  9,355.83  SECOND HALF  9,355.83

MAIL: 6130 E CALLE DEL MEDIA  SCOTTSDALE AZ 85251

2022  TAX AMT DATE PAID

INSTRUMENT REC DATE

SITUS: 6130 E CALLE DEL MEDIA SCOTTSDALE

TOTAL CURRENT TAXES DUE 09/22 18,711.66 10/22 18,711.66 (ESTIMATED) RESIDENTIAL IMPROVEMENTS BLDG SQFT  5,042 COOLING  REFRIGERATION YEAR BUILT  2011 EXTERIOR WALLS  OTHER NUMBER OF STORIES  1.0 ROOF  WOOD SHINGLES NUMBER OF ROOMS CONSTRUCTION CLASS  R6 NUMBER OF BATH FIXTURES  21 PHYSICAL CONDITION  OTHER PATIO (TYPE AND NUMBER)  UNCOVERED_AND_COVERED 3 LAND USE  01 61 GARAGE (TYPE AND NUMBER)  GARAGE 3 LOT SIZE  24,011 SQ FT POOL SQ FT  480 SCHOOL DISTRICT  481300 HEATING LAND FULL CASH VALUE  482,900 IMPR FULL CASH VALUE 1,931,600 SALES SALE DATE SALE AMOUNT INSTRUMENT TYPE SELLER NAME VALIDITY 09/10/2020 2,750,000    2020 845066 WD DAVIS GREGG & ELIZABETH A 06/01/2011 1,680,000    2011 460805 WD LOB JIM 01/22/2010 550,000    2010 56159 WD SEBALD JOHN O/BRIGETTE M ADDITIONAL PROPERTY INFORMATION STANDARD LAND USE: SFR END SEARCH

LEGAL: ARCADIA MCR 8-51 LOT 1 BLK 19 S 163.82F W2 S2 E2 EX S 25F RD & ALSO 8F PT ABAND ALLEY (DESC P/F 041151414) P/F 07-1287502

OWNER: SPRAGUE TODD P & TODD P SPR     2020 845066 09/10/2020

SPECIAL DISTRICTS

PLAT: 8 -   51 LOT    1 BLOCK   19

CURRENT TAXES

9,355.83  9,355.83  0.00

PARCEL:  172-44-002C

RATE

+ FIRST AMERICAN TITLE, FC0, CCOR MARICOPA, AZ 09/16/2022  10:26AM  NKFE  INVESTIGATIVE SEARCH RESULTS PAGE 1 OF 1

INFORMATION THROUGH 08/19/2022 LAND IMPR EXEMPT AREA

PRIMARY  225,838  0  0  6.0609  481300  30001  SECONDARY  48,290  193,160  0  2.4902  2022 TOTAL TAX BILLED 18,711.66

TAX DUE INTEREST

SEARCH PARAMETERS

Turn static files into dynamic content formats.

Create a flipbook
Issuu converts static files into: digital portfolios, online yearbooks, online catalogs, digital photo albums and more. Sign up and create your flipbook.