1657 Leisure World

Page 1

LIMITATION OF LIABILITY FOR INFORMATIONAL REPORTS

IMPORTANT -- PLEASE READ CAREFULLY:

This report is not an insured product or service or a representation of the condition of title to real property. It is not an abst ract, legal opinion, opinion of title, title insurance commitment or preliminary report, or any form of Title Insurance or Guaranty. This report is issued exclusively for the benefit of the Applicant therefor and may not be used or relied upon by any other person. This report may not be reproduced in any manner without First American or Title Security's prior written consent. First American or Title Security does not represent or warrant that the information herein is complete or free from error, and the information herein is provided without any warranties of any kind, as-is, and with all faults. As a material part of the consideration given in exchange for the issuance of this report, recipient agrees that First American or Title Security's sole liability for any loss or damage caused by an error or omission due to inaccurate information or negligence in preparing this report shall be limited to the fee charged for the report. Recipient accepts this report with this limitation and agrees that First American or Title Security would not have issued this report but for the limitation of liability described above. First American or Title Security makes no representation or warranty as to the legality or propriety of recipient's use of the information herein.

Data Provided By:

Subject Property 1657 Leisure World Mesa AZ 85206 APN: 141-56-354
First American Title Ins Co © 2022 CoreLogic. All rights reserved

Disclaimer

This REiSource report is provided "as is" without warranty of any kind, either express or implied, including without limitations any warrantees of merchantability or fitness for a particular purpose. There is no representation of warranty that this information is complete or free from error, and the provider does not assume, and expressly disclaims, any liability to any person or entity for loss or damage caused by errors or omissions in this REiSource report without a title insurance policy.

The information contained in the REiSource report is delivered from your Title Company, who reminds you that you have the right as a consumer to compare fees and serviced levels for Title, Escrow, and all other services associated with property ownership, and to select providers accordingly. Your home is the largest investment you will make in your lifetime and you should demand the very best.

© 2022 CoreLogic. All rights reserved

Subject Property :   1657

Owner Information

World Mesa AZ 85206

Owner Name : Stewart Mason C Mailing Address : 1657 Leisure World, Mesa AZ 85206-2322 C027

Vesting Codes : Married Man / /

Owner Occupied Indicator : O

Location Information

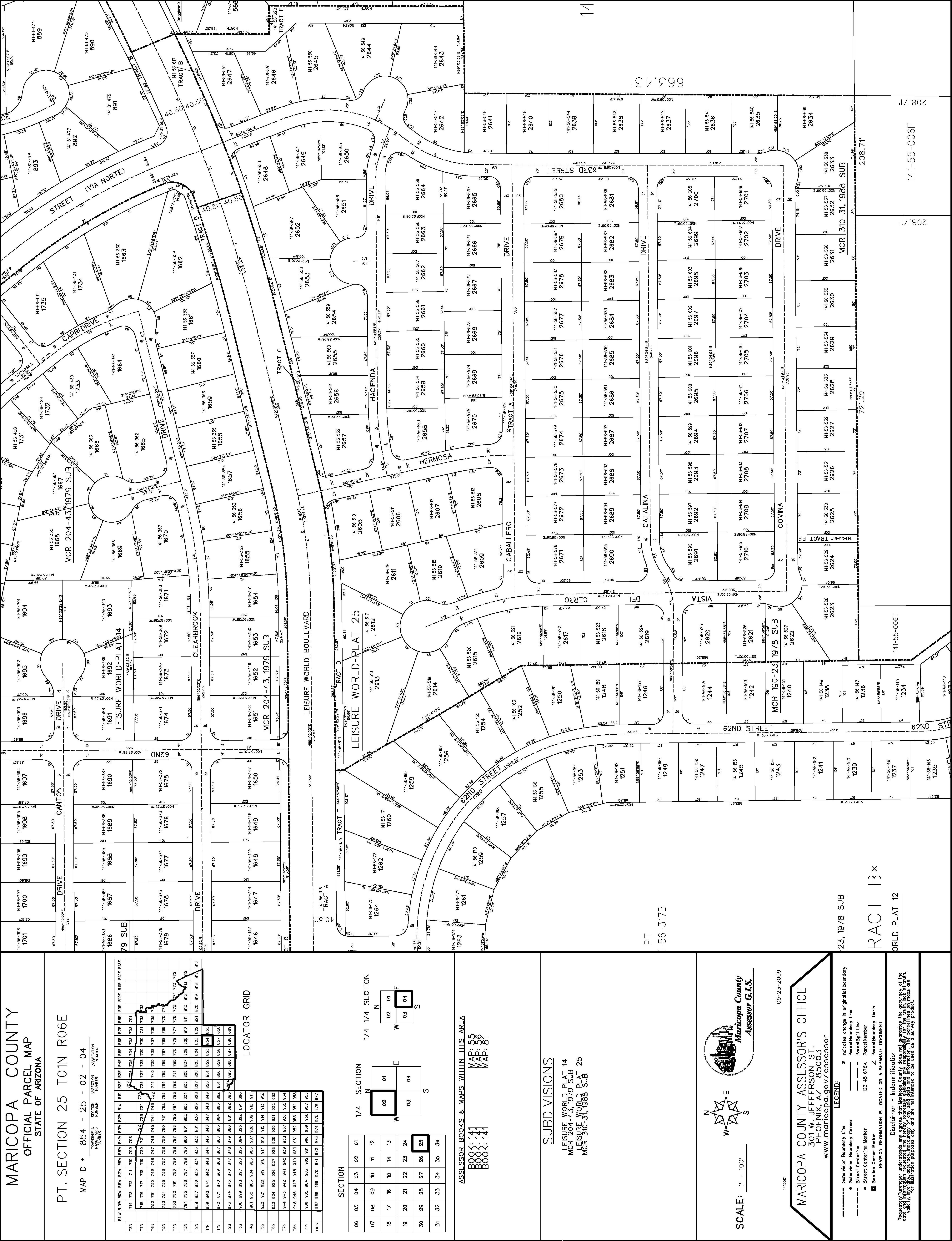
Legal Description : Lot 1657 Leisure World Plat Fourteen Mcr 204-43

County : Maricopa, Az

Census Tract / Block : 4226.39 / 2

Township-Range- Sect : 01N-06E-25

Legal Lot : 1657

APN : 141-56-354

Owner Transfer Information

Recording/Sale Date : 08/14/2003 / 12/23/2002

Subdivision : Leisure World 14

Map Reference : 20443

School District : Mesa 4

Neighbor Code : 24-007

Deed Type : Quit Claim Deed Document # : 1111190

Last Market Sale Information

Recording/Sale Date : / 11/16/1979

Deed Type : Joint Tenancy Deed Sale Price : $56,180

Property Characteristics

Gross Area : 1,374 Garage Capacity : 2

Price Per SqFt : $40.89

Patio Type : Covered Patio

Living Area : 1,374 Roof Material : Asphalt Shingle Air Cond : Refrigeration

Total Rooms : 5 Heat Type : Forced Air Quality : Average

Year Built / Eff : 1979

# of Stories : 1

Parking Type : Garage

Property Information

Cooling Type : Forced Air Condition : Average

Exterior wall : Frame Wood Bath Fixtures : 6

Land Use : Sfr Lot Acres : 0.19

Zoning : R1-6 Lot Size : 8,142

State Use : Single Fam Resurban Subd ( 3 )

Customer Name : Kariann Keomaka

Customer Company Name : First American Title Insurance Company

Prepared On : 10/25/2022

Leisure
© 2022 CoreLogic. All rights reserved

Tax Information

Total Value : $179,200

Land Value : $35,800

Improvement Value : $143,400

Total Taxable Value : $15,225

Improve % : 80%

Tax Year : 2021

Property Tax : $1,644.82

Tax Rate Area : 040012

Assessed Year : 2021 Market Value : $179,200

Current Assessed Year : 2023

Current Year Total Value : $25,400

Current Year Improvement Value :

$20,320

Current Year Land Value : $5,080

Customer Name : Kariann Keomaka

Customer Company Name : First American Title Insurance Company

Prepared On : 10/25/2022

© 2022 CoreLogic. All rights reserved

188,700 06/01/2022

164,000 08/10/2022

World 385,000 215,100 12/30/2021

World 299,149 166,500 03/07/2022

7,059 1980 0.16 R1-6

8,646 1978 0.25 R1-6

6,648 1978 0.26 R1-6

7,454 1979 0.28 R1-6

Sales Analysis Criteria Subject Property Low High Average Sale Price $56,180 $270,700 $480,000 $364,742 Bldg/Living Area 1374 1179 1579 1437 Price Per Square Foot $40.89 $172 $309 $254.58 Year Built 1979 1977 1989 1981 Lot Size 8,142 6,021 9,857 7,360 Bedrooms Bathrooms 2 2 3 2 Stories 1 1 1 1 Total Assessed Value $179,200 $129,600 $242,100 $185,255 Distance From Subject 0 0.08 0.43 0.29 Summary of Comparables # Address Sale Price Total Assessed Value Sale Date
Bed Bath Living Area Lot Size
Year Built
Dist (Miles) Zoning
S 1657 Leisure World 56,180 179,200 2 1,374 8,142 1979 R1-6 1 1674 Leisure World 415,000 182,600 04/22/2022 2 1,390 7,712 1979 0.08 R1-6 2 2648 Leisure World 412,000 200,300 03/28/2022 3 1,416 6,909 1989 0.1 R1-6 3 2688 Leisure World 300,000 204,000 01/04/2022 3 1,432 6,661 1988 0.13 R1-6 4 1679 Leisure World 420,000 192,100 06/03/2022 2 1,518 6,945 1982 0.15 R1-6 5 1747 Leisure World 459,900
2 1,536
6 601 Leisure World 349,900
2 1,284
7 574 Leisure
2 1,504
8 1013 Leisure
2 1,389
9 1083 Leisure World 354,900 165,600 04/11/2022 2 1,331 7,635 1979 0.31 R1-6 10 921 Leisure World 344,000 152,300 02/16/2022 2 1,179 8,090 1978 0.33 R1-6 11 972 Leisure World 319,900 173,600 02/16/2022 2 1,374 8,710 1978 0.33 R1-6 12 1203 Leisure World 480,000 241,600 06/15/2022 2 1,555 6,538 1979 0.34 R1-6 13 1587 Leisure World 465,000 242,100 05/20/2022 2 1,543 6,991 1982 0.36 R1-6 14 1818 Leisure World 270,700 129,600 08/03/2022 3 1,578 9,857 1984 0.36 R1-6 15 1901 Leisure World 345,000 187,300 12/08/2021 3 1,432 6,959 1984 0.38 R1-6 Customer Name : Kariann Keomaka Customer Company Name : First American Title Insurance Company Prepared On : 10/25/2022 © 2022 CoreLogic. All rights reserved
16 540 Leisure World 299,900 176,800 12/30/2021 2 1,564 8,051 1977 0.38 R1-6 17 1899 Leisure World 367,500 194,700 02/28/2022 3 1,579 6,849 1984 0.39 R1-6 18 1916 Leisure World 325,000 178,500 11/19/2021 3 1,258 6,584 1985 0.4 R1-6 19 513 Leisure World 328,000 154,700 03/30/2022 2 1,302 6,021 1978 0.43 R1-6 20 1832 Leisure World 354,000 195,000 01/19/2022 3 1,579 6,887 1986 0.43 R1-6 Distressed Sales = Map Customer Name : Kariann Keomaka Customer Company Name : First American Title Insurance Company Prepared On : 10/25/2022 © 2022 CoreLogic. All rights reserved

Details of Comparables

Subject Property: 1657 Leisure World Mesa Az 85206

Owner Name: Stewart Mason C / APN / Alternate APN: 141-56-354 / Deed Type: Joint Tenancy Deed Land Use: Sfr Subdivision / Tract: Leisure World 14 / Lot Size: 8,142

Year Built / Eff: 1979 / Rec. Date / Price: / $56,180 Living Area: 1,374

# of units: Document #: Bedrooms: Pool: Total Tax Value: $179,200 Bath(F/H): /

#1   1674 Leisure World Mesa Az 85206

Owner Name: Pring Jeffrey P / APN / Alternate APN: 141-56-371 / Deed Type: Warranty Deed

Land Use: Sfr Subdivision / Tract: Leisure World 14 / Lot Size: 7,712

Year Built / Eff: 1979 / Rec. Date / Price: 04/22/2022 / $415,000 Living Area: 1,390

# of units: Document #: 356475

Bedrooms: Pool: Total Tax Value: $182,600 Bath(F/H): /

#2   2648 Leisure World Mesa Az 85206

Owner Name: Tonda Trust / APN / Alternate APN: 141-56-553 / Deed Type: Warranty Deed Land Use: Sfr Subdivision / Tract: Leisure World 25 Lt 2605-2710 Tr A-f / Lot Size: 6,909

Year Built / Eff: 1989 / Rec. Date / Price: 03/28/2022 / $412,000 Living Area: 1,416

# of units: Document #: 276219

Bedrooms: Pool: Total Tax Value: $200,300 Bath(F/H): /

#3   2688 Leisure World Mesa Az 85206

Owner Name: Drescher Douglas L /King Stacey G APN / Alternate APN: 141-56-593 / Deed Type: Warranty Deed Land Use: Sfr Subdivision / Tract: Leisure World 25 Lt 2605-2710 Tr A-f / Lot Size: 6,661

Year Built / Eff: 1988 / Rec. Date / Price: 01/04/2022 / $300,000 Living Area: 1,432

# of units: Document #: 7939

Bedrooms: Pool: Total Tax Value: $204,000 Bath(F/H): /

#4   1679 Leisure World Mesa Az 85206

Owner Name: Gibson Genevieve L /Gibson Clifford APN / Alternate APN: 141-56-376 / Deed Type: Warranty Deed

Land Use: Sfr Subdivision / Tract: Leisure World 14 / Lot Size: 6,945

Year Built / Eff: 1982 / Rec. Date / Price: 06/03/2022 / $420,000 Living Area: 1,518

Document #: 475283

# of units:

Bedrooms: Pool:

Total Tax Value: $192,100 Bath(F/H): /

Customer Name : Kariann Keomaka

Customer Company Name : First American Title Insurance Company

Prepared On : 10/25/2022

© 2022 CoreLogic. All rights reserved

#5   1747 Leisure World Mesa Az 85206

Owner Name: Nowacki Loreen B Trust / APN / Alternate APN: 141-56-444 / Deed Type: Warranty Deed Land Use: Sfr

Subdivision / Tract: Leisure World 14 / Lot Size: 7,059

Year Built / Eff: 1980 / Rec. Date / Price: 06/01/2022 / $459,900 Living Area: 1,536

# of units: Document #: 466192 Bedrooms: Pool: Total Tax Value: $188,700 Bath(F/H): /

#6   601 Leisure World Mesa Az 85206

Owner Name: Egan Luanne G / APN / Alternate APN: 141-81-246 / Deed Type: Warranty Deed Land Use: Sfr

Subdivision / Tract: Rossmoor Leisure World Golden Hills 7 Amd / Lot Size: 8,646

Year Built / Eff: 1978 / Rec. Date / Price: 08/10/2022 / $349,900 Living Area: 1,284

Document #: 633881

# of units:

Bedrooms: Pool:

Total Tax Value: $164,000 Bath(F/H): /

#7   574 Leisure World Mesa Az 85206

Owner Name: Duncan Paul M / APN / Alternate APN: 141-81-219 / Deed Type: Warranty Deed Land Use: Sfr Subdivision / Tract: Rossmoor Leisure World Golden Hills 7 Amd / Lot Size: 6,648

Year Built / Eff: 1978 / Rec. Date / Price: 12/30/2021 / $385,000 Living Area: 1,504

Document #: 1383580

# of units:

Bedrooms: Pool:

Total Tax Value: $215,100 Bath(F/H): /

#8   1013 Leisure World Mesa Az 85206

Owner Name: Hawley Ralph / APN / Alternate APN: 141-81-598 / Deed Type: Warranty Deed Land Use: Sfr Subdivision / Tract: Leisure World 11 / Lot Size: 7,454

Year Built / Eff: 1979 / Rec. Date / Price: 03/07/2022 / $299,149 Living Area: 1,389

# of units: Document #: 206740

Bedrooms: Pool: Total Tax Value: $166,500 Bath(F/H): /

#9   1083 Leisure World Mesa Az 85206

Owner Name: Brownell Larry & Judy / APN / Alternate APN: 141-81-668 / Deed Type: Warranty Deed Land Use: Sfr Subdivision / Tract: Leisure World 11 / Lot Size: 7,635

Year Built / Eff: 1979 / Rec. Date / Price: 04/11/2022 / $354,900 Living Area: 1,331

# of units: Document #: 317182 Bedrooms: Pool: Total Tax Value: $165,600 Bath(F/H): /

Prepared On : 10/25/2022

Customer Name : Kariann Keomaka
Customer
Company
Name
: First American Title Insurance Company
© 2022 CoreLogic. All rights reserved

#10   921 Leisure World Mesa Az 85206

Owner Name: Beekman Kevin D /Schollmeier Joanne P

APN / Alternate APN: 141-81-506 / Deed Type: Warranty Deed

Land Use: Sfr

Year Built / Eff: 1978 / Rec. Date / Price: 02/16/2022 / $344,000 Living Area: 1,179

Subdivision / Tract: Leisure World 11 / Lot Size: 8,090

# of units:

Bedrooms: Pool: Total Tax Value: $152,300 Bath(F/H): /

Document #: 144673

#11   972 Leisure World Mesa Az 85206

Owner Name: Kofmehl William / APN / Alternate APN: 141-81-557 / Deed Type: Warranty Deed Land Use: Sfr

Subdivision / Tract: Leisure World 11 / Lot Size: 8,710

Year Built / Eff: 1978 / Rec. Date / Price: 02/16/2022 / $319,900 Living Area: 1,374

# of units: Document #: 146305 Bedrooms: Pool: Total Tax Value: $173,600 Bath(F/H): /

#12   1203 Leisure World Mesa Az 85206

Owner Name: Kunkle Janey / APN / Alternate APN: 141-56-114 / Deed Type: Warranty Deed Land Use: Sfr

Subdivision / Tract: Leisure World 12 / Lot Size: 6,538 Year Built / Eff: 1979 / Rec. Date / Price: 06/15/2022 / $480,000 Living Area: 1,555

# of units: Document #: 502175

Bedrooms: Pool: Total Tax Value: $241,600 Bath(F/H): /

#13   1587 Leisure World Mesa Az 85206

Owner Name: Athmann Daniel M /Athmann Jaclyn A APN / Alternate APN: 141-83-183 / Deed Type: Warranty Deed Land Use: Sfr Subdivision / Tract: Leisure World 15 Lts 1405 Thru 1512 1515 Thr / Lot Size: 6,991

Year Built / Eff: 1982 /

# of units: Document #: 436542

Rec. Date / Price: 05/20/2022 / $465,000 Living Area: 1,543

Bedrooms: Pool: Total Tax Value: $242,100 Bath(F/H): /

#14   1818 Leisure World Mesa Az 85206

Owner Name: Wilk Mark / APN / Alternate APN: 141-52-156 / Deed Type: Trustee's Deed (foreclosure) Land Use: Sfr Subdivision / Tract: Leisure World 17 Amd / Lot Size: 9,857

Year Built / Eff: 1984 / Rec. Date / Price: 08/03/2022 / $270,700 Living Area: 1,578

# of units:

Bedrooms: Pool: Total Tax Value: $129,600 Bath(F/H): /

Document #: 617430

Customer Name : Kariann Keomaka

Customer Company Name : First American Title Insurance Company

Prepared On : 10/25/2022

© 2022 CoreLogic. All rights reserved

#15   1901 Leisure World Mesa Az 85206

Owner Name: Nielsen Erin A /

APN / Alternate APN: 141-52-239 / Deed Type: Warranty Deed

Land Use: Sfr Subdivision / Tract: Leisure World 17 Amd / Lot Size: 6,959

Year Built / Eff: 1984 / Rec. Date / Price: 12/08/2021 / $345,000 Living Area: 1,432

Document #: 1299733

# of units:

Bedrooms: Pool:

Total Tax Value: $187,300 Bath(F/H): /

#16   540 Leisure World Mesa Az 85206

Owner Name: Gillcrest Equities /Gillcrest Equities Llc

APN / Alternate APN: 141-81-182 / Deed Type: Special Warranty Deed Land Use: Sfr Subdivision / Tract: Rossmoor Leisure World Golden Hills 6 Amd / Lot Size: 8,051

Year Built / Eff: 1977 / Rec. Date / Price: 12/30/2021 / $299,900 Living Area: 1,564

Document #: 1384103

# of units:

Bedrooms: Pool:

Total Tax Value: $176,800 Bath(F/H): /

#17   1899 Leisure World Mesa Az 85206

Owner Name: Wallace Jameson R /Wallace Tricia M

APN / Alternate APN: 141-52-237 / Deed Type: Warranty Deed Land Use: Sfr Subdivision / Tract: Leisure World 17 Amd / Lot Size: 6,849

Year Built / Eff: 1984 / Rec. Date / Price: 02/28/2022 / $367,500 Living Area: 1,579

Document #: 183599

Bedrooms:

Total Tax Value: $194,700 Bath(F/H): /

#18   1916 Leisure World Mesa Az 85206

# of units:

Pool:

Owner Name: Mary Kathryn Murray / APN / Alternate APN: 141-52-254 / Deed Type: Warranty Deed Land Use: Sfr Subdivision / Tract: Leisure World 17 Amd / Lot Size: 6,584

Year Built / Eff: 1985 / Rec. Date / Price: 11/19/2021 / $325,000 Living Area: 1,258

# of units: Document #: 1238311

Bedrooms: Pool: Total Tax Value: $178,500 Bath(F/H): /

#19   513 Leisure World Mesa Az 85206

Owner Name: Peters Michael B Trust /Peters Carol M Trust

APN / Alternate APN: 141-81-155 / Deed Type: Warranty Deed Land Use: Sfr Subdivision / Tract: Rossmoor Leisure World Golden Hills 6 Amd / Lot Size: 6,021

Year Built / Eff: 1978 / Rec. Date / Price: 03/30/2022 / $328,000 Living Area: 1,302

# of units: Document #: 284930

Bedrooms: Pool:

Total Tax Value: $154,700 Bath(F/H): /

Customer Name : Kariann Keomaka

Customer Company Name : First American Title Insurance Company

Prepared On : 10/25/2022

© 2022 CoreLogic. All rights reserved

#20   1832 Leisure World Mesa Az

Owner Name: Offerpad Spe Borrower A Llc / APN / Alternate APN: 141-52-170 / Deed Type: Warranty Deed

Land Use: Sfr Subdivision / Tract: Leisure World 17 Amd / Lot Size: 6,887

Year Built / Eff: 1986 / Rec. Date / Price: 01/19/2022 / $354,000 Living Area: 1,579 # of units: Document #: 55064 Bedrooms: Pool: Total Tax Value: $195,000 Bath(F/H): /

Customer Name : Kariann Keomaka

Customer Company Name : First American Title Insurance Company Prepared On : 10/25/2022

85206
© 2022 CoreLogic. All rights reserved
Subject Property :   1657 Leisure World Mesa AZ 85206 Customer Name : Kariann Keomaka Customer Company Name : First American Title Insurance Company Prepared On : 10/25/2022 © 2022 CoreLogic. All rights reserved

Customer Name : Kariann Keomaka Customer Company Name : First American Title Insurance Company

Prepared On : 10/25/2022

2022 CoreLogic. All rights reserved

©

WSilverbellRd

terman Moun

VERDE

TUCSON

efButteRd

EDesertDove

SGuildRd

GasLineRd

SOwlHead

NFrontageRd

NKINNEYRD

SSanJoaquinRd

NSILVERBELLRD

SKINNEYRD

SMISSIONRD

SSantaRitaRd

Road424

SHelvetiaRd

520.625.3502

E. Ginter Road, Tucson, AZ 85706 520.545.2000

N. Tanque Verde Loop, Tucson, AZ 85749 520.749.5751

E. 10th Street, Tucson, AZ 85717 520.225.6000

E. Mary Ann Cleveland Way, Tucson, AZ 85747 520.879.2000

05249570321 TUCSON INT'L AIRPORT Air Force
N M t L emmon Hwy ESascoRd NF 38 W Avra Valley Rd E Grand Va ey DrNAguirre R d N L u c k e R d N W e n t z R d N Wa
ta i n R d N Anway Rd W El Tiro Rd N Trico Rd W Tucker Rd W Rudas l Rd W Manvi e Rd
WBopp Rd W Snyder H l Rd S M a r s e a r R d W Park Rd W Hermans RdW Hermans Rd W Guy St W Bush Rd S G a v e y R d N C a e R i n c o n a d o S W m o R d S Shaw Rd S Sierrita Mountain Rd S K o b R d W TwinButtes Rd W Mcgee Ranch Rd S E s t a n c a D r
E Hemlock Dr N Bea r C a n y o n R d W E Camino Del Cerro E Fairmount St S Swan Rd
W Emigh Rd W Fort Lowe Rd N P u m p S t a t ion dR E Nona Rd Ch
Lo al Ave N Trico Rd S Cattle Tank Rd Evalyn Rd
R a n c h Rd
S P ec a n R d N T r c o R d W Bayard Rd S S a n d a r o R d W i l l owSpri n gsRd N Dove Mountain Blvd
WAnamax Mine Rd W G a c i a R a n hc R d
WRagged Top Rd W Ruby Star Dr WBritten RanchRd W Pima Mine Rd S Mcgee Ranch R d E Edw n Rd
8 0
S PICACHO HWY E BAUMGARTNER RD N S A N D A R I O R D N ANWAY RD W VALENCIA RD W MOORE RD W INA RD N 1 S T A V E E SUNRISE DR E SNYDER RD
N S O L D I E R T R L E RIVER RDE PRINCE RD E SPEEDWAY BLVD S FREEMAN RD E 22ND ST E 22ND ST W IRVINGTON RD S N O G A L E S H W Y W VALENCIA RD
W SPEEDWAY BLVD S O L D S P A N I S H T RL W NARANJA DR W TWIN PEAKS RD W PICTURE ROCKS RD W MANVILLE RD
W MILE WIDE RD E SAHUARITA RD N TRICO RD S S A N D A R O R D PARK LINK DR S OLD N O G ALES HW Y S H O U G H T O N R D S L A C A N A D A DRW HELMET PEAK RD WAJOHWY N S W A N R D S KOLB RD S HOUGHTON RD W TANGERINE RD E GRANT RD S H O U G H T O N R D 9 5 WAJOHWY E VALENCIA RD NORACLE R D I10 I-19 77 77 77 86 86 286 10 19 10 10 Corona de Tucson Casas Adobes Catalina Green Valley Oracle Picture Rocks Three Points VailSummit Tanque Verde Tucson Sahuarita Red Rock Saddlebrooke Marana Oro Valley Rillito Summerhaven Willow Canyon Oracle Junction Cortaro Continental Littletown 20 30 13 15 51 39 12 01 01 08 10 16 11 06 PIMA COUNTY School District Information This map is provided for general location only. Please contact school districts for actual street boundaries SCHOOL DISTRICTS 15 AJO UNIFIED 111 N. Well Road, Ajo, AZ 85321 520.387.5618 51 ALTAR VALLEY ELEMENTARY 10105 S. Sasabe Road, Tucson, AZ 85736 520.822.1484 10 AMPHITHEATER UNIFIED 701 W. Wetmore, Tucson, AZ 85705 520.696.5000 16 CATALINA FOOTHILS UNIFIED 2101 E. River Road, Tucson, AZ 85718 520.209.7500 39 CONTINENTAL ELEMENTARY 1991 E. Whitehouse Canyon, Green Valley, AZ 85614 520.625.4581 08 FLOWING WELLS UNIFIED 1556 W. Prince Road, Tucson, AZ 85705 520.696.8800 06 MARANA UNIFIED 11279 W. Grier Road, Marana, AZ 85653 520.682.3243 11 PIMA COUNTY JTED 2855 W. Master Pieces Dr, Tucson, AZ 85741 520.352.5833 30 SAHUARITA UNIFIED 350 W. Sahuarita Road, Sahuarita, AZ 85629
12 SUNNYSIDE UNIFIED 2238
13 TANQUE
UNIFIED 2300
01
UNIFIED 1010
20 VAIL UNIFIED 10701
First American Title Insurance Company, and the operating divisions thereof, make no express or implied warranty respecting the information presented and assume no responsibility for errors or omissions. First American, the eagle logo, First American Title, and firstam.com are registered trademarks or trademarks of First American Financial Corporation and/or its affiliates. ©2021 First American Financial Corporation and/or its affiliates. All rights reserved. NYSE: FAF

Arizona Schools

For detailed information and statistics on Arizona schools please go to

https://azreportcards.azed.gov/ First American Title Insurance Company, and the operating divisions thereof, make no express or implied warranty respecting the information presented and assume no responsibility for errors or omissions. First American, the eagle logo, First American Title, and firstam.com are registered trademarks or trademarks of First American Financial Corporation and/or its affiliates. ©2021 First American Financial Corporation and/or its affiliates. All rights reserved. NYSE: FAF 05117910421

Public Schools :

Elementary Schools

Madison Elementary School

Distance 1.05 Miles 849 S Sunnyvale Mesa AZ 85206

Telephone : (480) 472-8800

Lowest Grade : Pre-K

School District : Mesa Unified District (4235)

Highest Grade : 6th Kindergarten : Yes School Enrollment :

Enrollment : 407

Total Expenditure/Student : 373

Distance 1.13 Miles 120 S Jefferson Ave Mesa AZ 85208

Jefferson Elementary School

Telephone : (480) 472-8703

Lowest Grade : Pre-K

School District : Mesa Unified District (4235)

Highest Grade : 6th Kindergarten : Yes School Enrollment :

Enrollment : 529

Total Expenditure/Student : 373

Distance 1.27 Miles 5619 E Glade Ave Mesa AZ 85206

Wilson Elementary School

Telephone : (480) 472-9250

Lowest Grade : Pre-K

School District : Mesa Unified District (4235)

Highest Grade : 6th Kindergarten : Yes School Enrollment : Enrollment : 632

Total Expenditure/Student : 373

Distance 1.89 Miles 4949 E Southern Ave Mesa AZ 85206

Franklin At Brimhall Elementary

Telephone : (480) 472-2600

Lowest Grade : Pre-K

School District : Mesa Unified District (4235)

Highest Grade : 6th Kindergarten : Yes School Enrollment :

Enrollment : 870

Total Expenditure/Student : 373

Customer Name : Kariann Keomaka Customer Company Name : First American Title Insurance Company Prepared On : 10/25/2022

© 2022 CoreLogic. All rights reserved

Middle Schools

Franklin Junior High School

Distance 1.89 Miles 4949 E Southern Ave Mesa AZ 85206

Telephone : (480) 472-8990

School District : Mesa Unified District (4235)

Lowest Grade : 7th Highest Grade : 8th Kindergarten : No School Enrollment : Enrollment : 271

High Schools

Total Expenditure/Student : 373

East Valley High School

Distance 1.76 Miles 7420 E Main St Mesa AZ 85207

Telephone : (480) 981-2008

School District : Legacy Education Group (87349)

Lowest Grade : 9th Highest Grade : 12th School Enrollment : Enrollment : 157

Total Expenditure/Student :

Advanced Placement : No

Customer Name : Kariann Keomaka

Company Name : First American Title Insurance Company

Prepared On : 10/25/2022

Customer
© 2022 CoreLogic. All rights reserved

Local Business

Attractions / Recreation

Name Address

Telephone Distance (Miles)

Kennan Enterprises, Llc 524 Leisure World Mesa Az (602) 315-2143 0.45

Sun Home Communities 306 S Recker Rd Ofc Mesa Az (480) 830-1080 0.57

Arizona Golf Resort 425 S Power Rd Mesa Az (480) 832-1661 0.69

Amaz Entertainment, Llc 712 S Saranac Ave Mesa Az (480) 528-6291 0.76

Banks / Financial

Name Address

Telephone Distance (Miles)

Dollar Tree Stores, Inc. 6519 E Arbor Ave Mesa Az (602) 486-5718 0.69

Wells Fargo Bank, National Association 121 S Power Rd Mesa Az (480) 827-2343 0.92

Bank Of America, National Association 1210 S Power Rd Mesa Az (480) 218-5148 0.96

Buckeye Checksmart 6771 E Main St Mesa Az (480) 981-6999 0.98

Eating / Drinking

Name Address

Telephone Distance (Miles)

Cinron Catering Llc 1092 Leisure World Mesa Az (480) 907-6539 0.23

Mo's On The Green Sports Grill 801 S Power Rd Mesa Az (480) 584-6196 0.65

Starbucks Corporation 344 S Power Rd Ste 101 Mesa Az (480) 807-5782 0.72

Rmh Franchise Holdings, Inc. 6259 E Southern Ave Mesa Az (480) 830-3099 0.72

Health Care Services

Name Address

Telephone Distance (Miles)

Arizona Retina Associates 6262 E Broadway Rd # 106 Mesa Az (480) 482-7100 0.33

Soba Mesa Llc 6262 E Broadway Rd Mesa Az (480) 664-3979 0.33

Alyssa Kim 6262 E Broadway Rd # 106 Mesa Az (480) 898-3937 0.33

The Retina Group Pllc 6262 E Broadway Rd # 106 Mesa Az (480) 898-3937 0.33

Company

Customer Name :

:

American Title Insurance Company

On : 10/25/2022

Kariann Keomaka Customer
Name
First
Prepared
© 2022 CoreLogic. All rights reserved

Hospitality

Name Address

Telephone Distance (Miles)

Annabelle's Dining & Lounge 425 S Power Rd Mesa Az (480) 832-3202 0.69

Arizona Golf Hotel And Resort 425 S Power Rd Mesa Az (480) 832-3202 0.69

Quality Inn 6347 E Southern Ave Mesa Az (480) 807-7760 0.72 Ss 60 Llc 6347 E Southern Ave Mesa Az (480) 641-1164 0.72

Organizations / Associations

Name Address

Telephone Distance (Miles)

Mesa Home Sales 357 S Alvaro Cir Mesa Az (480) 275-2620 0.99

Personal Services

Name Address

Telephone Distance (Miles)

Lis Foot Spa 6555 E Southern Ave # 101 Mesa Az (480) 981-0076 0.79

Barre Physique Llc 5540 E Broadway Rd Ste 12 Mesa Az (480) 399-6630 0.99

Shopping

Name Address

Telephone Distance (Miles)

Bo-bo Food Llc 6732 E Broadway Rd Mesa Az (480) 981-1678 0.63

King Tut Productions L.l.c. "" Mesa Az (602) 329-2213 0.66

Albertson's Llc 325 S Power Rd Mesa Az (480) 924-9001 0.74

Walmart Inc. 6131 E Southern Ave Mesa Az (480) 830-7174 0.75

Customer Name : Kariann Keomaka Customer Company Name : First American Title Insurance Company Prepared On : 10/25/2022

© 2022 CoreLogic. All rights reserved

894 LEISURE WORLD

Owner Name : Long Charles A

Sale Date : 02/10/2006

Total Value : $176,700

Bed / Bath : / 2

Land Use : Sfr

Stories : 1

Yr Blt / Eff Yr Blt : 1979 /

908 S POWER RD # 892

Owner Name : Mann Richard

Sale Date : 05/18/2016

Total Value : $186,000

Bed / Bath : / 2

Distance 0.12 Miles

Subdivision : Leisure World 11

Recording Date : 03/01/2006

Sale Price  : $218,500

Property Tax : $1,101.98

Lot Acres : 0.21

Living Area : 1,435

APN : 141-81-479

Distance 0.12 Miles

Subdivision : Leisure World 11

Recording Date : 06/02/2016

Sale Price  : $177,000

Property Tax : $1,589.76

Land Use : Sfr Lot Acres : 0.21

Stories : 1

Yr Blt / Eff Yr Blt : 1978 /

Living Area : 1,768

APN : 141-81-477

908 S POWER RD # 893 Distance 0.12 Miles

Owner Name : Jahr Michael H

Sale Date : 09/00/2018

Total Value : $175,200

Bed / Bath : / 2

Subdivision : Leisure World 11

Recording Date : 10/16/2018

Sale Price  : $245,000

Property Tax : $1,389.26

Land Use : Sfr Lot Acres : 0.20

Stories : 1 Living Area : 1,504

Yr Blt / Eff Yr Blt : 1978 /

APN : 141-81-478

895 LEISURE WORLD Distance 0.13 Miles

Owner Name : Patricia E Lines Revocable

Sale Date : 09/30/2022

Total Value : $194,800

Bed / Bath : / 2

Land Use : Sfr

Stories : 1

Yr Blt / Eff Yr Blt : 1979 /

Subdivision : Leisure World 11

Recording Date : 10/14/2022

Sale Price  : $385,000

Property Tax : $1,674.60

Lot Acres : 0.26

Living Area : 1,752

APN : 141-81-480

Customer Name : Kariann Keomaka

Customer Company Name : First American Title Insurance Company

Prepared On : 10/25/2022

© 2022 CoreLogic. All rights reserved

891 LEISURE WORLD

Owner Name : Dooney Jack R

Sale Date : 05/00/1997

Total Value : $191,000

Bed / Bath : / 2

Land Use : Sfr

Stories : 1

Yr Blt / Eff Yr Blt : 1978 /

Distance 0.13 Miles

Subdivision : Leisure World 11

Recording Date : 05/27/1997

Sale Price  : $59,000

Property Tax : $1,642.44

Lot Acres : 0.32

Living Area : 1,676

APN : 141-81-476

896 LEISURE WORLD Distance 0.13 Miles

Owner Name : Strunk Donald J

Sale Date : 04/00/1989

Total Value : $205,200

Bed / Bath : / 2

Subdivision : Leisure World 11

Recording Date : 05/15/1989

Sale Price  : $95,000

Property Tax : $1,821.92

Land Use : Sfr Lot Acres : 0.21

Stories : 1 Living Area : 2,021

Yr Blt / Eff Yr Blt : 1983 /

APN : 141-81-481

1005 LEISURE WORLD Distance 0.14 Miles

Owner Name : Flamini

Sale Date : 11/00/1991

Total Value : $188,300

Bed / Bath : / 2

Subdivision : Leisure World 11

Recording Date : 03/25/1992

Sale Price  : $89,000

Property Tax : $1,623.14

Land Use : Sfr Lot Acres : 0.26

Stories : 1 Living Area : 1,676

Yr Blt / Eff Yr Blt : 1979 /

APN : 141-81-590

Customer Name : Kariann Keomaka

Customer Company Name : First American Title Insurance Company

Prepared On : 10/25/2022

© 2022 CoreLogic. All rights reserved

Census Tract / block: 4226.39 / 2     Year: 2018

Household

Population Population by Age

Count: 3,612 0 - 11

Estimate Current Year: 3,635 12 - 17

Estimate in 5 Years: 3,729 18 - 24 3.65%

Growth Last 5 Years: -7.53% 25 - 64 28.93%

Growth Last 10 Years: -98.74% 65 - 74 29.87%

75+

Household Size Household Income

Current Year: 2,138 0 - $25,000 25.02%

Average Current Year: 1.69 $25,000 - $35,000 11.41%

Estimate in 5 Years: 2,225 $35,000 - $50,000 21%

Growth Last 5 Years: 2.2% $50,000 - $75,000 20.91%

Growth Last 10 Years: -17.64% $75,000 - $100,000 4.91%

Male Population: 44.24% Above $100,000 16.74%

Female Population: 55.76% Average Household Income: $44,800

Married People: 55.02%

Unmarried People: 44.98%

Housing

Median Mortgage Payments

Home Values

Under $300: 23.81% Below $100,000: 7.62%

$300 - $799: 50.26% $100,000 - $150,000: 7.27%

$800 - $1,999: 24.34% $150,000 - $200,000: 27.8% Over $2,000: 1.58% $200,000 - $300,000: 39.3%

Median Home Value: $217,100 $300,000 - $500,000: 17.3%

Unit Occupied Owner: 79.75% Above $500,000: 0.7%

Median Mortgage: $810

Customer
Name : Kariann Keomaka Customer Company Name : First American Title Insurance Company Prepared On : 10/25/2022 © 2022 CoreLogic. All rights reserved

Rent Payments

Year Built

Unit Occupied Renter: 20.25% 1999 - 2000

Median Gross Rent: $1,149 1995 - 1998

Less Than $499 0% 1990 - 1994

$500 - $749 0% 1980 - 1989 41.58%

$750 - $999 12.84% 1970 - 1979 37.05%

$1000 and Over 87.16% 1900 - 1969 1.3%

Education

Enrollment

Public Pre-Primary School: 0% Not Enrolled in School: 91.45%

Private Pre-Primary School: 0% Not A High School Graduate: 3.47%

Public School: 5.23% Graduate Of High School: 22.23%

Private School: 3.32% Attended Some College: 29.4%

Public College: 3.05% College Graduate: 30.08%

Private College: 3.32% Graduate Degree: 14.82%

Workforce

Occupation:

Manager/Prof: 33.95% Private Worker: 81.46%

Technical: Government Worker: 1.85%

Sales: 14.84% Self Employed Worker: 7.56%

Administrative: Unpaid Family Worker: 5.56%

Private House Hold: Farming: 7.56%

Service: 31.81% Skilled:

Protective Services: Blue-Collar: 19.4%

Commute Time

Less Than 15 Min: 40.22%

15 min - 28 min: 29.74%

30 min - 57 min: 23.88%

Over 60 min: 6.16%

Customer Name : Kariann Keomaka

Company Name : First American Title Insurance Company Prepared On : 10/25/2022

Customer
© 2022 CoreLogic. All rights reserved
Customer Name : Kariann Keomaka Customer Company Name : First American Title Insurance Company Prepared On : 10/25/2022 © 2022 CoreLogic. All rights reserved
Customer Name : Kariann Keomaka Customer Company Name : First American Title Insurance Company Prepared On : 10/25/2022 © 2022 CoreLogic. All rights reserved
Customer Name : Kariann Keomaka Customer Company Name : First American Title Insurance Company Prepared On : 10/25/2022 © 2022 CoreLogic. All rights reserved

RESIDENTIAL IMPROVEMENTS

SEARCH PARAMETERS

DATE PAID

0.00

1,648.38

1,659.37 (ESTIMATED)

+ FIRST AMERICAN TITLE, FC0, KWAL MARICOPA, AZ 10/25/2022  10:08AM  TCI1  INVESTIGATIVE SEARCH RESULTS PAGE 1 OF 1
PARCEL:  141-56-354 PARCEL: 141-56-354 4 INSTRUMENT REC DATE OWNER: STEWART MASON C     2003 1111190 08/14/2003  SITUS: 1657 LEISURE WORLD MESA  MAIL: 1657 LEISURE WORLD  MESA, AZ 85206  PLAT: 204 -   43 LOT    1657 LEGAL: LEISURE WORLD PLAT FOURTEEN MCR 204-43  CURRENT TAXES INFORMATION THROUGH 10/14/2022 LAND IMPR EXEMPT RATE AREA SPECIAL DISTRICTS PRIMARY  15,986  0  0  6.2781  040012  12726 30001  SECONDARY  3,820  15,310  0  4.0332  2022 TOTAL TAX BILLED 1,648.38 2022  TAX AMT TAX DUE INTEREST
TOTAL DUE FIRST HALF  824.19  824.19  0.00  824.19  SECOND HALF  824.19  824.19
824.19  TOTAL CURRENT TAXES DUE 10/22
11/22
BLDG SQFT  1,374 COOLING  REFRIGERATION YEAR BUILT  1979 EXTERIOR WALLS  FRAME WOOD NUMBER OF STORIES  1.0 ROOF  ASPHALT SHINGLE NUMBER OF ROOMS CONSTRUCTION CLASS  R3 NUMBER OF BATH FIXTURES  6 PHYSICAL CONDITION  OTHER PATIO (TYPE AND NUMBER)  COVERED 1 LAND USE  01 31 GARAGE (TYPE AND NUMBER)  GARAGE 2 LOT SIZE  8,142 SQ FT POOL SQ FT SCHOOL DISTRICT  040012 HEATING LAND FULL CASH VALUE  38,200 IMPR FULL CASH VALUE 153,100 SALES SALE DATE SALE AMOUNT INSTRUMENT TYPE SELLER NAME VALIDITY 11/16/1979 56,180    1979 434621 JD CHICAGO TITLE TR 1 ADDITIONAL PROPERTY INFORMATION STANDARD LAND USE: SFR END SEARCH

Covenants, Conditions & Restrictions

Thank you for the opportunity to be of service.

Restrictions indicating a preference, limitation or discrimination based on race, color, religion, sex, handicap, familial status, or national origin are hereby deleted to the extent such restrictions violate 42 USC 3604(c).

This information is furnished without fee and without benefit of a complete title search. No liability is assumed by First American Title or Title Security. If it is desired that liability be assumed, you may apply for a policy of title insurance with First American Title Insurance Company.

to the Title & Escrow Process in Arizona

Home Seller’s Guide

1.877.860.6020

Southwest Gas
www.swgas.com Cox 602.277.1000 www.cox.com Direct TV 1.888.777.2454 www.directv.com Dish Network 1.800.823.4929 www.dishnetwork.com CenturyLink 800.366.8201 www.centurylink.com AT&T 1.800.222.0300 www.att.com Verizon 1.877.300.4498 www.connecttoverizon.com Salt River Project 602.236.8888 www.srpnet.com APS 602.371.7171 www.aps.com Your Escrow Number Your New Address City/State/Zip Real Estate Agent Name Email Assistant Email Company Phone Address Fax Insurance Previous Company Phone Previous Agent Policy No. New Company Phone New Agent Policy No. Home Warranty Company Policy No. First American Title Escrow Officer Email Escrow Assistant Email Address Phone City/State/Zip Fax 02 Quick Reference 03 Welcome 04 Benefits of Using a REALTOR ® 05 Key Professionals 06 Preparing Your Home for Sale 07 Staging Your Home for Show 09 Terms You Should Know 10 The Life of an Escrow 11 Closing Costs: Who Pays What 12 The Escrow Process 14 Understanding Title Insurance 16 Consider This 17 Closing Your Escrow 18 Planning Your Move Q uick Reference Table of Contents Utilities and Services

Count on First American Title

Welcome to the home-selling process. Throughout this process, you can count on First American Title to guide you smoothly through your transaction and provide expert answers to your questions. We are happy to serve you.

Count On Us For Service

First American Title’s professionals are proud to provide the title insurance that assures people’s home ownership. Backed by First American Title Insurance Company, your transaction will be expertly completed in accordance with state-specific underwriting standards and state and federal regulatory requirements.

Count On Us For Stability

First American Title is the principal subsidiary of First American Financial Corporation, and one of the largest suppliers of title insurance services in the nation. With roots dating back to 1889, we’ve served families for generations.

Count On Us For Convenience

First American Title has a direct office or agent near you, offering convenient locations throughout Arizona. We also have an extensive network of offices and agents throughout the United States, and internationally.

Count On Us To Meet Your Needs

First American Financial Corporation offers more than title insurance and escrow services through its subsidiaries. Our subsidiaries also provide property data, title plant records and images, home warranties, property and casualty insurance, and banking, trust and advisory services.

AZ Sellers Guide | 3

Benefits of using a Professional REALTOR ®

Before you make the decision to try to sell your home alone, consider the benefits a REALTOR ® can provide that you may not be aware of.

A REALTOR ® :

› Understands market conditions and has access to information not available to the average homeowner.

› Can advertise effectively for the best results.

› Knows how to price your home realistically, to give you the highest price possible within your time frame.

› Is experienced in creating demand for homes and how to show them to advantage.

› Knows how to screen potential buyers and eliminate those who can’t qualify or are looking for bargain-basement prices.

› Knows how to go toe-to-toe in negotiations.

› Is always “on-call,” answering the phone at all hours, and showing homes evenings and weekends.

› Can remain objective when presenting offers and counter-offers on your behalf.

› Maintains errors-and-omissions insurance.

› Will listen to your needs, respect your opinions and allow you to make your own decisions.

› Can help protect your rights, particularly important with the increasingly complicated real estate laws and regulations.

› Is experienced with resolving problems to facilitate a successful closing on your home.

Only you can determine whether you should attempt to sell your home—probably your largest investment—all alone. Talk with a REALTOR® before you decide. You may find working with a professional is a lot less expensive and much more beneficial than you ever imagined!

FOR SALE BY OWNER

Many people believe they can save a considerable amount of money by selling their homes themselves. It may seem like a good idea at the time, but while you may be willing to take on the task, are you qualified? The following are some questions to help you realistically assess what’s involved.

Do you...

- have the knowledge, patience, and sales skills needed to sell your home?

- know how to determine your home’s current market value?

- know how to determine whether or not a buyer can qualify for a loan?

- understand the steps of an escrow and what’s required of you and the buyer?

- need to hire a real estate attorney? If so, do you know what the cost will be and how much liability they will assume in the transaction?

- know how to advertise effectively and what the costs will be?

- understand the various types of loans buyers may choose and the advantages and disadvantages for the seller?

- have arrangements with an escrow and title company, home warranty company, pest-control service and lender to assist you with the transaction?

Are you...

- aware of conditions in the marketplace today that affect value and length of time to sell?

- concerned about having strangers walking through your home?

- familiar enough with real estate regulations to prepare a binding sales contract? Counter-offers?

- aware that every time you leave your home, you are taking it off the market until you return?

- aware that prospective buyers and bargain hunters will expect you to lower your cost because there’s no REALTOR® involved?

- prepared to give up your evenings and weekends to show your home to potential buyers and “just-looking” time wasters?

AZ Sellers Guide | 4

Key Professionals Involved in Your Transaction

REALTOR ®

A REALTOR ® is a licensed real estate agent and a member of the National Association of REALTORS,® a real estate trade association. REALTORS ® also belong to their state and local Association of REALTORS.®

REAL ESTATE AGENT

A real estate agent is licensed by the state to represent parties in the transfer of property. Every REALTOR ® is a real estate agent, but not every real estate agent has the professional designation of a REALTOR.®

LISTING AGENT

A key role of the listing agent or broker is to form a legal relationship with the homeowner to sell the property and place the property in the Multiple Listing Service.

BUYER'S AGENT

A key role of the buyer’s agent or broker is to work with the buyer to locate a suitable property and negotiate a successful home purchase.

MULTIPLE LISTING SERVICE (MLS)

The MLS is a database of properties listed for sale by REALTORS ® who are members of the local Association of REALTORS.® Information on an MLS property is available to thousands of REALTORS ®

TITLE COMPANY

These are the people who carry out the title search and examination, work with you to eliminate the title exceptions you are not willing to take subject to, and provide the policy of title insurance regarding title to the real property.

ESCROW OFFICER

An escrow officer leads the facilitation of your escrow, including escrow instructions preparation, document preparation, funds disbursement, and more.

AZ Sellers Guide | 5

PREPARING FOR SALE YOUR HOME

Mow and edge the lawn regularly, and trim the shrubs.

Make your entry inviting: Paint your front door and buy a new front door mat.

Paint or replace the mailbox, if needed.

If screens or windows are damaged, replace or repair them.

Repair or replace worn shutters and other exterior trim.

Make sure the front steps are clear and hazard-free. Make sure the doorbell works properly and has a pleasant sound.

Ensure that all exterior lights are working.

Check stucco walls for cracks and discoloration.

Remove any oil and rust stains from the driveway and garage.

Clean and organize the garage, and ensure the door is in good working order. Shampoo carpeting or replace if worn. Clean tile floors, particularly the caulking.

Brighten the appearance inside by painting walls, cleaning windows and window coverings, and removing sunscreens.

Repair leaky faucets and caulking in bathtubs and showers.

Repair or replace loose knobs on doors and cabinets. If doors stick or squeak, fix them.

Make sure toilet seats look new and are firmly attached.

First impressions have a major impact on potential buyers. Try to imagine what potential buyers will see when they approach your house for the first time and walk through each room. Ask your REALTOR ® for advice; they know the marketplace and what helps a home sell. Here are some tips to present your home in a positive manner:

Repair or replace loud ventilating fans.

Replace worn shower curtains.

Rearrange furniture to make rooms appear larger. If possible, remove and/or store excess furniture, and avoid extension cords in plain view.

Remove clutter throughout the house. Organize and clean out closets.

Clean household appliances and make sure they work properly.

Air conditioners/heaters, evaporative coolers, hot water heater should be clean, working and inspected if necessary. Replace filters.

Check the pool and/or spa equipment and pumps. Make sure all are working properly and that the pool and/or spa are kept clean.

Inspect fences, gates and latches. Repair or replace as needed.

AZ Sellers Guide | 6

Staging your home for Show

To make the best impression, keep your home clean, neat, uncluttered and in good repair. Please review this list prior to each showing:

Keep everything clean. A messy or dirty home will cause prospective buyers to notice every flaw.

Clear all clutter from counter tops.

Let the light in. Raise shades, open blinds, pull back the curtains and turn on the lights.

Get rid of odors such as tobacco, pets, cooking, etc., but don’t overdo air fresheners or potpourri. Fresh baked bread and cinnamon can make a positive impact.

Send pets away or secure them away from the house, and be sure to clean up after them.

Close the windows to eliminate street noise.

If possible you, your pets, and your children should be gone while your home is being shown.

Clean trash cans and put them out of sight.

If you must be present while your home is shown, keep noise down. Turn off the TV and radio. Soft, instrumental music is fine, but avoid vocals.

Keep the garage door closed and the driveway clear. Park autos and campers away from your home during showings

Hang clean attractive guest towels in the bathrooms.

Check that sink and tub are scrubbed and unstained.

Make beds with attractive spreads.

Stash or throw out newspapers, magazines, junk mail.

AZ Sellers Guide | 7
AZ Sellers Guide | 8

Terms You Should Know

Appraisal

An estimate of value of property resulting from analysis of facts about the property; an opinion of value.

Annual Percentage Rate (APR)

The borrower’s costs of the loan term expressed as a rate. This is not their interest rate.

Beneficiary

The recipient of benefits, often from a deed of trust; usually the lender.

Closing Disclosure (CD)

Closing Disclosure form designed to provide disclosures that will be helpful to borrowers in understanding all of the costs of the transaction. This form will be given to the consumer three (3) business days before closing.

Close of Escrow

Generally the date the buyer becomes the legal owner and title insurance becomes effective.

Comparable Sales

Sales that have similar characteristics as the subject real property, used for analysis in the appraisal. Commonly called “comps.”

Consummation

Occurs when the borrower becomes contractually obligated to the creditor on the loan, not, for example, when the borrower becomes contractually obligated to a seller on a real estate transaction. The point in time when a borrower becomes contractually obligated to the creditor on the loan depends on applicable State law. Consummation is not the same as close of escrow or settlement.

Deed of Trust

An instrument used in many states in place of a mortgage.

Deed Restrictions

Limitations in the deed to a parcel of real property that dictate certain uses that may or may not be made of the real property.

Disbursement Date

The date the amounts are to be disbursed to a buyer and seller in a purchase transaction or the date funds are to be paid to the borrower or a third party in a transaction that is not a purchase transaction.

Earnest Money Deposit

Down payment made by a purchaser of real property as evidence of good faith; a deposit or partial payment.

Easement

A right, privilege or interest limited to a specific purpose that one party has in the land of another.

Endorsement

As to a title insurance policy, a rider or attachment forming a part of the insurance policy expanding or limiting coverage.

Hazard Insurance

Real estate insurance protecting against fire, some natural causes, vandalism, etc., depending upon the policy. Buyer often adds liability insurance and extended coverage for personal property.

Impounds

A trust type of account established by lenders for the accumulation of borrower’s funds to meet periodic payments of taxes, mortgage insurance premiums and/or future insurance policy premiums, required to protect their security.

Legal Description

A description of land recognized by law, based on government surveys, spelling out the exact boundaries of the entire parcel of land. It should so thoroughly identify a parcel of land that it cannot be confused with any other.

Lien

A form of encumbrance that usually makes a specific parcel of real property the security for the payment of a debt or discharge of an obligation. For example, judgments, taxes, mortgages, deeds of trust.

Loan Estimate (LE)

Form designed to provide disclosures that will be helpful to borrowers in understanding the key features, costs and risks of the mortgage loan for which they are applying. Initial disclosure to be given to the borrower three (3) business days after application.

Mortgage

The instrument by which real property is pledged as security for repayment of a loan.

PITI

A payment that includes Principal, Interest, Taxes, and Insurance.

Power of Attorney

A written instrument whereby a principal gives authority to an agent. The agent acting under such a grant is sometimes called an “Attorney-in-Fact.”

Recording

Filing documents affecting real property with the appropriate government agency as a matter of public record.

Settlement statement

Provides a complete breakdown of costs involved in a real estate transaction.

TRID

TILA-RESPA Integrated Disclosures

AZ Sellers Guide | 9

The Life Of An Escrow

THE BUYER

Chooses a Real Estate Agent

Gets pre-approval letter from Lender and provides to Real Estate Agent.

Makes offer to purchase. Upon acceptance, opens escrow and deposits earnest money.

Finalizes loan application with Lender. Receives a Loan Estimate from Lender.

Completes and returns opening package from First American Title.

Schedules inspections and evaluates findings. Reviews title commitment/ preliminary report.

Provides all requested paperwork to Lender (bank statements, tax returns, etc.) All invoices and final approvals should be to the lender no later than 10 days prior to loan consummation.

Lender (or Escrow Officer) prepares CD and delivers to Buyer at least 3 days prior to loan consummation.

Escrow officer or real estate agent contacts the buyer to schedule signing appointment.

Buyer consummates loan, executes settlement documents, & deposits funds via wire transfer.

Documents are recorded and the keys are delivered!

THE SELLER

Chooses a Real Estate Agent

Accepts Buyer’s offer to purchase.

Completes and returns opening package from First American Title, including information such as forwarding address, payoff lender contact information and loan numbers.

Orders any work for inspections and/or repairs to be done as required by the purchase agreement.

Escrow officer or real estate agent contacts the seller to schedule signing appointment.

Documents are recorded and all proceeds from sale are received.

THE ESCROW OFFICER

Upon receipt of order and earnest money deposit, orders title examination.

Requests necessary information from buyers and sellers via opening packages.

Reviews title commitment / preliminary report.

Upon receipt of opening packages, orders demands for payoffs. Contacts buyer or seller when additional information is required for the title commitment/ preliminary report.

All demands, invoices, and fees must be collected and sent to lender at least 10 days prior to loan consummation.

Coordinates with lender on the preparation of the CD.

Reviews all documents, demands, and instructions and prepares settlement statements and any other required documents.

Schedules signing appointment and informs buyer of funds due at settlement.

Once loan is consummated, sends funding package to lender for review.

Prepares recording instructions and submits docs for recording.

Documents are recorded and funds are disbursed. Issues final settlement statement.

Accepts Buyer’s application and begins the qualification process. Provides Buyer with Loan Estimate.

Orders and reviews title commitment / preliminary report, property appraisal, credit report, employment and funds verification.

Collects information such as title commitment / preliminary report, appraisal, credit report, employment and funds verification. Reviews and requests additional information for final loan approval.

Underwriting reviews loan package for approval.

Coordinates with Escrow Officer on the preparation of the Closing Disclosure, which is delivered to Buyer at least 3 days prior to loan consummation.

Delivers loan documents to escrow.

Upon review of signed loan documents, authorizes loan funding.

AZ Sellers Guide | 10

Closing

Pays What

CASH FHA VA CONV

AZ Sellers Guide | 11
1. Downpayment BUYER BUYER BUYER BUYER 2. Termite (Wood Infestation) Inspection (negotiable except on VA) SELLER 3. Property Inspection (if requested by buyer) BUYER BUYER BUYER BUYER 4. Property Repairs, if any (negotiable) SELLER SELLER SELLER SELLER 5. New Loan Origination Fee (negotiable) BUYER BUYER BUYER 6. Discount Points (negotiable) BUYER BUYER BUYER 7. Credit Report BUYER BUYER BUYER 8. Appraisal or Extension Fee (negotiable) BUYER BUYER BUYER 9. Existing Loan Payoff SELLER SELLER SELLER SELLER 10. Existing Loan Payoff Demand SELLER SELLER SELLER SELLER 11. Loan Prepayment Penalty (if any) SELLER SELLER SELLER SELLER 12. Next Month’s PITI Payment BUYER BUYER BUYER 13. Prepaid Interest (approx. 30 days) BUYER BUYER BUYER 14. Reserve Account Balance (Credit seller / Charge buyer) PRORATE PRORATE PRORATE 15. FHA MIP, VA Funding Fee, PMI Premium BUYER BUYER BUYER 16. Assessments payoff or proration (sewer, paving, etc.) SELLER 17. Taxes PRORATE PRORATE PRORATE PRORATE 18. Tax Impounds BUYER BUYER BUYER 19. Tax Service Contract SELLER SELLER BUYER 20. Fire/Hazard Insurance BUYER BUYER BUYER BUYER 21 Flood Insurance BUYER BUYER BUYER 22. Homeowners Association (HOA) Transfer Fee BUYER or SELLER BUYER or SELLER BUYER or SELLER BUYER or SELLER 23. HOA/Disclosure Fee SELLER SELLER SELLER SELLER 24 Current HOA Payment PRORATE PRORATE PRORATE PRORATE 25. Next Month’s HOA Payment BUYER BUYER BUYER BUYER 26. Home Warranty Premium (negotiable) BUYER or SELLER BUYER or SELLER BUYER or SELLER BUYER or SELLER 27. REALTORS®’ Commissions SELLER SELLER SELLER SELLER 28. EAGLE Homeowners Title Policy SELLER SELLER SELLER SELLER 29. Lenders Title Policy and Endorsements BUYER BUYER BUYER 30. Escrow Fee (NOTE: Charge seller on VA Loan) SPLIT SPLIT SELLER SPLIT 31. Recording Fees (Flat rate) SPLIT SPLIT SPLIT SPLIT 32. Reconveyance/Satisfaction Fee SELLER SELLER SELLER SPLIT 33. Courier/Express Mail Fees SPLIT SPLIT SELLER SPLIT THIS CHART INDICATES WHO CUSTOMARILY PAYS WHAT COSTS Note: Prorated items will appear on Closing Statement as charges for one and credits for the other.
Costs: Who

The Escrow Process

WHAT IS AN ESCROW?

The escrow is the process of having a neutral party manage the exchange of money for real property. The escrow holder is known as an escrow or settlement officer or agent. The buyer deposits funds and the seller deposits a deed with the escrow holder along with all of the other documents required to remove all "contingencies" (conditions and approvals) in the purchase agreement prior to closing.

HOW IS AN ESCROW OPENED?

Once a purchase agreement is signed by all necessary parties, the agent representing the party who will pay the fee selects an escrow holder and the buyer's earnest money deposit and contract are submitted to the escrow holder. From this point, the escrow holder will follow the mutual written instructions of the buyer and seller, maintaining a neutral stance to ensure that neither party has an unfair advantage over the other. The escrow holder also follows the instructions of the Buyer's new lender, the seller's existing lender, and both parties' agents. The escrow holder ensures the transparency of the transaction, while carefully maintaining the privacy of the consumers.

AZ Sellers Guide | 12

Your Escrow Professional May:

Open escrow and deposit good faith funds into an escrow account

Conduct a title search to determine the ownership and title status of the real property

Review the title commitment and begin the process of working with you and the title officer to eliminate the title exceptions the buyer and the buyer’s new lender are not willing to take subject to. This includes ordering a payoff demand from your existing lender.

Coordinate with the buyer’s lender on the preparation of the Closing Disclosure (CD)

Prorate fees, such as real property taxes, per the contract and prepare the settlement statement

Set separate appointments allowing the buyer and seller to sign documents and deposit funds

Review documents and ensure all conditions are fulfilled and certain legal requirements are met

Request funds from buyer and buyer’s new lender

When all funds are deposited and conditions met, record documents with the County Recorder to transfer the real property to the buyer

After recording is confirmed, close escrow and disburse funds, including proceeds, loan payoffs, tax payments, and more

Prepare and send final documents to all parties

AZ Sellers Guide | 13

Understanding Title Insurance

The Title Industry & Title Insurance in Brief

Prior to the development of the title industry in the late 1800s, a home-buyer received a grantor’s warranty, attorney’s title opinion, or abstractor’s certificate as assurance of home ownership. The buyer relied on the financial integrity of the grantor, attorney, or abstractor for protection. Today, home-buyers look primarily to title insurance to provide this protection. Title insurance companies are regulated by state statute. They are required to post financial guarantees to ensure that any claims will be paid in a timely fashion. They also must maintain their own “title plants” which house duplicates of recorded deeds, mortgages, plats, and other pertinent county property records.

WHAT IS TITLE INSURANCE?

Title insurance provides coverage for certain losses due to defects in the title that, for the most part, occurred prior to your ownership. Title insurance protects against defects such as prior fraud or forgery that might go undetected until after closing and possibly jeopardize your ownership and investment.

WHY IS TITLE INSURANCE NEEDED?

Title insurance insures buyers against the risk that they did not acquire marketable title from the seller. It is primarily designed to reduce risk or loss caused by defects in title from the past. A loan policy of title insurance protects the interest of the mortgage lender, while an owner’s policy protects the equity of you, the buyer, for as long as you or your heirs (in certain policies) own the real property.

WHEN IS THE PREMIUM DUE?

You pay for your owner’s title insurance policy only once, at the close of escrow. Who pays for the owner’s policy and loan policy varies depending on local customs.

AZ Sellers Guide | 14

Compare First American’s Eagle Policy® for Owners

Protection from:

else owns

fraud, duress in the chain of

recording of

There is a lien on your title because there is:

a deed of trust

a judgement, tax, or special assessment

a charge by a homeowner’s association

is unmarketable

Forced removal of a structure because it:

extends on another property and/or easement

violates a restriction in Schedule B

violates an existing zoning law*

use the land for a Single-Family Residence because the use violates a restriction in Schedule B or a

ordinance

by

Compare First American’s Eagle Policy® for Owners

violation resulting in your title

of building

covenants

rent for substitute land or facilities

to

language statements of

with Subdivision

for boundary wall or fence

coverage

ownership coverage leads to enhanced

coverage for a lifetime

inflation coverage with automatic increase in value up to 150% over five years

Living Trust coverage

Deductible and maximum limits apply. Not available to investors on 1- to 4-unit residential properties. Coverage may vary based on an individual policy.

with any insurance contract, the insuring provisions express the coverage afforded by the title insurance policy and there are exceptions, exclusions and conditions to coverage that limit or narrow the coverage afforded by the policy. Also, some cov erage may not be available in a particular area or transaction due to legal, regulatory, or underwriting considerations. Please contact a First American representative for further information. The services described above are typical basic services. The services provided to you may be different due to the specifics of your transaction or the location of the real property involved.

AZ Sellers Guide | 15
EAGLE ALTA Standard or CLTA
1 Someone
an interest in your title 2 A document is not properly signed 3 Forgery,
title 4 Defective
any document 5 There are restrictive covenants 6
a)
b)
c)
7 Title
8 Mechanics lien 9
a)
b)
c)
10 Cannot
zoning
11 Unrecorded lien
a homeowners association 12 Unrecorded easements 13 Building permit violations* 14 Restrictive covenant violations 15 Post-policy forgery 16 Post-policy encroachment 17 Post-policy damage from extraction of minerals or water 18 Lack of vehicular and pedestrian access 19 Map not consistent with legal description 20 Post-policy adverse possession
EAGLE ALTA Standard or CLTA
21 Post-policy prescriptive easement 22 Covenant
reverting
a previous owner 23 Violation
setback regulations 24 Discriminatory
Other benefits: 25 Pays
26 Rights under unrecorded leases 27 Plain
policy
and restrictions 28 Compliance
Map Act 29 Coverage
encroachment* 30 Added
marketability 31 Insurance
32 Post-policy
33 Post-policy
*
As

Consider This

One escrow transaction could involve more than 20 individuals, including real estate agents, buyers, sellers, attorneys, escrow officer, escrow technician, title officer, loan officer, loan processor, loan underwriter, home inspector, termite inspector, insurance agent, home warranty representative, contractor, roofer, plumber, pool service, and so on. And often, one transaction depends on another.

When you consider the number of people involved, you can imagine the opportunities for delays and mishaps. Your experienced escrow team can’t prevent unforeseen problems from arising; however, they can help smooth out the process.

AZ Sellers Guide | 16

Closing Your Escrow

THE CLOSING DISCLOSURE

Once the loan is approved and all invoices and paperwork have been provided, the lender and escrow officer will collaborate on the preparation of the Closing Disclosure (CD). In order to close on time, all paperwork and invoices should be submitted at least 10 days prior to the expected close of escrow date. The borrower must receive the CD at least three days* prior to consummation of the loan (typically the signing date). The escrow officer will also prepare an estimated settlement statement and inform the buyer of the balance of the down payment and closing costs needed to close escrow.

*For purposes of the Closing Disclosure“business day” is defined as every day except Sundays and Federal legal holidays.

THE CLOSING OR SIGNING APPOINTMENT

The escrow holder will contact you or your agent to schedule a closing or signing appointment. In some states, this is the "close of escrow." In some others, the close of escrow is either the day the documents record or that funds are disbursed. Ask your escrow holder if you would like clarification about your state's laws.

You will have a chance to review the settlement statement and supporting documentation. This is your opportunity to ask questions and clarify terms. You should review the settlement statement carefully and report discrepancies to the escrow officer. This includes any payments that may have been missed.

You are responsible for all charges incurred even if overlooked by the escrow holder, so it's better to bring these to their attention before closing.

The escrow holder is obligated by law to have the designated amount of money before releasing any funds. If you have questions or foresee a problem, let your escrow holder know immediately.

DON'T FORGET YOUR IDENTIFICATION

You will need valid identification with your photo I.D. on it when you sign documents that need to be notarized (such as a deed). A driver's license is preferred. You will also be asked to provide your social security number for tax reporting purposes, and a forwarding address.

WHAT HAPPENS NEXT?

If the buyer is obtaining a new loan, the buyer’s signed loan documents will be returned to the lender for review. The escrow holder will ensure that all contract conditions have been met and will ask the lender to "fund the loan." If the loan documents are satisfactory, the lender will send funds directly to the escrow holder. When the loan funds are received, the escrow holder will verify that all necessary funds are in. Escrow funds will be disbursed to the seller and other appropriate payees. Then, the REALTOR® will present the keys to the property to the buyer.

AZ Sellers Guide | 17

Planning your move

SIX WEEKS BEFORE:

Create an inventory sheet of items to move.

Research moving options You’ll need to decide if yours is a do-it-yourself move or if you’ll be using a moving company.

Request moving quotes Solicit moving quotes from as many moving companies and movers as possible. There can be a large difference between rates and services within moving companies.

Discard unnecessary items Moving is a great time for ridding yourself of unnecessary items. Have a yard sale or donate unnecessary items to charity.

Packing materials. Gather moving boxes and packing materials for your move.

Contact insurance companies. (Life, Health, Fire, Auto) You’ll need to contact your insurance agent to cancel/transfer your insurance policy. Do not cancel your insurance policy until you have and closed escrow on the sale.

Seek employer benefits. If your move is work-related, your employer may provide funding for moving expenses. Your human resources rep should have information on this policy.

Changing Schools. If changing schools, contact new school for registration process.

FOUR WEEKS BEFORE:

Contact utility companies Set utility turnoff date, seek refunds and deposits and notify them of your new address.

Obtain your medical records. Contact your doctors, physicians, dentists and other medical specialists who may currently be retaining any of your family’s medical records. obtain these records or make plans for them to be delivered to your new medical facilities.

Note food inventory levels Check your cupboards, refrigerator and freezer to use up as much of your perishable food as possible.

Service small engines for your move by extracting gas and oil from the machines. This will reduce the chance to catch fire during your move.

Protect jewelry and valuables. Transfer jewelry and valuables to safety deposit box so they can not be lost or stolen during your move.

Borrowed and rented items. Return items which you may have borrowed or rented. Collect items borrowed to others.

ONE WEEK BEFORE:

Plan your itinerary. Make plans to spend the entire day at the house or at least until the movers are on their way. Someone will need to be around to make decisions. Make plans for kids and pets to be at the sitters for the day.

Change of address. Visit USPS for change of address form.

Bank accounts Notify bank of address change. Make sure to have a money order for paying the moving company if you are transferring or closing accounts.

Service automobiles If automobiles will be driven long distances, you’ll want to have them serviced for a trouble-free drive.

Cancel services. Notify any remaining service providers (newspapers, lawn services, etc) of your move.

Start packing. Begin packing for your new location.

Travel items. Set aside items you’ll need while traveling and those needed until your new home is established. Make sure these are not packed in the moving truck!

Scan your furniture. Check furniture for scratches and dents before so you can compare notes with your mover on moving day.

Prepare Floor Plan. Prepare floor plan for your new home. This will help avoid confusion for you and your movers.

MOVING DAY:

Review the house. Once the house is empty, check the entire house (closets, the attic, basement, etc) to ensure no items are left or no home issues exist.

Sign the bill of lading. Once your satisfied with the mover’s packing your items into the truck, sign the bill of lading. If possible, accompany your mover while the moving truck is being weighed.

Double check with your mover. Make sure your mover has the new address and your contact information should they have any questions during your move.

Vacate your home. Make sure utilities are off, doors and windows are locked and notify your real estate agent you’ve left the property.

AZ Sellers Guide | 18

Your Notes:

AZ Sellers Guide | 19

Your Notes:

AZ Sellers Guide | 20

Your Notes:

AZ Sellers Guide | 21

1 SUN CITY WES T 623.299.3644

13940 W. Meeker Blvd., #119 Sun City West, AZ 85375 N of Meeker Blvd W of R.H. Johnson

2 GOODYEAR 623.936.8001

1626 N. Litchfield Rd. Ste. #170 Goodyear, AZ 85395

NW corner of McDowell & Litchfield

3 ARROWHEAD 623.487.0404

16165 N. 83rd Ave , #100 Peoria, AZ 85382

S of Bell/E side of 83rd Ave

4 THE LEGENDS 623.537.1608

20241 N. 67th Ave , #A-2 Glendale, AZ 85308

E side 67th Ave/N of 101

5 ANTHEM 623.551.3265

39508 N. Daisy Mountain Dr., #128 Anthem, AZ 85086

NE corner Daisy Mtn Dr/ Gavilan Peak Pkwy

6 BILTMORE 602.954.3644

3200 E Camelback Rd., #123 Phoenix, AZ 85018

NE Corner of Camelback/32nd Street

7 TATUM RIDGE 480.515 4369

11211 N Tatum Blvd, #A150 Phoenix, AZ 85028

N of Shea, E side of Tatum

8 CAREFREE 480.575.6609

7202 E. Carefree Dr , Bldg 1, #1 Carefree, AZ 85377

NE corner of Tom Darlington/ Carefree Dr.

Central Arizona

First American Title Branch Locator

9 KIERLAND COMMONS 480.948.6488

14648 N Scottsdale Rd., Ste. #100 Scottsdale, AZ 85254 W of Scottsdale Road, S side of Greenway

10 SCOTTSDALE FORUM 480.551.0480

6263 N. Scottsdale Rd., #110 Scottsdale, AZ 85250

E Side Scottsdale/S of Lincoln

11 DC CROSSING 480.563.9034

18291 N. Pima Rd , #145 Scottsdale, AZ 85255

SE corner of Pima/Legacy

12 AHWATUKEE 480.753.4424

4435 E. Chandler Blvd , #100 Phoenix, AZ 85048

SW corner Chandler/45th St.

13 CHANDLER PORTICO

480.777.0051

2121 W. Chandler Blvd., #215 Chandler, AZ 85224

SW Corner Chandler Blvd./ Dobson Rd.

14 GILBERT SAN TAN 480.777.0614

1528 E. Williams Field Rd., #101 Gilbert, AZ 85295

NW corner of Williams Field Rd./ Val Vista Rd.

15 MESA 480.401.3738

1630 S. Stapley Dr., #123 Mesa, AZ 85204

N of Baseline / W of Stapley

16 RED MOUNTAIN

480.534.3599

1135 N. Recker Rd., #103 Mesa, AZ 85205

SE corner of Recker & Brown

17 GOLD CANYON 480.288.0883

6877 South Kings Ranch Rd., #5 Gold Canyon, AZ 85118 E of 60/ South Side Kings Ranch Rd.

1 4 3 2 6 12 10 5 8 7 11 9 CRISMON SIGNAL BUTTE GOLDFIELD OLDWESTHWY SKINGSRANCH 14 17 15 13 16
AZ Sellers Guide | 22

For more information please contact your First American representative.

05110280522
www.firstam.com First American Title Insurance Company, and the operating divisions thereof, make no express or implied warranty respecting the information presented and assume no responsibility for errors or omissions. First American, the eagle logo, First American Title, and firstam.com are registered trademarks or trademarks of First American Financial Corporation and/or its affiliates. ©2022 First American Financial Corporation and/or its affiliates. All rights reserved. NYSE: FAF

Turn static files into dynamic content formats.

Create a flipbook
Issuu converts static files into: digital portfolios, online yearbooks, online catalogs, digital photo albums and more. Sign up and create your flipbook.