957 N Camino Las Solanas

Page 1

Criminals are targeting social media and email to steal information. This is particularly common in real estate transactions because sensitive data, including social security numbers, bank account numbers, and wire instructions are often sent by electronic means. We do not want you to be the next victim of wire fraud. Money wired to a fraudulent account is stolen money that typically cannot be recovered. Additionally, there is generally no insurance for this loss. You may never get the money back.

• If you receive an email requesting personal/financial information or asking you to download, click on a link, send, and/or do anything that may seem unusual to you, call your escrow officer immediately prior to acting on the suspicious email to verify the validity of the email.

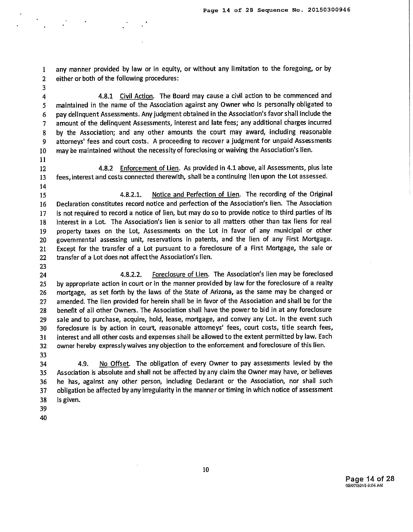
DO NOT TRUST EMAILS SEEKING PERSONAL/FINANCIAL INFORMATION

TRUST YOUR SOURCE OF INFORMATION

Client Date Client Date

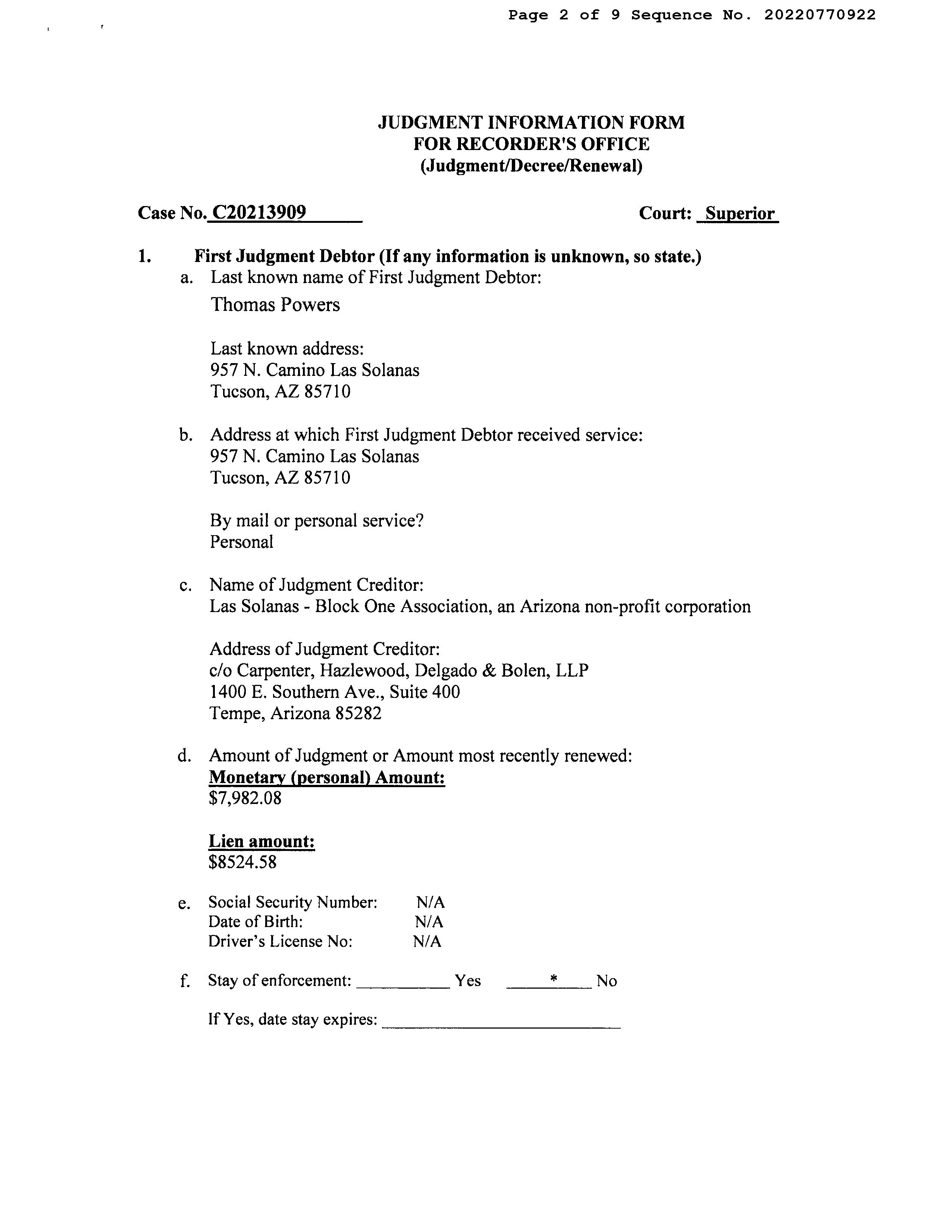
WIRE FRAUD ADVISORY

On Guard Online @ www.onguardonline.gov

The Internet Crime Complaint Center @ www.ic3.gov

• It is imperative that this call be made to a number obtained in person from the individual or through other reliable means, not from a number provided in the email or the wiring instructions

The Federal Bureau of Investigation @ https://www.fbi.gov/scams and safety

• If you receive an email containing wire transfer instructions, immediately call your escrow officer to ensure the validity of the instructions.

• Never direct, accept or allow anyone in the transaction to consent to receiving transfer instructions without a direct personal telephone call to the individual allegedly providing the instructions.

Immediately notify your banking institution and Settlement/Title Company if you are a victim of wire fraud.

PROTECT YOURSELF VERIFY AND NOTIFY

The National White Collar Crime Center @ http://www.nw3c.org/research

DO NOT TRUST EMAILS CONTAINING WIRE INSTRUCTIONS

The undersigned acknowledges receipt of this Wire Fraud Advisory.

Before you wire funds to any party (including your lawyer, title agent, mortgage broker, or real estate agent) personally meet them or call a verified telephone number (not the telephone number in the email) to confirm before you act!

ONLINE RESOURCES:

There are many online sources that can provide useful information regarding similar topics including, but not limited to, the following sites:

LIMITATION OF LIABILITY FOR INFORMATIONAL REPORTS

IMPORTANT -- PLEASE READ CAREFULLY:

This report is not an insured product or service or a representation of the condition of title to real property. It is not an abst ract, legal opinion, opinion of title, title insurance commitment or preliminary report, or any form of Title Insurance or Guaranty. This report is issued exclusively for the benefit of the Applicant therefor and may not be used or relied upon by any other person. This report may not be reproduced in any manner without First American or Title Security's prior written consent. First American or Title Security does not represent or warrant that the information herein is complete or free from error, and the information herein is provided without any warranties of any kind, as-is, and with all faults. As a material part of the consideration given in exchange for the issuance of this report, recipient agrees that First American or Title Security's sole liability for any loss or damage caused by an error or omission due to inaccurate information or negligence in preparing this report shall be limited to the fee charged for the report. Recipient accepts this report with this limitation and agrees that First American or Title Security would not have issued this report but for the limitation of liability described above. First American or Title Security makes no representation or warranty as to the legality or propriety of recipient's use of the information herein.

Subject Property 957 N Camino Las Solanas APN:AZTucson85710133-40-0260

First

© 2022 CoreLogic. All rights reserved

Data Provided By: American Title Ins Co

© 2022 CoreLogic. All rights reserved

Data Provided By: First American Title Ins Co

Disclaimer

The information contained in the REiSource report is delivered from your Title Company, who reminds you that you have the right as a consumer to compare fees and serviced levels for Title, Escrow, and all other services associated with property ownership, and to select providers accordingly. Your home is the largest investment you will make in your lifetime and you should demand the very best.

This REiSource report is provided "as is" without warranty of any kind, either express or implied, including without limitations any warrantees of merchantability or fitness for a particular purpose. There is no representation of warranty that this information is complete or free from error, and the provider does not assume, and expressly disclaims, any liability to any person or entity for loss or damage caused by errors or omissions in this REiSource report without a title insurance policy.

© 2022 CoreLogic. All rights reserved

Owner OccupiedIndicator : O

Foreclosure Status: AUCTION

Census Tract / Block : 40.39 / 1

Deed Type : Deed (reg)

School District : Tucson Unified

Legal Description : Las Solanas Townhouses Lot 23 Blk 1 & 1/48 Und Int In Common Area

Deed Type : Deed (reg)

Roof Material : Built-up Air Cond : Refrigeration

# of Stories : 1

Document # : 680303

Heat Type : Forced Air Quality : Good

Township-Range- Sect : 14S-15E-8

County Use : townhouseCondominiums- Lot Acres : 0.04 State Use : townhouseCondominiums-

APN : 133-40-0260

Recording/Sale Date : 04/08/2008 / 04/00/2008

Legal Block : 1 Munic/Township : Tucson Unified

Owner Transfer Information

Year Built / Eff : 1974 Cooling Type : Forced Air Condition : Average

Mailing Address : 957 N Camino Las Solanas, Tucson AZ 85710-8828 C004

Document # : 4793-24

Gross Area : 1,033

Market Area : 91

Legal Book/Page : 24-81 Map Reference : 08-14S-15E

Property Information

Living Area : 1,033

Property Characteristics

Land Use : Condominium Zoning : O-3

Lot Size : 1,549

County : Pima, Az

Exterior wall : Stucco Bath Fixtures : 7

Location Information

Subject Property :   957 N Camino Las Solanas Tucson AZ 85710

Owner Name : Powers Thomas

Last Market Sale Information

Total Rooms : 4

Recording/Sale Date : 06/21/1974

Parking Type : None Patio Type : None

Customer Name : Kariann Keomaka

Subdivision : Las Solanas Twnhs

Owner Information

Customer Company Name : First American Title Insurance Company Prepared On : 09/15/2022

Legal Lot : 23

© 2022 CoreLogic. All rights reserved

Customer Name : Kariann Keomaka

Total TaxableValue : $8,297

Tax Information

Doc# : 770922

Foreclosure Stage : AUCTION

Total Value : $103,138 Property Tax : $1,067.79 Current YearValue :Total $13,879

Assessed Year : 2021 Market Value : $103,138 Current YearValue :Land $50

Foreclosure Information

Customer Company Name : First American Title Insurance Company Prepared On : 09/15/2022

Tax Rate Area : 0150 Current ImprovementYearValue : $13,829

Attorney Name : HAZLEWOODCARPENCARPENTERDELGADO & BOLEN LLP

Filing Date : 02/25/2022

Tax Year : 2021 Current AssessedYear : 2023

Recording Date : 02/28/2022

5

Name

6

Year Built 1974 1973 1985 1980 Lot Size 1,549 391 1,657 987 3 2 3 2 Stories 1 1 1 1

3

Customer Company Name :

Sales Analysis

2

Summary

7

8

Customer : Kariann Keomaka First American Title Insurance On : 09/15/2022

Total Assessed Value $103,138 $69,146 $104,489 $91,078

Subject Property Low High Average

Bldg/Living Area 1033 886 1145 1031

Criteria

BathroomsBedrooms

S 957 N Camino Las Solanas 103,138 06/21/1974 3 1,033 1,549 1974 O-3

1 961 N Camino Las Solanas 191,425 103,039 08/16/2022 3 1,033 1,529 1974 0.01 O-3 952 N Camino Las Solanas 192,500 103,651 12/20/2021 3 1,033 1,657 1974 0.01 O-3 941 N Camino Las Solanas 202,500 104,489 06/24/2022 3 1,033 1,552 1974 0.03 O-3 1057 N PrimaveraVia 205,000 102,050 10/13/2021 3 1,033 1,421 1973 0.06 O-3 1089 N PrimaveraVia 235,000 99,333 07/13/2022 3 1,033 1,471 1973 0.08 O-3 1080 N Camino Las Solanas 215,000 99,750 04/01/2022 1,033 1,556 1973 0.09 O-3 1046 N Via Terrado 195,000 102,915 05/31/2022 2 1,016 1,504 1974 0.09 O-3 963 N Via Verano 190,000 103,476 09/24/2021 2 1,016 1,529 1975 0.11 O-3 1041 N Via Verano 230,000 103,376 05/04/2022 2 1,016 1,510 1975 0.12 O-3 7964 E Colette Cir # 208 180,000 89,411 03/03/2022 2 1,145 478 1984 0.45 R-3

10

3

Price Per Square Foot $138 $227 $180.31

of Comparables # Address Sale Price TotalValueAssessed Sale Date Bed Bath Living Area Lot Size YearBuilt (Miles)Dist Zoning

© 2022 CoreLogic. All rights reserved

9

Distance From Subject 0 0.01 0.54 0.31

4

Company Prepared

Sale Price $129,150 $235,000 $186,049

Distressed Sales =

15 8080 E Speedway Blvd # 710 149,900 78,491 01/21/2022 2 1,032 499 1985 0.51 C-1

16 8080 E Speedway Blvd # 609 142,000 78,491 02/01/2022 2 1,032 463 1985 0.52 C-1

19 7952 E Colette Cir # 167 182,000 81,981 04/08/2022 2 995 710 1984 0.53 R-3

13 7904 E Colette Cir # 11 170,000 81,981 04/12/2022 2 995 674 1984 0.5 R-3

17 7909 E Colette Cir # 27 223,000 90,028 08/04/2022 2 1,113 701 1984 0.52 R-3

11 7956 E Colette Cir # 183 181,500 90,028 11/08/2021 2 1,113 496 1984 0.49 R-3

18 8080 E Speedway Blvd # 812 129,150 69,146 01/07/2022 2 886 500 1985 0.53 C-1

Customer Company Name : First American Title Insurance Company Prepared On : 09/15/2022

20 8080 E Speedway Blvd # 908 170,000 78,491 05/17/2022 2 1,032 391 1985 0.54 C-1

© 2022 CoreLogic. All rights reserved

12 8080 E Speedway Blvd # 703 145,000 69,146 11/30/2021 2 886 461 1985 0.5 C-1

Customer Name : Kariann Keomaka

14 7957 E Colette Cir 192,000 92,291 06/24/2022 2 1,145 639 1984 0.51 R-3

Map

Prepared

On : 09/15/2022 © 2022 CoreLogic. All rights reserved

Customer

Customer

Company Name : First American Title Insurance Company

Name : Kariann Keomaka

Details of Comparables

Owner Name: Glenn James /Newhouse Brenda APN / Alternate APN: 133-40-0270 / Deed Type: Warranty Deed Land Use: Condominium Subdivision / Tract: Las Solanas Twnhs / Lot Size: 1,657 Year Built / Eff: 1974 / Rec. Date / Price: 12/20/2021 / $192,500 Living Area: 1,033

# of units: Document #: 3540740 Bedrooms: Pool: Total Tax Value: $103,651 Bath(F/H): /

Owner Name: Rosen Andrew / APN / Alternate APN: 133-40-0280 / Deed Type: Warranty Deed Land Use: Condominium Subdivision / Tract: Las Solanas Twnhs / Lot Size: 1,552 Year Built / Eff: 1974 / Rec. Date / Price: 06/24/2022 / $202,500 Living Area: 1,033

APN / Alternate APN: 133-40-0460 / Deed Type: Warranty Deed Land Use: Condominium Subdivision / Tract: Las Solanas Twnhs / Lot Size: 1,421 Year Built / Eff: 1973 / Rec. Date / Price: 10/13/2021 / $205,000 Living Area: 1,033

#2   952 N Camino Las Solanas Tucson Az 85710

Land Use: Condominium Subdivision / Tract: Las Solanas Twnhs / Lot Size: 1,549 Year Built / Eff: 1974 / Rec. Date / Price: 06/21/1974 / $ Living Area: 1,033

© 2022 CoreLogic. All rights reserved

Customer Name : Kariann Keomaka

# of units: Document #: 4793-24 Bedrooms: Pool: Total Tax Value: $103,138 Bath(F/H): /

Land Use: Condominium Subdivision / Tract: Las Solanas Twnhs / Lot Size: 1,529

# of units: Document #: 2860235 Bedrooms: Pool: Total Tax Value: $102,050 Bath(F/H): /

#3   941 N Camino Las Solanas Tucson Az 85710

Owner Name: Powers Thomas / APN / Alternate APN: 133-40-0260 /

Year Built / Eff: 1974 / Rec. Date / Price: 08/16/2022 / $191,425 Living Area: 1,033 # of units: Document #: 2280372 Bedrooms: Pool: Total Tax Value: $103,039 Bath(F/H): /

#4   1057 N Via Primavera Tucson Az 85710

#1   961 N Camino Las Solanas Tucson Az 85710

Customer Company Name : First American Title Insurance Company Prepared On : 09/15/2022

Owner Name: Hagen Kathryn /Shirley Darby APN / Alternate APN: 133-40-0250 / Deed Type: Warranty Deed

# of units: Document #: 1750771 Bedrooms: Pool: Total Tax Value: $104,489 Bath(F/H): /

Subject Property: 957 N Camino Las Solanas Tucson Az 85710

Owner Name: Asghar Sohail /Asghar Pamela L

Deed Type: Deed (reg)

Deed Type: Warranty Deed Land Use: Condominium Subdivision / Tract: Las Solanas Twnhs / Lot Size: 1,556 Year Built / Eff: 1973 / Rec. Date / Price: 04/01/2022 / $215,000 Living Area: 1,033 # of units: Document #: 910919 Bedrooms: Pool:

Bedrooms: Pool: Total Tax Value: $103,476 Bath(F/H): /

# of units: Document #: 1240673

Land Use: Condominium Subdivision / Tract: Summertree Condo / Lot Size: 478 Year Built / Eff: 1984 / Rec. Date / Price: 03/03/2022 / $180,000 Living Area: 1,145

#7   1046 N Via Terrado Tucson Az 85710

Owner Name: Druse Rentals Llc / APN / Alternate APN: 133-40-0550 / Deed Type: Warranty Deed Land Use: Condominium Subdivision / Tract: Las Solanas Twnhs / Lot Size: 1,504 Year Built / Eff: 1974 / Rec. Date / Price: 05/31/2022 / $195,000 Living Area: 1,016 # of units: Document #: 1510264 Bedrooms: Pool: Total Tax Value: $102,915 Bath(F/H): /

#8   963 N Via Verano Tucson Az 85710

Owner Name: Makki Mahla / APN / Alternate APN: 133-40-0820 / Deed Type: Warranty Deed Land Use: Condominium Subdivision / Tract: Las Solanas Twnhs / Lot Size: 1,529 Year Built / Eff: 1975 / Rec. Date / Price: 09/24/2021 / $190,000 Living Area: 1,016 # of units: Document #: 2671077

Customer Name : Kariann Keomaka

Owner Name: Pfalzer James L / APN / Alternate APN: 133-40-0040 /

Bedrooms: Pool: Total Tax Value: $89,411 Bath(F/H): /

Owner Name: Hedgcock Jennifer N / APN / Alternate APN: 133-40-0420 /

#6   1080 N Camino Las Solanas Tucson Az 85710

Total Tax Value: $99,750 Bath(F/H): /

#9   1041 N Via Verano Tucson Az 85710

Year Built / Eff: 1975 / Rec. Date / Price: 05/04/2022 / $230,000 Living Area: 1,016

Bedrooms: Pool: Total Tax Value: $103,376 Bath(F/H): /

#5   1089 N Via Primavera Tucson Az 85710

Owner Name: Martinez Annette M /

#10   7964 E Colette Cir # 208 Tucson Az 85710

Deed Type: Warranty Deed Land Use: Condominium Subdivision / Tract: Las Solanas Twnhs / Lot Size: 1,471 Year Built / Eff: 1973 / Rec. Date / Price: 07/13/2022 / $235,000 Living Area: 1,033 # of units: Document #: 1940349 Bedrooms: Pool: Total Tax Value: $99,333 Bath(F/H): /

Owner Name: Ramos Pamela A /Ramos Rudy J APN / Alternate APN: 133-40-0940 / Deed Type: Warranty Deed Land Use: Condominium Subdivision / Tract: Las Solanas Twnhs / Lot Size: 1,510

APN / Alternate APN: 133-24-3500 / Deed Type: Warranty Deed

# of units: Document #: 620746

Customer Company Name : First American Title Insurance Company Prepared On : 09/15/2022

© 2022 CoreLogic. All rights reserved

#12   8080 E Speedway Blvd # 703 Tucson Az 85710

# of units: Document #: 320744 Bedrooms: Pool:

Owner Name: Humphrey Michelle /Benhuri Michael

Land Use: Condominium Subdivision / Tract: Summertree Condo / Lot Size: 496 Year Built / Eff: 1984 / Rec. Date / Price: 11/08/2021 / $181,500 Living Area: 1,113 # of units: Document #: 3120943 Bedrooms: Pool: Total Tax Value: $90,028 Bath(F/H): /

Owner Name: Carlton Gary C /Carlton Maggie M APN / Alternate APN: 133-24-1530 / Deed Type: Warranty Deed

Bedrooms: Pool: Total Tax Value: $78,491 Bath(F/H): /

APN / Alternate APN: 133-27-1720 /

#11   7956 E Colette Cir # 183 Tucson Az 85710

Deed Type: Warranty Deed

APN / Alternate APN: 133-24-3250 / Deed Type: Warranty Deed

Owner Name: Ramsay Hope M / APN / Alternate APN: 133-27-1890 / Deed Type: Warranty Deed Land Use: Condominium Subdivision / Tract: Rincon Village / Lot Size: 499 Year Built / Eff: 1985 / Rec. Date / Price: 01/21/2022 / $149,900 Living Area: 1,032

# of units: Document #: 210604

Owner Name: New Pine Belt Llc /

Total Tax Value: $78,491 Bath(F/H): /

#15   8080 E Speedway Blvd # 710 Tucson Az 85710

#16   8080 E Speedway Blvd # 609 Tucson Az 85710

Customer Name : Kariann Keomaka

#13   7904 E Colette Cir # 11 Tucson Az 85710

Land Use: Condominium Subdivision / Tract: Summertree Condo / Lot Size: 674 Year Built / Eff: 1984 / Rec. Date / Price: 04/12/2022 / $170,000 Living Area: 995 # of units: Document #: 1020121 Bedrooms: Pool: Total Tax Value: $81,981 Bath(F/H): /

Owner Name: Martinez Yolanda / APN / Alternate APN: 133-27-1820 /

Owner Name: Vaughn Gail R & Daniel J /Vaughn Gail R & Daniel J APN / Alternate APN: 133-24-3340 / Deed Type: Warranty Deed Land Use: Condominium Subdivision / Tract: Summertree Condo / Lot Size: 639 Year Built / Eff: 1984 / Rec. Date / Price: 06/24/2022 / $192,000 Living Area: 1,145 # of units: Document #: 1750611 Bedrooms: Pool:

Customer Company Name : First American Title Insurance Company Prepared On : 09/15/2022

© 2022 CoreLogic. All rights reserved

Total Tax Value: $92,291 Bath(F/H): /

Land Use: Condominium Subdivision / Tract: Rincon Village / Lot Size: 463 Year Built / Eff: 1985 / Rec. Date / Price: 02/01/2022 / $142,000 Living Area: 1,032

#14   7957 E Colette Cir Tucson Az 85710

Deed Type: Warranty Deed Land Use: Condominium Subdivision / Tract: Rincon Village / Lot Size: 461 Year Built / Eff: 1985 / Rec. Date / Price: 11/30/2021 / $145,000 Living Area: 886 # of units: Document #: 3341421 Bedrooms: Pool: Total Tax Value: $69,146 Bath(F/H): /

#18   8080 E Speedway Blvd # 812 Tucson Az 85710

#20   8080 E Speedway Blvd # 908 Tucson Az 85710

#17   7909 E Colette Cir # 27 Tucson Az 85710

Owner Name: Russell Suzette / APN / Alternate APN: 133-24-1690 / Deed Type: Warranty Deed Land Use: Condominium Subdivision / Tract: Summertree Condo / Lot Size: 701 Year Built / Eff: 1984 / Rec. Date / Price: 08/04/2022 / $223,000 Living Area: 1,113 # of units: Document #: 2160255 Bedrooms: Pool: Total Tax Value: $90,028 Bath(F/H): /

#19   7952 E Colette Cir # 167 Tucson Az 85710

Customer Name : Kariann Keomaka

© 2022 CoreLogic. All rights reserved

Owner Name: Rockov Robert A / APN / Alternate APN: 133-24-3090 / Deed Type: Warranty Deed Land Use: Condominium Subdivision / Tract: Summertree Condo / Lot Size: 710 Year Built / Eff: 1984 / Rec. Date / Price: 04/08/2022 / $182,000 Living Area: 995 # of units: Document #: 980310 Bedrooms: Pool: Total Tax Value: $81,981 Bath(F/H): /

Customer Company Name : First American Title Insurance Company Prepared On : 09/15/2022

Owner Name: Jandel Realty Llc / APN / Alternate APN: 133-27-2070 / Deed Type: Warranty Deed Land Use: Condominium Subdivision / Tract: Rincon Village Twnhs Resub / Lot Size: 500 Year Built / Eff: 1985 / Rec. Date / Price: 01/07/2022 / $129,150 Living Area: 886

# of units: Document #: 70163 Bedrooms: Pool: Total Tax Value: $69,146 Bath(F/H): /

Owner Name: Mogos Dawit / APN / Alternate APN: 133-27-2190 / Deed Type: Warranty Deed Land Use: Condominium Subdivision / Tract: Rincon Village / Lot Size: 391 Year Built / Eff: 1985 / Rec. Date / Price: 05/17/2022 / $170,000 Living Area: 1,032 # of units: Document #: 1370510 Bedrooms: Pool: Total Tax Value: $78,491 Bath(F/H): /

Subject Property :   957 N Camino Las Solanas Tucson AZ 85710 Customer Name : Kariann Keomaka Customer Company Name : First American Title Insurance Company Prepared On : 09/15/2022 © 2022 CoreLogic. All rights reserved

© 2022 CoreLogic. All rights reserved

Prepared On : 09/15/2022

Customer Name : Kariann Keomaka

Customer Company Name : First American Title Insurance Company

20

11

350

ELEMENTARY 10105

51 ALTAR

13

10 AMPHITHEATER UNIFIED 701

WAnamax Mine Rd dRhRiGWacaanc Road424 WRagged Top Rd W Ruby Star Dr WBritten RanchRd W Pima Mine Rd S Mcgee RanchRd E Edw n Rd SGuildRd 80 NKINNEYRD SPICACHOHWYE BAUMGARTNER RD SNANDARIORDNANWAYRD W VALENCIA RD W MOORE RD W INA RD ESN1TAV E SUNRISE DR E SNYDER RDNSILVERBELLRD TRSNOLDIERLE RIVER RDE PRINCE RD E SPEEDWAY BLVD SFREEMANRDE 22ND ST E 22ND ST W IRVINGTON RD SNOGALESHWY W VALENCIA RDSMISSIONRDWSPEEDWAY BLVD SOLDSPANISHTRL W NARANJA DR W TWIN PEAKS RD W PICTURE ROCKS RD W MANVILLE RD SKINNEYRD W MILE WIDE RD E SAHUARITA RD NTRICORD OSSANDARRD PARK LINK DR SOLDNOGALESHWY GUOSHHTONRD ADCSLAANADRW HELMET PEAK RD WAJOHWY RNASNWD RDKOLBS SHOUGHTONRD W TANGERINE RD E GRANT RD SHOUGHTONRD 95 WAJOHWY E VALENCIA RD NORACLERD I-10 I-19 77 77 77 86 86 286 10 19 10 10 Corona de Tucson AdobesCasas Catalina Green Valley Oracle Picture Rocks Three Points VailSummit TanqueVerde SahuaritaTucson Red Rock Saddlebrooke Marana Oro Valley Rillito SummerhavenWillow Canyon Oracle Junction Cortaro Continental Littletown 20 30 13 15 51 39 12 01 01 08 10 16 11 06 PIMA COUNTY School District Information This map is provided for general location only. Please contact school districts for actual street boundaries SCHOOL DISTRICTS 15 AJO

TANQUE VERDE UNIFIED 2300 N. Tanque Verde Loop, Tucson, AZ 85749 520.749.5751 TUCSON UNIFIED 1010 E. 10th Street, Tucson, AZ 85717 520.225.6000 VAIL UNIFIED 10701 E. Mary Ann Cleveland Way, Tucson, AZ 85747 520.879.2000

111

39

08

30

E Hemlock Dr BNearCanyonRdW E Camino Del Cerro E Fairmount St SSwanRd NFrontageRd W Emigh Rd W Fort Lowe Rd dSPNumptationR E Nona Rd Ch efButteRd Lo al Ave NTricoRd SCattleTankRd Evalyn Rd SOwlHeadRanchRdGasLineRd PSecanRd NTrcoRd W Bayard Rd dRSSandaro WillowSpringsRd N Dove Mountain Blvd

12

16 CATALINA

UNIFIED 2101

01

EDesertDove

SHelvetiaRdUNIFIED N. Well Road, Ajo, AZ 85321 520.387.5618 VALLEY S. Sasabe Road, Tucson, AZ 85736 520.822.1484 W. Wetmore, Tucson, AZ 85705 520.696.5000 FOOTHILS E. River Road, Tucson, AZ 85718 520.209.7500 CONTINENTAL ELEMENTARY 1991 E. Whitehouse Canyon, Green Valley, AZ 85614 520.625.4581 FLOWING WELLS UNIFIED 1556 W. Prince Road, Tucson, AZ 85705 520.696.8800 MARANA UNIFIED 11279 W. Grier Road, Marana, AZ 85653 520.682.3243 PIMA COUNTY JTED 2855 W. Master Pieces Dr, Tucson, AZ 85741 520.352.5833 SAHUARITA UNIFIED W. Sahuarita Road, Sahuarita, AZ 85629 520.625.3502 SUNNYSIDE UNIFIED 2238 E. Ginter Road, Tucson, AZ 85706 520.545.2000

06

05249570321 AIRPORTINT'LTUCSON Air Force WSilverbellRd SSantaRitaRd NMtLemmon Hwy ESascoRd NF38 W Avra Valley Rd E Grand Va ey DrNAguirreRd dRkLNuce dRWNentzNWatermanMountainRd RdAnwayN W El Tiro Rd NTricoRd W Tucker Rd W Rudas l Rd W Manvi e Rd SSanJoaquinRdWBopp Rd W Snyder H l RddRSMarsear W Park Rd W Hermans RdW Hermans Rd W Guy St W Bush Rd SGaveyRd eaCNRinconado SWmoRd SShawRd SSierritaMountainRd SKobRdW TwinButtes Rd W Mcgee Ranch Rd ESstancaDr

First American Title Insurance Company, and the operating divisions thereof, make no express or implied warranty respecting the information presented and assume no responsibility for errors or omissions. First American, the eagle logo, First American Title, and firstam.com are registered trademarks or trademarks of First American Financial Corporation and/or its affiliates. ©2021 First American Financial Corporation and/or its affiliates. All rights reserved. NYSE: FAF

SchoolsArizona For detailed information and statistics on Arizona schools please go ©2021FirstFirsthttps://azreportcards.azed.gov/toAmericanTitleInsuranceCompany,andtheoperatingdivisionsthereof,makenoexpressorimpliedwarrantyrespectingtheinformationpresentedandassumenoresponsibilityforerrorsoromissions.American,theeaglelogo,FirstAmericanTitle,andfirstam.comareregisteredtrademarksortrademarksofFirstAmericanFinancialCorporationand/oritsaffiliates.FirstAmericanFinancialCorporationand/oritsaffiliates.Allrightsreserved.NYSE:FAF05117910421

© 2022 CoreLogic. All rights reserved

School District : Tucson Unified District (4403)

Hudlow Elementary School Distance 0.95 Miles 502 N Caribe Ave Tucson AZ Telephone :85710(520) 731-4800

Customer Company Name : First American Title Insurance Company

Public Schools :

Lowest Grade : Pre-K Highest Grade : 5th Kindergarten : Yes School Enrollment : Enrollment : 195 Total Expenditure/Student : 200

Lowest Grade : Pre-K Highest Grade : 6th Kindergarten : Yes School Enrollment : Enrollment : 364 Total Expenditure/Student : 200

8310 E Pima St Tucson AZ Telephone :85715(520) 731-3700

School District : Tucson Unified District (4403)

Prepared On : 09/15/2022

Customer Name : Kariann Keomaka

Elementary Schools

Booth Magnet Elementary School Distance 1.37 Miles 450 East Montego Drive Tucson AZ 85710 Telephone : (520) 731-3800

Lowest Grade : K Highest Grade : 5th Kindergarten : Yes School Enrollment : Enrollment : 0 Total Expenditure/Student : 200

Bloom Elementary Distance 1.08 Miles

School District : Tucson Unified District (4403)

© 2022 CoreLogic. All rights reserved

Total Expenditure/Student : 200

Magee Middle School Distance 0.96 Miles

Distance 1.97 Miles

School District : Academy Of Tucson Inc. (78897)

Customer Name : Kariann Keomaka

Booth-fickett Math/science Magnet School

Customer Company Name : First American Title Insurance Company Prepared On : 09/15/2022

Lowest Grade : 5th Highest Grade : 8th Kindergarten : No School Enrollment : Enrollment : 249 Total Expenditure/Student :

Telephone : (520) 731-5000

School District : Tucson Unified District (4403)

School District : Tucson Unified District (4403)

Distance 1.37 Miles

Academy Of Tucson Middle School

7310 E 22nd St Tucson AZ Telephone :85710(520) 749-1413

Middle Schools

450 S Montego Dr Tucson AZ Telephone :85710(520) 731-3800

Lowest Grade : Pre-K Highest Grade : 8th Kindergarten : Yes School Enrollment : Enrollment : 628

Lowest Grade : 6th Highest Grade : 8th Kindergarten : No School Enrollment : Enrollment : 521

Total Expenditure/Student : 200

8300 E Speedway Blvd Tucson AZ 85710

6420 E Broadway Blvd Ste A100 Tucson AZ 85710

Customer Company Name : First American Title Insurance Company

Prepared On : 09/15/2022

Pcjted - Sahuaro High School

Lowest Grade : 9th Highest Grade : 12th School Enrollment : Enrollment : 625

Telephone : (520) 352-5833

Sahuaro High School

School District : Tucson Unified District (4403)

Pima County Jted Distance 1.81 Miles

© 2022 CoreLogic. All rights reserved

Total Expenditure/Student : Advanced Placement : No

Total Expenditure/Student : 200 Advanced Placement : No

Distance 1.4 Miles

Lowest Grade : 8th Highest Grade : 12th School Enrollment : Enrollment : 1695

School District : Pima County Jted (89380)

School District : Eastpointe High School Inc. (78833)

545 N Camino Seco Tucson AZ 85710

545 N Camino Seco Tucson AZ 85710

Lowest Grade : 9th Highest Grade : 12th School Enrollment : Enrollment : 0

Total Expenditure/Student : Advanced Placement : No

Eastpointe High School

Telephone : (520) 731-7100

High Schools

Customer Name : Kariann Keomaka

Distance 1.42 Miles

Telephone : (520) 731-8180

School District : Pima County Jted (89380)

Distance 1.4 Miles

8495 E Broadway Blvd Tucson AZ 85710

Lowest Grade : 9th Highest Grade : 12th School Enrollment : Enrollment : 6

Total Expenditure/Student : Advanced Placement : No

Telephone : (520) 731-7100

Aikido Shoubu Dojo Llc 7649 E Speedway Blvd Tucson Az (520) 490-6181 0.13

Jpmorgan Chase Bank, National Association 7812 E Speedway Blvd Tucson Az (520) 722-7752 0.27

Kim's Restaurant Inc 7699 E Speedway Blvd Tucson Az (520) 298-5030 0.16

© 2022 CoreLogic. All rights reserved

Simply Smiles Dentistry 7780 E Speedway Blvd Tucson Az (520) 368-3351 0.23

Name Address Telephone Distance (Miles)

Rosamund Art Fair Llc 7351 E Spdway Blvd Apt 23 Tucson Az (520) 272-4625 0.32

Banks / Financial

The Pyramid Federal Credit Union 7740 E Speedway Blvd Tucson Az (520) 721-5099 0.19

AttractionsBusiness/Recreation

Name Address Telephone Distance (Miles)

Bk 10352 Llc 7880 E Speedway Blvd Tucson Az (520) 886-5539 0.35

El Potosino Mexican Food 7865 E Speedway Blvd Tucson Az (520) 722-7578 0.34

Health Care Services

Nancy Alexander 7570 E Spdway Blvd Unit 1 Tucson Az (520) 885-0169 0.11

Professional Dental Solutions Pllc 7780 E Speedway Blvd Tucson Az (520) 979-3880 0.23

Customer Name : Kariann Keomaka

Customer Company Name : First American Title Insurance Company Prepared On : 09/15/2022

Local

Sunwest Federal Credit Union 7901 E Speedway Blvd Tucson Az (520) 885-8701 0.41

Neil Russakoff Md 7340 E Speedway Blvd Tucson Az (520) 547-7045 0.28

Name Address Telephone Distance (Miles)

Kung Fu Reflexology Llc 7930 E Speedway Blvd # 13 Tucson Az (626) 371-5999 0.43

Triano Llc 4951 N Avnida De La Clina Tucson Az (520) 288-4544 0.76

Southwest Old Time String Band Assn 7570 E Speedway Blvd # 54 Tucson Az (520) 296-5606 0.11

Starbucks Corporation 7890 E Speedway Blvd Tucson Az (520) 296-1813 0.37

Name Address Telephone Distance (Miles)

Eating / Drinking

Customer Company Name : First American Title Insurance Company Prepared On : 09/15/2022

Tucson East, Llc 7600 E Broadway Blvd Tucson Az (520) 721-5600 0.91

Name Address Telephone Distance (Miles)

Name Address Telephone Distance (Miles)

Performance Fitness Llc 7943 E Mason St Tucson Az (520) 245-8740 0.81

Community Fitness, L.l.c. 6921 E Hawthorne St Tucson Az (520) 390-6782 0.83

Organizations / Associations

Smith's Food & Drug Centers, Inc. 7812 E Speedway Blvd Tucson Az (520) 885-3547 0.27

Hospitality

Name Address Telephone Distance (Miles)

The Roman Catholic Church Of The Diocese Of Tucson 1800 N Camino Pio Decimo Tucson Az (520) 885-3573 0.7

Personal Services

El Camino Baptist Church 7777 E Speedway Blvd Tucson Az (520) 886-7770 0.24

Move It And Lose It 250 N Pantano Rd Ste 100 Tucson Az (520) 250-2081 0.77

Quik Stop Markets 7770 E Speedway Blvd Tucson Az (520) 885-8264 0.22

Shopping

Desert Hope Lutheran Church 7474 E Speedway Blvd Tucson Az (520) 722-9134 0.18

Name Address Telephone Distance (Miles)

Zma Enterprises, Inc. 7543 E Broadway Blvd Tucson Az (520) 829-7969 0.9

Frys Food Store 34 7850 E Speedway Blvd Tucson Az (520) 885-9416 0.32

Warehouse Vitamins Viii Inc 7798 E Speedway Blvd Tucson Az (520) 886-5057 0.24

Good Faith Foreclosure Help L. 8176 E Smooth Sumac Ln Tucson Az (520) 481-7464 0.73

Customer Name : Kariann Keomaka

Stormphoenix Accommodations Llc 4941 E Avnida Del Cazador Tucson Az (520) 990-4065 0.94

Champion Investment Corporation 7600 E Broadway Blvd Tucson Az (520) 721-5600 0.91

Kep Executive Suites, Llc 1610 N Kolb Rd Tucson Az (520) 345-5387 0.91

© 2022 CoreLogic. All rights reserved

Sale Date : 08/09/2022

965 N CAMINO LAS SOLANAS

Total Value : $103,806

949 N CAMINO LAS SOLANAS

Stories : 1 Living Area : 1,033

Yr Blt / Eff Yr Blt : 1974 / APN : 133-40-0300

Subdivision : Las Solanas Twnhs

Land Use : Condominium Lot Acres : 0.03

Bed / Bath : / 3 Property Tax : $1,071.49

Distance 0.01 Miles

Recording Date : 09/05/2003

954 N CAMINO LAS SOLANAS Distance 0.02 Miles

Total Value : $103,833

Lot Acres : 0.04

Stories : 1 Living Area : 1,033

Yr Blt / Eff Yr Blt : 1974 / APN : 133-40-0250

Distance 0.01 Miles

Subdivision : Las Solanas Twnhs Sale Date : 09/02/2003

Recording Date : 08/16/2022

Recording Date : 07/02/2012

Sale Price  : $85,000

Sale Price  : $90,000

Sale Date : 06/26/2012

Land Use : Condominium

Customer Name : Kariann Keomaka

Land Use : Condominium

© 2022 CoreLogic. All rights reserved

Property Tax : $1,219.59

Owner Name : Hagen Kathryn

Yr Blt / Eff Yr Blt : 1974 / APN : 133-40-0230

Customer Company Name : First American Title Insurance Company Prepared On : 09/15/2022

Lot Acres : 0.04

Owner Name : Mera-colan Guillermo

Bed / Bath : / 3 Property Tax : $1,210.39

Subdivision : Las Solanas Twnhs

Stories : 1 Living Area : 1,033

Bed / Bath : / 3

Owner Name : Friedman Jacob Eric

Yr Blt / Eff Yr Blt : 1974 / APN : 133-40-0240

Owner Name : Riesgo David

Sale Price  : $57,325

Total Value : $103,039

Land Use : Condominium Lot Acres : 0.04

Bed / Bath : / 3 Property Tax : $1,067.26

Total Value : $104,278

961 N CAMINO LAS SOLANAS

Stories : 1 Living Area : 1,033

Subdivision : Las Solanas Twnhs

Distance 0.02 Miles

Recording Date : 07/15/1994

Sale Date : 07/00/1994

Sale Price  : $191,425

Recording Date : 10/16/2006

Customer Company Name : First American Title Insurance Company Prepared On : 09/15/2022

Distance 0.02 Miles

Subdivision : Las Solanas Twnhs

Distance 0.03 Miles

Bed / Bath : / 3 Property Tax : $1,234.29

© 2022 CoreLogic. All rights reserved

Total Value : $105,639

Subdivision : Las Solanas Twnhs

945 N CAMINO LAS SOLANAS

Total Value : $103,389

Sale Date : 08/27/2021

Recording Date : 06/24/2022

Bed / Bath : / 3 Property Tax : $1,080.68

Yr Blt / Eff Yr Blt : 1974 / APN : 133-40-0310

Customer Name : Kariann Keomaka

Distance 0.02 Miles

Sale Date : 03/16/2000

Owner Name : Rosen Andrew

Owner Name : Al-saffar Riyadh

974 N CAMINO LAS SOLANAS

Sale Price  : $179,000

Yr Blt / Eff Yr Blt : 1974 / APN : 133-40-0190

Recording Date : 08/31/2021

Bed / Bath : / 3 Property Tax : $1,069.04

Distance 0.03 Miles

Yr Blt / Eff Yr Blt : 1974 / APN : 133-40-0280

Stories : 1 Living Area : 1,033

Subdivision : Las Solanas Twnhs

Sale Date : 10/10/2006

Total Value : $104,489

Stories : 1 Living Area : 1,033

Recording Date : 03/29/2000

958 N CAMINO LAS SOLANAS

Sale Price  : $76,500

Sale Date : 06/17/2022

Subdivision : Las Solanas Twnhs

Land Use : Condominium Lot Acres : 0.04

941 N CAMINO LAS SOLANAS

Total Value : $104,489

Bed / Bath : / 3 Property Tax : $550.82

Owner Name : Powers Cynthia L

Yr Blt / Eff Yr Blt : 1974 / APN : 133-40-0200

Land Use : Condominium Lot Acres : 0.04

Lot Acres : 0.04

Stories : 1 Living Area : 1,033

Land Use : Condominium Lot Acres : 0.03

Stories : 1 Living Area : 1,033

Sale Price  : $202,500

Sale Price  : $160,000

Land Use : Condominium

Owner Name : Mann Ruth

Bed / Bath : / 3 Property Tax : $1,071.24

Sale Price  : $94,000

Recording Date : 06/03/2003

1001 N CAMINO LAS SOLANAS

Stories : 1 Living Area : 1,033

Customer Name : Kariann Keomaka

Lot Acres : 0.03

Total Value : $103,830

Subdivision : Las Solanas Twnhs

Sale Price  : $115,925

Land Use : Condominium

Bed / Bath : / 3 Property Tax : $1,075.39

Owner Name : Rieck Cynthia

Prepared On : 09/15/2022

Owner Name : Zoref Claude L

Total Value : $103,788

Recording Date : 12/28/2017

Sale Date : 12/22/2017

950 N CAMINO LAS SOLANAS

Distance 0.03 Miles

Distance 0.03 Miles

© 2022 CoreLogic. All rights reserved

Land Use : Condominium

Customer Company Name : First American Title Insurance Company

Lot Acres : 0.04

Subdivision : Las Solanas Twnhs

Yr Blt / Eff Yr Blt : 1973 / APN : 133-40-0340

Sale Date : 05/21/2003

Yr Blt / Eff Yr Blt : 1974 / APN : 133-40-0220

Stories : 1 Living Area : 1,033

Population Population by Age

$300 - $799: 56.26% $100,000 - $150,000: 10.93%

Housing

© 2022 CoreLogic. All rights reserved

Current Year: 1,707 0 - $25,000 42.65%

Under $300: 19.59% Below $100,000: 67.31%

Unmarried People: 58.15%

Estimate in 5 Years: 1,565 $35,000 - $50,000 21.27%

Growth Last 10 Years: -6.82% $75,000 - $100,000 7.44%

$800 - $1,999: 24.15% $150,000 - $200,000: 15.03% Over $2,000: 0% $200,000 - $300,000: 1.94%

Unit Occupied Owner: 51.44% Above $500,000: 0.8%

Estimate in 5 Years: 2,354 18 - 24 7.06%

Growth Last 10 Years: -56.06% 65 - 74 22.57% 75+

Average Current Year: 1.45 $25,000 - $35,000 9.55%

Median Mortgage: $471

Growth Last 5 Years: 9.84% $50,000 - $75,000 15.11%

Female Population: 49.6% Average Household Income: $32,386

Median Home Value: $71,800 $300,000 - $500,000: 3.99%

Count: 2,494 0 - 11

Median Mortgage Payments Home Values

Estimate Current Year: 2,465 12 - 17

Growth Last 5 Years: 2.89% 25 - 64 39.13%

Customer Name : Kariann Keomaka

Male Population: 50.4% Above $100,000 3.98%

Household

Census Tract / block: 40.39 / 1     Year: 2018

Household Size Household Income

Married People: 41.85%

Customer Company Name : First American Title Insurance Company Prepared On : 09/15/2022

Customer Name : Kariann Keomaka

Sales: 28.84% Self Employed Worker: 2.23%

Administrative: Unpaid Family Worker: 4.22%

Customer Company Name : First American Title Insurance Company Prepared On : 09/15/2022

Year Built

© 2022 CoreLogic. All rights reserved

Less Than $499 2.71% 1990 - 1994

Private Pre-Primary School: 0% Not A High School Graduate: 6.17%

Protective Services: Blue-Collar: 20.16%

Less Than 15 Min: 32.94%

Median Gross Rent: $668 1995 - 1998

15 min - 28 min: 36.99%

30 min - 57 min: 28.24%

Technical: Government Worker: 15.47%

Enrollment

$750 - $999 14.9% 1970 - 1979 26.89%

Commute Time

$500 - $749 72.78% 1980 - 1989 20.89%

Occupation:

Service: 22.74% Skilled:

Private School: 0% Attended Some College: 26.05%

Over 60 min: 1.83%

$1000 and Over 9.61% 1900 - 1969 11.57%

Public School: 7.77% Graduate Of High School: 26.52%

Education

Unit Occupied Renter: 48.56% 1999 - 2000

Public Pre-Primary School: 0% Not Enrolled in School: 92.23%

Public College: 2.37% College Graduate: 30.73%

Workforce

Rent Payments

Private College: 0% Graduate Degree: 10.52%

Private House Hold: Farming: 8.09%

Manager/Prof: 28.25% Private Worker: 67.76%

© 2022 CoreLogic. All rights reserved

Customer Name : Kariann Keomaka

Customer Company Name : First American Title Insurance Company

Prepared On : 09/15/2022

Customer Name : Kariann Keomaka

Prepared On : 09/15/2022

© 2022 CoreLogic. All rights reserved

Customer Company Name : First American Title Insurance Company

© 2022 CoreLogic. All rights reserved

Prepared On : 09/15/2022

Customer Company Name : First American Title Insurance Company

Customer Name : Kariann Keomaka

Page 1 of 2 09/15/2022 9:27 AM

Page 2 of 2 09/15/2022 9:27 AM

Page 1 of 3 09/15/2022 9:27 AM

Page 2 of 3 09/15/2022 9:27 AM

Page 1 of 2 09/15/2022 9:27 AM

Page 1 of 3 09/15/2022 9:27 AM

Page 2 of 3 09/15/2022 9:27 AM

Page 3 of 3 09/15/2022 9:27 AM

Page 1 of 3 09/15/2022 9:27 AM

Page 2 of 3 09/15/2022 9:27 AM

Page 3 of 3 09/15/2022 9:27 AM

Page 1 of 9 09/15/2022 9:27 AM

Page 2 of 9 09/15/2022 9:27 AM

Page 3 of 9 09/15/2022 9:27 AM

Page 4 of 9 09/15/2022 9:27 AM

Page 5 of 9 09/15/2022 9:27 AM

Page 6 of 9 09/15/2022 9:27 AM

Page 7 of 9 09/15/2022 9:27 AM

Page 8 of 9 09/15/2022 9:27 AM

Page 9 of 9 09/15/2022 9:27 AM

PHYSICAL CONDITION

INTEREST

PLAT: LOT 00023 BLOCK 001 LEGAL: LAS SOLANAS TOWNHOUSES LOT 23 BLK 1 & 1/48 UND INT IN COMMON AREA

CURRENT TAXES

+ FIRST AMERICAN TITLE, FC0, KWAL PIMA, AZ 09/15/2022  08:21AM  TCI1  INVESTIGATIVE SEARCH RESULTS PAGE 1 OF 1

2021  TAX AMT TAX DUE DATE PAID TOTAL DUE FIRST HALF  533.90  533.90  78.31  612.21  SECOND HALF  533.89  533.89  35.59  569.48

2021 TOTAL TAX BILLED 1,067.79

OWNER: POWERS THOMAS     12224 4592 01/26/2004

SITUS: 957 N CAMINO LAS SOLANAS TUC

IMPROVEMENTS

TOTAL CURRENT TAXES DUE 09/22 1,181.69 10/22 1,195.92 (ESTIMATED)

PRIMARY  8,297  0  0  11.6619  0150 SECONDARY  50  10,264  0  2.8778

PARCEL:  133-40-0260

END SEARCH

BELOW AVE BLDG SQFT  1,033 FULL CASH VALUE  103,138 YEAR BUILT  1974 LAND USE  07 30 NUMBER OF STORIES  4.0 LOT SIZE  1 STDLT STORIES HEIGHT  0 SCHOOL DISTRICT  0150 EXTERIOR WALLS  STUCCO LAND FULL CASH VALUE  502 GRADE MATERIALS IMPR FULL CASH VALUE  102,636 SALES NO SALES ADDITIONAL PROPERTY INFORMATION STANDARD LAND USE: CONDOMINIUM

MAIL: 957 N CAMINO LAS SOLANAS  TUCSON AZ 85710-8828

SEARCH PARAMETERS

INSTRUMENT REC DATE

INFORMATION THROUGH 07/28/2022 LAND IMPR EXEMPT RATE AREA SPECIAL DISTRICTS

PARCEL: 133-40-0260

RESIDENTIAL

Thank you for the opportunity to be of service.

Restrictions indicating a preference, limitation or discrimination based on race, color, religion, sex, handicap, familial status, or national origin are hereby deleted to the extent such restrictions violate 42 USC 3604(c).

ConditionsCovenants,&Restrictions

This information is furnished without fee and without benefit of a complete title search. No liability is assumed by First American Title or Title Security. If it is desired that liability be assumed, you may apply for a policy of title insurance with First American Title Insurance Company.

to the Title & Escrow Process in Arizona Home Seller’s Guide

Southwest Gas www.swgas.com1.877.860.6020 Cox www.cox.com602.277.1000 Direct TV www.directv.com1.888.777.2454 Dish Network www.dishnetwork.com1.800.823.4929 CenturyLink www.centurylink.com800.366.8201 AT&T www.att.com1.800.222.0300 Verizon www.connecttoverizon.com1.877.300.4498 Salt River Project www.srpnet.com602.236.8888 APS www.aps.com602.371.7171 Your Escrow Number Your New City/State/ZipAddress Real Estate Agent Name Email Assistant Email Company Phone Address Fax Insurance CompanyPrevious Phone Previous Agent No.Policy New Company Phone New Agent No.Policy Home CompanyWarranty No.Policy First American Title Escrow Officer Email Escrow Assistant Email Address Phone City/State/Zip Fax 02 Quick Reference 03 Welcome 04 Benefits of Using a REALTOR ® 05 Key Professionals 06 Preparing Your Home for Sale 07 Staging Your Home for Show 09 Terms You Should Know 10 The Life of an Escrow 11 Closing Costs: Who Pays What 12 The Escrow Process 14 Understanding Title Insurance 16 Consider This 17 Closing Your Escrow 18 Planning Your Move Q uick Reference Table of Contents Utilities and Services

Count On Us For Convenience

Count On Us For Stability

AZ Sellers Guide | 3

Count on First American Title

First American Financial Corporation offers more than title insurance and escrow services through its subsidiaries. Our subsidiaries also provide property data, title plant records and images, home warranties, property and casualty insurance, and banking, trust and advisory services.

First American Title has a direct office or agent near you, offering convenient locations throughout Arizona. We also have an extensive network of offices and agents throughout the United States, and internationally.

Count On Us To Meet Your Needs

Welcome to the home-selling process. Throughout this process, you can count on First American Title to guide you smoothly through your transaction and provide expert answers to your questions. We are happy to serve you.

First American Title is the principal subsidiary of First American Financial Corporation, and one of the largest suppliers of title insurance services in the nation. With roots dating back to 1889, we’ve served families for generations.

First American Title’s professionals are proud to provide the title insurance that assures people’s home ownership. Backed by First American Title Insurance Company, your transaction will be expertly completed in accordance with state-specific underwriting standards and state and federal regulatory requirements.

Count On Us For Service

› Can help protect your rights, particularly important with the increasingly complicated real estate laws and regulations.

FOR SALE BY OWNER

- aware that prospective buyers and bargain hunters will expect you to lower your cost because there’s no REALTOR® involved?

› Knows how to price your home realistically, to give you the highest price possible within your time frame.

› Maintains errors-and-omissions insurance.

- concerned about having strangers walking through your home?

› Is experienced in creating demand for homes and how to show them to advantage.

- understand the various types of loans buyers may choose and the advantages and disadvantages for the seller?

- have the knowledge, patience, and sales skills needed to sell your home?

- know how to determine whether or not a buyer can qualify for a loan?

Are you...

- aware that every time you leave your home, you are taking it off the market until you return?

- prepared to give up your evenings and weekends to show your home to potential buyers and “just-looking” time wasters?

› Will listen to your needs, respect your opinions and allow you to make your own decisions.

› Can remain objective when presenting offers and counter-offers on your behalf.

- have arrangements with an escrow and title company, home warranty company, pest-control service and lender to assist you with the transaction?

› Knows how to go toe-to-toe in negotiations.

- understand the steps of an escrow and what’s required of you and the buyer?

- aware of conditions in the marketplace today that affect value and length of time to sell?

Before you make the decision to try to sell your home alone, consider the benefits a REALTOR ® can provide that you may not be aware of.

AZ Sellers Guide |

› Can advertise effectively for the best results.

A REALTOR ® :

› Is always “on-call,” answering the phone at all hours, and showing homes evenings and weekends.

Do you...

- know how to determine your home’s current market value?

Many people believe they can save a considerable amount of money by selling their homes themselves. It may seem like a good idea at the time, but while you may be willing to take on the task, are you qualified? The following are some questions to help you realistically assess what’s involved.

- need to hire a real estate attorney? If so, do you know what the cost will be and how much liability they will assume in the transaction?

- know how to advertise effectively and what the costs will be?

› Knows how to screen potential buyers and eliminate those who can’t qualify or are looking for bargain-basement prices.

- familiar enough with real estate regulations to prepare a binding sales contract? Counter-offers?

› Understands market conditions and has access to information not available to the average homeowner.

› Is experienced with resolving problems to facilitate a successful closing on your home.

Only you can determine whether you should attempt to sell your home—probably your largest investment—all alone. Talk with a REALTOR® before you decide. You may find working with a professional is a lot less expensive and much more beneficial than you ever imagined!

Benefits4 of using a Professional REALTOR ®

BUYER'S AGENT

REALTOR ®

TITLE COMPANY

LISTING AGENT

A real estate agent is licensed by the state to represent parties in the transfer of property. Every REALTOR ® is a real estate agent, but not every real estate agent has the professional designation of a REALTOR.®

REAL ESTATE AGENT

AZ Sellers Guide | 5

An escrow officer leads the facilitation of your escrow, including escrow instructions preparation, document preparation, funds disbursement, and more.

Key Professionals Involved in Your Transaction

ESCROW OFFICER

These are the people who carry out the title search and examination, work with you to eliminate the title exceptions you are not willing to take subject to, and provide the policy of title insurance regarding title to the real property.

The MLS is a database of properties listed for sale by REALTORS ® who are members of the local Association of REALTORS.® Information on an MLS property is available to thousands of REALTORS ®

MULTIPLE LISTING SERVICE (MLS)

A key role of the listing agent or broker is to form a legal relationship with the homeowner to sell the property and place the property in the Multiple Listing Service.

A REALTOR ® is a licensed real estate agent and a member of the National Association of REALTORS,® a real estate trade association. REALTORS ® also belong to their state and local Association of REALTORS.®

A key role of the buyer’s agent or broker is to work with the buyer to locate a suitable property and negotiate a successful home purchase.

Check the pool and/or spa equipment and pumps. Make sure all are working properly and that the pool and/or spa are kept clean.

Remove any oil and rust stains from the driveway and garage.

Brighten the appearance inside by painting walls, cleaning windows and window coverings, and removing sunscreens.

Remove clutter throughout the house. Organize and clean out closets.

Air conditioners/heaters, evaporative coolers, hot water heater should be clean, working and inspected if necessary. Replace filters.

First impressions have a major impact on potential buyers. Try to imagine what potential buyers will see when they approach your house for the first time and walk through each room. Ask your REALTOR ® for advice; they know the marketplace and what helps a home sell. Here are some tips to present your home in a positive manner:

Ensure that all exterior lights are working.

Check stucco walls for cracks and discoloration.

Clean household appliances and make sure they work properly.

AZ Sellers Guide | 6

Clean and organize the garage, and ensure the door is in good working order.

Shampoo carpeting or replace if worn. Clean tile floors, particularly the caulking.

Repair leaky faucets and caulking in bathtubs and showers.

Repair or replace worn shutters and other exterior trim.

Paint or replace the mailbox, if needed.

Mow and edge the lawn regularly, and trim the shrubs.

Inspect fences, gates and latches. Repair or replace as needed.

Rearrange furniture to make rooms appear larger. If possible, remove and/or store excess furniture, and avoid extension cords in plain view.

Make your entry inviting: Paint your front door and buy a new front door mat.

Make sure toilet seats look new and are firmly attached.

Repair or replace loose knobs on doors and cabinets. If doors stick or squeak, fix them.

Make sure the front steps are clear and hazard-free. Make sure the doorbell works properly and has a pleasant sound.

If screens or windows are damaged, replace or repair them.

Repair or replace loud ventilating fans. Replace worn shower curtains.

YOURFORPREPARINGSALEHOME

Get rid of odors such as tobacco, pets, cooking, etc., but don’t overdo air fresheners or potpourri. Fresh baked bread and cinnamon can make a positive impact.

If possible you, your pets, and your children should be gone while your home is being Cleanshown.trash

If you must be present while your home is shown, keep noise down. Turn off the TV and radio. Soft, instrumental music is fine, but avoid vocals.

Stash or throw out newspapers, magazines, junk mail.

Staging your home for Show

AZ Sellers Guide | 7

Keep the garage door closed and the driveway clear. Park autos and campers away from your home during showings

Make beds with attractive spreads.

Keep everything clean. A messy or dirty home will cause prospective buyers to notice every flaw.

Let the light in. Raise shades, open blinds, pull back the curtains and turn on the lights.

Send pets away or secure them away from the house, and be sure to clean up after them.

cans and put them out of sight.

Hang clean attractive guest towels in the bathrooms.

Clear all clutter from counter tops.

Check that sink and tub are scrubbed and unstained.

Close the windows to eliminate street noise.

To make the best impression, keep your home clean, neat, uncluttered and in good repair. Please review this list prior to each showing:

AZ Sellers Guide | 8

A payment that includes Principal, Interest, Taxes, and Insurance.

Power of Attorney

Filing documents affecting real property with the appropriate government agency as a matter of public record.

An estimate of value of property resulting from analysis of facts about the property; an opinion of value.

Generally the date the buyer becomes the legal owner and title insurance becomes effective.

A form of encumbrance that usually makes a specific parcel of real property the security for the payment of a debt or discharge of an obligation. For example, judgments, taxes, mortgages, deeds of trust.

Form designed to provide disclosures that will be helpful to borrowers in understanding the key features, costs and risks of the mortgage loan for which they are applying. Initial disclosure to be given to the borrower three (3) business days after application.

Mortgage

TRID

TILA-RESPA Integrated Disclosures

Close of Escrow

Deed Restrictions

PITI

Comparable Sales

Recording

Terms You Should Know

Settlement statement

Annual Percentage Rate (APR)

An instrument used in many states in place of a mortgage.

Endorsement

The borrower’s costs of the loan term expressed as a rate. This is not their interest rate.

Real estate insurance protecting against fire, some natural causes, vandalism, etc., depending upon the policy. Buyer often adds liability insurance and extended coverage for personal property.

Easement

The date the amounts are to be disbursed to a buyer and seller in a purchase transaction or the date funds are to be paid to the borrower or a third party in a transaction that is not a purchase transaction.

Consummation

Provides a complete breakdown of costs involved in a real estate transaction.

The instrument by which real property is pledged as security for repayment of a loan.

Hazard Insurance

Appraisal

Limitations in the deed to a parcel of real property that dictate certain uses that may or may not be made of the real property.

Legal Description

Lien

Impounds

Beneficiary

Closing Disclosure (CD)

Closing Disclosure form designed to provide disclosures that will be helpful to borrowers in understanding all of the costs of the transaction. This form will be given to the consumer three (3) business days before closing.

Sales that have similar characteristics as the subject real property, used for analysis in the appraisal. Commonly called “comps.”

A written instrument whereby a principal gives authority to an agent. The agent acting under such a grant is sometimes called an “Attorney-in-Fact.”

Earnest Money Deposit

Occurs when the borrower becomes contractually obligated to the creditor on the loan, not, for example, when the borrower becomes contractually obligated to a seller on a real estate transaction. The point in time when a borrower becomes contractually obligated to the creditor on the loan depends on applicable State law. Consummation is not the same as close of escrow or settlement.

Deed of Trust

Disbursement Date

As to a title insurance policy, a rider or attachment forming a part of the insurance policy expanding or limiting coverage.

AZ Sellers Guide | 9

Down payment made by a purchaser of real property as evidence of good faith; a deposit or partial payment.

A right, privilege or interest limited to a specific purpose that one party has in the land of another.

A trust type of account established by lenders for the accumulation of borrower’s funds to meet periodic payments of taxes, mortgage insurance premiums and/or future insurance policy premiums, required to protect their security.

Loan Estimate (LE)

The recipient of benefits, often from a deed of trust; usually the lender.

A description of land recognized by law, based on government surveys, spelling out the exact boundaries of the entire parcel of land. It should so thoroughly identify a parcel of land that it cannot be confused with any other.

Coordinates with Escrow Officer on the preparation of the Closing Disclosure, which is delivered to Buyer at least 3 days prior to loan documents,UponDeliversconsummation.loandocumentstoescrow.reviewofsignedloanauthorizesloanfunding.

THE BUYER

Completes and returns opening package from First American Title.

THE SELLER

Schedules inspections and evaluates findings. Reviews title BuyerpriorlenderpaperworkProvidespreliminarycommitment/report.allrequestedtoLender(bankstatements,taxreturns,etc.)Allinvoicesandfinalapprovalsshouldbetothenolaterthan10daystoloanconsummation.Lender(orEscrowOfficer)preparesCDanddeliverstoatleast3dayspriortoloanconsummation.Escrowofficerorrealestateagentcontactsthebuyertoschedulesigningappointment.Buyerconsummatesloan,executessettlementdocuments,&depositsfundsviawiretransfer.Documentsarerecordedandthekeysaredelivered!

Accepts Buyer’s application and begins the qualification process. Provides Buyer with Loan Estimate.

Collects information such as title commitment / preliminary report, appraisal, credit report, employment and funds verification. Reviews and requests additional information for final loan

Upon receipt of opening packages, orders demands for payoffs. Contacts buyer or seller when additional information is required for the title preliminarycommitment/report.

Gets pre-approval letter from Lender and provides to Real Estate Agent.

Coordinatesconsummation.withlender on the preparation of the CD.

Accepts Buyer’s offer to openingCompletespurchase.andreturnspackagefromFirstAmericanTitle,includinginformationsuchasforwardingaddress,payofflendercontactinformationandloannumbers.Ordersanyworkforinspectionsand/orrepairstobedoneasrequiredbythepurchaseagreement.Escrowofficerorrealestateagentcontactsthesellertoschedulesigningappointment.Documentsarerecordedandallproceedsfromsalearereceived.

Reviews all documents, demands, and instructions and prepares settlement statements and any other required documents.

Makes offer to purchase. Upon acceptance, opens escrow and deposits earnest money.

Chooses a Real Estate Agent

Prepares recording instructions and submits docs for recording.

Upon receipt of order and earnest money deposit, orders title examination.

Underwritingapproval.reviews loan package for approval.

Finalizes loan application with Lender. Receives a Loan Estimate from Lender.

Documents are recorded and funds are disbursed. Issues final settlement statement.

The Life Of An Escrow

Schedules signing appointment and informs buyer of funds due at settlement.

All demands, invoices, and fees must be collected and sent to lender at least 10 days prior to loan

THE LENDER

THE ESCROW OFFICER

AZ Sellers Guide | 10

Chooses a Real Estate Agent

Reviews title commitment / preliminary report.

Requests necessary information from buyers and sellers via opening packages.

Orders and reviews title commitment / preliminary report, property appraisal, credit report, employment and funds verification.

Once loan is consummated, sends funding package to lender for review.

AZ Sellers Guide | 11 CASH FHA VA CONV 1. Downpayment BUYER BUYER BUYER BUYER 2. Termite (Wood Infestation) Inspection (negotiable except on VA) SELLER 3. Property Inspection (if requested by buyer) BUYER BUYER BUYER BUYER 4. Property Repairs, if any (negotiable) SELLER SELLER SELLER SELLER 5. New Loan Origination Fee (negotiable) BUYER BUYER BUYER 6. Discount Points (negotiable) BUYER BUYER BUYER 7. Credit Report BUYER BUYER BUYER 8. Appraisal or Extension Fee (negotiable) BUYER BUYER BUYER 9. Existing Loan Payoff SELLER SELLER SELLER SELLER 10. Existing Loan Payoff Demand SELLER SELLER SELLER SELLER 11. Loan Prepayment Penalty (if any) SELLER SELLER SELLER SELLER 12. Next Month’s PITI Payment BUYER BUYER BUYER 13. Prepaid Interest (approx. 30 days) BUYER BUYER BUYER 14. Reserve Account Balance (Credit seller / Charge buyer) PRORATE PRORATE PRORATE 15. FHA MIP, VA Funding Fee, PMI Premium BUYER BUYER BUYER 16. Assessments payoff or proration (sewer, paving, etc.) SELLER 17. Taxes PRORATE PRORATE PRORATE PRORATE 18. Tax Impounds BUYER BUYER BUYER 19. Tax Service Contract SELLER SELLER BUYER 20. Fire/Hazard Insurance BUYER BUYER BUYER BUYER 21 Flood Insurance BUYER BUYER BUYER 22. Homeowners Association (HOA) Transfer Fee BUYER or SELLER BUYER or SELLER BUYER or SELLER BUYER or SELLER 23. HOA/Disclosure Fee SELLER SELLER SELLER SELLER 24 Current HOA Payment PRORATE PRORATE PRORATE PRORATE 25. Next Month’s HOA Payment BUYER BUYER BUYER BUYER 26. Home Warranty Premium (negotiable) BUYER or SELLER BUYER or SELLER BUYER or SELLER BUYER or SELLER 27. REALTORS®’ Commissions SELLER SELLER SELLER SELLER 28. EAGLE Homeowners Title Policy SELLER SELLER SELLER SELLER 29. Lenders Title Policy and Endorsements BUYER BUYER BUYER 30. Escrow Fee (NOTE: Charge seller on VA Loan) SPLIT SPLIT SELLER SPLIT 31. Recording Fees (Flat rate) SPLIT SPLIT SPLIT SPLIT 32. Reconveyance/Satisfaction Fee SELLER SELLER SELLER SPLIT 33. Courier/Express Mail Fees SPLIT SPLIT SELLER SPLIT THIS CHART INDICATES WHO CUSTOMARILY PAYS WHAT COSTS Note: Prorated items will appear on Closing Statement as charges for one and credits for the other. Closing Costs: Who Pays What

WHAT IS AN ESCROW?

The escrow is the process of having a neutral party manage the exchange of money for real property. The escrow holder is known as an escrow or settlement officer or agent. The buyer deposits funds and the seller deposits a deed with the escrow holder along with all of the other documents required to remove all "contingencies" (conditions and approvals) in the purchase agreement prior to closing.

HOW IS AN ESCROW OPENED?

The Escrow Process

AZ Sellers Guide | 12

Once a purchase agreement is signed by all necessary parties, the agent representing the party who will pay the fee selects an escrow holder and the buyer's earnest money deposit and contract are submitted to the escrow holder. From this point, the escrow holder will follow the mutual written instructions of the buyer and seller, maintaining a neutral stance to ensure that neither party has an unfair advantage over the other. The escrow holder also follows the instructions of the Buyer's new lender, the seller's existing lender, and both parties' agents. The escrow holder ensures the transparency of the transaction, while carefully maintaining the privacy of the consumers.

Prorate fees, such as real property taxes, per the contract and prepare the settlement statement

Conduct a title search to determine the ownership and title status of the real Reviewpropertythetitle

Open escrow and deposit good faith funds into an escrow account

When all funds are deposited and conditions met, record documents with the County Recorder to transfer the real property to the buyer

After recording is confirmed, close escrow and disburse funds, including proceeds, loan payoffs, tax payments, and more

Prepare and send final documents to all parties

Set separate appointments allowing the buyer and seller to sign documents and deposit funds

commitment and begin the process of working with you and the title officer to eliminate the title exceptions the buyer and the buyer’s new lender are not willing to take subject to. This includes ordering a payoff demand from your existing lender.

Request funds from buyer and buyer’s new lender

Review documents and ensure all conditions are fulfilled and certain legal requirements are met

AZ Sellers Guide | 13

Your Escrow Professional May:

Coordinate with the buyer’s lender on the preparation of the Closing Disclosure (CD)

AZ Sellers Guide | 14

Title insurance insures buyers against the risk that they did not acquire marketable title from the seller. It is primarily designed to reduce risk or loss caused by defects in title from the past. A loan policy of title insurance protects the interest of the mortgage lender, while an owner’s policy protects the equity of you, the buyer, for as long as you or your heirs (in certain policies) own the real property.

The Title Industry & Title Insurance in Brief

WHAT IS TITLE INSURANCE?

Title Insurance

WHEN IS THE PREMIUM DUE?

WHY IS TITLE INSURANCE NEEDED?

Title insurance provides coverage for certain losses due to defects in the title that, for the most part, occurred prior to your ownership. Title insurance protects against defects such as prior fraud or forgery that might go undetected until after closing and possibly jeopardize your ownership and investment.

Prior to the development of the title industry in the late 1800s, a home-buyer received a grantor’s warranty, attorney’s title opinion, or abstractor’s certificate as assurance of home ownership. The buyer relied on the financial integrity of the grantor, attorney, or abstractor for protection. Today, home-buyers look primarily to title insurance to provide this protection. Title insurance companies are regulated by state statute. They are required to post financial guarantees to ensure that any claims will be paid in a timely fashion. They also must maintain their own “title plants” which house duplicates of recorded deeds, mortgages, plats, and other pertinent county property Understandingrecords.

You pay for your owner’s title insurance policy only once, at the close of escrow. Who pays for the owner’s policy and loan policy varies depending on local customs.

3 Forgery, fraud, duress in the chain of title

1 Someone else owns an interest in your title

7 Title is unmarketable

25 Pays rent for substitute land or facilities

2 A document is not properly signed

27

29

StandardALTAorCLTA

As with any insurance contract, the insuring provisions express the coverage afforded by the title insurance policy and there are exceptions, exclusions and conditions to coverage that limit or narrow the coverage afforded by the policy. Also, some cov erage may not be available in a particular area or transaction due to legal, regulatory, or underwriting considerations. Please contact a First American representative for further information. The services described above are typical basic services. The services provided to you may be different due to the specifics of your transaction or the location of the real property involved.

a) extends on another property and/or easement

20 Post-policy adverse possession

c) a charge by a homeowner’s association

12 Unrecorded easements

24 Discriminatory covenants

Other benefits:

AZ Sellers Guide | 15

32 Post-policy inflation coverage with automatic increase in value up to 150% over five years

17 Post-policy damage from extraction of minerals or water

28 Compliance with Subdivision Map Act Coverage for boundary wall or fence encroachment*

26 Rights under unrecorded leases Plain language statements of policy coverage and restrictions

11 Unrecorded lien by a homeowners association

23 Violation of building setback regulations

5 There are restrictive covenants

31 Insurance coverage for a lifetime

b) violates a restriction in Schedule B

15 Post-policy forgery

c) violates an existing zoning law*

b) a judgement, tax, or special assessment

* Deductible and maximum limits apply. Not available to investors on 1- to 4-unit residential properties. Coverage may vary based on an individual policy.

4 Defective recording of any document

19 Map not consistent with legal description

33 Post-policy Living Trust coverage

18 Lack of vehicular and pedestrian access

6 There is a lien on your title because there is:

Compare First American’s Eagle Policy® for Owners

EAGLE

30 Added ownership coverage leads to enhanced marketability

8 Mechanics lien

Compare First American’s Eagle Policy® for Owners EAGLE StandardALTAorCLTA

a) a deed of trust

13 Building permit violations*

16 Post-policy encroachment

21 Post-policy prescriptive easement

9 Forced removal of a structure because it:

14 Restrictive covenant violations

10 Cannot use the land for a Single-Family Residence because the use violates a restriction in Schedule B or a zoning ordinance

22 Covenant violation resulting in your title reverting to a previous owner

Protection from:

AZ Sellers Guide | 16

Consider This

When you consider the number of people involved, you can imagine the opportunities for delays and mishaps. Your experienced escrow team can’t prevent unforeseen problems from arising; however, they can help smooth out the process.

One escrow transaction could involve more than 20 individuals, including real estate agents, buyers, sellers, attorneys, escrow officer, escrow technician, title officer, loan officer, loan processor, loan underwriter, home inspector, termite inspector, insurance agent, home warranty representative, contractor, roofer, plumber, pool service, and so on. And often, one transaction depends on another.

You will need valid identification with your photo I.D. on it when you sign documents that need to be notarized (such as a deed). A driver's license is preferred. You will also be asked to provide your social security number for tax reporting purposes, and a forwarding address.

If the buyer is obtaining a new loan, the buyer’s signed loan documents will be returned to the lender for review. The escrow holder will ensure that all contract conditions have been met and will ask the lender to "fund the loan."

WHAT HAPPENS NEXT?

*For purposes of the Closing Disclosure“business day” is defined as every day except Sundays and Federal legal holidays.

AZ Sellers Guide | 17

Once the loan is approved and all invoices and paperwork have been provided, the lender and escrow officer will collaborate on the preparation of the Closing Disclosure (CD). In order to close on time, all paperwork and invoices should be submitted at least 10 days prior to the expected close of escrow date. The borrower must receive the CD at least three days* prior to consummation of the loan (typically the signing date). The escrow officer will also prepare an estimated settlement statement and inform the buyer of the balance of the down payment and closing costs needed to close escrow.

DON'T FORGET YOUR IDENTIFICATION

You will have a chance to review the settlement statement and supporting documentation. This is your opportunity to ask questions and clarify terms. You should review the settlement statement carefully and report discrepancies to the escrow officer. This includes any payments that may have been missed. You are responsible for all charges incurred even if overlooked by the escrow holder, so it's better to bring these to their attention before closing.

If the loan documents are satisfactory, the lender will send funds directly to the escrow holder. When the loan funds are received, the escrow holder will verify that all necessary funds are in. Escrow funds will be disbursed to the seller and other appropriate payees. Then, the REALTOR® will present the keys to the property to the buyer.

THE CLOSING OR SIGNING APPOINTMENT

The escrow holder is obligated by law to have the designated amount of money before releasing any funds. If you have questions or foresee a problem, let your escrow holder know immediately.

Closing Your Escrow

The escrow holder will contact you or your agent to schedule a closing or signing appointment. In some states, this is the "close of escrow." In some others, the close of escrow is either the day the documents record or that funds are disbursed. Ask your escrow holder if you would like clarification about your state's laws.

THE CLOSING DISCLOSURE

Packing materials. Gather moving boxes and packing materials for your move.

AZ Sellers Guide | 18

Prepare Floor Plan. Prepare floor plan for your new home. This will help avoid confusion for you and your movers.

Service small engines for your move by extracting gas and oil from the machines. This will reduce the chance to catch fire during your move.

Create an inventory sheet of items to move.

SIX WEEKS BEFORE:

Start packing. Begin packing for your new location.

MOVING

FOUR WEEKS BEFORE:

Contact utility companies Set utility turnoff date, seek refunds and deposits and notify them of your new address.

Double check with your mover. Make sure your mover has the new address and your contact information should they have any questions during your move.

Vacate your home. Make sure utilities are off, doors and windows are locked and notify your real estate agent you’ve left the property.

Research moving options You’ll need to decide if yours is a do-it-yourself move or if you’ll be using a moving company.

Planning your move

Change of address. Visit USPS for change of address form.

ReviewDAY:thehouse

. Once the house is empty, check the entire house (closets, the attic, basement, etc) to ensure no items are left or no home issues exist.

ONE WEEK BEFORE:

Request moving quotes Solicit moving quotes from as many moving companies and movers as possible. There can be a large difference between rates and services within moving companies.

Changing Schools. If changing schools, contact new school for registration process.

Protect jewelry and valuables. Transfer jewelry and valuables to safety deposit box so they can not be lost or stolen during your move.

Travel items. Set aside items you’ll need while traveling and those needed until your new home is established. Make sure these are not packed in the moving truck!

Borrowed and rented items. Return items which you may have borrowed or rented. Collect items borrowed to others.

Service automobiles If automobiles will be driven long distances, you’ll want to have them serviced for a trouble-free drive.

Bank accounts Notify bank of address change. Make sure to have a money order for paying the moving company if you are transferring or closing accounts.

Discard unnecessary items Moving is a great time for ridding yourself of unnecessary items. Have a yard sale or donate unnecessary items to charity.

Obtain your medical records. Contact your doctors, physicians, dentists and other medical specialists who may currently be retaining any of your family’s medical records. obtain these records or make plans for them to be delivered to your new medical facilities.

Scan your furniture. Check furniture for scratches and dents before so you can compare notes with your mover on moving day.

Plan your itinerary. Make plans to spend the entire day at the house or at least until the movers are on their way. Someone will need to be around to make decisions. Make plans for kids and pets to be at the sitters for the day.

Seek employer benefits. If your move is work-related, your employer may provide funding for moving expenses. Your human resources rep should have information on this policy.

Contact insurance companies. (Life, Health, Fire, Auto) You’ll need to contact your insurance agent to cancel/transfer your insurance policy. Do not cancel your insurance policy until you have and closed escrow on the sale.

Note food inventory levels Check your cupboards, refrigerator and freezer to use up as much of your perishable food as possible.

Cancel services. Notify any remaining service providers (newspapers, lawn services, etc) of your move.

Sign the bill of lading. Once your satisfied with the mover’s packing your items into the truck, sign the bill of lading. If possible, accompany your mover while the moving truck is being weighed.

AZ Sellers Guide | 19

Your Notes:

AZ Sellers Guide | 20

Your Notes:

Your Notes:

AZ Sellers Guide | 21

16165623.487.0404N.83rd Ave , #100 Peoria, AZ 85382

W of R.H. Johnson

1626623.936.8001N.Litchfield Rd. Ste. #170 Goodyear, AZ 85395

1 4 3 2 6 12 10 5 8 7 11 9 CRISMON BUTTESIGNAL GOLDFIELD OLDWESTHWY SKINGSRANCH 14 17 15 13 16 ArizonaCentral First American Title Branch Locator

N of Shea, E side of Tatum

N of Baseline / W of Stapley

NE corner Daisy Mtn Dr/ Gavilan Peak Pkwy

Sun City West, AZ 85375

3 ARROWHEAD

17 GOLD CANYON 6877480.288.0883SouthKings Ranch Rd., #5 Gold Canyon, AZ 85118 E of South60/Side Kings Ranch Rd.

NW corner of McDowell & Litchfield

6 BILTMORE 3200602.954.3644ECamelback Rd., #123 Phoenix, AZ 85018

1 SUN CITY WES T

5 ANTHEM 39508623.551.3265N.Daisy Mountain Dr., #128 Anthem, AZ 85086

SE corner of Recker & Brown

NE Corner of Camelback/32nd Street

8 CAREFREE 7202480.575.6609E.Carefree Dr , Bldg 1, #1 Carefree, AZ 85377

14648480.948.6488NScottsdale Rd., Ste. #100 Scottsdale, AZ 85254

SE corner of Pima/Legacy

9 KIERLAND COMMONS

SW corner Chandler/45th St.

4 THE LEGENDS

7 TATUM RIDGE 480.515 4369 11211 N Tatum Blvd, #A150 Phoenix, AZ 85028

15 MESA 1630480.401.3738S.Stapley Dr., #123 Mesa, AZ 85204

NE corner of Tom Darlington/ Carefree Dr.

10 SCOTTSDALE FORUM 6263480.551.0480N.Scottsdale Rd., #110 Scottsdale, AZ 85250

20241623.537.1608N.67th Ave , #A-2 Glendale, AZ 85308

S of Bell/E side of 83rd Ave

E side 67th Ave/N of 101

13 CHANDLER PORTICO 2121480.777.0051W.Chandler Blvd., #215 Chandler, AZ 85224

W of Scottsdale Road, S side of Greenway

SW Corner Chandler Blvd./ Dobson Rd.

E Side Scottsdale/S of Lincoln

11 DC CROSSING 18291480.563.9034N.Pima Rd , #145 Scottsdale, AZ 85255

2 GOODYEAR

12 AHWATUKEE 4435480.753.4424E.Chandler Blvd , #100 Phoenix, AZ 85048

16 RED MOUNTAIN 1135480.534.3599N.Recker Rd., #103 Mesa, AZ 85205

13940623.299.3644W.Meeker Blvd., #119

N of Meeker Blvd

NW corner of Williams Field Rd./ Val Vista Rd.

AZ Sellers Guide | 22

14 GILBERT SAN TAN 1528480.777.0614E.Williams Field Rd., #101 Gilbert, AZ 85295

AIRPORTINT'LTUCSON Rd

6 FOOTHILLS 520.299.4606 | Fax 520.577.6993 6262 N Swan Road, Suite 205 Tucson, AZ 85718

WRagged Ruby S a Dr RanchRd Pima Mine Rd

ESsancaDr

S

7 GREEN VALLEY 520.625.1095 | Fax 520.958.9663 190 W. Continental Rd., Ste. 226 Green Valley, AZ 85622

NANWAYRD

E M

ellRdS Mcgee RanchRd 80

9 ORO VALLEY/ORACLE

WAnamax Mine Rd

E

W VALENC A RD

13 TANQUE VERDE 520.202.2626 | Fax 520.495.6151 7479 E. Tanque Verde Tucson, AZ 85715

E SUNRISE DR E SNYDER RDNSILVERBELLRD TRSNOLDIERLE RIVER RDE PRINCE RD E SPEEDWAY BLVD SFREEMANRDE 22ND ST E 22ND ST W IRVINGTON RD SNOGALESHWY W VALENCIA RDSMISSIONRDWSPEEDWAY BLVD SOLDSPANISHTRL W NARANJA DR W TWIN PEAKS RD W PICTURE ROCKS RD W MANVILLE RD SKINNEYRD W MILE WIDE RD E SAHUARITA RD NTRICORD OSSANDARIRD SOLDNOGALESHWY GUOSHHTONRD ADCSLAANADRW HELMET PEAK RD WAJOHWY RNASNWD RDKOLBS SHOUGHTONRD W TANGERINE RD E GRANT RD SHOUGHTONRD 95 WAJOHWY E VALENCIA RD NORACLERD I-10 I-19 77 77 86 86 286 19 10 10 Corona de Tucson AdobesCasas Catalina Green Valley Picture Rocks Three Points VailSummit TanqueVerde SahuaritaTucson Saddlebrooke Marana Oro Valley Rillito SummerhavenWillow Canyon Oracle Junction Cortaro Continental Littletown 2 3758 9 10 11 13 12 6 1 SouthernArizona First American Title Branch Locator AIRPORTINT'LTUCSON Air Force FreemanRd WSilverbellRd NMtLemmon Hwy ESascoRd NF38 W Avra Val ey Rd WSCuryRdHanna Rd E Grand Va ey D W Houser Rd W Ph ps Rd E Co nman Rd NAguirreRd dRkLNucet dRWNentzNWatermanMountainRd RdAnwayN W El Tiro Rd NTricoRd W Tucke Rd W Rudas Rd W Manv e Rd SSanJoaquinRdWBopp Rd W Snyde H RddRlSMarsear W Pa k Rd W He mans RdW Hermans Rd W Guy St W Bush Rd SGaveyRd eaCNllRinconado SWimotRd SShawRd SSierritaMountainRd boRdRd W Woodru Rd ONveriedRd W Rando ph Rd W BartlettNRdLaPamaRdNTweedyRd E Randolph Rd W Kleck Rd E K eck Rd

SNANDARIORD

HearthRd

W

SNANDARIORDNANWAYRD

E

E M gan Rd gan Rd

W

STrekellRd

W INA RD ESN1TAV SUNR SE DR E SNYDER RD

E Edw n Rd

4 CASA GRANDE 520.426.4600 | Fax 520.426.4699 421 E. Cottonwood Ln. Casa Grande, AZ 85122

W Se ma Hwy

dRhRiGWacaanc

SLambRd

3 CAMBRIC 520.577.8707 | Fax 520.529.5034 1840 E. River Rd., Ste. 200 Tucson, AZ 85718

W IRV

W es Curtis Rd

2 BROADWAY 520.747.1644 | Fax 520.747.1403

520.575.1900 | Fax 520.432.0168 6760 N. Oracle Rd., Ste. 100B Tucson, AZ 85704

A

ESN1TAV

Top Rd W

5 CASAS ADOBES

E SPEEDWAY BLVD SFREEMANRDE 22ND ST E 22ND ST

NGTON RD SNOGALESHWY W VALENCIA RDSMISSIONRDWSPEEDWAY BLVD SOLDSPANISHTRL W NARANJA DR W TW N PEAKS RD W P CTURE ROCKS RD W MANVILLE RD SKINNEYRD W MILE WIDE RD E SAHUARITA RD NTRICORD OSSANDARIRD SOLDNOGALESHWY GUOSHHTONRD ADCSLAANADRW HELMET PEAK RD WAJOHWY RNASNWD RDKOLBS SHOUGHTONRD W TANGERINE RD E GRANT RD SHOUGHTONRD 95 WAJOHWY E VALENCIA RD NORACLERD I-19 77 77 86 86 286 19 10 10 Corona de Tucson AdobesCasas Catalina Green Valley Picture Rocks Three Points VailSummit TanqueVerde SahuaritaTucson Marana Oro Valley Rillito SummerhavenWillow Canyon Cortaro Continental Littletown 2 3758 9 10 11 13 12 6 1 AZ Sellers Guide | 23

SHennessRd Selma Hwy Co nman Rd

3777 E. Broadway Blvd., Ste. 220 Tucson, AZ 85716

NFrontageRd Emigh Rd

dSPNumptationR Cont nental Ave NTricoRd SOwlHeadGasLineRd NTricoRd

WAnamax M ne Rd Road424 Ruby S ar D WBritten RanchRd Pima Mine Rd Mcgee RanchRd 80

W Bayard Rd

W

10 RITA ROAD 520.618.7790 | Fax 520.901.1720 10222 East Rita Rd., Ste. 190 Tucson, AZ 85747

SLaPalmaRd

Dr E

SHelvetiaRd

12 SKYLINE 520.529.0506 | Fax 520.529.8998 2890 E. Skyline Dr., Ste. 200 Tucson, AZ 85718

520.229.9194 | 520.297.2576 Fax 520.229.9210 | 520.742.5866 8500 N. Oracle Rd., Ste 100 Oro Valley, AZ 85704

EDesertDove

1 MAIN OFFICE

W VALENCIA RD

W

NKINNEYRD

dRSSandaro N Dove Mountain Blvd

S

dRhRiGWarcaanc Road424

W MOORE RD

W MOORE RD

Pretzer

BNearCanyonRd

TRSNOLDIERL

W E Cam no De Cerro Fairmount St

W INA RD

8 ORO VALLEY/LA CANADA 520.877.9200 | Fax 520.202.6348 11165 N. La Canada Dr., Ste. 143 Oro Valley, AZ 85737

E Hemlock Dr

Air Force WSilverbellRd SSantaRitaRd NMtLemmon Hwy ESascoRd W Avra Valley Rd E G and Va ey DrNAguirreRd dRkLNucet dRWNentzNWatermanMountainRd RdAnwayN W El Tiro Rd NTricoRd W Tucke Rd W Rudasi Rd W Manv l e Rd SSanJoaquinRdWBopp Rd W Snyder H RddRSMarstear W Park Rd W Hermans RdW He mans Rd W Guy St W Bush Rd SGarveyRd eaCNlRinconado SWimotRd SShawRd SSierritaMountainRd SKobRdW Tw nButtes Rd W Mcgee Ranch Rd ESstanca BNearCanyonRdW E Cam no De Cerro E Fairmount St SSwanRd NFrontageRd W Emigh Rd W Fort Lowe

E

GoffRanchRd

NBarkervilleRd W Fort Lowe Rd dSPNumpationR E Nona Rd Ch efButteRd LovettaRd E Hanna Rd TecoloteRanchRd FlorenceRdRomeroRd Con nenta Ave BIA 30 NTricoRd SSunandGnRd SCattleTankRd E E s Rd E Hotts Rd E Nutt Rd Evalyn Rd SOwlHeadRanchRdGasLineRd PSecanRd I on Va ey RdEDeepWellRanchRd SNighSkySt SBadyPumpRdE Houser Rd E Ar ca Rd W Ea ey Rd NTrcoRd W Baya d Rd dRSSandario WillowSpringsRd EHelmwheel Ranch Rd N Dove Mounta n Blvd BIA-35 dRhRiGWarcaanc E Dese H s Rd WRagged Top Rd W Pima Mine Rd WSilverbellRdS E Edw n Rd BIA34 SGuildRd 80 NKINNEYRD SPICACHOHWYE GREENE RESERVOIR RD SSUNLANDGINRD W BATTAGLIA DR AZ-84 E BAUMGARTNER RD SSUNSHINEBLVD SNANDARIORDNANWAYRD E HARMON RD W VALENCIA RD E RODEO RD W MOORE RD W INA RD ESN1TAV E SUNRISE DR E SNYDER RDNSILVERBELLRD TRSNOLDIERLE RIVER RDE PRINCE RD E SPEEDWAY BLVD SFREEMANRDE 22ND ST E 22ND ST W IRV NGTON RD SNOGALESHWY W VALENC A RDSMISSIONRDWSPEEDWAY BLVD SOLDSPANISHTRL W NARANJA DR W TW N PEAKS RD W P CTURE ROCKS RD W MANVILLE RD SKINNEYRD W MILE WIDE RD E SAHUAR TA RD W HARMON RD W MCCARTNEY RD NTRICORD OSSANDARRD PARK LINK DR GUOSHHTONRD ADDR E MART N RD STHORNTONRD W HELMET PEAK RD SCHUICHURD WAJOHWY RNASNWD RDKOLBS SHOUGHTONRD W TANGER NE RD E GRANT RD SHOUGHTONRD NPINALAVE 95 WAJOHWY E VALENCIA RD NORACLERD I10 I-19 I8 77 77 79 77 77 87 86 86 387 287 86 10 19 8 10 10 10 La Palma Chuichu Arizona City Corona de Tucson AdobesCasas Catalina OracleDudleyvilleGrandeCasa Picture Rocks Three Points VailSummit TanqueVerde Eloy SahuaritaTucson Cactus Forest Picacho Red Rock Saddlebrooke Marana Oro Valley HaivanaNakya Rillito SummerhavenWillow Canyon Randolph Toltec Oracle Junction Cortaro Schuchk Littletown 2 4 385 9 10 11 13 12 6 1 AIRPORTINT'LTUCSON Air Force WSilverbellRd SSantaRitaRd NMtLemmon Hwy W Avra Valley Rd guirreRd dRkLNucet dRWNenzNWatermanMountainRd RdAnwayN W El Tiro Rd NTricoRd W Tucke Rd W Rudas Rd W Manv e Rd SSanJoaquinRdWBopp Rd W Snyder H RddRlSMarsear W Park Rd W Hermans RdW He mans Rd W Guy St W Bush Rd SGarveyRd eaCNlRnconado SWmoRd SShawRd SSierritaMountainRd SKobRdW TwinButtes Rd W Mcgee Ranch Rd BNearCanyonRdW E Cam no De Cerro E Fairmount St SSwanRd NFrontageRd W Emigh Rd W Fort Lowel Rd dSPNumptationR NNTricoRdTcoRd W Baya d Rd dRSSandaro N Dove Mountain Blvd SHelvetiaRd

WBritten

SSwanRd

NKINNEYRD

W Rd

11 RIVER 520.529.1944 | Fax 520.615.2945 1650 E. River Rd., Ste. 105 Tucson, AZ 85718

ed Top Rd W

520.885.1600 | Fax 520.885.2309 6390 E. Tanque Verde Rd. Tucson, AZ 85715

NSILVERBELLRD E RIVER RDE PRINCE RD

For more information please contact your First American representative. www.firstam.com

05110280522

©2022 First American Financial Corporation and/or its affiliates. All rights reserved. NYSE: FAF

First American Title Insurance Company, and the operating divisions thereof, make no express or implied warranty respecting the information presented and assume no responsibility for errors or omissions. First American, the eagle logo, First American Title, and firstam.com are registered trademarks or trademarks of First American Financial Corporation and/or its affiliates.

Turn static files into dynamic content formats.

Create a flipbook
Issuu converts static files into: digital portfolios, online yearbooks, online catalogs, digital photo albums and more. Sign up and create your flipbook.