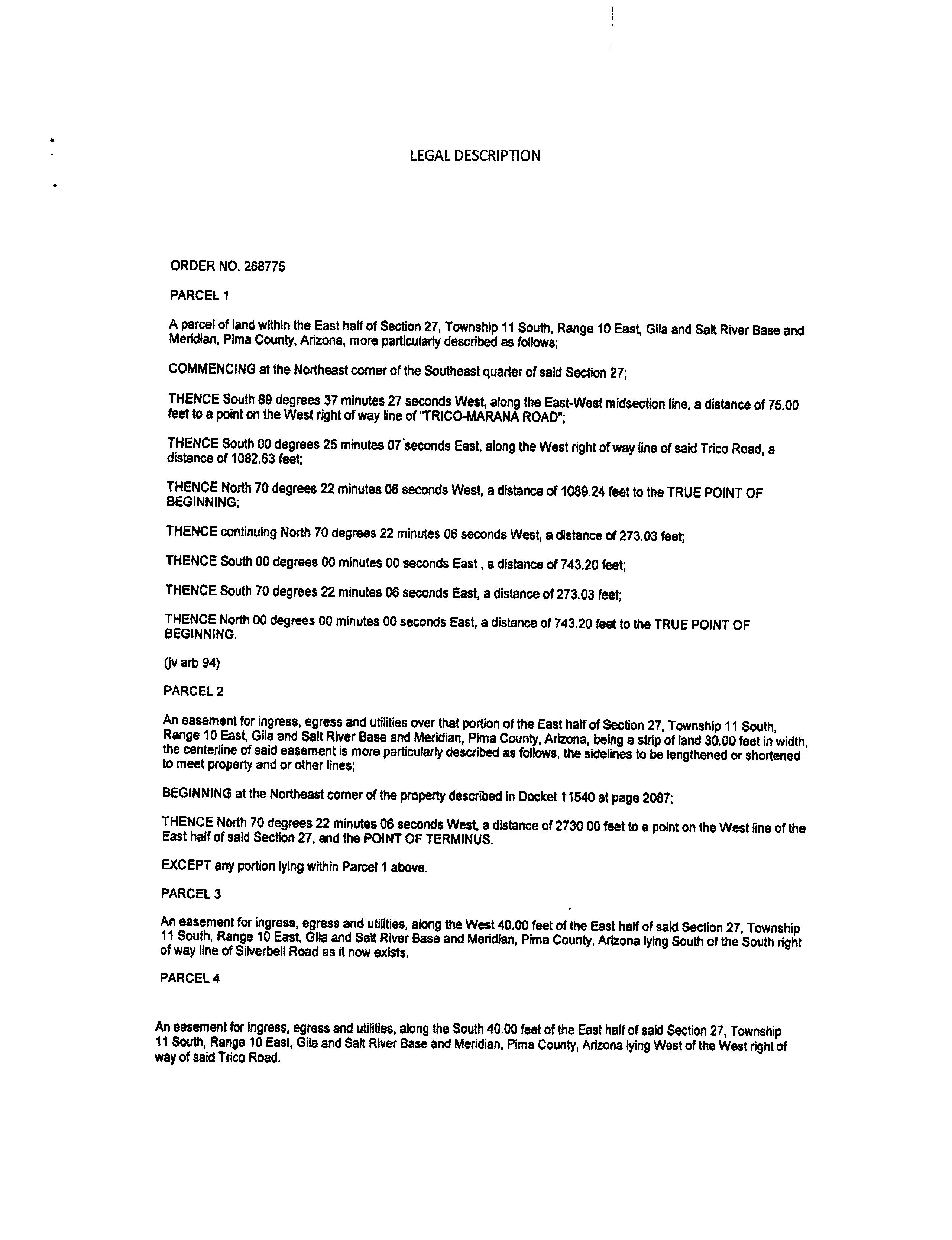
Digital Homebook 13045 Trico Marana

Page 1

13045TricoMarana Marana,AZ85653

• Never direct, accept or allow anyone in the transaction to consent to receiving transfer instructions without a direct personal telephone call to the individual allegedly providing the instructions.

• It is imperative that this call be made to a number obtained in person from the individual or through other reliable means, not from a number provided in the email or the wiring instructions

• If you receive an email containing wire transfer instructions, immediately call your escrow officer to ensure the validity of the instructions.

ONLINE RESOURCES:

The Internet Crime Complaint Center @ www.ic3.gov

Before you wire funds to any party (including your lawyer, title agent, mortgage broker, or real estate agent) personally meet them or call a verified telephone number (not the telephone number in the email) to confirm before you act!

The National White Collar Crime Center @ http://www.nw3c.org/research

DO NOT TRUST EMAILS SEEKING PERSONAL/FINANCIAL INFORMATION

The undersigned acknowledges receipt of this Wire Fraud Advisory.

The Federal Bureau of Investigation @ https://www.fbi.gov/scams and safety

WIRE FRAUD ADVISORY

Client Date Client Date

DO NOT TRUST EMAILS CONTAINING WIRE INSTRUCTIONS

Criminals are targeting social media and email to steal information. This is particularly common in real estate transactions because sensitive data, including social security numbers, bank account numbers, and wire instructions are often sent by electronic means. We do not want you to be the next victim of wire fraud. Money wired to a fraudulent account is stolen money that typically cannot be recovered. Additionally, there is generally no insurance for this loss. You may never get the money back.

Immediately notify your banking institution and Settlement/Title Company if you are a victim of wire fraud.

• If you receive an email requesting personal/financial information or asking you to download, click on a link, send, and/or do anything that may seem unusual to you, call your escrow officer immediately prior to acting on the suspicious email to verify the validity of the email.

There are many online sources that can provide useful information regarding similar topics including, but not limited to, the following sites:

PROTECT YOURSELF VERIFY AND NOTIFY

On Guard Online @ www.onguardonline.gov

TRUST YOUR SOURCE OF INFORMATION

LIMITATION OF LIABILITY FOR INFORMATIONAL REPORTS

This report is not an insured product or service or a representation of the condition of title to real property. It is not an abst ract, legal opinion, opinion of title, title insurance commitment or preliminary report, or any form of Title Insurance or Guaranty. This report is issued exclusively for the benefit of the Applicant therefor and may not be used or relied upon by any other person. This report may not be reproduced in any manner without First American or Title Security's prior written consent. First American or Title Security does not represent or warrant that the information herein is complete or free from error, and the information herein is provided without any warranties of any kind, as-is, and with all faults. As a material part of the consideration given in exchange for the issuance of this report, recipient agrees that First American or Title Security's sole liability for any loss or damage caused by an error or omission due to inaccurate information or negligence in preparing this report shall be limited to the fee charged for the report. Recipient accepts this report with this limitation and agrees that First American or Title Security would not have issued this report but for the limitation of liability described above. First American or Title Security makes no representation or warranty as to the legality or propriety of recipient's use of the information herein.

IMPORTANT -- PLEASE READ CAREFULLY:

© 2022 CoreLogic. All rights reserved

Subject Property 13045 N Trico Rd APN:AZMarana85653208-15-048E

Data Provided By: American Title Ins Co

First

© 2022 CoreLogic. All rights reserved

Data Provided By: First American Title Ins Co

Disclaimer

This REiSource report is provided "as is" without warranty of any kind, either express or implied, including without limitations any warrantees of merchantability or fitness for a particular purpose. There is no representation of warranty that this information is complete or free from error, and the provider does not assume, and expressly disclaims, any liability to any person or entity for loss or damage caused by errors or omissions in this REiSource report without a title insurance policy.

The information contained in the REiSource report is delivered from your Title Company, who reminds you that you have the right as a consumer to compare fees and serviced levels for Title, Escrow, and all other services associated with property ownership, and to select providers accordingly. Your home is the largest investment you will make in your lifetime and you should demand the very best.

Recording/Sale Date : 04/16/2002 /

Township-Range- Sect : 11S-10E-27

Owner Information

Total TaxableValue : $6,330 Tax Rate Area : 0601 Current ImprovementYearValue : $3,804

Customer Company Name : FIRST AMERICAN TITLE Prepared On : 09/12/2022

Market Area : 412

Munic/Township : Marana

County Use : Mh Non HmLot-affixedSubdMf Lot Acres : 4.39 State Use : Mh Non HmLot-affixedSubdMf

Deed Type : Deed (reg)

APN : 208-15-048E

1st Mtg Document # : 11779-3702

© 2022 CoreLogic. All rights reserved

Owner Name : Crotts Linda S Mailing Address : Po Box 363, Marana AZ 85653-0363 B004

Document # : 11779-3699

Property Characteristics

Year Built / Eff : 2002 / 2002 # of Stories : 1 Construction : Steel/wood

Property Information

Subject Property :   13045 N Trico Rd Marana AZ 85653

Tax Information

Location Information

Census Tract / Block : 44.19 / 1

Map Reference : 27-11S-10E

Total Value : $63,299 Property Tax : $981.35 Current YearValue :Total $7,504

Tax Year : 2021 Current AssessedYear : 2023

Owner Transfer Information

Assessed Year : 2021 Market Value : $63,299 Current YearValue :Land $3,700

School District : Marana

Customer Name : Chantel Cortez

Land Use : Mobile Home Zoning : RH Lot Size : 191,228

County : Pima, Az

Legal Description : Nwly 273.03' Sely1164.24' S743.20' N1827.79' Se4 4.39ac Sec 27-11-10

5

11

Customer

Sales Analysis Criteria Subject Property Low High Average

1

S 13045 N Trico Rd 63,299 191,228 2002 RH

Sale Price $50,000 $400,000 $187,933 Bldg/Living Area

Summary of

Distance From Subject 0 0.34 0.93 0.67

1 15881 W Silverbell Rd 250,000 80,828 03/23/2022 185,130 2001 0.34 RH

4

6

7

3

Year Built 2002 1971 2010 1996 Lot Size 191,228 43,124 304,920 100,613

Price Per Square Foot

8

9

StoriesBathroomsBedrooms 1 1 1

10

© 2022 CoreLogic. All rights reserved

Total Assessed Value $63,299 $21,576 $122,597 $54,385

Customer Name : Chantel Cortez Company Name : FIRST AMERICAN TITLE Prepared On : 09/12/2022

Comparables # Address Sale Price TotalValueAssessed Sale Date Bed Bath Living Area Lot Size YearBuilt (Miles)Dist Zoning

2 12678 N Antelope Rd 78,000 46,764 07/05/2022 43,560 2006 0.41 GR-1 12719 N Avenida Saturno 180,000 39,276 12/29/2021 43,560 1994 0.41 GR-1 13433 N Trico Rd 296,000 86,342 11/23/2021 182,952 2000 0.52 RH 15818 W Sandy St 60,000 21,825 08/22/2022 49,658 2010 0.54 GR-1 16050 W Silverbell Rd 250,000 72,035 10/13/2021 185,566 1999 0.54 RH 12740 N Luther Ave 275,000 63,270 05/06/2022 43,560 2007 0.59 GR-1 16150 W Placita Galaxia 223,000 44,189 08/01/2022 51,296 1995 0.68 SH 12750 N Anway Rd 400,000 122,597 03/10/2022 304,920 1995 0.78 GR-1 12760 N Anway Rd 317,000 66,179 03/07/2022 130,680 1995 0.84 GR-1 16445 W Sandy St 100,000 37,895 06/30/2022 43,560 1996 0.85 GR-1

Customer Name : Chantel Cortez

© 2022 CoreLogic. All rights reserved

Customer Company Name : FIRST AMERICAN TITLE

14 15925 W El Tiro Rd 50,000 40,578 06/03/2022 46,174 2004 0.91 GR-1

12 12455 N Eliese Ave 85,000 36,880 03/09/2022 46,562 1971 0.85 SH

Prepared On : 09/12/2022

13 16560 W Sandy St 100,000 35,534 04/28/2022 108,900 1972 0.9 GR-1

Distressed Sales = Map

15 16545 W Sandy St 155,000 21,576 06/17/2022 43,124 2000 0.93 GR-1

Owner Name: Richert John E /

APN / Alternate APN: 208-20-008C / Deed Type: Warranty Deed Land Use: Mobile Home Subdivision / Tract: El Tiro Hts / Lot Size: 43,560

APN / Alternate APN: 208-20-005G / Deed Type: Warranty Deed Land Use: Mobile Home Subdivision / Tract: / Lot Size: 43,560 Year Built / Eff: 1994 /1994 Rec. Date / Price: 12/29/2021 / $180,000 Living Area: # of units: Document #: 3630531 Bedrooms: Pool: Total Tax Value: $39,276 Bath(F/H): /

© 2022 CoreLogic. All rights reserved

Owner Name: Crotts Linda S /

Year Built / Eff: 2001 /2001

#3   12719 N Avenida Saturno Marana Az 85653

Land Use: Mobile Home Subdivision / Tract: Gila & Salt River Base & 27 / Lot Size: 185,130

APN / Alternate APN: 208-15-048E / Deed Type:

Details of Comparables

Subject Property: 13045 N Trico Rd Marana Az 85653

Year Built / Eff: 2006 /2006 Rec. Date / Price: 07/05/2022 / $78,000 Living Area: # of units: Document #: 1860699 Bedrooms: Pool: Total Tax Value: $46,764 Bath(F/H): /

Rec. Date / Price: 03/23/2022 / $250,000 Living Area:

Owner Name: Prince Abby M /

#4   13433 N Trico Rd Marana Az 85653

Land Use: Mobile Home Subdivision / Tract: / Lot Size: 182,952

Land Use: Mobile Home Subdivision / Tract: / Lot Size: 191,228 Year Built / Eff: 2002 /2002 Rec. Date / Price: / $ Living Area: # of units: Document #: Bedrooms: Pool: Total Tax Value: $63,299 Bath(F/H): /

# of units: Document #: 820168 Bedrooms: Pool: Total Tax Value: $80,828 Bath(F/H): /

Owner Name: Johnson Jenna D /

APN / Alternate APN: 208-15-023B / Deed Type: Warranty Deed

#2   12678 N Antelope Rd Marana Az 85653

Customer Name : Chantel Cortez

Owner Name: Likout Mallory E /Smith Justin M

APN / Alternate APN: 208-15-031J / Deed Type: Warranty Deed

Customer Company Name : FIRST AMERICAN TITLE Prepared On : 09/12/2022

Year Built / Eff: 2000 /2000 Rec. Date / Price: 11/23/2021 / $296,000 Living Area: # of units: Document #: 3270889 Bedrooms: Pool: Total Tax Value: $86,342 Bath(F/H): /

#1   15881 W Silverbell Rd Marana Az 85653

#6   16050 W Silverbell Rd Marana Az 85653

APN / Alternate APN: 208-20-020D / Deed Type: Warranty Deed

#9   12750 N Anway Rd Marana Az 85653

Owner Name: Roland Christopher Robert / APN / Alternate APN: 208-15-0280 / Deed Type: Warranty Deed

Owner Name: Gilor Daniel / APN / Alternate APN: 208-20-020C / Deed Type: Warranty Deed

Year Built / Eff: 1995 /1995 Rec. Date / Price: 03/07/2022 / $317,000 Living Area: # of units: Document #: 660871 Bedrooms: Pool: Total Tax Value: $66,179 Bath(F/H): /

Customer Company Name : FIRST AMERICAN TITLE Prepared On : 09/12/2022

© 2022 CoreLogic. All rights reserved

Year Built / Eff: 1995 /1995 Rec. Date / Price: 08/01/2022 / $223,000 Living Area: # of units: Document #: 2130410 Bedrooms: Pool: Total Tax Value: $44,189 Bath(F/H): /

Year Built / Eff: 1999 /1999 Rec. Date / Price: 10/13/2021 / $250,000 Living Area: # of units: Document #: 2860175 Bedrooms: Pool: Total Tax Value: $72,035 Bath(F/H): /

#8   16150 W Placita Galaxia Marana Az 85653

Land Use: Mobile Home Subdivision / Tract: / Lot Size: 185,566

Land Use: Mobile Home Subdivision / Tract: / Lot Size: 304,920

#10   12760 N Anway Rd Marana Az 85653

#5   15818 W Sandy St Marana Az 85653

Year Built / Eff: 2010 /2010 Rec. Date / Price: 08/22/2022 / $60,000 Living Area: # of units: Document #: 2340463 Bedrooms: Pool: Total Tax Value: $21,825 Bath(F/H): /

Owner Name: Bray Robert E Jr / APN / Alternate APN: 208-20-013D / Deed Type: Warranty Deed

Land Use: Mobile Home Subdivision / Tract: / Lot Size: 43,560 Year Built / Eff: 2007 /2007 Rec. Date / Price: 05/06/2022 / $275,000 Living Area: # of units: Document #: 1260707 Bedrooms: Pool: Total Tax Value: $63,270 Bath(F/H): /

Year Built / Eff: 1995 /1995 Rec. Date / Price: 03/10/2022 / $400,000 Living Area: # of units: Document #: 690745 Bedrooms: Pool: Total Tax Value: $122,597 Bath(F/H): /

Owner Name: Higuena Elsa / APN / Alternate APN: 208-20-002F / Deed Type: Warranty Deed Land Use: Mobile Home Subdivision / Tract: / Lot Size: 49,658

#7   12740 N Luther Ave Marana Az 85653

Owner Name: Mellin Rodney /Mellin Deb

Land Use: Mobile Home Subdivision / Tract: Gladden Farms / Lot Size: 130,680

Customer Name : Chantel Cortez

Owner Name: Othon Jacqueline /Salcido Irma APN / Alternate APN: 208-21-0380 / Deed Type: Warranty Deed Land Use: Mobile Home Subdivision / Tract: El Tiro Villas / Lot Size: 51,296

APN / Alternate APN: 208-20-067E / Deed Type: Warranty Deed

Owner Name: Rocking S Land & Cattle Co / APN / Alternate APN: 208-20-032C / Deed Type: Warranty Deed Land Use: Mobile Home Subdivision / Tract: / Lot Size: 43,560 Year Built / Eff: 1996 /1996 Rec. Date / Price: 06/30/2022 / $100,000 Living Area: # of units: Document #: 1810993 Bedrooms: Pool: Total Tax Value: $37,895 Bath(F/H): /

#15   16545 W Sandy St Marana Az 85653

Land Use: Mobile Home Subdivision / Tract: / Lot Size: 43,124 Year Built / Eff: 2000 /2000 Rec. Date / Price: 06/17/2022 / $155,000 Living Area: # of units: Document #: 1680689 Bedrooms: Pool: Total Tax Value: $21,576 Bath(F/H): /

Customer Company Name : FIRST AMERICAN TITLE Prepared On : 09/12/2022

Owner Name: Sanchez Alberto /Sanchez Maria J

Land Use: Mobile Home Subdivision / Tract: / Lot Size: 46,174

Year Built / Eff: 2004 /2004 Rec. Date / Price: 06/03/2022 / $50,000 Living Area: # of units: Document #: 1540103 Bedrooms: Pool: Total Tax Value: $40,578 Bath(F/H): /

#12   12455 N Eliese Ave Marana Az 85653

Owner Name: Haynes Deanna /Renteria Aliyah S APN / Alternate APN: 208-20-027G / Deed Type: Warranty Deed

Customer Name : Chantel Cortez

Year Built / Eff: 1971 /1971 Rec. Date / Price: 03/09/2022 / $85,000 Living Area: # of units: Document #: 680219 Bedrooms: Pool: Total Tax Value: $36,880 Bath(F/H): /

Owner Name: Ballesteros Adrian /Flores Margarita R APN / Alternate APN: 208-21-0050 / Deed Type: Warranty Deed Land Use: Mobile Home Subdivision / Tract: El Tiro Estates / Lot Size: 46,562

#11   16445 W Sandy St Marana Az 85653

#14   15925 W El Tiro Rd Marana Az 85653

Total Tax Value: $35,534 Bath(F/H): /

Owner Name: Arizona Lots Llc / APN / Alternate APN: 208-20-0260 / Deed Type: Warranty Deed Land Use: Mobile Home Subdivision / Tract: / Lot Size: 108,900 Year Built / Eff: 1972 /1972 Rec. Date / Price: 04/28/2022 / $100,000 Living Area: # of units: Document #: 1180118 Bedrooms: Pool:

© 2022 CoreLogic. All rights reserved

#13   16560 W Sandy St Marana Az 85653

Customer Company Name : FIRST AMERICAN TITLE Prepared On : 09/12/2022

Subject Property :   13045 N Trico Rd Marana AZ 85653

Customer Name : Chantel Cortez

© 2022 CoreLogic. All rights reserved

© 2022 CoreLogic. All rights reserved

Customer Name : Chantel Cortez

Customer Company Name : FIRST AMERICAN TITLE

Prepared On : 09/12/2022

SchoolsArizona For detailed information and statistics on Arizona schools please go ©2021FirstFirsthttps://azreportcards.azed.gov/toAmericanTitleInsuranceCompany,andtheoperatingdivisionsthereof,makenoexpressorimpliedwarrantyrespectingtheinformationpresentedandassumenoresponsibilityforerrorsoromissions.American,theeaglelogo,FirstAmericanTitle,andfirstam.comareregisteredtrademarksortrademarksofFirstAmericanFinancialCorporationand/oritsaffiliates.FirstAmericanFinancialCorporationand/oritsaffiliates.Allrightsreserved.NYSE:FAF05117910421

06

350

ELEMENTARY 10105

First American Title Insurance Company, and the operating divisions thereof, make no express or implied warranty respecting the information presented and assume no responsibility for errors or omissions. First American, the eagle logo, First American Title, and firstam.com are registered trademarks or trademarks of First American Financial Corporation and/or its affiliates. ©2021 First American Financial Corporation and/or its affiliates. All rights reserved. NYSE: FAF

EDesertDove

E Hemlock Dr BNearCanyonRdW E Camino Del Cerro E Fairmount St SSwanRd NFrontageRd W Emigh Rd W Fort Lowe Rd dSPNumptationR E Nona Rd Ch efButteRd Lo al Ave NTricoRd SCattleTankRd Evalyn Rd SOwlHeadRanchRdGasLineRd PSecanRd NTrcoRd W Bayard Rd dRSSandaro WillowSpringsRd N Dove Mountain Blvd

08

30

SHelvetiaRdUNIFIED N. Well Road, Ajo, AZ 85321 520.387.5618 VALLEY S. Sasabe Road, Tucson, AZ 85736 520.822.1484 W. Wetmore, Tucson, AZ 85705 520.696.5000 FOOTHILS E. River Road, Tucson, AZ 85718 520.209.7500 CONTINENTAL ELEMENTARY 1991 E. Whitehouse Canyon, Green Valley, AZ 85614 520.625.4581 FLOWING WELLS UNIFIED 1556 W. Prince Road, Tucson, AZ 85705 520.696.8800 MARANA UNIFIED 11279 W. Grier Road, Marana, AZ 85653 520.682.3243 PIMA COUNTY JTED 2855 W. Master Pieces Dr, Tucson, AZ 85741 520.352.5833 SAHUARITA UNIFIED W. Sahuarita Road, Sahuarita, AZ 85629 520.625.3502 SUNNYSIDE UNIFIED 2238 E. Ginter Road, Tucson, AZ 85706 520.545.2000

10 AMPHITHEATER UNIFIED 701

13

11

111

51 ALTAR

16 CATALINA

05249570321 AIRPORTINT'LTUCSON Air Force WSilverbellRd SSantaRitaRd NMtLemmon Hwy ESascoRd NF38 W Avra Valley Rd E Grand Va ey DrNAguirreRd dRkLNuce dRWNentzNWatermanMountainRd RdAnwayN W El Tiro Rd NTricoRd W Tucker Rd W Rudas l Rd W Manvi e Rd SSanJoaquinRdWBopp Rd W Snyder H l RddRSMarsear W Park Rd W Hermans RdW Hermans Rd W Guy St W Bush Rd SGaveyRd eaCNRinconado SWmoRd SShawRd SSierritaMountainRd SKobRdW TwinButtes Rd W Mcgee Ranch Rd ESstancaDr

UNIFIED 2101

39

TANQUE VERDE UNIFIED 2300 N. Tanque Verde Loop, Tucson, AZ 85749 520.749.5751 TUCSON UNIFIED 1010 E. 10th Street, Tucson, AZ 85717 520.225.6000 VAIL UNIFIED 10701 E. Mary Ann Cleveland Way, Tucson, AZ 85747 520.879.2000

12

01

20

WAnamax Mine Rd dRhRiGWacaanc Road424 WRagged Top Rd W Ruby Star Dr WBritten RanchRd W Pima Mine Rd S Mcgee RanchRd E Edw n Rd SGuildRd 80 NKINNEYRD SPICACHOHWYE BAUMGARTNER RD SNANDARIORDNANWAYRD W VALENCIA RD W MOORE RD W INA RD ESN1TAV E SUNRISE DR E SNYDER RDNSILVERBELLRD TRSNOLDIERLE RIVER RDE PRINCE RD E SPEEDWAY BLVD SFREEMANRDE 22ND ST E 22ND ST W IRVINGTON RD SNOGALESHWY W VALENCIA RDSMISSIONRDWSPEEDWAY BLVD SOLDSPANISHTRL W NARANJA DR W TWIN PEAKS RD W PICTURE ROCKS RD W MANVILLE RD SKINNEYRD W MILE WIDE RD E SAHUARITA RD NTRICORD OSSANDARRD PARK LINK DR SOLDNOGALESHWY GUOSHHTONRD ADCSLAANADRW HELMET PEAK RD WAJOHWY RNASNWD RDKOLBS SHOUGHTONRD W TANGERINE RD E GRANT RD SHOUGHTONRD 95 WAJOHWY E VALENCIA RD NORACLERD I-10 I-19 77 77 77 86 86 286 10 19 10 10 Corona de Tucson AdobesCasas Catalina Green Valley Oracle Picture Rocks Three Points VailSummit TanqueVerde SahuaritaTucson Red Rock Saddlebrooke Marana Oro Valley Rillito SummerhavenWillow Canyon Oracle Junction Cortaro Continental Littletown 20 30 13 15 51 39 12 01 01 08 10 16 11 06 PIMA COUNTY School District Information This map is provided for general location only. Please contact school districts for actual street boundaries SCHOOL DISTRICTS 15 AJO

Dds On The Mark 12550 N Doral Ave Lot 2 Marana Az (520) 471-0281 0.61

Customer Name : Chantel Cortez

Health Care Services

Super Stop 401 15841 W El Tiro Rd Marana Az (520) 682-6753 0.82

Name Address Telephone Distance (Miles)

Name Address Telephone Distance (Miles)

Dollar General 15841 W El Tiro Rd Marana Az (520) 682-5214 0.82

Local

Shopping

© 2022 CoreLogic. All rights reserved

EatingBusiness/Drinking

Name Address Telephone Distance (Miles)

Customer Company Name : FIRST AMERICAN TITLE Prepared On : 09/12/2022

Dolgencorp, Llc 12355 N Trico Rd Marana Az (520) 282-4550 0.89

Circle S Saloon Llc 16021 W El Tiro Rd Marana Az (520) 682-5377 0.81

13063 N TRICO RD Distance 0.09 Miles

Total Value : $20,000 Lot Acres : 4.39

Land Use : Residential Lot APN : 208-15-048B

Sale Date : 06/26/2014

Total Value : $54,110

13055 N TRICO RD Distance 0.05 Miles

Owner Name : Cummins Kelly L

Sale Price  : $20,000

Land Use : Mobile Home Lot Acres : 4.39

13025 N TRICO RD Distance 0.1 Miles

Stories : 1 APN : 208-15-047E

Sale Price  : $155,000

Customer Company Name : FIRST AMERICAN TITLE Prepared On : 09/12/2022

Recording Date : 03/02/2020

Property Tax : $1,763.67

Owner Name : Strege Devon Renee

Yr Blt / Eff Yr Blt  : 2007 / 2007

Yr Blt / Eff Yr Blt  : 2007 / 2007

Recording Date : 07/07/2014

Sale Date : 06/21/2021

Property Tax : $1,150.81

Customer Name : Chantel Cortez

Total Value : $113,756

Property Tax : $838.93

Sale Date : 01/30/2020

Sale Price  : $265,000

Owner Name : Duclo Scott D

Stories : 1 APN : 208-15-048C

Total Value : $74,230

Yr Blt / Eff Yr Blt  : 2002 / 2002

© 2022 CoreLogic. All rights reserved

Land Use : Mobile Home Lot Acres : 4.39

Sale Price  : $60,000

Property Tax : $498.71

Recording Date : 06/30/2021

Owner Name : Kroeger Matthew

Stories : 1 APN : 208-15-047A

Recording Date  : 01/29/2016

Sale Date : 01/27/2016

Land Use : Mobile Home Lot Acres : 4.39

13037 N TRICO RD Distance 0.05 Miles

Total Value : $111,541

Sale Date : 03/00/1999

Land Use : Mobile Home Lot Acres : 4.13

Owner Name : Munshi Darius

Land Use : Mobile Home Property Tax : $1,169.25

Owner Name : Strege Devon

Yr Blt / Eff Yr Blt  : 2005 / 2005

Stories : 1 APN : 208-15-041A

13071 N TRICO RD

Owner Name : Estrada Jimmy R

Distance 0.15 Miles

Subdivision : Smveys

Total Value : $75,415

Recording Date : 03/15/1999

Property Tax : $2,873.29

Stories : 1 Lot Acres : 4.25

Total Value : $115,259

© 2022 CoreLogic. All rights reserved

Sale Date : 03/27/2019

Sale Date : 07/14/2014

APN : 208-15-047D

Customer Name : Chantel Cortez

15945 W GOLD BELL RD

15919 W GOLD BELL RD Distance 0.13 Miles

Sale Date : 03/11/2016

Property Tax : $537.63

Sale Price  : $115,000

Recording Date : 03/21/2016

Yr Blt / Eff Yr Blt  : 1999 / 1999

Yr Blt / Eff Yr Blt : 2001 / 2001 APN : 208-15-0420

Total Value : $34,681

Owner Name : Rahe John S

Stories : 1

Sale Price  : $65,000

Sale Price  : $36,000

15987 W GOLD BELL RD Distance 0.14 Miles

Recording Date : 07/17/2014

Yr Blt / Eff Yr Blt  : 2003 / 2003

Land Use : Mobile Home Lot Acres : 4.13

Sale Price  : $150,000

Customer Company Name : FIRST AMERICAN TITLE Prepared On : 09/12/2022

Stories : 1 APN : 208-15-041B

Distance 0.12 Miles

Recording Date : 03/28/2019

Property Tax : $1,786.89

Land Use : Mobile Home Lot Acres : 4.39

15875 W GOLD BELL RD

13017 N TRICO RD

Sale Date : 04/00/2002

Property Tax : $549.32

Stories : 1 APN : 208-15-0400

Yr Blt / Eff Yr Blt  : 1999 / 1999

Land Use : Residential Acreage APN : 208-15-048A

Customer Name : Chantel Cortez

Recording Date : 07/10/1998

Distance 0.16 Miles

Distance 0.15 Miles

Land Use : Mobile Home Lot Acres : 4.13

Owner Name : Noriega Ermila O

Customer Company Name : FIRST AMERICAN TITLE Prepared On : 09/12/2022

Sale Price  : $91,114

Sale Price  : $39,900

Property Tax : $515.21

Total Value : $36,752

© 2022 CoreLogic. All rights reserved

Sale Date : 07/00/1998

Recording Date  : 04/16/2002

Total Value : $20,000 Lot Acres : 4.39

Owner Name : Lamborn Investments Llc

Current Year: 2,367 0 - $25,000 19.65%

Unit Occupied Owner: 84.75% Above $500,000: 0%

Estimate in 5 Years: 3,531 $35,000 - $50,000 13.81%

Household Size Household Income

© 2022 CoreLogic. All rights reserved

Estimate in 5 Years: 13,645 18 - 24 9.97%

$300 - $799: 40.33% $100,000 - $150,000: 15.6%

Count: 6,308 0 - 11

Average Current Year: 2.66 $25,000 - $35,000 13.56%

Census Tract / block: 44.19 / 1     Year: 2018

Male Population: 53.36% Above $100,000 11.96%

$800 - $1,999: 42.17% $150,000 - $200,000: 14.61% Over $2,000: 3.04% $200,000 - $300,000: 12.96%

Household

Married People: 56.19%

Growth Last 5 Years: 13.35% $50,000 - $75,000 33.21%

Estimate Current Year: 7,361 12 - 17

Population Population by Age

Growth Last 5 Years: 14.39% 25 - 64 50.17%

Median Mortgage Payments Home Values

Median Home Value: $96,100 $300,000 - $500,000: 3.34%

Unmarried People: 43.81%

Growth Last 10 Years: -7.5% $75,000 - $100,000 7.82%

Female Population: 46.64% Average Household Income: $52,482

Growth Last 10 Years: -186.48% 65 - 74 12.54% 75+

Under $300: 14.46% Below $100,000: 53.49%

Median Mortgage: $718

Customer Company Name : FIRST AMERICAN TITLE Prepared On : 09/12/2022

Housing

Customer Name : Chantel Cortez

Over 60 min: 11.6%

Technical: Government Worker: 12.92%

Rent Payments

Not Enrolled in School: 77.21%

15 min - 28 min: 28.87%

Service: 31.06% Skilled:

$500 - $749 37.8% 1980 - 1989 12.75%

Median Gross Rent: $845 1995 - 1998

Sales: 20.63% Self Employed Worker: 2.65%

Customer Name : Chantel Cortez

$750 - $999 36.89% 1970 - 1979 18.65%

Protective Services: Blue-Collar: 29.7%

Year Built

Education

Customer Company Name : FIRST AMERICAN TITLE Prepared On : 09/12/2022

Enrollment

Public College: 2.96% College Graduate: 14.52%

Workforce

Private House Hold: Farming: 15.8%

$1000 and Over 25.3% 1900 - 1969 7.08%

Private School: 3.33% Attended Some College: 27.63%

Public Pre-Primary School: 0%

Private Pre-Primary School: 0.38% Not A High School Graduate: 17.18%

© 2022 CoreLogic. All rights reserved

Unit Occupied Renter: 15.25% 1999 - 2000

Commute Time

Administrative: Unpaid Family Worker: 2.65%

Less Than $499 0% 1990 - 1994

Public School: 19.46% Graduate Of High School: 38.27%

Manager/Prof: 18.61% Private Worker: 76.41%

Less Than 15 Min: 6.78%

30 min - 57 min: 52.75%

Private College: 1.11% Graduate Degree: 2.4%

Occupation:

© 2022 CoreLogic. All rights reserved

Customer Company Name : FIRST AMERICAN TITLE

Customer Name : Chantel Cortez

Prepared On : 09/12/2022

© 2022 CoreLogic. All rights reserved

Prepared On : 09/12/2022

Customer Name : Chantel Cortez

Customer Company Name : FIRST AMERICAN TITLE

Customer Name : Chantel Cortez

Customer Company Name : FIRST AMERICAN TITLE

Prepared On : 09/12/2022

© 2022 CoreLogic. All rights reserved

Page 1 of 3 09/12/2022 9:14 AM

Page 2 of 3 09/12/2022 9:14 AM

Page 3 of 3 09/12/2022 9:14 AM

Page 1 of 4 09/12/2022 9:14 AM

Page 2 of 4 09/12/2022 9:14 AM

Page 3 of 4 09/12/2022 9:14 AM

Page 4 of 4 09/12/2022 9:14 AM

Page 1 of 4 09/12/2022 9:14 AM

Page 2 of 4 09/12/2022 9:14 AM

Page 3 of 4 09/12/2022 9:14 AM

Page 4 of 4 09/12/2022 9:14 AM

Page 1 of 5 09/12/2022 9:14 AM

Page 2 of 5 09/12/2022 9:14 AM

Page 3 of 5 09/12/2022 9:14 AM

Page 4 of 5 09/12/2022 9:14 AM

Page 5 of 5 09/12/2022 9:14 AM

Page 1 of 6 09/12/2022 9:14 AM

Page 2 of 6 09/12/2022 9:14 AM

Page 3 of 6 09/12/2022 9:14 AM

Page 4 of 6 09/12/2022 9:14 AM

Page 5 of 6 09/12/2022 9:14 AM

Page 6 of 6 09/12/2022 9:14 AM

Page 1 of 15 09/12/2022 9:14 AM

Page 2 of 15 09/12/2022 9:14 AM

Page 3 of 15 09/12/2022 9:14 AM

Page 4 of 15 09/12/2022 9:14 AM

Page 5 of 15 09/12/2022 9:14 AM

Page 6 of 15 09/12/2022 9:14 AM

Page 7 of 15 09/12/2022 9:14 AM

Page 8 of 15 09/12/2022 9:14 AM

Page 9 of 15 09/12/2022 9:14 AM

Page 10 of 15 09/12/2022 9:14 AM

Page 11 of 15 09/12/2022 9:14 AM

Page 12 of 15 09/12/2022 9:14 AM

Page 13 of 15 09/12/2022 9:14 AM

Page 14 of 15 09/12/2022 9:14 AM

Page 15 of 15 09/12/2022 9:14 AM

Page 1 of 6 09/12/2022 9:14 AM

Page 2 of 6 09/12/2022 9:14 AM

Page 3 of 6 09/12/2022 9:14 AM

Page 4 of 6 09/12/2022 9:14 AM

Page 5 of 6 09/12/2022 9:14 AM

Page 6 of 6 09/12/2022 9:14 AM

Page 1 of 18 09/12/2022 9:14 AM

Page 2 of 18 09/12/2022 9:14 AM

Page 3 of 18 09/12/2022 9:14 AM

Page 4 of 18 09/12/2022 9:14 AM

Page 5 of 18 09/12/2022 9:14 AM

Page 6 of 18 09/12/2022 9:14 AM

Page 7 of 18 09/12/2022 9:14 AM

Page 8 of 18 09/12/2022 9:14 AM

Page 9 of 18 09/12/2022 9:14 AM

Page 10 of 18 09/12/2022 9:14 AM

Page 11 of 18 09/12/2022 9:14 AM

Page 12 of 18 09/12/2022 9:14 AM

Page 13 of 18 09/12/2022 9:14 AM

Page 14 of 18 09/12/2022 9:14 AM

Page 15 of 18 09/12/2022 9:14 AM

Page 16 of 18 09/12/2022 9:14 AM

Page 17 of 18 09/12/2022 9:14 AM

Page 18 of 18 09/12/2022 9:14 AM

Once escrow is opened, the property will be thoroughly examined. CC&Rs and other matters that may “run with the land” will be disclosed in Schedule B of the Commitment for Title Insurance.

 The property is sectional, whereas there are no “standard” subdivision‐type restrictions

 A recorded plat may not exist

 Recorded CC&Rs may not exist.

If you have questions, or need additional information at this time, please contact your First American or Title Security Account Manager or Escrow Officer.

We are providing the requested information without CC&Rs.

 The recorded plat may be older, with limited information available, or

The property is too complex to obtain CC&Rs without a complete title examination

Unfortunately, we are unable to confirm CC&Rs at this time, possibly because:

to the Title & Escrow Process in Arizona Home Seller’s Guide

Southwest Gas www.swgas.com1.877.860.6020 Cox www.cox.com602.277.1000 Direct TV www.directv.com1.888.777.2454 Dish Network www.dishnetwork.com1.800.823.4929 CenturyLink www.centurylink.com800.366.8201 AT&T www.att.com1.800.222.0300 Verizon www.connecttoverizon.com1.877.300.4498 Salt River Project www.srpnet.com602.236.8888 APS www.aps.com602.371.7171 Your Escrow Number Your New City/State/ZipAddress Real Estate Agent Name Email Assistant Email Company Phone Address Fax Insurance CompanyPrevious Phone Previous Agent No.Policy New Company Phone New Agent No.Policy Home CompanyWarranty No.Policy First American Title Escrow Officer Email Escrow Assistant Email Address Phone City/State/Zip Fax 02 Quick Reference 03 Welcome 04 Benefits of Using a REALTOR ® 05 Key Professionals 06 Preparing Your Home for Sale 07 Staging Your Home for Show 09 Terms You Should Know 10 The Life of an Escrow 11 Closing Costs: Who Pays What 12 The Escrow Process 14 Understanding Title Insurance 16 Consider This 17 Closing Your Escrow 18 Planning Your Move Q uick Reference Table of Contents Utilities and Services

Count On Us To Meet Your Needs

First American Title’s professionals are proud to provide the title insurance that assures people’s home ownership. Backed by First American Title Insurance Company, your transaction will be expertly completed in accordance with state-specific underwriting standards and state and federal regulatory requirements.

Count On Us For Convenience

First American Title is the principal subsidiary of First American Financial Corporation, and one of the largest suppliers of title insurance services in the nation. With roots dating back to 1889, we’ve served families for generations.

First American Title has a direct office or agent near you, offering convenient locations throughout Arizona. We also have an extensive network of offices and agents throughout the United States, and internationally.

Welcome to the home-selling process. Throughout this process, you can count on First American Title to guide you smoothly through your transaction and provide expert answers to your questions. We are happy to serve you.

AZ Sellers Guide | 3

Count on First American Title

First American Financial Corporation offers more than title insurance and escrow services through its subsidiaries. Our subsidiaries also provide property data, title plant records and images, home warranties, property and casualty insurance, and banking, trust and advisory services.

Count On Us For Service

Count On Us For Stability

› Will listen to your needs, respect your opinions and allow you to make your own decisions.

- understand the various types of loans buyers may choose and the advantages and disadvantages for the seller?

- aware of conditions in the marketplace today that affect value and length of time to sell?

› Knows how to screen potential buyers and eliminate those who can’t qualify or are looking for bargain-basement prices.

› Can help protect your rights, particularly important with the increasingly complicated real estate laws and regulations.

AZ Sellers Guide |

FOR SALE BY OWNER

A REALTOR ® :

Do you...

- have the knowledge, patience, and sales skills needed to sell your home?

- know how to determine your home’s current market value?

- aware that every time you leave your home, you are taking it off the market until you return?

Many people believe they can save a considerable amount of money by selling their homes themselves. It may seem like a good idea at the time, but while you may be willing to take on the task, are you qualified? The following are some questions to help you realistically assess what’s involved.

- familiar enough with real estate regulations to prepare a binding sales contract? Counter-offers?

- aware that prospective buyers and bargain hunters will expect you to lower your cost because there’s no REALTOR® involved?

- concerned about having strangers walking through your home?

› Knows how to go toe-to-toe in negotiations.

Only you can determine whether you should attempt to sell your home—probably your largest investment—all alone. Talk with a REALTOR® before you decide. You may find working with a professional is a lot less expensive and much more beneficial than you ever imagined!

› Can remain objective when presenting offers and counter-offers on your behalf.

› Is experienced with resolving problems to facilitate a successful closing on your home.

› Maintains errors-and-omissions insurance.

- need to hire a real estate attorney? If so, do you know what the cost will be and how much liability they will assume in the transaction?

› Knows how to price your home realistically, to give you the highest price possible within your time frame.

- know how to determine whether or not a buyer can qualify for a loan?

› Is experienced in creating demand for homes and how to show them to advantage.

- understand the steps of an escrow and what’s required of you and the buyer?

- know how to advertise effectively and what the costs will be?

Are you...

Benefits4 of using a Professional REALTOR ®

- have arrangements with an escrow and title company, home warranty company, pest-control service and lender to assist you with the transaction?

› Can advertise effectively for the best results.

- prepared to give up your evenings and weekends to show your home to potential buyers and “just-looking” time wasters?

› Is always “on-call,” answering the phone at all hours, and showing homes evenings and weekends.

Before you make the decision to try to sell your home alone, consider the benefits a REALTOR ® can provide that you may not be aware of.

› Understands market conditions and has access to information not available to the average homeowner.

Key Professionals Involved in Your Transaction

These are the people who carry out the title search and examination, work with you to eliminate the title exceptions you are not willing to take subject to, and provide the policy of title insurance regarding title to the real property.

AZ Sellers Guide | 5

A REALTOR ® is a licensed real estate agent and a member of the National Association of REALTORS,® a real estate trade association. REALTORS ® also belong to their state and local Association of REALTORS.®

BUYER'S AGENT

LISTING AGENT

TITLE COMPANY

A real estate agent is licensed by the state to represent parties in the transfer of property. Every REALTOR ® is a real estate agent, but not every real estate agent has the professional designation of a REALTOR.®

The MLS is a database of properties listed for sale by REALTORS ® who are members of the local Association of REALTORS.® Information on an MLS property is available to thousands of REALTORS ®

A key role of the listing agent or broker is to form a legal relationship with the homeowner to sell the property and place the property in the Multiple Listing Service.

ESCROW OFFICER

A key role of the buyer’s agent or broker is to work with the buyer to locate a suitable property and negotiate a successful home purchase.

MULTIPLE LISTING SERVICE (MLS)

REALTOR ®

REAL ESTATE AGENT

An escrow officer leads the facilitation of your escrow, including escrow instructions preparation, document preparation, funds disbursement, and more.

Mow and edge the lawn regularly, and trim the shrubs.

Make sure toilet seats look new and are firmly attached.

Remove any oil and rust stains from the driveway and garage.

Repair or replace loud ventilating fans. Replace worn shower curtains.

Rearrange furniture to make rooms appear larger. If possible, remove and/or store excess furniture, and avoid extension cords in plain view.

Inspect fences, gates and latches. Repair or replace as needed.

First impressions have a major impact on potential buyers. Try to imagine what potential buyers will see when they approach your house for the first time and walk through each room. Ask your REALTOR ® for advice; they know the marketplace and what helps a home sell. Here are some tips to present your home in a positive manner:

Check stucco walls for cracks and discoloration.

Brighten the appearance inside by painting walls, cleaning windows and window coverings, and removing sunscreens.

Clean household appliances and make sure they work properly.

AZ Sellers Guide | 6

Repair or replace loose knobs on doors and cabinets. If doors stick or squeak, fix them.

Make sure the front steps are clear and hazard-free. Make sure the doorbell works properly and has a pleasant sound.

Air conditioners/heaters, evaporative coolers, hot water heater should be clean, working and inspected if necessary. Replace filters.

Check the pool and/or spa equipment and pumps. Make sure all are working properly and that the pool and/or spa are kept clean.

YOURFORPREPARINGSALEHOME

Repair leaky faucets and caulking in bathtubs and showers.

Remove clutter throughout the house. Organize and clean out closets.

Clean and organize the garage, and ensure the door is in good working order.

If screens or windows are damaged, replace or repair them.

Ensure that all exterior lights are working.

Make your entry inviting: Paint your front door and buy a new front door mat.

Shampoo carpeting or replace if worn. Clean tile floors, particularly the caulking.

Repair or replace worn shutters and other exterior trim.

Paint or replace the mailbox, if needed.

AZ Sellers Guide | 7

Keep everything clean. A messy or dirty home will cause prospective buyers to notice every flaw.

Staging your home for Show

To make the best impression, keep your home clean, neat, uncluttered and in good repair. Please review this list prior to each showing:

Hang clean attractive guest towels in the bathrooms.

Check that sink and tub are scrubbed and unstained.

Send pets away or secure them away from the house, and be sure to clean up after them.

Let the light in. Raise shades, open blinds, pull back the curtains and turn on the lights.

Make beds with attractive spreads.

Get rid of odors such as tobacco, pets, cooking, etc., but don’t overdo air fresheners or potpourri. Fresh baked bread and cinnamon can make a positive impact.

Stash or throw out newspapers, magazines, junk mail.

If you must be present while your home is shown, keep noise down. Turn off the TV and radio. Soft, instrumental music is fine, but avoid vocals.

Close the windows to eliminate street noise.

If possible you, your pets, and your children should be gone while your home is being Cleanshown.trash

cans and put them out of sight.

Clear all clutter from counter tops.

Keep the garage door closed and the driveway clear. Park autos and campers away from your home during showings

AZ Sellers Guide | 8

Form designed to provide disclosures that will be helpful to borrowers in understanding the key features, costs and risks of the mortgage loan for which they are applying. Initial disclosure to be given to the borrower three (3) business days after application.

Settlement statement

Occurs when the borrower becomes contractually obligated to the creditor on the loan, not, for example, when the borrower becomes contractually obligated to a seller on a real estate transaction. The point in time when a borrower becomes contractually obligated to the creditor on the loan depends on applicable State law. Consummation is not the same as close of escrow or settlement.

Easement

Impounds

A form of encumbrance that usually makes a specific parcel of real property the security for the payment of a debt or discharge of an obligation. For example, judgments, taxes, mortgages, deeds of trust.

Power of Attorney

TRID

Lien

Comparable Sales

Filing documents affecting real property with the appropriate government agency as a matter of public record.

Closing Disclosure (CD)

An estimate of value of property resulting from analysis of facts about the property; an opinion of value.

A trust type of account established by lenders for the accumulation of borrower’s funds to meet periodic payments of taxes, mortgage insurance premiums and/or future insurance policy premiums, required to protect their security.

Generally the date the buyer becomes the legal owner and title insurance becomes effective.

Deed Restrictions

An instrument used in many states in place of a mortgage.

Earnest Money Deposit

The instrument by which real property is pledged as security for repayment of a loan.

Terms You Should Know

Deed of Trust

Recording

Provides a complete breakdown of costs involved in a real estate transaction.

Appraisal

Consummation

The date the amounts are to be disbursed to a buyer and seller in a purchase transaction or the date funds are to be paid to the borrower or a third party in a transaction that is not a purchase transaction.

Disbursement Date

AZ Sellers Guide | 9

The borrower’s costs of the loan term expressed as a rate. This is not their interest rate.

Down payment made by a purchaser of real property as evidence of good faith; a deposit or partial payment.

Annual Percentage Rate (APR)

Hazard Insurance

Mortgage

Endorsement

Real estate insurance protecting against fire, some natural causes, vandalism, etc., depending upon the policy. Buyer often adds liability insurance and extended coverage for personal property.

PITI

Sales that have similar characteristics as the subject real property, used for analysis in the appraisal. Commonly called “comps.”

Close of Escrow

A right, privilege or interest limited to a specific purpose that one party has in the land of another.

Closing Disclosure form designed to provide disclosures that will be helpful to borrowers in understanding all of the costs of the transaction. This form will be given to the consumer three (3) business days before closing.

A description of land recognized by law, based on government surveys, spelling out the exact boundaries of the entire parcel of land. It should so thoroughly identify a parcel of land that it cannot be confused with any other.

A payment that includes Principal, Interest, Taxes, and Insurance.

A written instrument whereby a principal gives authority to an agent. The agent acting under such a grant is sometimes called an “Attorney-in-Fact.”

Beneficiary

Limitations in the deed to a parcel of real property that dictate certain uses that may or may not be made of the real property.

Legal Description

TILA-RESPA Integrated Disclosures

As to a title insurance policy, a rider or attachment forming a part of the insurance policy expanding or limiting coverage.

The recipient of benefits, often from a deed of trust; usually the lender.

Loan Estimate (LE)

Reviews all documents, demands, and instructions and prepares settlement statements and any other required documents.

Schedules inspections and evaluates findings. Reviews title BuyerpriorlenderpaperworkProvidespreliminarycommitment/report.allrequestedtoLender(bankstatements,taxreturns,etc.)Allinvoicesandfinalapprovalsshouldbetothenolaterthan10daystoloanconsummation.Lender(orEscrowOfficer)preparesCDanddeliverstoatleast3dayspriortoloanconsummation.Escrowofficerorrealestateagentcontactsthebuyertoschedulesigningappointment.Buyerconsummatesloan,executessettlementdocuments,&depositsfundsviawiretransfer.Documentsarerecordedandthekeysaredelivered!

Requests necessary information from buyers and sellers via opening packages.

THE LENDER

THE SELLER

Documents are recorded and funds are disbursed. Issues final settlement statement.

THE ESCROW OFFICER

AZ Sellers Guide | 10

Chooses a Real Estate Agent

Prepares recording instructions and submits docs for recording.

Accepts Buyer’s offer to openingCompletespurchase.andreturnspackagefromFirstAmericanTitle,includinginformationsuchasforwardingaddress,payofflendercontactinformationandloannumbers.Ordersanyworkforinspectionsand/orrepairstobedoneasrequiredbythepurchaseagreement.Escrowofficerorrealestateagentcontactsthesellertoschedulesigningappointment.Documentsarerecordedandallproceedsfromsalearereceived.

Coordinates with Escrow Officer on the preparation of the Closing Disclosure, which is delivered to Buyer at least 3 days prior to loan documents,UponDeliversconsummation.loandocumentstoescrow.reviewofsignedloanauthorizesloanfunding.

The Life Of An Escrow

Completes and returns opening package from First American Title.

Finalizes loan application with Lender. Receives a Loan Estimate from Lender.

Upon receipt of opening packages, orders demands for payoffs. Contacts buyer or seller when additional information is required for the title preliminarycommitment/report.

Upon receipt of order and earnest money deposit, orders title examination.

Once loan is consummated, sends funding package to lender for review.

Underwritingapproval.reviews loan package for approval.

Chooses a Real Estate Agent

THE BUYER

All demands, invoices, and fees must be collected and sent to lender at least 10 days prior to loan

Schedules signing appointment and informs buyer of funds due at settlement.

Coordinatesconsummation.withlender on the preparation of the CD.

Gets pre-approval letter from Lender and provides to Real Estate Agent.

Reviews title commitment / preliminary report.

Accepts Buyer’s application and begins the qualification process. Provides Buyer with Loan Estimate.

Orders and reviews title commitment / preliminary report, property appraisal, credit report, employment and funds verification.

Collects information such as title commitment / preliminary report, appraisal, credit report, employment and funds verification. Reviews and requests additional information for final loan

Makes offer to purchase. Upon acceptance, opens escrow and deposits earnest money.

AZ Sellers Guide | 11 CASH FHA VA CONV 1. Downpayment BUYER BUYER BUYER BUYER 2. Termite (Wood Infestation) Inspection (negotiable except on VA) SELLER 3. Property Inspection (if requested by buyer) BUYER BUYER BUYER BUYER 4. Property Repairs, if any (negotiable) SELLER SELLER SELLER SELLER 5. New Loan Origination Fee (negotiable) BUYER BUYER BUYER 6. Discount Points (negotiable) BUYER BUYER BUYER 7. Credit Report BUYER BUYER BUYER 8. Appraisal or Extension Fee (negotiable) BUYER BUYER BUYER 9. Existing Loan Payoff SELLER SELLER SELLER SELLER 10. Existing Loan Payoff Demand SELLER SELLER SELLER SELLER 11. Loan Prepayment Penalty (if any) SELLER SELLER SELLER SELLER 12. Next Month’s PITI Payment BUYER BUYER BUYER 13. Prepaid Interest (approx. 30 days) BUYER BUYER BUYER 14. Reserve Account Balance (Credit seller / Charge buyer) PRORATE PRORATE PRORATE 15. FHA MIP, VA Funding Fee, PMI Premium BUYER BUYER BUYER 16. Assessments payoff or proration (sewer, paving, etc.) SELLER 17. Taxes PRORATE PRORATE PRORATE PRORATE 18. Tax Impounds BUYER BUYER BUYER 19. Tax Service Contract SELLER SELLER BUYER 20. Fire/Hazard Insurance BUYER BUYER BUYER BUYER 21 Flood Insurance BUYER BUYER BUYER 22. Homeowners Association (HOA) Transfer Fee BUYER or SELLER BUYER or SELLER BUYER or SELLER BUYER or SELLER 23. HOA/Disclosure Fee SELLER SELLER SELLER SELLER 24 Current HOA Payment PRORATE PRORATE PRORATE PRORATE 25. Next Month’s HOA Payment BUYER BUYER BUYER BUYER 26. Home Warranty Premium (negotiable) BUYER or SELLER BUYER or SELLER BUYER or SELLER BUYER or SELLER 27. REALTORS®’ Commissions SELLER SELLER SELLER SELLER 28. EAGLE Homeowners Title Policy SELLER SELLER SELLER SELLER 29. Lenders Title Policy and Endorsements BUYER BUYER BUYER 30. Escrow Fee (NOTE: Charge seller on VA Loan) SPLIT SPLIT SELLER SPLIT 31. Recording Fees (Flat rate) SPLIT SPLIT SPLIT SPLIT 32. Reconveyance/Satisfaction Fee SELLER SELLER SELLER SPLIT 33. Courier/Express Mail Fees SPLIT SPLIT SELLER SPLIT THIS CHART INDICATES WHO CUSTOMARILY PAYS WHAT COSTS Note: Prorated items will appear on Closing Statement as charges for one and credits for the other. Closing Costs: Who Pays What

The Escrow Process

The escrow is the process of having a neutral party manage the exchange of money for real property. The escrow holder is known as an escrow or settlement officer or agent. The buyer deposits funds and the seller deposits a deed with the escrow holder along with all of the other documents required to remove all "contingencies" (conditions and approvals) in the purchase agreement prior to closing.

WHAT IS AN ESCROW?

Once a purchase agreement is signed by all necessary parties, the agent representing the party who will pay the fee selects an escrow holder and the buyer's earnest money deposit and contract are submitted to the escrow holder. From this point, the escrow holder will follow the mutual written instructions of the buyer and seller, maintaining a neutral stance to ensure that neither party has an unfair advantage over the other. The escrow holder also follows the instructions of the Buyer's new lender, the seller's existing lender, and both parties' agents. The escrow holder ensures the transparency of the transaction, while carefully maintaining the privacy of the consumers.

HOW IS AN ESCROW OPENED?

AZ Sellers Guide | 12

After recording is confirmed, close escrow and disburse funds, including proceeds, loan payoffs, tax payments, and more

commitment and begin the process of working with you and the title officer to eliminate the title exceptions the buyer and the buyer’s new lender are not willing to take subject to. This includes ordering a payoff demand from your existing lender.

Coordinate with the buyer’s lender on the preparation of the Closing Disclosure (CD)

Open escrow and deposit good faith funds into an escrow account

Set separate appointments allowing the buyer and seller to sign documents and deposit funds

Conduct a title search to determine the ownership and title status of the real Reviewpropertythetitle

Review documents and ensure all conditions are fulfilled and certain legal requirements are met

Request funds from buyer and buyer’s new lender

Prorate fees, such as real property taxes, per the contract and prepare the settlement statement

AZ Sellers Guide | 13

When all funds are deposited and conditions met, record documents with the County Recorder to transfer the real property to the buyer

Prepare and send final documents to all parties

Your Escrow Professional May:

You pay for your owner’s title insurance policy only once, at the close of escrow. Who pays for the owner’s policy and loan policy varies depending on local customs.

AZ Sellers Guide | 14

Title Insurance

Title insurance provides coverage for certain losses due to defects in the title that, for the most part, occurred prior to your ownership. Title insurance protects against defects such as prior fraud or forgery that might go undetected until after closing and possibly jeopardize your ownership and investment.

The Title Industry & Title Insurance in Brief

WHAT IS TITLE INSURANCE?

WHY IS TITLE INSURANCE NEEDED?

WHEN IS THE PREMIUM DUE?

Prior to the development of the title industry in the late 1800s, a home-buyer received a grantor’s warranty, attorney’s title opinion, or abstractor’s certificate as assurance of home ownership. The buyer relied on the financial integrity of the grantor, attorney, or abstractor for protection. Today, home-buyers look primarily to title insurance to provide this protection. Title insurance companies are regulated by state statute. They are required to post financial guarantees to ensure that any claims will be paid in a timely fashion. They also must maintain their own “title plants” which house duplicates of recorded deeds, mortgages, plats, and other pertinent county property Understandingrecords.

Title insurance insures buyers against the risk that they did not acquire marketable title from the seller. It is primarily designed to reduce risk or loss caused by defects in title from the past. A loan policy of title insurance protects the interest of the mortgage lender, while an owner’s policy protects the equity of you, the buyer, for as long as you or your heirs (in certain policies) own the real property.

23 Violation of building setback regulations

a) extends on another property and/or easement

4 Defective recording of any document

10 Cannot use the land for a Single-Family Residence because the use violates a restriction in Schedule B or a zoning ordinance

Other benefits:

31 Insurance coverage for a lifetime

21 Post-policy prescriptive easement

6 There is a lien on your title because there is:

c) violates an existing zoning law*

18 Lack of vehicular and pedestrian access

16 Post-policy encroachment

As with any insurance contract, the insuring provisions express the coverage afforded by the title insurance policy and there are exceptions, exclusions and conditions to coverage that limit or narrow the coverage afforded by the policy. Also, some cov erage may not be available in a particular area or transaction due to legal, regulatory, or underwriting considerations. Please contact a First American representative for further information. The services described above are typical basic services. The services provided to you may be different due to the specifics of your transaction or the location of the real property involved.

19 Map not consistent with legal description

a) a deed of trust

b) a judgement, tax, or special assessment

8 Mechanics lien

32 Post-policy inflation coverage with automatic increase in value up to 150% over five years

1 Someone else owns an interest in your title

Compare First American’s Eagle Policy® for Owners EAGLE StandardALTAorCLTA

20 Post-policy adverse possession

15 Post-policy forgery

27

30 Added ownership coverage leads to enhanced marketability

7 Title is unmarketable

Compare First American’s Eagle Policy® for Owners

EAGLE

AZ Sellers Guide | 15

2 A document is not properly signed

Protection from:

13 Building permit violations*

28 Compliance with Subdivision Map Act Coverage for boundary wall or fence encroachment*

12 Unrecorded easements

29

3 Forgery, fraud, duress in the chain of title

26 Rights under unrecorded leases Plain language statements of policy coverage and restrictions

* Deductible and maximum limits apply. Not available to investors on 1- to 4-unit residential properties. Coverage may vary based on an individual policy.

17 Post-policy damage from extraction of minerals or water

24 Discriminatory covenants

9 Forced removal of a structure because it:

b) violates a restriction in Schedule B

22 Covenant violation resulting in your title reverting to a previous owner

25 Pays rent for substitute land or facilities

14 Restrictive covenant violations

5 There are restrictive covenants

c) a charge by a homeowner’s association

StandardALTAorCLTA

11 Unrecorded lien by a homeowners association

33 Post-policy Living Trust coverage

Consider This

One escrow transaction could involve more than 20 individuals, including real estate agents, buyers, sellers, attorneys, escrow officer, escrow technician, title officer, loan officer, loan processor, loan underwriter, home inspector, termite inspector, insurance agent, home warranty representative, contractor, roofer, plumber, pool service, and so on. And often, one transaction depends on another.

AZ Sellers Guide | 16

When you consider the number of people involved, you can imagine the opportunities for delays and mishaps. Your experienced escrow team can’t prevent unforeseen problems from arising; however, they can help smooth out the process.

DON'T FORGET YOUR IDENTIFICATION

THE CLOSING DISCLOSURE

*For purposes of the Closing Disclosure“business day” is defined as every day except Sundays and Federal legal holidays.

THE CLOSING OR SIGNING APPOINTMENT

AZ Sellers Guide | 17

The escrow holder is obligated by law to have the designated amount of money before releasing any funds. If you have questions or foresee a problem, let your escrow holder know immediately.

The escrow holder will contact you or your agent to schedule a closing or signing appointment. In some states, this is the "close of escrow." In some others, the close of escrow is either the day the documents record or that funds are disbursed. Ask your escrow holder if you would like clarification about your state's laws.

You will have a chance to review the settlement statement and supporting documentation. This is your opportunity to ask questions and clarify terms. You should review the settlement statement carefully and report discrepancies to the escrow officer. This includes any payments that may have been missed. You are responsible for all charges incurred even if overlooked by the escrow holder, so it's better to bring these to their attention before closing.

You will need valid identification with your photo I.D. on it when you sign documents that need to be notarized (such as a deed). A driver's license is preferred. You will also be asked to provide your social security number for tax reporting purposes, and a forwarding address.

WHAT HAPPENS NEXT?

If the buyer is obtaining a new loan, the buyer’s signed loan documents will be returned to the lender for review. The escrow holder will ensure that all contract conditions have been met and will ask the lender to "fund the loan."

If the loan documents are satisfactory, the lender will send funds directly to the escrow holder. When the loan funds are received, the escrow holder will verify that all necessary funds are in. Escrow funds will be disbursed to the seller and other appropriate payees. Then, the REALTOR® will present the keys to the property to the buyer.

Once the loan is approved and all invoices and paperwork have been provided, the lender and escrow officer will collaborate on the preparation of the Closing Disclosure (CD). In order to close on time, all paperwork and invoices should be submitted at least 10 days prior to the expected close of escrow date. The borrower must receive the CD at least three days* prior to consummation of the loan (typically the signing date). The escrow officer will also prepare an estimated settlement statement and inform the buyer of the balance of the down payment and closing costs needed to close escrow.

Closing Your Escrow

Research moving options You’ll need to decide if yours is a do-it-yourself move or if you’ll be using a moving company.

Prepare Floor Plan. Prepare floor plan for your new home. This will help avoid confusion for you and your movers.

Change of address. Visit USPS for change of address form.

Borrowed and rented items. Return items which you may have borrowed or rented. Collect items borrowed to others.

Cancel services. Notify any remaining service providers (newspapers, lawn services, etc) of your move.

Create an inventory sheet of items to move.

FOUR WEEKS BEFORE:

Packing materials. Gather moving boxes and packing materials for your move.

Vacate your home. Make sure utilities are off, doors and windows are locked and notify your real estate agent you’ve left the property.

Protect jewelry and valuables. Transfer jewelry and valuables to safety deposit box so they can not be lost or stolen during your move.

Contact utility companies Set utility turnoff date, seek refunds and deposits and notify them of your new address.

Plan your itinerary. Make plans to spend the entire day at the house or at least until the movers are on their way. Someone will need to be around to make decisions. Make plans for kids and pets to be at the sitters for the day.

. Once the house is empty, check the entire house (closets, the attic, basement, etc) to ensure no items are left or no home issues exist.

Contact insurance companies. (Life, Health, Fire, Auto) You’ll need to contact your insurance agent to cancel/transfer your insurance policy. Do not cancel your insurance policy until you have and closed escrow on the sale.

Service automobiles If automobiles will be driven long distances, you’ll want to have them serviced for a trouble-free drive.

Obtain your medical records. Contact your doctors, physicians, dentists and other medical specialists who may currently be retaining any of your family’s medical records. obtain these records or make plans for them to be delivered to your new medical facilities.

SIX WEEKS BEFORE:

AZ Sellers Guide | 18

Travel items. Set aside items you’ll need while traveling and those needed until your new home is established. Make sure these are not packed in the moving truck!

Service small engines for your move by extracting gas and oil from the machines. This will reduce the chance to catch fire during your move.

Start packing. Begin packing for your new location.

Scan your furniture. Check furniture for scratches and dents before so you can compare notes with your mover on moving day.

Note food inventory levels Check your cupboards, refrigerator and freezer to use up as much of your perishable food as possible.

Request moving quotes Solicit moving quotes from as many moving companies and movers as possible. There can be a large difference between rates and services within moving companies.

ONE WEEK BEFORE:

Discard unnecessary items Moving is a great time for ridding yourself of unnecessary items. Have a yard sale or donate unnecessary items to charity.

Sign the bill of lading. Once your satisfied with the mover’s packing your items into the truck, sign the bill of lading. If possible, accompany your mover while the moving truck is being weighed.

Seek employer benefits. If your move is work-related, your employer may provide funding for moving expenses. Your human resources rep should have information on this policy.

MOVING

Double check with your mover. Make sure your mover has the new address and your contact information should they have any questions during your move.

Changing Schools. If changing schools, contact new school for registration process.

ReviewDAY:thehouse

Planning your move

Bank accounts Notify bank of address change. Make sure to have a money order for paying the moving company if you are transferring or closing accounts.

Your Notes:

AZ Sellers Guide | 19

AZ Sellers Guide | 20

Your Notes:

AZ Sellers Guide | 21

Your Notes:

7 TATUM RIDGE 480.515 4369 11211 N Tatum Blvd, #A150 Phoenix, AZ 85028

SE corner of Pima/Legacy

W of R.H. Johnson

20241623.537.1608N.67th Ave , #A-2 Glendale, AZ 85308

E side 67th Ave/N of 101

NE corner of Tom Darlington/ Carefree Dr.

1 4 3 2 6 12 10 5 8 7 11 9 CRISMON BUTTESIGNAL GOLDFIELD OLDWESTHWY SKINGSRANCH 14 17 15 13 16 ArizonaCentral First American Title Branch Locator

2 GOODYEAR

AZ Sellers Guide | 22

16165623.487.0404N.83rd Ave , #100 Peoria, AZ 85382

N of Shea, E side of Tatum

E Side Scottsdale/S of Lincoln

6 BILTMORE 3200602.954.3644ECamelback Rd., #123 Phoenix, AZ 85018

NW corner of Williams Field Rd./ Val Vista Rd.

N of Baseline / W of Stapley

8 CAREFREE 7202480.575.6609E.Carefree Dr , Bldg 1, #1 Carefree, AZ 85377

Sun City West, AZ 85375

14648480.948.6488NScottsdale Rd., Ste. #100 Scottsdale, AZ 85254

SE corner of Recker & Brown

1 SUN CITY WES T

SW Corner Chandler Blvd./ Dobson Rd.

5 ANTHEM 39508623.551.3265N.Daisy Mountain Dr., #128 Anthem, AZ 85086

3 ARROWHEAD

NE Corner of Camelback/32nd Street

13940623.299.3644W.Meeker Blvd., #119

9 KIERLAND COMMONS

NW corner of McDowell & Litchfield

NE corner Daisy Mtn Dr/ Gavilan Peak Pkwy

W of Scottsdale Road, S side of Greenway

10 SCOTTSDALE FORUM 6263480.551.0480N.Scottsdale Rd., #110 Scottsdale, AZ 85250

4 THE LEGENDS

11 DC CROSSING 18291480.563.9034N.Pima Rd , #145 Scottsdale, AZ 85255

SW corner Chandler/45th St.

13 CHANDLER PORTICO 2121480.777.0051W.Chandler Blvd., #215 Chandler, AZ 85224

12 AHWATUKEE 4435480.753.4424E.Chandler Blvd , #100 Phoenix, AZ 85048

14 GILBERT SAN TAN 1528480.777.0614E.Williams Field Rd., #101 Gilbert, AZ 85295

15 MESA 1630480.401.3738S.Stapley Dr., #123 Mesa, AZ 85204

1626623.936.8001N.Litchfield Rd. Ste. #170 Goodyear, AZ 85395

S of Bell/E side of 83rd Ave

17 GOLD CANYON 6877480.288.0883SouthKings Ranch Rd., #5 Gold Canyon, AZ 85118 E of South60/Side Kings Ranch Rd.

16 RED MOUNTAIN 1135480.534.3599N.Recker Rd., #103 Mesa, AZ 85205

N of Meeker Blvd

E

SSwanRd

NKINNEYRD

W INA RD ESN1TAV SUNR SE DR E SNYDER RD

WAnamax M ne Rd Road424 Ruby S ar D WBritten RanchRd Pima Mine Rd Mcgee RanchRd 80

Air Force WSilverbellRd SSantaRitaRd NMtLemmon Hwy ESascoRd W Avra Valley Rd E G and Va ey DrNAguirreRd dRkLNucet dRWNentzNWatermanMountainRd RdAnwayN W El Tiro Rd NTricoRd W Tucke Rd W Rudasi Rd W Manv l e Rd SSanJoaquinRdWBopp Rd W Snyder H RddRSMarstear W Park Rd W Hermans RdW He mans Rd W Guy St W Bush Rd SGarveyRd eaCNlRinconado SWimotRd SShawRd SSierritaMountainRd SKobRdW Tw nButtes Rd W Mcgee Ranch Rd ESstanca BNearCanyonRdW E Cam no De Cerro E Fairmount St SSwanRd NFrontageRd W Emigh Rd W Fort Lowe

ESN1TAV

W

BNearCanyonRd

W Se ma Hwy

NBarkervilleRd W Fort Lowe Rd dSPNumpationR E Nona Rd Ch efButteRd LovettaRd E Hanna Rd TecoloteRanchRd FlorenceRdRomeroRd Con nenta Ave BIA 30 NTricoRd SSunandGnRd SCattleTankRd E E s Rd E Hotts Rd E Nutt Rd Evalyn Rd SOwlHeadRanchRdGasLineRd PSecanRd I on Va ey RdEDeepWellRanchRd SNighSkySt SBadyPumpRdE Houser Rd E Ar ca Rd W Ea ey Rd NTrcoRd W Baya d Rd dRSSandario WillowSpringsRd EHelmwheel Ranch Rd N Dove Mounta n Blvd BIA-35 dRhRiGWarcaanc E Dese H s Rd WRagged Top Rd W Pima Mine Rd WSilverbellRdS E Edw n Rd BIA34 SGuildRd 80 NKINNEYRD SPICACHOHWYE GREENE RESERVOIR RD SSUNLANDGINRD W BATTAGLIA DR AZ-84 E BAUMGARTNER RD SSUNSHINEBLVD SNANDARIORDNANWAYRD E HARMON RD W VALENCIA RD E RODEO RD W MOORE RD W INA RD ESN1TAV E SUNRISE DR E SNYDER RDNSILVERBELLRD TRSNOLDIERLE RIVER RDE PRINCE RD E SPEEDWAY BLVD SFREEMANRDE 22ND ST E 22ND ST W IRV NGTON RD SNOGALESHWY W VALENC A RDSMISSIONRDWSPEEDWAY BLVD SOLDSPANISHTRL W NARANJA DR W TW N PEAKS RD W P CTURE ROCKS RD W MANVILLE RD SKINNEYRD W MILE WIDE RD E SAHUAR TA RD W HARMON RD W MCCARTNEY RD NTRICORD OSSANDARRD PARK LINK DR GUOSHHTONRD ADDR E MART N RD STHORNTONRD W HELMET PEAK RD SCHUICHURD WAJOHWY RNASNWD RDKOLBS SHOUGHTONRD W TANGER NE RD E GRANT RD SHOUGHTONRD NPINALAVE 95 WAJOHWY E VALENCIA RD NORACLERD I10 I-19 I8 77 77 79 77 77 87 86 86 387 287 86 10 19 8 10 10 10 La Palma Chuichu Arizona City Corona de Tucson AdobesCasas Catalina OracleDudleyvilleGrandeCasa Picture Rocks Three Points VailSummit TanqueVerde Eloy SahuaritaTucson Cactus Forest Picacho Red Rock Saddlebrooke Marana Oro Valley HaivanaNakya Rillito SummerhavenWillow Canyon Randolph Toltec Oracle Junction Cortaro Schuchk Littletown 2 4 385 9 10 11 13 12 6 1 AIRPORTINT'LTUCSON Air Force WSilverbellRd SSantaRitaRd NMtLemmon Hwy W Avra Valley Rd guirreRd dRkLNucet dRWNenzNWatermanMountainRd RdAnwayN W El Tiro Rd NTricoRd W Tucke Rd W Rudas Rd W Manv e Rd SSanJoaquinRdWBopp Rd W Snyder H RddRlSMarsear W Park Rd W Hermans RdW He mans Rd W Guy St W Bush Rd SGarveyRd eaCNlRnconado SWmoRd SShawRd SSierritaMountainRd SKobRdW TwinButtes Rd W Mcgee Ranch Rd BNearCanyonRdW E Cam no De Cerro E Fairmount St SSwanRd NFrontageRd W Emigh Rd W Fort Lowel Rd dSPNumptationR NNTricoRdTcoRd W Baya d Rd dRSSandaro N Dove Mountain Blvd SHelvetiaRd

NFrontageRd Emigh Rd

520.229.9194 | 520.297.2576 Fax 520.229.9210 | 520.742.5866 8500 N. Oracle Rd., Ste 100 Oro Valley, AZ 85704

dRhRiGWarcaanc Road424

ESsancaDr

NSILVERBELLRD E RIVER RDE PRINCE RD

E

12 SKYLINE 520.529.0506 | Fax 520.529.8998 2890 E. Skyline Dr., Ste. 200 Tucson, AZ 85718

AIRPORTINT'LTUCSON Rd

WRagged Ruby S a Dr RanchRd Pima Mine Rd

HearthRd

STrekellRd

W

W Rd

9 ORO VALLEY/ORACLE

1 MAIN OFFICE

3 CAMBRIC 520.577.8707 | Fax 520.529.5034 1840 E. River Rd., Ste. 200 Tucson, AZ 85718

S

E Hemlock Dr

10 RITA ROAD 520.618.7790 | Fax 520.901.1720 10222 East Rita Rd., Ste. 190 Tucson, AZ 85747

TRSNOLDIERL

W Bayard Rd

2 BROADWAY 520.747.1644 | Fax 520.747.1403

Dr E

S

dSPNumptationR Cont nental Ave NTricoRd SOwlHeadGasLineRd NTricoRd

SHelvetiaRd

WAnamax Mine Rd

W INA RD

GoffRanchRd

E M gan Rd gan Rd

5 CASAS ADOBES

E

dRhRiGWacaanc

A

SNANDARIORD

NANWAYRD

W es Curtis Rd

WBritten

SLaPalmaRd

EDesertDove

NKINNEYRD

W VALENC A RD

NGTON RD SNOGALESHWY W VALENCIA RDSMISSIONRDWSPEEDWAY BLVD SOLDSPANISHTRL W NARANJA DR W TW N PEAKS RD W P CTURE ROCKS RD W MANVILLE RD SKINNEYRD W MILE WIDE RD E SAHUARITA RD NTRICORD OSSANDARIRD SOLDNOGALESHWY GUOSHHTONRD ADCSLAANADRW HELMET PEAK RD WAJOHWY RNASNWD RDKOLBS SHOUGHTONRD W TANGERINE RD E GRANT RD SHOUGHTONRD 95 WAJOHWY E VALENCIA RD NORACLERD I-19 77 77 86 86 286 19 10 10 Corona de Tucson AdobesCasas Catalina Green Valley Picture Rocks Three Points VailSummit TanqueVerde SahuaritaTucson Marana Oro Valley Rillito SummerhavenWillow Canyon Cortaro Continental Littletown 2 3758 9 10 11 13 12 6 1 AZ Sellers Guide | 23

3777 E. Broadway Blvd., Ste. 220 Tucson, AZ 85716

E SPEEDWAY BLVD SFREEMANRDE 22ND ST E 22ND ST

E Edw n Rd

dRSSandaro N Dove Mountain Blvd

Top Rd W

W E Cam no De Cerro Fairmount St

E SUNRISE DR E SNYDER RDNSILVERBELLRD TRSNOLDIERLE RIVER RDE PRINCE RD E SPEEDWAY BLVD SFREEMANRDE 22ND ST E 22ND ST W IRVINGTON RD SNOGALESHWY W VALENCIA RDSMISSIONRDWSPEEDWAY BLVD SOLDSPANISHTRL W NARANJA DR W TWIN PEAKS RD W PICTURE ROCKS RD W MANVILLE RD SKINNEYRD W MILE WIDE RD E SAHUARITA RD NTRICORD OSSANDARIRD SOLDNOGALESHWY GUOSHHTONRD ADCSLAANADRW HELMET PEAK RD WAJOHWY RNASNWD RDKOLBS SHOUGHTONRD W TANGERINE RD E GRANT RD SHOUGHTONRD 95 WAJOHWY E VALENCIA RD NORACLERD I-10 I-19 77 77 86 86 286 19 10 10 Corona de Tucson AdobesCasas Catalina Green Valley Picture Rocks Three Points VailSummit TanqueVerde SahuaritaTucson Saddlebrooke Marana Oro Valley Rillito SummerhavenWillow Canyon Oracle Junction Cortaro Continental Littletown 2 3758 9 10 11 13 12 6 1 SouthernArizona First American Title Branch Locator AIRPORTINT'LTUCSON Air Force FreemanRd WSilverbellRd NMtLemmon Hwy ESascoRd NF38 W Avra Val ey Rd WSCuryRdHanna Rd E Grand Va ey D W Houser Rd W Ph ps Rd E Co nman Rd NAguirreRd dRkLNucet dRWNentzNWatermanMountainRd RdAnwayN W El Tiro Rd NTricoRd W Tucke Rd W Rudas Rd W Manv e Rd SSanJoaquinRdWBopp Rd W Snyde H RddRlSMarsear W Pa k Rd W He mans RdW Hermans Rd W Guy St W Bush Rd SGaveyRd eaCNllRinconado SWimotRd SShawRd SSierritaMountainRd boRdRd W Woodru Rd ONveriedRd W Rando ph Rd W BartlettNRdLaPamaRdNTweedyRd E Randolph Rd W Kleck Rd E K eck Rd

W

W

520.575.1900 | Fax 520.432.0168 6760 N. Oracle Rd., Ste. 100B Tucson, AZ 85704

E M

SNANDARIORDNANWAYRD

11 RIVER 520.529.1944 | Fax 520.615.2945 1650 E. River Rd., Ste. 105 Tucson, AZ 85718

4 CASA GRANDE 520.426.4600 | Fax 520.426.4699 421 E. Cottonwood Ln. Casa Grande, AZ 85122

8 ORO VALLEY/LA CANADA 520.877.9200 | Fax 520.202.6348 11165 N. La Canada Dr., Ste. 143 Oro Valley, AZ 85737

W VALENCIA RD

ed Top Rd W

6 FOOTHILLS 520.299.4606 | Fax 520.577.6993 6262 N Swan Road, Suite 205 Tucson, AZ 85718

7 GREEN VALLEY 520.625.1095 | Fax 520.958.9663 190 W. Continental Rd., Ste. 226 Green Valley, AZ 85622

W MOORE RD

13 TANQUE VERDE 520.202.2626 | Fax 520.495.6151 7479 E. Tanque Verde Tucson, AZ 85715

W MOORE RD

SHennessRd Selma Hwy Co nman Rd

ellRdS Mcgee RanchRd 80

W IRV

520.885.1600 | Fax 520.885.2309 6390 E. Tanque Verde Rd. Tucson, AZ 85715

Pretzer

SLambRd

For more information please contact your First American representative. www.firstam.com

05110280522

©2022 First American Financial Corporation and/or its affiliates. All rights reserved. NYSE: FAF

First American Title Insurance Company, and the operating divisions thereof, make no express or implied warranty respecting the information presented and assume no responsibility for errors or omissions. First American, the eagle logo, First American Title, and firstam.com are registered trademarks or trademarks of First American Financial Corporation and/or its affiliates.

Turn static files into dynamic content formats.

Create a flipbook
Issuu converts static files into: digital portfolios, online yearbooks, online catalogs, digital photo albums and more. Sign up and create your flipbook.
Digital Homebook 13045 Trico Marana by FirstAmAZ - Issuu