Digital Homebook 1965 N Fountain Park Dr

Page 1

1965NFountainParkDr Tucson,AZ85715

Client Date Client Date

VERIFY AND NOTIFY

Immediately notify your banking institution and Settlement/Title Company if you are a victim of wire fraud.

The National White Collar Crime Center @ http://www.nw3c.org/research On Guard Online @ www.onguardonline.gov

WIRE FRAUD ADVISORY

Criminals are targeting social media and email to steal information. This is particularly common in real estate transactions because sensitive data, including social security numbers, bank account numbers, and wire instructions are often sent by electronic means. We do not want you to be the next victim of wire fraud. Money wired to a fraudulent account is stolen money that typically cannot be recovered. Additionally, there is generally no insurance for this loss. You may never get the money back.

• If you receive an email containing wire transfer instructions, immediately call your escrow officer to ensure the validity of the instructions.

Before you wire funds to any party (including your lawyer, title agent, mortgage broker, or real estate agent) personally meet them or call a verified telephone number (not the telephone number in the email) to confirm before you act!

There are many online sources that can provide useful information regarding similar topics including, but not limited to, the following sites:

PROTECT YOURSELF

• It is imperative that this call be made to a number obtained in person from the individual or through other reliable means, not from a number provided in the email or the wiring instructions

The undersigned acknowledges receipt of this Wire Fraud Advisory.

TRUST YOUR SOURCE OF INFORMATION

• If you receive an email requesting personal/financial information or asking you to download, click on a link, send, and/or do anything that may seem unusual to you, call your escrow officer immediately prior to acting on the suspicious email to verify the validity of the email.

ONLINE RESOURCES:

DO NOT TRUST EMAILS SEEKING PERSONAL/FINANCIAL INFORMATION

The Federal Bureau of Investigation @ https://www.fbi.gov/scams and safety

The Internet Crime Complaint Center @ www.ic3.gov

• Never direct, accept or allow anyone in the transaction to consent to receiving transfer instructions without a direct personal telephone call to the individual allegedly providing the instructions.

DO NOT TRUST EMAILS CONTAINING WIRE INSTRUCTIONS

IMPORTANT -- PLEASE READ CAREFULLY:

This report is not an insured product or service or a representation of the condition of title to real property. It is not an abst ract, legal opinion, opinion of title, title insurance commitment or preliminary report, or any form of Title Insurance or Guaranty. This report is issued exclusively for the benefit of the Applicant therefor and may not be used or relied upon by any other person. This report may not be reproduced in any manner without First American or Title Security's prior written consent. First American or Title Security does not represent or warrant that the information herein is complete or free from error, and the information herein is provided without any warranties of any kind, as-is, and with all faults. As a material part of the consideration given in exchange for the issuance of this report, recipient agrees that First American or Title Security's sole liability for any loss or damage caused by an error or omission due to inaccurate information or negligence in preparing this report shall be limited to the fee charged for the report. Recipient accepts this report with this limitation and agrees that First American or Title Security would not have issued this report but for the limitation of liability described above. First American or Title Security makes no representation or warranty as to the legality or propriety of recipient's use of the information herein.

LIMITATION OF LIABILITY FOR INFORMATIONAL REPORTS

First

Subject Property 1965 N Fountain Park Dr APN:AZTucson85715133-04-3100

Data Provided By: American Title Ins Co

© 2022 CoreLogic. All rights reserved

First

Disclaimer

This REiSource report is provided "as is" without warranty of any kind, either express or implied, including without limitations any warrantees of merchantability or fitness for a particular purpose. There is no representation of warranty that this information is complete or free from error, and the provider does not assume, and expressly disclaims, any liability to any person or entity for loss or damage caused by errors or omissions in this REiSource report without a title insurance policy.

The information contained in the REiSource report is delivered from your Title Company, who reminds you that you have the right as a consumer to compare fees and serviced levels for Title, Escrow, and all other services associated with property ownership, and to select providers accordingly. Your home is the largest investment you will make in your lifetime and you should demand the very best.

© 2022 CoreLogic. All rights reserved

Data Provided By: American Title Ins Co

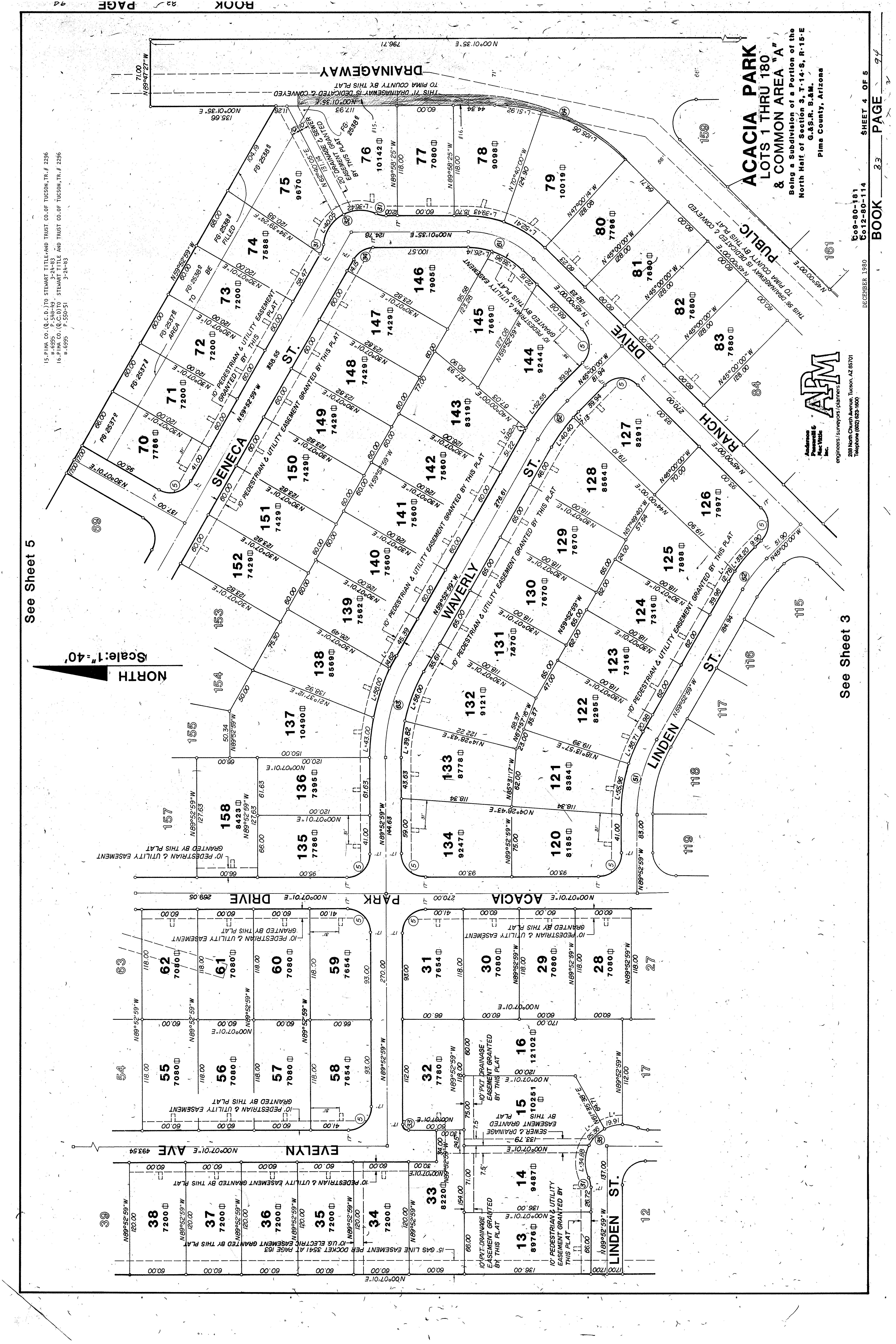
Legal Lot : 60

Legal Description : Acacia Park Lot 60

Owner Information

Last Market Sale Information

Customer Name : Chantel Cortez

Owner Transfer Information

Recording/Sale Date : 07/29/2016 / 07/29/2016

Prior Sale Price : $155,000

Prior Deed Type : Warranty Deed

APN : 133-04-3100

Lender : Wells Fargo Bk Na

Location Information

Map Reference : 03-14S-15E

Subject Property :   1965 N Fountain Park Dr Tucson AZ 85715

1st Mtg Term : 30

Prior 1st Mtg Amt/Type : $65,000 / Conv

Legal Book/Page : 33-94

Vesting Codes : / / Joint Tenants

Title Company : Title Security Inc

Document # : 590148

Deed Type : Warranty Deed Price Per SqFt : $87.35

Owner OccupiedIndicator : A

Prior Doc Number : 12334-6327

Deed Type : Joint Tenancy Deed

Census Tract / Block : 40.47 / 1 Subdivision : Acacia Park

Prior Sale Information

Prior 1st Mtg Rate/Type : / Fixed Rate Loan

Seller Name : Switzer Maxine B

Owner Name : Potter John C / Potter Sherry A

School District : Tucson Unified

Document # : 2110578

Prior Rec/Sale Date : 06/30/2004 / 06/25/2004

Prior Lender : Nova Fin'l & Inv Corp

Customer Company Name : FIRST AMERICAN TITLE Prepared On : 09/19/2022 CoreLogic.

County : Pima, Az

Township-Range- Sect : 14S-15E-3

Recording/Sale Date : 02/28/2012 / 02/27/2012 1st Mtg Amount/Type : $62,000 / Cnv

© 2022

Munic/Township : Tucson Unified

Market Area : 91

Mailing Address : 2885 N Wentworth Rd, Tucson AZ 85749-9235 R034

Sale Price : $125,000 1st Mtg Document # : 590149

All rights reserved

Total TaxableValue : $16,556

Property Information

County Use : Single Fam Resurban Subd

Assessed Year : 2021

Customer Company Name : FIRST AMERICAN TITLE Prepared On : 09/19/2022

State Use : Single Fam Resurban Subd

Market Value : $171,698

Roof Material : Built-up Air Cond : Refrigeration

Property Characteristics

Lot Size : 7,359

Total Value : $171,698

Tax Information

© 2022 CoreLogic. All rights reserved

Current YearValue :Land $50

Heat Type : Forced Air Quality : Fair

Cooling Type : Forced Air Condition : Excellent

Total Rooms : 5

Capacity :Garage 2

Parking Type : Garage

Living Area : 1,431

Tax Year : 2021 Current AssessedYear : 2023

Land Use : Sfr

Tax Rate Area : 0150 Current ImprovementYearValue : $22,228

# of Stories : 1

Exterior wall : Stucco Bath Fixtures : 7

Customer Name : Chantel Cortez

Patio Type : Covered Patio

Year Built / Eff : 1983

Zoning : R-2

Property Tax : $2,130.72 Current YearValue :Total $22,278

Gross Area : 1,431

Lot Acres : 0.17

Year Built 1983 1970 2017 1987

of Comparables

Stories 1 1 1 1

1 8892 E LavenderDesertPl 335,000 190,130 04/20/2022 2 1,218 6,533 1996 0.11 R-1

Total Assessed Value $171,698 $134,492 $241,901 $181,309

S 1965 N Fountain Park Dr 125,000 171,698 02/28/2012 3 1,431 7,359 1983 R-2

6 8866 E Desert Lily Pl 365,000 197,152 06/15/2022 3 1,483 6,146 1998 0.18 R-1

7 8972 E SchoolWrightLoop 375,000 241,901 12/03/2021 2 1,552 4,946 2017 0.28

8 8956 E SchoolWrightLoop 385,000 241,901 10/20/2021 2 1,552 4,950 2017 0.28

10 8798 E Corte Caida Del Sol 406,000 200,665 10/15/2021 3 1,493 6,350 2003 0.34 R-1

Bldg/Living Area 1431 1218 1599 1429

Sale Price $125,000 $250,000 $406,000 $332,245

Lot Size 7,359 4,946 10,722 7,516 3 2 3 2

Summary

Address Sale Price TotalValueAssessed Sale Date Bed Bath Living Area Lot Size YearBuilt (Miles)Dist Zoning

3 8868 E LavenderDesertPl 311,000 191,428 12/03/2021 2 1,433 5,523 1996 0.14 R-1

9 8928 E SchoolWrightLoop 374,900 230,833 12/23/2021 2 1,457 4,949 2016 0.3

Criteria Subject Property Low High Average

Customer Name : Chantel Cortez Customer Company Name : FIRST AMERICAN TITLE Prepared On : 09/19/2022 © 2022 CoreLogic. All rights reserved

BathroomsBedrooms

Price Per Square Foot $87.35 $164 $275 $233.37

Distance From Subject 0 0.11 0.68 0.39

5 1761 N Ranch Dr 325,000 175,755 02/14/2022 3 1,486 9,080 1982 0.16 R-2

2 1817 N Evelyn Ave 335,000 165,946 12/03/2021 2 1,401 7,103 1981 0.13 R-2

4 1872 N Ranch Dr 290,000 171,698 07/07/2022 3 1,431 8,035 1983 0.15 R-2

#

Sales Analysis

© 2022 CoreLogic. All rights reserved

16 8545 E Calle Bolivar 340,000 151,515 04/29/2022 2 1,528 8,319 1970 0.6 R-1

20 9243 E Calle Kuehn 250,000 175,591 07/01/2022 2 1,525 9,393 1971 0.68 R-1

11 8748 E Corte Del Sol Bonito 342,000 200,665 10/06/2021 3 1,493 7,091 2003 0.43 R-1

Prepared

Company Name :

Customer FIRST AMERICAN TITLE On : 09/19/2022

Customer Chantel Cortez

19 9135 E Calle Kuehn 295,000 161,884 11/15/2021 2 1,290 7,920 1985 0.61 R-1

Name :

14 9125 E CascadaCalle 389,000 178,836 10/04/2021 2 1,536 7,363 1971 0.55 R-1

17 1341 N Camino Seco 283,000 147,629 11/12/2021 2 1,390 8,125 1970 0.6 R-1

12 8611 E BogotaCalle 318,000 153,946 06/24/2022 2 1,267 10,556 1970 0.48 R-1

13 8551 E Lee Pl 296,000 134,492 08/03/2022 2 1,225 10,722 1971 0.54 R-1

15 9142 E CascadaCalle 325,000 150,404 02/22/2022 2 1,225 8,122 1971 0.59 R-1

18 9102 E Calle Kuehn 305,000 163,800 05/02/2022 2 1,599 9,095 1971 0.61 R-1

Distressed Sales =

Map Customer Name : Chantel Cortez Customer Company Name : FIRST AMERICAN TITLE Prepared On : 09/19/2022 © 2022 CoreLogic. All rights reserved

Owner Name: Potter John C /Potter Sherry A APN / Alternate APN: 133-04-3100 / Deed Type: Warranty Deed Land Use: Sfr Subdivision / Tract: Acacia Park / Lot Size: 7,359 Year Built / Eff: 1983 / Rec. Date / Price: 02/28/2012 / $125,000 Living Area: 1,431 # of units: Document #: 590148

Bedrooms: Pool:

Year Built / Eff: 1981 / Rec. Date / Price: 12/03/2021 / $335,000 Living Area: 1,401 # of units: Document #: 3370287

#4   1872 N Ranch Dr Tucson Az 85715

Owner Name: Laszakovits Brian / APN / Alternate APN: 133-05-2500 / Deed Type: Warranty Deed Land Use: Sfr Subdivision / Tract: Pantano Ranch / Lot Size: 5,523

Land Use: Sfr Subdivision / Tract: Acacia Park / Lot Size: 8,035

Bedrooms: Pool: Pool Total Tax Value: $190,130 Bath(F/H): /

Document #: 1880134

All rights reserved

Subject Property: 1965 N Fountain Park Dr Tucson Az 85715

Owner Name: Wight Bert L /Wight Jane L APN / Alternate APN: 133-05-2540 / Deed Type: Warranty Deed Land Use: Sfr Subdivision / Tract: Pantano Ranch / Lot Size: 6,533 Year Built / Eff: 1996 / Rec. Date / Price: 04/20/2022 / $335,000 Living Area: 1,218 # of units: Document #: 1100366

Total Tax Value: $191,428 Bath(F/H): /

#1   8892 E Desert Lavender Pl Tucson Az 85715

© 2022

Bedrooms: Pool:

Total Tax Value: $165,946 Bath(F/H): /

#3   8868 E Desert Lavender Pl Tucson Az 85715

Year Built / Eff: 1983 / Rec. Date / Price: 07/07/2022 / $290,000 Living Area: 1,431 # of units:

Bedrooms: Pool:

Year Built / Eff: 1996 / Rec. Date / Price: 12/03/2021 / $311,000 Living Area: 1,433 # of units: Document #: 3370423

Customer Name : Chantel Cortez

Owner Name: Weaver Phyllis K / APN / Alternate APN: 133-04-2580 / Deed Type: Warranty Deed Land Use: Sfr Subdivision / Tract: Acacia Park / Lot Size: 7,103

Customer Company Name : FIRST AMERICAN TITLE Prepared On : 09/19/2022 CoreLogic.

Total Tax Value: $171,698 Bath(F/H): /

Owner Name: Evenchik Daphne O /Evenchik Mark J APN / Alternate APN: 133-04-3330 / Deed Type: Warranty Deed

#2   1817 N Evelyn Ave Tucson Az 85715

Details of Comparables

Bedrooms: Pool: Total Tax Value: $171,698 Bath(F/H): /

Subdivision / Tract: Schoolyard / Lot Size: 4,946

Year Built / Eff: 1998 / Rec. Date / Price: 06/15/2022 / $365,000 Living Area: 1,483 # of units: Document #: 1660250

Year Built / Eff: 2016 / Rec. Date / Price: 12/23/2021 / $374,900 Living Area: 1,457 # of units:

APN / Alternate APN: 133-05-3620 / Deed Type: Warranty Deed

Year Built / Eff: 2017 / Rec. Date / Price: 10/20/2021 / $385,000 Living Area: 1,552 # of units:

Customer Company Name : FIRST AMERICAN TITLE Prepared On : 09/19/2022

Owner Name: Park Youngil /Park Insuk

Bedrooms: Pool: Total Tax Value: $175,755 Bath(F/H): /

Owner Name: Kiser Jill D /Kiser W L Iii

Document #: 3570230

Document #: 2880912

Owner Name: Mcclure Elizabeth & Linda H /Mcclure Linda H APN / Alternate APN: 133-04-8400 / Deed Type: Warranty Deed Land Use: Sfr

#8   8956 E Wright School Loop Tucson Az 85715

Subdivision / Tract: Schoolyard / Lot Size: 4,949

#9   8928 E Wright School Loop Tucson Az 85715

Total Tax Value: $230,833 Bath(F/H): /

#10   8798 E Corte Caida Del Sol Tucson Az 85715

Subdivision / Tract: Acacia Park / Lot Size: 9,080

#7   8972 E Wright School Loop Tucson Az 85715

Customer Name Chantel

:

Bedrooms: Pool:

Bedrooms: Pool:

Total Tax Value: $241,901 Bath(F/H): /

Year Built / Eff: 2003 / Rec. Date / Price: 10/15/2021 / $406,000 Living Area: 1,493

# of units:

Subdivision / Tract: Barrio Solano / Lot Size: 6,350

Owner Name: Weise / APN / Alternate APN: 133-04-8440 / Deed Type: Warranty Deed Land Use: Sfr Subdivision / Tract: Schoolyard / Lot Size: 4,950

Bedrooms: Pool:

Cortez

© 2022 CoreLogic. All rights reserved

Subdivision / Tract: Pantano Ranch / Lot Size: 6,146

Document #: 2930772

Year Built / Eff: 2017 / Rec. Date / Price: 12/03/2021 / $375,000 Living Area: 1,552 # of units: Document #: 3370925

Land Use: Sfr

Owner Name: Kazemisaber Hassan /Kazemisaber Apsara APN / Alternate APN: 133-04-3560 / Deed Type: Warranty Deed Land Use: Sfr

Year Built / Eff: 1982 / Rec. Date / Price: 02/14/2022 / $325,000 Living Area: 1,486 # of units: Document #: 450561

Land Use: Sfr

Bedrooms: Pool:

Bedrooms: Pool: Total Tax Value: $197,152 Bath(F/H): /

#6   8866 E Desert Lily Pl Tucson Az 85715

Owner Name: Knapp Matthew / APN / Alternate APN: 133-05-2380 / Deed Type: Warranty Deed Land Use: Sfr

APN / Alternate APN: 133-04-8480 / Deed Type: Warranty Deed

#5   1761 N Ranch Dr Tucson Az 85715

Total Tax Value: $241,901 Bath(F/H): /

Total Tax Value: $200,665 Bath(F/H): /

Owner Name: Rodakowski Susie / APN / Alternate APN: 133-05-3710 / Deed Type: Warranty Deed

Bedrooms: Pool:

Bedrooms: Pool: Pool

Land Use: Sfr Subdivision / Tract: Hidden Hills / Lot Size: 8,319

#13   8551 E Lee Pl Tucson Az 85715

Owner Name: Shackelford Sandra A / APN / Alternate APN: 133-04-0800 / Deed Type: Warranty Deed Land Use: Sfr Subdivision / Tract: Hidden Hills East / Lot Size: 7,363 Year Built / Eff: 1971 / Rec. Date / Price: 10/04/2021 / $389,000 Living Area: 1,536 # of units: Document #: 2770795

Subdivision / Tract: Barrio Solana / Lot Size: 7,091

Total Tax Value: $150,404 Bath(F/H): /

Owner Name: Liu Steve /Young Edward APN / Alternate APN: 133-10-210B / Deed Type: Warranty Deed Land Use: Sfr

Year Built / Eff: 1970 / Rec. Date / Price: 06/24/2022 / $318,000 Living Area: 1,267 # of units:

Owner Name: Op Spe Phx1 Llc / APN / Alternate APN: 133-10-1550 / Deed Type: Warranty Deed Land Use: Sfr

Document #: 1750630

Customer Company Name : FIRST AMERICAN TITLE Prepared On : 09/19/2022

Bedrooms: Pool:

Owner Name: Chung Winter /Chung Neil APN / Alternate APN: 133-04-0990 / Deed Type: Warranty Deed

Customer Name : Chantel Cortez

Total Tax Value: $178,836 Bath(F/H): /

#11   8748 E Corte Del Sol Bonito Tucson Az 85715

Land Use: Sfr

#12   8611 E Calle Bogota Tucson Az 85715

Subdivision / Tract: Hidden Hills / Lot Size: 10,722 Year Built / Eff: 1971 / Rec. Date / Price: 08/03/2022 / $296,000 Living Area: 1,225 # of units:

Year Built / Eff: 1970 / Rec. Date / Price: 04/29/2022 / $340,000 Living Area: 1,528 # of units:

© 2022 CoreLogic. All rights reserved

Subdivision / Tract: Hidden Hills / Lot Size: 10,556

Total Tax Value: $153,946 Bath(F/H): /

#15   9142 E Calle Cascada Tucson Az 85715

Document #: 2150364

Land Use: Sfr Subdivision / Tract: Hidden Hills East / Lot Size: 8,122

Bedrooms: Pool:

Bedrooms: Pool: Total Tax Value: $200,665 Bath(F/H): /

Year Built / Eff: 2003 / Rec. Date / Price: 10/06/2021 / $342,000 Living Area: 1,493 # of units: Document #: 2790377

Owner Name: Bettinger Samantha E / APN / Alternate APN: 133-10-1730 / Deed Type: Warranty Deed

Year Built / Eff: 1971 / Rec. Date / Price: 02/22/2022 / $325,000 Living Area: 1,225 # of units:

Total Tax Value: $151,515 Bath(F/H): /

Total Tax Value: $134,492 Bath(F/H): /

#14   9125 E Calle Cascada Tucson Az 85715

Bedrooms: Pool: Pool

Document #: 1190194

Document #: 531054

#16   8545 E Calle Bolivar Tucson Az 85715

© 2022 CoreLogic. All rights reserved

Year Built / Eff: 1970 / Rec. Date / Price: 11/12/2021 / $283,000 Living Area: 1,390 # of units: Document #: 3160892

Bedrooms: Pool:

Year Built / Eff: 1985 / Rec. Date / Price: 11/15/2021 / $295,000 Living Area: 1,290 # of units: Document #: 3190720

Total Tax Value: $163,800 Bath(F/H): /

#18   9102 E Calle Kuehn Tucson Az 85715

Year Built / Eff: 1971 / Rec. Date / Price: 05/02/2022 / $305,000 Living Area: 1,599 # of units:

Bedrooms: Pool:

Land Use: Sfr

Land Use: Sfr Subdivision / Tract: Hidden Hills East / Lot Size: 9,393

#19   9135 E Calle Kuehn Tucson Az 85715

Subdivision / Tract: Hidden Hills East / Lot Size: 9,095

Owner Name: Gartrell Brian J /Gartrell Crystal G APN / Alternate APN: 133-10-0300 / Deed Type: Warranty Deed Land Use: Sfr

Owner Name: Huelskamp Theresa / APN / Alternate APN: 133-04-0720 / Deed Type: Warranty Deed

Subdivision / Tract: Hidden Hills / Lot Size: 8,125

#20   9243 E Calle Kuehn Tucson Az 85715

Owner Name: Cardenas Albino J / APN / Alternate APN: 133-04-1150 / Deed Type: Warranty Deed

Year Built / Eff: 1971 / Rec. Date / Price: 07/01/2022 / $250,000 Living Area: 1,525 # of units: Document #: 1820565

Document #: 1220944

Bedrooms: Pool: Pool

Total Tax Value: $175,591 Bath(F/H): /

Bedrooms: Pool: Total Tax Value: $147,629 Bath(F/H): /

Subdivision / Tract: Hidden Hills East / Lot Size: 7,920

Total Tax Value: $161,884 Bath(F/H): /

Customer Name : Chantel Cortez

#17   1341 N Camino Seco Tucson Az 85715

Customer Company Name : FIRST AMERICAN TITLE Prepared On : 09/19/2022

Owner Name: Rivera Gerardo Jr /Rivera Doreen APN / Alternate APN: 133-04-1070 / Deed Type: Warranty Deed Land Use: Sfr

Subject Property :   1965 N Fountain Park Dr Tucson AZ 85715 Customer Name : Chantel Cortez Customer Company Name : FIRST AMERICAN TITLE Prepared On : 09/19/2022 © 2022 CoreLogic. All rights reserved

Customer Name : Chantel Cortez Customer Company Name : FIRST AMERICAN TITLE Prepared On : 09/19/2022 © 2022 CoreLogic. All rights reserved

SchoolsArizona For detailed information and statistics on Arizona schools please go ©2021FirstFirsthttps://azreportcards.azed.gov/toAmericanTitleInsuranceCompany,andtheoperatingdivisionsthereof,makenoexpressorimpliedwarrantyrespectingtheinformationpresentedandassumenoresponsibilityforerrorsoromissions.American,theeaglelogo,FirstAmericanTitle,andfirstam.comareregisteredtrademarksortrademarksofFirstAmericanFinancialCorporationand/oritsaffiliates.FirstAmericanFinancialCorporationand/oritsaffiliates.Allrightsreserved.NYSE:FAF05117910421

13 TANQUE VERDE UNIFIED 2300 N. Tanque Verde Loop, Tucson, AZ 85749 520.749.5751

01 TUCSON UNIFIED 1010 E. 10th Street, Tucson, AZ 85717 520.225.6000

First American Title Insurance Company, and the operating divisions thereof, make no express or implied warranty respecting the information presented and assume no responsibility for errors or omissions. First American, the eagle logo, First American Title, and firstam.com are registered trademarks or trademarks of First American Financial Corporation and/or its affiliates. ©2021 First American Financial Corporation and/or its affiliates. All rights reserved. NYSE: FAF

05249570321 AIRPORTINT'LTUCSON Air Force WSilverbellRd SSantaRitaRd NMtLemmon Hwy ESascoRd NF38 W Avra Valley Rd E Grand Va ey DrNAguirreRd dRkLNuce dRWNentzNWatermanMountainRd RdAnwayN W El Tiro Rd NTricoRd W Tucker Rd W Rudas l Rd W Manvi e Rd SSanJoaquinRdWBopp Rd W Snyder H l RddRSMarsear W Park Rd W Hermans RdW Hermans Rd W Guy St W Bush Rd SGaveyRd eaCNRinconado SWmoRd SShawRd SSierritaMountainRd SKobRdW TwinButtes Rd W Mcgee Ranch Rd ESstancaDr EDesertDove E Hemlock Dr BNearCanyonRdW E Camino Del Cerro E Fairmount St SSwanRd NFrontageRd W Emigh Rd W Fort Lowe Rd dSPNumptationR E Nona Rd Ch efButteRd Lo al Ave NTricoRd SCattleTankRd Evalyn Rd SOwlHeadRanchRdGasLineRd PSecanRd NTrcoRd W Bayard Rd dRSSandaro WillowSpringsRd N Dove Mountain Blvd SHelvetiaRd WAnamax Mine Rd dRhRiGWacaanc Road424 WRagged Top Rd W Ruby Star Dr WBritten RanchRd W Pima Mine Rd S Mcgee RanchRd E Edw n Rd SGuildRd 80 NKINNEYRD SPICACHOHWYE BAUMGARTNER RD SNANDARIORDNANWAYRD W VALENCIA RD W MOORE RD W INA RD ESN1TAV E SUNRISE DR E SNYDER RDNSILVERBELLRD TRSNOLDIERLE RIVER RDE PRINCE RD E SPEEDWAY BLVD SFREEMANRDE 22ND ST E 22ND ST W IRVINGTON RD SNOGALESHWY W VALENCIA RDSMISSIONRDWSPEEDWAY BLVD SOLDSPANISHTRL W NARANJA DR W TWIN PEAKS RD W PICTURE ROCKS RD W MANVILLE RD SKINNEYRD W MILE WIDE RD E SAHUARITA RD NTRICORD OSSANDARRD PARK LINK DR SOLDNOGALESHWY GUOSHHTONRD ADCSLAANADRW HELMET PEAK RD WAJOHWY RNASNWD RDKOLBS SHOUGHTONRD W TANGERINE RD E GRANT RD SHOUGHTONRD 95 WAJOHWY E VALENCIA RD NORACLERD I-10 I-19 77 77 77 86 86 286 10 19 10 10 Corona de Tucson AdobesCasas Catalina Green Valley Oracle Picture Rocks Three Points VailSummit TanqueVerde SahuaritaTucson Red Rock Saddlebrooke Marana Oro Valley Rillito SummerhavenWillow Canyon Oracle Junction Cortaro Continental Littletown 20 30 13 15 51 39 12 01 01 08 10 16 11 06 PIMA COUNTY School District Information This map is provided for general location only. Please contact school districts for actual street boundaries SCHOOL DISTRICTS 15 AJO UNIFIED 111 N. Well Road, Ajo, AZ 85321 520.387.5618 51 ALTAR VALLEY ELEMENTARY 10105 S. Sasabe Road, Tucson, AZ 85736 520.822.1484 10 AMPHITHEATER UNIFIED 701 W. Wetmore, Tucson, AZ 85705 520.696.5000 16 CATALINA FOOTHILS UNIFIED 2101 E. River Road, Tucson, AZ 85718 520.209.7500 39 CONTINENTAL ELEMENTARY 1991 E. Whitehouse Canyon, Green Valley, AZ 85614 520.625.4581 08 FLOWING WELLS UNIFIED 1556 W. Prince Road, Tucson, AZ 85705 520.696.8800 06 MARANA UNIFIED 11279 W. Grier Road, Marana, AZ 85653 520.682.3243 11 PIMA COUNTY JTED 2855 W. Master Pieces Dr, Tucson, AZ 85741 520.352.5833 30 SAHUARITA UNIFIED 350 W. Sahuarita Road, Sahuarita, AZ 85629 520.625.3502

12 SUNNYSIDE UNIFIED 2238 E. Ginter Road, Tucson, AZ 85706 520.545.2000

20 VAIL UNIFIED 10701 E. Mary Ann Cleveland Way, Tucson, AZ 85747 520.879.2000

Lowest Grade : K Highest Grade : 5th Kindergarten : Yes School Enrollment : Enrollment : 192

9209 E Wrightstown Rd Tucson AZ 85715

Telephone : (520) 886-6076

School District : Tucson Unified District (4403)

Lowest Grade : Pre-K Highest Grade : 6th Kindergarten : Yes School Enrollment : Enrollment : 364 Total Expenditure/Student : 200

Tucson Country Day School Distance 0.4 Miles

Bloom Elementary Distance 0.81 Miles 8310 E Pima St Tucson AZ Telephone :85715(520) 731-3700

Telephone : (520) 296-0883

© 2022 CoreLogic. All rights reserved

School District : Academy Of Tucson Inc. (78897)

Public Schools :

School District : Tucson Country Day School Inc. (79073)

Customer Name

:

Academy Of Tucson Elementary School Distance 0.38 Miles

Total Expenditure/Student :

Customer Company FIRST Prepared On 09/19/2022

Total Expenditure/Student :

Elementary Schools

: Chantel Cortez

Name :

AMERICAN TITLE

Lowest Grade : K Highest Grade : 8th Kindergarten : Yes School Enrollment : Enrollment : 655

9239 E Wrightstown Rd Tucson AZ 85715

Magee Middle School

High CanyonSchoolsRoseAcademy-east

Name : FIRST AMERICAN TITLE Prepared

Distance 1.2 Miles

Lowest Grade : Pre-K

Total Expenditure/Student : 200

8981 E Tanque Verde Rd Ste 281 Tucson AZ 85749

School District : Tucson Unified District (4403)

Customer Company On 09/19/2022

© 2022 CoreLogic. All rights reserved

Distance 1.09 Miles

Lowest Grade : 9th Highest Grade : 12th School Enrollment : Enrollment : 99

Anna Henry Elementary School

8300 E Speedway Blvd Tucson AZ 85710

Telephone : (520) 797-4884

Middle Schools

Highest Grade : 5th Kindergarten : Yes School Enrollment : Enrollment : 326

Advanced Placement : No

School District : Tucson Unified District (4403)

:

650 N Igo Way Tucson AZ Telephone :85710(520) 731-4700

School District : Canyon Rose Academy Inc. (81029)

Total Expenditure/Student : 200

Lowest Grade : 6th Highest Grade : 8th Kindergarten : No School Enrollment : Enrollment : 521

Distance 0.98 Miles

Name : Chantel Cortez

Telephone : (520) 731-5000

Total Expenditure/Student :

Customer

Distance 1.41 Miles

545 N Camino Seco Tucson AZ 85710

Sahuaro High School

School District : Tucson Unified District (4403)

Lowest Grade : 9th Highest Grade : 12th School Enrollment : Enrollment : 0

Telephone : (520) 731-8180

Pcjted - Sahuaro High School

Distance 1.41 Miles

Telephone : (520) 731-7100

545 N Camino Seco Tucson AZ 85710

School District : Pima County Jted (89380)

Eastpointe High School Distance 1.78 Miles

Total Expenditure/Student : Advanced Placement : No

Lowest Grade : 8th Highest Grade : 12th School Enrollment : Enrollment : 1695

School District : Eastpointe High School Inc. (78833)

Total Expenditure/Student : 200 Advanced Placement : No

8495 E Broadway Blvd Tucson AZ 85710

Total Expenditure/Student : Advanced Placement : No

Telephone : (520) 731-7100

Lowest Grade : 9th Highest Grade : 12th School Enrollment : Enrollment : 625

Customer

Name : Chantel Cortez Customer Company Name : FIRST AMERICAN TITLE Prepared On : 09/19/2022 © 2022 CoreLogic. All rights reserved

Alfa Romeo Owners Club Of Tucson 1700 N Harrison Rd Tucson Az (520) 886-6848 0.69

Tucson Country Day School & Camp Adventure Inc 9239 E Wrightstown Rd Tucson Az (520) 296-0883 0.44

Crossroads Coffee Company 8898 E Tanque Verde Rd Tucson Az (520) 305-3215 0.83

Merlin Enterprises Of Tucson, Inc. 2530 N Tanque Verde Acres Tucson Az (619) 368-5540 0.75

Customer Name : Chantel Cortez

Health Care Services

The Culinary Design Catering Llc 2366 N Lake Star Dr Tucson Az (520) 320-3909 0.74

Eating / Drinking

Arizona Cycling Racing Team Inc 8946 E Bellevue St Tucson Az (520) 885-5648 0.63

Rocca 9225 E Tanque Verde Rd Tucson Az (520) 668-3829 0.84

Customer Company Name : FIRST AMERICAN TITLE Prepared On : 09/19/2022 CoreLogic.

AttractionsBusiness/Recreation

Health And Wellness Strategies, Llc 9021 E Waverly St Tucson Az (520) 751-4426 0.08

Therapeutic Riding Of Tucson, Inc. 8920 E Woodland Rd Tucson Az (520) 749-2360 0.35

Name Address Telephone Distance (Miles)

Name Address Telephone Distance (Miles)

Massengale Laura Consulting In 9245 E Wrightstown Rd Tucson Az (520) 885-8322 0.44

Name Address Telephone Distance (Miles)

© 2022

Local

Bank Of America, National Association 9015 E Tanque Verde Rd Tucson Az (520) 760-2121 0.85

Arizona State Mortgage & Investment 8816 E Lancaster Rd Tucson Az (520) 721-1100 0.6

Plaza Deli, Inc. 9100 E Tanque Verde Rd # Tucson Az (520) 795-3354 0.84

Banks / Financial

Name Address Telephone Distance (Miles)

All rights reserved

Hospitality

Name Address Telephone Distance (Miles)

Kleins Home Care 8846 E Calle Playa Tucson Az (520) 885-3289 0.47

Stone Animal Chiropractic 1884 N Ranch Dr Tucson Az (520) 490-9696 0.14

Glass Phreque 9462 E Calle Cascada Tucson Az (520) 668-5086 0.83

Name Address Telephone Distance (Miles)

East Tucson Baptist Church 9100 E Speedway Blvd Tucson Az (520) 917-4233 0.76

Rocks And Ropes, The Bloc Inc. 8975 E Tanque Verde Rd # Tucson Az (520) 209-2562 0.85

Customer Name : Chantel Cortez

Shopping

Name Address Telephone Distance (Miles)

Calvary Tucson East 8725 E Speedway Blvd Tucson Az (520) 731-2100 0.76

The Oasis Church 8961 E Tanque Verde Rd Tucson Az (520) 546-0101 0.85

Organizations / Associations

Able Nutrition And Fitness Llc 1625 N Fox Run Pl Tucson Az (520) 591-0818 0.54

Sarae's Studio 9109 E Calle Cascada Tucson Az (623) 826-8471 0.55

The Church Of Jesus Christ Of Latterday Saints 8361 E Lee St Tucson Az (520) 296-2742 0.81

Circle K Stores Inc. 8702 E Speedway Blvd Tucson Az (520) 886-5724 0.79

Personal Services

Anytime Fitness 8868 E Tanque Verde Rd Tucson Az (520) 760-1200 0.84

Circle K Stores Inc. 8909 E Tanque Verde Rd Tucson Az (520) 760-0719 0.85

Customer Company Name : FIRST AMERICAN TITLE Prepared On : 09/19/2022

Crossfit Fixx 8987 E Tanque Verde Rd Tucson Az (520) 300-4109 0.85

Name Address Telephone Distance (Miles)

© 2022 CoreLogic. All rights reserved

Recording Date : 05/25/2001

Bed / Bath : / 3 Property Tax : $2,445.52

Land Use : Sfr

TITLE Prepared

Sale Price  : $95,000

Sale Date : 05/01/1984

Bed / Bath : / 3

Yr Blt / Eff Yr Blt : 1984 / APN : 133-04-3110

1981 N FOUNTAIN PARK DR Distance 0.01 Miles

Land Use : Sfr

Sale Date : 05/00/2001

Property Tax : $2,727.59

Recording Date : 10/07/2019

Subdivision : Acacia Park

Subdivision : Acacia Park

Stories : 1 Living Area : 2,060

Yr Blt / Eff Yr Blt : 1982 / APN : 133-04-3070

Owner Name : Earls Paul R

Total Value : $236,429

Sale Price  : $167,500

Stories : 1 Living Area : 1,746

Recording Date : 05/30/1984

Property Tax : $2,894.62

Subdivision : Acacia Park

Land Use : Sfr

Sale Date : 12/29/1987

Bed / Bath : / 3

1949 N FOUNTAIN PARK DR

Recording Date : 12/29/1987

1964 N EVELYN AVE Distance 0.02 Miles

Distance 0.02 Miles

Total Value : $198,197

Owner Name : Hamamoto Marmie D

Stories : 1 Living Area : 1,431

Yr Blt / Eff Yr Blt : 1982 / APN : 133-04-3080

Customer Company Name : FIRST AMERICAN On : 09/19/2022

© 2022 CoreLogic. All rights reserved

Lot Acres : 0.16

Bed / Bath : / 3

Land Use : Sfr Lot Acres : 0.17

Yr Blt / Eff Yr Blt : 1983 / APN : 133-04-3090

Total Value : $222,253 Sale Price  : $102,438

Sale Date : 10/02/2019

Total Value : $171,202

Distance 0.01 Miles

Owner Name : Blutfield Joel G

Sale Price  : $215,000

Property Tax : $2,124.32

Lot Acres : 0.15

Stories : 1 Living Area : 2,230

Owner Name : Rosen Tr

Subdivision : Acacia Park

Customer Name : Chantel

Cortez

1948 N EVELYN AVE

Lot Acres : 0.15

Owner Name : Gannon Lisa

Total Value : $225,213 Sale Price  : $180,000

Land Use : Sfr Lot Acres : 0.19

Stories : 1 Living Area : 2,230

Sale Date : 02/00/2004

Land Use : Sfr

Recording Date : 07/01/1991

Subdivision : Acacia Park

Property Tax : $3,137.89

Customer Name : Chantel

Bed / Bath : / 3 Property Tax : $2,885.63

Recording Date : 10/03/1991

Cortez

Stories : 1 Living Area : 2,060

Stories : 1 Living Area : 2,060

Bed / Bath : / 3

Bed / Bath : / 3

Customer Company Name : FIRST AMERICAN TITLE Prepared On : 09/19/2022

Recording Date : 02/13/2004

Sale Date : 06/00/1991

Sale Price  : $115,000

Yr Blt / Eff Yr Blt : 1983 / APN : 133-04-3130

© 2022 CoreLogic. All rights reserved

Bed / Bath : / 3 Property Tax : $3,028.85

Subdivision : Acacia Park

Sale Date : 09/00/1991

Sale Price  : $185,000

1933 N FOUNTAIN PARK DR

Owner Name : Frankenfeld Frederick M

Stories : 1 Living Area : 2,230

Distance 0.03 Miles

Total Value : $218,554

Subdivision : Acacia Park

Recording Date : 09/27/2012

Property Tax : $2,894.62

Owner Name : O Brien Juan

Lot Acres : 0.17

Land Use : Sfr Lot Acres : 0.16

1980 N FOUNTAIN PARK DR Distance 0.03 Miles

Owner Name : La Bombard Kerry Ann

Lot Acres : 0.20

Land Use : Sfr

Sale Price  : $114,000

Yr Blt / Eff Yr Blt : 1982 / APN : 133-04-2810

Yr Blt / Eff Yr Blt : 1983 / APN : 133-04-4080

2000 N EVELYN AVE Distance 0.03 Miles

Yr Blt / Eff Yr Blt : 1982 / APN : 133-04-3050

Total Value : $235,723

Total Value : $236,429

Sale Date : 09/21/2012

Subdivision : Acacia Park

2021 N FOUNTAIN PARK DR Distance 0.04 Miles

Distance 0.04 Miles

Owner Name : Zuo Na & Asgari Mahdi

Yr Blt / Eff Yr Blt : 1983 / APN : 133-04-3860

Sale Price  : $253,000

Bed / Bath : / 3 Property Tax : $2,894.62

Stories : 1 Living Area : 2,230

Customer Name : Chantel Cortez

Yr Blt / Eff Yr Blt : 1983 / APN : 133-04-4070

Stories : 1 Living Area : 2,230

Total Value : $236,429

Sale Date : 11/28/2018

Recording Date : 08/31/2020

Total Value : $236,429

Sale Price  : $310,000

Lot Acres : 0.17

Land Use : Sfr Lot Acres : 0.16

© 2022 CoreLogic. All rights reserved

Customer Company Name : FIRST AMERICAN TITLE Prepared On : 09/19/2022

Sale Date : 08/25/2020

Subdivision : Acacia Park

8971 E WAVERLY ST

Bed / Bath : / 3 Property Tax : $2,894.62

Land Use : Sfr

Owner Name : Day Donald R

Recording Date : 12/07/2018

Subdivision : Acacia Park

2000 N FOUNTAIN PARK DR Distance 0.04 Miles

Household Population Population by Age

Customer

Estimate Current Year: 2,696 12 - 17

Growth Last 5 Years: -14.36% 25 - 64 48.86%

Household Size Household Income

Male Population: 47.28% Above $100,000 35.71%

Count: 2,591 0 - 11

Housing

Unit Occupied Owner: 84.77% Above $500,000: 2.31%

Customer Company FIRST

Estimate in 5 Years: 3,161 18 - 24 6.21%

Estimate in 5 Years: 1,397 $35,000 - $50,000 11.31%

Female Population: 52.72% Average Household Income: $82,754

Median Mortgage Payments

Growth Last 10 Years: -179.43% 65 - 74 17.33% 75+

AMERICAN TITLE Prepared On : 09/19/2022 © 2022 CoreLogic. All rights reserved

Home Values

Census Tract / block: 40.47 / 1     Year: 2018

Current Year: 1,123 0 - $25,000 8.99%

Married People: 63.2%

Growth Last 5 Years: -8.9% $50,000 - $75,000 18.88%

Median Home Value: $212,100 $300,000 - $500,000: 9.35%

Median Mortgage: $764

Name : Chantel Cortez

Name :

Growth Last 10 Years: -21.11% $75,000 - $100,000 18.34%

Average Current Year: 2.28 $25,000 - $35,000 6.77%

Unmarried People: 36.8%

Under $300: 1.05% Below $100,000: 0.95% $300 - $799: 44.54% $100,000 - $150,000: 10.08% $800 - $1,999: 51.16% $150,000 - $200,000: 30.46% Over $2,000: 3.26% $200,000 - $300,000: 46.85%

Private College: 0.51% Graduate Degree: 22.71%

Median Gross Rent: $1,239 1995 - 1998

Public College: 5.46% College Graduate: 34.35%

Sales: 19.98% Self Employed Worker: 7.68%

30 min - 57 min: 31.67%

Customer Company On

Less Than 15 Min: 13.47%

Public School: 14.72% Graduate Of High School: 16.46%

Private Pre-Primary School: 0%

Education

$750 - $999 2.92% 1970 - 1979 36.68%

Name : FIRST AMERICAN TITLE Prepared

Enrollment

: 09/19/2022 © 2022 CoreLogic. All rights reserved

Workforce

Protective Services: Blue-Collar: 15.18%

Not A High School Graduate: 3.2%

Unit Occupied Renter: 15.23% 1999 - 2000

Over 60 min: 5.55%

Service: 18.85% Skilled:

Year Built

15 min - 28 min: 49.32%

: Chantel Cortez

Public Pre-Primary School: 0%

Occupation: Manager/Prof: 45.99% Private Worker: 52.09%

Less Than $499 0% 1990 - 1994

Technical: Government Worker: 20.77%

Private House Hold: Farming: 2.79%

$1000 and Over 81.29% 1900 - 1969 21.77%

Rent Payments

Administrative: Unpaid Family Worker: 7.33%

Commute Time

Not Enrolled in School: 82.28%

$500 - $749 15.79% 1980 - 1989 18.42%

Private School: 3.01% Attended Some College: 23.28%

Customer Name

Customer Name : Chantel Cortez Customer Company Name : FIRST AMERICAN TITLE Prepared On : 09/19/2022 © 2022 CoreLogic. All rights reserved

Customer Name : Chantel Cortez Customer Company Name : FIRST AMERICAN TITLE Prepared On : 09/19/2022 © 2022 CoreLogic. All rights reserved

Customer Name : Chantel Cortez Customer Company Name : FIRST AMERICAN TITLE Prepared On : 09/19/2022 © 2022 CoreLogic. All rights reserved

OWNER: GRAHAM SHERRY A  AFFIDAVIT    2012 590148 02/28/2012

97,000

+ FIRST AMERICAN TITLE, FC0, CCOR PIMA, AZ 09/19/2022  03:29PM  NKFE  INVESTIGATIVE SEARCH RESULTS PAGE 1 OF 1

CURRENT TAXES

2021 TOTAL TAX BILLED 2,130.72

BYPASS  BLDG SQFT  1,431

DATE PAID

2021  TAX AMT TAX DUE INTEREST

PLAT: LOT 00060 BLOCK

IMPROVEMENTS

LAND IMPR EXEMPT RATE AREA SPECIAL DISTRICTS

SALE DATE

SALE AMOUNT

LAND FULL CASH VALUE  502

ADDITIONAL PROPERTY INFORMATION STANDARD LAND USE: SFR

TOTAL DUE FIRST HALF  1,065.36  0.00  0.00  10/31/2021  0.00  SECOND HALF  1,065.36  0.00  0.00  04/26/2022  0.00

PRIMARY  16,556  0  0  11.6619  0150

PARCEL:  133-04-3100

MAIL: 2885 N WENTWORTH RD  TUCSON, AZ 85749

TOTAL CURRENT TAXES DUE 09/22 0.00 10/22 0.00

GRADE MATERIALS IMPR FULL CASH VALUE  171,196

INSTRUMENT REC DATE

SITUS: 1965 N FOUNTAIN PARK DR TUC

PARCEL: 133-04-3100

SECONDARY  50  17,120  0  2.8778

END SEARCH

INFORMATION THROUGH 07/28/2022

INSTRUMENT TYPE SELLER NAME VALIDITY 02/28/2012 125,000    2012 590148 WD SWITZER MAXINE B 06/30/2004 155,000    12334 6327 WD TOWNSEND WILLIAM E 01/16/2002 132,500    11717 3520 WD COPLEY MARY L TRUSTEE 10/15/1993    9648 425 WD LANGHAM WILLIAM W / 12/01/1987    8172 1928 JD HALES RICHARD A

SEARCH PARAMETERS

LEGAL: ACACIA PARK LOT 60

85,000

SALES

FULL CASH VALUE  171,698 YEAR BUILT  1983 LAND USE  01 41 NUMBER OF STORIES  1.0 LOT SIZE  1 STDLT STORIES HEIGHT  0 SCHOOL DISTRICT  0150 EXTERIOR WALLS  STUCCO

ConditionsCovenants,&Restrictions

Restrictions indicating a preference, limitation or discrimination based on race, color, religion, sex, handicap, familial status, or national origin are hereby deleted to the extent such restrictions violate 42 USC 3604(c).

This information is furnished without fee and without benefit of a complete title search. No liability is assumed by First American Title or Title Security. If it is desired that liability be assumed, you may apply for a policy of title insurance with First American Title Insurance Company.

Thank you for the opportunity to be of service.

Page 1 of 1 09/21/2017 10:25 AM

Page 1 of 29 01/31/2012 8:51 AM

Page 2 of 29 01/31/2012 8:51 AM

Page 3 of 29 01/31/2012 8:51 AM

Page 4 of 29 01/31/2012 8:51 AM

Page 5 of 29 01/31/2012 8:51 AM

Page 6 of 29 01/31/2012 8:51 AM

Page 7 of 29 01/31/2012 8:51 AM

Page 8 of 29 01/31/2012 8:51 AM

Page 9 of 29 01/31/2012 8:51 AM

Page 10 of 29 01/31/2012 8:51 AM

Page 11 of 29 01/31/2012 8:51 AM

Page 12 of 29 01/31/2012 8:51 AM

Page 13 of 29 01/31/2012 8:51 AM

Page 14 of 29 01/31/2012 8:51 AM

Page 15 of 29 01/31/2012 8:51 AM

Page 16 of 29 01/31/2012 8:51 AM

Page 17 of 29 01/31/2012 8:51 AM

Page 18 of 29 01/31/2012 8:51 AM

Page 19 of 29 01/31/2012 8:51 AM

Page 20 of 29 01/31/2012 8:51 AM

Page 21 of 29 01/31/2012 8:51 AM

Page 22 of 29 01/31/2012 8:51 AM

Page 23 of 29 01/31/2012 8:51 AM

Page 24 of 29 01/31/2012 8:51 AM

Page 25 of 29 01/31/2012 8:51 AM

Page 26 of 29 01/31/2012 8:51 AM

Page 27 of 29 01/31/2012 8:51 AM

Page 28 of 29 01/31/2012 8:51 AM

Page 29 of 29 01/31/2012 8:51 AM

Page 1 of 1 01/31/2012 8:51 AM

Page 1 of 3 08/15/2013 10:45 AM

Page 2 of 3 08/15/2013 10:45 AM

Page 3 of 3 08/15/2013 10:45 AM

to the Title & Escrow Process in Arizona Home Seller’s Guide

Southwest Gas www.swgas.com1.877.860.6020 Cox www.cox.com602.277.1000 Direct TV www.directv.com1.888.777.2454 Dish Network www.dishnetwork.com1.800.823.4929 CenturyLink www.centurylink.com800.366.8201 AT&T www.att.com1.800.222.0300 Verizon www.connecttoverizon.com1.877.300.4498 Salt River Project www.srpnet.com602.236.8888 APS www.aps.com602.371.7171 Your Escrow Number Your New City/State/ZipAddress Real Estate Agent Name Email Assistant Email Company Phone Address Fax Insurance CompanyPrevious Phone Previous Agent No.Policy New Company Phone New Agent No.Policy Home CompanyWarranty No.Policy First American Title Escrow Officer Email Escrow Assistant Email Address Phone City/State/Zip Fax 02 Quick Reference 03 Welcome 04 Benefits of Using a REALTOR ® 05 Key Professionals 06 Preparing Your Home for Sale 07 Staging Your Home for Show 09 Terms You Should Know 10 The Life of an Escrow 11 Closing Costs: Who Pays What 12 The Escrow Process 14 Understanding Title Insurance 16 Consider This 17 Closing Your Escrow 18 Planning Your Move Q uick Reference Table of Contents Utilities and Services

First American Title has a direct office or agent near you, offering convenient locations throughout Arizona. We also have an extensive network of offices and agents throughout the United States, and internationally.

First American Title’s professionals are proud to provide the title insurance that assures people’s home ownership. Backed by First American Title Insurance Company, your transaction will be expertly completed in accordance with state-specific underwriting standards and state and federal regulatory requirements.

Count On Us For Convenience

AZ Sellers Guide | 3

First American Financial Corporation offers more than title insurance and escrow services through its subsidiaries. Our subsidiaries also provide property data, title plant records and images, home warranties, property and casualty insurance, and banking, trust and advisory services.

Count On Us To Meet Your Needs

Count On Us For Stability

Count On Us For Service

Count on First American Title

Welcome to the home-selling process. Throughout this process, you can count on First American Title to guide you smoothly through your transaction and provide expert answers to your questions. We are happy to serve you.

First American Title is the principal subsidiary of First American Financial Corporation, and one of the largest suppliers of title insurance services in the nation. With roots dating back to 1889, we’ve served families for generations.

of using a Professional REALTOR ®

- understand the steps of an escrow and what’s required of you and the buyer?

- prepared to give up your evenings and weekends to show your home to potential buyers and “just-looking” time wasters?

Many people believe they can save a considerable amount of money by selling their homes themselves. It may seem like a good idea at the time, but while you may be willing to take on the task, are you qualified? The following are some questions to help you realistically assess what’s involved.

Benefits4

AZ Sellers Guide |

- understand the various types of loans buyers may choose and the advantages and disadvantages for the seller?

› Can remain objective when presenting offers and counter-offers on your behalf.

› Can help protect your rights, particularly important with the increasingly complicated real estate laws and regulations.

› Is experienced in creating demand for homes and how to show them to advantage.

› Will listen to your needs, respect your opinions and allow you to make your own decisions.

A REALTOR ® :

- familiar enough with real estate regulations to prepare a binding sales contract? Counter-offers?

- aware that every time you leave your home, you are taking it off the market until you return?

- know how to advertise effectively and what the costs will be?

› Knows how to screen potential buyers and eliminate those who can’t qualify or are looking for bargain-basement prices.

- aware that prospective buyers and bargain hunters will expect you to lower your cost because there’s no REALTOR® involved?

Are you...

FOR SALE BY OWNER

› Maintains errors-and-omissions insurance.

› Knows how to price your home realistically, to give you the highest price possible within your time frame.

› Is experienced with resolving problems to facilitate a successful closing on your home.

Do you...

- aware of conditions in the marketplace today that affect value and length of time to sell?

- know how to determine your home’s current market value?

- have arrangements with an escrow and title company, home warranty company, pest-control service and lender to assist you with the transaction?

- concerned about having strangers walking through your home?

- know how to determine whether or not a buyer can qualify for a loan?

- have the knowledge, patience, and sales skills needed to sell your home?

› Knows how to go toe-to-toe in negotiations.

Before you make the decision to try to sell your home alone, consider the benefits a REALTOR ® can provide that you may not be aware of.

Only you can determine whether you should attempt to sell your home—probably your largest investment—all alone. Talk with a REALTOR® before you decide. You may find working with a professional is a lot less expensive and much more beneficial than you ever imagined!

- need to hire a real estate attorney? If so, do you know what the cost will be and how much liability they will assume in the transaction?

› Can advertise effectively for the best results.

› Understands market conditions and has access to information not available to the average homeowner.

› Is always “on-call,” answering the phone at all hours, and showing homes evenings and weekends.

The MLS is a database of properties listed for sale by REALTORS ® who are members of the local Association of REALTORS.® Information on an MLS property is available to thousands of REALTORS ®

A real estate agent is licensed by the state to represent parties in the transfer of property. Every REALTOR ® is a real estate agent, but not every real estate agent has the professional designation of a REALTOR.®

A key role of the buyer’s agent or broker is to work with the buyer to locate a suitable property and negotiate a successful home purchase.

An escrow officer leads the facilitation of your escrow, including escrow instructions preparation, document preparation, funds disbursement, and more.

These are the people who carry out the title search and examination, work with you to eliminate the title exceptions you are not willing to take subject to, and provide the policy of title insurance regarding title to the real property.

REALTOR ®

REAL ESTATE AGENT

BUYER'S AGENT

A REALTOR ® is a licensed real estate agent and a member of the National Association of REALTORS,® a real estate trade association. REALTORS ® also belong to their state and local Association of REALTORS.®

MULTIPLE LISTING SERVICE (MLS)

Key Professionals Involved in Your Transaction

AZ Sellers Guide | 5

LISTING AGENT

TITLE COMPANY

ESCROW OFFICER

A key role of the listing agent or broker is to form a legal relationship with the homeowner to sell the property and place the property in the Multiple Listing Service.

Shampoo carpeting or replace if worn. Clean tile floors, particularly the caulking.

Repair or replace loud ventilating fans. Replace worn shower curtains.

Ensure that all exterior lights are working.

Air conditioners/heaters, evaporative coolers, hot water heater should be clean, working and inspected if necessary. Replace filters.

First impressions have a major impact on potential buyers. Try to imagine what potential buyers will see when they approach your house for the first time and walk through each room. Ask your REALTOR ® for advice; they know the marketplace and what helps a home sell. Here are some tips to present your home in a positive manner:

Mow and edge the lawn regularly, and trim the shrubs.

Repair leaky faucets and caulking in bathtubs and showers.

Check stucco walls for cracks and discoloration.

Make sure toilet seats look new and are firmly attached.

Remove any oil and rust stains from the driveway and garage.

Brighten the appearance inside by painting walls, cleaning windows and window coverings, and removing sunscreens.

AZ Sellers Guide | 6

Paint or replace the mailbox, if needed.

Clean and organize the garage, and ensure the door is in good working order.

Repair or replace loose knobs on doors and cabinets. If doors stick or squeak, fix them.

If screens or windows are damaged, replace or repair them.

Repair or replace worn shutters and other exterior trim.

Rearrange furniture to make rooms appear larger. If possible, remove and/or store excess furniture, and avoid extension cords in plain view.

Remove clutter throughout the house. Organize and clean out closets. Clean household appliances and make sure they work properly.

Check the pool and/or spa equipment and pumps. Make sure all are working properly and that the pool and/or spa are kept clean. Inspect fences, gates and latches. Repair or replace as needed.

Make sure the front steps are clear and hazard-free. Make sure the doorbell works properly and has a pleasant sound.

Make your entry inviting: Paint your front door and buy a new front door mat.

YOURFORPREPARINGSALEHOME

Cleanshown.trash

AZ Sellers Guide | 7

Get rid of odors such as tobacco, pets, cooking, etc., but don’t overdo air fresheners or potpourri. Fresh baked bread and cinnamon can make a positive impact. Send pets away or secure them away from the house, and be sure to clean up after them.

Hang clean attractive guest towels in the bathrooms. Check that sink and tub are scrubbed and unstained. Make beds with attractive spreads. Stash or throw out newspapers, magazines, junk mail.

Staging your home for Show

To make the best impression, keep your home clean, neat, uncluttered and in good repair. Please review this list prior to each showing:

Close the windows to eliminate street noise.

cans and put them out of sight.

Let the light in. Raise shades, open blinds, pull back the curtains and turn on the lights.

If you must be present while your home is shown, keep noise down. Turn off the TV and radio. Soft, instrumental music is fine, but avoid vocals.

If possible you, your pets, and your children should be gone while your home is being

Keep everything clean. A messy or dirty home will cause prospective buyers to notice every flaw.

Clear all clutter from counter tops.

Keep the garage door closed and the driveway clear. Park autos and campers away from your home during showings

AZ Sellers Guide | 8

TILA-RESPA Integrated Disclosures

Occurs when the borrower becomes contractually obligated to the creditor on the loan, not, for example, when the borrower becomes contractually obligated to a seller on a real estate transaction. The point in time when a borrower becomes contractually obligated to the creditor on the loan depends on applicable State law. Consummation is not the same as close of escrow or settlement.

A description of land recognized by law, based on government surveys, spelling out the exact boundaries of the entire parcel of land. It should so thoroughly identify a parcel of land that it cannot be confused with any other.

Comparable Sales

The borrower’s costs of the loan term expressed as a rate. This is not their interest rate.

Close of Escrow

Sales that have similar characteristics as the subject real property, used for analysis in the appraisal. Commonly called “comps.”

Earnest Money Deposit

Loan Estimate (LE)

Deed of Trust

Real estate insurance protecting against fire, some natural causes, vandalism, etc., depending upon the policy. Buyer often adds liability insurance and extended coverage for personal property.

The instrument by which real property is pledged as security for repayment of a loan.

An instrument used in many states in place of a mortgage.

Disbursement Date

Easement

An estimate of value of property resulting from analysis of facts about the property; an opinion of value.

Terms You Should Know

The recipient of benefits, often from a deed of trust; usually the lender.

PITI

Consummation

Down payment made by a purchaser of real property as evidence of good faith; a deposit or partial payment.

Lien

Beneficiary

Hazard Insurance

Closing Disclosure (CD)

Annual Percentage Rate (APR)

As to a title insurance policy, a rider or attachment forming a part of the insurance policy expanding or limiting coverage.

A right, privilege or interest limited to a specific purpose that one party has in the land of another.

Legal Description

A form of encumbrance that usually makes a specific parcel of real property the security for the payment of a debt or discharge of an obligation. For example, judgments, taxes, mortgages, deeds of trust.

TRID

Form designed to provide disclosures that will be helpful to borrowers in understanding the key features, costs and risks of the mortgage loan for which they are applying. Initial disclosure to be given to the borrower three (3) business days after application.

A trust type of account established by lenders for the accumulation of borrower’s funds to meet periodic payments of taxes, mortgage insurance premiums and/or future insurance policy premiums, required to protect their security.

Deed Restrictions

Limitations in the deed to a parcel of real property that dictate certain uses that may or may not be made of the real property.

Endorsement

The date the amounts are to be disbursed to a buyer and seller in a purchase transaction or the date funds are to be paid to the borrower or a third party in a transaction that is not a purchase transaction.

Recording

Mortgage

Appraisal

Impounds

A written instrument whereby a principal gives authority to an agent. The agent acting under such a grant is sometimes called an “Attorney-in-Fact.”

Filing documents affecting real property with the appropriate government agency as a matter of public record.

Closing Disclosure form designed to provide disclosures that will be helpful to borrowers in understanding all of the costs of the transaction. This form will be given to the consumer three (3) business days before closing.

Generally the date the buyer becomes the legal owner and title insurance becomes effective.

Power of Attorney

Settlement statement

AZ Sellers Guide | 9

A payment that includes Principal, Interest, Taxes, and Insurance.

Provides a complete breakdown of costs involved in a real estate transaction.

Reviews title commitment / preliminary report. Upon receipt of opening packages, orders demands for payoffs. Contacts buyer or seller when additional information is required for the title preliminarycommitment/report.

Coordinates with Escrow Officer on the preparation of the Closing Disclosure, which is delivered to Buyer at least 3 days prior to loan documents,UponDeliversconsummation.loandocumentstoescrow.reviewofsignedloanauthorizesloanfunding.

Chooses a Real Estate Agent

Schedules inspections and evaluates findings. Reviews title BuyerpriorlenderpaperworkProvidespreliminarycommitment/report.allrequestedtoLender(bankstatements,taxreturns,etc.)Allinvoicesandfinalapprovalsshouldbetothenolaterthan10daystoloanconsummation.Lender(orEscrowOfficer)preparesCDanddeliverstoatleast3dayspriortoloanconsummation.Escrowofficerorrealestateagentcontactsthebuyertoschedulesigningappointment.Buyerconsummatesloan,executessettlementdocuments,&depositsfundsviawiretransfer.Documentsarerecordedandthekeysaredelivered!

Accepts Buyer’s application and begins the qualification process. Provides Buyer with Loan Estimate.

Completes and returns opening package from First American Title.

Makes offer to purchase. Upon acceptance, opens escrow and deposits earnest money.

Accepts Buyer’s offer to openingCompletespurchase.andreturnspackagefromFirstAmericanTitle,includinginformationsuchasforwardingaddress,payofflendercontactinformationandloannumbers.Ordersanyworkforinspectionsand/orrepairstobedoneasrequiredbythepurchaseagreement.Escrowofficerorrealestateagentcontactsthesellertoschedulesigningappointment.Documentsarerecordedandallproceedsfromsalearereceived.

Prepares recording instructions and submits docs for recording.

AZ Sellers Guide | 10

Orders and reviews title commitment / preliminary report, property appraisal, credit report, employment and funds verification.

Requests necessary information from buyers and sellers via opening packages.

Chooses a Real Estate Agent

Finalizes loan application with Lender. Receives a Loan Estimate from Lender.

Underwritingapproval.reviews loan package for approval.

Once loan is consummated, sends funding package to lender for review.

THE SELLER

Coordinatesconsummation.withlender on the preparation of the CD.

All demands, invoices, and fees must be collected and sent to lender at least 10 days prior to loan

Reviews all documents, demands, and instructions and prepares settlement statements and any other required documents.

Upon receipt of order and earnest money deposit, orders title examination.

The Life Of An Escrow

Gets pre-approval letter from Lender and provides to Real Estate Agent.

THE ESCROW OFFICER

Schedules signing appointment and informs buyer of funds due at settlement.

Collects information such as title commitment / preliminary report, appraisal, credit report, employment and funds verification. Reviews and requests additional information for final loan

THE LENDER

Documents are recorded and funds are disbursed. Issues final settlement statement.

THE BUYER

Closing Costs: Who Pays What

AZ Sellers Guide | 11 CASH FHA VA CONV 1. Downpayment BUYER BUYER BUYER BUYER 2. Termite (Wood Infestation) Inspection (negotiable except on VA) SELLER 3. Property Inspection (if requested by buyer) BUYER BUYER BUYER BUYER 4. Property Repairs, if any (negotiable) SELLER SELLER SELLER SELLER 5. New Loan Origination Fee (negotiable) BUYER BUYER BUYER 6. Discount Points (negotiable) BUYER BUYER BUYER 7. Credit Report BUYER BUYER BUYER 8. Appraisal or Extension Fee (negotiable) BUYER BUYER BUYER 9. Existing Loan Payoff SELLER SELLER SELLER SELLER 10. Existing Loan Payoff Demand SELLER SELLER SELLER SELLER 11. Loan Prepayment Penalty (if any) SELLER SELLER SELLER SELLER 12. Next Month’s PITI Payment BUYER BUYER BUYER 13. Prepaid Interest (approx. 30 days) BUYER BUYER BUYER 14. Reserve Account Balance (Credit seller / Charge buyer) PRORATE PRORATE PRORATE 15. FHA MIP, VA Funding Fee, PMI Premium BUYER BUYER BUYER 16. Assessments payoff or proration (sewer, paving, etc.) SELLER 17. Taxes PRORATE PRORATE PRORATE PRORATE 18. Tax Impounds BUYER BUYER BUYER 19. Tax Service Contract SELLER SELLER BUYER 20. Fire/Hazard Insurance BUYER BUYER BUYER BUYER 21 Flood Insurance BUYER BUYER BUYER 22. Homeowners Association (HOA) Transfer Fee BUYER or SELLER BUYER or SELLER BUYER or SELLER BUYER or SELLER 23. HOA/Disclosure Fee SELLER SELLER SELLER SELLER 24 Current HOA Payment PRORATE PRORATE PRORATE PRORATE 25. Next Month’s HOA Payment BUYER BUYER BUYER BUYER 26. Home Warranty Premium (negotiable) BUYER or SELLER BUYER or SELLER BUYER or SELLER BUYER or SELLER 27. REALTORS®’ Commissions SELLER SELLER SELLER SELLER 28. EAGLE Homeowners Title Policy SELLER SELLER SELLER SELLER 29. Lenders Title Policy and Endorsements BUYER BUYER BUYER 30. Escrow Fee (NOTE: Charge seller on VA Loan) SPLIT SPLIT SELLER SPLIT 31. Recording Fees (Flat rate) SPLIT SPLIT SPLIT SPLIT 32. Reconveyance/Satisfaction Fee SELLER SELLER SELLER SPLIT 33. Courier/Express Mail Fees SPLIT SPLIT SELLER SPLIT THIS CHART INDICATES WHO CUSTOMARILY PAYS WHAT COSTS Note: Prorated items will appear on Closing Statement as charges for one and credits for the other.

AZ Sellers Guide | 12

The escrow is the process of having a neutral party manage the exchange of money for real property. The escrow holder is known as an escrow or settlement officer or agent. The buyer deposits funds and the seller deposits a deed with the escrow holder along with all of the other documents required to remove all "contingencies" (conditions and approvals) in the purchase agreement prior to closing.

HOW IS AN ESCROW OPENED?

From this point, the escrow holder will follow the mutual written instructions of the buyer and seller, maintaining a neutral stance to ensure that neither party has an unfair advantage over the other. The escrow holder also follows the instructions of the Buyer's new lender, the seller's existing lender, and both parties' agents. The escrow holder ensures the transparency of the transaction, while carefully maintaining the privacy of the consumers.

Once a purchase agreement is signed by all necessary parties, the agent representing the party who will pay the fee selects an escrow holder and the buyer's earnest money deposit and contract are submitted to the escrow holder.

The Escrow Process

WHAT IS AN ESCROW?

AZ Sellers Guide | 13

Request funds from buyer and buyer’s new lender

Set separate appointments allowing the buyer and seller to sign documents and deposit funds

Review documents and ensure all conditions are fulfilled and certain legal requirements are met

commitment and begin the process of working with you and the title officer to eliminate the title exceptions the buyer and the buyer’s new lender are not willing to take subject to. This includes ordering a payoff demand from your existing lender.

Prepare and send final documents to all parties

Coordinate with the buyer’s lender on the preparation of the Closing Disclosure (CD)

Conduct a title search to determine the ownership and title status of the real Reviewpropertythetitle

Open escrow and deposit good faith funds into an escrow account

Prorate fees, such as real property taxes, per the contract and prepare the settlement statement

When all funds are deposited and conditions met, record documents with the County Recorder to transfer the real property to the buyer

Your Escrow Professional May:

After recording is confirmed, close escrow and disburse funds, including proceeds, loan payoffs, tax payments, and more

The Title Industry & Title Insurance in Brief

Title Insurance

AZ Sellers Guide | 14

Prior to the development of the title industry in the late 1800s, a home-buyer received a grantor’s warranty, attorney’s title opinion, or abstractor’s certificate as assurance of home ownership. The buyer relied on the financial integrity of the grantor, attorney, or abstractor for protection. Today, home-buyers look primarily to title insurance to provide this protection. Title insurance companies are regulated by state statute. They are required to post financial guarantees to ensure that any claims will be paid in a timely fashion. They also must maintain their own “title plants” which house duplicates of recorded deeds, mortgages, plats, and other pertinent county property Understandingrecords.

WHY IS TITLE INSURANCE NEEDED?

You pay for your owner’s title insurance policy only once, at the close of escrow. Who pays for the owner’s policy and loan policy varies depending on local customs.

WHAT IS TITLE INSURANCE?

WHEN IS THE PREMIUM DUE?

Title insurance provides coverage for certain losses due to defects in the title that, for the most part, occurred prior to your ownership. Title insurance protects against defects such as prior fraud or forgery that might go undetected until after closing and possibly jeopardize your ownership and investment.

Title insurance insures buyers against the risk that they did not acquire marketable title from the seller. It is primarily designed to reduce risk or loss caused by defects in title from the past. A loan policy of title insurance protects the interest of the mortgage lender, while an owner’s policy protects the equity of you, the buyer, for as long as you or your heirs (in certain policies) own the real property.

5 There are restrictive covenants

14 Restrictive covenant violations Post-policy forgery

31 Insurance coverage for a lifetime

32 Post-policy inflation coverage with automatic increase in value up to 150% over five years

6 There is a lien on your title because there is:

24 Discriminatory covenants Other benefits:

11 Unrecorded lien by a homeowners association Unrecorded easements Building permit violations*

33 Post-policy Living Trust coverage

Compare First American’s Eagle Policy® for Owners EAGLE StandardALTAorCLTA

15

8 Mechanics lien

16 Post-policy encroachment Post-policy damage from extraction of minerals or water

3 Forgery, fraud, duress in the chain of title

a) a deed of trust

1 Someone else owns an interest in your title

a) extends on another property and/or easement

2 A document is not properly signed

7 Title is unmarketable

c) a charge by a homeowner’s association

10 Cannot use the land for a Single-Family Residence because the use violates a restriction in Schedule B or a zoning ordinance

9 Forced removal of a structure because it:

23 Violation of building setback regulations

30 Added ownership coverage leads to enhanced marketability

28 Compliance with Subdivision Map Act

b) a judgement, tax, or special assessment

19

22 Covenant violation resulting in your title reverting to a previous owner

13

20 Post-policy adverse possession

27 Plain language statements of policy coverage and restrictions

29 Coverage for boundary wall or fence encroachment*

17

As with any insurance contract, the insuring provisions express the coverage afforded by the title insurance policy and there are exceptions, exclusions and conditions to coverage that limit or narrow the coverage afforded by the policy. Also, some cov erage may not be available in a particular area or transaction due to legal, regulatory, or underwriting considerations. Please contact a First American representative for further information. The services described above are typical basic services. The services provided to you may be different due to the specifics of your transaction or the location of the real property involved.

c) violates an existing zoning law*

18 Lack of vehicular and pedestrian access Map not consistent with legal description

4 Defective recording of any document

b) violates a restriction in Schedule B

21 Post-policy prescriptive easement

* Deductible and maximum limits apply. Not available to investors on 1- to 4-unit residential properties. Coverage may vary based on an individual policy.

12

26

25 Pays rent for substitute land or facilities Rights under unrecorded leases

AZ Sellers Guide | 15

Compare First American’s Eagle Policy® for Owners EAGLE StandardALTAorCLTA

Protection from:

AZ Sellers Guide | 16

One escrow transaction could involve more than 20 individuals, including real estate agents, buyers, sellers, attorneys, escrow officer, escrow technician, title officer, loan officer, loan processor, loan underwriter, home inspector, termite inspector, insurance agent, home warranty representative, contractor, roofer, plumber, pool service, and so on. And often, one transaction depends on another.

When you consider the number of people involved, you can imagine the opportunities for delays and mishaps. Your experienced escrow team can’t prevent unforeseen problems from arising; however, they can help smooth out the process.

Consider This

THE CLOSING DISCLOSURE

The escrow holder is obligated by law to have the designated amount of money before releasing any funds. If you have questions or foresee a problem, let your escrow holder know immediately.

THE CLOSING OR SIGNING APPOINTMENT

DON'T FORGET YOUR IDENTIFICATION

Once the loan is approved and all invoices and paperwork have been provided, the lender and escrow officer will collaborate on the preparation of the Closing Disclosure (CD). In order to close on time, all paperwork and invoices should be submitted at least 10 days prior to the expected close of escrow date. The borrower must receive the CD at least three days* prior to consummation of the loan (typically the signing date). The escrow officer will also prepare an estimated settlement statement and inform the buyer of the balance of the down payment and closing costs needed to close escrow.

You will need valid identification with your photo I.D. on it when you sign documents that need to be notarized (such as a deed). A driver's license is preferred. You will also be asked to provide your social security number for tax reporting purposes, and a forwarding address.

If the loan documents are satisfactory, the lender will send funds directly to the escrow holder. When the loan funds are received, the escrow holder will verify that all necessary funds are in. Escrow funds will be disbursed to the seller and other appropriate payees. Then, the REALTOR® will present the keys to the property to the buyer.

The escrow holder will contact you or your agent to schedule a closing or signing appointment. In some states, this is the "close of escrow." In some others, the close of escrow is either the day the documents record or that funds are disbursed. Ask your escrow holder if you would like clarification about your state's laws.

AZ Sellers Guide | 17

Closing Your Escrow

You will have a chance to review the settlement statement and supporting documentation. This is your opportunity to ask questions and clarify terms. You should review the settlement statement carefully and report discrepancies to the escrow officer. This includes any payments that may have been missed. You are responsible for all charges incurred even if overlooked by the escrow holder, so it's better to bring these to their attention before closing.

*For purposes of the Closing Disclosure“business day” is defined as every day except Sundays and Federal legal holidays.

WHAT HAPPENS NEXT?

If the buyer is obtaining a new loan, the buyer’s signed loan documents will be returned to the lender for review. The escrow holder will ensure that all contract conditions have been met and will ask the lender to "fund the loan."

Research moving options You’ll need to decide if yours is a do-it-yourself move or if you’ll be using a moving company.

Service small engines for your move by extracting gas and oil from the machines. This will reduce the chance to catch fire during your move.

Obtain your medical records. Contact your doctors, physicians, dentists and other medical specialists who may currently be retaining any of your family’s medical records. obtain these records or make plans for them to be delivered to your new medical facilities.

Start packing. Begin packing for your new location.

Service automobiles If automobiles will be driven long distances, you’ll want to have them serviced for a trouble-free drive.

Note food inventory levels Check your cupboards, refrigerator and freezer to use up as much of your perishable food as possible.

Contact insurance companies. (Life, Health, Fire, Auto) You’ll need to contact your insurance agent to cancel/transfer your insurance policy. Do not cancel your insurance policy until you have and closed escrow on the sale.

. Once the house is empty, check the entire house (closets, the attic, basement, etc) to ensure no items are left or no home issues exist.

Sign the bill of lading. Once your satisfied with the mover’s packing your items into the truck, sign the bill of lading. If possible, accompany your mover while the moving truck is being weighed.

Contact utility companies Set utility turnoff date, seek refunds and deposits and notify them of your new address.

MOVING

Protect jewelry and valuables. Transfer jewelry and valuables to safety deposit box so they can not be lost or stolen during your move.

FOUR WEEKS BEFORE:

Scan your furniture. Check furniture for scratches and dents before so you can compare notes with your mover on moving day.

Prepare Floor Plan. Prepare floor plan for your new home. This will help avoid confusion for you and your movers.

ReviewDAY:thehouse

ONE WEEK BEFORE:

Discard unnecessary items Moving is a great time for ridding yourself of unnecessary items. Have a yard sale or donate unnecessary items to charity.

Double check with your mover. Make sure your mover has the new address and your contact information should they have any questions during your move.

Vacate your home. Make sure utilities are off, doors and windows are locked and notify your real estate agent you’ve left the property.

Plan your itinerary. Make plans to spend the entire day at the house or at least until the movers are on their way. Someone will need to be around to make decisions. Make plans for kids and pets to be at the sitters for the day.

Packing materials. Gather moving boxes and packing materials for your move.

Borrowed and rented items. Return items which you may have borrowed or rented. Collect items borrowed to others.

Seek employer benefits. If your move is work-related, your employer may provide funding for moving expenses. Your human resources rep should have information on this policy.

Changing Schools. If changing schools, contact new school for registration process.

Request moving quotes Solicit moving quotes from as many moving companies and movers as possible. There can be a large difference between rates and services within moving companies.

Bank accounts Notify bank of address change. Make sure to have a money order for paying the moving company if you are transferring or closing accounts.

SIX WEEKS BEFORE:

Planning your move

AZ Sellers Guide | 18

Create an inventory sheet of items to move.

Change of address. Visit USPS for change of address form.

Travel items. Set aside items you’ll need while traveling and those needed until your new home is established. Make sure these are not packed in the moving truck!

Cancel services. Notify any remaining service providers (newspapers, lawn services, etc) of your move.

Your Notes:

AZ Sellers Guide | 19

Your Notes:

AZ Sellers Guide | 20

AZ Sellers Guide | 21

Your Notes:

NW corner of Williams Field Rd./ Val Vista Rd.

SE corner of Pima/Legacy

SE corner of Recker & Brown

8 CAREFREE 7202480.575.6609E.Carefree Dr , Bldg 1, #1 Carefree, AZ 85377

AZ Sellers Guide | 22

NE corner of Tom Darlington/ Carefree Dr.

11 DC CROSSING 18291480.563.9034N.Pima Rd , #145 Scottsdale, AZ 85255

SW corner Chandler/45th St.

4 THE LEGENDS 20241623.537.1608N.67th Ave , #A-2 Glendale, AZ 85308

NE corner Daisy Mtn Dr/ Gavilan Peak Pkwy

First American Title Branch Locator

NE Corner of Camelback/32nd Street

1 SUN CITY WES T 13940623.299.3644W.Meeker Blvd., #119 Sun City West, AZ 85375

E side 67th Ave/N of 101

6 BILTMORE 3200602.954.3644ECamelback Rd., #123 Phoenix, AZ 85018

7 TATUM RIDGE 480.515 4369 11211 N Tatum Blvd, #A150 Phoenix, AZ 85028

15 MESA 1630480.401.3738S.Stapley Dr., #123 Mesa, AZ 85204

17 GOLD CANYON 6877480.288.0883SouthKings Ranch Rd., #5 Gold Canyon, AZ 85118 E of South60/Side Kings Ranch Rd.

W of Scottsdale Road, S side of Greenway

12 AHWATUKEE 4435480.753.4424E.Chandler Blvd , #100 Phoenix, AZ 85048

2 GOODYEAR 1626623.936.8001N.Litchfield Rd. Ste. #170 Goodyear, AZ 85395

SW Corner Chandler Blvd./ Dobson Rd.

N of Meeker Blvd

N of Baseline / W of Stapley

16 RED MOUNTAIN 1135480.534.3599N.Recker Rd., #103 Mesa, AZ 85205

E Side Scottsdale/S of Lincoln

1 4 3 2 6 12 10 5 8 7 11 9 CRISMON BUTTESIGNAL GOLDFIELD OLDWESTHWY SKINGSRANCH 14 17 15 13 16 ArizonaCentral

14 GILBERT SAN TAN 1528480.777.0614E.Williams Field Rd., #101 Gilbert, AZ 85295

9 KIERLAND COMMONS 14648480.948.6488NScottsdale Rd., Ste. #100 Scottsdale, AZ 85254

S of Bell/E side of 83rd Ave

10 SCOTTSDALE FORUM 6263480.551.0480N.Scottsdale Rd., #110 Scottsdale, AZ 85250

W of R.H. Johnson

5 ANTHEM 39508623.551.3265N.Daisy Mountain Dr., #128 Anthem, AZ 85086

N of Shea, E side of Tatum

13 CHANDLER PORTICO 2121480.777.0051W.Chandler Blvd., #215 Chandler, AZ 85224

NW corner of McDowell & Litchfield

3 ARROWHEAD 16165623.487.0404N.83rd Ave , #100 Peoria, AZ 85382

11 RIVER 520.529.1944 | Fax 520.615.2945 1650 E. River Rd., Ste. 105 Tucson, AZ 85718

12 SKYLINE 520.529.0506 | Fax 520.529.8998 2890 E. Skyline Dr., Ste. 200 Tucson, AZ 85718

3 CAMBRIC 520.577.8707 | Fax 520.529.5034 1840 E. River Rd., Ste. 200 Tucson, AZ 85718

4 CASA GRANDE 520.426.4600 | Fax 520.426.4699 421 E. Cottonwood Ln. Casa Grande, AZ 85122

5 CASAS ADOBES 520.575.1900 | Fax 520.432.0168 6760 N. Oracle Rd., Ste. 100B Tucson, AZ 85704

10 RITA ROAD 520.618.7790 | Fax 520.901.1720 10222 East Rita Rd., Ste. 190 Tucson, AZ 85747

6 FOOTHILLS 520.299.4606 | Fax 520.577.6993 6262 N Swan Road, Suite 205 Tucson, AZ 85718

1 MAIN OFFICE 520.885.1600 | Fax 520.885.2309 6390 E. Tanque Verde Rd. Tucson, AZ 85715

7 GREEN VALLEY 520.625.1095 | Fax 520.958.9663 190 W. Continental Rd., Ste. 226 Green Valley, AZ 85622

2 BROADWAY 520.747.1644 | Fax 520.747.1403 3777 E. Broadway Blvd., Ste. 220 Tucson, AZ 85716

8 ORO VALLEY/LA CANADA 520.877.9200 | Fax 520.202.6348 11165 N. La Canada Dr., Ste. 143 Oro Valley, AZ 85737

9 ORO VALLEY/ORACLE 520.229.9194 | 520.297.2576 Fax 520.229.9210 | 520.742.5866 8500 N. Oracle Rd., Ste 100 Oro Valley, AZ 85704

13 TANQUE VERDE 520.202.2626 | Fax 520.495.6151 7479 E. Tanque Verde Tucson, AZ 85715

AIRPORTINT'LTUCSON Air Force WSilverbellRd SSantaRitaRd NMtLemmon Hwy ESascoRd W Avra Valley Rd E G and Va ey DrNAguirreRd dRkLNucet dRWNentzNWatermanMountainRd RdAnwayN W El Tiro Rd NTricoRd W Tucke Rd W Rudasi Rd W Manv l e Rd SSanJoaquinRdWBopp Rd W Snyder H RddRSMarstear W Park Rd W Hermans RdW He mans Rd W Guy St W Bush Rd SGarveyRd eaCNlRinconado SWimotRd SShawRd SSierritaMountainRd SKobRdW Tw nButtes Rd W Mcgee Ranch Rd ESstanca BNearCanyonRdW E Cam no De Cerro E Fairmount St SSwanRd NFrontageRd W Emigh Rd W Fort Lowe Rd dSPNumptationR Cont nental Ave NTricoRd SOwlHeadGasLineRd NTricoRd W Bayard Rd dRSSandaro N Dove Mountain Blvd SHelvetiaRd WAnamax Mine Rd dRhRiGWarcaanc Road424 WRagged Top Rd W Ruby S a Dr WBritten RanchRd W Pima Mine Rd ellRdS S Mcgee RanchRd E Edw n Rd 80 NKINNEYRDSNANDARIORDNANWAYRD W VALENCIA RD W MOORE RD W INA RD ESN1TAV E SUNRISE DR E SNYDER RDNSILVERBELLRD TRSNOLDIERLE RIVER RDE PRINCE RD E SPEEDWAY BLVD SFREEMANRDE 22ND ST E 22ND ST W IRVINGTON RD SNOGALESHWY W VALENCIA RDSMISSIONRDWSPEEDWAY BLVD SOLDSPANISHTRL W NARANJA DR W TWIN PEAKS RD W PICTURE ROCKS RD W MANVILLE RD SKINNEYRD W MILE WIDE RD E SAHUARITA RD NTRICORD OSSANDARIRD SOLDNOGALESHWY GUOSHHTONRD ADCSLAANADRW HELMET PEAK RD WAJOHWY RNASNWD RDKOLBS SHOUGHTONRD W TANGERINE RD E GRANT RD SHOUGHTONRD 95 WAJOHWY E VALENCIA RD NORACLERD I-10 I-19 77 77 86 86 286 19 10 10 Corona de Tucson AdobesCasas Catalina Green Valley Picture Rocks Three Points VailSummit TanqueVerde SahuaritaTucson Saddlebrooke Marana Oro Valley Rillito SummerhavenWillow Canyon Oracle Junction Cortaro Continental Littletown 2 3758 9 10 11 13 12 6 1 SouthernArizona First American Title Branch Locator AIRPORTINT'LTUCSON Air Force FreemanRd WSilverbellRd NMtLemmon Hwy ESascoRd NF38 W Avra Val ey Rd WSCuryRdHanna Rd E Grand Va ey D W Houser Rd W Ph ps Rd E Co nman Rd NAguirreRd dRkLNucet dRWNentzNWatermanMountainRd RdAnwayN W El Tiro Rd NTricoRd W Tucke Rd W Rudas Rd W Manv e Rd SSanJoaquinRdWBopp Rd W Snyde H RddRlSMarsear W Pa k Rd W He mans RdW Hermans Rd W Guy St W Bush Rd SGaveyRd eaCNllRinconado SWimotRd SShawRd SSierritaMountainRd boRdRd W Woodru Rd ONveriedRd W Rando ph Rd W BartlettNRdLaPamaRdNTweedyRd E Randolph Rd W Kleck Rd E K eck Rd W Se ma Hwy STrekellRd SHennessRd E Selma Hwy W Co nman Rd W Pretzer Rd SLambRd SLaPalmaRd E M gan Rd E M gan Rd W A es Dr E Curtis Rd ESsancaDr EDesertDove HearthRd E Hemlock Dr BNearCanyonRdW E Cam no De Cerro E Fairmount St SSwanRd NFrontageRd W Emigh Rd GoffRanchRd NBarkervilleRd W Fort Lowe Rd dSPNumpationR E Nona Rd Ch efButteRd LovettaRd E Hanna Rd TecoloteRanchRd FlorenceRdRomeroRd Con nenta Ave BIA 30 NTricoRd SSunandGnRd SCattleTankRd E E s Rd E Hotts Rd E Nutt Rd Evalyn Rd SOwlHeadRanchRdGasLineRd PSecanRd I on Va ey RdEDeepWellRanchRd SNighSkySt SBadyPumpRdE Houser Rd E Ar ca Rd W Ea ey Rd NTrcoRd W Baya d Rd dRSSandario WillowSpringsRd EHelmwheel Ranch Rd N Dove Mounta n Blvd BIA-35 dRhRiGWarcaanc E Dese H s Rd WRagged Top Rd W Pima Mine Rd WSilverbellRdS E Edw n Rd BIA34 SGuildRd 80 NKINNEYRD SPICACHOHWYE GREENE RESERVOIR RD SSUNLANDGINRD W BATTAGLIA DR AZ-84 E BAUMGARTNER RD SSUNSHINEBLVD SNANDARIORDNANWAYRD E HARMON RD W VALENCIA RD E RODEO RD W MOORE RD W INA RD ESN1TAV E SUNRISE DR E SNYDER RDNSILVERBELLRD TRSNOLDIERLE RIVER RDE PRINCE RD E SPEEDWAY BLVD SFREEMANRDE 22ND ST E 22ND ST W IRV NGTON RD SNOGALESHWY W VALENC A RDSMISSIONRDWSPEEDWAY BLVD SOLDSPANISHTRL W NARANJA DR W TW N PEAKS RD W P CTURE ROCKS RD W MANVILLE RD SKINNEYRD W MILE WIDE RD E SAHUAR TA RD W HARMON RD W MCCARTNEY RD NTRICORD OSSANDARRD PARK LINK DR GUOSHHTONRD ADDR E MART N RD STHORNTONRD W HELMET PEAK RD SCHUICHURD WAJOHWY RNASNWD RDKOLBS SHOUGHTONRD W TANGER NE RD E GRANT RD SHOUGHTONRD NPINALAVE 95 WAJOHWY E VALENCIA RD NORACLERD I10 I-19 I8 77 77 79 77 77 87 86 86 387 287 86 10 19 8 10 10 10 La Palma Chuichu Arizona City Corona de Tucson AdobesCasas Catalina OracleDudleyvilleGrandeCasa Picture Rocks Three Points VailSummit TanqueVerde Eloy SahuaritaTucson Cactus Forest Picacho Red Rock Saddlebrooke Marana Oro Valley HaivanaNakya Rillito SummerhavenWillow Canyon Randolph Toltec Oracle Junction Cortaro Schuchk Littletown 2 4 385 9 10 11 13 12 6 1 AIRPORTINT'LTUCSON Air Force WSilverbellRd SSantaRitaRd NMtLemmon Hwy W Avra Valley Rd guirreRd dRkLNucet dRWNenzNWatermanMountainRd RdAnwayN W El Tiro Rd NTricoRd W Tucke Rd W Rudas Rd W Manv e Rd SSanJoaquinRdWBopp Rd W Snyder H RddRlSMarsear W Park Rd W Hermans RdW He mans Rd W Guy St W Bush Rd SGarveyRd eaCNlRnconado SWmoRd SShawRd SSierritaMountainRd SKobRdW TwinButtes Rd W Mcgee Ranch Rd BNearCanyonRdW E Cam no De Cerro E Fairmount St SSwanRd NFrontageRd W Emigh Rd W Fort Lowel Rd dSPNumptationR NNTricoRdTcoRd W Baya d Rd dRSSandaro N Dove Mountain Blvd SHelvetiaRd WAnamax M ne Rd dRhRiGWacaanc Road424 ed Top Rd W Ruby S ar D WBritten RanchRd W Pima Mine Rd S Mcgee RanchRd 80 NKINNEYRDSNANDARIORDNANWAYRD W VALENC A RD W MOORE RD W INA RD ESN1TAV E SUNR SE DR E SNYDER RDNSILVERBELLRD TRSNOLDIERLE RIVER RDE PRINCE RD E SPEEDWAY BLVD SFREEMANRDE 22ND ST E 22ND ST W IRV NGTON RD SNOGALESHWY W VALENCIA RDSMISSIONRDWSPEEDWAY BLVD SOLDSPANISHTRL W NARANJA DR W TW N PEAKS RD W P CTURE ROCKS RD W MANVILLE RD SKINNEYRD W MILE WIDE RD E SAHUARITA RD NTRICORD OSSANDARIRD SOLDNOGALESHWY GUOSHHTONRD ADCSLAANADRW HELMET PEAK RD WAJOHWY RNASNWD RDKOLBS SHOUGHTONRD W TANGERINE RD E GRANT RD SHOUGHTONRD 95 WAJOHWY E VALENCIA RD NORACLERD I-19 77 77 86 86 286 19 10 10 Corona de Tucson AdobesCasas Catalina Green Valley Picture Rocks Three Points VailSummit TanqueVerde SahuaritaTucson Marana Oro Valley Rillito SummerhavenWillow Canyon Cortaro Continental Littletown 2 3758 9 10 11 13 12 6 1 AZ Sellers Guide | 23

First American Title Insurance Company, and the operating divisions thereof, make no express or implied warranty respecting the information presented and assume no responsibility for errors or omissions. First American, the eagle logo, First American Title, and firstam.com are registered trademarks or trademarks of First American Financial Corporation and/or its affiliates. American Financial Corporation and/or its affiliates. All rights reserved.

©2022 First

05110280522 For more information please contact your First American representative. www.firstam.com

NYSE: FAF

Turn static files into dynamic content formats.

Create a flipbook
Issuu converts static files into: digital portfolios, online yearbooks, online catalogs, digital photo albums and more. Sign up and create your flipbook.