6242 E. Vista Del Canon

Page 1

Subject Property
© 2022 CoreLogic. All rights reserved
6242 E Vista Del Canon Tucson AZ 85750 APN: 109-01-1790 Data Provided By: First American Title Ins Co

LIMITATION OF LIABILITY FOR INFORMATIONAL REPORTS

IMPORTANT -- PLEASE READ CAREFULLY:

This report is not an insured product or service or a representation of the condition of title to real property. It is not an abst ract, legal opinion, opinion of title, title insurance commitment or preliminary report, or any form of Title Insurance or Guaranty. This report is issued exclusively for the benefit of the Applicant therefor and may not be used or relied upon by any other person. This report may not be reproduced in any manner without First American or Title Security's prior written consent. First American or Title Security does not represent or warrant that the information herein is complete or free from error, and the information herein is provided without any warranties of any kind, as-is, and with all faults. As a material part of the consideration given in exchange for the issuance of this report, recipient agrees that First American or Title Security's sole liability for any loss or damage caused by an error or omission due to inaccurate information or negligence in preparing this report shall be limited to the fee charged for the report. Recipient accepts this report with this limitation and agrees that First American or Title Security would not have issued this report but for the limitation of liability described above. First American or Title Security makes no representation or warranty as to the legality or propriety of recipient's use of the information herein.

Disclaimer

This REiSource report is provided "as is" without warranty of any kind, either express or implied, including without limitations any warrantees of merchantability or fitness for a particular purpose. There is no representation of warranty that this information is complete or free from error, and the provider does not assume, and expressly disclaims, any liability to any person or entity for loss or damage caused by errors or omissions in this REiSource report without a title insurance policy.

The information contained in the REiSource report is delivered from your Title Company, who reminds you that you have the right as a consumer to compare fees and serviced levels for Title, Escrow, and all other services associated with property ownership, and to select providers accordingly. Your home is the largest investment you will make in your lifetime and you should demand the very best.

Data Provided By: First American Title Ins Co
© 2022 CoreLogic. All rights reserved

Subject Property :   6242 E Vista Del Canon Tucson AZ 85750

Owner Information

Owner Name : Ross John James / Coronado Quetzally Hernandez

Mailing Address : 6242 E Vista Del Canon, Tucson AZ 85750-1037 C057

Vesting Codes : / / Community Property

Owner Occupied Indicator : O

Location Information

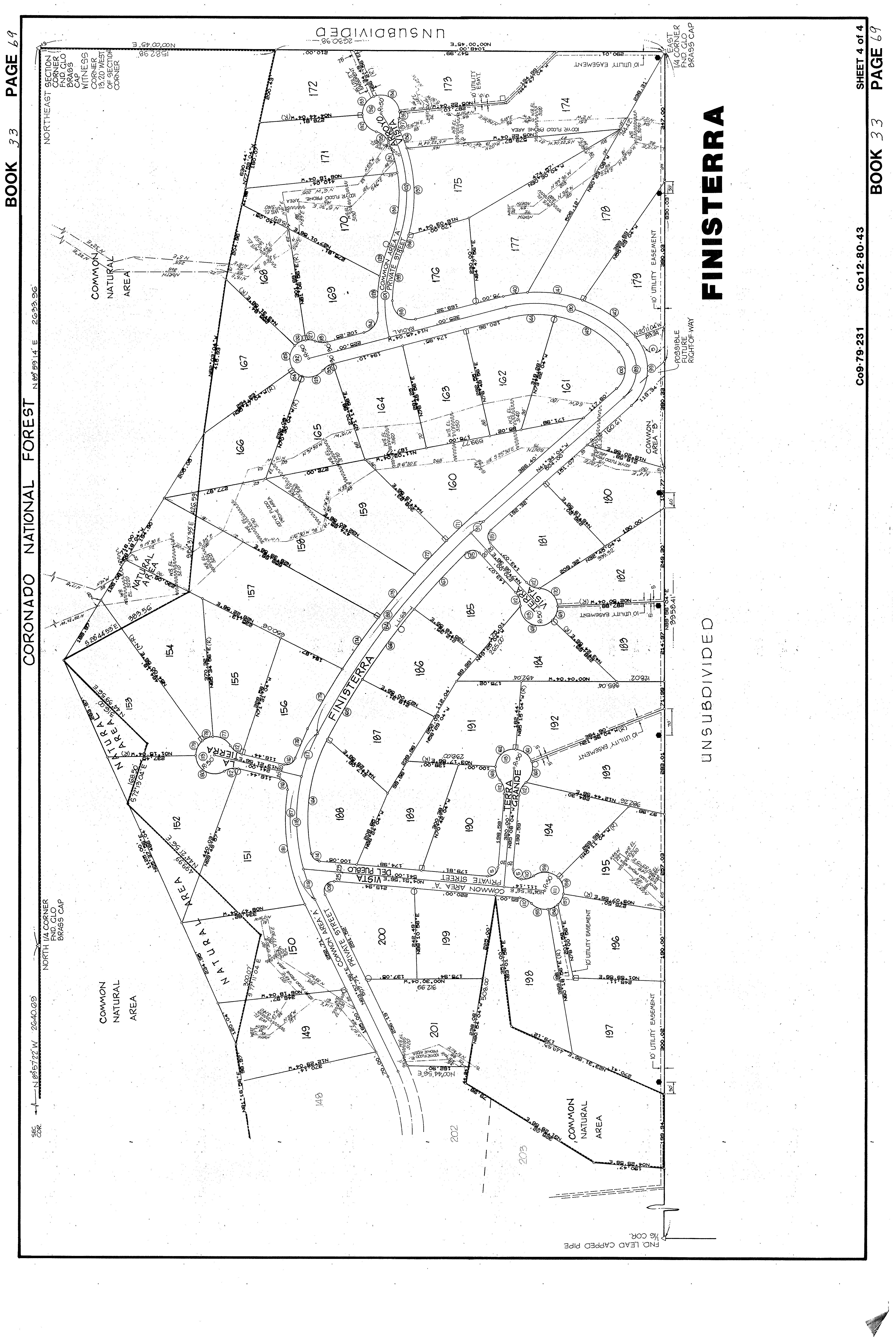
Legal Description : Finisterra Lot 174

County : Pima, Az

Census Tract / Block : 47.30 / 1

Township-Range- Sect : 13S-14E-1

Legal Book/Page : 33-69

Legal Lot : 174

Market Area : 12

Last Market Sale Information

APN : 109-01-1790

Subdivision : Finisterra

Map Reference : 01-13S-14E

School District : Catalina Foothills

Munic/Township : Catalina Foothills

Recording/Sale Date : 07/02/2021 / 06/09/2021 Document # : 1831059

Sale Price : $2,950,000

Title Company : Long Title Agcy Inc

Seller Name : Moussa Albert E

Prior Sale Information

Prior Rec/Sale Date : 09/15/2017 / 09/11/2017

Prior Sale Price : $275,000

Property Information

Land Use : Sfr

Zoning : CR-1

County Use : Single Fam Resurban Subd Lot Acres : 2.39

Deed Type : Warranty Deed

Prior Doc Number : 2580858

Prior Deed Type : Warranty Deed

Lot Size : 104,261

State Use : Single Fam Resurban Subd

Customer Name : Kariann Keomaka

Customer Company Name : First American Title Insurance Company

Prepared On : 11/21/2022

© 2022
All rights reserved
CoreLogic.

Tax Information

Total Value : $279,000 Property Tax : $5,143.05 Current Year Total Value : $207,342

Total Taxable Value : $41,738 Tax Rate Area : 1600

Current Year Improvement Value :

$207,292

Assessed Year : 2021 Market Value : $279,000 Current Year Land Value : $50

Tax Year : 2021 Current Assessed Year : 2023

Customer Company Name : First American Title Insurance Company Prepared On : 11/21/2022

Customer Name : Kariann Keomaka
© 2022 CoreLogic. All rights reserved

Sale Price $2,950,000 $505,500 $2,625,000 $1,157,810 Bldg/Living Area 1504 5083 3337 Price Per Square Foot $251 $516 $346.05 Year Built 1986 2001 1994 Lot Size 104,261 4,164 70,419 27,552 Bedrooms Bathrooms 3 7 4 Stories 1 2 1 Total Assessed Value $279,000 $295,504 $965,865 $650,142

S 6242 E Vista Del Canon 2,950,000 279,000 07/02/2021 104,261 CR-1 1 6144 E Finisterra 2,625,000 965,865 10/03/2022 5 5,083 70,419 1994 0.07 CR-1 2 6861 N Terra Vis 1,518,697 830,458 07/08/2022 5 4,000 44,406 1986 0.26 CR-1 3 6840 N Terra Vis 1,343,000 838,731 12/21/2021 5 4,147 46,666 1993 0.27 CR-1 4 5990 E Terra Grande 1,325,000 882,541 12/23/2021 7 4,902 56,846 1995 0.31 CR-1 5 6524 N Via Divina 597,000 306,806 08/30/2022 3 1,670 4,938 1988 0.38 CR-4 6 6482 N Via Divina 595,000 338,401 10/04/2022 3 1,881 4,602 1992 0.43 CR-4 7 6363 E Placita Divina 505,500 295,504 04/27/2022 3 1,504 4,164 1992 0.45 CR-4 8 6185 E Avenida De Chaparron 1,795,000 702,412 10/13/2022 4 3,893 15,985 2001 0.45 CR-4 9 6420 N Miramist Way 1,223,000 775,164 10/03/2022 6 3,777 35,943 1994 0.48 CR-4 10 5891 E Finisterra 1,650,000 881,258 08/22/2022 7 4,141 70,305 1991 0.49 CR-1 11 5887 E Placita Alta Reposa 1,235,000 759,116 01/12/2022 5 4,251 39,909 1990 0.5 CR-1

Sales Analysis
Subject Property Low High Average
# Address Sale Price Total Assessed Value Sale Date Bed Bath Living Area Lot Size Year Built Dist (Miles) Zoning
Customer
Customer
©
All rights reserved
Criteria
Distance From Subject 0 0.07 0.69 0.48 Summary of Comparables
Name : Kariann Keomaka
Company Name : First American Title Insurance Company Prepared On : 11/21/2022
2022 CoreLogic.

12 6112 E Avenida De Kira 1,175,000 700,492 08/18/2022 4 4,000 23,788 2000 0.52 CR-4

13 6546 E Celsian Pl 700,000 631,438 07/22/2022 4 2,105 12,717 1997 0.56 CR-4

14 6322 E Placita Atiza 950,000 504,808 05/19/2022 4 3,248 15,935 1989 0.56 CR-2

15 5845 E Placita De La Zuerencia 1,085,000 616,761 10/25/2022 4 3,184 25,733 1997 0.58 CR-4

16 6500 N Placita De Tia Ro 1,200,000 742,510 03/02/2022 4 3,870 22,863 1999 0.6 CR-4

17 6365 N Ventana View Pl 960,000 583,563 11/30/2021 3 2,191 7,264 2000 0.64 CR-4

18 6461 N Placita De Tia Ro 859,000 530,529 08/24/2022 4 2,780 24,933 1998 0.68 CR-4

19 5745 E Finisterra 985,000 570,294 04/29/2022 4 3,917 16,353 1993 0.68 CR-1

20 6334 N Ventana View Pl 830,000 546,193 04/15/2022 4 2,191 7,277 1997 0.69 CR-4

Distressed Sales = Customer Name : Kariann Keomaka Customer Company Name : First American Title Insurance Company Prepared On : 11/21/2022

© 2022 CoreLogic. All rights reserved
Map
© 2022
All rights reserved
Customer Name : Kariann Keomaka Customer Company Name : First American Title Insurance Company Prepared On : 11/21/2022
CoreLogic.

Details of Comparables

Subject Property: 6242 E Vista Del Canon Tucson Az 85750

Owner Name: Ross John James /Coronado Quetzally Hernandez APN / Alternate APN: 109-01-1790 / Deed Type: Warranty Deed Land Use: Sfr Subdivision / Tract: Finisterra / Lot Size: 104,261 Year Built / Eff: / Rec. Date / Price: 07/02/2021 / $2,950,000 Living Area: # of units:

Document #: 1831059 Bedrooms: Pool: Total Tax Value: $279,000 Bath(F/H): /

#1   6144 E Finisterra Tucson Az 85750

Owner Name: Powell Jane K Trust / APN / Alternate APN: 109-01-1820 / Deed Type: Warranty Deed Land Use: Sfr Subdivision / Tract: Finisterra / Lot Size: 70,419 Year Built / Eff: 1994 / Rec. Date / Price: 10/03/2022 / $2,625,000 Living Area: 5,083 # of units: Document #: 2760524 Bedrooms: Pool: Pool Total Tax Value: $965,865 Bath(F/H): /

#2   6861 N Terra Vis Tucson Az 85750

Owner Name: Jurek Trust / APN / Alternate APN: 109-01-1900 / Deed Type: Warranty Deed Land Use: Sfr Subdivision / Tract: Finisterra / Lot Size: 44,406 Year Built / Eff: 1986 / Rec. Date / Price: 07/08/2022 / $1,518,697 Living Area: 4,000 # of units: Document #: 1890661 Bedrooms: Pool: Pool Total Tax Value: $830,458 Bath(F/H): /

#3

6840 N Terra Vis Tucson Az 85750

Owner Name: Klapstein Douglas & Ju / APN / Alternate APN: 109-01-1880 / Deed Type: Warranty Deed Land Use: Sfr Subdivision / Tract: Finisterra / Lot Size: 46,666 Year Built / Eff: 1993 / Rec. Date / Price: 12/21/2021 / $1,343,000 Living Area: 4,147 # of units: Document #: 3550159 Bedrooms: Pool: Pool Total Tax Value: $838,731 Bath(F/H): /

#4   5990 E Terra Grande Tucson Az 85750

Owner Name: Aguirre Fernando / APN / Alternate APN: 109-01-1970 / Deed Type: Warranty Deed Land Use: Sfr Subdivision / Tract: Finisterra / Lot Size: 56,846 Year Built / Eff: 1995 / Rec. Date / Price: 12/23/2021 / $1,325,000 Living Area: 4,902 # of units: Document #: 3570703 Bedrooms: Pool: Pool Total Tax Value: $882,541 Bath(F/H): /

Customer Name : Kariann Keomaka
© 2022 CoreLogic. All rights reserved
Customer Company Name : First American Title Insurance Company Prepared On : 11/21/2022

#5   6524 N Via Divina Tucson Az 85750

Owner Name: Braunstein Carrie L / APN / Alternate APN: 114-03-2480 / Deed Type: Warranty Deed Land Use: Sfr Subdivision / Tract: Las Ventanas / Lot Size: 4,938 Year Built / Eff: 1988 / Rec. Date / Price: 08/30/2022 / $597,000 Living Area: 1,670 # of units: Document #: 2420206 Bedrooms: Pool: Total Tax Value: $306,806 Bath(F/H): /

#6   6482 N Via Divina Tucson Az 85750

Owner Name: Sperry Vicki L Trust / APN / Alternate APN: 114-03-2850 / Deed Type: Warranty Deed Land Use: Sfr Subdivision / Tract: Las Ventanas / Lot Size: 4,602 Year Built / Eff: 1992 / Rec. Date / Price: 10/04/2022 / $595,000 Living Area: 1,881 # of units: Document #: 2770220 Bedrooms: Pool: Total Tax Value: $338,401 Bath(F/H): /

#7   6363 E Placita Divina Tucson Az 85750

Owner Name: Roedl Living Trust / APN / Alternate APN: 114-03-2590 / Deed Type: Warranty Deed Land Use: Sfr Subdivision / Tract: Las Ventanas / Lot Size: 4,164 Year Built / Eff: 1992 / Rec. Date / Price: 04/27/2022 / $505,500 Living Area: 1,504 # of units: Document #: 1170415 Bedrooms: Pool: Total Tax Value: $295,504 Bath(F/H): /

#8

6185 E Avenida De Chaparron Tucson Az 85750

Owner Name: Girton John F /Girton Sherrie L APN / Alternate APN: 109-29-3350 / Deed Type: Warranty Deed Land Use: Sfr Subdivision / Tract: Alta Vista Village 02 / Lot Size: 15,985 Year Built / Eff: 2001 / Rec. Date / Price: 10/13/2022 / $1,795,000 Living Area: 3,893 # of units:

Document #: 2860128 Bedrooms: Pool: Pool Total Tax Value: $702,412 Bath(F/H): /

#9

6420 N Miramist Way Tucson Az 85750

Owner Name: Cummins Timothy / APN / Alternate APN: 114-03-3270 / Deed Type: Warranty Deed Land Use: Sfr Subdivision / Tract: Miramist Ventana Amd / Lot Size: 35,943 Year Built / Eff: 1994 / Rec. Date / Price: 10/03/2022 / $1,223,000 Living Area: 3,777 # of units: Document #: 2760164 Bedrooms: Pool: Pool Total Tax Value: $775,164 Bath(F/H): /

Prepared On : 11/21/2022

Customer Name : Kariann Keomaka Customer Company Name : First American Title Insurance Company
© 2022 CoreLogic. All rights reserved

#10   5891 E Finisterra Tucson Az 85750

Owner Name: Farhang Sheila / APN / Alternate APN: 109-01-1540 / Deed Type: Warranty Deed Land Use: Sfr Subdivision / Tract: Finisterra / Lot Size: 70,305 Year Built / Eff: 1991 / Rec. Date / Price: 08/22/2022 / $1,650,000 Living Area: 4,141 # of units: Document #: 2340489 Bedrooms: Pool: Pool Total Tax Value: $881,258 Bath(F/H): /

#11   5887 E Placita Alta Reposa Tucson Az 85750

Owner Name: Mooney Loren S /Mooney Jane G APN / Alternate APN: 109-29-0140 / Deed Type: Warranty Deed Land Use: Sfr Subdivision / Tract: Alta Vista / Lot Size: 39,909 Year Built / Eff: 1990 / Rec. Date / Price: 01/12/2022 / $1,235,000 Living Area: 4,251 # of units: Document #: 120211 Bedrooms: Pool: Pool Total Tax Value: $759,116 Bath(F/H): /

#12   6112 E Avenida De Kira Tucson Az 85750

Owner Name: Worrell Jason W /Worrell Stephanie G APN / Alternate APN: 109-29-323A / Deed Type: Warranty Deed Land Use: Sfr Subdivision / Tract: Alta Vista Village 02 / Lot Size: 23,788 Year Built / Eff: 2000 / Rec. Date / Price: 08/18/2022 / $1,175,000 Living Area: 4,000 # of units: Document #: 2300385 Bedrooms: Pool: Pool Total Tax Value: $700,492 Bath(F/H): /

#13   6546 E Celsian Pl Tucson Az 85750

Owner Name: Wyngarden Raymond D / APN / Alternate APN: 114-04-7940 / Deed Type: Warranty Deed Land Use: Sfr Subdivision / Tract: Ridge Ventana Canyon / Lot Size: 12,717 Year Built / Eff: 1997 / Rec. Date / Price: 07/22/2022 / $700,000 Living Area: 2,105

# of units: Document #: 2030268 Bedrooms: Pool: Total Tax Value: $631,438 Bath(F/H): /

#14   6322

E Placita Atiza Tucson Az 85750

Owner Name: Dickinson Jesse E /Dickinson Salty E APN / Alternate APN: 114-04-4500 / Deed Type: Warranty Deed Land Use: Sfr Subdivision / Tract: Casas De Ventana / Lot Size: 15,935 Year Built / Eff: 1989 / Rec. Date / Price: 05/19/2022 / $950,000 Living Area: 3,248

# of units: Document #: 1390402 Bedrooms: Pool: Pool Total Tax Value: $504,808 Bath(F/H): /

Customer Name : Kariann Keomaka

Prepared On : 11/21/2022

Customer Company Name : First American Title Insurance Company
© 2022 CoreLogic. All rights reserved

#15   5845

E Placita De La Zuerencia Tucson Az 85750

Owner Name: Wicks Franklin R /Wicks Constance APN / Alternate APN: 109-29-2240 / Deed Type: Joint Tenancy Deed Land Use: Sfr Subdivision / Tract: Alta Vista Estates / Lot Size: 25,733 Year Built / Eff: 1997 / Rec. Date / Price: 10/25/2022 / $1,085,000 Living Area: 3,184

# of units: Document #: 2980124 Bedrooms: Pool: Pool Total Tax Value: $616,761 Bath(F/H): /

#16

6500 N Placita De Tia Ro Tucson Az 85750

Owner Name: Sollinger Hans W / APN / Alternate APN: 109-29-2500 / Deed Type: Warranty Deed Land Use: Sfr Subdivision / Tract: Alta Vista Estates / Lot Size: 22,863 Year Built / Eff: 1999 / Rec. Date / Price: 03/02/2022 / $1,200,000 Living Area: 3,870 # of units: Document #: 610456 Bedrooms: Pool: Pool Total Tax Value: $742,510 Bath(F/H): /

#17

6365 N Ventana View Pl Tucson Az 85750

Owner Name: Shaw Stephen A /Shaw Linda H APN / Alternate APN: 114-04-7730 / Deed Type: Warranty Deed Land Use: Sfr Subdivision / Tract: Ridge Ventana Canyon / Lot Size: 7,264 Year Built / Eff: 2000 / Rec. Date / Price: 11/30/2021 / $960,000 Living Area: 2,191

# of units: Document #: 3340705 Bedrooms: Pool: Pool Total Tax Value: $583,563 Bath(F/H): /

#18   6461 N Placita De Tia Ro Tucson Az 85750

Owner Name: Taki Trust / APN / Alternate APN: 109-29-2340 / Deed Type: Warranty Deed Land Use: Sfr Subdivision / Tract: Alta Vista Estates / Lot Size: 24,933 Year Built / Eff: 1998 / Rec. Date / Price: 08/24/2022 / $859,000 Living Area: 2,780 # of units: Document #: 2360405 Bedrooms: Pool: Total Tax Value: $530,529 Bath(F/H): /

#19   5745 E Finisterra Tucson Az 85750

Owner Name: Janke Living Trust / APN / Alternate APN: 109-01-3410 / Deed Type: Warranty Deed Land Use: Sfr Subdivision / Tract: Finisterra 03 / Lot Size: 16,353 Year Built / Eff: 1993 / Rec. Date / Price: 04/29/2022 / $985,000 Living Area: 3,917

# of units: Document #: 1191116 Bedrooms: Pool: Total Tax Value: $570,294 Bath(F/H): /

Customer Name : Kariann Keomaka

Customer Company Name : First American Title Insurance Company

Prepared On : 11/21/2022

© 2022 CoreLogic. All rights reserved

Owner Name: Lake Trust / APN / Alternate APN: 114-04-7750 / Deed Type: Warranty Deed

Land Use: Sfr Subdivision / Tract: Ridge Ventana Canyon / Lot Size: 7,277 Year Built / Eff: 1997 / Rec. Date / Price: 04/15/2022 / $830,000 Living Area: 2,191

# of units: Document #: 1050351 Bedrooms: Pool: Total Tax Value: $546,193 Bath(F/H): /

#20   6334 N Ventana View Pl Tucson Az 85750 Customer Name : Kariann Keomaka
© 2022 CoreLogic. All rights reserved
Customer Company Name : First American Title Insurance Company Prepared On : 11/21/2022
Customer
Customer
© 2022 CoreLogic. All rights reserved
Subject Property :   6242 E Vista Del Canon Tucson AZ 85750
Name : Kariann Keomaka
Company Name : First American Title Insurance Company Prepared On : 11/21/2022

Customer Name : Kariann Keomaka Customer Company Name : First American Title Insurance Company Prepared On : 11/21/2022 © 2022 CoreLogic.

All rights reserved

520.625.3502

SUNNYSIDE UNIFIED 2238 E. Ginter Road, Tucson, AZ 85706 520.545.2000

TANQUE VERDE UNIFIED 2300 N. Tanque Verde Loop, Tucson, AZ 85749 520.749.5751 01 TUCSON UNIFIED 1010 E. 10th Street, Tucson, AZ 85717 520.225.6000

VAIL UNIFIED 10701 E. Mary Ann Cleveland Way, Tucson, AZ 85747 520.879.2000

05249570321 TUCSON INT'L AIRPORT Air Force WSilverbellRd SSantaRitaRd N M t L emmon Hwy ESascoRd NF 38 W Avra Valley Rd E Grand Va ey Dr NAguirre R d N L u c k e R d N W e n t z R d N Wa terman Mounta i n R d N Anway Rd W El Tiro Rd N Trico Rd W Tucker Rd W Rudas l Rd W Manvi e Rd SSanJoaquinRd WBopp Rd W Snyder H l Rd S M a r s e a r R d W Park Rd W Hermans Rd W Hermans Rd W Guy St W Bush Rd S G a v e y R d N C a e R i n c o n a d o S W m o R d S Shaw Rd S Sierrita Mountain Rd S K o b R d W TwinButtes Rd W Mcgee Ranch Rd S E s t a n c a D r EDesertDove E Hemlock Dr N Bea r C a n y o n R d W E Camino Del Cerro E Fairmount St S Swan Rd NFrontageRd W Emigh Rd W Fort Lowe Rd N P u m p S t a t ion dR E Nona Rd Ch efButteRd Lo al Ave N Trico Rd S Cattle Tank Rd Evalyn Rd SOwlHead R a n c h Rd GasLineRd S P ec a n R d N T r c o R d W Bayard Rd S S a n d a r o R d W i l l owSpri n gsRd N Dove Mountain Blvd SHelvetiaRd WAnamax Mine Rd W G a c i a R a n hc R d Road424 WRagged Top Rd W Ruby Star Dr WBritten RanchRd W Pima Mine Rd S Mcgee Ranch R d E Edw n Rd SGuildRd 8 0 NKINNEYRD S PICACHO HWY E BAUMGARTNER RD N S A N D A R I O R D N ANWAY RD W VALENCIA RD W MOORE RD W INA RD N 1 S T A V E E SUNRISE DR E SNYDER RD NSILVERBELLRD N S O L D I E R T R L E RIVER RD E PRINCE RD E SPEEDWAY BLVD S FREEMAN RD E 22ND ST E 22ND ST W IRVINGTON RD S N O G A L E S H W Y W VALENCIA RD SMISSIONRD W SPEEDWAY BLVD S O L D S P A N I S H T RL W NARANJA DR W TWIN PEAKS RD W PICTURE ROCKS RD W MANVILLE RD SKINNEYRD W MILE WIDE RD E SAHUARITA RD N TRICO RD S S A N D A R O R D PARK LINK DR S OLD N O G ALES HW Y S H O U G H T O N R D S L A C A N A D A DR W HELMET PEAK RD WAJOHWY N S W A N R D S KOLB RD S HOUGHTON RD W TANGERINE RD E GRANT RD S H O U G H T O N R D 9 5 WAJOHWY E VALENCIA RD NORACLE R D I10 I-19 77 77 77 86 86 286 10 19 10 10 Corona de Tucson Casas Adobes Catalina Green Valley Oracle Picture Rocks Three Points Vail Summit Tanque Verde Tucson Sahuarita Red Rock Saddlebrooke Marana Oro Valley Rillito Summerhaven Willow Canyon Oracle Junction Cortaro Continental Littletown 20 30 13 15 51 39 12 01 01 08 10 16 11 06 PIMA COUNTY School District Information This map is provided for general location only. Please contact school districts for actual street boundaries SCHOOL DISTRICTS 15 AJO UNIFIED 111 N. Well Road, Ajo, AZ 85321 520.387.5618 51 ALTAR VALLEY ELEMENTARY 10105 S. Sasabe Road, Tucson, AZ 85736 520.822.1484 10 AMPHITHEATER UNIFIED 701 W. Wetmore, Tucson, AZ 85705 520.696.5000 16 CATALINA FOOTHILS UNIFIED 2101 E. River Road, Tucson, AZ 85718 520.209.7500 39 CONTINENTAL ELEMENTARY 1991 E. Whitehouse Canyon, Green Valley, AZ 85614
08 FLOWING WELLS UNIFIED 1556 W. Prince Road, Tucson, AZ 85705 520.696.8800 06 MARANA UNIFIED 11279 W. Grier Road, Marana, AZ 85653
11 PIMA COUNTY JTED 2855 W. Master Pieces Dr, Tucson, AZ 85741
30 SAHUARITA UNIFIED 350 W. Sahuarita Road,
First American Title Insurance Company, and the operating divisions thereof, make no express or implied warranty respecting the information presented and assume no responsibility for errors or omissions. First American, the eagle logo, First American Title, and firstam.com are registered trademarks or trademarks of First American Financial Corporation and/or its affiliates. ©2021 First American Financial Corporation and/or its affiliates. All rights reserved. NYSE: FAF
520.625.4581
520.682.3243
520.352.5833
Sahuarita, AZ 85629
12
13
20

Arizona Schools

For detailed information and statistics on Arizona schools please go to https://azreportcards.azed.gov/ First American Title Insurance Company, and the operating divisions thereof, make no express or implied warranty respecting the information presented and assume no responsibility for errors or omissions. First American, the eagle logo, First American Title, and firstam.com are registered trademarks or trademarks of First American Financial Corporation and/or its affiliates. ©2021 First American Financial Corporation and/or its affiliates. All rights reserved. NYSE: FAF 05117910421

Public Schools : Elementary Schools

Ventana Vista Elementary School Distance 1.03 Miles 6085 N Kolb Rd Tucson AZ 85750

Telephone : (520) 209-8000

School District : Catalina Foothills Unified District (4410)

Lowest Grade : K Highest Grade : 5th

Kindergarten : Yes School Enrollment : Enrollment : 546 Total Expenditure/Student : 101

Sunrise Drive Elementary School Distance 1.84 Miles 5301 E Sunrise Dr Tucson AZ 85718

Telephone : (520) 209-7900

School District : Catalina Foothills Unified District (4410)

Lowest Grade : K Highest Grade : 5th

Kindergarten : Yes School Enrollment : Enrollment : 547 Total Expenditure/Student : 101

Customer Company Name : First American Title Insurance Company Prepared On : 11/21/2022

Customer Name : Kariann Keomaka
© 2022 CoreLogic. All rights reserved

Attractions / Recreation

Name Address

Telephone Distance (Miles)

Business Elevations Llc 6655 N Cyn Crest Dr Tucson Az (520) 407-6264 0.13

Flying V Ranch 6800 N Flying V Ranch Rd Tucson Az (520) 299-2020 0.37

Mel Media Entertainment Lifestyle, Llc 6400 N Nirvana Pl Tucson Az (520) 907-0797 0.61

Tucson Charity Bridge Club, Inc. 6381 N Whaleback Pl Tucson Az (520) 615-3231 0.8

Eating / Drinking

Name Address Telephone Distance (Miles)

Bonanza N789rg Llc 6341 E Placita Atiza Tucson Az (520) 245-9988 0.55

Bazil's Inc 5620 E Paseo Del Fuente Tucson Az (520) 577-1100 0.85

Fox Culinary, Llc 5541 E Circulo Terra Tucson Az (206) 607-7471 0.92

Carey Group Inc 5750 E Pinchot Rd Tucson Az (520) 206-1988 0.99

Health Care Services

Name Address

Alan K Rogers

Telephone Distance (Miles)

6740 N Placita Apajo Tucson Az (520) 299-5294 0.13

Brad M D Barlow 6655 N Canyon Crest Dr Tucson Az (801) 703-4372 0.31

King Iii, Napolean M.d. 6370 E Miramist Pl Tucson Az (952) 595-1301 0.37

Weimin Hu Fangchan, Llc 6112 E Avenida De Kira Tucson Az (520) 299-1264 0.51

Hospitality

Name Address

Esprit, Ltd.

Lvc Hotel Llc

Loews Tucson Hotel, Inc.

Telephone Distance (Miles)

7000 N Resort Dr Tucson Az (520) 529-7950 0.52

7000 N Resort Dr Tucson Az (520) 529-7860 0.52

7000 N Resort Dr Tucson Az (520) 299-2020 0.52

Wyndham International, Inc 6200 N Club House Ln Tucson Az (520) 577-1400 0.87

Customer Name : Kariann Keomaka

Customer Company Name : First American Title Insurance Company Prepared On : 11/21/2022

Local Business
© 2022
All rights reserved
CoreLogic.

Personal Services

Name Address Telephone Distance (Miles)

Nadean Fitness, Llc 6531 N Regal Manor Dr Tucson Az (520) 529-4770 0.87

Shopping

Name Address Telephone Distance (Miles)

Brainiac Supplements, Llc 6741 N Placita Acebo Tucson Az (520) 979-2291 0.29

Customer Name : Kariann Keomaka

Customer Company Name : First American Title Insurance Company Prepared On : 11/21/2022

© 2022 CoreLogic. All rights reserved

6222

E VISTA DEL CANON

Owner Name : Rogoff Edward E

Total Value : $921,297

6262

6140

Distance 0.05 Miles

Subdivision : Finisterra

Recording Date : 05/19/1989

Bed / Bath : / 5 Property Tax : $10,752.47

Land Use : Sfr Lot Acres : 1.73

Stories : 1 Living Area : 4,210

Yr Blt / Eff Yr Blt : 1990 / APN : 109-01-1800

E VISTA DEL CANON Distance 0.05 Miles

Owner Name : Schroeder Brian T

Recording Date : 01/11/2017

Sale Date : 01/11/2017 Sale Price  : $300,000

Total Value : $1,654,079 Property Tax : $19,403.80

Bed / Bath : / 7 Lot Acres : 1.46

Land Use : Sfr Living Area : 6,015 Stories : 1 APN : 109-01-178A

Yr Blt / Eff Yr Blt  : 2018 /

E FINISTERRA

Owner Name : Blasberg Jau

Sale Date : 04/03/2019

Distance 0.06 Miles

Subdivision : Finisterra

Recording Date : 04/12/2019

Total Value : $741,894 Sale Price  : $915,000

Bed / Bath : / 4 Property Tax : $8,541.68

Land Use : Sfr Lot Acres : 2.04 Stories : 1.5 Living Area : 4,222

Yr Blt / Eff Yr Blt : 1993 / APN : 109-01-1830

6144 E FINISTERRA Distance 0.07 Miles

Owner Name : Powell Jane K Trust

Sale Date : 09/23/2022

Subdivision : Finisterra

Recording Date : 10/03/2022

Total Value : $965,865 Sale Price  : $2,625,000

Bed / Bath : / 5 Property Tax : $11,901.63 Land Use : Sfr Lot Acres : 1.62 Stories : 1 Living Area : 5,083

Yr Blt / Eff Yr Blt : 1994 / APN : 109-01-1820

Customer Name : Kariann Keomaka

Customer Company Name : First American Title Insurance Company Prepared On : 11/21/2022

© 2022 CoreLogic. All rights reserved

6794 N FLYING VIEW PL Distance 0.07 Miles

Owner Name : Fidelity National Title Tr 302 Lot Acres : 0.83

Land Use : Vacant Land (nec) APN : 114-03-7390

Property Tax  : $1,156.67

6764 N FLYING VIEW PL Distance 0.07 Miles

Owner Name : Fidelity National Title Tr 302 Lot Acres : 0.83

Land Use : Vacant Land (nec) APN : 114-03-7380

Property Tax  : $1,156.67

6760 N PLACITA APAJO Distance 0.08 Miles

Owner Name : Goldschmid Steven

Subdivision : Alta Vista

Sale Date : 05/23/2000 Recording Date : 07/26/2000

Total Value : $752,804 Sale Price  : $762,000

Bed / Bath : / 5 Property Tax : $8,676.19

Land Use : Sfr Lot Acres : 1.40

Stories : 1 Living Area : 4,104

Yr Blt / Eff Yr Blt : 1988 / APN : 109-29-049C

Customer Name : Kariann Keomaka

Customer Company Name : First American Title Insurance Company

Prepared On : 11/21/2022

© 2022
All rights reserved
CoreLogic.

No demographics data for selected property.

Customer Name : Kariann Keomaka

Customer Company Name : First American Title Insurance Company Prepared On : 11/21/2022

© 2022 CoreLogic. All rights reserved

SEARCH PARAMETERS

PARCEL:  109-01-1790 PARCEL: 109-01-1790

INSTRUMENT REC DATE OWNER: ROSS JOHN JAMES & CORONADO  AFFIDAVIT    2021 1831059 07/02/2021  SITUS: 6242 E VISTA DEL CANON PC  MAIL: 6242 E VISTA DEL CANON   PLAT: LOT 00174 BLOCK LEGAL: FINISTERRA LOT 174  CURRENT TAXES INFORMATION THROUGH 10/21/2022 LAND IMPR EXEMPT RATE AREA SPECIAL DISTRICTS PRIMARY  143,677  0  0  8.6352  1600 SECONDARY  50  173,473  0  3.0061  2022 TOTAL TAX BILLED 16,725.85

2022  TAX AMT TAX DUE INTEREST DATE PAID TOTAL DUE

FIRST HALF  8,362.93  8,362.93  111.51  8,474.44  SECOND HALF  8,362.92  8,362.92  0.00  8,362.92  TOTAL CURRENT TAXES DUE 11/22 16,837.36 12/22 16,948.86 (ESTIMATED) IMPROVEMENTS BLDG SQFT  0 FULL CASH VALUE  1,735,230 YEAR BUILT  0 LAND USE  01 51 NUMBER OF STORIES LOT SIZE  1 STDLT STORIES HEIGHT  0 SCHOOL DISTRICT  1600 EXTERIOR WALLS LAND FULL CASH VALUE  502 GRADE MATERIALS IMPR FULL CASH VALUE  1,734,728

+ FIRST AMERICAN TITLE, FC0, KWAL PIMA, AZ 11/21/2022  01:27PM  TCI1  INVESTIGATIVE SEARCH RESULTS PAGE 1 OF 1
SALES SALE DATE SALE AMOUNT INSTRUMENT TYPE SELLER NAME VALIDITY 07/02/2021 2,950,000    2021 1831059 WD MOUSSA ALBERT E & ARMALEH M 09/15/2017 275,000    2017 2580858 WD FADDUOL SAM L & CANDA M 04/30/1991 150,000    9028 175 WD CLIFFORD GEOFFREY C/BARBAR ADDITIONAL PROPERTY INFORMATION STANDARD LAND USE: SFR END SEARCH

Covenants, Conditions & Restrictions

Thank you for the opportunity to be of service.

Restrictions indicating a preference, limitation or discrimination based on race, color, religion, sex, handicap, familial status, or national origin are hereby deleted to the extent such restrictions violate 42 USC 3604(c).

This information is furnished without fee and without benefit of a complete title search. No liability is assumed by First American Title or Title Security. If it is desired that liability be assumed, you may apply for a policy of title insurance with First American Title Insurance Company.

Page 1 of 3 07/22/2020 3:19 PM
Page 2 of 3 07/22/2020 3:19 PM
Page 3 of 3 07/22/2020 3:19 PM
Page 1 of 3 07/22/2020 3:19 PM
Page 2 of 3 07/22/2020 3:19 PM
Page 3 of 3 07/22/2020 3:19 PM
Page 1 of 3 07/22/2020 2:26 PM
Page 2 of 3 07/22/2020 2:26 PM
Page 3 of 3 07/22/2020 2:26 PM
Page 1 of 36 07/22/2020 3:20 PM
Page 2 of 36 07/22/2020 3:20 PM
Page 3 of 36 07/22/2020 3:20 PM
Page 4 of 36 07/22/2020 3:20 PM
Page 5 of 36 07/22/2020 3:20 PM
Page 6 of 36 07/22/2020 3:20 PM
Page 7 of 36 07/22/2020 3:20 PM
Page 8 of 36 07/22/2020 3:20 PM
Page 9 of 36 07/22/2020 3:20 PM
Page 10 of 36 07/22/2020 3:20 PM
Page 11 of 36 07/22/2020 3:20 PM
Page 12 of 36 07/22/2020 3:20 PM
Page 13 of 36 07/22/2020 3:20 PM
Page 14 of 36 07/22/2020 3:20 PM
Page 15 of 36 07/22/2020 3:20 PM
Page 16 of 36 07/22/2020 3:20 PM
Page 17 of 36 07/22/2020 3:20 PM
Page 18 of 36 07/22/2020 3:20 PM
Page 19 of 36 07/22/2020 3:20 PM
Page 20 of 36 07/22/2020 3:20 PM
Page 21 of 36 07/22/2020 3:20 PM
Page 22 of 36 07/22/2020 3:20 PM
Page 23 of 36 07/22/2020 3:20 PM
Page 24 of 36 07/22/2020 3:20 PM
Page 25 of 36 07/22/2020 3:20 PM
Page 26 of 36 07/22/2020 3:20 PM
Page 27 of 36 07/22/2020 3:20 PM
Page 28 of 36 07/22/2020 3:20 PM
Page 29 of 36 07/22/2020 3:20 PM
Page 30 of 36 07/22/2020 3:20 PM
Page 31 of 36 07/22/2020 3:20 PM
Page 32 of 36 07/22/2020 3:20 PM
Page 33 of 36 07/22/2020 3:20 PM
Page 34 of 36 07/22/2020 3:20 PM
Page 35 of 36 07/22/2020 3:20 PM
Page 36 of 36 07/22/2020 3:20 PM

Turn static files into dynamic content formats.

Create a flipbook
Issuu converts static files into: digital portfolios, online yearbooks, online catalogs, digital photo albums and more. Sign up and create your flipbook.