Digital Homebook 4511 Buena Loma Way unit 2

Page 1

4511BuenaLomaWay#2 SierraVista,AZ85635

The undersigned acknowledges receipt of this Wire Fraud Advisory.

ONLINE RESOURCES: There are many online sources that can provide useful information regarding similar topics including, but not limited to, the following sites:

The Internet Crime Complaint Center @ www.ic3.gov

On Guard Online @ www.onguardonline.gov

Criminals are targeting social media and email to steal information. This is particularly common in real estate transactions because sensitive data, including social security numbers, bank account numbers, and wire instructions are often sent by electronic means. We do not want you to be the next victim of wire fraud. Money wired to a fraudulent account is stolen money that typically cannot be recovered. Additionally, there is generally no insurance for this loss. You may never get the money back.

DO NOT TRUST EMAILS SEEKING PERSONAL/FINANCIAL INFORMATION

TRUST YOUR SOURCE OF INFORMATION

• If you receive an email containing wire transfer instructions, immediately call your escrow officer to ensure the validity of the instructions.

Before you wire funds to any party (including your lawyer, title agent, mortgage broker, or real estate agent) personally meet them or call a verified telephone number (not the telephone number in the email) to confirm before you act!

Immediately notify your banking institution and Settlement/Title Company if you are a victim of wire fraud.

Client Date Client Date

The National White Collar Crime Center @ http://www.nw3c.org/research

• Never direct, accept or allow anyone in the transaction to consent to receiving transfer instructions without a direct personal telephone call to the individual allegedly providing the instructions.

• It is imperative that this call be made to a number obtained in person from the individual or through other reliable means, not from a number provided in the email or the wiring instructions

WIRE FRAUD ADVISORY

PROTECT YOURSELF VERIFY AND NOTIFY

• If you receive an email requesting personal/financial information or asking you to download, click on a link, send, and/or do anything that may seem unusual to you, call your escrow officer immediately prior to acting on the suspicious email to verify the validity of the email.

DO NOT TRUST EMAILS CONTAINING WIRE INSTRUCTIONS

The Federal Bureau of Investigation @ https://www.fbi.gov/scams and safety

LIMITATION OF LIABILITY FOR INFORMATIONAL REPORTS

IMPORTANT -- PLEASE READ CAREFULLY: This report is not an insured product or service or a representation of the condition of title to real property. It is not an abst ract, legal opinion, opinion of title, title insurance commitment or preliminary report, or any form of Title Insurance or Guaranty. This report is issued exclusively for the benefit of the Applicant therefor and may not be used or relied upon by any other person. This report may not be reproduced in any manner without First American or Title Security's prior written consent. First American or Title Security does not represent or warrant that the information herein is complete or free from error, and the information herein is provided without any warranties of any kind, as-is, and with all faults. As a material part of the consideration given in exchange for the issuance of this report, recipient agrees that First American or Title Security's sole liability for any loss or damage caused by an error or omission due to inaccurate information or negligence in preparing this report shall be limited to the fee charged for the report. Recipient accepts this report with this limitation and agrees that First American or Title Security would not have issued this report but for the limitation of liability described above. First American or Title Security makes no representation or warranty as to the legality or propriety of recipient's use of the information herein.

Subject Property 4511 Buena Loma Way # 2 Sierra Vista AZ APN:85635107-78-080B Data Provided By: First American Title Ins Co © 2022 CoreLogic. All rights reserved

© 2022 CoreLogic. All rights reserved

Disclaimer This REiSource report is provided "as is" without warranty of any kind, either express or implied, including without limitations any warrantees of merchantability or fitness for a particular purpose. There is no representation of warranty that this information is complete or free from error, and the provider does not assume, and expressly disclaims, any liability to any person or entity for loss or damage caused by errors or omissions in this REiSource report without a title insurance policy.

The information contained in the REiSource report is delivered from your Title Company, who reminds you that you have the right as a consumer to compare fees and serviced levels for Title, Escrow, and all other services associated with property ownership, and to select providers accordingly. Your home is the largest investment you will make in your lifetime and you should demand the very best.

Data Provided By: First American Title Ins Co

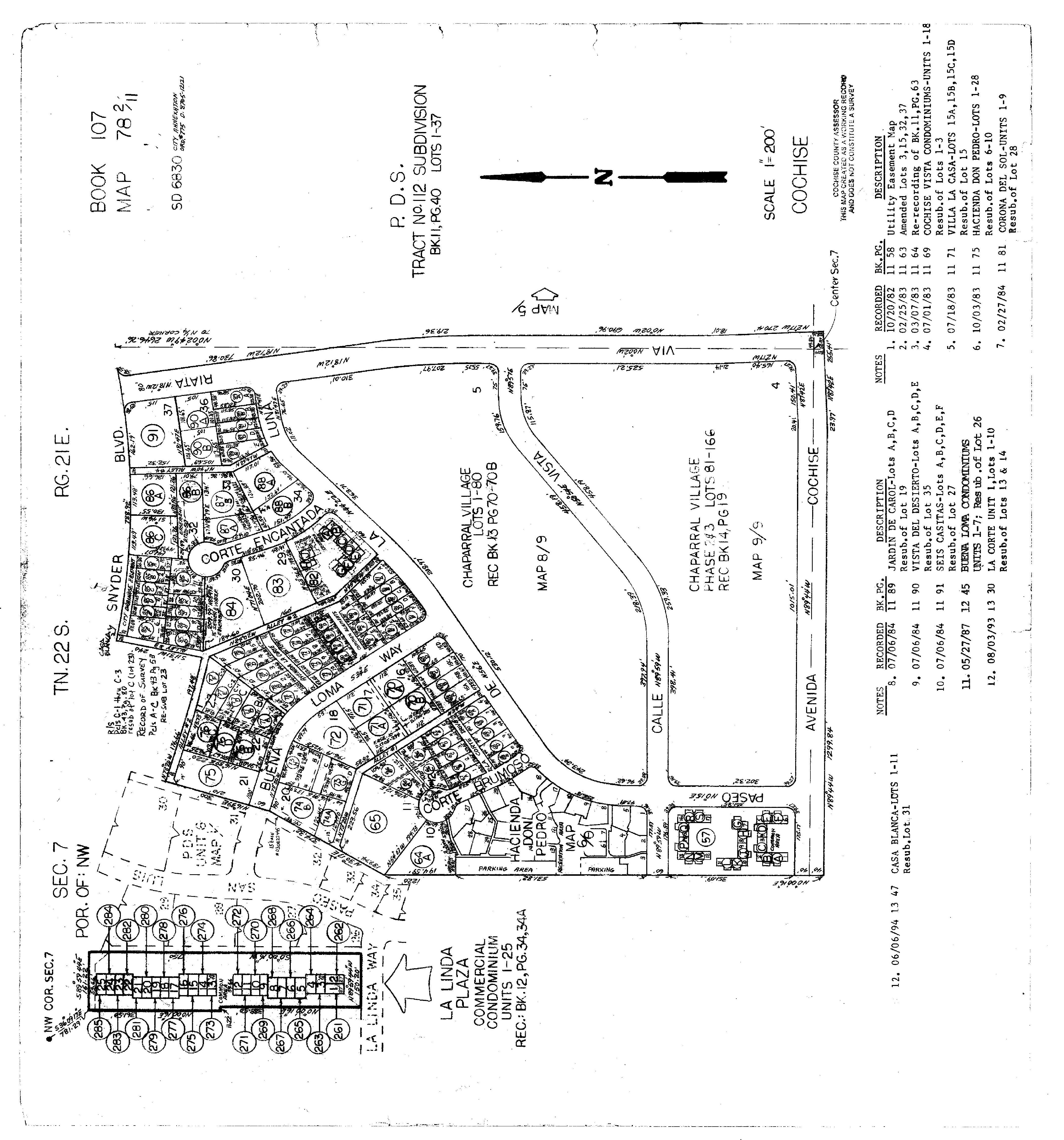
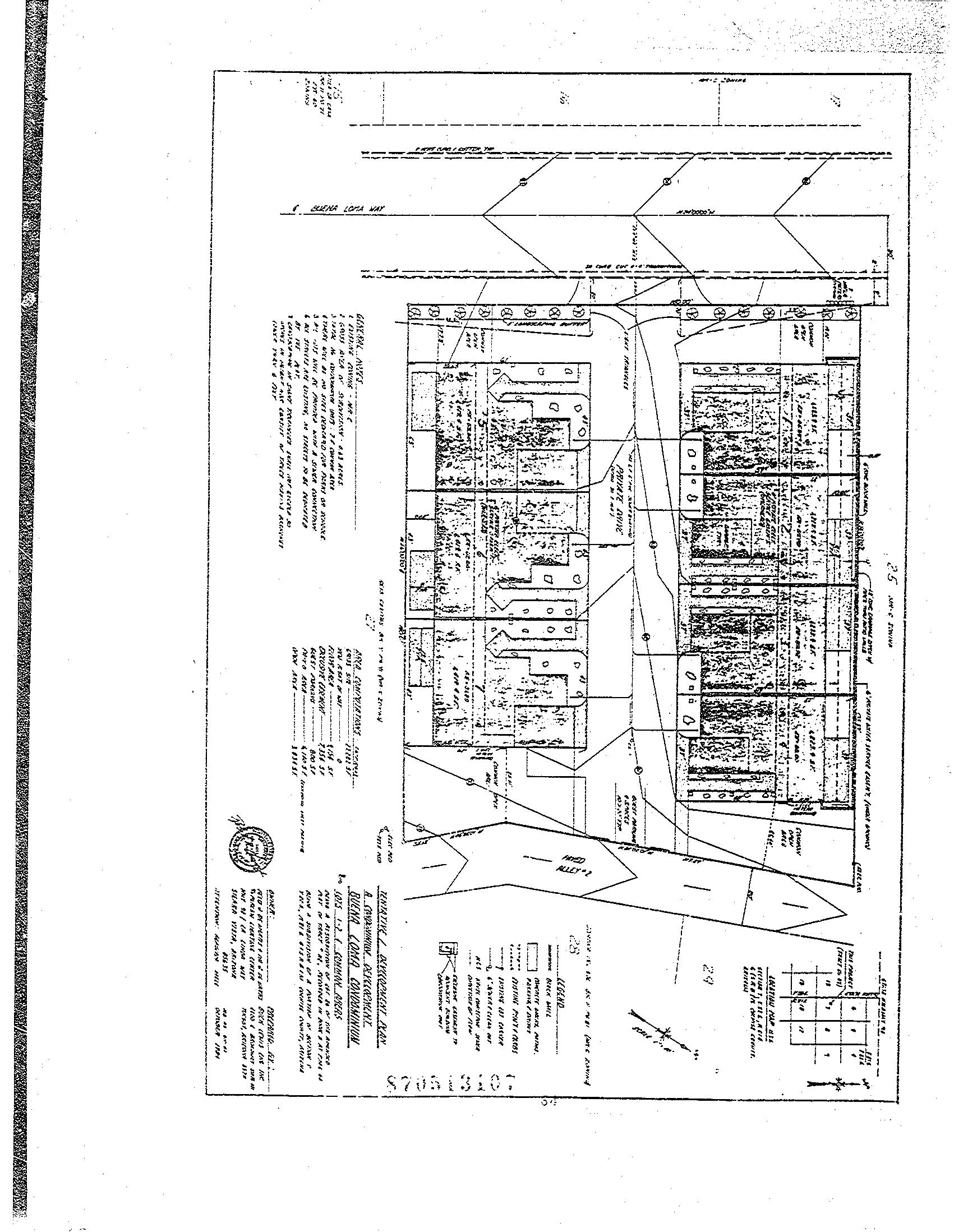
Subject Property :   4511 Buena Loma Way # 2 Sierra Vista AZ 85635 Owner Information Owner Name : Villalobos Yariza N Mailing Address : 4511 Buena Loma Way #2, Sierra Vista AZ 85635-5731 C059 Vesting Codes : Single Woman / / Owner OccupiedIndicator : O Location Information Legal Description : Buena Loma Condos Unit #2 & Undivided 1/7th Int In Common Elements County : Cochise, Az Subdivision : Buena Loma Condo Census Tract / Block : 17.03 / 2 Munic/Township : Buena/sv City APN : 107-78-080B Last Market Sale Information Recording/Sale Date : 07/31/2007 / 07/30/2007 1st Mtg Amount/Type : $92,000 / Cnv Sale Price : $115,000 1st Mtg Document # : 725239 Document # : 725238 Price Per SqFt : $107.68 Deed Type : Warranty Deed 2nd Mtg Amount/Type : $11,500 / Conv Title Company : Fidelity National Title Lender : Wells Fargo Bk Na Seller Name : Desert Dog Investments Llc Prior Sale Information Prior Rec/Sale Date : 05/05/1994 / 05/05/1994 Prior Deed Type : Deed (reg) Prior Doc Number : 512931 Property Characteristics Gross Area : 1,346 Parking Type : GarageAttached Cooling Type : Central Living Area : 1,068 Garage Area : 278 Exterior wall : Stucco Above Grade : 1068 Roof Material : Built-up Air Cond : Central Year Built / Eff : 1984 Construction : Steel/wood Quality : Average # of Stories : 1 Heat Type : Central Customer Name : Chantel Cortez Customer Company Name : FIRST AMERICAN TITLE Prepared On : 08/18/2022 © 2022 CoreLogic. All rights reserved

Property Information Land Use : Condominium Lot Size : 2,168 State Use : Condominiums Lot Acres : 0.05 Tax Information Total Value : $102,744 Improve % : 81% Current AssessedYear : 2023 Land Value : $20,000 Tax Year : 2021 Current YearValue :Total $9,135 ImprovementValue : $82,744 Property Tax : $899.04 Current ImprovementYearValue : $7,135 Total TaxableValue : $10,274 Tax Rate Area : 6830 Current YearValue :Land $2,000 Assessed Year : 2021 Market Value : $102,744 Customer Name : Chantel Cortez Customer Company Name : FIRST AMERICAN TITLE Prepared On : 08/18/2022 © 2022 CoreLogic. All rights reserved

Sales Analysis Criteria Subject Property Low High Average Sale Price $115,000 $108,000 $175,000 $143,150 Bldg/Living Area 1068 992 1220 1109 Price Per Square Foot $107.68 $106 $147 $128.78 Year Built 1984 1979 1996 1987 Lot Size 2,168 800 4,243 2,349 StoriesBathroomsBedrooms 1 1 1 1 Total Assessed Value $102,744 $68,830 $95,008 $85,430 Distance From Subject 0 0.08 0.51 0.37 Summary of Comparables # Address Sale Price TotalValueAssessed Sale Date Bed Bath Living Area Lot Size YearBuilt (Miles)Dist Zoning S 4511 Buena Loma Way # 2 115,000 102,744 07/31/2007 1,068 2,168 1984 1 1708 EncantadaCorte 175,000 86,993 02/28/2022 1,194 3,234 1996 0.08 2 1744 Paseo De La Luna 162,000 87,881 02/16/2022 1,219 3,854 1986 0.12 3 4397 Plaza Oro Loma 150,000 93,752 10/19/2021 1,220 3,636 1980 0.36 4 1267 Paseo San Luis 160,000 95,008 01/20/2022 1,217 4,243 1980 0.37 5 4304 PalermoAvenida 150,000 93,374 06/03/2022 1,179 4,047 1979 0.42 6 4178 Plaza Oro Loma 116,500 84,501 10/25/2021 992 800 1995 0.44 7 4170 Plaza Oro Loma 130,000 87,167 09/27/2021 1,025 958 1994 0.44 8 1174 Plaza Oro Loma # B 144,500 72,904 05/06/2022 1,015 958 1987 0.47 9 1112 Plaza Oro Loma # A 135,500 83,888 01/21/2022 1,010 958 1986 0.49 Customer Name : Chantel Cortez Customer Company Name : FIRST AMERICAN TITLE Prepared On : 08/18/2022 © 2022 CoreLogic. All rights reserved

10 4304 PalermoAvenida#21 108,000 68,830 02/23/2022 1,020 800 1984 0.51 Distressed Sales = Map Customer Name : Chantel Cortez Customer Company Name : FIRST AMERICAN TITLE Prepared On : 08/18/2022 © 2022 CoreLogic. All rights reserved

Details of Comparables Subject Property: 4511 Buena Loma Way # 2 Sierra Vista Az 85635 Owner Name: Villalobos Yariza N / APN / Alternate APN: 107-78-080B / Deed Type: Warranty Deed Land Use: Condominium Subdivision / Tract: Buena Loma Condo / Lot Size: 2,168 Year Built / Eff: 1984 / Rec. Date / Price: 07/31/2007 / $115,000 Living Area: 1,068 # of units: Document #: 725238 Bedrooms: Pool: Total Tax Value: $102,744 Bath(F/H): / #1   1708 Corte Encantada Sierra Vista Az 85635 Owner Name: Teckenoff Daniel / APN / Alternate APN: 107-78-085K / Deed Type: Warranty Deed Land Use: Condominium Subdivision / Tract: Casa Blanca / Lot Size: 3,234 Year Built / Eff: 1996 / Rec. Date / Price: 02/28/2022 / $175,000 Living Area: 1,194 # of units: Document #: 5249 Bedrooms: Pool: Total Tax Value: $86,993 Bath(F/H): / #2   1744 Paseo De La Luna Sierra Vista Az 85635 Owner Name: Teckenoff Daniel / APN / Alternate APN: 107-78-089D / Deed Type: Warranty Deed Land Use: Condominium Subdivision / Tract: Vista Del Desierto / Lot Size: 3,854 Year Built / Eff: 1986 / Rec. Date / Price: 02/16/2022 / $162,000 Living Area: 1,219 # of units: Document #: 3879 Bedrooms: Pool: Total Tax Value: $87,881 Bath(F/H): / #3   4397 Plaza Oro Loma Sierra Vista Az 85635 Owner Name: Mitchell Ivate F / APN / Alternate APN: 107-36-084 / Deed Type: Warranty Deed Land Use: Condominium Subdivision / Tract: Valle Viejo / Lot Size: 3,636 Year Built / Eff: 1980 / Rec. Date / Price: 10/19/2021 / $150,000 Living Area: 1,220 # of units: Document #: 27722 Bedrooms: Pool: Total Tax Value: $93,752 Bath(F/H): / #4   1267 Paseo San Luis Sierra Vista Az 85635 Owner Name: Daniel Hayden A / APN / Alternate APN: 107-36-077 / Deed Type: Warranty Deed Land Use: Condominium Subdivision / Tract: Pueblo Del Sol Dos / Lot Size: 4,243 Year Built / Eff: 1980 / Rec. Date / Price: 01/20/2022 / $160,000 Living Area: 1,217 # of units: Document #: 1557 Bedrooms: Pool: Total Tax Value: $95,008 Bath(F/H): / Customer Name : Chantel Cortez Customer Company Name : FIRST AMERICAN TITLE Prepared On : 08/18/2022 © 2022 CoreLogic. All rights reserved

#5   4304 Avenida Palermo Sierra Vista Az 85635 Owner Name: Lane Ray D / APN / Alternate APN: 107-36-069 / Deed Type: Warranty Deed Land Use: Condominium Subdivision / Tract: Pueblo Del Sol Dos / Lot Size: 4,047 Year Built / Eff: 1979 / Rec. Date / Price: 06/03/2022 / $150,000 Living Area: 1,179 # of units: Document #: 13757 Bedrooms: Pool: Total Tax Value: $93,374 Bath(F/H): / #6   4178 Plaza Oro Loma Sierra Vista Az 85635 Owner Name: Mcnair Glen / APN / Alternate APN: 107-36-121C / Deed Type: Warranty Deed Land Use: Condominium Subdivision / Tract: Casitas Place / Lot Size: 800 Year Built / Eff: 1995 / Rec. Date / Price: 10/25/2021 / $116,500 Living Area: 992 # of units: Document #: 28183 Bedrooms: Pool: Total Tax Value: $84,501 Bath(F/H): / #7   4170 Plaza Oro Loma Sierra Vista Az 85635 Owner Name: Seymour Stephanie / APN / Alternate APN: 107-36-122B / Deed Type: Warranty Deed Land Use: Condominium Subdivision / Tract: Casitas Place #iii / Lot Size: 958 Year Built / Eff: 1994 / Rec. Date / Price: 09/27/2021 / $130,000 Living Area: 1,025 # of units: Document #: 25505 Bedrooms: Pool: Total Tax Value: $87,167 Bath(F/H): / #8   1174 Plaza Oro Loma # B Sierra Vista Az 85635 Owner Name: Wyatt Melissa M / APN / Alternate APN: 107-36-123B / Deed Type: Warranty Deed Land Use: Condominium Subdivision / Tract: Casitas Place 02 / Lot Size: 958 Year Built / Eff: 1987 / Rec. Date / Price: 05/06/2022 / $144,500 Living Area: 1,015 # of units: Document #: 11400 Bedrooms: Pool: Total Tax Value: $72,904 Bath(F/H): / #9   1112 Plaza Oro Loma # A Sierra Vista Az 85635 Owner Name: Olsen Thomas F Jr / APN / Alternate APN: 107-36-117A / Deed Type: Warranty Deed Land Use: Condominium Subdivision / Tract: Casitas Place 02 41 Bldg 11 / Lot Size: 958 Year Built / Eff: 1986 / Rec. Date / Price: 01/21/2022 / $135,500 Living Area: 1,010 # of units: Document #: 1686 Bedrooms: Pool: Total Tax Value: $83,888 Bath(F/H): / Customer Name : Chantel Cortez Customer Company Name : FIRST AMERICAN TITLE Prepared On : 08/18/2022 © 2022 CoreLogic. All rights reserved

#10   4304 Avenida Palermo # 21 Sierra Vista Az 85635 Owner Name: Ramirez Jonathan J / APN / Alternate APN: 107-36-116E / Deed Type: Warranty Deed Land Use: Condominium Subdivision / Tract: Pueblo Del Sol Dos / Lot Size: 800 Year Built / Eff: 1984 / Rec. Date / Price: 02/23/2022 / $108,000 Living Area: 1,020 # of units: Document #: 4428 Bedrooms: Pool: Total Tax Value: $68,830 Bath(F/H): / Customer Name : Chantel Cortez Customer Company Name : FIRST AMERICAN TITLE Prepared On : 08/18/2022 © 2022 CoreLogic. All rights reserved

Subject Property :   4511 Buena Loma Way # 2 Sierra Vista AZ 85635 Customer Name : Chantel Cortez Customer Company Name : FIRST AMERICAN TITLE Prepared On : 08/18/2022 © 2022 CoreLogic. All rights reserved

Customer Name : Chantel Cortez Customer Company Name : FIRST AMERICAN TITLE Prepared On : 08/18/2022 © 2022 CoreLogic. All rights reserved

Public Schools : Elementary Schools Pueblo Del Sol Elementary School Distance 0.73 Miles 5130 Paseo Las Palmas Sierra Vista AZ 85635 Telephone : (520) 515-2970 School District : Sierra Vista Unified District (4175) Lowest Grade : K Highest Grade : 6th Kindergarten : Yes School Enrollment : Enrollment : 475 Total Expenditure/Student : 51 Village Meadows Elementary School Distance 1.1 Miles 905 El Camino Real Sierra Vista AZ 85635 Telephone : (520) 515-2990 School District : Sierra Vista Unified District (4175) Lowest Grade : K Highest Grade : 6th Kindergarten : Yes School Enrollment : Enrollment : 468 Total Expenditure/Student : 51 Town & Country Elementary School Distance 1.9 Miles 1313 S Lenzner Ave Sierra Vista AZ 85635 Telephone : (520) 515-2980 School District : Sierra Vista Unified District (4175) Lowest Grade : Pre-K Highest Grade : 6th Kindergarten : Yes School Enrollment : Enrollment : 490 Total Expenditure/Student : 51 Customer Name : Chantel Cortez Customer Company Name : FIRST AMERICAN TITLE Prepared On : 08/18/2022 © 2022 CoreLogic. All rights reserved

Huachuca Mountain Elementary School Distance 1.99 Miles 3228 Saint Andrews Dr Sierra Vista AZ 85650 Telephone : (520) 515-2960 School District : Sierra Vista Unified District (4175) Lowest Grade : K Highest Grade : 6th Kindergarten : Yes School Enrollment : Enrollment : 581 Total Expenditure/Student : 51 Middle Schools Joyce Clark Middle School Distance 1.95 Miles 1045 S Lenzner Ave Sierra Vista AZ 85635 Telephone : (520) 515-2930 School District : Sierra Vista Unified District (4175) Lowest Grade : 7th Highest Grade : 8th Kindergarten : No School Enrollment : Enrollment : 746 Total Expenditure/Student : 51 High Schools Ppep Tec - Colin L. Powell Learning Center Distance 0.36 Miles 4116 Avenida Cochise Suites F Sierra Vista AZ 85635 Telephone : (520) 458-8205 School District : Portable Inc.EducationalPracticalPreparation((4431) Lowest Grade : 9th Highest Grade : 12th School Enrollment : Enrollment : 76 Total Expenditure/Student : Advanced Placement : No Customer Name : Chantel Cortez Customer Company Name : FIRST AMERICAN TITLE Prepared On : 08/18/2022 © 2022 CoreLogic. All rights reserved

Sierra Vista Online Distance 1.47 Miles 3555 E Fry Blvd Sierra Vista AZ 85635 Telephone : (520) 515-2928 School District : Sierra Vista Unified District (4175) Lowest Grade : 9th Highest Grade : 12th School Enrollment : Enrollment : 3 Total Expenditure/Student : 51 Advanced Placement : No Ctd - Cochise College Distance 1.86 Miles 901 Colombo Ave Sierra Vista AZ 85635 Telephone : (800) 966-7943 School District : Cochise Technology District (79403) Lowest Grade : 9th Highest Grade : 12th School Enrollment : Enrollment : 0 Total Expenditure/Student : Advanced Placement : No Customer Name : Chantel Cortez Customer Company Name : FIRST AMERICAN TITLE Prepared On : 08/18/2022 © 2022 CoreLogic. All rights reserved

LocalAttractionsBusiness/Recreation Name Address Telephone Distance (Miles) Kermit Robinson 4565 Paseo Manolete Sierra Vista Az (520) 458-1440 0.4 Karen's Aquatics Llc 5004 Calle Cumbre Sierra Vista Az (520) 458-7214 0.41 Agw Entertainment Group 1161 Paseo San Luis Sierra Vista Az (520) 255-9056 0.43 Sierra Vista Martial Arts Club, Llc 5080 Colina Way Sierra Vista Az (520) 220-0279 0.52 Banks / Financial Name Address Telephone Distance (Miles) One Main Financial 1644 S Highway 92 Sierra Vista Az (520) 452-4466 0.36 Wells Fargo Bank, National Association 2187 El Mercado Loop Sierra Vista Az (520) 459-7867 0.6 Eating / Drinking Name Address Telephone Distance (Miles) Well Seasoned Catering, Llc 1510 Plaza Viento Sierra Vista Az (520) 417-0930 0.22 Vinny's New York Pizza, Inc 1977 Frontage Rd Sierra Vista Az (520) 459-2315 0.33 Ihop Restaurant 1906 S Highway 92 Sierra Vista Az (520) 459-2958 0.36 Papa John's International, Inc. 1656 S Highway 92 Sierra Vista Az (520) 459-7200 0.36 Health Care Services Name Address Telephone Distance (Miles) General Dental Pllc 1729 Paseo San Luis Sierra Vista Az (520) 458-2520 0.16 Roberts Chiropractic Pllc 1819 Paseo San Luis Sierra Vista Az (520) 452-1490 0.17 Rosen Orthodontics 1714 Paseo San Luis Sierra Vista Az (520) 458-2500 0.17 Azoms 1714 Paseo San Luis Sierra Vista Az (520) 459-1254 0.17 Hospitality Name Address Telephone Distance (Miles) Hampton Inns, Llc 4100 Snyder Blvd Sierra Vista Az (520) 439-5400 0.34 Landmark Hospitality Llc 4100 Snyder Blvd Sierra Vista Az (520) 439-5400 0.34 Customer Name : Chantel Cortez Customer Company Name : FIRST AMERICAN TITLE Prepared On : 08/18/2022 © 2022 CoreLogic. All rights reserved

Holiday Inn Express 1902 S Highway 92 Sierra Vista Az (520) 439-8800 0.35 Vista Candlewood Suites-sierra 1904 S Highway 92 Sierra Vista Az (520) 439-8200 0.36 Organizations / Associations Name Address Telephone Distance (Miles) Orthodox Lutheran Forum Inc 4422 Snyder Blvd Sierra Vista Az (520) 458-5897 0.14 Trinity Evangelical Lutheran 4422 Snyder Blvd Sierra Vista Az (520) 458-5897 0.14 United States Army 1838 Paseo San Luis Sierra Vista Az (520) 459-8411 0.19 Christian New Testiment Church 4929 E Foothills Dr Sierra Vista Az (520) 458-0326 0.5 Personal Services Name Address Telephone Distance (Miles) Las Cienegas National Conservation Area 1763 Paseo San Luis Sierra Vista Az (520) 439-6400 0.15 Julian's Parkour & Gymnastics, Llc 4652 Monarch Dr Sierra Vista Az (716) 880-0773 0.96 Shopping Name Address Telephone Distance (Miles) Broxton's Coffee 1500 Paseo San Luis Sierra Vista Az (520) 458-2040 0.21 Dillard's Inc. 3800 El Mercado Loop Sierra Vista Az (520) 515-0151 0.5 Snap On Tools 5138 Via De Lomas Sierra Vista Az (520) 266-3818 0.61 Home Depot U.s.a., Inc. 3500 Avenida Cochise Sierra Vista Az (520) 439-2806 0.79 Customer Name : Chantel Cortez Customer Company Name : FIRST AMERICAN TITLE Prepared On : 08/18/2022 © 2022 CoreLogic. All rights reserved

4511 BUENA LOMA WAY # 3 Distance 0.01 Miles Owner Name : Nadventure Llc Recording Date : 04/05/2021 Sale Date : 04/01/2021 Sale Price  : $112,000 Total Value : $102,744 Property Tax : $1,070.60 Land Use : Condominium Lot Acres : 0.05 Stories : 1 Living Area : 1,068 Yr Blt / Eff Yr Blt : 1984 / APN : 107-78-080C Subdivision  : Buena Loma Condo 4511 BUENA LOMA WAY # 1 Distance 0.01 Miles Owner Name : Kmm Special Needs Recording Date : 08/22/2002 Sale Date : 08/00/2002 Sale Price  : $80,000 Total Value : $102,744 Property Tax : $1,070.60 Land Use : Condominium Lot Acres : 0.05 Stories : 1 Living Area : 1,068 Yr Blt / Eff Yr Blt : 1984 / APN : 107-78-080A Subdivision  : Buena Loma Condo 4511 BUENA LOMA WAY # 4 Distance 0.01 Miles Owner Name : Kelly Daniel M Recording Date : 06/14/1995 Sale Date : 06/00/1995 Sale Price  : $72,499 Total Value : $76,811 Property Tax : $800.38 Land Use : Condominium Lot Acres : 0.05 Stories : 1 Living Area : 1,068 Yr Blt / Eff Yr Blt : 1984 / APN : 107-78-080D Subdivision  : Buena Loma Condo 1795 AVENIDA LA CORTE Distance 0.02 Miles Owner Name : Au Yeung Noah K Recording Date : 07/17/2020 Sale Date : 07/09/2020 Sale Price  : $160,000 Total Value : $116,142 Property Tax : $1,016.30 Land Use : Sfr Lot Acres : 0.09 Stories : 1 Living Area : 1,308 Yr Blt / Eff Yr Blt : 1995 / APN : 107-78-079D Subdivision  : La Corte 02 Customer Name : Chantel Cortez Customer Company Name : FIRST AMERICAN TITLE Prepared On : 08/18/2022 © 2022 CoreLogic. All rights reserved

1781 AVENIDA LA CORTE Distance 0.02 Miles Owner Name : Webb Walter D Recording Date : 08/14/2020 Sale Date : 08/10/2020 Sale Price  : $159,900 Total Value : $123,325 Property Tax : $1,079.18 Land Use : Sfr Lot Acres : 0.10 Stories : 1 Living Area : 1,398 Yr Blt / Eff Yr Blt : 1996 / APN : 107-78-079C Subdivision  : La Corte 02 1803 AVENIDA LA CORTE Distance 0.02 Miles Owner Name : Breaux Mona A Recording Date : 12/20/2019 Sale Date : 12/19/2019 Sale Price  : $145,000 Total Value : $112,049 Property Tax : $980.54 Land Use : Sfr Lot Acres : 0.08 Stories : 1 Living Area : 1,197 Yr Blt / Eff Yr Blt : 1995 / APN : 107-78-079E Subdivision  : La Corte 11 4511 BUENA LOMA WAY # 5 Distance 0.02 Miles Owner Name : Olson Kirk Gene Recording Date : 04/30/2003 Sale Date : 04/24/2003 Sale Price  : $86,900 Total Value : $118,054 Property Tax : $1,033.04 Land Use : Condominium Lot Acres : 0.06 Stories : 1 Living Area : 1,357 Yr Blt / Eff Yr Blt : 1984 / APN : 107-78-080E Subdivision  : Buena Loma Condo 1775 AVENIDA LA CORTE Distance 0.02 Miles Owner Name : San Pedro Fiduciary Services L Recording Date : 06/18/2004 Sale Date : 06/16/2004 Sale Price  : $129,900 Total Value : $112,445 Property Tax : $984.02 Land Use : Sfr Lot Acres : 0.10 Stories : 1 Living Area : 1,101 Yr Blt / Eff Yr Blt : 2003 / APN : 107-78-079B Subdivision  : La Corte 02 Customer Name : Chantel Cortez Customer Company Name : FIRST AMERICAN TITLE Prepared On : 08/18/2022 © 2022 CoreLogic. All rights reserved

1763 AVENIDA LA CORTE Distance 0.03 Miles Owner Name : Milianta Samuel Recording Date : 00/00/1997 Sale Date : 06/30/1997 Property Tax : $303.98 Total Value : $20,000 Lot Acres : 0.10 Land Use : Residential (nec) APN : 107-78-079A Subdivision  : La Corte 02 4440 BUENA LOMA WAY # A Distance 0.04 Miles Owner Name : Delano Llc Recording Date : 12/07/2018 Sale Date : 12/05/2018 Sale Price  : $120,000 Total Value : $123,974 Property Tax : $1,291.88 Land Use : Duplex Lot Acres : 0.25 Stories : 1 Living Area : 1,884 Yr Blt / Eff Yr Blt : 1984 / APN : 107-78-071 Subdivision  : No 112 Customer Name : Chantel Cortez Customer Company Name : FIRST AMERICAN TITLE Prepared On : 08/18/2022 © 2022 CoreLogic. All rights reserved

Census Tract / block: 17.03 / 2     Year: 2018 Household Population Population by Age Count: 4,326 0 - 11 Estimate Current Year: 3,889 12 - 17 Estimate in 5 Years: 2,540 18 - 24 2.8% Growth Last 5 Years: -0.81% 25 - 64 50.16% Growth Last 10 Years: -113.79% 65 - 74 11.4% 75+ Household Size Household Income Current Year: 1,885 0 - $25,000 14.59% Average Current Year: 2.27 $25,000 - $35,000 7.16% Estimate in 5 Years: 1,463 $35,000 - $50,000 11.94% Growth Last 5 Years: 1.17% $50,000 - $75,000 21.01% Growth Last 10 Years: 6.84% $75,000 - $100,000 15.92% Male Population: 46% Above $100,000 29.39% Female Population: 54% Average Household Income: $70,225 Married People: 55.92% Unmarried People: 44.08% Housing Median Mortgage Payments Home Values Under $300: 11.97% Below $100,000: 10% $300 - $799: 19.51% $100,000 - $150,000: 30.14% $800 - $1,999: 64.3% $150,000 - $200,000: 31.34% Over $2,000: 4.23% $200,000 - $300,000: 26.69% Median Home Value: $166,900 $300,000 - $500,000: 0.85% Unit Occupied Owner: 75.33% Above $500,000: 0.99% Median Mortgage: $1,010 Customer Name : Chantel Cortez Customer Company Name : FIRST AMERICAN TITLE Prepared On : 08/18/2022 © 2022 CoreLogic. All rights reserved

Rent Payments Year Built Unit Occupied Renter: 24.67% 1999 - 2000 Median Gross Rent: $1,141 1995 - 1998 Less Than $499 0% 1990 - 1994 $500 - $749 1.12% 1980 - 1989 13.4% $750 - $999 25.56% 1970 - 1979 4.39% $1000 and Over 73.32% 1900 - 1969 0.67% Education Enrollment Public Pre-Primary School: 1.53% Not Enrolled in School: 72.54% Private Pre-Primary School: 1.58% Not A High School Graduate: 6.94% Public School: 23.02% Graduate Of High School: 15.17% Private School: 4.45% Attended Some College: 34.34% Public College: 6.17% College Graduate: 33.1% Private College: 0.98% Graduate Degree: 10.45% Workforce Occupation: Manager/Prof: 46.12% Private Worker: 51.66% Technical: Government Worker: 38.35% Sales: 27.21% Self Employed Worker: 0% Administrative: Unpaid Family Worker: 7.12% Private House Hold: Farming: 8.04% Service: 13.91% Skilled: Protective Services: Blue-Collar: 12.76% Commute Time Less Than 15 Min: 38.41% 15 min - 28 min: 38.52% 30 min - 57 min: 20.57% Over 60 min: 2.5% Customer Name : Chantel Cortez Customer Company Name : FIRST AMERICAN TITLE Prepared On : 08/18/2022 © 2022 CoreLogic. All rights reserved

Customer Name : Chantel Cortez Customer Company Name : FIRST AMERICAN TITLE Prepared On : 08/18/2022 © 2022 CoreLogic. All rights reserved

Customer Name : Chantel Cortez Customer Company Name : FIRST AMERICAN TITLE Prepared On : 08/18/2022 © 2022 CoreLogic. All rights reserved

Customer Name : Chantel Cortez Customer Company Name : FIRST AMERICAN TITLE Prepared On : 08/18/2022 © 2022 CoreLogic. All rights reserved

05249570321 AIRPORTINT'LTUCSON Air Force WSilverbellRd SSantaRitaRd NMtLemmon Hwy ESascoRd NF38 W Avra Valley Rd E Grand Va ey DrNAguirreRd dRkLNuce dRWNentzNWatermanMountainRd RdAnwayN W El Tiro Rd NTricoRd W Tucker Rd W Rudas l Rd W Manvi e Rd SSanJoaquinRdWBopp Rd W Snyder H l RddRSMarsear W Park Rd W Hermans RdW Hermans Rd W Guy St W Bush Rd SGaveyRd eaCNRinconado SWmoRd SShawRd SSierritaMountainRd SKobRdW TwinButtes Rd W Mcgee Ranch Rd ESstancaDr EDesertDove E Hemlock Dr BNearCanyonRdW E Camino Del Cerro E Fairmount St SSwanRd NFrontageRd W Emigh Rd W Fort Lowe Rd dSPNumptationR E Nona Rd Ch efButteRd Lo al Ave NTricoRd SCattleTankRd Evalyn Rd SOwlHeadRanchRdGasLineRd PSecanRd NTrcoRd W Bayard Rd dRSSandaro WillowSpringsRd N Dove Mountain Blvd SHelvetiaRd WAnamax Mine Rd dRhRiGWacaanc Road424 WRagged Top Rd W Ruby Star Dr WBritten RanchRd W Pima Mine Rd S Mcgee RanchRd E Edw n Rd SGuildRd 80 NKINNEYRD SPICACHOHWYE BAUMGARTNER RD SNANDARIORDNANWAYRD W VALENCIA RD W MOORE RD W INA RD ESN1TAV E SUNRISE DR E SNYDER RDNSILVERBELLRD TRSNOLDIERLE RIVER RDE PRINCE RD E SPEEDWAY BLVD SFREEMANRDE 22ND ST E 22ND ST W IRVINGTON RD SNOGALESHWY W VALENCIA RDSMISSIONRDWSPEEDWAY BLVD SOLDSPANISHTRL W NARANJA DR W TWIN PEAKS RD W PICTURE ROCKS RD W MANVILLE RD SKINNEYRD W MILE WIDE RD E SAHUARITA RD NTRICORD OSSANDARRD PARK LINK DR SOLDNOGALESHWY GUOSHHTONRD ADCSLAANADRW HELMET PEAK RD WAJOHWY RNASNWD RDKOLBS SHOUGHTONRD W TANGERINE RD E GRANT RD SHOUGHTONRD 95 WAJOHWY E VALENCIA RD NORACLERD I-10 I-19 77 77 77 86 86 286 10 19 10 10 Corona de Tucson AdobesCasas Catalina Green Valley Oracle Picture Rocks Three Points VailSummit TanqueVerde SahuaritaTucson Red Rock Saddlebrooke Marana Oro Valley Rillito SummerhavenWillow Canyon Oracle Junction Cortaro Continental Littletown 20 30 13 15 51 39 12 01 01 08 10 16 11 06 PIMA COUNTY School District Information This map is provided for general location only. Please contact school districts for actual street boundaries SCHOOL DISTRICTS 15 AJO UNIFIED 111 N. Well Road, Ajo, AZ 85321 520.387.5618 51 ALTAR VALLEY ELEMENTARY 10105 S. Sasabe Road, Tucson, AZ 85736 520.822.1484 10 AMPHITHEATER UNIFIED 701 W. Wetmore, Tucson, AZ 85705 520.696.5000 16 CATALINA FOOTHILS UNIFIED 2101 E. River Road, Tucson, AZ 85718 520.209.7500 39 CONTINENTAL ELEMENTARY 1991 E. Whitehouse Canyon, Green Valley, AZ 85614 520.625.4581 08 FLOWING WELLS UNIFIED 1556 W. Prince Road, Tucson, AZ 85705 520.696.8800 06 MARANA UNIFIED 11279 W. Grier Road, Marana, AZ 85653 520.682.3243 11 PIMA COUNTY JTED 2855 W. Master Pieces Dr, Tucson, AZ 85741 520.352.5833 30 SAHUARITA UNIFIED 350 W. Sahuarita Road, Sahuarita, AZ 85629 520.625.3502 12 SUNNYSIDE UNIFIED 2238 E. Ginter Road, Tucson, AZ 85706 520.545.2000 13 TANQUE VERDE UNIFIED 2300 N. Tanque Verde Loop, Tucson, AZ 85749 520.749.5751 01 TUCSON UNIFIED 1010 E. 10th Street, Tucson, AZ 85717 520.225.6000 20 VAIL UNIFIED 10701 E. Mary Ann Cleveland Way, Tucson, AZ 85747 520.879.2000 First American Title Insurance Company, and the operating divisions thereof, make no express or implied warranty respecting the information presented and assume no responsibility for errors or omissions. First American, the eagle logo, First American Title, and firstam.com are registered trademarks or trademarks of First American Financial Corporation and/or its affiliates. ©2021 First American Financial Corporation and/or its affiliates. All rights reserved. NYSE: FAF

SchoolsArizona For detailed information and statistics on Arizona schools please go ©2021FirstFirsthttps://azreportcards.azed.gov/toAmericanTitleInsuranceCompany,andtheoperatingdivisionsthereof,makenoexpressorimpliedwarrantyrespectingtheinformationpresentedandassumenoresponsibilityforerrorsoromissions.American,theeaglelogo,FirstAmericanTitle,andfirstam.comareregisteredtrademarksortrademarksofFirstAmericanFinancialCorporationand/oritsaffiliates.FirstAmericanFinancialCorporationand/oritsaffiliates.Allrightsreserved.NYSE:FAF05117910421

+ FIRST AMERICAN TITLE, FC0, CCOR COCHISE, AZ 08/18/2022  11:26AM  NKFE  INVESTIGATIVE SEARCH RESULTS PAGE 1 OF 1 SEARCH PARAMETERS TAXES PROVIDED ARE INFORMATION ONLY - VERIFY STATUS WITH TAX COLLECTOR PARCEL:  107-78-080B PARCEL: 107-78-080B 8 INSTRUMENT REC DATE OWNER: VILLALOBOS YARIZA N     2013 14520 06/24/2013  SITUS: 4511 BUENA LOMA WAY SIERRA VISTA  MAIL: 4511 BUENA LOMA WAY  SIERRA VISTA AZ 85635  LEGAL: BUENA LOMA CONDOS UNIT #2 & UNDIVIDED 1/7TH INT IN COMMON ELEMENTS  CURRENT TAXES INFORMATION THROUGH 10/01/2019 LAND IMPR EXEMPT RATE AREA SPECIAL DISTRICTS PRIMARY  10,274  0  0  9.7543  6830 SECONDARY  2,000  8,274  0  .6663  2021 TOTAL TAX BILLED 899.04 IMPROVEMENTS CONDO TOWNHOUSE  BLDG SQFT  1,068 FULL CASH VALUE  102,744 YEAR BUILT  1984 LAND USE  07 10 NUMBER OF STORIES  1.0 LOT SIZE  0.000 ACRES STORIES HEIGHT  0 SCHOOL DISTRICT  6830 EXTERIOR WALLS  STUCCO LAND FULL CASH VALUE  20,000 GRADE MATERIALS IMPR FULL CASH VALUE  82,744 SALES SALE DATE SALE AMOUNT INSTRUMENT TYPE SELLER NAME VALIDITY 10/28/1992 54,000    1992 25801 WD DEMARTIS FELIX J ADDITIONAL PROPERTY INFORMATION STANDARD LAND USE: CONDOMINIUM END SEARCH

ConditionsCovenants,&Restrictions Thank you for the opportunity to be of service. Restrictions indicating a preference, limitation or discrimination based on race, color, religion, sex, handicap, familial status, or national origin are hereby deleted to the extent such restrictions violate 42 USC 3604(c). This information is furnished without fee and without benefit of a complete title search. No liability is assumed by First American Title or Title Security. If it is desired that liability be assumed, you may apply for a policy of title insurance with First American Title Insurance Company.

to the Title & Escrow Process in Arizona Home Seller’s Guide

Southwest Gas www.swgas.com1.877.860.6020 Cox www.cox.com602.277.1000 Direct TV www.directv.com1.888.777.2454 Dish Network www.dishnetwork.com1.800.823.4929 CenturyLink www.centurylink.com800.366.8201 AT&T www.att.com1.800.222.0300 Verizon www.connecttoverizon.com1.877.300.4498 Salt River Project www.srpnet.com602.236.8888 APS www.aps.com602.371.7171 Your Escrow Number Your New City/State/ZipAddress Real Estate Agent Name Email Assistant Email Company Phone Address Fax Insurance CompanyPrevious Phone Previous Agent No.Policy New Company Phone New Agent No.Policy Home CompanyWarranty No.Policy First American Title Escrow Officer Email Escrow Assistant Email Address Phone City/State/Zip Fax 02 Quick Reference 03 Welcome 04 Benefits of Using a REALTOR ® 05 Key Professionals 06 Preparing Your Home for Sale 07 Staging Your Home for Show 09 Terms You Should Know 10 The Life of an Escrow 11 Closing Costs: Who Pays What 12 The Escrow Process 14 Understanding Title Insurance 16 Consider This 17 Closing Your Escrow 18 Planning Your Move Q uick Reference Table of Contents Utilities and Services

AZ Sellers Guide | 3 Welcome to the home-selling process. Throughout this process, you can count on First American Title to guide you smoothly through your transaction and provide expert answers to your questions. We are happy to serve you. Count on First American Title Count On Us For Service Count On Us For Stability Count On Us For Convenience Count On Us To Meet Your Needs

First American Title’s professionals are proud to provide the title insurance that assures people’s home ownership. Backed by First American Title Insurance Company, your transaction will be expertly completed in accordance with state-specific underwriting standards and state and federal regulatory requirements.

First American Title is the principal subsidiary of First American Financial Corporation, and one of the largest suppliers of title insurance services in the nation. With roots dating back to 1889, we’ve served families for generations. First American Title has a direct office or agent near you, offering convenient locations throughout Arizona. We also have an extensive network of offices and agents throughout the United States, and internationally. First American Financial Corporation offers more than title insurance and escrow services through its subsidiaries. Our subsidiaries also provide property data, title plant records and images, home warranties, property and casualty insurance, and banking, trust and advisory services.

› Knows how to go toe-to-toe in negotiations.

- aware that prospective buyers and bargain hunters will expect you to lower your cost because there’s no REALTOR® involved?

Benefits4 of using a Professional REALTOR

- know how to determine whether or not a buyer can qualify for a loan?

- understand the various types of loans buyers may choose and the advantages and disadvantages for the seller?

Do you...

› Knows how to price your home realistically, to give you the highest price possible within your time frame.

®

› Is experienced with resolving problems to facilitate a successful closing on your home. Only you can determine whether you should attempt to sell your home—probably your largest investment—all alone. Talk with a REALTOR® before you decide. You may find working with a professional is a lot less expensive and much more beneficial than you ever imagined!

- know how to advertise effectively and what the costs will be?

› Is always “on-call,” answering the phone at all hours, and showing homes evenings and weekends.

FOR SALE BY OWNER

- have the knowledge, patience, and sales skills needed to sell your home? - know how to determine your home’s current market value?

› Maintains errors-and-omissions insurance.

› Can advertise effectively for the best results.

- need to hire a real estate attorney? If so, do you know what the cost will be and how much liability they will assume in the transaction?

› Knows how to screen potential buyers and eliminate those who can’t qualify or are looking for bargain-basement prices.

Before you make the decision to try to sell your home alone, consider the benefits a REALTOR ® can provide that you may not be aware of.

- understand the steps of an escrow and what’s required of you and the buyer?

› Understands market conditions and has access to information not available to the average homeowner.

AZ Sellers Guide |

› Is experienced in creating demand for homes and how to show them to advantage.

- aware that every time you leave your home, you are taking it off the market until you return?

- prepared to give up your evenings and weekends to show your home to potential buyers and “just-looking” time wasters?

› Will listen to your needs, respect your opinions and allow you to make your own decisions.

- aware of conditions in the marketplace today that affect value and length of time to sell?

- concerned about having strangers walking through your home?

- have arrangements with an escrow and title company, home warranty company, pest-control service and lender to assist you with the transaction? Are you...

› Can help protect your rights, particularly important with the increasingly complicated real estate laws and regulations.

A REALTOR ® :

Many people believe they can save a considerable amount of money by selling their homes themselves. It may seem like a good idea at the time, but while you may be willing to take on the task, are you qualified? The following are some questions to help you realistically assess what’s involved.

› Can remain objective when presenting offers and counter-offers on your behalf.

- familiar enough with real estate regulations to prepare a binding sales contract? Counter-offers?

An escrow officer leads the facilitation of your escrow, including escrow instructions preparation, document preparation, funds disbursement, and more.

Key Professionals Involved in Your Transaction

ESCROW OFFICER

These are the people who carry out the title search and examination, work with you to eliminate the title exceptions you are not willing to take subject to, and provide the policy of title insurance regarding title to the real property.

REALTOR ®

A real estate agent is licensed by the state to represent parties in the transfer of property. Every REALTOR ® is a real estate agent, but not every real estate agent has the professional designation of a REALTOR.®

The MLS is a database of properties listed for sale by REALTORS ® who are members of the local Association of REALTORS.® Information on an MLS property is available to thousands of REALTORS ® TITLE COMPANY

LISTING AGENT

BUYER'S AGENT

A key role of the listing agent or broker is to form a legal relationship with the homeowner to sell the property and place the property in the Multiple Listing Service.

MULTIPLE LISTING SERVICE (MLS)

REAL ESTATE AGENT

AZ Sellers Guide | 5

A REALTOR ® is a licensed real estate agent and a member of the National Association of REALTORS,® a real estate trade association. REALTORS ® also belong to their state and local Association of REALTORS.®

A key role of the buyer’s agent or broker is to work with the buyer to locate a suitable property and negotiate a successful home purchase.

Make sure the front steps are clear and hazard-free. Make sure the doorbell works properly and has a pleasant sound. Ensure that all exterior lights are working.

If screens or windows are damaged, replace or repair them. Repair or replace worn shutters and other exterior trim.

Shampoo carpeting or replace if worn. Clean tile floors, particularly the caulking.

Make your entry inviting: Paint your front door and buy a new front door mat. Paint or replace the mailbox, if needed.

Mow and edge the lawn regularly, and trim the shrubs.

Air conditioners/heaters, evaporative coolers, hot water heater should be clean, working and inspected if necessary. Replace filters.

Inspect fences, gates and latches. Repair or replace as needed.

Check the pool and/or spa equipment and pumps. Make sure all are working properly and that the pool and/or spa are kept clean.

AZ Sellers Guide | 6

Check stucco walls for cracks and discoloration. Remove any oil and rust stains from the driveway and garage. Clean and organize the garage, and ensure the door is in good working order.

Brighten the appearance inside by painting walls, cleaning windows and window coverings, and removing sunscreens. Repair leaky faucets and caulking in bathtubs and showers. Repair or replace loose knobs on doors and cabinets. If doors stick or squeak, fix them. Make sure toilet seats look new and are firmly attached. Repair or replace loud ventilating fans. Replace worn shower curtains. Rearrange furniture to make rooms appear larger. If possible, remove and/or store excess furniture, and avoid extension cords in plain view. Remove clutter throughout the house. Organize and clean out closets. Clean household appliances and make sure they work properly.

First impressions have a major impact on potential buyers. Try to imagine what potential buyers will see when they approach your house for the first time and walk through each room. Ask your REALTOR ® for advice; they know the marketplace and what helps a home sell. Here are some tips to present your home in a positive manner:

YOURFORPREPARINGSALEHOME

Check that sink and tub are scrubbed and unstained. Make beds with attractive spreads. Stash or throw out newspapers, magazines, junk mail.

If possible you, your pets, and your children should be gone while your home is being Cleanshown.trash cans and put them out of sight.

Keep everything clean. A messy or dirty home will cause prospective buyers to notice every flaw. Clear all clutter from counter tops. Let the light in. Raise shades, open blinds, pull back the curtains and turn on the lights. Get rid of odors such as tobacco, pets, cooking, etc., but don’t overdo air fresheners or potpourri. Fresh baked bread and cinnamon can make a positive impact. Send pets away or secure them away from the house, and be sure to clean up after them. Close the windows to eliminate street noise.

If you must be present while your home is shown, keep noise down. Turn off the TV and radio. Soft, instrumental music is fine, but avoid vocals. Keep the garage door closed and the driveway clear. Park autos and campers away from your home during showings Hang clean attractive guest towels in the bathrooms.

Staging your home for Show To make the best impression, keep your home clean, neat, uncluttered and in good repair. Please review this list prior to each showing:

AZ Sellers Guide | 7

AZ Sellers Guide | 8

AZ Sellers Guide | 9

TRID TILA-RESPA Integrated Disclosures

PITI A payment that includes Principal, Interest, Taxes, and Insurance.

Down payment made by a purchaser of real property as evidence of good faith; a deposit or partial payment. Easement A right, privilege or interest limited to a specific purpose that one party has in the land of another. Endorsement As to a title insurance policy, a rider or attachment forming a part of the insurance policy expanding or limiting coverage. Hazard Insurance Real estate insurance protecting against fire, some natural causes, vandalism, etc., depending upon the policy. Buyer often adds liability insurance and extended coverage for personal property. Impounds A trust type of account established by lenders for the accumulation of borrower’s funds to meet periodic payments of taxes, mortgage insurance premiums and/or future insurance policy premiums, required to protect their security.

Beneficiary

Legal Description

Deed of Trust An instrument used in many states in place of a mortgage. Deed Restrictions Limitations in the deed to a parcel of real property that dictate certain uses that may or may not be made of the real property.

Disbursement Date

Terms You Should Know

The date the amounts are to be disbursed to a buyer and seller in a purchase transaction or the date funds are to be paid to the borrower or a third party in a transaction that is not a purchase transaction.

Generally the date the buyer becomes the legal owner and title insurance becomes effective. Comparable Sales Sales that have similar characteristics as the subject real property, used for analysis in the appraisal. Commonly called “comps.”

The recipient of benefits, often from a deed of trust; usually the lender. Closing Disclosure (CD) Closing Disclosure form designed to provide disclosures that will be helpful to borrowers in understanding all of the costs of the transaction. This form will be given to the consumer three (3) business days before closing. Close of Escrow

Appraisal

Consummation Occurs when the borrower becomes contractually obligated to the creditor on the loan, not, for example, when the borrower becomes contractually obligated to a seller on a real estate transaction. The point in time when a borrower becomes contractually obligated to the creditor on the loan depends on applicable State law. Consummation is not the same as close of escrow or settlement.

Earnest Money Deposit

A description of land recognized by law, based on government surveys, spelling out the exact boundaries of the entire parcel of land. It should so thoroughly identify a parcel of land that it cannot be confused with any other. Lien A form of encumbrance that usually makes a specific parcel of real property the security for the payment of a debt or discharge of an obligation. For example, judgments, taxes, mortgages, deeds of trust. Loan Estimate (LE) Form designed to provide disclosures that will be helpful to borrowers in understanding the key features, costs and risks of the mortgage loan for which they are applying. Initial disclosure to be given to the borrower three (3) business days after application. Mortgage The instrument by which real property is pledged as security for repayment of a loan.

An estimate of value of property resulting from analysis of facts about the property; an opinion of value. Annual Percentage Rate (APR) The borrower’s costs of the loan term expressed as a rate. This is not their interest rate.

Power of Attorney A written instrument whereby a principal gives authority to an agent. The agent acting under such a grant is sometimes called an “Attorney-in-Fact.”

Recording Filing documents affecting real property with the appropriate government agency as a matter of public record. Settlement statement Provides a complete breakdown of costs involved in a real estate transaction.

AZ Sellers Guide | 10 The Life Of An Escrow Chooses a Real Estate Agent Gets pre-approval letter from Lender and provides to Real Estate Agent. Makes offer to purchase. Upon acceptance, opens escrow and deposits earnest money. Finalizes loan application with Lender. Receives a Loan Estimate from Lender. Completes and returns opening package from First American Title. Schedules inspections and evaluates findings. Reviews title BuyerpriorlenderpaperworkProvidespreliminarycommitment/report.allrequestedtoLender(bankstatements,taxreturns,etc.)Allinvoicesandfinalapprovalsshouldbetothenolaterthan10daystoloanconsummation.Lender(orEscrowOfficer)preparesCDanddeliverstoatleast3dayspriortoloanconsummation.Escrowofficerorrealestateagentcontactsthebuyertoschedulesigningappointment.Buyerconsummatesloan,executessettlementdocuments,&depositsfundsviawiretransfer.Documentsarerecordedandthekeysaredelivered! THE BUYER Upon receipt of order and earnest money deposit, orders title examination. Requests necessary information from buyers and sellers via opening packages. Reviews title commitment / preliminary report. Upon receipt of opening packages, orders demands for payoffs. Contacts buyer or seller when additional information is required for the title preliminarycommitment/report. All demands, invoices, and fees must be collected and sent to lender at least 10 days prior to loan

THE ESCROW OFFICER

Chooses a Real Estate Agent Accepts Buyer’s offer to

Coordinatesconsummation.withlender on the preparation of the CD. Reviews all documents, demands, and instructions and prepares settlement statements and any other required documents. Schedules signing appointment and informs buyer of funds due at settlement. Once loan is consummated, sends funding package to lender for review. Prepares recording instructions and submits docs for recording. Documents are recorded and funds are disbursed. Issues final settlement statement.

openingCompletespurchase.andreturnspackagefromFirstAmericanTitle,includinginformationsuchasforwardingaddress,payofflendercontactinformationandloannumbers.Ordersanyworkforinspectionsand/orrepairstobedoneasrequiredbythepurchaseagreement.Escrowofficerorrealestateagentcontactsthesellertoschedulesigningappointment.Documentsarerecordedandallproceedsfromsalearereceived.

THE SELLER Accepts Buyer’s application and begins the qualification process. Provides Buyer with Loan Estimate. Orders and reviews title commitment / preliminary report, property appraisal, credit report, employment and funds verification. Collects information such as title commitment / preliminary report, appraisal, credit report, employment and funds verification. Reviews and requests additional information for final loan Underwritingapproval.reviews loan package for approval. Coordinates with Escrow Officer on the preparation of the Closing Disclosure, which is delivered to Buyer at least 3 days prior to loan documents,UponDeliversconsummation.loandocumentstoescrow.reviewofsignedloanauthorizesloanfunding.

THE LENDER

AZ Sellers Guide | 11 CASH FHA VA CONV 1. Downpayment BUYER BUYER BUYER BUYER 2. Termite (Wood Infestation) Inspection (negotiable except on VA) SELLER 3. Property Inspection (if requested by buyer) BUYER BUYER BUYER BUYER 4. Property Repairs, if any (negotiable) SELLER SELLER SELLER SELLER 5. New Loan Origination Fee (negotiable) BUYER BUYER BUYER 6. Discount Points (negotiable) BUYER BUYER BUYER 7. Credit Report BUYER BUYER BUYER 8. Appraisal or Extension Fee (negotiable) BUYER BUYER BUYER 9. Existing Loan Payoff SELLER SELLER SELLER SELLER 10. Existing Loan Payoff Demand SELLER SELLER SELLER SELLER 11. Loan Prepayment Penalty (if any) SELLER SELLER SELLER SELLER 12. Next Month’s PITI Payment BUYER BUYER BUYER 13. Prepaid Interest (approx. 30 days) BUYER BUYER BUYER 14. Reserve Account Balance (Credit seller / Charge buyer) PRORATE PRORATE PRORATE 15. FHA MIP, VA Funding Fee, PMI Premium BUYER BUYER BUYER 16. Assessments payoff or proration (sewer, paving, etc.) SELLER 17. Taxes PRORATE PRORATE PRORATE PRORATE 18. Tax Impounds BUYER BUYER BUYER 19. Tax Service Contract SELLER SELLER BUYER 20. Fire/Hazard Insurance BUYER BUYER BUYER BUYER 21 Flood Insurance BUYER BUYER BUYER 22. Homeowners Association (HOA) Transfer Fee BUYER or SELLER BUYER or SELLER BUYER or SELLER BUYER or SELLER 23. HOA/Disclosure Fee SELLER SELLER SELLER SELLER 24 Current HOA Payment PRORATE PRORATE PRORATE PRORATE 25. Next Month’s HOA Payment BUYER BUYER BUYER BUYER 26. Home Warranty Premium (negotiable) BUYER or SELLER BUYER or SELLER BUYER or SELLER BUYER or SELLER 27. REALTORS®’ Commissions SELLER SELLER SELLER SELLER 28. EAGLE Homeowners Title Policy SELLER SELLER SELLER SELLER 29. Lenders Title Policy and Endorsements BUYER BUYER BUYER 30. Escrow Fee (NOTE: Charge seller on VA Loan) SPLIT SPLIT SELLER SPLIT 31. Recording Fees (Flat rate) SPLIT SPLIT SPLIT SPLIT 32. Reconveyance/Satisfaction Fee SELLER SELLER SELLER SPLIT 33. Courier/Express Mail Fees SPLIT SPLIT SELLER SPLIT THIS CHART INDICATES WHO CUSTOMARILY PAYS WHAT COSTS Note: Prorated items will appear on Closing Statement as charges for one and credits for the other. Closing Costs: Who Pays What

AZ Sellers Guide | 12

The escrow is the process of having a neutral party manage the exchange of money for real property. The escrow holder is known as an escrow or settlement officer or agent. The buyer deposits funds and the seller deposits a deed with the escrow holder along with all of the other documents required to remove all "contingencies" (conditions and approvals) in the purchase agreement prior to closing.

WHAT IS AN ESCROW?

HOW IS AN ESCROW OPENED?

Once a purchase agreement is signed by all necessary parties, the agent representing the party who will pay the fee selects an escrow holder and the buyer's earnest money deposit and contract are submitted to the escrow holder. From this point, the escrow holder will follow the mutual written instructions of the buyer and seller, maintaining a neutral stance to ensure that neither party has an unfair advantage over the other. The escrow holder also follows the instructions of the Buyer's new lender, the seller's existing lender, and both parties' agents. The escrow holder ensures the transparency of the transaction, while carefully maintaining the privacy of the consumers. Process

The Escrow

Prorate fees, such as real property taxes, per the contract and prepare the settlement statement

Open escrow and deposit good faith funds into an escrow account

Conduct a title search to determine the ownership and title status of the real Reviewpropertythetitle commitment and begin the process of working with you and the title officer to eliminate the title exceptions the buyer and the buyer’s new lender are not willing to take subject to. This includes ordering a payoff demand from your existing lender.

Coordinate with the buyer’s lender on the preparation of the Closing Disclosure (CD)

Set separate appointments allowing the buyer and seller to sign documents and deposit funds

Request funds from buyer and buyer’s new lender

When all funds are deposited and conditions met, record documents with the County Recorder to transfer the real property to the buyer

Review documents and ensure all conditions are fulfilled and certain legal requirements are met

AZ Sellers Guide | 13

After recording is confirmed, close escrow and disburse funds, including proceeds, loan payoffs, tax payments, and more

Prepare and send final documents to all parties Escrow Professional May:

Your

Title insurance provides coverage for certain losses due to defects in the title that, for the most part, occurred prior to your ownership. Title insurance protects against defects such as prior fraud or forgery that might go undetected until after closing and possibly jeopardize your ownership and investment.

AZ Sellers Guide | 14

Understandingrecords.

Title Insurance

WHAT IS TITLE INSURANCE?

Prior to the development of the title industry in the late 1800s, a home-buyer received a grantor’s warranty, attorney’s title opinion, or abstractor’s certificate as assurance of home ownership. The buyer relied on the financial integrity of the grantor, attorney, or abstractor for protection. Today, home-buyers look primarily to title insurance to provide this protection. Title insurance companies are regulated by state statute. They are required to post financial guarantees to ensure that any claims will be paid in a timely fashion. They also must maintain their own “title plants” which house duplicates of recorded deeds, mortgages, plats, and other pertinent county property

The Title Industry & Title Insurance in Brief

WHY IS TITLE INSURANCE NEEDED? You pay for your owner’s title insurance policy only once, at the close of escrow. Who pays for the owner’s policy and loan policy varies depending on local customs.

WHEN IS THE PREMIUM DUE?

Title insurance insures buyers against the risk that they did not acquire marketable title from the seller. It is primarily designed to reduce risk or loss caused by defects in title from the past. A loan policy of title insurance protects the interest of the mortgage lender, while an owner’s policy protects the equity of you, the buyer, for as long as you or your heirs (in certain policies) own the real property.

AZ Sellers Guide | 15 Compare First American’s Eagle Policy® for Owners EAGLE StandardALTAorCLTA Protection from: 1 Someone else owns an interest in your title 2 A document is not properly signed 3 Forgery, fraud, duress in the chain of title 4 Defective recording of any document 5 There are restrictive covenants 6 There is a lien on your title because there is: a) a deed of trust b) a judgement, tax, or special assessment c) a charge by a homeowner’s association 7 Title is unmarketable 8 Mechanics lien 9 Forced removal of a structure because it: a) extends on another property and/or easement b) violates a restriction in Schedule B c) violates an existing zoning law* 10 Cannot use the land for a Single-Family Residence because the use violates a restriction in Schedule B or a zoning ordinance 11 Unrecorded lien by a homeowners association 12 Unrecorded easements 13 Building permit violations* 14 Restrictive covenant violations 15 Post-policy forgery 16 Post-policy encroachment 17 Post-policy damage from extraction of minerals or water 18 Lack of vehicular and pedestrian access 19 Map not consistent with legal description 20 Post-policy adverse possession Compare First American’s Eagle Policy® for Owners EAGLE StandardALTAorCLTA 21 Post-policy prescriptive easement 22 Covenant violation resulting in your title reverting to a previous owner 23 Violation of building setback regulations 24 Discriminatory covenants Other benefits: 25 Pays rent for substitute land or facilities 26 Rights under unrecorded leases 27 Plain language statements of policy coverage and restrictions 28 Compliance with Subdivision Map Act 29 Coverage for boundary wall or fence encroachment* 30 Added ownership coverage leads to enhanced marketability 31 Insurance coverage for a lifetime 32 Post-policy inflation coverage with automatic increase in value up to 150% over five years 33 Post-policy Living Trust coverage * Deductible and maximum limits apply. Not available to investors on 1- to 4-unit residential properties. Coverage may vary based on an individual policy. As with any insurance contract, the insuring provisions express the coverage afforded by the title insurance policy and there are exceptions, exclusions and conditions to coverage that limit or narrow the coverage afforded by the policy. Also, some cov erage may not be available in a particular area or transaction due to legal, regulatory, or underwriting considerations. Please contact a First American representative for further information. The services described above are typical basic services. The services provided to you may be different due to the specifics of your transaction or the location of the real property involved.

AZ Sellers Guide | 16 Consider This

One escrow transaction could involve more than 20 individuals, including real estate agents, buyers, sellers, attorneys, escrow officer, escrow technician, title officer, loan officer, loan processor, loan underwriter, home inspector, termite inspector, insurance agent, home warranty representative, contractor, roofer, plumber, pool service, and so on. And often, one transaction depends on another. When you consider the number of people involved, you can imagine the opportunities for delays and mishaps. Your experienced escrow team can’t prevent unforeseen problems from arising; however, they can help smooth out the process.

WHAT HAPPENS NEXT?

You will need valid identification with your photo I.D. on it when you sign documents that need to be notarized (such as a deed). A driver's license is preferred. You will also be asked to provide your social security number for tax reporting purposes, and a forwarding address.

The escrow holder is obligated by law to have the designated amount of money before releasing any funds. If you have questions or foresee a problem, let your escrow holder know immediately.

The escrow holder will contact you or your agent to schedule a closing or signing appointment. In some states, this is the "close of escrow." In some others, the close of escrow is either the day the documents record or that funds are disbursed. Ask your escrow holder if you would like clarification about your state's laws. You will have a chance to review the settlement statement and supporting documentation. This is your opportunity to ask questions and clarify terms. You should review the settlement statement carefully and report discrepancies to the escrow officer. This includes any payments that may have been missed. You are responsible for all charges incurred even if overlooked by the escrow holder, so it's better to bring these to their attention before closing.

THE CLOSING OR SIGNING APPOINTMENT

DON'T FORGET YOUR IDENTIFICATION

THE CLOSING DISCLOSURE

AZ Sellers Guide | 17

If the buyer is obtaining a new loan, the buyer’s signed loan documents will be returned to the lender for review. The escrow holder will ensure that all contract conditions have been met and will ask the lender to "fund the loan." If the loan documents are satisfactory, the lender will send funds directly to the escrow holder. When the loan funds are received, the escrow holder will verify that all necessary funds are in. Escrow funds will be disbursed to the seller and other appropriate payees. Then, the REALTOR® will present the keys to the property to the buyer. Escrow

*For purposes of the Closing Disclosure“business day” is defined as every day except Sundays and Federal legal holidays.

Closing Your

Once the loan is approved and all invoices and paperwork have been provided, the lender and escrow officer will collaborate on the preparation of the Closing Disclosure (CD). In order to close on time, all paperwork and invoices should be submitted at least 10 days prior to the expected close of escrow date. The borrower must receive the CD at least three days* prior to consummation of the loan (typically the signing date). The escrow officer will also prepare an estimated settlement statement and inform the buyer of the balance of the down payment and closing costs needed to close escrow.

Change of address

. Visit USPS for change of address form.

Borrowed and rented items. Return items which you may have borrowed or rented. Collect items borrowed to others. ONE WEEK BEFORE: Plan your itinerary

. Once the house is empty, check the entire house (closets, the attic, basement, etc) to ensure no items are left or no home issues exist. Sign the bill of lading

Vacate your home

Planning your move

Start packing. Begin packing for your new location.

Cancel services. Notify any remaining service providers (newspapers, lawn services, etc) of your move.

AZ Sellers Guide | 18

MOVINGReviewDAY:thehouse

. Once your satisfied with the mover’s packing your items into the truck, sign the bill of lading. If possible, accompany your mover while the moving truck is being weighed. Double check with your mover

. Make plans to spend the entire day at the house or at least until the movers are on their way. Someone will need to be around to make decisions. Make plans for kids and pets to be at the sitters for the day.

Travel items. Set aside items you’ll need while traveling and those needed until your new home is established. Make sure these are not packed in the moving truck! Scan your furniture

. Check furniture for scratches and dents before so you can compare notes with your mover on moving day. Prepare Floor Plan

. Make sure utilities are off, doors and windows are locked and notify your real estate agent you’ve left the property.

Service automobiles If automobiles will be driven long distances, you’ll want to have them serviced for a trouble-free drive.

FOUR WEEKS BEFORE: Contact utility companies Set utility turnoff date, seek refunds and deposits and notify them of your new address. Obtain your medical records. Contact your doctors, physicians, dentists and other medical specialists who may currently be retaining any of your family’s medical records. obtain these records or make plans for them to be delivered to your new medical facilities. Note food inventory levels Check your cupboards, refrigerator and freezer to use up as much of your perishable food as possible. Service small engines for your move by extracting gas and oil from the machines. This will reduce the chance to catch fire during your move. Protect jewelry and valuables. Transfer jewelry and valuables to safety deposit box so they can not be lost or stolen during your move.

. Make sure your mover has the new address and your contact information should they have any questions during your move.

. Prepare floor plan for your new home. This will help avoid confusion for you and your movers.

Bank accounts Notify bank of address change. Make sure to have a money order for paying the moving company if you are transferring or closing accounts.

SIX WEEKS BEFORE: Create an inventory sheet of items to move. Research moving options You’ll need to decide if yours is a do-it-yourself move or if you’ll be using a moving company. Request moving quotes Solicit moving quotes from as many moving companies and movers as possible. There can be a large difference between rates and services within moving companies. Discard unnecessary items Moving is a great time for ridding yourself of unnecessary items. Have a yard sale or donate unnecessary items to charity. Packing materials. Gather moving boxes and packing materials for your move. Contact insurance companies. (Life, Health, Fire, Auto) You’ll need to contact your insurance agent to cancel/transfer your insurance policy. Do not cancel your insurance policy until you have and closed escrow on the sale. Seek employer benefits. If your move is work-related, your employer may provide funding for moving expenses. Your human resources rep should have information on this policy. Changing Schools. If changing schools, contact new school for registration process.

AZ Sellers Guide | 19 Your Notes:

AZ Sellers Guide | 20 Your Notes:

AZ Sellers Guide | 21 Your Notes:

1 4 3 2 6 12 10 5 8 7 11 9 CRISMON BUTTESIGNAL GOLDFIELD OLDWESTHWY SKINGSRANCH 14 17 15 13 16 ArizonaCentral First American Title Branch Locator 1 SUN CITY WES T 13940623.299.3644W.Meeker Blvd., #119 Sun City West, AZ 85375 N of Meeker Blvd W of R.H. Johnson 2 GOODYEAR 1626623.936.8001N.Litchfield Rd. Ste. #170 Goodyear, AZ 85395 NW corner of McDowell & Litchfield 3 ARROWHEAD 16165623.487.0404N.83rd Ave , #100 Peoria, AZ 85382 S of Bell/E side of 83rd Ave 4 THE LEGENDS 20241623.537.1608N.67th Ave , #A-2 Glendale, AZ 85308 E side 67th Ave/N of 101 5 ANTHEM 39508623.551.3265N.Daisy Mountain Dr., #128 Anthem, AZ 85086 NE corner Daisy Mtn Dr/ Gavilan Peak Pkwy 6 BILTMORE 3200602.954.3644ECamelback Rd., #123 Phoenix, AZ 85018 NE Corner of Camelback/32nd Street 7 TATUM RIDGE 480.515 4369 11211 N Tatum Blvd, #A150 Phoenix, AZ 85028 N of Shea, E side of Tatum 8 CAREFREE 7202480.575.6609E.Carefree Dr , Bldg 1, #1 Carefree, AZ 85377 NE corner of Tom Darlington/ Carefree Dr. 9 KIERLAND COMMONS 14648480.948.6488NScottsdale Rd., Ste. #100 Scottsdale, AZ 85254 W of Scottsdale Road, S side of Greenway 10 SCOTTSDALE FORUM 6263480.551.0480N.Scottsdale Rd., #110 Scottsdale, AZ 85250 E Side Scottsdale/S of Lincoln 11 DC CROSSING 18291480.563.9034N.Pima Rd , #145 Scottsdale, AZ 85255 SE corner of Pima/Legacy 12 AHWATUKEE 4435480.753.4424E.Chandler Blvd , #100 Phoenix, AZ 85048 SW corner Chandler/45th St. 13 CHANDLER PORTICO 2121480.777.0051W.Chandler Blvd., #215 Chandler, AZ 85224 SW Corner Chandler Blvd./ Dobson Rd. 14 GILBERT SAN TAN 1528480.777.0614E.Williams Field Rd., #101 Gilbert, AZ 85295 NW corner of Williams Field Rd./ Val Vista Rd. 15 MESA 1630480.401.3738S.Stapley Dr., #123 Mesa, AZ 85204 N of Baseline / W of Stapley 16 RED MOUNTAIN 1135480.534.3599N.Recker Rd., #103 Mesa, AZ 85205 SE corner of Recker & Brown 17 GOLD CANYON 6877480.288.0883SouthKings Ranch Rd., #5 Gold Canyon, AZ 85118 E of South60/Side Kings Ranch Rd. AZ Sellers Guide | 22

1 MAIN OFFICE 520.885.1600 | Fax 520.885.2309 6390 E. Tanque Verde Rd. Tucson, AZ 85715 2 BROADWAY 520.747.1644 | Fax 520.747.1403 3777 E. Broadway Blvd., Ste. 220 Tucson, AZ 85716 3 CAMBRIC 520.577.8707 | Fax 520.529.5034 1840 E. River Rd., Ste. 200 Tucson, AZ 85718 4 CASA GRANDE 520.426.4600 | Fax 520.426.4699 421 E. Cottonwood Ln. Casa Grande, AZ 85122 5 CASAS ADOBES 520.575.1900 | Fax 520.432.0168 6760 N. Oracle Rd., Ste. 100B Tucson, AZ 85704 6 FOOTHILLS 520.299.4606 | Fax 520.577.6993 6262 N Swan Road, Suite 205 Tucson, AZ 85718 7 GREEN VALLEY 520.625.1095 | Fax 520.958.9663 190 W. Continental Rd., Ste. 226 Green Valley, AZ 85622 8 ORO VALLEY/LA CANADA 520.877.9200 | Fax 520.202.6348 11165 N. La Canada Dr., Ste. 143 Oro Valley, AZ 85737 9 ORO VALLEY/ORACLE 520.229.9194 | 520.297.2576 Fax 520.229.9210 | 520.742.5866 8500 N. Oracle Rd., Ste 100 Oro Valley, AZ 85704 10 RITA ROAD 520.618.7790 | Fax 520.901.1720 10222 East Rita Rd., Ste. 190 Tucson, AZ 85747 11 RIVER 520.529.1944 | Fax 520.615.2945 1650 E. River Rd., Ste. 105 Tucson, AZ 85718 12 SKYLINE 520.529.0506 | Fax 520.529.8998 2890 E. Skyline Dr., Ste. 200 Tucson, AZ 85718 13 TANQUE VERDE 520.202.2626 | Fax 520.495.6151 7479 E. Tanque Verde Tucson, AZ 85715 AIRPORTINT'LTUCSON Air Force WSilverbellRd SSantaRitaRd NMtLemmon Hwy ESascoRd W Avra Valley Rd E G and Va ey DrNAguirreRd dRkLNucet dRWNentzNWatermanMountainRd RdAnwayN W El Tiro Rd NTricoRd W Tucke Rd W Rudasi Rd W Manv l e Rd SSanJoaquinRdWBopp Rd W Snyder H RddRSMarstear W Park Rd W Hermans RdW He mans Rd W Guy St W Bush Rd SGarveyRd eaCNlRinconado SWimotRd SShawRd SSierritaMountainRd SKobRdW Tw nButtes Rd W Mcgee Ranch Rd ESstanca BNearCanyonRdW E Cam no De Cerro E Fairmount St SSwanRd NFrontageRd W Emigh Rd W Fort Lowe Rd dSPNumptationR Cont nental Ave NTricoRd SOwlHeadGasLineRd NTricoRd W Bayard Rd dRSSandaro N Dove Mountain Blvd SHelvetiaRd WAnamax Mine Rd dRhRiGWarcaanc Road424 WRagged Top Rd W Ruby S a Dr WBritten RanchRd W Pima Mine Rd ellRdS S Mcgee RanchRd E Edw n Rd 80 NKINNEYRDSNANDARIORDNANWAYRD W VALENCIA RD W MOORE RD W INA RD ESN1TAV E SUNRISE DR E SNYDER RDNSILVERBELLRD TRSNOLDIERLE RIVER RDE PRINCE RD E SPEEDWAY BLVD SFREEMANRDE 22ND ST E 22ND ST W IRVINGTON RD SNOGALESHWY W VALENCIA RDSMISSIONRDWSPEEDWAY BLVD SOLDSPANISHTRL W NARANJA DR W TWIN PEAKS RD W PICTURE ROCKS RD W MANVILLE RD SKINNEYRD W MILE WIDE RD E SAHUARITA RD NTRICORD OSSANDARIRD SOLDNOGALESHWY GUOSHHTONRD ADCSLAANADRW HELMET PEAK RD WAJOHWY RNASNWD RDKOLBS SHOUGHTONRD W TANGERINE RD E GRANT RD SHOUGHTONRD 95 WAJOHWY E VALENCIA RD NORACLERD I-10 I-19 77 77 86 86 286 19 10 10 Corona de Tucson AdobesCasas Catalina Green Valley Picture Rocks Three Points VailSummit TanqueVerde SahuaritaTucson Saddlebrooke Marana Oro Valley Rillito SummerhavenWillow Canyon Oracle Junction Cortaro Continental Littletown 2 3758 9 10 11 13 12 6 1 SouthernArizona First American Title Branch Locator AIRPORTINT'LTUCSON Air Force FreemanRd WSilverbellRd NMtLemmon Hwy ESascoRd NF38 W Avra Val ey Rd WSCuryRdHanna Rd E Grand Va ey D W Houser Rd W Ph ps Rd E Co nman Rd NAguirreRd dRkLNucet dRWNentzNWatermanMountainRd RdAnwayN W El Tiro Rd NTricoRd W Tucke Rd W Rudas Rd W Manv e Rd SSanJoaquinRdWBopp Rd W Snyde H RddRlSMarsear W Pa k Rd W He mans RdW Hermans Rd W Guy St W Bush Rd SGaveyRd eaCNllRinconado SWimotRd SShawRd SSierritaMountainRd boRdRd W Woodru Rd ONveriedRd W Rando ph Rd W BartlettNRdLaPamaRdNTweedyRd E Randolph Rd W Kleck Rd E K eck Rd W Se ma Hwy STrekellRd SHennessRd E Selma Hwy W Co nman Rd W Pretzer Rd SLambRd SLaPalmaRd E M gan Rd E M gan Rd W A es Dr E Curtis Rd ESsancaDr EDesertDove HearthRd E Hemlock Dr BNearCanyonRdW E Cam no De Cerro E Fairmount St SSwanRd NFrontageRd W Emigh Rd GoffRanchRd NBarkervilleRd W Fort Lowe Rd dSPNumpationR E Nona Rd Ch efButteRd LovettaRd E Hanna Rd TecoloteRanchRd FlorenceRdRomeroRd Con nenta Ave BIA 30 NTricoRd SSunandGnRd SCattleTankRd E E s Rd E Hotts Rd E Nutt Rd Evalyn Rd SOwlHeadRanchRdGasLineRd PSecanRd I on Va ey RdEDeepWellRanchRd SNighSkySt SBadyPumpRdE Houser Rd E Ar ca Rd W Ea ey Rd NTrcoRd W Baya d Rd dRSSandario WillowSpringsRd EHelmwheel Ranch Rd N Dove Mounta n Blvd BIA-35 dRhRiGWarcaanc E Dese H s Rd WRagged Top Rd W Pima Mine Rd WSilverbellRdS E Edw n Rd BIA34 SGuildRd 80 NKINNEYRD SPICACHOHWYE GREENE RESERVOIR RD SSUNLANDGINRD W BATTAGLIA DR AZ-84 E BAUMGARTNER RD SSUNSHINEBLVD SNANDARIORDNANWAYRD E HARMON RD W VALENCIA RD E RODEO RD W MOORE RD W INA RD ESN1TAV E SUNRISE DR E SNYDER RDNSILVERBELLRD TRSNOLDIERLE RIVER RDE PRINCE RD E SPEEDWAY BLVD SFREEMANRDE 22ND ST E 22ND ST W IRV NGTON RD SNOGALESHWY W VALENC A RDSMISSIONRDWSPEEDWAY BLVD SOLDSPANISHTRL W NARANJA DR W TW N PEAKS RD W P CTURE ROCKS RD W MANVILLE RD SKINNEYRD W MILE WIDE RD E SAHUAR TA RD W HARMON RD W MCCARTNEY RD NTRICORD OSSANDARRD PARK LINK DR GUOSHHTONRD ADDR E MART N RD STHORNTONRD W HELMET PEAK RD SCHUICHURD WAJOHWY RNASNWD RDKOLBS SHOUGHTONRD W TANGER NE RD E GRANT RD SHOUGHTONRD NPINALAVE 95 WAJOHWY E VALENCIA RD NORACLERD I10 I-19 I8 77 77 79 77 77 87 86 86 387 287 86 10 19 8 10 10 10 La Palma Chuichu Arizona City Corona de Tucson AdobesCasas Catalina OracleDudleyvilleGrandeCasa Picture Rocks Three Points VailSummit TanqueVerde Eloy SahuaritaTucson Cactus Forest Picacho Red Rock Saddlebrooke Marana Oro Valley HaivanaNakya Rillito SummerhavenWillow Canyon Randolph Toltec Oracle Junction Cortaro Schuchk Littletown 2 4 385 9 10 11 13 12 6 1 AIRPORTINT'LTUCSON Air Force WSilverbellRd SSantaRitaRd NMtLemmon Hwy W Avra Valley Rd guirreRd dRkLNucet dRWNenzNWatermanMountainRd RdAnwayN W El Tiro Rd NTricoRd W Tucke Rd W Rudas Rd W Manv e Rd SSanJoaquinRdWBopp Rd W Snyder H RddRlSMarsear W Park Rd W Hermans RdW He mans Rd W Guy St W Bush Rd SGarveyRd eaCNlRnconado SWmoRd SShawRd SSierritaMountainRd SKobRdW TwinButtes Rd W Mcgee Ranch Rd BNearCanyonRdW E Cam no De Cerro E Fairmount St SSwanRd NFrontageRd W Emigh Rd W Fort Lowel Rd dSPNumptationR NNTricoRdTcoRd W Baya d Rd dRSSandaro N Dove Mountain Blvd SHelvetiaRd WAnamax M ne Rd dRhRiGWacaanc Road424 ed Top Rd W Ruby S ar D WBritten RanchRd W Pima Mine Rd S Mcgee RanchRd 80 NKINNEYRDSNANDARIORDNANWAYRD W VALENC A RD W MOORE RD W INA RD ESN1TAV E SUNR SE DR E SNYDER RDNSILVERBELLRD TRSNOLDIERLE RIVER RDE PRINCE RD E SPEEDWAY BLVD SFREEMANRDE 22ND ST E 22ND ST W IRV NGTON RD SNOGALESHWY W VALENCIA RDSMISSIONRDWSPEEDWAY BLVD SOLDSPANISHTRL W NARANJA DR W TW N PEAKS RD W P CTURE ROCKS RD W MANVILLE RD SKINNEYRD W MILE WIDE RD E SAHUARITA RD NTRICORD OSSANDARIRD SOLDNOGALESHWY GUOSHHTONRD ADCSLAANADRW HELMET PEAK RD WAJOHWY RNASNWD RDKOLBS SHOUGHTONRD W TANGERINE RD E GRANT RD SHOUGHTONRD 95 WAJOHWY E VALENCIA RD NORACLERD I-19 77 77 86 86 286 19 10 10 Corona de Tucson AdobesCasas Catalina Green Valley Picture Rocks Three Points VailSummit TanqueVerde SahuaritaTucson Marana Oro Valley Rillito SummerhavenWillow Canyon Cortaro Continental Littletown 2 3758 9 10 11 13 12 6 1 AZ Sellers Guide | 23

05110280522 For more information please contact your First American representative. www.firstam.com First American Title Insurance Company, and the operating divisions thereof, make no express or implied warranty respecting the information presented and assume no responsibility for errors or omissions. First American, the eagle logo, First American Title, and firstam.com are registered trademarks or trademarks of First American Financial Corporation and/or its affiliates. ©2022 First American Financial Corporation and/or its affiliates. All rights reserved. NYSE: FAF

Turn static files into dynamic content formats.

Create a flipbook
Issuu converts static files into: digital portfolios, online yearbooks, online catalogs, digital photo albums and more. Sign up and create your flipbook.