Digital Homebook 1749 W Sonoran View Dr

Page 1

1749WSonoranViewDr. GreenValley,AZ85622

• If you receive an email containing wire transfer instructions, immediately call your escrow officer to ensure the validity of the instructions.

PROTECT

DO NOT TRUST EMAILS SEEKING PERSONAL/FINANCIAL INFORMATION

Client Date Client Date ONLINE RESOURCES: There are many online sources

WIRE FRAUD ADVISORY

DO NOT TRUST EMAILS CONTAINING WIRE INSTRUCTIONS

• Never direct, accept or allow anyone in the transaction to consent to receiving transfer instructions without a direct personal telephone call to the individual allegedly providing the instructions.

to, the following sites: The Federal Bureau of Investigation @ https://www.fbi.gov/scams and safety The Internet Crime Complaint Center @ www.ic3.gov The National White Collar Crime Center @ http://www.nw3c.org/research On Guard Online @ www.onguardonline.gov

Criminals are targeting social media and email to steal information. This is particularly common in real estate transactions because sensitive data, including social security numbers, bank account numbers, and wire instructions are often sent by electronic means. We do not want you to be the next victim of wire fraud. Money wired to a fraudulent account is stolen money that typically cannot be recovered. Additionally, there is generally no insurance for this loss. You may never get the money back.

Before you wire funds to any party (including your lawyer, title agent, mortgage broker, or real estate agent) personally meet them or call a verified telephone number (not the telephone number in the email) to confirm before you act!

• It is imperative that this call be made to a number obtained in person from the individual or through other reliable means, not from a number provided in the email or the wiring instructions

• If you receive an email requesting personal/financial information or asking you to download, click on a link, send, and/or do anything that may seem unusual to you, call your escrow officer immediately prior to acting on the suspicious email to verify the validity of the email.

topics

TRUST YOUR SOURCE OF INFORMATION

YOURSELF VERIFY AND NOTIFY

Immediately notify your banking institution and Settlement/Title Company if you are a victim of wire fraud. The undersigned acknowledges receipt of this Wire Fraud Advisory. that can provide useful information regarding similar including, but not limited

LIMITATION OF LIABILITY FOR INFORMATIONAL REPORTS

IMPORTANT -- PLEASE READ CAREFULLY: This report is not an insured product or service or a representation of the condition of title to real property. It is not an abst ract, legal opinion, opinion of title, title insurance commitment or preliminary report, or any form of Title Insurance or Guaranty. This report is issued exclusively for the benefit of the Applicant therefor and may not be used or relied upon by any other person. This report may not be reproduced in any manner without First American or Title Security's prior written consent. First American or Title Security does not represent or warrant that the information herein is complete or free from error, and the information herein is provided without any warranties of any kind, as-is, and with all faults. As a material part of the consideration given in exchange for the issuance of this report, recipient agrees that First American or Title Security's sole liability for any loss or damage caused by an error or omission due to inaccurate information or negligence in preparing this report shall be limited to the fee charged for the report. Recipient accepts this report with this limitation and agrees that First American or Title Security would not have issued this report but for the limitation of liability described above. First American or Title Security makes no representation or warranty as to the legality or propriety of recipient's use of the information herein.

Subject Property 1749 W Sonoran View Dr Green Valley AZ APN:85622304-68-0100 Data Provided By: First American Title Ins Co © 2022 CoreLogic. All rights reserved

The information contained in the REiSource report is delivered from your Title Company, who reminds you that you have the right as a consumer to compare fees and serviced levels for Title, Escrow, and all other services associated with property ownership, and to select providers accordingly. Your home is the largest investment you will make in your lifetime and you should demand the very best.

There is no representation of warranty that this information is complete or free from error, and the provider does not assume, and expressly disclaims, any liability to any person or entity for loss or damage caused by errors or omissions in this REiSource report without a title insurance policy.

Data

© 2022 CoreLogic. All rights reserved

Provided By: First American Title Ins Co

Disclaimer

This REiSource report is provided "as is" without warranty of any kind, either express or implied, including without limitations any warrantees of merchantability or fitness for a particular purpose.

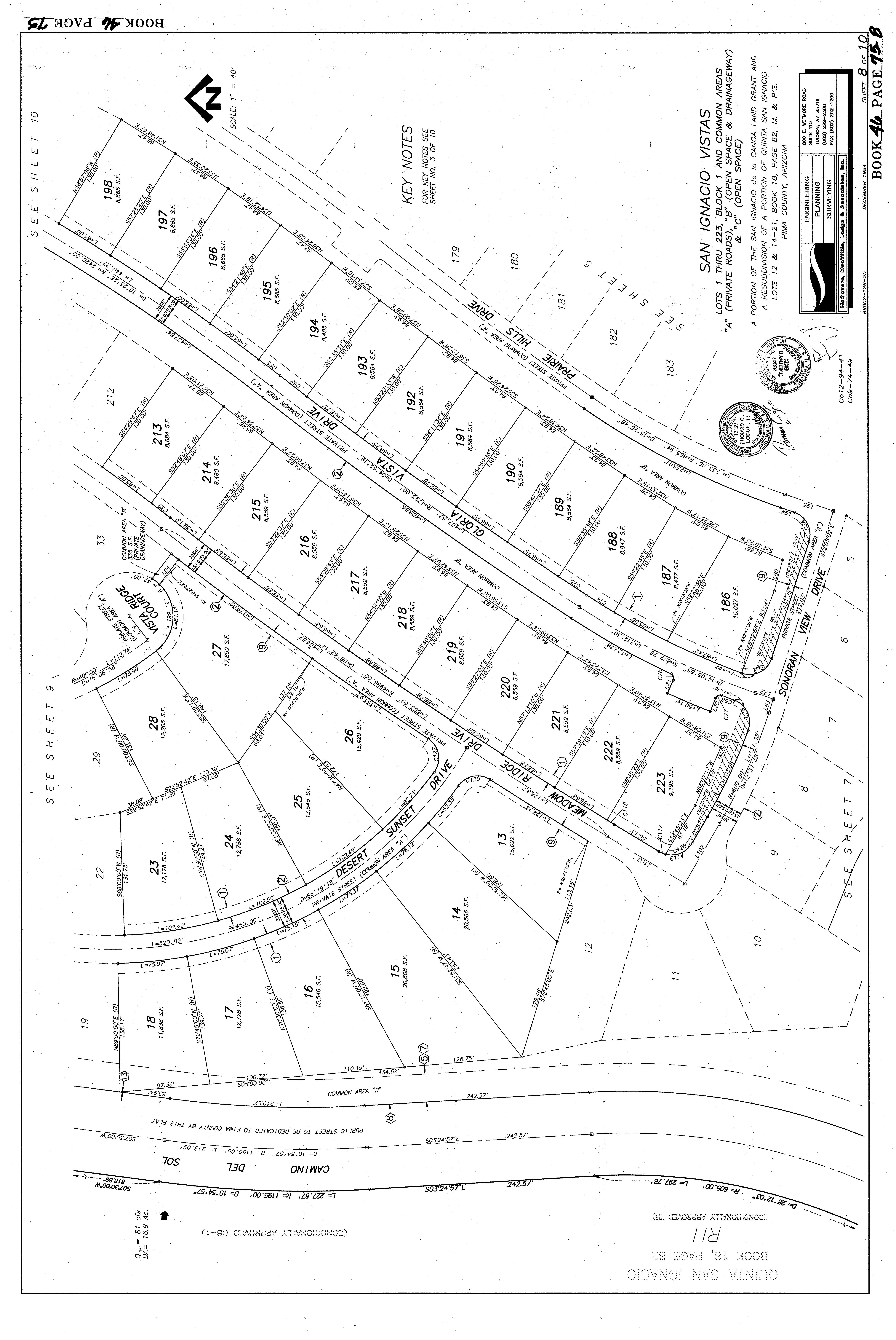
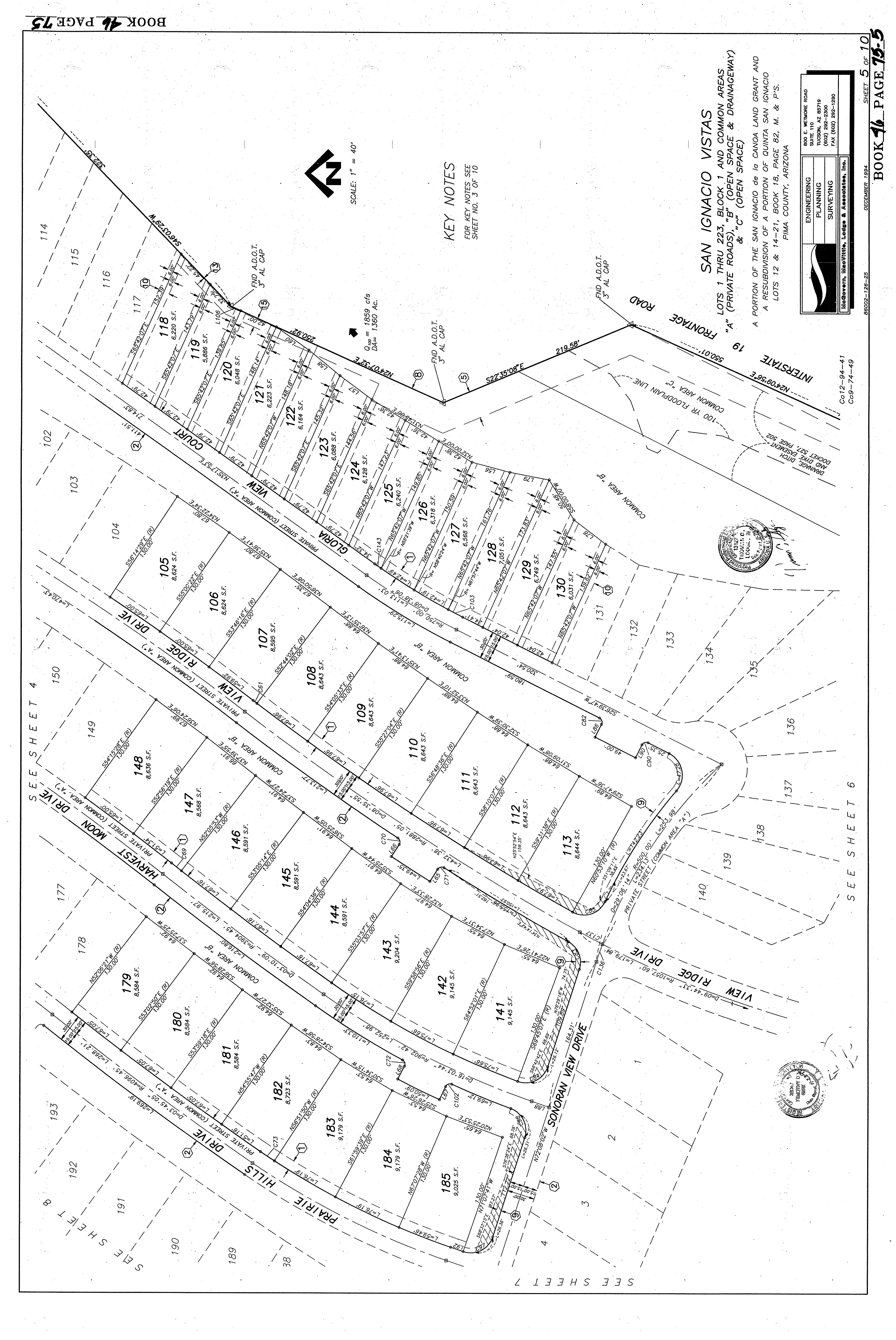
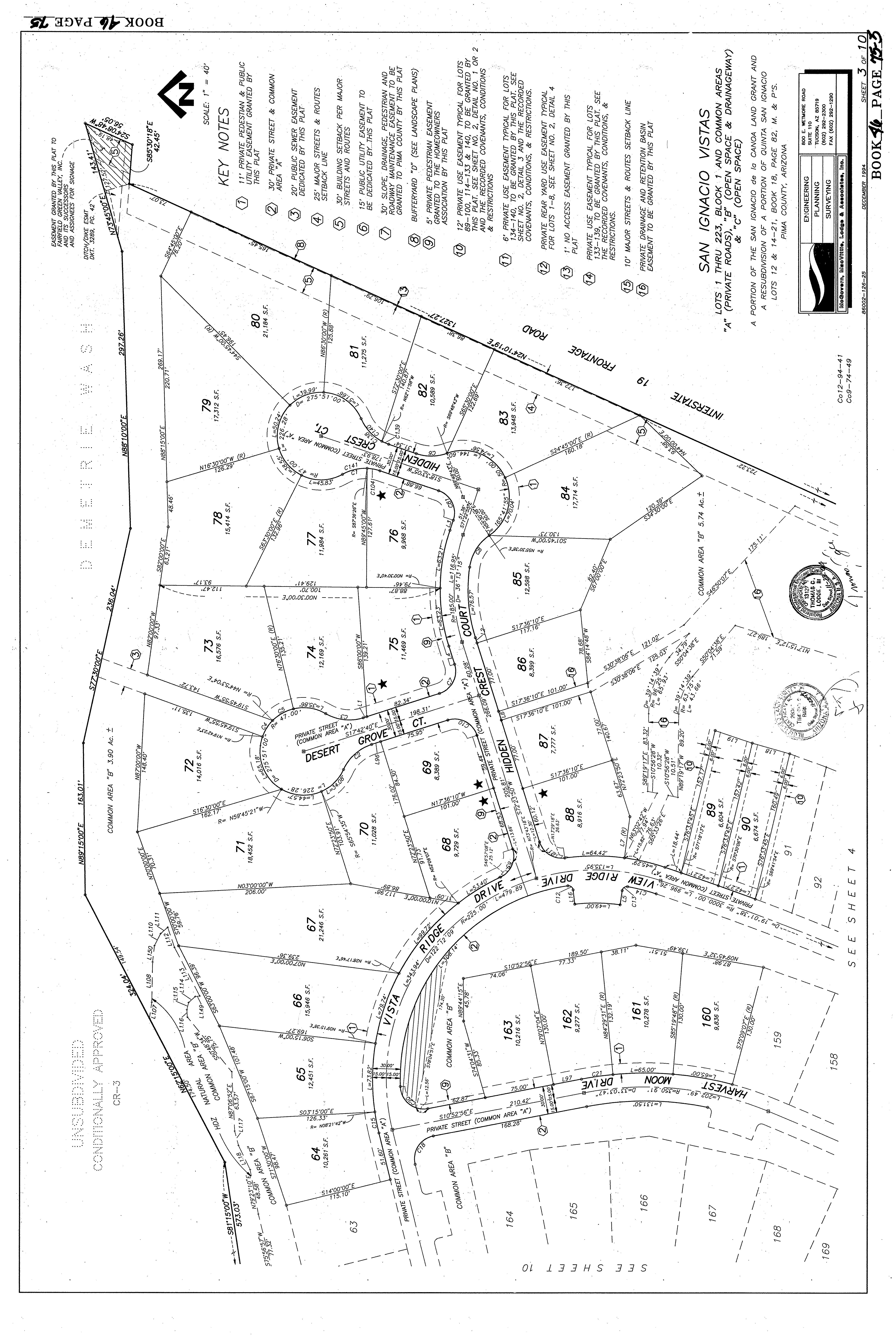
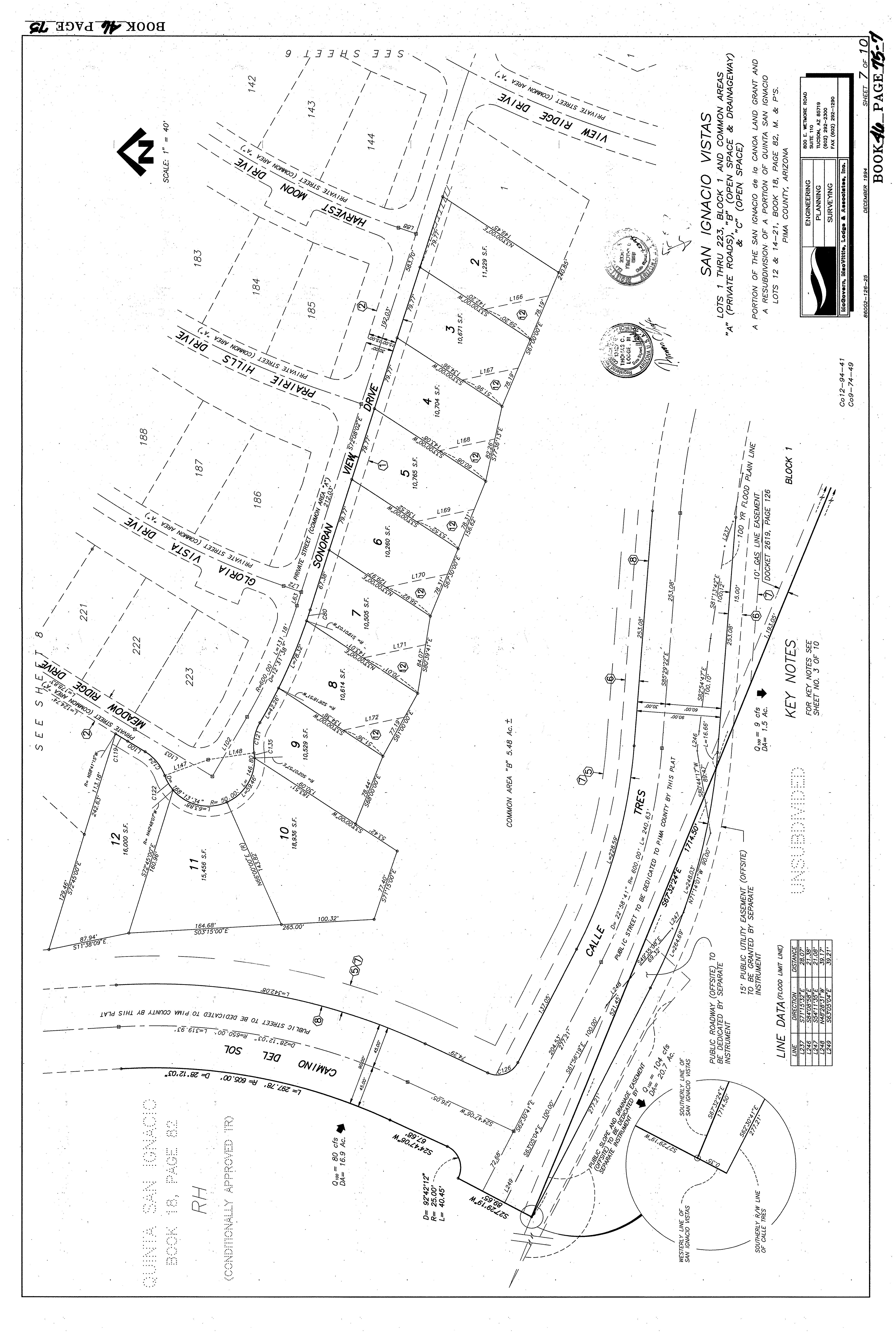
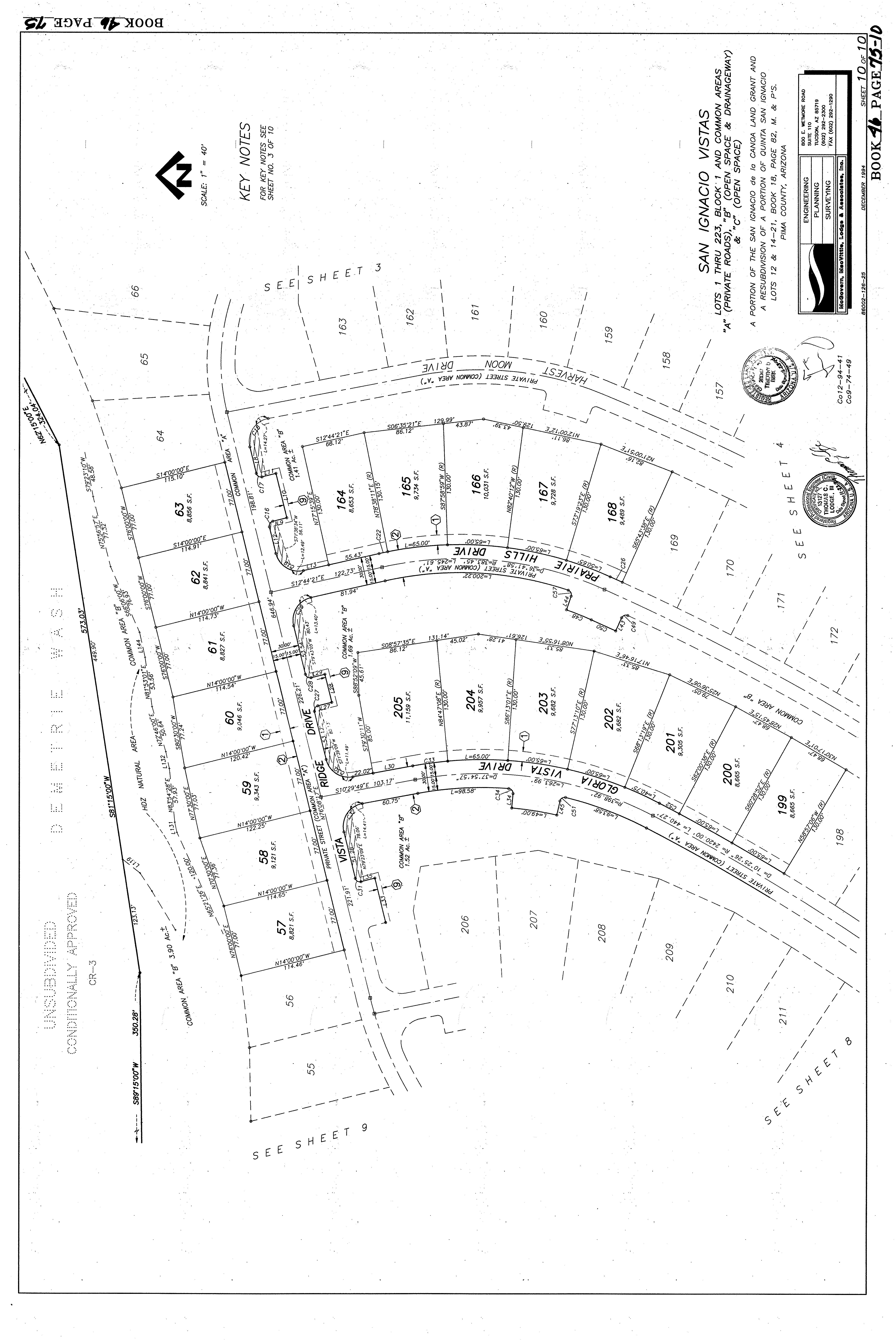
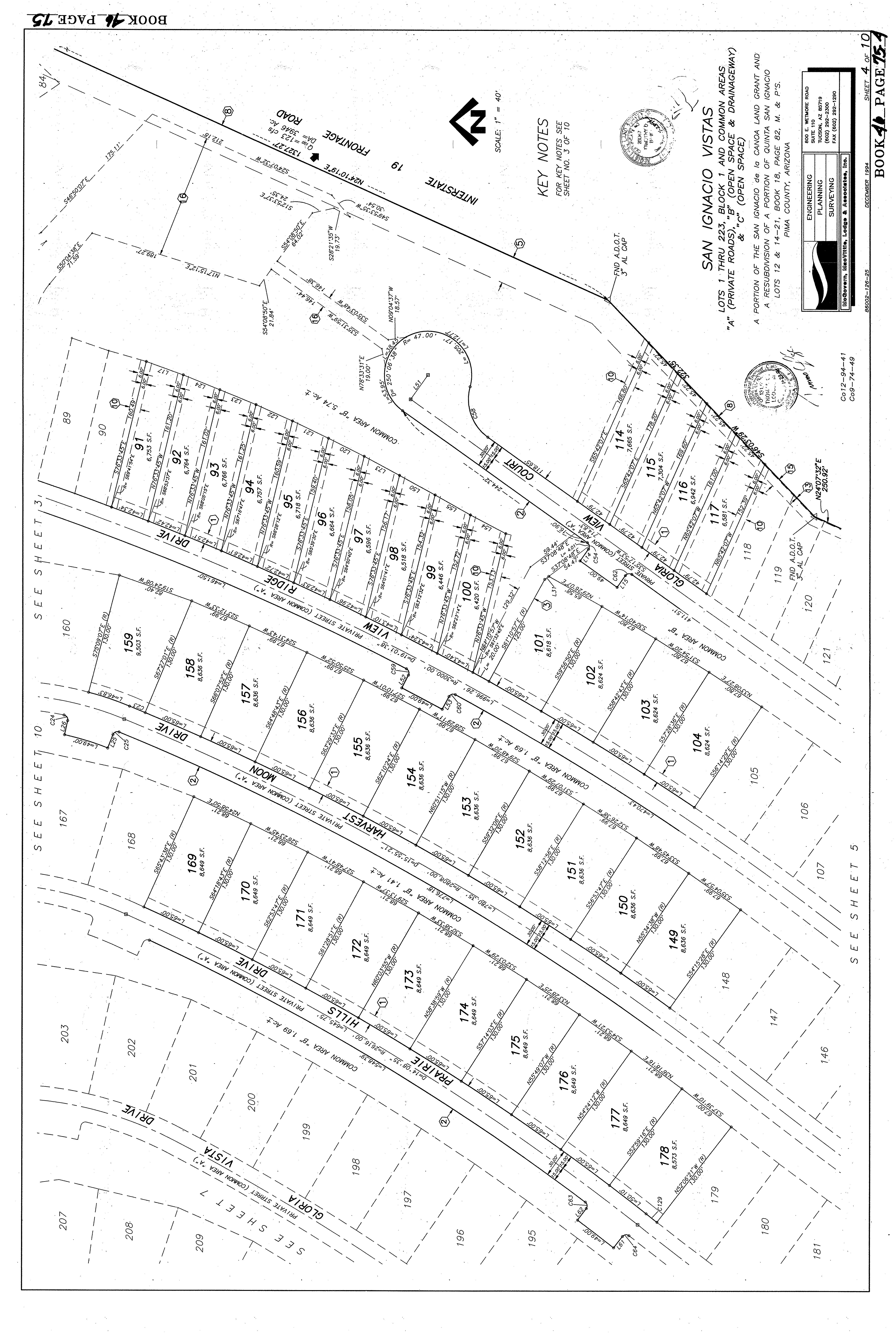
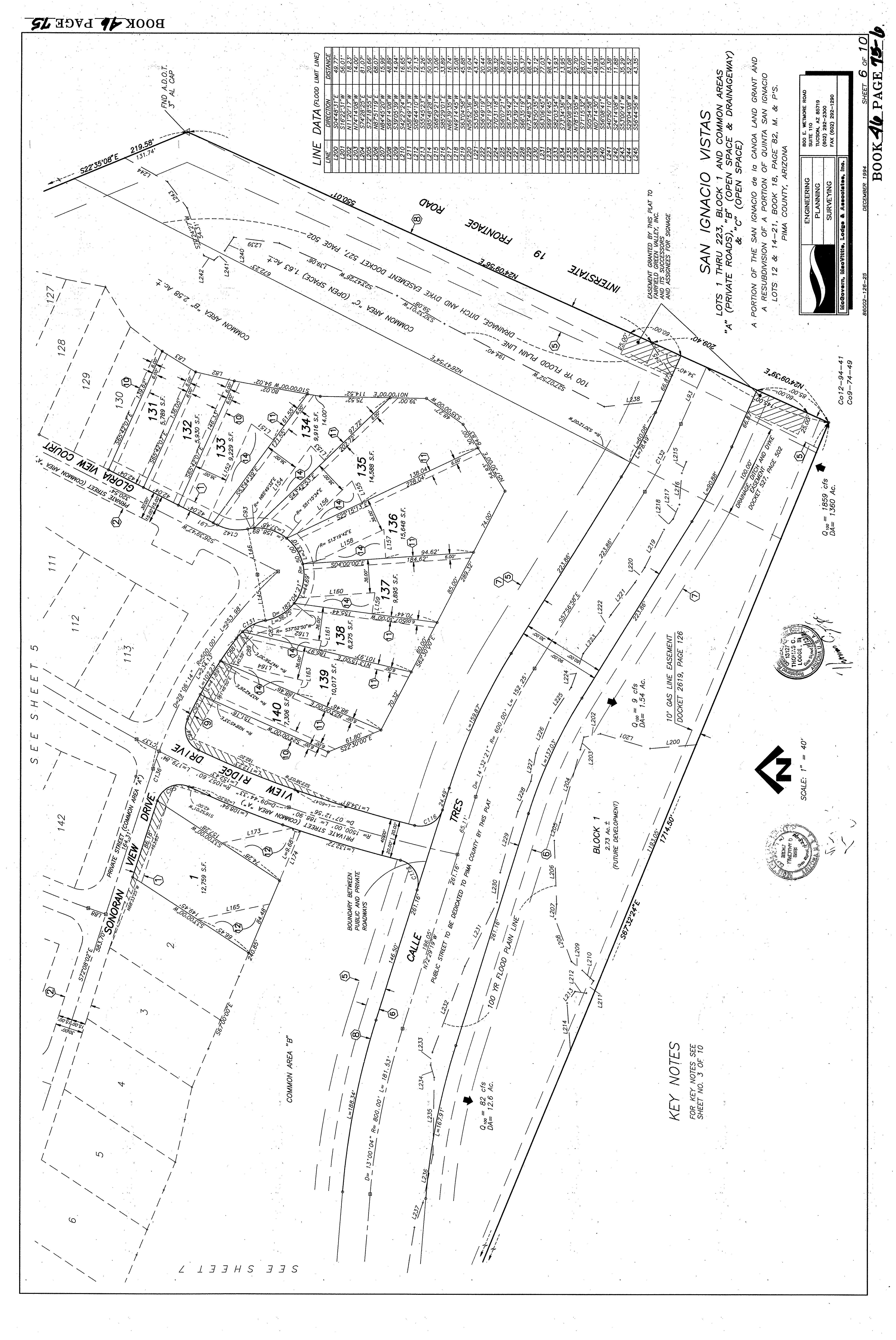
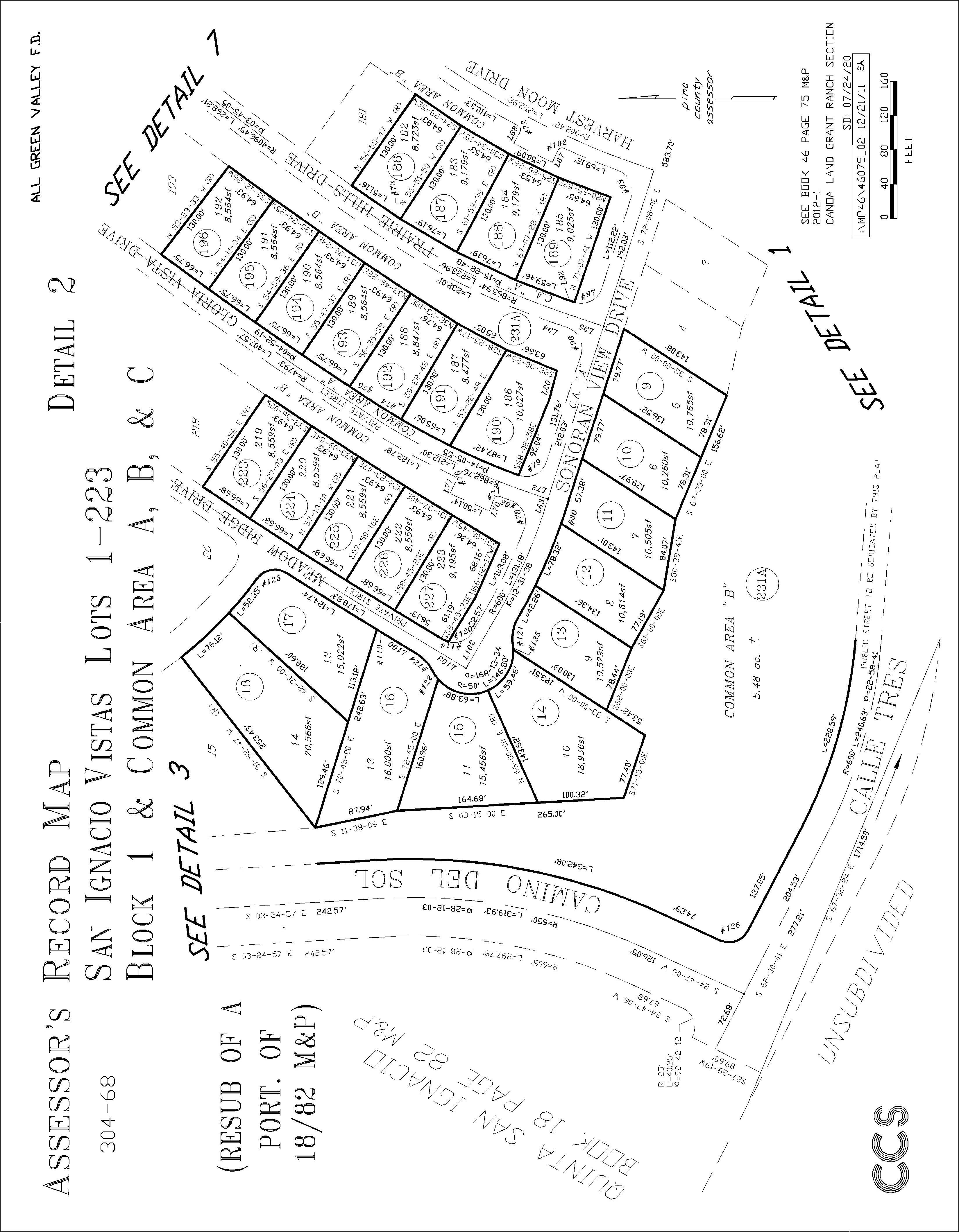
Subject Property :   1749 W Sonoran View Dr Green Valley AZ 85622 Owner Information Owner Name : Long Mailing Address : 1749 W Sonoran View Dr, Green Valley AZ 85622-5822 C058 Vesting Codes : / / Trust Owner OccupiedIndicator : O Location Information Legal Description : San Ignacio Vistas Lot 6 County : Pima, Az Market Area : 832 Census Tract / Block : 43.24 / 4 APN : 304-68-0100 Township-Range- Sect : 19-13E-4 Subdivision : San Ignacio Vistas Legal Book/Page : 46-75 School District : Continental Legal Lot : 6 Munic/Township : Continental Owner Transfer Information Recording/Sale Date : 03/29/2019 / 12/14/2018 Deed Type : Special Warranty Deed Document # : 880670 Last Market Sale Information Recording/Sale Date : 11/15/2017 / 11/03/2017 Deed Type : Warranty Deed Sale Price : $335,000 Price Per SqFt : $133.57 Document # : 3190102 Title Company : Signature Title Agency Corp Seller Name : Blakely Victor & D Trust Prior Sale Information Prior Rec/Sale Date : 02/04/2002 / 02/00/2002 Prior Doc Number : 11729-3502 Prior Sale Price : $319,000 Prior Deed Type : Warranty Deed Customer Name : Chantel Cortez Customer Company Name : FIRST AMERICAN TITLE Prepared On : 08/30/2022 © 2022 CoreLogic. All rights reserved

Property Characteristics Gross Area : 2,508 Capacity :Garage 2 Patio Type : Covered Patio Living Area : 2,508 Roof Material : Built-up Air Cond : Refrigeration Year Built / Eff : 1997 Heat Type : Forced Air Quality : Fair # of Stories : 1 Cooling Type : Forced Air Condition : Average Parking Type : Garage Exterior wall : Slump Bath Fixtures : 8 Property Information Land Use : Sfr Zoning : TR Lot Size : 10,313 County Use : Single Fam Resurban Subd Lot Acres : 0.24 State Use : Single Fam Resurban Subd Tax Information Total Value : $280,282 Property Tax : $3,008.22 Current YearValue :Total $33,098 Total TaxableValue : $26,728 Tax Rate Area : 3910 Current ImprovementYearValue : $33,048 Assessed Year : 2021 Market Value : $280,282 Current YearValue :Land $50 Tax Year : 2021 Current AssessedYear : 2023 Customer Name : Chantel Cortez Customer Company Name : FIRST AMERICAN TITLE Prepared On : 08/30/2022 © 2022 CoreLogic. All rights reserved

Sales Analysis Criteria Subject Property Low High Average Sale Price $335,000 $400,000 $685,000 $521,345 Bldg/Living Area 2508 2163 2751 2382 Price Per Square Foot $133.57 $170 $308 $219.51 Year Built 1997 1994 2008 2001 Lot Size 10,313 6,825 31,910 10,456 BathroomsBedrooms 3 2 4 3 Stories 1 1 1 1 Total Assessed Value $280,282 $230,274 $329,681 $284,369 Distance From Subject 0 0.21 0.69 0.44 Summary of Comparables # Address Sale Price TotalValueAssessed Sale Date Bed Bath Living Area Lot Size YearBuilt (Miles)Dist Zoning S 1749 W Sonoran View Dr 335,000 280,282 11/15/2017 3 2,508 10,313 1997 TR 1 1837 W Via Del Recodo 469,000 266,962 02/28/2022 3 2,221 9,348 2003 0.21 TR 2 1873 W Calle Casas Lindas 550,000 297,439 03/18/2022 3 2,480 8,180 2004 0.26 TR 3 1995 W Pinetop Dr 550,000 278,448 02/15/2022 2 2,577 12,905 1998 0.28 TR 4 5111 S GemelosPaseo 525,000 271,870 06/21/2022 3 2,382 8,210 2000 0.3 TR 5 4723 S Prairie Hills Dr 419,000 230,274 05/05/2022 3 2,163 8,656 1997 0.3 TR 6 4731 S Harvest Moon Dr 520,000 258,047 10/12/2021 3 2,536 9,281 1996 0.32 TR 7 5095 S Avenida Sin Prisa 559,000 280,487 06/13/2022 3 2,369 8,243 2000 0.33 TR 8 1927 W Placita Canoa Azul 569,000 284,239 05/25/2022 4 2,226 6,875 2005 0.37 CR-5 9 1734 W Acacia Bluffs Dr 449,900 282,329 03/23/2022 4 2,226 11,809 2004 0.43 CR-5 Customer Name : Chantel Cortez Customer Company Name : FIRST AMERICAN TITLE Prepared On : 08/30/2022 © 2022 CoreLogic. All rights reserved

10 1445 W Hidden Crest Ct 533,000 284,398 12/29/2021 3 2,548 10,560 1996 0.43 CR-3 11 2109 W Gramercy Dr 560,000 278,818 02/02/2022 3 2,523 10,486 1999 0.44 CR-5

12 1422 W Hidden Crest Ct 400,000 264,702 03/03/2022 3 2,347 15,419 1997 0.44 CR-3 13 2164 W Calle Casas Lindas 445,000 278,295 03/21/2022 3 2,221 7,923 2002 0.46 TR 14 1793 W Acacia Bluffs Dr 685,000 308,571 06/24/2022 4 2,226 6,825 2005 0.48 CR-5 15 5001 S Paseo De La Manda 525,000 269,031 06/06/2022 3 2,221 8,543 2002 0.49 TR 16 5469 S Acacia Creek Dr 489,000 299,501 04/05/2022 4 2,348 9,487 2004 0.57 CR-5 17 4365 S LythamRoyalCt 539,000 329,681 08/30/2021 3 2,543 8,536 1994 0.65 CR-5 18 2298 W Calle Casas Lindas 525,000 326,269 03/31/2022 4 2,751 7,800 2004 0.65 TR 19 2192 W Bassett Peak Dr 570,000 290,460 11/19/2021 4 2,226 31,910 2008 0.65 CR-5(GC) 20 2157 W Cactus Run Dr 545,000 307,553 07/27/2022 4 2,502 8,125 2005 0.69 CR-5

Distressed Sales = Customer Name : Chantel Cortez Customer Company Name : FIRST AMERICAN TITLE Prepared On : 08/30/2022 © 2022 CoreLogic. All rights reserved

Map Customer Name : Chantel Cortez Customer Company Name : FIRST AMERICAN TITLE Prepared On : 08/30/2022 © 2022 CoreLogic. All rights reserved

Document #: 1720717 Bedrooms: Pool: Total Tax Value: $271,870 Bath(F/H): /

Total Tax Value: $297,439 Bath(F/H): / #3   1995 W Pinetop Dr Green Valley Az 85622

Document #: 3190102 Bedrooms: Pool: Total Tax Value: $280,282 Bath(F/H): / #1   1837 W Via Del Recodo Green Valley Az 85622

Document #: 591010 Bedrooms: Pool: Total Tax Value: $266,962 Bath(F/H): / #2   1873 W Calle Casas Lindas Green Valley Az 85622

Owner Name: O Neal Michael /O Neal Carol APN / Alternate APN: 304-68-8160 / Deed Type: Warranty Deed Land Use: Sfr

Subdivision / Tract: Canoa Northwest / Lot Size: 8,210 Year Built / Eff: 2000 / Rec. Date / Price: 06/21/2022 / $525,000 Living Area: 2,382 # of units:

Owner Name: Long / APN / Alternate APN: 304-68-0100 / Deed Type: Warranty Deed Land Use: Sfr

Owner Name: Cook Dale N /Cook Patricia A APN / Alternate APN: 304-68-2680 / Deed Type: Warranty Deed Land Use: Sfr Subdivision / Tract: San Ignacio Vista 02 / Lot Size: 12,905 Year Built / Eff: 1998 / Rec. Date / Price: 02/15/2022 / $550,000 Living Area: 2,577 # of units: Document #: 460195 Bedrooms: Pool: Total Tax Value: $278,448 Bath(F/H): / #4   5111 S Paseo Gemelos Green Valley Az 85622

Owner Name: Kathleen Dub Trust /Dub Charles C APN / Alternate APN: 304-68-7820 / Deed Type: Warranty Deed Land Use: Sfr

Subdivision / Tract: San Ignacio Vistas / Lot Size: 10,313 Year Built / Eff: 1997 / Rec. Date / Price: 11/15/2017 / $335,000 Living Area: 2,508 # of units:

Document #: 770244 Bedrooms: Pool:

Owner Name: Benov Jeffrey L /Benov Terry G APN / Alternate APN: 304-68-7310 / Deed Type: Warranty Deed Land Use: Sfr

Customer Name : Chantel Cortez

Customer Company Name : FIRST AMERICAN TITLE Prepared On : 08/30/2022 © 2022 CoreLogic. All rights reserved

Subdivision / Tract: Canoa Northwest 02 / Lot Size: 8,180 Year Built / Eff: 2004 / Rec. Date / Price: 03/18/2022 / $550,000 Living Area: 2,480 # of units:

Subject Property: 1749 W Sonoran View Dr Green Valley Az 85622

Details of Comparables

Subdivision / Tract: Canoa Northwest 02 / Lot Size: 9,348 Year Built / Eff: 2003 / Rec. Date / Price: 02/28/2022 / $469,000 Living Area: 2,221 # of units:

Document #: 1450141 Bedrooms: Pool: Total Tax Value: $284,239 Bath(F/H): / #9   1734 W Acacia Bluffs Dr Green Valley Az 85622

Document #: 820832 Bedrooms: Pool: Total Tax Value: $282,329 Bath(F/H): / #10   1445 W Hidden Crest Ct Green Valley Az 85622

Document #: 2850061 Bedrooms: Pool: Total Tax Value: $258,047 Bath(F/H): / #7   5095 S Avenida Sin Prisa Green Valley Az 85622

Customer Name : Chantel Cortez

Owner Name: Brooke John Daniel /Teuton Cheryl Jean APN / Alternate APN: 304-68-1660 / Deed Type: Warranty Deed Land Use: Sfr

Document #: 3631209 Bedrooms: Pool: Pool Total Tax Value: $284,398 Bath(F/H): /

Customer Company Name : FIRST AMERICAN TITLE Prepared On : 08/30/2022 © 2022 CoreLogic. All rights reserved

Subdivision / Tract: San Ignacio Vistas / Lot Size: 8,656 Year Built / Eff: 1997 / Rec. Date / Price: 05/05/2022 / $419,000 Living Area: 2,163 # of units:

Owner Name: Mueller Charles E /Mueller Mary E APN / Alternate APN: 304-68-7380 / Deed Type: Warranty Deed Land Use: Sfr Subdivision / Tract: Canoa Northwest / Lot Size: 8,243 Year Built / Eff: 2000 / Rec. Date / Price: 06/13/2022 / $559,000 Living Area: 2,369 # of units:

Owner Name: Ivins Susan C / APN / Alternate APN: 304-69-0660 / Deed Type: Warranty Deed Land Use: Sfr Subdivision / Tract: Canoa Ranch Bl 21 / Lot Size: 6,875 Year Built / Eff: 2005 / Rec. Date / Price: 05/25/2022 / $569,000 Living Area: 2,226 # of units:

Owner Name: A-j-b Family Trust / APN / Alternate APN: 304-68-1680 / Deed Type: Warranty Deed Land Use: Sfr

Owner Name: Ward Joe K /Ward Mary L APN / Alternate APN: 304-69-1970 / Deed Type: Warranty Deed Land Use: Sfr

Subdivision / Tract: Canoa Ranch / Lot Size: 11,809 Year Built / Eff: 2004 / Rec. Date / Price: 03/23/2022 / $449,900 Living Area: 2,226 # of units:

Owner Name: Bushman Brian C /Grezenski Trisha L APN / Alternate APN: 304-68-0860 / Deed Type: Warranty Deed Land Use: Sfr

Subdivision / Tract: San Ignacio Vistas / Lot Size: 10,560 Year Built / Eff: 1996 / Rec. Date / Price: 12/29/2021 / $533,000 Living Area: 2,548 # of units:

Document #: 1250807 Bedrooms: Pool: Total Tax Value: $230,274 Bath(F/H): / #6   4731 S Harvest Moon Dr Green Valley Az 85622

Document #: 1640268 Bedrooms: Pool: Total Tax Value: $280,487 Bath(F/H): / #8   1927 W Placita Canoa Azul Green Valley Az 85622

#5   4723 S Prairie Hills Dr Green Valley Az 85622

Subdivision / Tract: San Ignacio Vistas / Lot Size: 9,281 Year Built / Eff: 1996 / Rec. Date / Price: 10/12/2021 / $520,000 Living Area: 2,536 # of units:

#11   2109 W Gramercy Dr Green Valley Az 85622

Customer Company Name : FIRST AMERICAN TITLE Prepared On : 08/30/2022 © 2022 CoreLogic. All rights reserved

Document #: 330455 Bedrooms: Pool: Total Tax Value: $278,818 Bath(F/H): / #12   1422 W Hidden Crest Ct Green Valley Az 85622

Subdivision / Tract: San Ignacio Vistas / Lot Size: 15,419 Year Built / Eff: 1997 / Rec. Date / Price: 03/03/2022 / $400,000 Living Area: 2,347 # of units:

Customer Name : Chantel Cortez

Owner Name: Buehler John /Clark Cindy APN / Alternate APN: 304-68-7030 / Deed Type: Warranty Deed Land Use: Sfr Subdivision / Tract: Canoa Northwest / Lot Size: 8,543 Year Built / Eff: 2002 / Rec. Date / Price: 06/06/2022 / $525,000 Living Area: 2,221 # of units:

Document #: 800611 Bedrooms: Pool: Total Tax Value: $278,295 Bath(F/H): / #14   1793 W Acacia Bluffs Dr Green Valley Az 85622

Owner Name: Cescolini Stephen D /Cescolini Margare APN / Alternate APN: 304-71-0030 / Deed Type: Warranty Deed Land Use: Sfr

Owner Name: Johnson Dennis W / APN / Alternate APN: 304-68-0820 / Deed Type: Warranty Deed Land Use: Sfr

Document #: 1570137 Bedrooms: Pool: Total Tax Value: $269,031 Bath(F/H): /

Document #: 1750119 Bedrooms: Pool: Pool Total Tax Value: $308,571 Bath(F/H): / #15   5001 S Paseo De La Manda Green Valley Az 85622

Document #: 620681 Bedrooms: Pool: Total Tax Value: $264,702 Bath(F/H): / #13   2164 W Calle Casas Lindas Green Valley Az 85622

Subdivision / Tract: San Ignacio Vista 02 / Lot Size: 10,486 Year Built / Eff: 1999 / Rec. Date / Price: 02/02/2022 / $560,000 Living Area: 2,523 # of units:

Owner Name: Sherman Jay L /Sherman Paula J APN / Alternate APN: 304-69-1830 / Deed Type: Warranty Deed Land Use: Sfr Subdivision / Tract: Canoa Ranch / Lot Size: 6,825 Year Built / Eff: 2005 / Rec. Date / Price: 06/24/2022 / $685,000 Living Area: 2,226 # of units:

Owner Name: Brenneman Bruce M /Brenneman Alice S APN / Alternate APN: 304-68-5290 / Deed Type: Warranty Deed Land Use: Sfr

Subdivision / Tract: Canoa Northwest / Lot Size: 7,923 Year Built / Eff: 2002 / Rec. Date / Price: 03/21/2022 / $445,000 Living Area: 2,221 # of units:

#16   5469 S Acacia Creek Dr Green Valley Az 85622

Total Tax Value: $299,501 Bath(F/H): / #17   4365 S Royal Lytham Ct Green Valley Az 85622

Subdivision / Tract: Canoa Ranch / Lot Size: 8,125 Year Built / Eff: 2005 / Rec. Date / Price: 07/27/2022 / $545,000 Living Area: 2,502 # of units:

Owner Name: Andrushuk Marie / APN / Alternate APN: 304-28-7170 / Deed Type: Warranty Deed Land Use: Sfr

Document #: 2421403 Bedrooms: Pool: Pool

Document #: 3230123 Bedrooms: Pool: Total Tax Value: $290,460 Bath(F/H): / #20   2157 W Cactus Run Dr Green Valley Az 85622

Document #: 2080350 Bedrooms: Pool: Total Tax Value: $307,553 Bath(F/H): /

Subdivision / Tract: Canoa Ranch Bl 19-20 / Lot Size: 9,487 Year Built / Eff: 2004 / Rec. Date / Price: 04/05/2022 / $489,000 Living Area: 2,348 # of units:

Owner Name: Holstad John /Holstad Janet APN / Alternate APN: 304-69-1240 / Deed Type: Warranty Deed Land Use: Sfr

Customer Company Name : FIRST AMERICAN TITLE Prepared On : 08/30/2022 © 2022 CoreLogic. All rights reserved

Owner Name: Marks Byron W / APN / Alternate APN: 304-69-1410 / Deed Type: Warranty Deed Land Use: Sfr

Total Tax Value: $329,681 Bath(F/H): / #18   2298 W Calle Casas Lindas Green Valley Az 85622

Owner Name: Fox Greg & Pam Living / APN / Alternate APN: 304-69-6300 / Deed Type: Warranty Deed Land Use: Sfr Subdivision / Tract: Canoa Ranch / Lot Size: 31,910 Year Built / Eff: 2008 / Rec. Date / Price: 11/19/2021 / $570,000 Living Area: 2,226 # of units:

Document #: 900970 Bedrooms: Pool: Total Tax Value: $326,269 Bath(F/H): / #19   2192 W Bassett Peak Dr Green Valley Az 85622

Document #: 950041 Bedrooms: Pool:

Subdivision / Tract: San Ignacio Golf Estates / Lot Size: 8,536 Year Built / Eff: 1994 / Rec. Date / Price: 08/30/2021 / $539,000 Living Area: 2,543 # of units:

Customer Name : Chantel Cortez

Owner Name: Verzin Family Trust / APN / Alternate APN: 304-71-0160 / Deed Type: Warranty Deed Land Use: Sfr Subdivision / Tract: Canoa Northwest / Lot Size: 7,800 Year Built / Eff: 2004 / Rec. Date / Price: 03/31/2022 / $525,000 Living Area: 2,751 # of units:

Subject Property :   1749 W Sonoran View Dr Green Valley AZ 85622 Customer Name : Chantel Cortez Customer Company Name : FIRST AMERICAN TITLE Prepared On : 08/30/2022 © 2022 CoreLogic. All rights reserved

Customer Name : Chantel Cortez Customer Company Name : FIRST AMERICAN TITLE Prepared On : 08/30/2022 © 2022 CoreLogic. All rights reserved

SchoolsArizona For detailed information and statistics on Arizona schools please go ©2021FirstFirsthttps://azreportcards.azed.gov/toAmericanTitleInsuranceCompany,andtheoperatingdivisionsthereof,makenoexpressorimpliedwarrantyrespectingtheinformationpresentedandassumenoresponsibilityforerrorsoromissions.American,theeaglelogo,FirstAmericanTitle,andfirstam.comareregisteredtrademarksortrademarksofFirstAmericanFinancialCorporationand/oritsaffiliates.FirstAmericanFinancialCorporationand/oritsaffiliates.Allrightsreserved.NYSE:FAF05117910421

its affiliates.

operating

First

Financial Corporation and/or its affiliates. All rights reserved. NYSE: FAF

01 TUCSON UNIFIED 1010 E. 10th Street, Tucson, AZ 85717 520.225.6000

05249570321 AIRPORTINT'LTUCSON Air Force WSilverbellRd SSantaRitaRd NMtLemmon Hwy ESascoRd NF38 W Avra Valley Rd E Grand Va ey DrNAguirreRd dRkLNuce dRWNentzNWatermanMountainRd RdAnwayN W El Tiro Rd NTricoRd W Tucker Rd W Rudas l Rd W Manvi e Rd SSanJoaquinRdWBopp Rd W Snyder H l RddRSMarsear W Park Rd W Hermans RdW Hermans Rd W Guy St W Bush Rd SGaveyRd eaCNRinconado SWmoRd SShawRd SSierritaMountainRd SKobRdW TwinButtes Rd W Mcgee Ranch Rd ESstancaDr EDesertDove E Hemlock Dr BNearCanyonRdW E Camino Del Cerro E Fairmount St SSwanRd NFrontageRd W Emigh Rd W Fort Lowe Rd dSPNumptationR E Nona Rd Ch efButteRd Lo al Ave NTricoRd SCattleTankRd Evalyn Rd SOwlHeadRanchRdGasLineRd PSecanRd NTrcoRd W Bayard Rd dRSSandaro WillowSpringsRd N Dove Mountain Blvd SHelvetiaRd WAnamax Mine Rd dRhRiGWacaanc Road424 WRagged Top Rd W Ruby Star Dr WBritten RanchRd W Pima Mine Rd S Mcgee RanchRd E Edw n Rd SGuildRd 80 NKINNEYRD SPICACHOHWYE BAUMGARTNER RD SNANDARIORDNANWAYRD W VALENCIA RD W MOORE RD W INA RD ESN1TAV E SUNRISE DR E SNYDER RDNSILVERBELLRD TRSNOLDIERLE RIVER RDE PRINCE RD E SPEEDWAY BLVD SFREEMANRDE 22ND ST E 22ND ST W IRVINGTON RD SNOGALESHWY W VALENCIA RDSMISSIONRDWSPEEDWAY BLVD SOLDSPANISHTRL W NARANJA DR W TWIN PEAKS RD W PICTURE ROCKS RD W MANVILLE RD SKINNEYRD W MILE WIDE RD E SAHUARITA RD NTRICORD OSSANDARRD PARK LINK DR SOLDNOGALESHWY GUOSHHTONRD ADCSLAANADRW HELMET PEAK RD WAJOHWY RNASNWD RDKOLBS SHOUGHTONRD W TANGERINE RD E GRANT RD SHOUGHTONRD 95 WAJOHWY E VALENCIA RD NORACLERD I-10 I-19 77 77 77 86 86 286 10 19 10 10 Corona de Tucson AdobesCasas Catalina Green Valley Oracle Picture Rocks Three Points VailSummit TanqueVerde SahuaritaTucson Red Rock Saddlebrooke Marana Oro Valley Rillito SummerhavenWillow Canyon Oracle Junction Cortaro Continental Littletown 20 30 13 15 51 39 12 01 01 08 10 16 11 06 PIMA COUNTY School District Information This map is provided for general location only. Please contact school districts for actual street boundaries SCHOOL DISTRICTS 15 AJO UNIFIED 111 N. Well Road, Ajo, AZ 85321 520.387.5618 51 ALTAR VALLEY ELEMENTARY 10105 S. Sasabe Road, Tucson, AZ 85736 520.822.1484 10 AMPHITHEATER UNIFIED 701 W. Wetmore, Tucson, AZ 85705 520.696.5000 16 CATALINA FOOTHILS UNIFIED 2101 E. River Road, Tucson, AZ 85718 520.209.7500 39 CONTINENTAL ELEMENTARY 1991 E. Whitehouse Canyon, Green Valley, AZ 85614 520.625.4581 08 FLOWING WELLS UNIFIED 1556 W. Prince Road, Tucson, AZ 85705 520.696.8800 06 MARANA UNIFIED 11279 W. Grier Road, Marana, AZ 85653 520.682.3243

TANQUE VERDE UNIFIED 2300 N. Tanque Verde Loop, Tucson, AZ 85749 520.749.5751

13

PIMA COUNTY JTED 2855 W. Master Pieces Dr, Tucson, AZ 85741 520.352.5833 SAHUARITA UNIFIED 350 W. Sahuarita Road, Sahuarita, AZ 85629 520.625.3502

20 VAIL UNIFIED 10701 E. Mary Ann Cleveland Way, Tucson, AZ 85747 520.879.2000

Financial Corporation

the eagle logo, First American Title, and firstam.com are registered trademarks or trademarks of First

11

First American, American and/or ©2021 American

First American Title Insurance Company, and the divisions thereof, make no express or implied warranty respecting the information assume no responsibility for errors or

30

omissions.

presented and

12 SUNNYSIDE UNIFIED 2238 E. Ginter Road, Tucson, AZ 85706 520.545.2000

Management, Inc. 4475

LocalAttractionsBusiness/Recreation

5481

Financial

Ctf Ministries Inc 2157

Shoreline Golf Llc 4769 S Meadow Ridge Dr Green Valley Az (907) 235-8544 0.2 / Name Address Telephone Distance (Miles)

Health Care Services Name Address Telephone Distance (Miles) Is 140 W Calle De Las Green Valley Az (520) 401-3947 0.47

Medcath Consulting

Health

James T Bishop Md Pc 2006 W Cactus Run Dr Green Valley Az (616) 393-0567 0.61 & S I 19 Frontage Rd Green Valley Az (520) 624-8935 0.72 Name Address Telephone Distance (Miles) W Loop Green Valley Az (520) 393-5700 0.31 Address Telephone Distance (Miles) W Dr Green Valley Az (520) 820-1879 0.5 W Calle Quatro Green Valley Az (520) 399-3231

Name Address Telephone Distance (Miles)

Banks

Hospitality

Demetrie

Life Changing Ministries 3451

Green Valley Mortgage Llc 5870 S Painted Canyon Dr Green Valley Az (520) 625-9887 0.91

0.98 Customer Name : Chantel Cortez Customer Company Name : FIRST AMERICAN TITLE Prepared On : 08/30/2022 © 2022 CoreLogic. All rights reserved

Wealth Vitamins

Inn At San Ignasio 1861

Woodfield Clinical Consulting S Acacia Creek Dr Green Valley Az (520) 648-2713 0.58

Organizations / Associations Name

Gramercy

Shopping Name Address Telephone Distance (Miles) M & M Sprinklers 4935 S Gloria View Ct Green Valley Az (520) 398-4427 0.21 Customer Name : Chantel Cortez Customer Company Name : FIRST AMERICAN TITLE Prepared On : 08/30/2022 © 2022 CoreLogic. All rights reserved

1725 W SONORAN VIEW DR Distance 0.03 Miles

Land Use : Sfr Lot Acres : 0.23

Owner Name : Keegan Robert A & Susan 1 Subdivision : San Ignacio Vistas

Land Use : Sfr Lot Acres : 0.24

Stories : 1 Living Area : 2,508 Yr Blt / Eff Yr Blt : 1998 / APN : 304-68-0110

Bed / Bath : / 3 Property Tax : $3,002.77

Land Use : Sfr Lot Acres : 0.25

Bed / Bath : / 3 Property Tax : $3,060.69

Owner Name : Rawlings Living Trust Subdivision : San Ignacio Vistas Sale Date : 01/06/2015 Recording Date : 01/08/2015

Total Value : $230,274 Sale Price  : $261,000

Total Value : $212,659 Sale Price  : $217,500 Bed / Bath : / 3 Property Tax : $2,272.17

Stories : 1 Living Area : 2,163 Yr Blt / Eff Yr Blt : 1997 / APN : 304-68-1900

Owner Name : Marchuk Jon B Subdivision : San Ignacio Vistas Sale Date : 09/13/2012 Recording Date : 11/01/2012

4941 S GLORIA VISTA DR Distance 0.04 Miles

1761 W SONORAN VIEW DR Distance 0.02 Miles

Stories : 1 Living Area : 1,923 Yr Blt / Eff Yr Blt : 1998 / APN : 304-68-1910

Customer Company Name : FIRST AMERICAN TITLE Prepared On : 08/30/2022 © 2022 CoreLogic. All rights reserved

Owner Name : Baker James L Subdivision : San Ignacio Vistas Sale Date : 04/04/2013 Recording Date : 04/16/2013

4953 S GLORIA VISTA DR Distance 0.03 Miles

Sale Date : 09/24/2013 Recording Date : 10/02/2013

Total Value : $265,576 Sale Price  : $300,000

Total Value : $279,101 Sale Price  : $270,000

Customer Name : Chantel Cortez

Stories : 1 Living Area : 2,338 Yr Blt / Eff Yr Blt : 1998 / APN : 304-68-0080

Bed / Bath : / 3 Property Tax : $2,454.46

Land Use : Sfr Lot Acres : 0.19

Bed / Bath : / 3 Property Tax : $3,060.69

Bed / Bath : / 3 Property Tax : $2,454.46

Customer Name : Chantel Cortez

Sale Date : 11/25/2015 Recording Date : 12/14/2015

4937 S MEADOW RIDGE DR Distance 0.05 Miles

Owner Name : Adams Subdivision : San Ignacio Vistas Sale Date : 08/01/2017 Recording Date : 08/21/2017

Owner Name : Mowris Sachtjen Subdivision : San Ignacio Vistas

Land Use : Sfr Lot Acres : 0.24

Total Value : $265,576 Sale Price  : $315,000

1785 W SONORAN VIEW DR Distance 0.04 Miles

Land Use : Sfr Lot Acres : 0.21

Customer Company Name : FIRST AMERICAN TITLE Prepared On : 08/30/2022 © 2022 CoreLogic. All rights reserved

4925 S MEADOW RIDGE DR Distance 0.06 Miles

Bed / Bath : / 3 Property Tax : $2,806

Stories : 1 Living Area : 2,553 Yr Blt / Eff Yr Blt : 1998 / APN : 304-68-2260

Land Use : Sfr Lot Acres : 0.24

Bed / Bath : / 3 Property Tax : $3,008.22

1713 W SONORAN VIEW DR Distance 0.05 Miles

Stories : 1 Living Area : 2,508 Yr Blt / Eff Yr Blt : 1997 / APN : 304-68-0070

Land Use : Sfr Lot Acres : 0.20

Total Value : $230,274 Sale Price  : $240,000

Stories : 1 Living Area : 2,163 Yr Blt / Eff Yr Blt : 1997 / APN : 304-68-2270

Total Value : $280,282 Sale Price  : $277,851

Owner Name : Kosnick Richard S Subdivision : San Ignacio Vistas Sale Date : 09/26/2016 Recording Date : 10/07/2016

Total Value : $262,776 Sale Price  : $350,000

Stories : 1 Living Area : 2,338 Yr Blt / Eff Yr Blt : 1998 / APN : 304-68-0130

Owner Name : Rice Dorothy A Subdivision : San Ignacio Vistas Sale Date : 11/00/1997 Recording Date : 11/14/1997

Owner Name : Hogan Gayden W Subdivision : San Ignacio Vistas

Sale Date : 10/31/2017 Recording Date : 11/09/2017

4963 S PRAIRIE HILLS DR Distance 0.06 Miles

Stories : 1 Living Area : 1,725 Yr Blt / Eff Yr Blt : 1999 / APN : 304-68-1930

Total Value : $230,274 Sale Price  : $359,000

Stories : 1 Living Area : 2,163 Yr Blt / Eff Yr Blt : 1997 / APN : 304-68-1880

Owner Name : Barker David Subdivision : San Ignacio Vistas Sale Date : 05/03/2021 Recording Date : 07/02/2021

Customer Company Name : FIRST AMERICAN TITLE Prepared On : 08/30/2022 © 2022 CoreLogic. All rights

Bed / Bath : / 3 Property Tax : $2,319.85

reserved

Total Value : $221,243 Sale Price  : $350,000

Bed / Bath : / 3 Property Tax : $2,627.42

4917 S GLORIA VISTA DR Distance 0.07 Miles

Land Use : Sfr Lot Acres : 0.21

Land Use : Sfr Lot Acres : 0.20

Customer Name : Chantel Cortez

$800 - $1,999: 27.82% $150,000 - $200,000: 38.52% Over $2,000: 1.85% $200,000 - $300,000: 38.66%

Census Tract / block: 43.24 / 4     Year: 2018 Household Population Population by Age Count: 2,888 0 - 11 Estimate

Growth Last 5 Years: 14.01% $50,000 - $75,000 19.6%

Current Year: 1,806 0 - $25,000 16.45%

Unmarried People: 32.62% Housing Median Mortgage Payments

Median Home Value: $199,100 $300,000 - $500,000: 10.06%

Unit 77.63% Above $500,000: 0.57%

$300 - $799: 53.5% $100,000 - $150,000: 7.13%

Average Current Year: 1.6 $25,000 - $35,000 10.74%

Female Population: 56.44% Average Household Income: $53,309

Current Year: 2,942 12 - 17

Growth Last 5 Years: 11.25% 25 - 64 10.18%

Growth Last 10 Years: -71.1% 65 - 74 42% 75+

Estimate in 5 Years: 2,090 $35,000 - $50,000 20.1%

Household Size Household Income

Occupied Owner:

Married People: 67.38% Home Values Under $300: 16.83% Below $100,000: 5.06%

Estimate in 5 Years: 3,168 18 - 24 0%

Male Population: 43.56% Above $100,000 23.86%

Growth Last 10 Years: -6.99% $75,000 - $100,000 9.25%

Median Mortgage: $695 Customer Name : Chantel Cortez Customer Company Name : FIRST AMERICAN TITLE Prepared On : 08/30/2022 © 2022 CoreLogic. All rights reserved

Pre-Primary School:

Private School: 0% Attended Some College: 21.3% College: 0.97% College Graduate: 33.83% 0% Graduate Degree: 23.34% 45.42%

Rent Payments Year Built Unit Occupied Renter: 22.37% 1999 - 2000 Median Gross Rent: $1,607 1995 - 1998 Less Than $499 0% 1990 - 1994 $500 - $749 0% 1980 - 1989 5.15% $750 - $999 1.83% 1970 - 1979 2.71% $1000 and Over 98.17% 1900 - 1969 1.53% Education Enrollment Public Pre-Primary School: 0% Not Enrolled in School: 99.03%

Private 0% Not A High School Graduate: 4.88% School: 0.97% Graduate Of High School: 16.66%

Workforce Occupation: Manager/Prof: 46.78% Private Worker:

Public

Technical: Government Worker: 23.73% Sales: 38.64% Self Employed Worker: 3.39% Administrative: Unpaid Family Worker: 20.68% Private House Hold: Farming: 0% Service: 11.86% Skilled: Protective Services: Blue-Collar: 2.71% Commute Time Less Than 15 Min: 28.5% 15 min - 28 min: 41% 30 min - 57 min: 30.5% Over 60 min: 0% Customer Name : Chantel Cortez Customer Company Name : FIRST AMERICAN TITLE Prepared On : 08/30/2022 © 2022 CoreLogic. All rights reserved

Private College:

Public

Customer Name : Chantel Cortez Customer Company Name : FIRST AMERICAN TITLE Prepared On : 08/30/2022 © 2022 CoreLogic. All rights reserved

Customer Name : Chantel Cortez Customer Company Name : FIRST AMERICAN TITLE Prepared On : 08/30/2022 © 2022 CoreLogic. All rights reserved

Customer Name : Chantel Cortez Customer Company Name : FIRST AMERICAN TITLE Prepared On : 08/30/2022 © 2022 CoreLogic. All rights reserved

+ FIRST AMERICAN TITLE, FC0, CCOR PIMA, AZ 08/30/2022  07:05AM  NKFE  INVESTIGATIVE SEARCH RESULTS PAGE 1 OF 1 SEARCH PARAMETERS PARCEL:  304-68-0100 PARCEL: 304-68-0100 INSTRUMENT REC DATE OWNER: LONG ROBERT W & ANETTE  AFFIDAVIT    2017 3190102 11/15/2017  SITUS: 1749 W SONORAN VIEW DR PC  MAIL: 1413 W VIA DE LA GLORIA  GREEN VALLEY AZ 85622  PLAT: LOT 00006 BLOCK LEGAL: SAN IGNACIO VISTAS LOT 6  CURRENT TAXES INFORMATION THROUGH 07/28/2022 LAND IMPR EXEMPT RATE AREA SPECIAL DISTRICTS PRIMARY  26,728  0  0  7.3960  3910 SECONDARY  50  27,978  0  4.6520  2021 TOTAL TAX BILLED 3,008.22 2021  TAX AMT TAX DUE INTEREST DATE PAID TOTAL DUE FIRST HALF  1,504.11  0.00  0.00  02/28/2022  0.00  SECOND HALF  1,504.11  0.00  0.00  03/22/2022  0.00  TOTAL CURRENT TAXES DUE 08/22 0.00 09/22 0.00 IMPROVEMENTS BYPASS  PHYSICAL CONDITION   BELOW AVE BLDG SQFT  2,508 FULL CASH VALUE  280,282 YEAR BUILT  1997 LAND USE  01 41 NUMBER OF STORIES  1.0 LOT SIZE  1 STDLT STORIES HEIGHT  0 SCHOOL DISTRICT  3910 EXTERIOR WALLS  SLUMP BLOCK LAND FULL CASH VALUE  502 GRADE MATERIALS IMPR FULL CASH VALUE  279,780 SALES SALE DATE SALE AMOUNT INSTRUMENT TYPE SELLER NAME VALIDITY 11/15/2017 335,000    2017 3190102 WD BLAKELY DOROTHY W & THE VI 02/04/2002 319,000    11729 3502 WD HORN JAMES A 03/18/1998 241,931    10755 1497 SD LAWYERS TITLE T6486 ADDITIONAL PROPERTY INFORMATION STANDARD LAND USE: SFR END SEARCH

Page 1 of 1 08/30/2022 7:06 AM

Page 1 of 3 08/30/2022 7:06 AM

Page 2 of 3 08/30/2022 7:06 AM

Page 3 of 3 08/30/2022 7:06 AM

Page 1 of 5 08/30/2022 7:06 AM

Page 2 of 5 08/30/2022 7:06 AM

Page 3 of 5 08/30/2022 7:06 AM

Page 4 of 5 08/30/2022 7:06 AM

Page 5 of 5 08/30/2022 7:06 AM

ConditionsCovenants,&Restrictions

Thank you for the opportunity to be of service. Restrictions indicating a preference, limitation or discrimination based on race, color, religion, sex, handicap, familial status, or national origin are hereby deleted to the extent such restrictions violate 42 USC 3604(c). This information is furnished without fee and without benefit of a complete title search. No liability is assumed by First American Title or Title Security. If it is desired that liability be assumed, you may apply for a policy of title insurance with First American Title Insurance Company.

to the Title & Escrow Process in Arizona Home Seller’s Guide

Southwest Gas www.swgas.com1.877.860.6020 Cox www.cox.com602.277.1000 Direct TV www.directv.com1.888.777.2454 Dish Network www.dishnetwork.com1.800.823.4929 CenturyLink www.centurylink.com800.366.8201 AT&T www.att.com1.800.222.0300 Verizon www.connecttoverizon.com1.877.300.4498 Salt River Project www.srpnet.com602.236.8888 APS www.aps.com602.371.7171 Your Escrow Number Your New City/State/ZipAddress Real Estate Agent Name Email Assistant Email Company Phone Address Fax Insurance CompanyPrevious Phone Previous Agent No.Policy New Company Phone New Agent No.Policy Home CompanyWarranty No.Policy First American Title Escrow Officer Email Escrow Assistant Email Address Phone City/State/Zip Fax 02 Quick Reference 03 Welcome 04 Benefits of Using a REALTOR ® 05 Key Professionals 06 Preparing Your Home for Sale 07 Staging Your Home for Show 09 Terms You Should Know 10 The Life of an Escrow 11 Closing Costs: Who Pays What 12 The Escrow Process 14 Understanding Title Insurance 16 Consider This 17 Closing Your Escrow 18 Planning Your Move Q uick Reference Table of Contents Utilities and Services

First American Title is the principal subsidiary of First American Financial Corporation, and one of the largest suppliers of title insurance services in the nation. With roots dating back to 1889, we’ve served families for generations.

Welcome to the home-selling process. Throughout this process, you can count on

Count On Us For Convenience

Count On Us To Meet Your Needs

AZ Sellers Guide | 3

First American Title to guide you smoothly through your transaction and provide expert answers to your questions. We are happy to serve you.

First American Title has a direct office or agent near you, offering convenient locations throughout Arizona. We also have an extensive network of offices and agents throughout the United States, and internationally.

Count On Us For Service

First American Financial Corporation offers more than title insurance and escrow services through its subsidiaries. Our subsidiaries also provide property data, title plant records and images, home warranties, property and casualty insurance, and banking, trust and advisory services.

Count On Us For Stability

First American Title’s professionals are proud to provide the title insurance that assures people’s home ownership. Backed by First American Title Insurance Company, your transaction will be expertly completed in accordance with state-specific underwriting standards and state and federal regulatory requirements.

Count on First American Title

- aware that prospective buyers and bargain hunters will expect you to lower your cost because there’s no REALTOR® involved? - prepared to give up your evenings and weekends to show your home to potential buyers and “just-looking” time wasters?

› Is experienced with resolving problems to facilitate a successful closing on your home. Only you can determine whether you should attempt to sell your home—probably your largest investment—all alone. Talk with a REALTOR® before you decide. You may find working with a professional is a lot less expensive and much more beneficial than you ever imagined!

Professional REALTOR

of using a

®

Many people believe they can save a considerable amount of money by selling their homes themselves. It may seem like a good idea at the time, but while you may be willing to take on the task, are you qualified? The following are some questions to help you realistically assess what’s involved.

› Knows how to price your home realistically, to give you the highest price possible within your time frame. › Is experienced in creating demand for homes and how to show them to advantage.

› Will listen to your needs, respect your opinions and allow you to make your own decisions.

› Can help protect your rights, particularly important with the increasingly complicated real estate laws and regulations.

- understand the various types of loans buyers may choose and the advantages and disadvantages for the seller?

› Knows how to screen potential buyers and eliminate those who can’t qualify or are looking for bargain-basement prices.

A REALTOR ® : › Understands market conditions and has access to information not available to the average homeowner. › Can advertise effectively for the best results.

Before you make the decision to try to sell your home alone, consider the benefits a REALTOR ® can provide that you may not be aware of.

› Can remain objective when presenting offers and counter-offers on your behalf.

› Is always “on-call,” answering the phone at all hours, and showing homes evenings and weekends.

› Maintains errors-and-omissions insurance.

AZ Sellers Guide |

Do you... - have the knowledge, patience, and sales skills needed to sell your home? - know how to determine your home’s current market value? - know how to determine whether or not a buyer can qualify for a loan? - understand the steps of an escrow and what’s required of you and the buyer? - need to hire a real estate attorney? If so, do you know what the cost will be and how much liability they will assume in the transaction?

Benefits4

- know how to advertise effectively and what the costs will be?

› Knows how to go toe-to-toe in negotiations.

FOR SALE BY OWNER

- have arrangements with an escrow and title company, home warranty company, pest-control service and lender to assist you with the transaction? Are you... - aware of conditions in the marketplace today that affect value and length of time to sell?

- concerned about having strangers walking through your home?

- familiar enough with real estate regulations to prepare a binding sales contract? Counter-offers? - aware that every time you leave your home, you are taking it off the market until you return?

A real estate agent is licensed by the state to represent parties in the transfer of property. Every REALTOR ® is a real estate agent, but not every real estate agent has the professional designation of a REALTOR.®

A key role of the listing agent or broker is to form a legal relationship with the homeowner to sell the property and place the property in the Multiple Listing Service.

A key role of the buyer’s agent or broker is to work with the buyer to locate a suitable property and negotiate a successful home purchase.

MULTIPLE LISTING SERVICE (MLS)

TITLE COMPANY

BUYER'S AGENT

AZ Sellers Guide | 5

REALTOR ® A REALTOR ® is a licensed real estate agent and a member of the National Association of REALTORS,® a real estate trade association. REALTORS ® also belong to their state and local Association of REALTORS.®

LISTING AGENT

Key Professionals Involved in Your Transaction

These are the people who carry out the title search and examination, work with you to eliminate the title exceptions you are not willing to take subject to, and provide the policy of title insurance regarding title to the real property.

REAL ESTATE AGENT

The MLS is a database of properties listed for sale by REALTORS ® who are members of the local Association of REALTORS.® Information on an MLS property is available to thousands of REALTORS ®

ESCROW OFFICER

An escrow officer leads the facilitation of your escrow, including escrow instructions preparation, document preparation, funds disbursement, and more.

Check the pool and/or spa equipment and pumps. Make sure all are working properly and that the pool and/or spa are kept clean.

Repair or replace loose knobs on doors and cabinets. If doors stick or squeak, fix them. Make sure toilet seats look new and are firmly attached.

AZ Sellers Guide | 6

Make sure the front steps are clear and hazard-free. Make sure the doorbell works properly and has a pleasant sound. Ensure that all exterior lights are working.

Mow and edge the lawn regularly, and trim the shrubs.

Make your entry inviting: Paint your front door and buy a new front door mat.

YOURFORPREPARINGSALEHOME

Repair or replace loud ventilating fans. Replace worn shower curtains.

Paint or replace the mailbox, if needed.

Inspect fences, gates and latches. Repair or replace as needed.

Repair or replace worn shutters and other exterior trim.

Brighten the appearance inside by painting walls, cleaning windows and window coverings, and removing sunscreens.

Clean household appliances and make sure they work properly.

First impressions have a major impact on potential buyers. Try to imagine what potential buyers will see when they approach your house for the first time and walk through each room. Ask your REALTOR ® for advice; they know the marketplace and what helps a home sell. Here are some tips to present your home in a positive manner:

Repair leaky faucets and caulking in bathtubs and showers.

If screens or windows are damaged, replace or repair them.

Check stucco walls for cracks and discoloration. Remove any oil and rust stains from the driveway and garage.

Clean and organize the garage, and ensure the door is in good working order.

Shampoo carpeting or replace if worn. Clean tile floors, particularly the caulking.

Rearrange furniture to make rooms appear larger. If possible, remove and/or store excess furniture, and avoid extension cords in plain view. Remove clutter throughout the house. Organize and clean out closets.

Air conditioners/heaters, evaporative coolers, hot water heater should be clean, working and inspected if necessary. Replace filters.

Cleanshown.trash

Keep everything clean. A messy or dirty home will cause prospective buyers to notice every flaw. Clear all clutter from counter tops. Let the light in. Raise shades, open blinds, pull back the curtains and turn on the lights. Get rid of odors such as tobacco, pets, cooking, etc., but don’t overdo air fresheners or potpourri. Fresh baked bread and cinnamon can make a positive impact.

Send pets away or secure them away from the house, and be sure to clean up after them. Close the windows to eliminate street noise.

If possible you, your pets, and your children should be gone while your home is being cans and put them out of sight.

To make the best impression, keep your home clean, neat, uncluttered and in good repair. Please review this list prior to each showing:

Check that sink and tub are scrubbed and unstained. Make beds with attractive spreads. Stash or throw out newspapers, magazines, junk mail.

AZ Sellers Guide | 7

If you must be present while your home is shown, keep noise down. Turn off the TV and radio. Soft, instrumental music is fine, but avoid vocals. Keep the garage door closed and the driveway clear. Park autos and campers away from your home during showings Hang clean attractive guest towels in the bathrooms.

Staging your home for Show

AZ Sellers Guide | 8

TRID TILA-RESPA Integrated Disclosures

A right, privilege or interest limited to a specific purpose that one party has in the land of another.

Loan Estimate (LE) Form designed to provide disclosures that will be helpful to borrowers in understanding the key features, costs and risks of the mortgage loan for which they are applying. Initial disclosure to be given to the borrower three (3) business days after application.

Mortgage The instrument by which real property is pledged as security for repayment of a loan.

Impounds A trust type of account established by lenders for the accumulation of borrower’s funds to meet periodic payments of taxes, mortgage insurance premiums and/or future insurance policy premiums, required to protect their security.

Hazard Insurance Real estate insurance protecting against fire, some natural causes, vandalism, etc., depending upon the policy. Buyer often adds liability insurance and extended coverage for personal property.

Consummation

Endorsement

Beneficiary

The recipient of benefits, often from a deed of trust; usually the lender.

Terms You Should Know

Closing Disclosure (CD) Closing Disclosure form designed to provide disclosures that will be helpful to borrowers in understanding all of the costs of the transaction. This form will be given to the consumer three (3) business days before closing.

Comparable Sales Sales that have similar characteristics as the subject real property, used for analysis in the appraisal. Commonly called “comps.”

Occurs when the borrower becomes contractually obligated to the creditor on the loan, not, for example, when the borrower becomes contractually obligated to a seller on a real estate transaction. The point in time when a borrower becomes contractually obligated to the creditor on the loan depends on applicable State law. Consummation is not the same as close of escrow or settlement.

Easement

Legal Description

Lien

Annual Percentage Rate (APR)

A form of encumbrance that usually makes a specific parcel of real property the security for the payment of a debt or discharge of an obligation. For example, judgments, taxes, mortgages, deeds of trust.

Filing documents affecting real property with the appropriate government agency as a matter of public record. Settlement statement Provides a complete breakdown of costs involved in a real estate transaction.

Appraisal

Deed of Trust An instrument used in many states in place of a mortgage.

Earnest Money Deposit Down payment made by a purchaser of real property as evidence of good faith; a deposit or partial payment.

An estimate of value of property resulting from analysis of facts about the property; an opinion of value.

Recording

Deed Restrictions

As to a title insurance policy, a rider or attachment forming a part of the insurance policy expanding or limiting coverage.

Close of Escrow Generally the date the buyer becomes the legal owner and title insurance becomes effective.

A description of land recognized by law, based on government surveys, spelling out the exact boundaries of the entire parcel of land. It should so thoroughly identify a parcel of land that it cannot be confused with any other.

Limitations in the deed to a parcel of real property that dictate certain uses that may or may not be made of the real property.

Disbursement Date

PITI A payment that includes Principal, Interest, Taxes, and Insurance.

AZ Sellers Guide | 9

The borrower’s costs of the loan term expressed as a rate. This is not their interest rate.

The date the amounts are to be disbursed to a buyer and seller in a purchase transaction or the date funds are to be paid to the borrower or a third party in a transaction that is not a purchase transaction.

Power of Attorney A written instrument whereby a principal gives authority to an agent. The agent acting under such a grant is sometimes called an “Attorney-in-Fact.”

Upon receipt of order and earnest money deposit, orders title examination. Requests necessary information from buyers and sellers via opening packages. Reviews title commitment / preliminary report. Upon receipt of opening packages, orders demands for payoffs. Contacts buyer or seller when additional information is required for the title preliminarycommitment/report. All demands, invoices, and fees must be collected and sent to lender at least 10 days prior to loan

Chooses a Real Estate Agent Accepts Buyer’s offer to openingCompletespurchase.andreturnspackagefromFirstAmericanTitle,includinginformationsuchasforwardingaddress,payofflendercontactinformationandloannumbers.Ordersanyworkforinspectionsand/orrepairstobedoneasrequiredbythepurchaseagreement.Escrowofficerorrealestateagentcontactsthesellertoschedulesigningappointment.Documentsarerecordedandallproceedsfromsalearereceived.

THE LENDER

The Life Of An Escrow

AZ Sellers Guide | 10

THE ESCROW OFFICER

Chooses a Real Estate Agent Gets pre-approval letter from Lender and provides to Real Estate Agent. Makes offer to purchase. Upon acceptance, opens escrow and deposits earnest money. Finalizes loan application with Lender. Receives a Loan Estimate from Lender. Completes and returns opening package from First American Title. Schedules inspections and evaluates findings. Reviews title BuyerpriorlenderpaperworkProvidespreliminarycommitment/report.allrequestedtoLender(bankstatements,taxreturns,etc.)Allinvoicesandfinalapprovalsshouldbetothenolaterthan10daystoloanconsummation.Lender(orEscrowOfficer)preparesCDanddeliverstoatleast3dayspriortoloanconsummation.Escrowofficerorrealestateagentcontactsthebuyertoschedulesigningappointment.Buyerconsummatesloan,executessettlementdocuments,&depositsfundsviawiretransfer.Documentsarerecordedandthekeysaredelivered!

Documents are recorded and funds are disbursed. Issues final settlement statement.

Coordinatesconsummation.withlender on the preparation of the CD. Reviews all documents, demands, and instructions and prepares settlement statements and any other required documents. Schedules signing appointment and informs buyer of funds due at settlement. Once loan is consummated, sends funding package to lender for review.

THE SELLER Accepts Buyer’s application and begins the qualification process. Provides Buyer with Loan Estimate. Orders and reviews title commitment / preliminary report, property appraisal, credit report, employment and funds verification. Collects information such as title commitment / preliminary report, appraisal, credit report, employment and funds verification. Reviews and requests additional information for final loan Underwritingapproval.reviews loan package for approval. Coordinates with Escrow Officer on the preparation of the Closing Disclosure, which is delivered to Buyer at least 3 days prior to loan documents,UponDeliversconsummation.loandocumentstoescrow.reviewofsignedloanauthorizesloanfunding.

THE BUYER

Prepares recording instructions and submits docs for recording.

AZ Sellers Guide | 11 CASH FHA VA CONV 1. Downpayment BUYER BUYER BUYER BUYER 2. Termite (Wood Infestation) Inspection (negotiable except on VA) SELLER 3. Property Inspection (if requested by buyer) BUYER BUYER BUYER BUYER 4. Property Repairs, if any (negotiable) SELLER SELLER SELLER SELLER 5. New Loan Origination Fee (negotiable) BUYER BUYER BUYER 6. Discount Points (negotiable) BUYER BUYER BUYER 7. Credit Report BUYER BUYER BUYER 8. Appraisal or Extension Fee (negotiable) BUYER BUYER BUYER 9. Existing Loan Payoff SELLER SELLER SELLER SELLER 10. Existing Loan Payoff Demand SELLER SELLER SELLER SELLER 11. Loan Prepayment Penalty (if any) SELLER SELLER SELLER SELLER 12. Next Month’s PITI Payment BUYER BUYER BUYER 13. Prepaid Interest (approx. 30 days) BUYER BUYER BUYER 14. Reserve Account Balance (Credit seller / Charge buyer) PRORATE PRORATE PRORATE 15. FHA MIP, VA Funding Fee, PMI Premium BUYER BUYER BUYER 16. Assessments payoff or proration (sewer, paving, etc.) SELLER 17. Taxes PRORATE PRORATE PRORATE PRORATE 18. Tax Impounds BUYER BUYER BUYER 19. Tax Service Contract SELLER SELLER BUYER 20. Fire/Hazard Insurance BUYER BUYER BUYER BUYER 21 Flood Insurance BUYER BUYER BUYER 22. Homeowners Association (HOA) Transfer Fee BUYER or SELLER BUYER or SELLER BUYER or SELLER BUYER or SELLER 23. HOA/Disclosure Fee SELLER SELLER SELLER SELLER 24 Current HOA Payment PRORATE PRORATE PRORATE PRORATE 25. Next Month’s HOA Payment BUYER BUYER BUYER BUYER 26. Home Warranty Premium (negotiable) BUYER or SELLER BUYER or SELLER BUYER or SELLER BUYER or SELLER 27. REALTORS®’ Commissions SELLER SELLER SELLER SELLER 28. EAGLE Homeowners Title Policy SELLER SELLER SELLER SELLER 29. Lenders Title Policy and Endorsements BUYER BUYER BUYER 30. Escrow Fee (NOTE: Charge seller on VA Loan) SPLIT SPLIT SELLER SPLIT 31. Recording Fees (Flat rate) SPLIT SPLIT SPLIT SPLIT 32. Reconveyance/Satisfaction Fee SELLER SELLER SELLER SPLIT 33. Courier/Express Mail Fees SPLIT SPLIT SELLER SPLIT THIS CHART INDICATES WHO CUSTOMARILY PAYS WHAT COSTS Note: Prorated items will appear on Closing Statement as charges for one and credits for the other. Closing Costs: Who Pays What

Once a purchase agreement is signed by all necessary parties, the agent representing the party who will pay the fee selects an escrow holder and the buyer's earnest money deposit and contract are submitted to the escrow holder. From this point, the escrow holder will follow the mutual written instructions of the buyer and seller, maintaining a neutral stance to ensure that neither party has an unfair advantage over the other. The escrow holder also follows the instructions of the Buyer's new lender, the seller's existing lender, and both parties' agents. The escrow holder ensures the transparency of the transaction, while carefully maintaining the privacy of the consumers. Escrow Process

The escrow is the process of having a neutral party manage the exchange of money for real property. The escrow holder is known as an escrow or settlement officer or agent. The buyer deposits funds and the seller deposits a deed with the escrow holder along with all of the other documents required to remove all "contingencies" (conditions and approvals) in the purchase agreement prior to closing.

AZ Sellers Guide | 12

HOW IS AN ESCROW OPENED?

The

WHAT IS AN ESCROW?

After recording is confirmed, close escrow and disburse funds, including proceeds, loan payoffs, tax payments, and more

Your Escrow

Professional May:

Prorate fees, such as real property taxes, per the contract and prepare the settlement statement

Prepare and send final documents to all parties

Set separate appointments allowing the buyer and seller to sign documents and deposit funds

AZ Sellers Guide | 13

Review documents and ensure all conditions are fulfilled and certain legal requirements are met

Request funds from buyer and buyer’s new lender

When all funds are deposited and conditions met, record documents with the County Recorder to transfer the real property to the buyer

Conduct a title search to determine the ownership and title status of the real Reviewpropertythetitle commitment and begin the process of working with you and the title officer to eliminate the title exceptions the buyer and the buyer’s new lender are not willing to take subject to. This includes ordering a payoff demand from your existing lender.

Coordinate with the buyer’s lender on the preparation of the Closing Disclosure (CD)

Open escrow and deposit good faith funds into an escrow account

The Title Industry & Title Insurance in Brief

Prior to the development of the title industry in the late 1800s, a home-buyer received a grantor’s warranty, attorney’s title opinion, or abstractor’s certificate as assurance of home ownership. The buyer relied on the financial integrity of the grantor, attorney, or abstractor for protection. Today, home-buyers look primarily to title insurance to provide this protection. Title insurance companies are regulated by state statute. They are required to post financial guarantees to ensure that any claims will be paid in a timely fashion. They also must maintain their own “title plants” which house duplicates of recorded deeds, mortgages, plats, and other pertinent county property

Title insurance provides coverage for certain losses due to defects in the title that, for the most part, occurred prior to your ownership. Title insurance protects against defects such as prior fraud or forgery that might go undetected until after closing and possibly jeopardize your ownership and investment.

Title insurance insures buyers against the risk that they did not acquire marketable title from the seller. It is primarily designed to reduce risk or loss caused by defects in title from the past. A loan policy of title insurance protects the interest of the mortgage lender, while an owner’s policy protects the equity of you, the buyer, for as long as you or your heirs (in certain policies) own the real property.

WHAT IS TITLE INSURANCE?

Title Insurance

WHY IS TITLE INSURANCE NEEDED?

You pay for your owner’s title insurance policy only once, at the close of escrow. Who pays for the owner’s policy and loan policy varies depending on local customs.

WHEN IS THE PREMIUM DUE?

Understandingrecords.

AZ Sellers Guide | 14

Other benefits: 25 Pays rent for substitute land or facilities 26 Rights under unrecorded leases 27 Plain language statements of policy coverage and restrictions 28 Compliance with Subdivision Map Act 29 Coverage for boundary wall or fence encroachment* 30 Added ownership coverage leads to enhanced marketability 31 Insurance coverage for a lifetime 32 Post-policy inflation coverage with automatic increase in value up to 150% over five years 33 Post-policy Living Trust coverage

Compare First American’s Eagle Policy® for Owners EAGLE StandardALTAorCLTA

21 Post-policy prescriptive easement 22 Covenant violation resulting in your title reverting to a previous owner 23 Violation of building setback regulations 24 Discriminatory covenants

* Deductible and maximum limits apply. Not available to investors on 1- to 4-unit residential properties. Coverage may vary based on an individual policy. As with any insurance contract, the insuring provisions express the coverage afforded by the title insurance policy and there are exceptions, exclusions and conditions to coverage that limit or narrow the coverage afforded by the policy. Also, some cov erage may not be available in a particular area or transaction due to legal, regulatory, or underwriting considerations. Please contact a First American representative for further information. The services described above are typical basic services. The services provided to you may be different due to the specifics of your transaction or the location of the real property involved.

AZ Sellers Guide | 15 Compare First American’s Eagle Policy® for Owners EAGLE StandardALTAorCLTA Protection from: 1 Someone else owns an interest in your title 2 A document is not properly signed 3 Forgery, fraud, duress in the chain of title 4 Defective recording of any document 5 There are restrictive covenants 6 There is a lien on your title because there is: a) a deed of trust b) a judgement, tax, or special assessment c) a charge by a homeowner’s association 7 Title is unmarketable 8 Mechanics lien 9 Forced removal of a structure because it: a) extends on another property and/or easement b) violates a restriction in Schedule B c) violates an existing zoning law* 10 Cannot use the land for a Single-Family Residence because the use violates a restriction in Schedule B or a zoning ordinance 11 Unrecorded lien by a homeowners association 12 Unrecorded easements 13 Building permit violations* 14 Restrictive covenant violations 15 Post-policy forgery 16 Post-policy encroachment 17 Post-policy damage from extraction of minerals or water 18 Lack of vehicular and pedestrian access 19 Map not consistent with legal description 20 Post-policy adverse possession

AZ Sellers Guide | 16

Consider This

One escrow transaction could involve more than 20 individuals, including real estate agents, buyers, sellers, attorneys, escrow officer, escrow technician, title officer, loan officer, loan processor, loan underwriter, home inspector, termite inspector, insurance agent, home warranty representative, contractor, roofer, plumber, pool service, and so on. And often, one transaction depends on another. When you consider the number of people involved, you can imagine the opportunities for delays and mishaps. Your experienced escrow team can’t prevent unforeseen problems from arising; however, they can help smooth out the process.

DON'T FORGET YOUR IDENTIFICATION

If the buyer is obtaining a new loan, the buyer’s signed loan documents will be returned to the lender for review. The escrow holder will ensure that all contract conditions have been met and will ask the lender to "fund the loan." If the loan documents are satisfactory, the lender will send funds directly to the escrow holder. When the loan funds are received, the escrow holder will verify that all necessary funds are in. Escrow funds will be disbursed to the seller and other appropriate payees. Then, the REALTOR® will present the keys to the property to the buyer.

THE CLOSING OR SIGNING APPOINTMENT

WHAT HAPPENS NEXT?

The escrow holder is obligated by law to have the designated amount of money before releasing any funds. If you have questions or foresee a problem, let your escrow holder know immediately.

*For purposes of the Closing Disclosure“business day” is defined as every day except Sundays and Federal legal holidays.

THE CLOSING DISCLOSURE

The escrow holder will contact you or your agent to schedule a closing or signing appointment. In some states, this is the "close of escrow." In some others, the close of escrow is either the day the documents record or that funds are disbursed. Ask your escrow holder if you would like clarification about your state's laws. You will have a chance to review the settlement statement and supporting documentation. This is your opportunity to ask questions and clarify terms. You should review the settlement statement carefully and report discrepancies to the escrow officer. This includes any payments that may have been missed. You are responsible for all charges incurred even if overlooked by the escrow holder, so it's better to bring these to their attention before closing.

Closing Your Escrow

Once the loan is approved and all invoices and paperwork have been provided, the lender and escrow officer will collaborate on the preparation of the Closing Disclosure (CD). In order to close on time, all paperwork and invoices should be submitted at least 10 days prior to the expected close of escrow date. The borrower must receive the CD at least three days* prior to consummation of the loan (typically the signing date). The escrow officer will also prepare an estimated settlement statement and inform the buyer of the balance of the down payment and closing costs needed to close escrow.

AZ Sellers Guide | 17

You will need valid identification with your photo I.D. on it when you sign documents that need to be notarized (such as a deed). A driver's license is preferred. You will also be asked to provide your social security number for tax reporting purposes, and a forwarding address.

Create an inventory sheet of items to move.

Discard unnecessary items Moving is a great time for ridding yourself of unnecessary items. Have a yard sale or donate unnecessary items to charity.

FOUR WEEKS BEFORE: Contact utility companies Set utility turnoff date, seek refunds and deposits and notify them of your new address.

SIX WEEKS BEFORE:

Change of address. Visit USPS for change of address form.

Research moving options You’ll need to decide if yours is a do-it-yourself move or if you’ll be using a moving company.

Planning your move

Request moving quotes Solicit moving quotes from as many moving companies and movers as possible. There can be a large difference between rates and services within moving companies.

Changing Schools. If changing schools, contact new school for registration process.

Prepare Floor Plan. Prepare floor plan for your new home. This will help avoid confusion for you and your movers.

MOVINGReviewDAY:thehouse. Once the house is empty, check the entire house (closets, the attic, basement, etc) to ensure no items are left or no home issues exist.

Obtain your medical records. Contact your doctors, physicians, dentists and other medical specialists who may currently be retaining any of your family’s medical records. obtain these records or make plans for them to be delivered to your new medical facilities.

ONE WEEK BEFORE: Plan your itinerary. Make plans to spend the entire day at the house or at least until the movers are on their way. Someone will need to be around to make decisions. Make plans for kids and pets to be at the sitters for the day.

Travel items. Set aside items you’ll need while traveling and those needed until your new home is established. Make sure these are not packed in the moving truck!

Double check with your mover. Make sure your mover has the new address and your contact information should they have any questions during your move.

Borrowed and rented items. Return items which you may have borrowed or rented. Collect items borrowed to others.

AZ Sellers Guide | 18

Service automobiles If automobiles will be driven long distances, you’ll want to have them serviced for a trouble-free drive.

Bank accounts Notify bank of address change. Make sure to have a money order for paying the moving company if you are transferring or closing accounts.

Cancel services. Notify any remaining service providers (newspapers, lawn services, etc) of your move.

Sign the bill of lading. Once your satisfied with the mover’s packing your items into the truck, sign the bill of lading. If possible, accompany your mover while the moving truck is being weighed.

Vacate your home. Make sure utilities are off, doors and windows are locked and notify your real estate agent you’ve left the property.

Seek employer benefits. If your move is work-related, your employer may provide funding for moving expenses. Your human resources rep should have information on this policy.

Packing materials. Gather moving boxes and packing materials for your move.

Note food inventory levels Check your cupboards, refrigerator and freezer to use up as much of your perishable food as possible. Service small engines for your move by extracting gas and oil from the machines. This will reduce the chance to catch fire during your move. Protect jewelry and valuables. Transfer jewelry and valuables to safety deposit box so they can not be lost or stolen during your move.

Contact insurance companies. (Life, Health, Fire, Auto) You’ll need to contact your insurance agent to cancel/transfer your insurance policy. Do not cancel your insurance policy until you have and closed escrow on the sale.

Scan your furniture. Check furniture for scratches and dents before so you can compare notes with your mover on moving day.

Start packing. Begin packing for your new location.

AZ Sellers Guide | 19 Your Notes:

AZ Sellers Guide | 20 Your Notes:

AZ Sellers Guide | 21 Your Notes:

3 16165623.487.0404N.83rd Ave , #100 Peoria, AZ 85382 S of Bell/E side of 83rd Ave

4 THE LEGENDS 20241623.537.1608N.67th Ave , #A-2 Glendale, AZ 85308 E side 67th Ave/N of 101 5 ANTHEM 39508623.551.3265N.Daisy

14 GILBERT SAN TAN 1528480.777.0614E.Williams Field Rd., #101 Gilbert, AZ 85295 NW corner of Williams Field Rd./ Val Vista Rd.

13940623.299.3644W.Meeker

Johnson

2 GOODYEAR Rd. Ste. #170 AZ NW corner of McDowell & Litchfield

Meeker

ARROWHEAD

17 GOLD CANYON 6877480.288.0883SouthKings Ranch Rd., #5 Gold Canyon, AZ 85118 E of South60/Side Kings Ranch Rd.

16 RED MOUNTAIN 1135480.534.3599N.Recker Rd., #103 Mesa, AZ 85205 SE corner of Recker & Brown

1 SUN CITY WES T Blvd., #119 Sun City West, AZ 85375 N of Blvd W of R.H.

15 MESA 1630480.401.3738S.Stapley Dr., #123 Mesa, AZ 85204 N of Baseline / W of Stapley

9 KIERLAND COMMONS 14648480.948.6488NScottsdale Rd., Ste. #100 Scottsdale, AZ 85254 W of Scottsdale Road, S side of Greenway

Mountain Dr., #128 Anthem, AZ 85086 NE corner Daisy Mtn Dr/ Gavilan Peak Pkwy 6 BILTMORE 3200602.954.3644ECamelback Rd., #123 Phoenix, AZ 85018 NE Corner of Camelback/32nd Street 7 TATUM RIDGE 480.515 4369 11211 N Tatum Blvd, #A150 Phoenix, AZ 85028 N of Shea, E side of Tatum 8 CAREFREE 7202480.575.6609E.Carefree Dr , Bldg 1, #1 Carefree, AZ 85377 NE corner of Tom Darlington/ Carefree Dr.

13 CHANDLER PORTICO 2121480.777.0051W.Chandler Blvd., #215 Chandler, AZ 85224 SW Corner Chandler Blvd./ Dobson Rd.

1 4 3 2 6 12 10 5 8 7 11 9 CRISMON BUTTESIGNAL GOLDFIELD OLDWESTHWY SKINGSRANCH 14 17 15 13 16 ArizonaCentral First American Title Branch Locator

1626623.936.8001N.Litchfield

Goodyear,

85395

10 SCOTTSDALE FORUM 6263480.551.0480N.Scottsdale Rd., #110 Scottsdale, AZ 85250 E Side Scottsdale/S of Lincoln

12 AHWATUKEE 4435480.753.4424E.Chandler Blvd , #100 Phoenix, AZ 85048 SW corner Chandler/45th St.

11 DC CROSSING 18291480.563.9034N.Pima Rd , #145 Scottsdale, AZ 85255 SE corner of Pima/Legacy

AZ Sellers Guide | 22

3 CAMBRIC 520.577.8707 | Fax 520.529.5034 1840 E. River Rd., Ste. 200 Tucson, AZ 85718

5 CASAS ADOBES 520.575.1900 | Fax 520.432.0168 6760 N. Oracle Rd., Ste. 100B Tucson, AZ 85704

7 GREEN VALLEY 520.625.1095 | Fax 520.958.9663 190 W. Continental Rd., Ste. 226 Green Valley, AZ 85622

10 RITA ROAD 520.618.7790 | Fax 520.901.1720 10222 East Rita Rd., Ste. 190 Tucson, AZ 85747

AIRPORTINT'LTUCSON Air Force

12 SKYLINE 520.529.0506 | Fax 520.529.8998 2890 E. Skyline Dr., Ste. 200 Tucson, AZ 85718

WSilverbellRd SSantaRitaRd NMtLemmon Hwy ESascoRd W Avra Valley Rd E G and Va ey DrNAguirreRd dRkLNucet dRWNentzNWatermanMountainRd RdAnwayN W El Tiro Rd NTricoRd W Tucke Rd W Rudasi Rd W Manv l e Rd SSanJoaquinRdWBopp Rd W Snyder H RddRSMarstear W Park Rd W Hermans RdW He mans Rd W Guy St W Bush Rd SGarveyRd eaCNlRinconado SWimotRd SShawRd SSierritaMountainRd SKobRdW Tw nButtes Rd W Mcgee Ranch Rd ESstanca BNearCanyonRdW E Cam no De Cerro E Fairmount St SSwanRd NFrontageRd W Emigh Rd W Fort Lowe Rd dSPNumptationR Cont nental Ave NTricoRd SOwlHeadGasLineRd NTricoRd W Bayard Rd dRSSandaro N Dove Mountain Blvd SHelvetiaRd WAnamax Mine Rd dRhRiGWarcaanc Road424 WRagged Top Rd W Ruby S a Dr WBritten RanchRd W Pima Mine Rd ellRdS S Mcgee RanchRd E Edw n Rd 80 NKINNEYRDSNANDARIORDNANWAYRD W VALENCIA RD W MOORE RD W INA RD ESN1TAV E SUNRISE DR E SNYDER RDNSILVERBELLRD TRSNOLDIERLE RIVER RDE PRINCE RD E SPEEDWAY BLVD SFREEMANRDE 22ND ST E 22ND ST W IRVINGTON RD SNOGALESHWY W VALENCIA RDSMISSIONRDWSPEEDWAY BLVD SOLDSPANISHTRL W NARANJA DR W TWIN PEAKS RD W PICTURE ROCKS RD W MANVILLE RD SKINNEYRD W MILE WIDE RD E SAHUARITA RD NTRICORD OSSANDARIRD SOLDNOGALESHWY GUOSHHTONRD ADCSLAANADRW HELMET PEAK RD WAJOHWY RNASNWD RDKOLBS SHOUGHTONRD W TANGERINE RD E GRANT RD SHOUGHTONRD 95 WAJOHWY E VALENCIA RD NORACLERD I-10 I-19 77 77 86 86 286 19 10 10 Corona de Tucson AdobesCasas Catalina Green Valley Picture Rocks Three Points VailSummit TanqueVerde SahuaritaTucson Saddlebrooke Marana Oro Valley Rillito SummerhavenWillow Canyon Oracle Junction Cortaro Continental Littletown 2 3758 9 10 11 13 12 6 1 SouthernArizona First American Title Branch Locator AIRPORTINT'LTUCSON Air Force FreemanRd WSilverbellRd NMtLemmon Hwy ESascoRd NF38 W Avra Val ey Rd WSCuryRdHanna Rd E Grand Va ey D W Houser Rd W Ph ps Rd E Co nman Rd NAguirreRd dRkLNucet dRWNentzNWatermanMountainRd RdAnwayN W El Tiro Rd NTricoRd W Tucke Rd W Rudas Rd W Manv e Rd SSanJoaquinRdWBopp Rd W Snyde H RddRlSMarsear W Pa k Rd W He mans RdW Hermans Rd W Guy St W Bush Rd SGaveyRd eaCNllRinconado SWimotRd SShawRd SSierritaMountainRd boRdRd W Woodru Rd ONveriedRd W Rando ph Rd W BartlettNRdLaPamaRdNTweedyRd E Randolph Rd W Kleck Rd E K eck Rd W Se ma Hwy STrekellRd SHennessRd E Selma Hwy W Co nman Rd W Pretzer Rd SLambRd SLaPalmaRd E M gan Rd E M gan Rd W A es Dr E Curtis Rd ESsancaDr EDesertDove HearthRd E Hemlock Dr BNearCanyonRdW E Cam no De Cerro E Fairmount St SSwanRd NFrontageRd W Emigh Rd GoffRanchRd NBarkervilleRd W Fort Lowe Rd dSPNumpationR E Nona Rd Ch efButteRd LovettaRd E Hanna Rd TecoloteRanchRd FlorenceRdRomeroRd Con nenta Ave BIA 30 NTricoRd SSunandGnRd SCattleTankRd E E s Rd E Hotts Rd E Nutt Rd Evalyn Rd SOwlHeadRanchRdGasLineRd PSecanRd I on Va ey RdEDeepWellRanchRd SNighSkySt SBadyPumpRdE Houser Rd E Ar ca Rd W Ea ey Rd NTrcoRd W Baya d Rd dRSSandario WillowSpringsRd EHelmwheel Ranch Rd N Dove Mounta n Blvd BIA-35 dRhRiGWarcaanc E Dese H s Rd WRagged Top Rd W Pima Mine Rd WSilverbellRdS E Edw n Rd BIA34 SGuildRd 80 NKINNEYRD SPICACHOHWYE GREENE RESERVOIR RD SSUNLANDGINRD W BATTAGLIA DR AZ-84 E BAUMGARTNER RD SSUNSHINEBLVD SNANDARIORDNANWAYRD E HARMON RD W VALENCIA RD E RODEO RD W MOORE RD W INA RD ESN1TAV E SUNRISE DR E SNYDER RDNSILVERBELLRD TRSNOLDIERLE RIVER RDE PRINCE RD E SPEEDWAY BLVD SFREEMANRDE 22ND ST E 22ND ST W IRV NGTON RD SNOGALESHWY W VALENC A RDSMISSIONRDWSPEEDWAY BLVD SOLDSPANISHTRL W NARANJA DR W TW N PEAKS RD W P CTURE ROCKS RD W MANVILLE RD SKINNEYRD W MILE WIDE RD E SAHUAR TA RD W HARMON RD W MCCARTNEY RD NTRICORD OSSANDARRD PARK LINK DR GUOSHHTONRD ADDR E MART N RD STHORNTONRD W HELMET PEAK RD SCHUICHURD WAJOHWY RNASNWD RDKOLBS SHOUGHTONRD W TANGER NE RD E GRANT RD SHOUGHTONRD NPINALAVE 95 WAJOHWY E VALENCIA RD NORACLERD I10 I-19 I8 77 77 79 77 77 87 86 86 387 287 86 10 19 8 10 10 10 La Palma Chuichu Arizona City Corona de Tucson AdobesCasas Catalina OracleDudleyvilleGrandeCasa Picture Rocks Three Points VailSummit TanqueVerde Eloy SahuaritaTucson Cactus Forest Picacho Red Rock Saddlebrooke Marana Oro Valley HaivanaNakya Rillito SummerhavenWillow Canyon Randolph Toltec Oracle Junction Cortaro Schuchk Littletown 2 4 385 9 10 11 13 12 6 1 AIRPORTINT'LTUCSON Air Force WSilverbellRd SSantaRitaRd NMtLemmon Hwy W Avra Valley Rd guirreRd dRkLNucet dRWNenzNWatermanMountainRd RdAnwayN W El Tiro Rd NTricoRd W Tucke Rd W Rudas Rd W Manv e Rd SSanJoaquinRdWBopp Rd W Snyder H RddRlSMarsear W Park Rd W Hermans RdW He mans Rd W Guy St W Bush Rd SGarveyRd eaCNlRnconado SWmoRd SShawRd SSierritaMountainRd SKobRdW TwinButtes Rd W Mcgee Ranch Rd BNearCanyonRdW E Cam no De Cerro E Fairmount St SSwanRd NFrontageRd W Emigh Rd W Fort Lowel Rd dSPNumptationR NNTricoRdTcoRd W Baya d Rd dRSSandaro N Dove Mountain Blvd SHelvetiaRd WAnamax M ne Rd dRhRiGWacaanc Road424 ed Top Rd W Ruby S ar D WBritten RanchRd W Pima Mine Rd S Mcgee RanchRd 80 NKINNEYRDSNANDARIORDNANWAYRD W VALENC A RD W MOORE RD W INA RD ESN1TAV E SUNR SE DR E SNYDER RDNSILVERBELLRD TRSNOLDIERLE RIVER RDE PRINCE RD E SPEEDWAY BLVD SFREEMANRDE 22ND ST E 22ND ST W IRV NGTON RD SNOGALESHWY W VALENCIA RDSMISSIONRDWSPEEDWAY BLVD SOLDSPANISHTRL W NARANJA DR W TW N PEAKS RD W P CTURE ROCKS RD W MANVILLE RD SKINNEYRD W MILE WIDE RD E SAHUARITA RD NTRICORD OSSANDARIRD SOLDNOGALESHWY GUOSHHTONRD ADCSLAANADRW HELMET PEAK RD WAJOHWY RNASNWD RDKOLBS SHOUGHTONRD W TANGERINE RD E GRANT RD SHOUGHTONRD 95 WAJOHWY E VALENCIA RD NORACLERD I-19 77 77 86 86 286 19 10 10 Corona de Tucson AdobesCasas Catalina Green Valley Picture Rocks Three Points VailSummit TanqueVerde SahuaritaTucson Marana Oro Valley Rillito SummerhavenWillow Canyon Cortaro Continental Littletown 2 3758 9 10 11 13 12 6 1 AZ Sellers Guide | 23

4 CASA GRANDE 520.426.4600 | Fax 520.426.4699 421 E. Cottonwood Ln. Casa Grande, AZ 85122

11 RIVER 520.529.1944 | Fax 520.615.2945 1650 E. River Rd., Ste. 105 Tucson, AZ 85718

9 ORO VALLEY/ORACLE 520.229.9194 | 520.297.2576 Fax 520.229.9210 | 520.742.5866 8500 N. Oracle Rd., Ste 100 Oro Valley, AZ 85704

8 ORO VALLEY/LA CANADA 520.877.9200 | Fax 520.202.6348 11165 N. La Canada Dr., Ste. 143 Oro Valley, AZ 85737

6 FOOTHILLS 520.299.4606 | Fax 520.577.6993 6262 N Swan Road, Suite 205 Tucson, AZ 85718

1 MAIN OFFICE 520.885.1600 | Fax 520.885.2309 6390 E. Tanque Verde Rd. Tucson, AZ 85715

2 BROADWAY 520.747.1644 | Fax 520.747.1403 3777 E. Broadway Blvd., Ste. 220 Tucson, AZ 85716

13 TANQUE VERDE 520.202.2626 | Fax 520.495.6151 7479 E. Tanque Verde Tucson, AZ 85715

05110280522 For more information please contact your First American representative. www.firstam.com

First American Title Insurance Company, and the operating divisions thereof, make no express or implied warranty respecting the information presented and assume no responsibility for errors or omissions. First American, the eagle logo, First American Title, and firstam.com are registered trademarks or trademarks of First American Financial Corporation and/or its affiliates.

©2022 First American Financial Corporation and/or its affiliates. All rights reserved. NYSE: FAF

Turn static files into dynamic content formats.

Create a flipbook
Issuu converts static files into: digital portfolios, online yearbooks, online catalogs, digital photo albums and more. Sign up and create your flipbook.
Digital Homebook 1749 W Sonoran View Dr by FirstAmAZ - Issuu