Digital Homebook 12185 N Candywine Drive

Page 1

12185NCandywineDrive MaranaAZ85623

• If you receive an email requesting personal/financial information or asking you to download, click on a link, send, and/or do anything that may seem unusual to you, call your escrow officer immediately prior to acting on the suspicious email to verify the validity of the email.

Client Date Client Date ONLINE RESOURCES: There are many online sources

topics

WIRE FRAUD ADVISORY

to, the following sites: The Federal Bureau of Investigation @ https://www.fbi.gov/scams and safety The Internet Crime Complaint Center @ www.ic3.gov The National White Collar Crime Center @ http://www.nw3c.org/research On Guard Online @ www.onguardonline.gov

TRUST YOUR SOURCE OF INFORMATION

YOURSELF VERIFY AND NOTIFY

• It is imperative that this call be made to a number obtained in person from the individual or through other reliable means, not from a number provided in the email or the wiring instructions

DO NOT TRUST EMAILS CONTAINING WIRE INSTRUCTIONS

Criminals are targeting social media and email to steal information. This is particularly common in real estate transactions because sensitive data, including social security numbers, bank account numbers, and wire instructions are often sent by electronic means. We do not want you to be the next victim of wire fraud. Money wired to a fraudulent account is stolen money that typically cannot be recovered. Additionally, there is generally no insurance for this loss. You may never get the money back.

Before you wire funds to any party (including your lawyer, title agent, mortgage broker, or real estate agent) personally meet them or call a verified telephone number (not the telephone number in the email) to confirm before you act!

Immediately notify your banking institution and Settlement/Title Company if you are a victim of wire fraud. The undersigned acknowledges receipt of this Wire Fraud Advisory. that can provide useful information regarding similar including, but not limited

DO NOT TRUST EMAILS SEEKING PERSONAL/FINANCIAL INFORMATION

• If you receive an email containing wire transfer instructions, immediately call your escrow officer to ensure the validity of the instructions.

PROTECT

• Never direct, accept or allow anyone in the transaction to consent to receiving transfer instructions without a direct personal telephone call to the individual allegedly providing the instructions.

LIMITATION OF LIABILITY FOR INFORMATIONAL REPORTS

IMPORTANT -- PLEASE READ CAREFULLY: This report is not an insured product or service or a representation of the condition of title to real property. It is not an abst ract, legal opinion, opinion of title, title insurance commitment or preliminary report, or any form of Title Insurance or Guaranty. This report is issued exclusively for the benefit of the Applicant therefor and may not be used or relied upon by any other person. This report may not be reproduced in any manner without First American or Title Security's prior written consent. First American or Title Security does not represent or warrant that the information herein is complete or free from error, and the information herein is provided without any warranties of any kind, as-is, and with all faults. As a material part of the consideration given in exchange for the issuance of this report, recipient agrees that First American or Title Security's sole liability for any loss or damage caused by an error or omission due to inaccurate information or negligence in preparing this report shall be limited to the fee charged for the report. Recipient accepts this report with this limitation and agrees that First American or Title Security would not have issued this report but for the limitation of liability described above. First American or Title Security makes no representation or warranty as to the legality or propriety of recipient's use of the information herein.

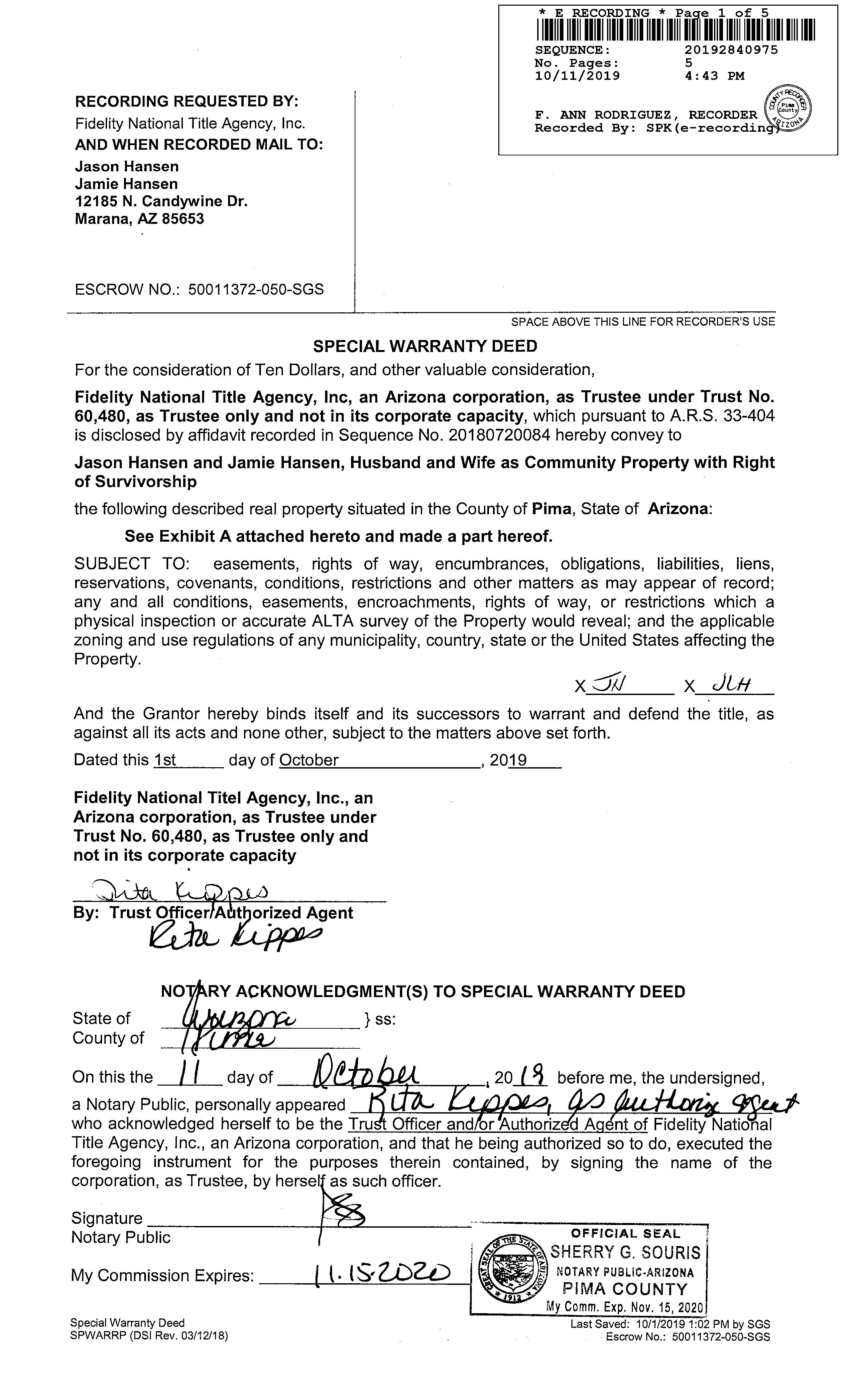
Subject Property 12185 N Candywine Dr APN:AZMarana85653217-54-1020 Data Provided By: First American Title Ins Co © 2022 CoreLogic. All rights reserved

There is no representation of warranty that this information is complete or free from error, and the provider does not assume, and expressly disclaims, any liability to any person or entity for loss or damage caused by errors or omissions in this REiSource report without a title insurance policy.

This REiSource report is provided "as is" without warranty of any kind, either express or implied, including without limitations any warrantees of merchantability or fitness for a particular purpose.

The information contained in the REiSource report is delivered from your Title Company, who reminds you that you have the right as a consumer to compare fees and serviced levels for Title, Escrow, and all other services associated with property ownership, and to select providers accordingly. Your home is the largest investment you will make in your lifetime and you should demand the very best.

© 2022 CoreLogic. All rights reserved

Data

Provided By: First American Title Ins Co

Disclaimer

Subject Property :   12185 N Candywine Dr Marana AZ 85653 Owner Information Owner Name : Hansen Jason / Jamie Rs Mailing Address : 12185 N Candywine Dr, Marana AZ 85653-0228 R006 Vesting Codes : / / Community Property Owner OccupiedIndicator : O Location Information Legal Description : Gladden Farms Blocks 35 & 39 Sq20121740308 Lot 74 Cmid County : Pima, Az Market Area : 410 Census Tract / Block : 44.31 / 3 APN : 217-54-1020 Township-Range- Sect : 11S-11E-35 Subdivision : Gladden Farms Legal Book/Page : 90-36 Map Reference : 35-11S-11E Legal Lot : 74 School District : Marana Legal Block : 35 Munic/Township : Marana Last Market Sale Information Recording/Sale Date : 10/11/2019 / 10/01/2019 1st Mtg Amount/Type : $298,739 / Fha Sale Price : $309,054 1st Mtg Document # : 2840976 Document # : 2840975 1st Mtg Term : 30 Deed Type : Special Warranty Deed Price Per SqFt : $130.24 Title Company : Fidelity National Title Lender : Homeamerican Mtg Corp Seller Name : Trust No 60 480 Prior Sale Information Prior Rec/Sale Date : 10/26/2018 / 10/26/2018 Prior Doc Number : 2990641 Prior Sale Price : $5,460 Prior Deed Type : Special Warranty Deed Customer Name : Chantel Cortez Customer Company Name : FIRST AMERICAN TITLE Prepared On : 08/30/2022 © 2022 CoreLogic. All rights reserved

Property Characteristics Gross Area : 2,373 Capacity :Garage 3 Patio Type : Covered Patio Living Area : 2,373 Roof Material : Tile Air Cond : Refrigeration Total Rooms : 7 Heat Type : Forced Air Quality : Good Year Built / Eff : 2019 Cooling Type : Forced Air Condition : Excellent # of Stories : 1 Exterior wall : Frame Wood Bath Fixtures : 6 Parking Type : Garage Property Information Land Use : Sfr Lot Acres : 0.18 State Use : Single Fam Resrural Subd County Use : Single Fam Resrural Subd Lot Size : 8,004 Tax Information Total Value : $253,729 Property Tax : $4,019.36 Current YearValue :Total $31,781 Total TaxableValue : $21,161 Tax Rate Area : 0676 Current ImprovementYearValue : $31,731 Assessed Year : 2021 Market Value : $253,729 Current YearValue :Land $50 Tax Year : 2021 Current AssessedYear : 2023 Customer Name : Chantel Cortez Customer Company Name : FIRST AMERICAN TITLE Prepared On : 08/30/2022 © 2022 CoreLogic. All rights reserved

Sales Analysis Criteria Subject Property Low High Average Sale Price $309,054 $330,000 $575,000 $430,370 Bldg/Living Area 2373 2027 2693 2299 Price Per Square Foot $130.24 $152 $240 $187.14 Year Built 2019 2006 2020 2016 Lot Size 8,004 5,358 8,925 7,412 BathroomsBedrooms 2 2 4 3 Stories 1 1 2 1 Total Assessed Value $253,729 $31,046 $267,114 $194,665 Distance From Subject 0 0.03 0.36 0.21 Summary of Comparables # Address Sale Price TotalValueAssessed Sale Date Bed Bath Living Area Lot Size YearBuilt (Miles)Dist Zoning S 12185 CandywineN Dr 309,054 253,729 10/11/2019 2 2,373 8,004 2019 1 12160 N Caravelle Pl 472,500 31,677 11/24/2021 3 2,398 7,613 2020 0.03 2 12175 N Caravelle Pl 575,000 267,114 07/15/2022 3 2,398 7,475 2019 0.05 3 12195 N Caravelle Pl 435,000 245,470 11/18/2021 3 2,610 7,475 2019 0.06 4 12155 N Caravelle Pl 476,000 267,114 03/14/2022 3 2,398 7,475 2019 0.06 5 12281 N Sanderlin Dr 405,000 31,046 06/16/2022 2 2,040 6,534 2020 0.13 6 10855 W Pintail Dr 438,000 31,677 02/28/2022 3 2,167 7,471 2020 0.16 7 12160 GoldenviewN Ln 495,500 253,729 06/24/2022 2 2,373 8,292 2019 0.16 8 10905 W Keuka Dr 527,000 31,677 04/28/2022 4 2,685 7,475 2020 0.17 9 11083 W Fountain View Dr 410,000 254,344 02/25/2022 4 2,257 6,398 2018 0.21 R-6 10 11081 W Gallinule Dr 430,000 243,674 06/15/2022 2 2,382 8,775 2013 0.23 R-8 Customer Name : Chantel Cortez Customer Company Name : FIRST AMERICAN TITLE Prepared On : 08/30/2022 © 2022 CoreLogic. All rights reserved

11 11103 W Fountain View Dr 420,000 234,472 05/05/2022 2 2,200 7,357 2017 0.24 R-6

15 12390 N Tare Ln 375,000 217,612 12/20/2021 3 2,198 8,925 2006 0.28 R-8

12 12075 N Sutter Dr 410,600 226,507 05/05/2022 3 2,401 5,576 2019 0.26

13 11093 W Riverton Dr 460,000 251,402 04/25/2022 4 2,207 6,117 2019 0.26 R-6 14 10743 W Hayward Dr 360,000 214,781 12/22/2021 2 2,027 5,358 2019 0.27

16 12173 N Lazy River Dr 399,900 234,472 09/17/2021 2 2,200 7,846 2017 0.31 R-6 17 11184 FlycatcherW Dr 375,000 191,318 06/16/2022 4 2,093 8,276 2007 0.31 R-6 18 12312 BarbadenseN Dr 445,000 242,107 08/05/2022 4 2,693 6,534 2013 0.33 R-6 19 11149 W Caracara Dr 367,902 213,134 05/17/2022 3 2,086 8,532 2007 0.35 R-8 20 11046 AplomadoW Dr 330,000 209,968 10/05/2021 3 2,174 8,744 2007 0.36 R-8

Distressed Sales = Customer Name : Chantel Cortez Customer Company Name : FIRST AMERICAN TITLE Prepared On : 08/30/2022 © 2022 CoreLogic. All rights reserved

Map Customer Name : Chantel Cortez Customer Company Name : FIRST AMERICAN TITLE Prepared On : 08/30/2022 © 2022 CoreLogic. All rights reserved

Comparables

Subdivision / Tract: Gladden Farms / Lot Size: 7,613 Year Built / Eff: 2020 / Rec. Date / Price: 11/24/2021 / $472,500 Living Area: 2,398 # of units:

Total Tax Value: $267,114 Bath(F/H): / #3   12195 N Caravelle Pl Marana Az 85653

Subdivision / Tract: Gladden Farms / Lot Size: 7,475 Year Built / Eff: 2019 / Rec. Date / Price: 11/18/2021 / $435,000 Living Area: 2,610 # of units: Document #: 3220613 Bedrooms: Pool: Total Tax Value: $245,470 Bath(F/H): / #4   12155 N Caravelle Pl Marana Az 85653

Document #: 2840975 Bedrooms: Pool:

Document #: 1960869 Bedrooms: Pool: Pool

Total Tax Value: $253,729 Bath(F/H): / #1   12160 N Caravelle Pl Marana Az 85653

Owner Name: Manley Matthew /Manley Lisa APN / Alternate APN: 217-54-0670 / Deed Type: Warranty Deed Land Use: Sfr

Document #: 3281059 Bedrooms: Pool:

Owner Name: Blair Joseph A / APN / Alternate APN: 217-54-0600 / Deed Type: Warranty Deed Land Use: Sfr

Subject Property: 12185 N Candywine Dr Marana Az 85653

Owner Name: Reeves Benjamin /Reeves Kristen APN / Alternate APN: 217-54-0620 / Deed Type: Warranty Deed Land Use: Sfr

Total Tax Value: $267,114 Bath(F/H): /

Subdivision / Tract: Gladden Farms / Lot Size: 7,475 Year Built / Eff: 2019 / Rec. Date / Price: 07/15/2022 / $575,000 Living Area: 2,398 # of units:

Customer Name : Chantel Cortez

Owner Name: Hansen Jason /Jamie Rs APN / Alternate APN: 217-54-1020 / Deed Type: Special Warranty Deed Land Use: Sfr

Total Tax Value: $31,677 Bath(F/H): / #2   12175 N Caravelle Pl Marana Az 85653

Subdivision / Tract: Gladden Farms / Lot Size: 7,475 Year Built / Eff: 2019 / Rec. Date / Price: 03/14/2022 / $476,000 Living Area: 2,398 # of units:

Document #: 730818 Bedrooms: Pool:

Owner Name: Shevchenko Tatiana / APN / Alternate APN: 217-54-0580 / Deed Type: Warranty Deed Land Use: Sfr

©

Details of

Customer Company Name : FIRST AMERICAN TITLE Prepared On : 08/30/2022 2022 CoreLogic. All rights

reserved

Subdivision / Tract: Gladden Farms / Lot Size: 8,004 Year Built / Eff: 2019 / Rec. Date / Price: 10/11/2019 / $309,054 Living Area: 2,373 # of units:

Subdivision / Tract: Gladden Farms / Lot Size: 6,534 Year Built / Eff: 2020 / Rec. Date / Price: 06/16/2022 / $405,000 Living Area: 2,040 # of units:

Document #: 1750390 Bedrooms: Pool: Total Tax Value: $253,729 Bath(F/H): / #8   10905 W Keuka Dr Marana Az 85653

Owner Name: Roca Harold V /Roca Lauren APN / Alternate APN: 217-54-0880 / Deed Type: Warranty Deed Land Use: Sfr

Document #: 1670142 Bedrooms: Pool: Total Tax Value: $31,046 Bath(F/H): / #6   10855 W Pintail Dr Marana Az 85653

Document #: 1180167 Bedrooms: Pool: Total Tax Value: $31,677 Bath(F/H): / #9   11083 W Fountain View Dr Marana Az 85653

Subdivision / Tract: Gladden Farms / Lot Size: 7,471 Year Built / Eff: 2020 / Rec. Date / Price: 02/28/2022 / $438,000 Living Area: 2,167 # of units:

Owner Name: Freeh Joseph T /Freeh Elsa A APN / Alternate APN: 217-54-2320 / Deed Type: Warranty Deed Land Use: Sfr Subdivision / Tract: Gladden Farms / Lot Size: 8,292 Year Built / Eff: 2019 / Rec. Date / Price: 06/24/2022 / $495,500 Living Area: 2,373 # of units:

Subdivision / Tract: Gladden Farms / Lot Size: 7,475 Year Built / Eff: 2020 / Rec. Date / Price: 04/28/2022 / $527,000 Living Area: 2,685 # of units:

Subdivision / Tract: Gladden Farms / Lot Size: 6,398 Year Built / Eff: 2018 / Rec. Date / Price: 02/25/2022 / $410,000 Living Area: 2,257 # of units:

Subdivision / Tract: Gladden Farms / Lot Size: 8,775 Year Built / Eff: 2013 / Rec. Date / Price: 06/15/2022 / $430,000 Living Area: 2,382 # of units:

Customer Name : Chantel Cortez

Owner Name: Ruiz Amy / APN / Alternate APN: 217-54-3990 / Deed Type: Warranty Deed Land Use: Sfr

Owner Name: Fkh Sfr Prop Co K Lp / APN / Alternate APN: 217-57-2230 / Deed Type: Warranty Deed Land Use: Sfr

Total Tax Value: $254,344 Bath(F/H): / #10   11081 W Gallinule Dr Marana Az 85653

Customer Company Name : FIRST AMERICAN TITLE Prepared On : 08/30/2022 © 2022 CoreLogic. All rights reserved

#5   12281 N Sanderlin Dr Marana Az 85653

Document #: 561279 Bedrooms: Pool:

Document #: 590923 Bedrooms: Pool: Total Tax Value: $31,677 Bath(F/H): / #7   12160 N Goldenview Ln Marana Az 85653

Owner Name: Dunn Dillon D /Dunn Abbey B APN / Alternate APN: 217-54-0440 / Deed Type: Warranty Deed Land Use: Sfr

Document #: 1660156 Bedrooms: Pool: Total Tax Value: $243,674 Bath(F/H): /

Owner Name: Sharp David N /Sharp Rebecca R APN / Alternate APN: 217-57-4560 / Deed Type: Warranty Deed Land Use: Sfr

Owner Name: Aguirre Mike A /Aguirre Maria E APN / Alternate APN: 217-57-3920 / Deed Type: Warranty Deed Land Use: Sfr

Document #: 3540267 Bedrooms: Pool: Total Tax Value: $217,612 Bath(F/H): / #16   12173 N Lazy River Dr Marana Az 85653

Owner Name: Perkins Jenne /Perkins Adam APN / Alternate APN: 217-57-4330 / Deed Type: Warranty Deed Land Use: Sfr Subdivision / Tract: Gladden Farms / Lot Size: 6,117 Year Built / Eff: 2019 / Rec. Date / Price: 04/25/2022 / $460,000 Living Area: 2,207 # of units:

Subdivision / Tract: Gladden Farms / Lot Size: 8,925 Year Built / Eff: 2006 / Rec. Date / Price: 12/20/2021 / $375,000 Living Area: 2,198 # of units:

Subdivision / Tract: Gladden Farms / Lot Size: 7,846 Year Built / Eff: 2017 / Rec. Date / Price: 09/17/2021 / $399,900 Living Area: 2,200 # of units:

Customer Name : Chantel Cortez

Total Tax Value: $234,472 Bath(F/H): / #12   12075 N Sutter Dr Marana Az 85653

#11   11103 W Fountain View Dr Marana Az 85653

Subdivision / Tract: Gladden Farms / Lot Size: 5,576 Year Built / Eff: 2019 / Rec. Date / Price: 05/05/2022 / $410,600 Living Area: 2,401 # of units:

Owner Name: Campbell Galen L /Campbell Patricia A

Document #: 1250784 Bedrooms: Pool:

Owner Name: Miller Gregory L / APN / Alternate APN: 217-57-2090 / Deed Type: Warranty Deed Land Use: Sfr

APN / Alternate APN: 217-57-4580 / Deed Type: Warranty Deed Land Use: Sfr

Subdivision / Tract: Gladden Farms / Lot Size: 7,357 Year Built / Eff: 2017 / Rec. Date / Price: 05/05/2022 / $420,000 Living Area: 2,200 # of units:

Document #: 2600948 Bedrooms: Pool: Total Tax Value: $234,472 Bath(F/H): /

Customer Company Name : FIRST AMERICAN TITLE Prepared On : 08/30/2022 © 2022 CoreLogic. All rights reserved

Owner Name: Opendoor Property Trust I / APN / Alternate APN: 217-54-5630 / Deed Type: Warranty Deed Land Use: Sfr

Document #: 3560478 Bedrooms: Pool: Total Tax Value: $214,781 Bath(F/H): / #15   12390 N Tare Ln Marana Az 85653

Document #: 1250861 Bedrooms: Pool: Total Tax Value: $226,507 Bath(F/H): / #13   11093 W Riverton Dr Marana Az 85653

Owner Name: Rock 42 Investments Llc / APN / Alternate APN: 217-54-5220 / Deed Type: Warranty Deed Land Use: Sfr Subdivision / Tract: Gladden Farms / Lot Size: 5,358 Year Built / Eff: 2019 / Rec. Date / Price: 12/22/2021 / $360,000 Living Area: 2,027 # of units:

Document #: 1150603 Bedrooms: Pool: Total Tax Value: $251,402 Bath(F/H): / #14   10743 W Hayward Dr Marana Az 85653

Subdivision / Tract: Gladden Farms / Lot Size: 8,276 Year Built / Eff: 2007 / Rec. Date / Price: 06/16/2022 / $375,000 Living Area: 2,093 # of units:

Document #: 1370680 Bedrooms: Pool: Pool Total Tax Value: $213,134 Bath(F/H): / #20   11046 W Aplomado Dr Marana Az 85653

Owner Name: Lopez Cinthia Yanira Bastian /De La Cruz Brandon Lee APN / Alternate APN: 217-57-2040 / Deed Type: Warranty Deed Land Use: Sfr Subdivision / Tract: Gladden Farms / Lot Size: 8,744 Year Built / Eff: 2007 / Rec. Date / Price: 10/05/2021 / $330,000 Living Area: 2,174 # of units:

Customer Company Name : FIRST AMERICAN TITLE Prepared On : 08/30/2022 © 2022 CoreLogic. All rights reserved

#17   11184 W Flycatcher Dr Marana Az 85653

Document #: 1670239 Bedrooms: Pool: Total Tax Value: $191,318 Bath(F/H): / #18   12312 N Barbadense Dr Marana Az 85653

Owner Name: Johnson Michael A /Brosseau Nann APN / Alternate APN: 217-57-0950 / Deed Type: Warranty Deed Land Use: Sfr Subdivision / Tract: Gladden Farms / Lot Size: 6,534 Year Built / Eff: 2013 / Rec. Date / Price: 08/05/2022 / $445,000 Living Area: 2,693 # of units:

Customer Name : Chantel Cortez

Owner Name: Kern Dena M /Manzano Frank APN / Alternate APN: 217-57-2520 / Deed Type: Contract Of Sale Land Use: Sfr Subdivision / Tract: Gladden Farms Bls 18 & 20 / Lot Size: 8,532 Year Built / Eff: 2007 / Rec. Date / Price: 05/17/2022 / $367,902 Living Area: 2,086 # of units:

Document #: 2780530 Bedrooms: Pool: Total Tax Value: $209,968 Bath(F/H): /

Document #: 2170165 Bedrooms: Pool: Total Tax Value: $242,107 Bath(F/H): / #19   11149 W Caracara Dr Marana Az 85653

Owner Name: Wester Laura E /John Evan B APN / Alternate APN: 217-57-1000 / Deed Type: Warranty Deed Land Use: Sfr

Subject Property :   12185 N Candywine Dr Marana AZ 85653 Customer Name : Chantel Cortez Customer Company Name : FIRST AMERICAN TITLE Prepared On : 08/30/2022 © 2022 CoreLogic. All rights reserved

Customer Name : Chantel Cortez Customer Company Name : FIRST AMERICAN TITLE Prepared On : 08/30/2022 © 2022 CoreLogic. All rights reserved

Customer Name : Chantel Cortez Customer Company Name : FIRST AMERICAN TITLE Prepared On : 08/30/2022 © 2022 CoreLogic. All rights reserved

Customer Name : Chantel Cortez Customer Company Name : FIRST AMERICAN TITLE Prepared On : 08/30/2022 © 2022 CoreLogic. All rights reserved

Customer Name : Chantel Cortez Customer Company Name : FIRST AMERICAN TITLE Prepared On : 08/30/2022 © 2022 CoreLogic. All rights reserved

Customer Name : Chantel Cortez Customer Company Name : FIRST AMERICAN TITLE Prepared On : 08/30/2022 © 2022 CoreLogic. All rights reserved

Customer Name : Chantel Cortez Customer Company Name : FIRST AMERICAN TITLE Prepared On : 08/30/2022 © 2022 CoreLogic. All rights reserved

Customer Name : Chantel Cortez Customer Company Name : FIRST AMERICAN TITLE Prepared On : 08/30/2022 © 2022 CoreLogic. All rights reserved

Customer Name : Chantel Cortez Customer Company Name : FIRST AMERICAN TITLE Prepared On : 08/30/2022 © 2022 CoreLogic. All rights reserved

Customer Name : Chantel Cortez Customer Company Name : FIRST AMERICAN TITLE Prepared On : 08/30/2022 © 2022 CoreLogic. All rights reserved

SchoolsArizona For detailed information and statistics on Arizona schools please go ©2021FirstFirsthttps://azreportcards.azed.gov/toAmericanTitleInsuranceCompany,andtheoperatingdivisionsthereof,makenoexpressorimpliedwarrantyrespectingtheinformationpresentedandassumenoresponsibilityforerrorsoromissions.American,theeaglelogo,FirstAmericanTitle,andfirstam.comareregisteredtrademarksortrademarksofFirstAmericanFinancialCorporationand/oritsaffiliates.FirstAmericanFinancialCorporationand/oritsaffiliates.Allrightsreserved.NYSE:FAF05117910421

First American, American and/or ©2021 American

11

operating

12 SUNNYSIDE UNIFIED 2238 E. Ginter Road, Tucson, AZ 85706 520.545.2000

its affiliates.

Financial Corporation

05249570321 AIRPORTINT'LTUCSON Air Force WSilverbellRd SSantaRitaRd NMtLemmon Hwy ESascoRd NF38 W Avra Valley Rd E Grand Va ey DrNAguirreRd dRkLNuce dRWNentzNWatermanMountainRd RdAnwayN W El Tiro Rd NTricoRd W Tucker Rd W Rudas l Rd W Manvi e Rd SSanJoaquinRdWBopp Rd W Snyder H l RddRSMarsear W Park Rd W Hermans RdW Hermans Rd W Guy St W Bush Rd SGaveyRd eaCNRinconado SWmoRd SShawRd SSierritaMountainRd SKobRdW TwinButtes Rd W Mcgee Ranch Rd ESstancaDr EDesertDove E Hemlock Dr BNearCanyonRdW E Camino Del Cerro E Fairmount St SSwanRd NFrontageRd W Emigh Rd W Fort Lowe Rd dSPNumptationR E Nona Rd Ch efButteRd Lo al Ave NTricoRd SCattleTankRd Evalyn Rd SOwlHeadRanchRdGasLineRd PSecanRd NTrcoRd W Bayard Rd dRSSandaro WillowSpringsRd N Dove Mountain Blvd SHelvetiaRd WAnamax Mine Rd dRhRiGWacaanc Road424 WRagged Top Rd W Ruby Star Dr WBritten RanchRd W Pima Mine Rd S Mcgee RanchRd E Edw n Rd SGuildRd 80 NKINNEYRD SPICACHOHWYE BAUMGARTNER RD SNANDARIORDNANWAYRD W VALENCIA RD W MOORE RD W INA RD ESN1TAV E SUNRISE DR E SNYDER RDNSILVERBELLRD TRSNOLDIERLE RIVER RDE PRINCE RD E SPEEDWAY BLVD SFREEMANRDE 22ND ST E 22ND ST W IRVINGTON RD SNOGALESHWY W VALENCIA RDSMISSIONRDWSPEEDWAY BLVD SOLDSPANISHTRL W NARANJA DR W TWIN PEAKS RD W PICTURE ROCKS RD W MANVILLE RD SKINNEYRD W MILE WIDE RD E SAHUARITA RD NTRICORD OSSANDARRD PARK LINK DR SOLDNOGALESHWY GUOSHHTONRD ADCSLAANADRW HELMET PEAK RD WAJOHWY RNASNWD RDKOLBS SHOUGHTONRD W TANGERINE RD E GRANT RD SHOUGHTONRD 95 WAJOHWY E VALENCIA RD NORACLERD I-10 I-19 77 77 77 86 86 286 10 19 10 10 Corona de Tucson AdobesCasas Catalina Green Valley Oracle Picture Rocks Three Points VailSummit TanqueVerde SahuaritaTucson Red Rock Saddlebrooke Marana Oro Valley Rillito SummerhavenWillow Canyon Oracle Junction Cortaro Continental Littletown 20 30 13 15 51 39 12 01 01 08 10 16 11 06 PIMA COUNTY School District Information This map is provided for general location only. Please contact school districts for actual street boundaries SCHOOL DISTRICTS 15 AJO UNIFIED 111 N. Well Road, Ajo, AZ 85321 520.387.5618 51 ALTAR VALLEY ELEMENTARY 10105 S. Sasabe Road, Tucson, AZ 85736 520.822.1484 10 AMPHITHEATER UNIFIED 701 W. Wetmore, Tucson, AZ 85705 520.696.5000 16 CATALINA FOOTHILS UNIFIED 2101 E. River Road, Tucson, AZ 85718 520.209.7500 39 CONTINENTAL ELEMENTARY 1991 E. Whitehouse Canyon, Green Valley, AZ 85614 520.625.4581 08 FLOWING WELLS UNIFIED 1556 W. Prince Road, Tucson, AZ 85705 520.696.8800 06 MARANA UNIFIED 11279 W. Grier Road, Marana, AZ 85653 520.682.3243

First

PIMA COUNTY JTED 2855 W. Master Pieces Dr, Tucson, AZ 85741 520.352.5833 SAHUARITA UNIFIED 350 W. Sahuarita Road, Sahuarita, AZ 85629 520.625.3502

First American Title Insurance Company, and the divisions thereof, make no express or implied warranty respecting the information assume no responsibility for errors or

Financial Corporation and/or its affiliates. All rights reserved. NYSE: FAF

30

13

01 TUCSON UNIFIED 1010 E. 10th Street, Tucson, AZ 85717 520.225.6000

the eagle logo, First American Title, and firstam.com are registered trademarks or trademarks of First

omissions.

TANQUE VERDE UNIFIED 2300 N. Tanque Verde Loop, Tucson, AZ 85749 520.749.5751

20 VAIL UNIFIED 10701 E. Mary Ann Cleveland Way, Tucson, AZ 85747 520.879.2000

presented and

Lowest Grade : 7th Highest Grade : 8th

Public Schools : Elementary Schools

Customer Name : Chantel

Lowest Grade : Pre-K Highest Grade : 6th

Kindergarten : Yes School Enrollment : Enrollment : 550 Total Expenditure/Student : 269

Telephone : (520) 682-1180

Lowest Grade : K Highest Grade : 6th

Middle Schools

Customer Company Name : On

Gladden Farms Elementary Distance 1 Miles

School District : Marana Unified District (4404)

: 08/30/2022 © 2022 CoreLogic. All rights reserved

Cortez

Marana Middle School Distance 1.75 Miles

11745 W Gladden Farms Dr Marana AZ 85653

FIRST AMERICAN TITLE Prepared

Kindergarten : No School Enrollment : Enrollment : 1090 Total Expenditure/Student : 269

Telephone : (520) 682-4738

11279 W Grier Rd # 105 Marana AZ 85653

Marjorie W Estes Elementary School Distance 1.92 Miles

School District : Marana Unified District (4404)

School District : Marana Unified District (4404)

11279 W Grier Rd Ste 100 Marana AZ 85653

Telephone : (520) 682-4730

Kindergarten : Yes School Enrollment : Enrollment : 690 Total Expenditure/Student : 269

Telephone :

Lowest Grade : 7th Highest Grade : 12th School Enrollment : Enrollment : 7

Lowest Grade : 9th Highest Grade : 12th School Enrollment : Enrollment : 159

Total Expenditure/Student : 269 Advanced Placement : No

Total Expenditure/Student : 269 Advanced Placement : No

High Schools A. C. E. Distance 1.78 Miles 11279 W Grier Rd Marana AZ Telephone :85653 (520) 682-4773

Mcat High School Distance 1.94 Miles

School District : Marana Unified District (4404)

Customer Name : Chantel Cortez Customer Company Name : FIRST AMERICAN TITLE Prepared On : 08/30/2022 © 2022 CoreLogic. All rights reserved

School District : Marana Unified District (4404)

13650 N Mcduff Rd Ste 128 Marana AZ 85653 (520) 682-4773

Partridge And Sons Fencing 12564 N Barbadense Dr Marana Az (520) 575-8534 0.53

Tucson Thunder Football Inc 12504 N Stone Ring Dr Marana Az (520) 955-9299 0.74

Eating / Drinking Name Address Telephone Distance (Miles)

LocalAttractionsBusiness/Recreation

Customer Company Name : FIRST AMERICAN TITLE Prepared On : 08/30/2022 © 2022 CoreLogic. All rights reserved

Name Address Telephone Distance (Miles)

Temple Rouhani 11267 W Combine Dr Marana Az (520) 390-3147 0.64

Timothy Schubel 12532 N School Day Dr Marana Az (623) 547-6866 0.92

Alaris Center For Integrated Wellness 11257 W Ruddy Dr Marana Az (520) 344-4946 0.49

Holy Cross Presbyterian Church 11432 W Harvester Dr Marana Az (520) 401-9105 0.74

Family First Foods Llc 12576 N Nep Ln Marana Az (520) 744-6943 0.53

Health Care Services Name Address Telephone Distance (Miles)

Caroles Homemade Salsa & Up In Smoke Bbq 12320 N Barbadense Dr Marana Az (702) 860-4146 0.35

Simply Lush Boutique Llc 12622 N Stone Pillar Dr Marana Az (520) 981-1024 0.85

Creative Speech Therapy Solutions, Llc 11555 W Stone Mound Dr Marana Az (520) 271-3292 0.94 Organizations / Associations Name Address Telephone Distance (Miles)

Customer Name : Chantel Cortez

The Sherwin-williams Company 3805 W River Rd Ste 171 Marana Az (520) 575-0677 0.19

Dove Mountain Evangelical Lutheran Church 11298 W Combine Dr Marana Az (520) 579-1269 0.69

Sweet Creations Bakery, Llc 11081 W Prairie Willow Dr Marana Az (520) 275-8413 0.62

Daniel Garcia 12165 N Lazy River Dr Marana Az (520) 981-0000 0.3

Shopping Name Address Telephone Distance (Miles)

Total Value : $273,470 Sale Price  : $328,442

Customer Name : Chantel Cortez

Customer Company Name : FIRST AMERICAN TITLE Prepared On : 08/30/2022 © 2022 CoreLogic. All rights reserved

Land Use : Sfr Lot Acres : 0.18

Owner Name : Collier Floyd A Subdivision : Gladden Farms Sale Date : 10/29/2019 Recording Date : 10/30/2019

Bed / Bath : / 2 Property Tax : $3,888.92

12215 N GOLDENVIEW LN Distance 0.04 Miles

Owner Name : Davis Jamel Tyrone Subdivision : Gladden Farms Sale Date : 10/11/2019 Recording Date : 10/29/2019

12155 N CANDYWINE DR Distance 0.04 Miles

Land Use : Sfr Lot Acres : 0.17

Land Use : Sfr Lot Acres : 0.17

Owner Name : Minella Silvano Jr Subdivision : Gladden Farms Sale Date : 05/06/2020 Recording Date : 05/15/2020

Total Value : $232,286 Sale Price  : $301,938

Bed / Bath : / 3 Property Tax : $3,915.33

Stories : 2 Living Area : 2,911 Yr Blt / Eff Yr Blt : 2019 / APN : 217-54-1320

Stories : 1 Living Area : 2,398 Yr Blt / Eff Yr Blt : 2020 / APN : 217-54-1000

Bed / Bath : / 3 Property Tax : $4,330.88

Bed / Bath : / 2 Property Tax : $3,682.70

Stories : 1 Living Area : 2,373 Yr Blt / Eff Yr Blt : 2020 / APN : 217-54-0990

Total Value : $31,677 Sale Price  : $306,356

Total Value : $31,677 Sale Price  : $389,668

Owner Name : Gonzalez Danette Subdivision : Gladden Farms Sale Date : 03/05/2020 Recording Date : 03/23/2020

Land Use : Sfr Lot Acres : 0.20

12165 N CANDYWINE DR Distance 0.03 Miles

12223 N GOLDENVIEW LN Distance 0.04 Miles

Stories : 1 Living Area : 2,200 Yr Blt / Eff Yr Blt : 2019 / APN : 217-54-1330

Bed / Bath : / 3 Property Tax : $4,229.71

Land Use : Sfr Lot Acres : 0.17

Land Use : Sfr Lot Acres : 0.17

12140 N CANDYWINE DR Distance 0.06 Miles

Total Value : $205,566 Sale Price  : $274,810

Owner Name : Sliwinski Terrence & Denise Subdivision : Gladden Farms Sale Date : 08/14/2020 Recording Date : 08/18/2020

Total Value : $31,677 Sale Price  : $429,716

Total Value : $230,063 Sale Price  : $288,240

Customer Company Name : FIRST AMERICAN TITLE Prepared On : 08/30/2022 © 2022 CoreLogic. All rights reserved

12175 N CARAVELLE PL Distance 0.05 Miles

12228 N GOLDENVIEW LN Distance 0.06 Miles

Land Use : Sfr Lot Acres : 0.17

Owner Name : Schantz Thomas Z Subdivision : Gladden Farms Sale Date : 08/14/2019 Recording Date : 08/28/2019

Stories : 1 Living Area : 2,398 Yr Blt / Eff Yr Blt : 2019 / APN : 217-54-0600

Stories : 1 Living Area : 1,810 Yr Blt / Eff Yr Blt : 2019 / APN : 217-54-2210

Total Value : $267,114 Sale Price  : $575,000

12130 N CARAVELLE PL Distance 0.07 Miles

Bed / Bath : / 2 Property Tax : $3,258.39

Land Use : Sfr Lot Acres : 0.17

Stories : 1 Living Area : 2,398 Yr Blt / Eff Yr Blt : 2020 / APN : 217-54-1250

Bed / Bath : / 3 Property Tax : $4,229.34

Bed / Bath : / 3 Property Tax : $3,669.97

Owner Name : Nanni Brandon David Subdivision : Gladden Farms Sale Date : 11/10/2019 Recording Date : 11/27/2019

Stories : 1 Living Area : 2,167 Yr Blt / Eff Yr Blt : 2019 / APN : 217-54-0690

Owner Name : Blair Joseph A Subdivision : Gladden Farms Sale Date : 06/29/2022 Recording Date : 07/15/2022

Customer Name : Chantel Cortez

Stories : 1 Living Area : 2,373

Total Value : $31,677 Sale Price  : $332,192

12220 N GOLDENVIEW LN Distance 0.07 Miles

Customer Name : Chantel Cortez

Stories : 2 Living Area : 2,761

Bed / Bath : / 2 Property Tax : $4,018.52

Total Value : $274,373 Sale Price  : $330,000

Yr Blt / Eff Yr Blt : 2019 / APN : 217-54-0970

Land Use : Sfr Lot Acres : 0.17

Bed / Bath : / 4 Property Tax : $4,344.37

Customer Company Name : FIRST AMERICAN TITLE Prepared On : 08/30/2022

12125 N CANDYWINE DR Distance 0.08 Miles

© 2022 CoreLogic. All rights reserved

Owner Name : Thompson Brandon R Subdivision : Gladden Farms Sale Date : 01/14/2020 Recording Date : 01/15/2020

Land Use : Sfr Lot Acres : 0.17

Yr Blt / Eff Yr Blt : 2020 / APN : 217-54-2230

Owner Name : Sexton Lori A Subdivision : Gladden Farms Sale Date : 01/27/2020 Recording Date : 02/26/2020

Growth Last 5 Years: 19.47% 25 - 64 46.56%

Median

Estimate in 5 Years: 1,388 $35,000 - $50,000 15.76%

Median Home Value: $177,500 $300,000 - $500,000: 4.19%

Growth Last 10 Years: 47.66% $75,000 - $100,000 20.17%

Current Year: 4,717 12 - 17

75+ Household Size Household Income

Average Current Year: 3.35 $25,000 - $35,000 8.03%

Unit Occupied Owner: 77.66% Above $500,000: 0% Mortgage: $964

Name : Chantel Cortez Customer Company Name : FIRST AMERICAN TITLE Prepared On : 08/30/2022 © 2022 CoreLogic. All rights reserved

Estimate in 5 Years: 5,053 18 - 24 7.98%

Female Population: 54.13% Average Household Income: $75,486

Current Year: 1,383 0 - $25,000 6.22%

Census Tract / block: 44.31 / 3     Year: 2018 Household Population Population by Age Count: 4,637 0 - 11 Estimate

Growth Last 5 Years: 21.11% $50,000 - $75,000 19.23%

Married People: 59.07% Unmarried People: Median Mortgage Payments Home Values Under $300: 5.21% Below $100,000: 11.64%

Growth Last 10 Years: -75.49% 65 - 74 7.38%

Male Population: 45.87% Above $100,000 30.59%

$800 - $1,999: 63.69% $150,000 - $200,000: 35.94% Over $2,000: 8.19% $200,000 - $300,000: 32.5%

Customer

$300 - $799: 22.91% $100,000 - $150,000: 15.74%

40.93% Housing

Private School: 3.8% Attended Some College: 29.03%

17% Commute Time Less Than 15 Min: 11.07% 15 min - 28 min: 33.64% 30 min - 57 min: 52.25% Over 60 min: 3.04% Customer Name : Chantel Cortez Customer Company Name : FIRST AMERICAN TITLE Prepared On : 08/30/2022 © 2022 CoreLogic. All rights reserved

Rent Payments Year Built Unit Occupied Renter: 22.34% 1999 - 2000 Median Gross Rent: $1,285 1995 - 1998 Less Than $499 0% 1990 - 1994 $500 - $749 14.75% 1980 - 1989 6.43% $750 - $999 2.52% 1970 - 1979 5.23% $1000 and Over 82.73% 1900 - 1969 6.68% Education Enrollment Public Pre-Primary School: 2.01% Not Enrolled in School: 64.38%

Public School: 31.82% Graduate Of High School: 16.9%

Private 0.45% Not A High School Graduate: 10.6%

Pre-Primary School:

Private

Technical: Government Worker:

Workforce Occupation: Manager/Prof: 39.85% Private Worker:

Sales: 23.87% Self Employed Worker: 4.74% Administrative: Unpaid Family Worker:

Private House Hold: Farming: 6.27% Service: 19.28% Skilled: Protective Services:

Public College: 4.43% College Graduate: 33.76% College: 0.43% Graduate Degree: 9.72% 65.63% 21.27% 3.3% Blue-Collar:

Customer Name : Chantel Cortez Customer Company Name : FIRST AMERICAN TITLE Prepared On : 08/30/2022 © 2022 CoreLogic. All rights reserved

Customer Name : Chantel Cortez Customer Company Name : FIRST AMERICAN TITLE Prepared On : 08/30/2022 © 2022 CoreLogic. All rights reserved

Customer Name : Chantel Cortez Customer Company Name : FIRST AMERICAN TITLE Prepared On : 08/30/2022 © 2022 CoreLogic. All rights reserved

+ FIRST AMERICAN TITLE, FC0, CCOR PIMA, AZ 08/30/2022  07:23AM  NKFE  INVESTIGATIVE SEARCH RESULTS PAGE 1 OF 1 SEARCH PARAMETERS PARCEL:  217-54-1020 PARCEL: 217-54-1020 INSTRUMENT REC DATE OWNER: HANSEN JASON & JAMIE  AFFIDAVIT    2019 2840975 10/11/2019  SITUS: 12185 N CANDYWINE DR MAR  MAIL: 12185 N CANDWINE DR  MARANA AZ 85653  PLAT: LOT 00074 BLOCK LEGAL: GLADDEN FARMS BLOCKS 35 & 39 SQ20121740308 LOT 74 CMID  CURRENT TAXES INFORMATION THROUGH 07/28/2022 LAND IMPR EXEMPT RATE AREA SPECIAL DISTRICTS PRIMARY  21,161  0  0  9.6812  0676 SECONDARY  50  25,323  0  9.2416  2021 TOTAL TAX BILLED 4,019.36 2021  TAX AMT TAX DUE INTEREST DATE PAID TOTAL DUE FIRST HALF  2,009.68  0.00  0.00  10/23/2021  0.00  SECOND HALF  2,009.68  0.00  0.00  05/28/2022  0.00  TOTAL CURRENT TAXES DUE 08/22 0.00 09/22 0.00 IMPROVEMENTS BLDG SQFT  2,373 FULL CASH VALUE  253,729 YEAR BUILT  2019 LAND USE  01 33 NUMBER OF STORIES  1.0 LOT SIZE  1 STDLT STORIES HEIGHT  0 SCHOOL DISTRICT  0676 EXTERIOR WALLS  FRAME WOOD LAND FULL CASH VALUE  502 GRADE MATERIALS IMPR FULL CASH VALUE  253,227 SALES SALE DATE SALE AMOUNT INSTRUMENT TYPE SELLER NAME VALIDITY 10/11/2019 309,054    2019 2840975 SW FIDELITY NATIONAL TITLE AG ADDITIONAL PROPERTY INFORMATION STANDARD LAND USE: SFR END SEARCH

ConditionsCovenants,&Restrictions

Thank you for the opportunity to be of service. Restrictions indicating a preference, limitation or discrimination based on race, color, religion, sex, handicap, familial status, or national origin are hereby deleted to the extent such restrictions violate 42 USC 3604(c). This information is furnished without fee and without benefit of a complete title search. No liability is assumed by First American Title or Title Security. If it is desired that liability be assumed, you may apply for a policy of title insurance with First American Title Insurance Company.

to the Title & Escrow Process in Arizona Home Seller’s Guide

Southwest Gas www.swgas.com1.877.860.6020 Cox www.cox.com602.277.1000 Direct TV www.directv.com1.888.777.2454 Dish Network www.dishnetwork.com1.800.823.4929 CenturyLink www.centurylink.com800.366.8201 AT&T www.att.com1.800.222.0300 Verizon www.connecttoverizon.com1.877.300.4498 Salt River Project www.srpnet.com602.236.8888 APS www.aps.com602.371.7171 Your Escrow Number Your New City/State/ZipAddress Real Estate Agent Name Email Assistant Email Company Phone Address Fax Insurance CompanyPrevious Phone Previous Agent No.Policy New Company Phone New Agent No.Policy Home CompanyWarranty No.Policy First American Title Escrow Officer Email Escrow Assistant Email Address Phone City/State/Zip Fax 02 Quick Reference 03 Welcome 04 Benefits of Using a REALTOR ® 05 Key Professionals 06 Preparing Your Home for Sale 07 Staging Your Home for Show 09 Terms You Should Know 10 The Life of an Escrow 11 Closing Costs: Who Pays What 12 The Escrow Process 14 Understanding Title Insurance 16 Consider This 17 Closing Your Escrow 18 Planning Your Move Q uick Reference Table of Contents Utilities and Services

Count On Us For Convenience

AZ Sellers Guide | 3

Welcome to the home-selling process. Throughout this process, you can count on

Count On Us For Service

Count on First American Title

First American Financial Corporation offers more than title insurance and escrow services through its subsidiaries. Our subsidiaries also provide property data, title plant records and images, home warranties, property and casualty insurance, and banking, trust and advisory services.

Count On Us To Meet Your Needs

Count On Us For Stability

First American Title to guide you smoothly through your transaction and provide expert answers to your questions. We are happy to serve you.

First American Title is the principal subsidiary of First American Financial Corporation, and one of the largest suppliers of title insurance services in the nation. With roots dating back to 1889, we’ve served families for generations.

First American Title’s professionals are proud to provide the title insurance that assures people’s home ownership. Backed by First American Title Insurance Company, your transaction will be expertly completed in accordance with state-specific underwriting standards and state and federal regulatory requirements.

First American Title has a direct office or agent near you, offering convenient locations throughout Arizona. We also have an extensive network of offices and agents throughout the United States, and internationally.

- know how to advertise effectively and what the costs will be?

› Is experienced with resolving problems to facilitate a successful closing on your home. Only you can determine whether you should attempt to sell your home—probably your largest investment—all alone. Talk with a REALTOR® before you decide. You may find working with a professional is a lot less expensive and much more beneficial than you ever imagined!

- concerned about having strangers walking through your home?

› Can remain objective when presenting offers and counter-offers on your behalf.

- familiar enough with real estate regulations to prepare a binding sales contract? Counter-offers? - aware that every time you leave your home, you are taking it off the market until you return?

AZ Sellers Guide |

› Maintains errors-and-omissions insurance.

®

Professional REALTOR

A REALTOR ® : › Understands market conditions and has access to information not available to the average homeowner. › Can advertise effectively for the best results.

› Knows how to go toe-to-toe in negotiations.

› Can help protect your rights, particularly important with the increasingly complicated real estate laws and regulations.

- understand the various types of loans buyers may choose and the advantages and disadvantages for the seller?

Before you make the decision to try to sell your home alone, consider the benefits a REALTOR ® can provide that you may not be aware of.

- have arrangements with an escrow and title company, home warranty company, pest-control service and lender to assist you with the transaction? Are you... - aware of conditions in the marketplace today that affect value and length of time to sell?

› Knows how to price your home realistically, to give you the highest price possible within your time frame. › Is experienced in creating demand for homes and how to show them to advantage.

of using a

› Will listen to your needs, respect your opinions and allow you to make your own decisions.

Benefits4

› Is always “on-call,” answering the phone at all hours, and showing homes evenings and weekends.

FOR SALE BY OWNER

Do you... - have the knowledge, patience, and sales skills needed to sell your home? - know how to determine your home’s current market value? - know how to determine whether or not a buyer can qualify for a loan? - understand the steps of an escrow and what’s required of you and the buyer? - need to hire a real estate attorney? If so, do you know what the cost will be and how much liability they will assume in the transaction?

- aware that prospective buyers and bargain hunters will expect you to lower your cost because there’s no REALTOR® involved? - prepared to give up your evenings and weekends to show your home to potential buyers and “just-looking” time wasters?

› Knows how to screen potential buyers and eliminate those who can’t qualify or are looking for bargain-basement prices.

Many people believe they can save a considerable amount of money by selling their homes themselves. It may seem like a good idea at the time, but while you may be willing to take on the task, are you qualified? The following are some questions to help you realistically assess what’s involved.

These are the people who carry out the title search and examination, work with you to eliminate the title exceptions you are not willing to take subject to, and provide the policy of title insurance regarding title to the real property.

The MLS is a database of properties listed for sale by REALTORS ® who are members of the local Association of REALTORS.® Information on an MLS property is available to thousands of REALTORS ®

TITLE COMPANY

REAL ESTATE AGENT

A key role of the listing agent or broker is to form a legal relationship with the homeowner to sell the property and place the property in the Multiple Listing Service.

ESCROW OFFICER

BUYER'S AGENT

A real estate agent is licensed by the state to represent parties in the transfer of property. Every REALTOR ® is a real estate agent, but not every real estate agent has the professional designation of a REALTOR.®

AZ Sellers Guide | 5

A key role of the buyer’s agent or broker is to work with the buyer to locate a suitable property and negotiate a successful home purchase.

LISTING AGENT

REALTOR ® A REALTOR ® is a licensed real estate agent and a member of the National Association of REALTORS,® a real estate trade association. REALTORS ® also belong to their state and local Association of REALTORS.®

MULTIPLE LISTING SERVICE (MLS)

An escrow officer leads the facilitation of your escrow, including escrow instructions preparation, document preparation, funds disbursement, and more.

Key Professionals Involved in Your Transaction

Inspect fences, gates and latches. Repair or replace as needed.

Check the pool and/or spa equipment and pumps. Make sure all are working properly and that the pool and/or spa are kept clean.

Make sure the front steps are clear and hazard-free. Make sure the doorbell works properly and has a pleasant sound. Ensure that all exterior lights are working.

Paint or replace the mailbox, if needed.

YOURFORPREPARINGSALEHOME

Repair leaky faucets and caulking in bathtubs and showers.

AZ Sellers Guide | 6

Repair or replace loud ventilating fans. Replace worn shower curtains.

Repair or replace worn shutters and other exterior trim.

Brighten the appearance inside by painting walls, cleaning windows and window coverings, and removing sunscreens.

If screens or windows are damaged, replace or repair them.

Check stucco walls for cracks and discoloration. Remove any oil and rust stains from the driveway and garage.

Repair or replace loose knobs on doors and cabinets. If doors stick or squeak, fix them. Make sure toilet seats look new and are firmly attached.

Rearrange furniture to make rooms appear larger. If possible, remove and/or store excess furniture, and avoid extension cords in plain view. Remove clutter throughout the house. Organize and clean out closets.

Air conditioners/heaters, evaporative coolers, hot water heater should be clean, working and inspected if necessary. Replace filters.

Mow and edge the lawn regularly, and trim the shrubs.

Make your entry inviting: Paint your front door and buy a new front door mat.

Clean and organize the garage, and ensure the door is in good working order.

Shampoo carpeting or replace if worn. Clean tile floors, particularly the caulking.

Clean household appliances and make sure they work properly.

First impressions have a major impact on potential buyers. Try to imagine what potential buyers will see when they approach your house for the first time and walk through each room. Ask your REALTOR ® for advice; they know the marketplace and what helps a home sell. Here are some tips to present your home in a positive manner:

Send pets away or secure them away from the house, and be sure to clean up after them. Close the windows to eliminate street noise.

Cleanshown.trash

AZ Sellers Guide | 7

If you must be present while your home is shown, keep noise down. Turn off the TV and radio. Soft, instrumental music is fine, but avoid vocals. Keep the garage door closed and the driveway clear. Park autos and campers away from your home during showings Hang clean attractive guest towels in the bathrooms.

Staging your home for Show

If possible you, your pets, and your children should be gone while your home is being cans and put them out of sight.

Check that sink and tub are scrubbed and unstained. Make beds with attractive spreads. Stash or throw out newspapers, magazines, junk mail.

Keep everything clean. A messy or dirty home will cause prospective buyers to notice every flaw. Clear all clutter from counter tops. Let the light in. Raise shades, open blinds, pull back the curtains and turn on the lights. Get rid of odors such as tobacco, pets, cooking, etc., but don’t overdo air fresheners or potpourri. Fresh baked bread and cinnamon can make a positive impact.

To make the best impression, keep your home clean, neat, uncluttered and in good repair. Please review this list prior to each showing:

AZ Sellers Guide | 8

A description of land recognized by law, based on government surveys, spelling out the exact boundaries of the entire parcel of land. It should so thoroughly identify a parcel of land that it cannot be confused with any other.

TRID TILA-RESPA Integrated Disclosures

Comparable Sales Sales that have similar characteristics as the subject real property, used for analysis in the appraisal. Commonly called “comps.”

Impounds A trust type of account established by lenders for the accumulation of borrower’s funds to meet periodic payments of taxes, mortgage insurance premiums and/or future insurance policy premiums, required to protect their security.

Mortgage The instrument by which real property is pledged as security for repayment of a loan.

Hazard Insurance Real estate insurance protecting against fire, some natural causes, vandalism, etc., depending upon the policy. Buyer often adds liability insurance and extended coverage for personal property.

PITI A payment that includes Principal, Interest, Taxes, and Insurance.

Power of Attorney A written instrument whereby a principal gives authority to an agent. The agent acting under such a grant is sometimes called an “Attorney-in-Fact.”

Appraisal

Deed of Trust An instrument used in many states in place of a mortgage.

Close of Escrow Generally the date the buyer becomes the legal owner and title insurance becomes effective.

Deed Restrictions

Terms You Should Know

Beneficiary

Disbursement Date

Legal Description

Consummation

As to a title insurance policy, a rider or attachment forming a part of the insurance policy expanding or limiting coverage.

Occurs when the borrower becomes contractually obligated to the creditor on the loan, not, for example, when the borrower becomes contractually obligated to a seller on a real estate transaction. The point in time when a borrower becomes contractually obligated to the creditor on the loan depends on applicable State law. Consummation is not the same as close of escrow or settlement.

The recipient of benefits, often from a deed of trust; usually the lender.

Loan Estimate (LE) Form designed to provide disclosures that will be helpful to borrowers in understanding the key features, costs and risks of the mortgage loan for which they are applying. Initial disclosure to be given to the borrower three (3) business days after application.

Filing documents affecting real property with the appropriate government agency as a matter of public record. Settlement statement Provides a complete breakdown of costs involved in a real estate transaction.

Recording

Lien

An estimate of value of property resulting from analysis of facts about the property; an opinion of value.

Earnest Money Deposit Down payment made by a purchaser of real property as evidence of good faith; a deposit or partial payment.

AZ Sellers Guide | 9

Annual Percentage Rate (APR)

A right, privilege or interest limited to a specific purpose that one party has in the land of another.

Closing Disclosure (CD) Closing Disclosure form designed to provide disclosures that will be helpful to borrowers in understanding all of the costs of the transaction. This form will be given to the consumer three (3) business days before closing.

Limitations in the deed to a parcel of real property that dictate certain uses that may or may not be made of the real property.

The borrower’s costs of the loan term expressed as a rate. This is not their interest rate.

Endorsement

A form of encumbrance that usually makes a specific parcel of real property the security for the payment of a debt or discharge of an obligation. For example, judgments, taxes, mortgages, deeds of trust.

The date the amounts are to be disbursed to a buyer and seller in a purchase transaction or the date funds are to be paid to the borrower or a third party in a transaction that is not a purchase transaction.

Easement

Documents are recorded and funds are disbursed. Issues final settlement statement.

Chooses a Real Estate Agent Accepts Buyer’s offer to openingCompletespurchase.andreturnspackagefromFirstAmericanTitle,includinginformationsuchasforwardingaddress,payofflendercontactinformationandloannumbers.Ordersanyworkforinspectionsand/orrepairstobedoneasrequiredbythepurchaseagreement.Escrowofficerorrealestateagentcontactsthesellertoschedulesigningappointment.Documentsarerecordedandallproceedsfromsalearereceived.

THE SELLER Accepts Buyer’s application and begins the qualification process. Provides Buyer with Loan Estimate. Orders and reviews title commitment / preliminary report, property appraisal, credit report, employment and funds verification. Collects information such as title commitment / preliminary report, appraisal, credit report, employment and funds verification. Reviews and requests additional information for final loan Underwritingapproval.reviews loan package for approval. Coordinates with Escrow Officer on the preparation of the Closing Disclosure, which is delivered to Buyer at least 3 days prior to loan documents,UponDeliversconsummation.loandocumentstoescrow.reviewofsignedloanauthorizesloanfunding.

THE ESCROW OFFICER

Upon receipt of order and earnest money deposit, orders title examination. Requests necessary information from buyers and sellers via opening packages. Reviews title commitment / preliminary report. Upon receipt of opening packages, orders demands for payoffs. Contacts buyer or seller when additional information is required for the title preliminarycommitment/report. All demands, invoices, and fees must be collected and sent to lender at least 10 days prior to loan

THE BUYER

THE LENDER

Coordinatesconsummation.withlender on the preparation of the CD. Reviews all documents, demands, and instructions and prepares settlement statements and any other required documents. Schedules signing appointment and informs buyer of funds due at settlement. Once loan is consummated, sends funding package to lender for review.

AZ Sellers Guide | 10

The Life Of An Escrow

Prepares recording instructions and submits docs for recording.

Chooses a Real Estate Agent Gets pre-approval letter from Lender and provides to Real Estate Agent. Makes offer to purchase. Upon acceptance, opens escrow and deposits earnest money. Finalizes loan application with Lender. Receives a Loan Estimate from Lender. Completes and returns opening package from First American Title. Schedules inspections and evaluates findings. Reviews title BuyerpriorlenderpaperworkProvidespreliminarycommitment/report.allrequestedtoLender(bankstatements,taxreturns,etc.)Allinvoicesandfinalapprovalsshouldbetothenolaterthan10daystoloanconsummation.Lender(orEscrowOfficer)preparesCDanddeliverstoatleast3dayspriortoloanconsummation.Escrowofficerorrealestateagentcontactsthebuyertoschedulesigningappointment.Buyerconsummatesloan,executessettlementdocuments,&depositsfundsviawiretransfer.Documentsarerecordedandthekeysaredelivered!

AZ Sellers Guide | 11 CASH FHA VA CONV 1. Downpayment BUYER BUYER BUYER BUYER 2. Termite (Wood Infestation) Inspection (negotiable except on VA) SELLER 3. Property Inspection (if requested by buyer) BUYER BUYER BUYER BUYER 4. Property Repairs, if any (negotiable) SELLER SELLER SELLER SELLER 5. New Loan Origination Fee (negotiable) BUYER BUYER BUYER 6. Discount Points (negotiable) BUYER BUYER BUYER 7. Credit Report BUYER BUYER BUYER 8. Appraisal or Extension Fee (negotiable) BUYER BUYER BUYER 9. Existing Loan Payoff SELLER SELLER SELLER SELLER 10. Existing Loan Payoff Demand SELLER SELLER SELLER SELLER 11. Loan Prepayment Penalty (if any) SELLER SELLER SELLER SELLER 12. Next Month’s PITI Payment BUYER BUYER BUYER 13. Prepaid Interest (approx. 30 days) BUYER BUYER BUYER 14. Reserve Account Balance (Credit seller / Charge buyer) PRORATE PRORATE PRORATE 15. FHA MIP, VA Funding Fee, PMI Premium BUYER BUYER BUYER 16. Assessments payoff or proration (sewer, paving, etc.) SELLER 17. Taxes PRORATE PRORATE PRORATE PRORATE 18. Tax Impounds BUYER BUYER BUYER 19. Tax Service Contract SELLER SELLER BUYER 20. Fire/Hazard Insurance BUYER BUYER BUYER BUYER 21 Flood Insurance BUYER BUYER BUYER 22. Homeowners Association (HOA) Transfer Fee BUYER or SELLER BUYER or SELLER BUYER or SELLER BUYER or SELLER 23. HOA/Disclosure Fee SELLER SELLER SELLER SELLER 24 Current HOA Payment PRORATE PRORATE PRORATE PRORATE 25. Next Month’s HOA Payment BUYER BUYER BUYER BUYER 26. Home Warranty Premium (negotiable) BUYER or SELLER BUYER or SELLER BUYER or SELLER BUYER or SELLER 27. REALTORS®’ Commissions SELLER SELLER SELLER SELLER 28. EAGLE Homeowners Title Policy SELLER SELLER SELLER SELLER 29. Lenders Title Policy and Endorsements BUYER BUYER BUYER 30. Escrow Fee (NOTE: Charge seller on VA Loan) SPLIT SPLIT SELLER SPLIT 31. Recording Fees (Flat rate) SPLIT SPLIT SPLIT SPLIT 32. Reconveyance/Satisfaction Fee SELLER SELLER SELLER SPLIT 33. Courier/Express Mail Fees SPLIT SPLIT SELLER SPLIT THIS CHART INDICATES WHO CUSTOMARILY PAYS WHAT COSTS Note: Prorated items will appear on Closing Statement as charges for one and credits for the other. Closing Costs: Who Pays What

HOW IS AN ESCROW OPENED?

WHAT IS AN ESCROW?

Once a purchase agreement is signed by all necessary parties, the agent representing the party who will pay the fee selects an escrow holder and the buyer's earnest money deposit and contract are submitted to the escrow holder. From this point, the escrow holder will follow the mutual written instructions of the buyer and seller, maintaining a neutral stance to ensure that neither party has an unfair advantage over the other. The escrow holder also follows the instructions of the Buyer's new lender, the seller's existing lender, and both parties' agents. The escrow holder ensures the transparency of the transaction, while carefully maintaining the privacy of the consumers. Escrow Process

The

AZ Sellers Guide | 12

The escrow is the process of having a neutral party manage the exchange of money for real property. The escrow holder is known as an escrow or settlement officer or agent. The buyer deposits funds and the seller deposits a deed with the escrow holder along with all of the other documents required to remove all "contingencies" (conditions and approvals) in the purchase agreement prior to closing.

Conduct a title search to determine the ownership and title status of the real Reviewpropertythetitle commitment and begin the process of working with you and the title officer to eliminate the title exceptions the buyer and the buyer’s new lender are not willing to take subject to. This includes ordering a payoff demand from your existing lender.

AZ Sellers Guide | 13

Coordinate with the buyer’s lender on the preparation of the Closing Disclosure (CD)

After recording is confirmed, close escrow and disburse funds, including proceeds, loan payoffs, tax payments, and more

When all funds are deposited and conditions met, record documents with the County Recorder to transfer the real property to the buyer

Prepare and send final documents to all parties

Your Escrow

Set separate appointments allowing the buyer and seller to sign documents and deposit funds

Professional May:

Prorate fees, such as real property taxes, per the contract and prepare the settlement statement

Open escrow and deposit good faith funds into an escrow account

Review documents and ensure all conditions are fulfilled and certain legal requirements are met

Request funds from buyer and buyer’s new lender

WHEN IS THE PREMIUM DUE?

Title Insurance

Prior to the development of the title industry in the late 1800s, a home-buyer received a grantor’s warranty, attorney’s title opinion, or abstractor’s certificate as assurance of home ownership. The buyer relied on the financial integrity of the grantor, attorney, or abstractor for protection. Today, home-buyers look primarily to title insurance to provide this protection. Title insurance companies are regulated by state statute. They are required to post financial guarantees to ensure that any claims will be paid in a timely fashion. They also must maintain their own “title plants” which house duplicates of recorded deeds, mortgages, plats, and other pertinent county property

Title insurance insures buyers against the risk that they did not acquire marketable title from the seller. It is primarily designed to reduce risk or loss caused by defects in title from the past. A loan policy of title insurance protects the interest of the mortgage lender, while an owner’s policy protects the equity of you, the buyer, for as long as you or your heirs (in certain policies) own the real property.

WHY IS TITLE INSURANCE NEEDED?

AZ Sellers Guide | 14

The Title Industry & Title Insurance in Brief

WHAT IS TITLE INSURANCE?

You pay for your owner’s title insurance policy only once, at the close of escrow. Who pays for the owner’s policy and loan policy varies depending on local customs.

Understandingrecords.

Title insurance provides coverage for certain losses due to defects in the title that, for the most part, occurred prior to your ownership. Title insurance protects against defects such as prior fraud or forgery that might go undetected until after closing and possibly jeopardize your ownership and investment.

21 Post-policy prescriptive easement 22 Covenant violation resulting in your title reverting to a previous owner 23 Violation of building setback regulations 24 Discriminatory covenants

AZ Sellers Guide | 15 Compare First American’s Eagle Policy® for Owners EAGLE StandardALTAorCLTA Protection from: 1 Someone else owns an interest in your title 2 A document is not properly signed 3 Forgery, fraud, duress in the chain of title 4 Defective recording of any document 5 There are restrictive covenants 6 There is a lien on your title because there is: a) a deed of trust b) a judgement, tax, or special assessment c) a charge by a homeowner’s association 7 Title is unmarketable 8 Mechanics lien 9 Forced removal of a structure because it: a) extends on another property and/or easement b) violates a restriction in Schedule B c) violates an existing zoning law* 10 Cannot use the land for a Single-Family Residence because the use violates a restriction in Schedule B or a zoning ordinance 11 Unrecorded lien by a homeowners association 12 Unrecorded easements 13 Building permit violations* 14 Restrictive covenant violations 15 Post-policy forgery 16 Post-policy encroachment 17 Post-policy damage from extraction of minerals or water 18 Lack of vehicular and pedestrian access 19 Map not consistent with legal description 20 Post-policy adverse possession

Compare First American’s Eagle Policy® for Owners EAGLE StandardALTAorCLTA

* Deductible and maximum limits apply. Not available to investors on 1- to 4-unit residential properties. Coverage may vary based on an individual policy. As with any insurance contract, the insuring provisions express the coverage afforded by the title insurance policy and there are exceptions, exclusions and conditions to coverage that limit or narrow the coverage afforded by the policy. Also, some cov erage may not be available in a particular area or transaction due to legal, regulatory, or underwriting considerations. Please contact a First American representative for further information. The services described above are typical basic services. The services provided to you may be different due to the specifics of your transaction or the location of the real property involved.

Other benefits: 25 Pays rent for substitute land or facilities 26 Rights under unrecorded leases 27 Plain language statements of policy coverage and restrictions 28 Compliance with Subdivision Map Act 29 Coverage for boundary wall or fence encroachment* 30 Added ownership coverage leads to enhanced marketability 31 Insurance coverage for a lifetime 32 Post-policy inflation coverage with automatic increase in value up to 150% over five years 33 Post-policy Living Trust coverage

AZ Sellers Guide | 16

Consider This

One escrow transaction could involve more than 20 individuals, including real estate agents, buyers, sellers, attorneys, escrow officer, escrow technician, title officer, loan officer, loan processor, loan underwriter, home inspector, termite inspector, insurance agent, home warranty representative, contractor, roofer, plumber, pool service, and so on. And often, one transaction depends on another. When you consider the number of people involved, you can imagine the opportunities for delays and mishaps. Your experienced escrow team can’t prevent unforeseen problems from arising; however, they can help smooth out the process.

THE CLOSING OR SIGNING APPOINTMENT

If the buyer is obtaining a new loan, the buyer’s signed loan documents will be returned to the lender for review. The escrow holder will ensure that all contract conditions have been met and will ask the lender to "fund the loan." If the loan documents are satisfactory, the lender will send funds directly to the escrow holder. When the loan funds are received, the escrow holder will verify that all necessary funds are in. Escrow funds will be disbursed to the seller and other appropriate payees. Then, the REALTOR® will present the keys to the property to the buyer.

*For purposes of the Closing Disclosure“business day” is defined as every day except Sundays and Federal legal holidays.

Once the loan is approved and all invoices and paperwork have been provided, the lender and escrow officer will collaborate on the preparation of the Closing Disclosure (CD). In order to close on time, all paperwork and invoices should be submitted at least 10 days prior to the expected close of escrow date. The borrower must receive the CD at least three days* prior to consummation of the loan (typically the signing date). The escrow officer will also prepare an estimated settlement statement and inform the buyer of the balance of the down payment and closing costs needed to close escrow.

DON'T FORGET YOUR IDENTIFICATION

WHAT HAPPENS NEXT?

The escrow holder is obligated by law to have the designated amount of money before releasing any funds. If you have questions or foresee a problem, let your escrow holder know immediately.

The escrow holder will contact you or your agent to schedule a closing or signing appointment. In some states, this is the "close of escrow." In some others, the close of escrow is either the day the documents record or that funds are disbursed. Ask your escrow holder if you would like clarification about your state's laws. You will have a chance to review the settlement statement and supporting documentation. This is your opportunity to ask questions and clarify terms. You should review the settlement statement carefully and report discrepancies to the escrow officer. This includes any payments that may have been missed. You are responsible for all charges incurred even if overlooked by the escrow holder, so it's better to bring these to their attention before closing.

You will need valid identification with your photo I.D. on it when you sign documents that need to be notarized (such as a deed). A driver's license is preferred. You will also be asked to provide your social security number for tax reporting purposes, and a forwarding address.

AZ Sellers Guide | 17

THE CLOSING DISCLOSURE

Closing Your Escrow

Borrowed and rented items. Return items which you may have borrowed or rented. Collect items borrowed to others.

Bank accounts Notify bank of address change. Make sure to have a money order for paying the moving company if you are transferring or closing accounts.

Start packing. Begin packing for your new location.

Cancel services. Notify any remaining service providers (newspapers, lawn services, etc) of your move.

Scan your furniture. Check furniture for scratches and dents before so you can compare notes with your mover on moving day.

MOVINGReviewDAY:thehouse. Once the house is empty, check the entire house (closets, the attic, basement, etc) to ensure no items are left or no home issues exist.

Sign the bill of lading. Once your satisfied with the mover’s packing your items into the truck, sign the bill of lading. If possible, accompany your mover while the moving truck is being weighed.

Vacate your home. Make sure utilities are off, doors and windows are locked and notify your real estate agent you’ve left the property.

Travel items. Set aside items you’ll need while traveling and those needed until your new home is established. Make sure these are not packed in the moving truck!

Planning your move

Request moving quotes Solicit moving quotes from as many moving companies and movers as possible. There can be a large difference between rates and services within moving companies.

Seek employer benefits. If your move is work-related, your employer may provide funding for moving expenses. Your human resources rep should have information on this policy.

Service automobiles If automobiles will be driven long distances, you’ll want to have them serviced for a trouble-free drive.

Discard unnecessary items Moving is a great time for ridding yourself of unnecessary items. Have a yard sale or donate unnecessary items to charity.

FOUR WEEKS BEFORE: Contact utility companies Set utility turnoff date, seek refunds and deposits and notify them of your new address.

Research moving options You’ll need to decide if yours is a do-it-yourself move or if you’ll be using a moving company.

AZ Sellers Guide | 18

SIX WEEKS BEFORE:

Create an inventory sheet of items to move.

Packing materials. Gather moving boxes and packing materials for your move.

Changing Schools. If changing schools, contact new school for registration process.

Obtain your medical records. Contact your doctors, physicians, dentists and other medical specialists who may currently be retaining any of your family’s medical records. obtain these records or make plans for them to be delivered to your new medical facilities.

ONE WEEK BEFORE: Plan your itinerary. Make plans to spend the entire day at the house or at least until the movers are on their way. Someone will need to be around to make decisions. Make plans for kids and pets to be at the sitters for the day.

Change of address. Visit USPS for change of address form.

Double check with your mover. Make sure your mover has the new address and your contact information should they have any questions during your move.

Prepare Floor Plan. Prepare floor plan for your new home. This will help avoid confusion for you and your movers.

Note food inventory levels Check your cupboards, refrigerator and freezer to use up as much of your perishable food as possible. Service small engines for your move by extracting gas and oil from the machines. This will reduce the chance to catch fire during your move. Protect jewelry and valuables. Transfer jewelry and valuables to safety deposit box so they can not be lost or stolen during your move.

Contact insurance companies. (Life, Health, Fire, Auto) You’ll need to contact your insurance agent to cancel/transfer your insurance policy. Do not cancel your insurance policy until you have and closed escrow on the sale.

AZ Sellers Guide | 19 Your Notes:

AZ Sellers Guide | 20 Your Notes:

AZ Sellers Guide | 21 Your Notes:

4 THE LEGENDS 20241623.537.1608N.67th Ave , #A-2 Glendale, AZ 85308 E side 67th Ave/N of 101 5 ANTHEM 39508623.551.3265N.Daisy

1626623.936.8001N.Litchfield

Johnson

13 CHANDLER PORTICO 2121480.777.0051W.Chandler Blvd., #215 Chandler, AZ 85224 SW Corner Chandler Blvd./ Dobson Rd.

ARROWHEAD

16 RED MOUNTAIN 1135480.534.3599N.Recker Rd., #103 Mesa, AZ 85205 SE corner of Recker & Brown

1 SUN CITY WES T Blvd., #119 Sun City West, AZ 85375 N of Blvd W of R.H.

Meeker

10 SCOTTSDALE FORUM 6263480.551.0480N.Scottsdale Rd., #110 Scottsdale, AZ 85250 E Side Scottsdale/S of Lincoln

13940623.299.3644W.Meeker

3 16165623.487.0404N.83rd Ave , #100 Peoria, AZ 85382 S of Bell/E side of 83rd Ave

9 KIERLAND COMMONS 14648480.948.6488NScottsdale Rd., Ste. #100 Scottsdale, AZ 85254 W of Scottsdale Road, S side of Greenway

AZ Sellers Guide | 22

15 MESA 1630480.401.3738S.Stapley Dr., #123 Mesa, AZ 85204 N of Baseline / W of Stapley

12 AHWATUKEE 4435480.753.4424E.Chandler Blvd , #100 Phoenix, AZ 85048 SW corner Chandler/45th St.

11 DC CROSSING 18291480.563.9034N.Pima Rd , #145 Scottsdale, AZ 85255 SE corner of Pima/Legacy

17 GOLD CANYON 6877480.288.0883SouthKings Ranch Rd., #5 Gold Canyon, AZ 85118 E of South60/Side Kings Ranch Rd.

1 4 3 2 6 12 10 5 8 7 11 9 CRISMON BUTTESIGNAL GOLDFIELD OLDWESTHWY SKINGSRANCH 14 17 15 13 16 ArizonaCentral First American Title Branch Locator

85395

Goodyear,

Mountain Dr., #128 Anthem, AZ 85086 NE corner Daisy Mtn Dr/ Gavilan Peak Pkwy 6 BILTMORE 3200602.954.3644ECamelback Rd., #123 Phoenix, AZ 85018 NE Corner of Camelback/32nd Street 7 TATUM RIDGE 480.515 4369 11211 N Tatum Blvd, #A150 Phoenix, AZ 85028 N of Shea, E side of Tatum 8 CAREFREE 7202480.575.6609E.Carefree Dr , Bldg 1, #1 Carefree, AZ 85377 NE corner of Tom Darlington/ Carefree Dr.

14 GILBERT SAN TAN 1528480.777.0614E.Williams Field Rd., #101 Gilbert, AZ 85295 NW corner of Williams Field Rd./ Val Vista Rd.

2 GOODYEAR Rd. Ste. #170 AZ NW corner of McDowell & Litchfield

10 RITA ROAD 520.618.7790 | Fax 520.901.1720 10222 East Rita Rd., Ste. 190 Tucson, AZ 85747

11 RIVER 520.529.1944 | Fax 520.615.2945 1650 E. River Rd., Ste. 105 Tucson, AZ 85718

5 CASAS ADOBES 520.575.1900 | Fax 520.432.0168 6760 N. Oracle Rd., Ste. 100B Tucson, AZ 85704

13 TANQUE VERDE 520.202.2626 | Fax 520.495.6151 7479 E. Tanque Verde Tucson, AZ 85715

AIRPORTINT'LTUCSON Air Force

8 ORO VALLEY/LA CANADA 520.877.9200 | Fax 520.202.6348 11165 N. La Canada Dr., Ste. 143 Oro Valley, AZ 85737

6 FOOTHILLS 520.299.4606 | Fax 520.577.6993 6262 N Swan Road, Suite 205 Tucson, AZ 85718

7 GREEN VALLEY 520.625.1095 | Fax 520.958.9663 190 W. Continental Rd., Ste. 226 Green Valley, AZ 85622

12 SKYLINE 520.529.0506 | Fax 520.529.8998 2890 E. Skyline Dr., Ste. 200 Tucson, AZ 85718

3 CAMBRIC 520.577.8707 | Fax 520.529.5034 1840 E. River Rd., Ste. 200 Tucson, AZ 85718

1 MAIN OFFICE 520.885.1600 | Fax 520.885.2309 6390 E. Tanque Verde Rd. Tucson, AZ 85715

4 CASA GRANDE 520.426.4600 | Fax 520.426.4699 421 E. Cottonwood Ln. Casa Grande, AZ 85122

9 ORO VALLEY/ORACLE 520.229.9194 | 520.297.2576 Fax 520.229.9210 | 520.742.5866 8500 N. Oracle Rd., Ste 100 Oro Valley, AZ 85704

WSilverbellRd SSantaRitaRd NMtLemmon Hwy ESascoRd W Avra Valley Rd E G and Va ey DrNAguirreRd dRkLNucet dRWNentzNWatermanMountainRd RdAnwayN W El Tiro Rd NTricoRd W Tucke Rd W Rudasi Rd W Manv l e Rd SSanJoaquinRdWBopp Rd W Snyder H RddRSMarstear W Park Rd W Hermans RdW He mans Rd W Guy St W Bush Rd SGarveyRd eaCNlRinconado SWimotRd SShawRd SSierritaMountainRd SKobRdW Tw nButtes Rd W Mcgee Ranch Rd ESstanca BNearCanyonRdW E Cam no De Cerro E Fairmount St SSwanRd NFrontageRd W Emigh Rd W Fort Lowe Rd dSPNumptationR Cont nental Ave NTricoRd SOwlHeadGasLineRd NTricoRd W Bayard Rd dRSSandaro N Dove Mountain Blvd SHelvetiaRd WAnamax Mine Rd dRhRiGWarcaanc Road424 WRagged Top Rd W Ruby S a Dr WBritten RanchRd W Pima Mine Rd ellRdS S Mcgee RanchRd E Edw n Rd 80 NKINNEYRDSNANDARIORDNANWAYRD W VALENCIA RD W MOORE RD W INA RD ESN1TAV E SUNRISE DR E SNYDER RDNSILVERBELLRD TRSNOLDIERLE RIVER RDE PRINCE RD E SPEEDWAY BLVD SFREEMANRDE 22ND ST E 22ND ST W IRVINGTON RD SNOGALESHWY W VALENCIA RDSMISSIONRDWSPEEDWAY BLVD SOLDSPANISHTRL W NARANJA DR W TWIN PEAKS RD W PICTURE ROCKS RD W MANVILLE RD SKINNEYRD W MILE WIDE RD E SAHUARITA RD NTRICORD OSSANDARIRD SOLDNOGALESHWY GUOSHHTONRD ADCSLAANADRW HELMET PEAK RD WAJOHWY RNASNWD RDKOLBS SHOUGHTONRD W TANGERINE RD E GRANT RD SHOUGHTONRD 95 WAJOHWY E VALENCIA RD NORACLERD I-10 I-19 77 77 86 86 286 19 10 10 Corona de Tucson AdobesCasas Catalina Green Valley Picture Rocks Three Points VailSummit TanqueVerde SahuaritaTucson Saddlebrooke Marana Oro Valley Rillito SummerhavenWillow Canyon Oracle Junction Cortaro Continental Littletown 2 3758 9 10 11 13 12 6 1 SouthernArizona First American Title Branch Locator AIRPORTINT'LTUCSON Air Force FreemanRd WSilverbellRd NMtLemmon Hwy ESascoRd NF38 W Avra Val ey Rd WSCuryRdHanna Rd E Grand Va ey D W Houser Rd W Ph ps Rd E Co nman Rd NAguirreRd dRkLNucet dRWNentzNWatermanMountainRd RdAnwayN W El Tiro Rd NTricoRd W Tucke Rd W Rudas Rd W Manv e Rd SSanJoaquinRdWBopp Rd W Snyde H RddRlSMarsear W Pa k Rd W He mans RdW Hermans Rd W Guy St W Bush Rd SGaveyRd eaCNllRinconado SWimotRd SShawRd SSierritaMountainRd boRdRd W Woodru Rd ONveriedRd W Rando ph Rd W BartlettNRdLaPamaRdNTweedyRd E Randolph Rd W Kleck Rd E K eck Rd W Se ma Hwy STrekellRd SHennessRd E Selma Hwy W Co nman Rd W Pretzer Rd SLambRd SLaPalmaRd E M gan Rd E M gan Rd W A es Dr E Curtis Rd ESsancaDr EDesertDove HearthRd E Hemlock Dr BNearCanyonRdW E Cam no De Cerro E Fairmount St SSwanRd NFrontageRd W Emigh Rd GoffRanchRd NBarkervilleRd W Fort Lowe Rd dSPNumpationR E Nona Rd Ch efButteRd LovettaRd E Hanna Rd TecoloteRanchRd FlorenceRdRomeroRd Con nenta Ave BIA 30 NTricoRd SSunandGnRd SCattleTankRd E E s Rd E Hotts Rd E Nutt Rd Evalyn Rd SOwlHeadRanchRdGasLineRd PSecanRd I on Va ey RdEDeepWellRanchRd SNighSkySt SBadyPumpRdE Houser Rd E Ar ca Rd W Ea ey Rd NTrcoRd W Baya d Rd dRSSandario WillowSpringsRd EHelmwheel Ranch Rd N Dove Mounta n Blvd BIA-35 dRhRiGWarcaanc E Dese H s Rd WRagged Top Rd W Pima Mine Rd WSilverbellRdS E Edw n Rd BIA34 SGuildRd 80 NKINNEYRD SPICACHOHWYE GREENE RESERVOIR RD SSUNLANDGINRD W BATTAGLIA DR AZ-84 E BAUMGARTNER RD SSUNSHINEBLVD SNANDARIORDNANWAYRD E HARMON RD W VALENCIA RD E RODEO RD W MOORE RD W INA RD ESN1TAV E SUNRISE DR E SNYDER RDNSILVERBELLRD TRSNOLDIERLE RIVER RDE PRINCE RD E SPEEDWAY BLVD SFREEMANRDE 22ND ST E 22ND ST W IRV NGTON RD SNOGALESHWY W VALENC A RDSMISSIONRDWSPEEDWAY BLVD SOLDSPANISHTRL W NARANJA DR W TW N PEAKS RD W P CTURE ROCKS RD W MANVILLE RD SKINNEYRD W MILE WIDE RD E SAHUAR TA RD W HARMON RD W MCCARTNEY RD NTRICORD OSSANDARRD PARK LINK DR GUOSHHTONRD ADDR E MART N RD STHORNTONRD W HELMET PEAK RD SCHUICHURD WAJOHWY RNASNWD RDKOLBS SHOUGHTONRD W TANGER NE RD E GRANT RD SHOUGHTONRD NPINALAVE 95 WAJOHWY E VALENCIA RD NORACLERD I10 I-19 I8 77 77 79 77 77 87 86 86 387 287 86 10 19 8 10 10 10 La Palma Chuichu Arizona City Corona de Tucson AdobesCasas Catalina OracleDudleyvilleGrandeCasa Picture Rocks Three Points VailSummit TanqueVerde Eloy SahuaritaTucson Cactus Forest Picacho Red Rock Saddlebrooke Marana Oro Valley HaivanaNakya Rillito SummerhavenWillow Canyon Randolph Toltec Oracle Junction Cortaro Schuchk Littletown 2 4 385 9 10 11 13 12 6 1 AIRPORTINT'LTUCSON Air Force WSilverbellRd SSantaRitaRd NMtLemmon Hwy W Avra Valley Rd guirreRd dRkLNucet dRWNenzNWatermanMountainRd RdAnwayN W El Tiro Rd NTricoRd W Tucke Rd W Rudas Rd W Manv e Rd SSanJoaquinRdWBopp Rd W Snyder H RddRlSMarsear W Park Rd W Hermans RdW He mans Rd W Guy St W Bush Rd SGarveyRd eaCNlRnconado SWmoRd SShawRd SSierritaMountainRd SKobRdW TwinButtes Rd W Mcgee Ranch Rd BNearCanyonRdW E Cam no De Cerro E Fairmount St SSwanRd NFrontageRd W Emigh Rd W Fort Lowel Rd dSPNumptationR NNTricoRdTcoRd W Baya d Rd dRSSandaro N Dove Mountain Blvd SHelvetiaRd WAnamax M ne Rd dRhRiGWacaanc Road424 ed Top Rd W Ruby S ar D WBritten RanchRd W Pima Mine Rd S Mcgee RanchRd 80 NKINNEYRDSNANDARIORDNANWAYRD W VALENC A RD W MOORE RD W INA RD ESN1TAV E SUNR SE DR E SNYDER RDNSILVERBELLRD TRSNOLDIERLE RIVER RDE PRINCE RD E SPEEDWAY BLVD SFREEMANRDE 22ND ST E 22ND ST W IRV NGTON RD SNOGALESHWY W VALENCIA RDSMISSIONRDWSPEEDWAY BLVD SOLDSPANISHTRL W NARANJA DR W TW N PEAKS RD W P CTURE ROCKS RD W MANVILLE RD SKINNEYRD W MILE WIDE RD E SAHUARITA RD NTRICORD OSSANDARIRD SOLDNOGALESHWY GUOSHHTONRD ADCSLAANADRW HELMET PEAK RD WAJOHWY RNASNWD RDKOLBS SHOUGHTONRD W TANGERINE RD E GRANT RD SHOUGHTONRD 95 WAJOHWY E VALENCIA RD NORACLERD I-19 77 77 86 86 286 19 10 10 Corona de Tucson AdobesCasas Catalina Green Valley Picture Rocks Three Points VailSummit TanqueVerde SahuaritaTucson Marana Oro Valley Rillito SummerhavenWillow Canyon Cortaro Continental Littletown 2 3758 9 10 11 13 12 6 1 AZ Sellers Guide | 23

2 BROADWAY 520.747.1644 | Fax 520.747.1403 3777 E. Broadway Blvd., Ste. 220 Tucson, AZ 85716

05110280522 For more information please contact your First American representative. www.firstam.com

First American Title Insurance Company, and the operating divisions thereof, make no express or implied warranty respecting the information presented and assume no responsibility for errors or omissions. First American, the eagle logo, First American Title, and firstam.com are registered trademarks or trademarks of First American Financial Corporation and/or its affiliates.

©2022 First American Financial Corporation and/or its affiliates. All rights reserved. NYSE: FAF

Turn static files into dynamic content formats.

Create a flipbook
Issuu converts static files into: digital portfolios, online yearbooks, online catalogs, digital photo albums and more. Sign up and create your flipbook.
Digital Homebook 12185 N Candywine Drive by FirstAmAZ - Issuu