10133 E Desert Paradise Place

Page 1

Client Date Client Date

PROTECT YOURSELF VERIFY AND NOTIFY

Before you wire funds to any party (including your lawyer, title agent, mortgage broker, or real estate agent) personally meet them or call a verified telephone number (not the telephone number in the email) to confirm before you act!

DO NOT TRUST EMAILS SEEKING PERSONAL/FINANCIAL INFORMATION

The undersigned acknowledges receipt of this Wire Fraud Advisory.

WIRE FRAUD ADVISORY

• It is imperative that this call be made to a number obtained in person from the individual or through other reliable means, not from a number provided in the email or the wiring instructions

ONLINE RESOURCES:

Criminals are targeting social media and email to steal information. This is particularly common in real estate transactions because sensitive data, including social security numbers, bank account numbers, and wire instructions are often sent by electronic means. We do not want you to be the next victim of wire fraud. Money wired to a fraudulent account is stolen money that typically cannot be recovered. Additionally, there is generally no insurance for this loss. You may never get the money back.

• Never direct, accept or allow anyone in the transaction to consent to receiving transfer instructions without a direct personal telephone call to the individual allegedly providing the instructions.

Immediately notify your banking institution and Settlement/Title Company if you are a victim of wire fraud.

The Internet Crime Complaint Center @ www.ic3.gov

• If you receive an email requesting personal/financial information or asking you to download, click on a link, send, and/or do anything that may seem unusual to you, call your escrow officer immediately prior to acting on the suspicious email to verify the validity of the email.

TRUST YOUR SOURCE OF INFORMATION

DO NOT TRUST EMAILS CONTAINING WIRE INSTRUCTIONS

• If you receive an email containing wire transfer instructions, immediately call your escrow officer to ensure the validity of the instructions.

There are many online sources that can provide useful information regarding similar topics including, but not limited to, the following sites:

The National White Collar Crime Center @ http://www.nw3c.org/research

The Federal Bureau of Investigation @ https://www.fbi.gov/scams and safety

On Guard Online @ www.onguardonline.gov

LIMITATION OF LIABILITY FOR INFORMATIONAL REPORTS

IMPORTANT -- PLEASE READ CAREFULLY:

This report is not an insured product or service or a representation of the condition of title to real property. It is not an abst ract, legal opinion, opinion of title, title insurance commitment or preliminary report, or any form of Title Insurance or Guaranty. This report is issued exclusively for the benefit of the Applicant therefor and may not be used or relied upon by any other person. This report may not be reproduced in any manner without First American or Title Security's prior written consent. First American or Title Security does not represent or warrant that the information herein is complete or free from error, and the information herein is provided without any warranties of any kind, as-is, and with all faults. As a material part of the consideration given in exchange for the issuance of this report, recipient agrees that First American or Title Security's sole liability for any loss or damage caused by an error or omission due to inaccurate information or negligence in preparing this report shall be limited to the fee charged for the report. Recipient accepts this report with this limitation and agrees that First American or Title Security would not have issued this report but for the limitation of liability described above. First American or Title Security makes no representation or warranty as to the legality or propriety of recipient's use of the information herein.

© 2022 CoreLogic. All rights reserved

Subject Property 10133 E Desert Paradise Pl APN:AZTucson85747141-18-3650

First

Data Provided By: American Title Ins Co

The information contained in the REiSource report is delivered from your Title Company, who reminds you that you have the right as a consumer to compare fees and serviced levels for Title, Escrow, and all other services associated with property ownership, and to select providers accordingly. Your home is the largest investment you will make in your lifetime and you should demand the very best.

This REiSource report is provided "as is" without warranty of any kind, either express or implied, including without limitations any warrantees of merchantability or fitness for a particular purpose. There is no representation of warranty that this information is complete or free from error, and the provider does not assume, and expressly disclaims, any liability to any person or entity for loss or damage caused by errors or omissions in this REiSource report without a title insurance policy.

Data Provided By: First American Title Ins Co

Disclaimer

© 2022 CoreLogic. All rights reserved

Location Information

School District : Vail

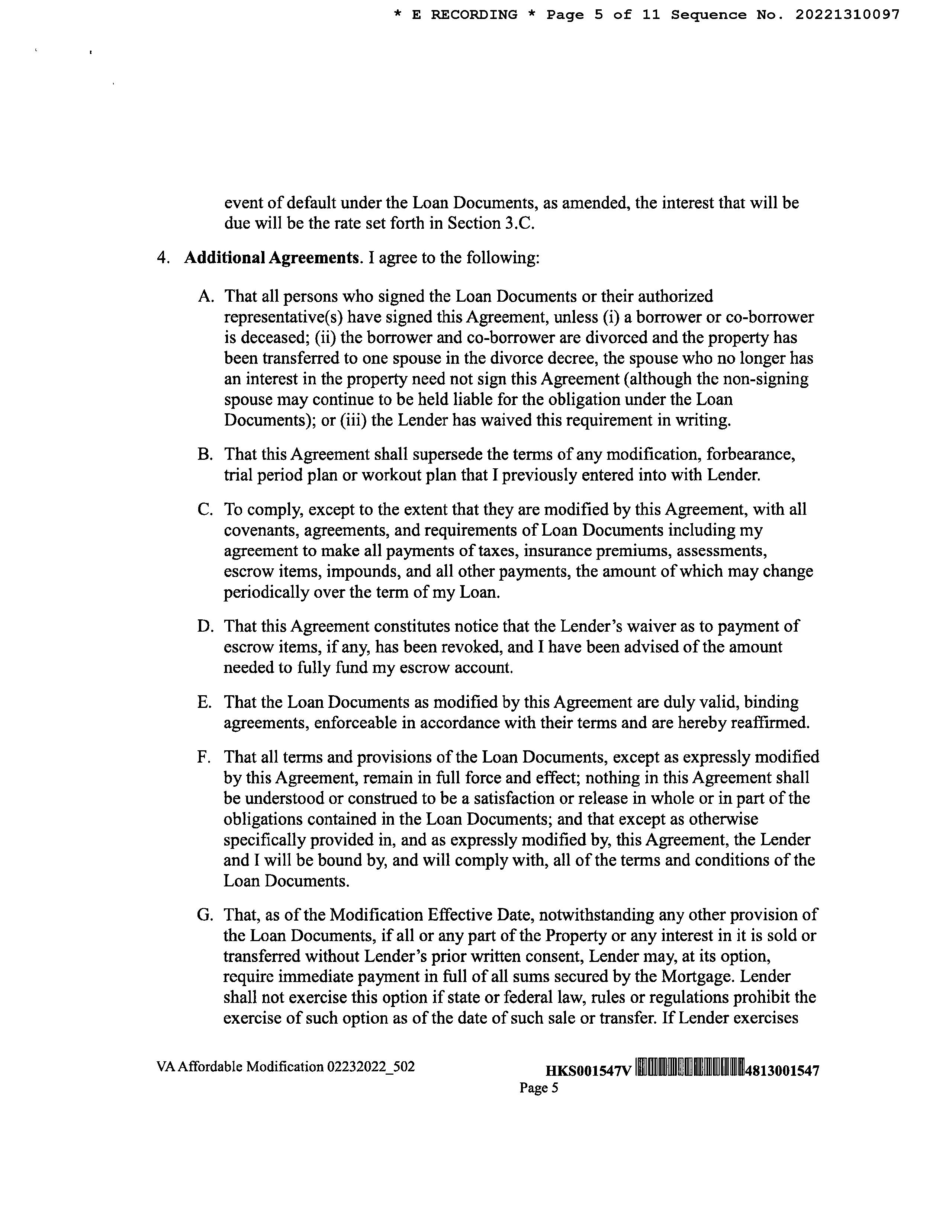
Recording/Sale Date : 05/05/2020 / 05/04/2020 1st Mtg Amount/Type : $226,083 / Va

Title Company : Signature Title Agency Corp Lender : Guild Mtg Co

Seller Name : Prentice Living Trust

Prior Doc Number : 11804-392

Legal Description : Desert Crossings At Rita Ranch Lot 106

Map Reference : 26-15S-15E

Customer Company Name : First American Title Insurance Company Prepared On : 09/13/2022

Owner Information

Owner Name : Salgado Stephanie N

Legal Book/Page : 49-32

1st Mtg Document # : 1260551

Document # : 1260550

Deed Type : Warranty Deed

Township-Range- Sect : 15S-15E-26

Market Area : 612

Price Per SqFt : $143.69

Prior Rec/Sale Date : 05/21/2002 / 05/15/2002

© 2022 CoreLogic. All rights reserved

Last Market Sale Information

APN : 141-18-3650

1st Mtg Term : 30

Munic/Township : Vail

Subdivision : Desert Crossings At Rita Ranch

Legal Lot : 106

Prior Deed Type : Joint Tenancy Deed

Mailing Address : 10133 E Desert Paradise Pl, Tucson AZ 85747-5028 R120

Subject Property :   10133 E Desert Paradise Pl Tucson AZ 85747

Prior Sale Information

County : Pima, Az

Census Tract / Block : 40.66 / 2

Customer Name : Kariann Keomaka

Owner OccupiedIndicator : O

Sale Price : $221,000

State Use : Single Fam Resrural Subd

Gross Area : 1,538

Lot Size : 6,601

Total TaxableValue : $14,026

Property Characteristics

Capacity :Garage 2

Zoning : R-2

Tax Rate Area : 2050 Current ImprovementYearValue : $21,338

Customer Name : Kariann Keomaka

Heat Type : Forced Air Quality : Fair

Lot Acres : 0.15

Living Area : 1,538 Roof Material : Asphalt Air Cond : Refrigeration

# of Stories : 1

Patio Type : Covered Patio

County Use : Single Fam Resrural Subd

Land Use : Sfr

Total Rooms : 5

Customer Company Name : First American Title Insurance Company

Assessed Year : 2021 Market Value : $164,034 Current YearValue :Land $50

Exterior wall : Frame Wood Bath Fixtures : 8

Tax Year : 2021 Current AssessedYear : 2023

Prepared On : 09/13/2022

Year Built / Eff : 1999

Total Value : $164,034 Property Tax : $2,186.15 Current YearValue :Total $21,389

Cooling Type : Forced Air Condition : Excellent

Property Information

Tax Information

© 2022 CoreLogic. All rights reserved

Parking Type : Garage

1

2

of Comparables # Address Sale Price TotalValueAssessed Sale Date Bed Bath Living Area Lot Size YearBuilt (Miles)Dist Zoning

7

Criteria

9

Sales Analysis

Prepared On : 09/13/2022

4

Subject Property Low High Average

3

Sale Price $221,000 $230,000 $2,109,792 $388,947

3

5

Bldg/Living Area 1538 1318 1765 1461

1 Total

0

Summary

S 10133 E ParadiseDesertPl 221,000 164,034 05/05/2020 1,538 6,601 1999 R-2 10144 E ParadiseDesertPl 305,000 164,034 03/18/2022 3 1,538 5,357 1999 0.04 R-2 10162 E ParadiseDesertPl 230,000 148,462 01/27/2022 1,318 5,609 1999 0.06 R-2 10167 E Desert Mesa Dr 268,000 148,462 02/28/2022 3 1,318 5,096 1999 0.07 R-2 10179 E Desert Mesa Dr 325,000 152,377 05/27/2022 4 1,373 5,118 1999 0.08 R-2 10182 E Desert Gorge Dr 2,109,792 147,987 11/18/2021 3 1,318 5,475 1998 0.08 R-2 10096 E Desert Valley Pl 297,000 147,987 05/24/2022 1,318 5,737 1998 0.08 R-2 10187 E ParadiseDesertPl 308,000 148,074 05/12/2022 1,475 6,853 1999 0.08 R-2 10192 E ParadiseDesertPl 318,500 164,034 03/31/2022 1,538 9,762 1999 0.1 R-2 10101 E Desert Valley Pl 269,249 147,987 11/02/2021 1,318 7,019 1998 0.1 R-2

3

Customer Name : Kariann Keomaka

BathroomsBedrooms 3

3 Stories 1

Customer Company : First American Title Insurance Company

Distance

6

3

8

3

Year Built 1999 1993 2000 1998 Lot Size 6,601 4,850 9,762 6,200 2 4 1 2 Assessed Value $164,034 $147,987 $175,272 $157,060 From Subject 0.04 0.3 0.14

Name

Price Per Square Foot $143.69 $168 $1,601 $273.66

3

© 2022 CoreLogic. All rights reserved

3

17 8890 S Desert Valley Way 275,000 150,173 08/25/2022 2 1,342 4,850 1999 0.22 R-2

Prepared On : 09/13/2022

Distressed Sales =

18 10092 E Paseo De La Masada 300,000 153,665 11/02/2021 3 1,445 7,039 1995 0.25 R-2

14 10100 E Paseo San Bruno 315,000 153,665 07/13/2022 3 1,445 8,904 1995 0.19 R-2

11 8850 S Desert Valley Way 315,500 164,577 03/25/2022 3 1,538 4,949 2000 0.12 R-2

16 8831 S RainbowDesertDr 265,000 167,051 12/30/2021 3 1,581 5,281 1999 0.2 R-2

© 2022 CoreLogic. All rights reserved

10 10209 E Desert Mesa Dr 289,900 159,191 12/14/2021 3 1,538 5,515 1999 0.11 R-2

13 10231 E CrossingsDesertWay 345,000 167,051 06/14/2022 3 1,581 5,998 1999 0.15 R-2

15 8887 S Desert Valley Way 313,000 166,200 01/18/2022 3 1,765 5,406 1999 0.2 R-2

20 10132 E Paseo San Bernardo 320,000 152,740 05/25/2022 3 1,445 7,705 1993 0.3 R-2

Customer Company Name : First American Title Insurance Company

Customer Name : Kariann Keomaka

19 10010 E Paseo De La Masada 326,000 175,272 06/29/2022 3 1,445 6,813 1995 0.29 R-2

12 10177 E CrossingsDesertWay 284,000 162,208 03/10/2022 3 1,581 5,520 1999 0.12 R-2

Customer

Map

Name : Kariann Keomaka Customer Company Name : First American Title Insurance Company Prepared On : 09/13/2022 © 2022 CoreLogic. All rights reserved

#1   10144 E Desert Paradise Pl Tucson Az 85747

Rec. Date / Price: 05/05/2020 / $221,000 Living Area: 1,538

# of units: Document #: 1260550 Bedrooms: Pool: Total Tax Value: $164,034 Bath(F/H): /

Owner Name: Ortega Caleb /Ortega Cassandra I APN / Alternate APN: 141-18-3450 / Deed Type: Warranty Deed

Details of Comparables

Owner Name: Salgado Stephanie N / APN / Alternate APN: 141-18-3650 / Deed Type: Warranty Deed

#3   10167 E Desert Mesa Dr Tucson Az 85747

# of units: Document #: 590885 Bedrooms: Pool: Total Tax Value: $148,462 Bath(F/H): /

# of units: Document #: 770456 Bedrooms: Pool: Total Tax Value: $164,034 Bath(F/H): /

Rec. Date / Price: 02/28/2022 / $268,000 Living Area: 1,318

#2   10162 E Desert Paradise Pl Tucson Az 85747

Owner Name: Fruge Oscar / APN / Alternate APN: 141-18-3480 / Deed Type: Warranty Deed Land Use: Sfr Subdivision / Tract: Desert Crossings At Rita Ranch / Lot Size: 5,609 Year Built / Eff: 1999 /

APN / Alternate APN: 141-18-4540 / Deed Type: Warranty Deed Land Use: Sfr Subdivision / Tract: Desert Crossings At Rita Ranch / Lot Size: 5,118 Year Built / Eff: 1999 /

# of units: Document #: 1470337 Bedrooms: Pool: Total Tax Value: $152,377 Bath(F/H): /

© 2022 CoreLogic. All rights reserved

Land Use: Sfr Subdivision / Tract: Desert Xings/rita Ranch / Lot Size: 5,357 Year Built / Eff: 1999 / Rec. Date / Price: 03/18/2022 / $305,000 Living Area: 1,538

Rec. Date / Price: 01/27/2022 / $230,000 Living Area: 1,318

#4   10179 E Desert Mesa Dr Tucson Az 85747

Owner Name: Protection Lawrence S / APN / Alternate APN: 141-18-4520 / Deed Type: Warranty Deed Land Use: Sfr Subdivision / Tract: Desert Crossings At Rita Ranch / Lot Size: 5,096 Year Built / Eff: 1999 /

Customer Name : Kariann Keomaka

Customer Company Name : First American Title Insurance Company Prepared On : 09/13/2022

Land Use: Sfr Subdivision / Tract: Desert Crossings At Rita Ranch / Lot Size: 6,601 Year Built / Eff: 1999 /

Rec. Date / Price: 05/27/2022 / $325,000 Living Area: 1,373

Subject Property: 10133 E Desert Paradise Pl Tucson Az 85747

Owner Name: Welhoelter Charles M /Welhoelter Sandra

# of units: Document #: 270112 Bedrooms: Pool: Pool Total Tax Value: $148,462 Bath(F/H): /

#6   10096 E Desert Valley Pl Tucson Az 85747

Customer Company Name : First American Title Insurance Company Prepared On : 09/13/2022

#8   10192 E Desert Paradise Pl Tucson Az 85747

Rec. Date / Price: 05/12/2022 / $308,000 Living Area: 1,475

# of units: Document #: 900219 Bedrooms: Pool: Total Tax Value: $164,034 Bath(F/H): /

#9   10101 E Desert Valley Pl Tucson Az 85747

Deed Type: Special Warranty Deed Land Use: Sfr Subdivision / Tract: Desert Crossings At Rita Ranch / Lot Size: 5,475 Year Built / Eff: 1998 / Rec. Date / Price: 11/18/2021 / $2,109,792 Living Area: 1,318

Year Built / Eff: 1998 / Rec. Date / Price: 11/02/2021 / $269,249 Living Area: 1,318

Customer Name : Kariann Keomaka

Owner Name: Amnl Asset Co 2 Llc / APN / Alternate APN: 141-18-3800 /

Owner Name: Br Bst Az 1 Pkg 1 Llc / APN / Alternate APN: 141-18-2870 / Deed Type: Warranty Deed Land Use: Sfr Subdivision / Tract: Desert Crossings At Rita Ranch / Lot Size: 5,737 Year Built / Eff: 1998 / Rec. Date / Price: 05/24/2022 / $297,000 Living Area: 1,318

# of units: Document #: 1320605 Bedrooms: Pool: Total Tax Value: $148,074 Bath(F/H): /

Year Built / Eff: 1999 / Rec. Date / Price: 03/31/2022 / $318,500 Living Area: 1,538

# of units: Document #: 3060436 Bedrooms: Pool: Total Tax Value: $147,987 Bath(F/H): /

# of units: Document #: 1440813 Bedrooms: Pool: Total Tax Value: $147,987 Bath(F/H): /

#5   10182 E Desert Gorge Dr Tucson Az 85747

Owner Name: Rebbal Raje F Trust / APN / Alternate APN: 141-18-2940 / Deed Type: Warranty Deed Land Use: Sfr Subdivision / Tract: Desert Crossings At Rita Ranch / Lot Size: 7,019

#7   10187 E Desert Paradise Pl Tucson Az 85747

© 2022 CoreLogic. All rights reserved

Owner Name: Maclnnes Wayne R Livin / APN / Alternate APN: 141-18-3530 / Deed Type: Warranty Deed Land Use: Sfr Subdivision / Tract: Desert Crossings At Rita Ranch / Lot Size: 9,762

Owner Name: Seven Points Borrower Llc / APN / Alternate APN: 141-18-3560 / Deed Type: Warranty Deed Land Use: Sfr Subdivision / Tract: Desert Crossings At Rita Ranch / Lot Size: 6,853 Year Built / Eff: 1999 /

# of units: Document #: 3220479 Bedrooms: Pool: Total Tax Value: $147,987 Bath(F/H): /

Owner Name: Gonzalez Eduardo J /Gonzalez Crystal APN / Alternate APN: 141-18-4420 / Deed Type: Warranty Deed Land Use: Sfr Subdivision / Tract: Desert Crossings At Rita Ranch / Lot Size: 4,949 Year Built / Eff: 2000 / Rec. Date / Price: 03/25/2022 / $315,500 Living Area: 1,538

# of units: Document #: 1940320 Bedrooms: Pool: Total Tax Value: $153,665 Bath(F/H): /

Owner Name: Othon Juan C / APN / Alternate APN: 141-18-4590 / Deed Type: Warranty Deed Land Use: Sfr Subdivision / Tract: Desert Crossings At Rita Ranch / Lot Size: 5,515 Year Built / Eff: 1999 / Rec. Date / Price: 12/14/2021 / $289,900 Living Area: 1,538

Owner Name: Sfr Investments V Borrower / APN / Alternate APN: 141-18-4000 / Deed Type: Warranty Deed Land Use: Sfr Subdivision / Tract: Desert Crossings At Rita Ranch / Lot Size: 5,998 Year Built / Eff: 1999 / Rec. Date / Price: 06/14/2022 / $345,000 Living Area: 1,581

Customer Company Name : First American Title Insurance Company Prepared On : 09/13/2022

#14   10100 E Paseo San Bruno Tucson Az 85747

© 2022 CoreLogic. All rights reserved

# of units: Document #: 840794 Bedrooms: Pool: Total Tax Value: $164,577 Bath(F/H): /

#10   10209 E Desert Mesa Dr Tucson Az 85747

# of units: Document #: 3480537 Bedrooms: Pool: Total Tax Value: $159,191 Bath(F/H): /

Owner Name: English Craig A /English Julie A APN / Alternate APN: 141-19-2510 / Deed Type: Warranty Deed Land Use: Sfr Subdivision / Tract: Hacienda Del Oro / Lot Size: 8,904 Year Built / Eff: 1995 / Rec. Date / Price: 07/13/2022 / $315,000 Living Area: 1,445

# of units: Document #: 1650627

Customer Name : Kariann Keomaka

#11   8850 S Desert Valley Way Tucson Az 85747

#13   10231 E Desert Crossings Way Tucson Az 85747

Owner Name: Reszi Fund Ill-tuc Lp / APN / Alternate APN: 141-18-3880 / Deed Type: Warranty Deed Land Use: Sfr Subdivision / Tract: Desert Crossings At Rita Ranch / Lot Size: 5,520 Year Built / Eff: 1999 / Rec. Date / Price: 03/10/2022 / $284,000 Living Area: 1,581 # of units: Document #: 690680 Bedrooms: Pool: Total Tax Value: $162,208 Bath(F/H): /

Bedrooms: Pool: Total Tax Value: $167,051 Bath(F/H): /

#12   10177 E Desert Crossings Way Tucson Az 85747

Customer Company Name : First American Title Insurance Company

Year Built / Eff: 1999 / Rec. Date / Price: 12/30/2021 / $265,000 Living Area: 1,581 # of units: Document #: 3640306 Bedrooms: Pool: Total Tax Value: $167,051 Bath(F/H): /

# of units: Document #: 3060667 Bedrooms: Pool: Total Tax Value: $153,665 Bath(F/H): /

#17   8890 S Desert Valley Way Tucson Az 85747

Owner Name: Op Spe Phx1 Llc / APN / Alternate APN: 141-19-2140 / Deed Type: Warranty Deed Land Use: Sfr Subdivision / Tract: Hacienda Del Oro / Lot Size: 6,813

APN / Alternate APN: 141-18-4850 / Deed Type: Warranty Deed Land Use: Sfr Subdivision / Tract: Desert Crossings At Rita Ranch / Lot Size: 5,406 Year Built / Eff: 1999 / Rec. Date / Price: 01/18/2022 / $313,000 Living Area: 1,765

Owner Name: Stotz Jan M /

Prepared On : 09/13/2022

# of units: Document #: 1800435 Bedrooms: Pool: Pool Total Tax Value: $175,272 Bath(F/H): /

#15   8887 S Desert Valley Way Tucson Az 85747

Customer Name : Kariann Keomaka

APN / Alternate APN: 141-18-4200 / Deed Type: Warranty Deed Land Use: Sfr Subdivision / Tract: Desert Crossings At Rita Ranch / Lot Size: 5,281

Owner Name: Bussey Hugh J /

#18   10092 E Paseo De La Masada Tucson Az 85747

© 2022 CoreLogic. All rights reserved

Year Built / Eff: 1995 / Rec. Date / Price: 11/02/2021 / $300,000 Living Area: 1,445

# of units: Document #: 180610 Bedrooms: Pool: Total Tax Value: $166,200 Bath(F/H): /

#16   8831 S Desert Rainbow Dr Tucson Az 85747

Owner Name: Rose Susan M Living Trust / APN / Alternate APN: 141-19-205A / Deed Type: Warranty Deed Land Use: Sfr Subdivision / Tract: Hacienda Del Oro / Lot Size: 7,039

#19   10010 E Paseo De La Masada Tucson Az 85747

APN / Alternate APN: 141-18-4290 / Deed Type: Special Warranty Deed Land Use: Sfr Subdivision / Tract: Desert Crossings At Rita Ranch / Lot Size: 4,850 Year Built / Eff: 1999 / Rec. Date / Price: 08/25/2022 / $275,000 Living Area: 1,342 # of units: Document #: 2370413 Bedrooms: Pool: Total Tax Value: $150,173 Bath(F/H): /

Owner Name: Saysamone S /Banks Saysamone S

Year Built / Eff: 1995 / Rec. Date / Price: 06/29/2022 / $326,000 Living Area: 1,445

#20   10132 E Paseo San Bernardo Tucson Az 85747

Owner Name: Yamasa Co Ltd / APN / Alternate APN: 141-19-1490 /

Land Use: Sfr Subdivision / Tract: Hacienda Del Oro / Lot Size: 7,705

Year Built / Eff: 1993 / Rec. Date / Price: 05/25/2022 / $320,000 Living Area: 1,445

# of units: Document #: 1450730

Bath(F/H): /

Customer Name : Kariann Keomaka

© 2022 CoreLogic. All rights reserved

Customer Company Name : First American Title Insurance Company Prepared On : 09/13/2022

Deed Type: Warranty Deed

Bedrooms: Pool: Total Tax Value: $152,740

Subject Property :   10133 E Desert Paradise Pl Tucson AZ 85747

Name : Kariann Keomaka Customer Company Name : First American Title Insurance Company Prepared On : 09/13/2022 © 2022 CoreLogic. All rights reserved

Customer

Prepared On : 09/13/2022

© 2022 CoreLogic. All rights reserved

Customer Name : Kariann Keomaka

Customer Company Name : First American Title Insurance Company

39

UNIFIED 2101

ELEMENTARY 10105

08

06

TANQUE VERDE UNIFIED 2300 N. Tanque Verde Loop, Tucson, AZ 85749 520.749.5751 TUCSON UNIFIED 1010 E. 10th Street, Tucson, AZ 85717 520.225.6000 VAIL UNIFIED 10701 E. Mary Ann Cleveland Way, Tucson, AZ 85747 520.879.2000

EDesertDove

SHelvetiaRdUNIFIED N. Well Road, Ajo, AZ 85321 520.387.5618 VALLEY S. Sasabe Road, Tucson, AZ 85736 520.822.1484 W. Wetmore, Tucson, AZ 85705 520.696.5000 FOOTHILS E. River Road, Tucson, AZ 85718 520.209.7500 CONTINENTAL ELEMENTARY 1991 E. Whitehouse Canyon, Green Valley, AZ 85614 520.625.4581 FLOWING WELLS UNIFIED 1556 W. Prince Road, Tucson, AZ 85705 520.696.8800 MARANA UNIFIED 11279 W. Grier Road, Marana, AZ 85653 520.682.3243 PIMA COUNTY JTED 2855 W. Master Pieces Dr, Tucson, AZ 85741 520.352.5833 SAHUARITA UNIFIED W. Sahuarita Road, Sahuarita, AZ 85629 520.625.3502 SUNNYSIDE UNIFIED 2238 E. Ginter Road, Tucson, AZ 85706 520.545.2000

First American Title Insurance Company, and the operating divisions thereof, make no express or implied warranty respecting the information presented and assume no responsibility for errors or omissions. First American, the eagle logo, First American Title, and firstam.com are registered trademarks or trademarks of First American Financial Corporation and/or its affiliates. ©2021 First American Financial Corporation and/or its affiliates. All rights reserved. NYSE: FAF

30

12

13

51 ALTAR

10 AMPHITHEATER UNIFIED 701

350

05249570321 AIRPORTINT'LTUCSON Air Force WSilverbellRd SSantaRitaRd NMtLemmon Hwy ESascoRd NF38 W Avra Valley Rd E Grand Va ey DrNAguirreRd dRkLNuce dRWNentzNWatermanMountainRd RdAnwayN W El Tiro Rd NTricoRd W Tucker Rd W Rudas l Rd W Manvi e Rd SSanJoaquinRdWBopp Rd W Snyder H l RddRSMarsear W Park Rd W Hermans RdW Hermans Rd W Guy St W Bush Rd SGaveyRd eaCNRinconado SWmoRd SShawRd SSierritaMountainRd SKobRdW TwinButtes Rd W Mcgee Ranch Rd ESstancaDr

20

111

16 CATALINA

01

E Hemlock Dr BNearCanyonRdW E Camino Del Cerro E Fairmount St SSwanRd NFrontageRd W Emigh Rd W Fort Lowe Rd dSPNumptationR E Nona Rd Ch efButteRd Lo al Ave NTricoRd SCattleTankRd Evalyn Rd SOwlHeadRanchRdGasLineRd PSecanRd NTrcoRd W Bayard Rd dRSSandaro WillowSpringsRd N Dove Mountain Blvd

WAnamax Mine Rd dRhRiGWacaanc Road424 WRagged Top Rd W Ruby Star Dr WBritten RanchRd W Pima Mine Rd S Mcgee RanchRd E Edw n Rd SGuildRd 80 NKINNEYRD SPICACHOHWYE BAUMGARTNER RD SNANDARIORDNANWAYRD W VALENCIA RD W MOORE RD W INA RD ESN1TAV E SUNRISE DR E SNYDER RDNSILVERBELLRD TRSNOLDIERLE RIVER RDE PRINCE RD E SPEEDWAY BLVD SFREEMANRDE 22ND ST E 22ND ST W IRVINGTON RD SNOGALESHWY W VALENCIA RDSMISSIONRDWSPEEDWAY BLVD SOLDSPANISHTRL W NARANJA DR W TWIN PEAKS RD W PICTURE ROCKS RD W MANVILLE RD SKINNEYRD W MILE WIDE RD E SAHUARITA RD NTRICORD OSSANDARRD PARK LINK DR SOLDNOGALESHWY GUOSHHTONRD ADCSLAANADRW HELMET PEAK RD WAJOHWY RNASNWD RDKOLBS SHOUGHTONRD W TANGERINE RD E GRANT RD SHOUGHTONRD 95 WAJOHWY E VALENCIA RD NORACLERD I-10 I-19 77 77 77 86 86 286 10 19 10 10 Corona de Tucson AdobesCasas Catalina Green Valley Oracle Picture Rocks Three Points VailSummit TanqueVerde SahuaritaTucson Red Rock Saddlebrooke Marana Oro Valley Rillito SummerhavenWillow Canyon Oracle Junction Cortaro Continental Littletown 20 30 13 15 51 39 12 01 01 08 10 16 11 06 PIMA COUNTY School District Information This map is provided for general location only. Please contact school districts for actual street boundaries SCHOOL DISTRICTS 15 AJO

11

SchoolsArizona For detailed information and statistics on Arizona schools please go ©2021FirstFirsthttps://azreportcards.azed.gov/toAmericanTitleInsuranceCompany,andtheoperatingdivisionsthereof,makenoexpressorimpliedwarrantyrespectingtheinformationpresentedandassumenoresponsibilityforerrorsoromissions.American,theeaglelogo,FirstAmericanTitle,andfirstam.comareregisteredtrademarksortrademarksofFirstAmericanFinancialCorporationand/oritsaffiliates.FirstAmericanFinancialCorporationand/oritsaffiliates.Allrightsreserved.NYSE:FAF05117910421

Lowest Grade : Pre-K

Total Expenditure/Student : 193

Customer Name : Kariann Keomaka

School District : Vail Unified District (4413)

Telephone : (520) 879-3400

9950 E Rees Loop Tucson AZ Telephone :85747(520) 879-2600

Elementary Schools

Highest Grade : 8th Kindergarten : Yes School Enrollment : Enrollment : 711

9400 E Esmond Loop Tucson AZ 85747

School District : Vail Unified District (4413)

Total Expenditure/Student : 193

Kindergarten : Yes School Enrollment : Enrollment : 649

Total Expenditure/Student : 193

Public Schools :

Total Expenditure/Student : 193

Mesquite Elementary School Distance 1.83 Miles

Esmond Station School Distance 1.46 Miles

Distance 0.25 Miles

Lowest Grade : K Highest Grade : 5th Kindergarten : Yes School Enrollment : Enrollment : 817

School District : Vail Unified District (4413)

Customer Company Name : First American Title Insurance Company Prepared On : 09/13/2022

Cottonwood Elementary School

9455 E Rita Rd Tucson AZ Telephone :85747(520) 879-2102

Lowest Grade : K Highest Grade : 6th Kindergarten : Yes School Enrollment : Enrollment : 589

School District : Vail Unified District (4413)

9400 S Atterbury Wash Way Tucson AZ 85747

Lowest Grade : K Highest Grade : 5th

© 2022 CoreLogic. All rights reserved

Desert Willow Elementary School Distance 1.21 Miles

Telephone : (520) 879-2302

Desert Sky Middle School Distance 0.97 Miles

Pcjted - Empire High School

Lowest Grade : 9th Highest Grade : 12th School Enrollment : Enrollment : 868

Empire High School Distance 0.74 Miles

High Schools

Total Expenditure/Student : Advanced Placement : No

School District : Vail Unified District (4413)

10701 E Mary Ann Cleveland Way Tucson AZ 85747

10701 E Mary Ann Cleveland Way Tucson AZ 85747

Total Expenditure/Student : Advanced Placement : No

Lowest Grade : 9th Highest Grade : 12th School Enrollment : Enrollment : 1

10701 E Mary Ann Cleveland Way Tucson AZ 85747

© 2022 CoreLogic. All rights reserved

Middle Schools

School District : Pima County Jted (89380)

Distance 0.74 Miles

Telephone : (520) 879-3000

Customer Company Name : First American Title Insurance Company Prepared On : 09/13/2022

Telephone : (520) 879-2700

Telephone : (520) 879-3000

9850 E Rankin Loop Tucson AZ 85747

Lowest Grade : 6th Highest Grade : 8th

School District : Vail Unified District (4413)

Telephone : (520) 352-5833

Kindergarten : No School Enrollment : Enrollment : 753

Total Expenditure/Student : 193

Total Expenditure/Student : 193 Advanced Placement : No

School District : Pima County Jted (89380)

Lowest Grade : 9th Highest Grade : 12th School Enrollment : Enrollment : 0

Pima County Jted At Empire Distance 0.74 Miles

Customer Name : Kariann Keomaka

© 2022 CoreLogic. All rights reserved

10701 E Mary Ann Cleveland Way Tucson AZ 85747

Lowest Grade : 9th

Pima County Jted At Indian Oasis

Distance 0.8 Miles

Telephone : (520) 383-6800

Total Expenditure/Student : Advanced Placement : No

Customer Company Name : First American Title Insurance Company Prepared On : 09/13/2022

School District : Pima County Jted (89380)

Customer Name : Kariann Keomaka

Highest Grade : 12th School Enrollment : Enrollment : 4

Sunstreet Mortgage, Llc 9172 S Houghton Rd # 130 Tucson Az (520) 891-2733 0.49

Customer Company Name : First American Title Insurance Company

Prepared On : 09/13/2022

Health Care Services

Name Address Telephone Distance (Miles)

Bank Of America, National Association 8150 S Houghton Rd Tucson Az (520) 574-7543 0.82

Eating / Drinking

© 2022 CoreLogic. All rights reserved

Arby's 10115 E Old Vail Rd Tucson Az (800) 599-2729 0.2

Nfi Pyramid Credit Union 8235 S Houghton Rd # 100 Tucson Az (520) 574-4415 0.7

Customer Name : Kariann Keomaka

Name Address Telephone Distance (Miles)

Bellareta Upland Outftter's Llc 10254 E Clle Estrlla Plar Tucson Az (520) 574-6979 0.55

One Nail Lounge 10235 E Old Vail Rd # 145 Tucson Az (520) 347-7516 0.29

Dunkin' Donuts 10200 E Old Vail Rd Tucson Az (520) 207-4760 0.28

Banks / Financial

Name Address Telephone Distance (Miles)

Catalina Surgical First Assist, Inc. 10121 E Paseo San Bruno Tucson Az (520) 906-6112 0.21

Rita Ranch Gymnastics Llc 9694 E Rita Commerce Ct Tucson Az (520) 664-1900 0.61

Panda Express, Inc. 9130 S Houghton Rd Tucson Az (520) 663-0077 0.22

Credit Repair Tucson Az 8110 S Houghton Rd Ste 15 Tucson Az (520) 729-2178 0.89

Name Address Telephone Distance (Miles)

Michael J Depaso M D 10120 E Old Vail Rd # 100 Tucson Az (520) 989-8012 0.21

Local

Dancin Savvy 9796 E Paseo San Bernardo Tucson Az (520) 861-0514 0.55

Northwest Allied Physicians Vail 10120 E Old Vail Rd Ste 1 Tucson Az (520) 250-5536 0.21

Springs Gymnastics Cheer & Dance L.l.c. 9694 E Rita Commerce Ct Tucson Az (520) 907-5005 0.61

AttractionsBusiness/Recreation

Judith Krentzel Fnp 10120 E Old Vail Rd Ste 1 Tucson Az (520) 989-8012 0.21

Customer Name : Kariann Keomaka

Personal Services

Marmaxx Operating Corp. 9236 S Houghton Rd Tucson Az (520) 574-3583 0.54

Loan Signing Pros, Llc 9571 E Paseo San Bernardo Tucson Az (520) 207-6635 0.88

Clutter Free Spaces 8365 S Camino Bengala Tucson Az (520) 203-8991 0.54

© 2022 CoreLogic. All rights reserved

Organizations / Associations

Name Address Telephone Distance (Miles)

Shopping

Name Address Telephone Distance (Miles)

T.j. Maxx 9236 S Houghton Rd Tucson Az (520) 574-3583 0.54

The Garage Fitness With Catalina Llc 10424 E Port Townsend St Tucson Az (520) 400-7993 0.64

Ross Stores, Inc. 9240 S Houghton Rd Tucson Az (520) 574-7009 0.55

Name Address Telephone Distance (Miles)

Customer Company Name : First American Title Insurance Company Prepared On : 09/13/2022

Yr Blt / Eff Yr Blt : 1999 / APN : 141-18-3640

Land Use : Sfr Lot Acres : 0.20

Subdivision : Desert Crossings At Rita Ranch

10118 E DESERT GORGE DR Distance 0.02 Miles

Subdivision : Desert Crossings At Rita Ranch

10127 E DESERT PARADISE PL Distance 0.01 Miles

Total Value : $148,462

Stories : 1 Living Area : 1,318

Total Value : $164,034

Stories : 1 Living Area : 1,373

Yr Blt / Eff Yr Blt : 1998 / APN : 141-18-3720

Sale Price  : $235,000

Recording Date : 06/01/2006

Distance 0.01 Miles

Owner Name : Joyce Kent D

Land Use : Sfr Lot Acres : 0.13

Owner Name : O Brien James Alan

Bed / Bath : / 3 Property Tax : $1,840.15

© 2022 CoreLogic. All rights reserved

Bed / Bath : / 3 Property Tax : $1,951.92

Recording Date : 10/29/1999

Sale Date : 05/20/2006

Stories : 1 Living Area : 1,538

Owner Name : Alabaso Alvin

Sale Price  : $96,620

Customer Company Name : First American Title Insurance Company Prepared On : 09/13/2022

Recording Date : 09/20/2019

Sale Date : 10/25/1999

Total Value : $151,888 Sale Price  : $176,500

Sale Date : 09/12/2019

Subdivision : Desert Crossings At Rita Ranch

Yr Blt / Eff Yr Blt : 1999 / APN : 141-18-3660

Customer Name : Kariann Keomaka

Bed / Bath : / 4 Property Tax : $1,862

10139 E DESERT PARADISE PL

Land Use : Sfr Lot Acres : 0.12

© 2022 CoreLogic. All rights reserved

Stories : 1 Living Area : 1,538

Total Value : $158,678

Owner Name : Siebern Everitt M

Bed / Bath : / 3 Property Tax : $1,923.51

Lot Acres : 0.12

Land Use : Sfr Lot Acres : 0.24

Subdivision : Desert Crossings At Rita Ranch

Sale Date : 01/21/2021

Bed / Bath : / 3 Property Tax : $2,161.07

Owner Name : Hamm Rhonda

Subdivision : Desert Crossings At Rita Ranch

10121 E DESERT PARADISE PL Distance 0.02 Miles

Sale Date : 04/00/2006

Recording Date : 01/29/2021

Land Use : Sfr Lot Acres : 0.12

Sale Price  : $248,000

Subdivision : Desert Crossings At Rita Ranch

Bed / Bath : / 3 Property Tax : $2,186.15

Sale Price  : $213,000

Customer Company Name : First American Title Insurance Company Prepared On : 09/13/2022

Owner Name : Coy Christopher

Recording Date : 04/14/2020

10126 E DESERT GORGE DR Distance 0.02 Miles

Stories : 1 Living Area : 1,538

Stories : 1 Living Area : 1,538

Customer Name : Kariann Keomaka

Land Use : Sfr

Yr Blt / Eff Yr Blt : 1998 / APN : 141-18-3730

Yr Blt / Eff Yr Blt : 1999 / APN : 141-18-3710

Total Value : $164,034

Sale Date : 04/10/2020

Recording Date : 04/06/2006

10110 E DESERT GORGE DR Distance 0.02 Miles

Yr Blt / Eff Yr Blt : 1999 / APN : 141-18-3670

Total Value : $186,525 Sale Price  : $246,000

Owner Name : Adams Shannon

Sale Date : 10/15/1999

Recording Date : 06/26/2012

Land Use : Sfr Lot Acres : 0.13

Yr Blt / Eff Yr Blt : 1998 / APN : 141-18-3740

Recording Date : 10/18/1999

Yr Blt / Eff Yr Blt : 2000 / APN : 141-18-3620

Customer Name : Kariann Keomaka

Total Value : $129,920

Stories : 1 Living Area : 1,538

Total Value : $164,577

Sale Date : 10/08/2019

Land Use : Sfr Lot Acres : 0.12

Owner Name : Arcuby Jean B

Bed / Bath : / 3 Property Tax : $1,930.02

Bed / Bath : / 3 Property Tax : $2,193.78

Distance 0.03 Miles

Stories : 1 Living Area : 1,538

Total Value : $159,191 Sale Price  : $113,056

Sale Price  : $169,500

Sale Price  : $110,000

10151 E DESERT PARADISE PL

Subdivision : Desert Crossings At Rita Ranch

Distance 0.03 Miles

Recording Date : 10/17/2019

Land Use : Sfr Lot Acres : 0.12

10134 E DESERT GORGE DR

Yr Blt / Eff Yr Blt : 1999 / APN : 141-18-3700

Bed / Bath : / 2 Property Tax : $1,925.22

Stories : 1 Living Area : 1,133

Subdivision : Desert Crossings At Rita Ranch

Customer Company Name : First American Title Insurance Company Prepared On : 09/13/2022

Owner Name : Tataria Mukesh

Sale Date : 06/14/2012

© 2022 CoreLogic. All rights reserved

10102 E DESERT GORGE DR Distance 0.03 Miles

Subdivision : Desert Crossings At Rita Ranch

Property Tax : $1,936.73

Distance 0.03 Miles

Customer Company Name : First American Title Insurance Company

Sale Date : 10/11/2005

Recording Date : 10/20/2005

Land Use : Sfr

Yr Blt / Eff Yr Blt : 2000 /

© 2022 CoreLogic. All rights reserved

Lot Acres : 0.21

Total Value : $159,717

APN : 141-18-3430

Owner Name : Dodson Sammy B Jr

Prepared On : 09/13/2022

10132 E DESERT PARADISE PL

Sale Price  : $238,000

Bed / Bath : / 3

Living Area : 1,538

Subdivision : Desert Crossings At Rita Ranch

Stories : 1

Customer Name : Kariann Keomaka

Median Mortgage Payments Home Values

Under $300: 1.62% Below $100,000: 3.4%

Growth Last 10 Years: -211.57% 65 - 74 6.08% 75+

Current Year: 959 0 - $25,000 3.86%

Average Current Year: 2.79 $25,000 - $35,000 3.86%

Unit Occupied Owner: 70.59% Above $500,000: 0%

Growth Last 5 Years: -14.25% 25 - 64 52.2%

Estimate in 5 Years: 1,485 18 - 24 12.57%

Customer Name : Kariann Keomaka

© 2022 CoreLogic. All rights reserved

Estimate in 5 Years: 671 $35,000 - $50,000 13.56%

Female Population: 52.2% Average Household Income: $79,306

Married People: 47.59%

Household Size Household Income

Household

$800 - $1,999: 70.46% $150,000 - $200,000: 43.28% Over $2,000: 1.03% $200,000 - $300,000: 25.55%

Estimate Current Year: 2,381 12 - 17

Growth Last 5 Years: -12.93% $50,000 - $75,000 26.69%

Customer Company Name : First American Title Insurance Company Prepared On : 09/13/2022

Census Tract / block: 40.66 / 2     Year: 2018

Count: 2,680 0 - 11

Median Home Value: $170,700 $300,000 - $500,000: 0%

Unmarried People: 52.41%

Housing

Growth Last 10 Years: -11.49% $75,000 - $100,000 20.86%

Male Population: 47.8% Above $100,000 31.18%

Population Population by Age

Median Mortgage: $818

$300 - $799: 26.88% $100,000 - $150,000: 27.77%

Less Than $499 0% 1990 - 1994

Not Enrolled in School: 70.76%

Unit Occupied Renter: 29.41% 1999 - 2000

Occupation:

Year Built

Commute Time

15 min - 28 min: 40.24%

Customer Company Name : First American Title Insurance Company Prepared On : 09/13/2022

Over 60 min: 5.68%

Public College: 7.66% College Graduate: 29.46%

Median Gross Rent: $1,391 1995 - 1998

Manager/Prof: 35.45% Private Worker: 63.82%

Administrative: Unpaid Family Worker: 4.5%

Service: 30.36% Skilled:

Private School: 1.13% Attended Some College: 33.48%

© 2022 CoreLogic. All rights reserved

Protective Services: Blue-Collar: 13.41%

Customer Name : Kariann Keomaka

Private College: 0.27% Graduate Degree: 12.72%

Public School: 28.11% Graduate Of High School: 21.87%

$750 - $999 0% 1970 - 1979 0%

Enrollment

$500 - $749 0% 1980 - 1989 0%

Private Pre-Primary School: 0% Not A High School Graduate: 2.47%

$1000 and Over 100% 1900 - 1969 0.85%

Rent Payments

Technical: Government Worker: 24.32%

Workforce

30 min - 57 min: 39.57%

Public Pre-Primary School: 1.24%

Sales: 20.78% Self Employed Worker: 0.88%

Private House Hold: Farming: 3.91%

Less Than 15 Min: 14.51%

Education

© 2022 CoreLogic. All rights reserved

Customer Company Name : First American Title Insurance Company

Prepared On : 09/13/2022

Customer Name : Kariann Keomaka

Prepared On : 09/13/2022

Customer Name : Kariann Keomaka

© 2022 CoreLogic. All rights reserved

Customer Company Name : First American Title Insurance Company

© 2022 CoreLogic. All rights reserved

Customer Company Name : First American Title Insurance Company

Customer Name : Kariann Keomaka

Prepared On : 09/13/2022

PRIMARY  14,026  0  0  10.1222  2050 SECONDARY  50  16,353  0  5.4640  2021 TOTAL TAX BILLED 2,186.15

+ FIRST AMERICAN TITLE, FC0, KWAL PIMA, AZ 09/13/2022  09:13AM  TCI1  INVESTIGATIVE SEARCH RESULTS PAGE 1 OF 1

VALIDITY

NUMBER OF STORIES  1.0

AFFIDAVIT    2020 1260550 05/05/2020

SITUS: 10133 E DESERT PARADISE PL TUC

END SEARCH

FULL CASH VALUE YEAR BUILT LAND USE  01 33 LOT SIZE SCHOOL DISTRICT  2050 LAND FULL CASH VALUE  502 IMPR FULL CASH VALUE SELLER NAME 05/05/2020    2020 1260550 PRENTICE IAN C & LISA M    11183 1059 FIDELITY NATIONAL TITLE AG    11053 2398 SD LAWYERS TITLE T7841 M    11053 2397 LAWYERS TITLE T7823 M SFR

164,034

163,532 SALES SALE DATE SALE AMOUNT INSTRUMENT TYPE

11/30/1999 108,213

05/24/1999 700,000

PARCEL: 141-18-3650

INSTRUMENT REC DATE

PARCEL:  141-18-3650

CURRENT TAXES

ADDITIONAL PROPERTY INFORMATION STANDARD LAND USE:

RESIDENTIAL  BLDG SQFT

WD

OWNER: SALGADO STEPHANIE N

IMPROVEMENTS

PLAT: LOT 00106 BLOCK LEGAL: DESERT CROSSINGS AT RITA RANCH LOT 106

SEARCH PARAMETERS

1,538

1 STDLT STORIES HEIGHT  0

INFORMATION THROUGH 07/28/2022 LAND IMPR EXEMPT RATE AREA SPECIAL DISTRICTS

MAIL: 10133 E DESERT PARADISE PL  TUCSON AZ 85747

TOTAL CURRENT TAXES DUE 09/22 0.00 10/22 0.00

1999

SD

2021  TAX AMT TAX DUE INTEREST DATE PAID TOTAL DUE FIRST HALF  1,093.08  0.00  0.00  10/23/2021  0.00  SECOND HALF  1,093.07  0.00  0.00  04/12/2022  0.00

GRADE MATERIALS

WD

05/24/1999 1,018,200

EXTERIOR WALLS  FRAME WOOD

221,000

ConditionsCovenants,&Restrictions

Restrictions indicating a preference, limitation or discrimination based on race, color, religion, sex, handicap, familial status, or national origin are hereby deleted to the extent such restrictions violate 42 USC 3604(c).

This information is furnished without fee and without benefit of a complete title search. No liability is assumed by First American Title or Title Security. If it is desired that liability be assumed, you may apply for a policy of title insurance with First American Title Insurance Company.

Thank you for the opportunity to be of service.

Page 1 of 36 09/28/2018 9:29 AM

Page 2 of 36 09/28/2018 9:29 AM

Page 3 of 36 09/28/2018 9:29 AM

Page 4 of 36 09/28/2018 9:29 AM

Page 5 of 36 09/28/2018 9:29 AM

Page 6 of 36 09/28/2018 9:29 AM

Page 7 of 36 09/28/2018 9:29 AM

Page 8 of 36 09/28/2018 9:29 AM

Page 9 of 36 09/28/2018 9:29 AM

Page 10 of 36 09/28/2018 9:29 AM

Page 11 of 36 09/28/2018 9:29 AM

Page 12 of 36 09/28/2018 9:29 AM

Page 13 of 36 09/28/2018 9:29 AM

Page 14 of 36 09/28/2018 9:29 AM

Page 15 of 36 09/28/2018 9:29 AM

Page 16 of 36 09/28/2018 9:29 AM

Page 17 of 36 09/28/2018 9:29 AM

Page 18 of 36 09/28/2018 9:29 AM

Page 19 of 36 09/28/2018 9:29 AM

Page 20 of 36 09/28/2018 9:29 AM

Page 21 of 36 09/28/2018 9:29 AM

Page 22 of 36 09/28/2018 9:29 AM

Page 23 of 36 09/28/2018 9:29 AM

Page 24 of 36 09/28/2018 9:29 AM

Page 25 of 36 09/28/2018 9:29 AM

Page 26 of 36 09/28/2018 9:29 AM

Page 27 of 36 09/28/2018 9:29 AM

Page 28 of 36 09/28/2018 9:29 AM

Page 29 of 36 09/28/2018 9:29 AM

Page 30 of 36 09/28/2018 9:29 AM

Page 31 of 36 09/28/2018 9:29 AM

Page 32 of 36 09/28/2018 9:29 AM

Page 33 of 36 09/28/2018 9:29 AM

Page 34 of 36 09/28/2018 9:29 AM

Page 35 of 36 09/28/2018 9:29 AM

Page 36 of 36 09/28/2018 9:29 AM

to the Title & Escrow Process in Arizona Home Seller’s Guide

Southwest Gas www.swgas.com1.877.860.6020 Cox www.cox.com602.277.1000 Direct TV www.directv.com1.888.777.2454 Dish Network www.dishnetwork.com1.800.823.4929 CenturyLink www.centurylink.com800.366.8201 AT&T www.att.com1.800.222.0300 Verizon www.connecttoverizon.com1.877.300.4498 Salt River Project www.srpnet.com602.236.8888 APS www.aps.com602.371.7171 Your Escrow Number Your New City/State/ZipAddress Real Estate Agent Name Email Assistant Email Company Phone Address Fax Insurance CompanyPrevious Phone Previous Agent No.Policy New Company Phone New Agent No.Policy Home CompanyWarranty No.Policy First American Title Escrow Officer Email Escrow Assistant Email Address Phone City/State/Zip Fax 02 Quick Reference 03 Welcome 04 Benefits of Using a REALTOR ® 05 Key Professionals 06 Preparing Your Home for Sale 07 Staging Your Home for Show 09 Terms You Should Know 10 The Life of an Escrow 11 Closing Costs: Who Pays What 12 The Escrow Process 14 Understanding Title Insurance 16 Consider This 17 Closing Your Escrow 18 Planning Your Move Q uick Reference Table of Contents Utilities and Services

AZ Sellers Guide | 3

First American Title has a direct office or agent near you, offering convenient locations throughout Arizona. We also have an extensive network of offices and agents throughout the United States, and internationally.

First American Title is the principal subsidiary of First American Financial Corporation, and one of the largest suppliers of title insurance services in the nation. With roots dating back to 1889, we’ve served families for generations.

Welcome to the home-selling process. Throughout this process, you can count on First American Title to guide you smoothly through your transaction and provide expert answers to your questions. We are happy to serve you.

Count on First American Title

First American Title’s professionals are proud to provide the title insurance that assures people’s home ownership. Backed by First American Title Insurance Company, your transaction will be expertly completed in accordance with state-specific underwriting standards and state and federal regulatory requirements.

Count On Us To Meet Your Needs

Count On Us For Service

Count On Us For Stability

Count On Us For Convenience

First American Financial Corporation offers more than title insurance and escrow services through its subsidiaries. Our subsidiaries also provide property data, title plant records and images, home warranties, property and casualty insurance, and banking, trust and advisory services.

Benefits4 of using a Professional REALTOR ®

› Is always “on-call,” answering the phone at all hours, and showing homes evenings and weekends.

› Is experienced in creating demand for homes and how to show them to advantage.

› Knows how to go toe-to-toe in negotiations.

- have arrangements with an escrow and title company, home warranty company, pest-control service and lender to assist you with the transaction?

› Can advertise effectively for the best results.

› Can help protect your rights, particularly important with the increasingly complicated real estate laws and regulations.

Are you...

› Understands market conditions and has access to information not available to the average homeowner.

- understand the steps of an escrow and what’s required of you and the buyer?

- aware of conditions in the marketplace today that affect value and length of time to sell?

- aware that prospective buyers and bargain hunters will expect you to lower your cost because there’s no REALTOR® involved?

› Will listen to your needs, respect your opinions and allow you to make your own decisions.

Before you make the decision to try to sell your home alone, consider the benefits a REALTOR ® can provide that you may not be aware of.

A REALTOR ® :

Many people believe they can save a considerable amount of money by selling their homes themselves. It may seem like a good idea at the time, but while you may be willing to take on the task, are you qualified? The following are some questions to help you realistically assess what’s involved.

Do you...

AZ Sellers Guide |

› Maintains errors-and-omissions insurance.

- have the knowledge, patience, and sales skills needed to sell your home?

- aware that every time you leave your home, you are taking it off the market until you return?

- need to hire a real estate attorney? If so, do you know what the cost will be and how much liability they will assume in the transaction?

› Knows how to screen potential buyers and eliminate those who can’t qualify or are looking for bargain-basement prices.

› Is experienced with resolving problems to facilitate a successful closing on your home.

Only you can determine whether you should attempt to sell your home—probably your largest investment—all alone. Talk with a REALTOR® before you decide. You may find working with a professional is a lot less expensive and much more beneficial than you ever imagined!

- know how to determine your home’s current market value?

- understand the various types of loans buyers may choose and the advantages and disadvantages for the seller?

- familiar enough with real estate regulations to prepare a binding sales contract? Counter-offers?

- prepared to give up your evenings and weekends to show your home to potential buyers and “just-looking” time wasters?

› Can remain objective when presenting offers and counter-offers on your behalf.

› Knows how to price your home realistically, to give you the highest price possible within your time frame.

FOR SALE BY OWNER

- know how to advertise effectively and what the costs will be?

- concerned about having strangers walking through your home?

- know how to determine whether or not a buyer can qualify for a loan?

AZ Sellers Guide | 5

BUYER'S AGENT

REALTOR ®

A REALTOR ® is a licensed real estate agent and a member of the National Association of REALTORS,® a real estate trade association. REALTORS ® also belong to their state and local Association of REALTORS.®

A key role of the buyer’s agent or broker is to work with the buyer to locate a suitable property and negotiate a successful home purchase.

TITLE COMPANY

ESCROW OFFICER

An escrow officer leads the facilitation of your escrow, including escrow instructions preparation, document preparation, funds disbursement, and more.

Key Professionals Involved in Your Transaction

A key role of the listing agent or broker is to form a legal relationship with the homeowner to sell the property and place the property in the Multiple Listing Service.

These are the people who carry out the title search and examination, work with you to eliminate the title exceptions you are not willing to take subject to, and provide the policy of title insurance regarding title to the real property.

MULTIPLE LISTING SERVICE (MLS)

A real estate agent is licensed by the state to represent parties in the transfer of property. Every REALTOR ® is a real estate agent, but not every real estate agent has the professional designation of a REALTOR.®

REAL ESTATE AGENT

LISTING AGENT

The MLS is a database of properties listed for sale by REALTORS ® who are members of the local Association of REALTORS.® Information on an MLS property is available to thousands of REALTORS ®

Make sure toilet seats look new and are firmly attached.

Clean and organize the garage, and ensure the door is in good working order.

Shampoo carpeting or replace if worn. Clean tile floors, particularly the caulking.

Make sure the front steps are clear and hazard-free. Make sure the doorbell works properly and has a pleasant sound.

Brighten the appearance inside by painting walls, cleaning windows and window coverings, and removing sunscreens.

Remove any oil and rust stains from the driveway and garage.

Rearrange furniture to make rooms appear larger. If possible, remove and/or store excess furniture, and avoid extension cords in plain view.

If screens or windows are damaged, replace or repair them.

Repair or replace worn shutters and other exterior trim.

Ensure that all exterior lights are working.

Paint or replace the mailbox, if needed.

Mow and edge the lawn regularly, and trim the shrubs.

Repair or replace loose knobs on doors and cabinets. If doors stick or squeak, fix them.

Remove clutter throughout the house. Organize and clean out closets.

AZ Sellers Guide | 6

Check stucco walls for cracks and discoloration.

Repair leaky faucets and caulking in bathtubs and showers.

Repair or replace loud ventilating fans. Replace worn shower curtains.

YOURFORPREPARINGSALEHOME

Air conditioners/heaters, evaporative coolers, hot water heater should be clean, working and inspected if necessary. Replace filters.

Check the pool and/or spa equipment and pumps. Make sure all are working properly and that the pool and/or spa are kept clean.

Inspect fences, gates and latches. Repair or replace as needed.

Make your entry inviting: Paint your front door and buy a new front door mat.

Clean household appliances and make sure they work properly.

First impressions have a major impact on potential buyers. Try to imagine what potential buyers will see when they approach your house for the first time and walk through each room. Ask your REALTOR ® for advice; they know the marketplace and what helps a home sell. Here are some tips to present your home in a positive manner:

AZ Sellers Guide | 7

If possible you, your pets, and your children should be gone while your home is being Cleanshown.trash

To make the best impression, keep your home clean, neat, uncluttered and in good repair. Please review this list prior to each showing:

Get rid of odors such as tobacco, pets, cooking, etc., but don’t overdo air fresheners or potpourri. Fresh baked bread and cinnamon can make a positive impact.

If you must be present while your home is shown, keep noise down. Turn off the TV and radio. Soft, instrumental music is fine, but avoid vocals.

Make beds with attractive spreads.

Send pets away or secure them away from the house, and be sure to clean up after them.

Staging your home for Show

cans and put them out of sight.

Hang clean attractive guest towels in the bathrooms.

Keep everything clean. A messy or dirty home will cause prospective buyers to notice every flaw.

Clear all clutter from counter tops.

Check that sink and tub are scrubbed and unstained.

Keep the garage door closed and the driveway clear. Park autos and campers away from your home during showings

Close the windows to eliminate street noise.

Stash or throw out newspapers, magazines, junk mail.

Let the light in. Raise shades, open blinds, pull back the curtains and turn on the lights.

AZ Sellers Guide | 8

TRID

Legal Description

A payment that includes Principal, Interest, Taxes, and Insurance.

Hazard Insurance

The date the amounts are to be disbursed to a buyer and seller in a purchase transaction or the date funds are to be paid to the borrower or a third party in a transaction that is not a purchase transaction.

PITI

Closing Disclosure (CD)

Power of Attorney

A trust type of account established by lenders for the accumulation of borrower’s funds to meet periodic payments of taxes, mortgage insurance premiums and/or future insurance policy premiums, required to protect their security.

A written instrument whereby a principal gives authority to an agent. The agent acting under such a grant is sometimes called an “Attorney-in-Fact.”

Comparable Sales

Recording

Consummation

Deed Restrictions

As to a title insurance policy, a rider or attachment forming a part of the insurance policy expanding or limiting coverage.

A right, privilege or interest limited to a specific purpose that one party has in the land of another.

The instrument by which real property is pledged as security for repayment of a loan.

Appraisal

Impounds

A description of land recognized by law, based on government surveys, spelling out the exact boundaries of the entire parcel of land. It should so thoroughly identify a parcel of land that it cannot be confused with any other.

Down payment made by a purchaser of real property as evidence of good faith; a deposit or partial payment.

Lien

An instrument used in many states in place of a mortgage.

Loan Estimate (LE)

Settlement statement

TILA-RESPA Integrated Disclosures

Earnest Money Deposit

The recipient of benefits, often from a deed of trust; usually the lender.

AZ Sellers Guide | 9

Filing documents affecting real property with the appropriate government agency as a matter of public record.

Terms You Should Know

Provides a complete breakdown of costs involved in a real estate transaction.

Sales that have similar characteristics as the subject real property, used for analysis in the appraisal. Commonly called “comps.”

An estimate of value of property resulting from analysis of facts about the property; an opinion of value.

Closing Disclosure form designed to provide disclosures that will be helpful to borrowers in understanding all of the costs of the transaction. This form will be given to the consumer three (3) business days before closing.

Limitations in the deed to a parcel of real property that dictate certain uses that may or may not be made of the real property.

Endorsement

Occurs when the borrower becomes contractually obligated to the creditor on the loan, not, for example, when the borrower becomes contractually obligated to a seller on a real estate transaction. The point in time when a borrower becomes contractually obligated to the creditor on the loan depends on applicable State law. Consummation is not the same as close of escrow or settlement.

Form designed to provide disclosures that will be helpful to borrowers in understanding the key features, costs and risks of the mortgage loan for which they are applying. Initial disclosure to be given to the borrower three (3) business days after application.

Real estate insurance protecting against fire, some natural causes, vandalism, etc., depending upon the policy. Buyer often adds liability insurance and extended coverage for personal property.

Annual Percentage Rate (APR)

Beneficiary

Close of Escrow

Generally the date the buyer becomes the legal owner and title insurance becomes effective.

A form of encumbrance that usually makes a specific parcel of real property the security for the payment of a debt or discharge of an obligation. For example, judgments, taxes, mortgages, deeds of trust.

Disbursement Date

Mortgage

Easement

The borrower’s costs of the loan term expressed as a rate. This is not their interest rate.

Deed of Trust

Chooses a Real Estate Agent

Schedules inspections and evaluates findings. Reviews title BuyerpriorlenderpaperworkProvidespreliminarycommitment/report.allrequestedtoLender(bankstatements,taxreturns,etc.)Allinvoicesandfinalapprovalsshouldbetothenolaterthan10daystoloanconsummation.Lender(orEscrowOfficer)preparesCDanddeliverstoatleast3dayspriortoloanconsummation.Escrowofficerorrealestateagentcontactsthebuyertoschedulesigningappointment.Buyerconsummatesloan,executessettlementdocuments,&depositsfundsviawiretransfer.Documentsarerecordedandthekeysaredelivered!

The Life Of An Escrow

Requests necessary information from buyers and sellers via opening packages.

Prepares recording instructions and submits docs for recording.

Reviews all documents, demands, and instructions and prepares settlement statements and any other required documents.

Reviews title commitment / preliminary report.

Documents are recorded and funds are disbursed. Issues final settlement statement.

Orders and reviews title commitment / preliminary report, property appraisal, credit report, employment and funds verification.

Schedules signing appointment and informs buyer of funds due at settlement.

Upon receipt of order and earnest money deposit, orders title examination.

Underwritingapproval.reviews loan package for approval.

Makes offer to purchase. Upon acceptance, opens escrow and deposits earnest money.

THE BUYER

Coordinatesconsummation.withlender on the preparation of the CD.

Coordinates with Escrow Officer on the preparation of the Closing Disclosure, which is delivered to Buyer at least 3 days prior to loan documents,UponDeliversconsummation.loandocumentstoescrow.reviewofsignedloanauthorizesloanfunding.

Accepts Buyer’s application and begins the qualification process. Provides Buyer with Loan Estimate.

Collects information such as title commitment / preliminary report, appraisal, credit report, employment and funds verification. Reviews and requests additional information for final loan

Accepts Buyer’s offer to openingCompletespurchase.andreturnspackagefromFirstAmericanTitle,includinginformationsuchasforwardingaddress,payofflendercontactinformationandloannumbers.Ordersanyworkforinspectionsand/orrepairstobedoneasrequiredbythepurchaseagreement.Escrowofficerorrealestateagentcontactsthesellertoschedulesigningappointment.Documentsarerecordedandallproceedsfromsalearereceived.

Completes and returns opening package from First American Title.

All demands, invoices, and fees must be collected and sent to lender at least 10 days prior to loan

Upon receipt of opening packages, orders demands for payoffs. Contacts buyer or seller when additional information is required for the title preliminarycommitment/report.

Finalizes loan application with Lender. Receives a Loan Estimate from Lender.

Once loan is consummated, sends funding package to lender for review.

Gets pre-approval letter from Lender and provides to Real Estate Agent.

THE ESCROW OFFICER

THE SELLER

THE LENDER

AZ Sellers Guide | 10

Chooses a Real Estate Agent

AZ Sellers Guide | 11 CASH FHA VA CONV 1. Downpayment BUYER BUYER BUYER BUYER 2. Termite (Wood Infestation) Inspection (negotiable except on VA) SELLER 3. Property Inspection (if requested by buyer) BUYER BUYER BUYER BUYER 4. Property Repairs, if any (negotiable) SELLER SELLER SELLER SELLER 5. New Loan Origination Fee (negotiable) BUYER BUYER BUYER 6. Discount Points (negotiable) BUYER BUYER BUYER 7. Credit Report BUYER BUYER BUYER 8. Appraisal or Extension Fee (negotiable) BUYER BUYER BUYER 9. Existing Loan Payoff SELLER SELLER SELLER SELLER 10. Existing Loan Payoff Demand SELLER SELLER SELLER SELLER 11. Loan Prepayment Penalty (if any) SELLER SELLER SELLER SELLER 12. Next Month’s PITI Payment BUYER BUYER BUYER 13. Prepaid Interest (approx. 30 days) BUYER BUYER BUYER 14. Reserve Account Balance (Credit seller / Charge buyer) PRORATE PRORATE PRORATE 15. FHA MIP, VA Funding Fee, PMI Premium BUYER BUYER BUYER 16. Assessments payoff or proration (sewer, paving, etc.) SELLER 17. Taxes PRORATE PRORATE PRORATE PRORATE 18. Tax Impounds BUYER BUYER BUYER 19. Tax Service Contract SELLER SELLER BUYER 20. Fire/Hazard Insurance BUYER BUYER BUYER BUYER 21 Flood Insurance BUYER BUYER BUYER 22. Homeowners Association (HOA) Transfer Fee BUYER or SELLER BUYER or SELLER BUYER or SELLER BUYER or SELLER 23. HOA/Disclosure Fee SELLER SELLER SELLER SELLER 24 Current HOA Payment PRORATE PRORATE PRORATE PRORATE 25. Next Month’s HOA Payment BUYER BUYER BUYER BUYER 26. Home Warranty Premium (negotiable) BUYER or SELLER BUYER or SELLER BUYER or SELLER BUYER or SELLER 27. REALTORS®’ Commissions SELLER SELLER SELLER SELLER 28. EAGLE Homeowners Title Policy SELLER SELLER SELLER SELLER 29. Lenders Title Policy and Endorsements BUYER BUYER BUYER 30. Escrow Fee (NOTE: Charge seller on VA Loan) SPLIT SPLIT SELLER SPLIT 31. Recording Fees (Flat rate) SPLIT SPLIT SPLIT SPLIT 32. Reconveyance/Satisfaction Fee SELLER SELLER SELLER SPLIT 33. Courier/Express Mail Fees SPLIT SPLIT SELLER SPLIT THIS CHART INDICATES WHO CUSTOMARILY PAYS WHAT COSTS Note: Prorated items will appear on Closing Statement as charges for one and credits for the other. Closing Costs: Who Pays What

Once a purchase agreement is signed by all necessary parties, the agent representing the party who will pay the fee selects an escrow holder and the buyer's earnest money deposit and contract are submitted to the escrow holder. From this point, the escrow holder will follow the mutual written instructions of the buyer and seller, maintaining a neutral stance to ensure that neither party has an unfair advantage over the other. The escrow holder also follows the instructions of the Buyer's new lender, the seller's existing lender, and both parties' agents. The escrow holder ensures the transparency of the transaction, while carefully maintaining the privacy of the consumers.

WHAT IS AN ESCROW?

HOW IS AN ESCROW OPENED?

The Escrow Process

The escrow is the process of having a neutral party manage the exchange of money for real property. The escrow holder is known as an escrow or settlement officer or agent. The buyer deposits funds and the seller deposits a deed with the escrow holder along with all of the other documents required to remove all "contingencies" (conditions and approvals) in the purchase agreement prior to closing.

AZ Sellers Guide | 12

Prepare and send final documents to all parties

Your Escrow Professional May:

Conduct a title search to determine the ownership and title status of the real Reviewpropertythetitle

After recording is confirmed, close escrow and disburse funds, including proceeds, loan payoffs, tax payments, and more

Coordinate with the buyer’s lender on the preparation of the Closing Disclosure (CD)

commitment and begin the process of working with you and the title officer to eliminate the title exceptions the buyer and the buyer’s new lender are not willing to take subject to. This includes ordering a payoff demand from your existing lender.

Set separate appointments allowing the buyer and seller to sign documents and deposit funds

Request funds from buyer and buyer’s new lender

Open escrow and deposit good faith funds into an escrow account

When all funds are deposited and conditions met, record documents with the County Recorder to transfer the real property to the buyer

Prorate fees, such as real property taxes, per the contract and prepare the settlement statement

Review documents and ensure all conditions are fulfilled and certain legal requirements are met

AZ Sellers Guide | 13

Title Insurance

Prior to the development of the title industry in the late 1800s, a home-buyer received a grantor’s warranty, attorney’s title opinion, or abstractor’s certificate as assurance of home ownership. The buyer relied on the financial integrity of the grantor, attorney, or abstractor for protection. Today, home-buyers look primarily to title insurance to provide this protection. Title insurance companies are regulated by state statute. They are required to post financial guarantees to ensure that any claims will be paid in a timely fashion. They also must maintain their own “title plants” which house duplicates of recorded deeds, mortgages, plats, and other pertinent county property Understandingrecords.

Title insurance insures buyers against the risk that they did not acquire marketable title from the seller. It is primarily designed to reduce risk or loss caused by defects in title from the past. A loan policy of title insurance protects the interest of the mortgage lender, while an owner’s policy protects the equity of you, the buyer, for as long as you or your heirs (in certain policies) own the real property.

WHAT IS TITLE INSURANCE?

Title insurance provides coverage for certain losses due to defects in the title that, for the most part, occurred prior to your ownership. Title insurance protects against defects such as prior fraud or forgery that might go undetected until after closing and possibly jeopardize your ownership and investment.

AZ Sellers Guide | 14

WHEN IS THE PREMIUM DUE?

WHY IS TITLE INSURANCE NEEDED?

The Title Industry & Title Insurance in Brief

You pay for your owner’s title insurance policy only once, at the close of escrow. Who pays for the owner’s policy and loan policy varies depending on local customs.

33 Post-policy Living Trust coverage

22 Covenant violation resulting in your title reverting to a previous owner

27

31 Insurance coverage for a lifetime

18 Lack of vehicular and pedestrian access

Other benefits:

23 Violation of building setback regulations

Protection from:

7 Title is unmarketable

8 Mechanics lien

2 A document is not properly signed

1 Someone else owns an interest in your title

a) extends on another property and/or easement

3 Forgery, fraud, duress in the chain of title

19 Map not consistent with legal description

9 Forced removal of a structure because it:

EAGLE

26 Rights under unrecorded leases Plain language statements of policy coverage and restrictions

c) violates an existing zoning law*

16 Post-policy encroachment

29

* Deductible and maximum limits apply. Not available to investors on 1- to 4-unit residential properties. Coverage may vary based on an individual policy.

Compare First American’s Eagle Policy® for Owners EAGLE StandardALTAorCLTA

17 Post-policy damage from extraction of minerals or water

c) a charge by a homeowner’s association

11 Unrecorded lien by a homeowners association

28 Compliance with Subdivision Map Act Coverage for boundary wall or fence encroachment*

32 Post-policy inflation coverage with automatic increase in value up to 150% over five years

As with any insurance contract, the insuring provisions express the coverage afforded by the title insurance policy and there are exceptions, exclusions and conditions to coverage that limit or narrow the coverage afforded by the policy. Also, some cov erage may not be available in a particular area or transaction due to legal, regulatory, or underwriting considerations. Please contact a First American representative for further information. The services described above are typical basic services. The services provided to you may be different due to the specifics of your transaction or the location of the real property involved.

5 There are restrictive covenants

6 There is a lien on your title because there is:

Compare First American’s Eagle Policy® for Owners

StandardALTAorCLTA

15 Post-policy forgery

30 Added ownership coverage leads to enhanced marketability

12 Unrecorded easements

20 Post-policy adverse possession

14 Restrictive covenant violations

4 Defective recording of any document

21 Post-policy prescriptive easement

b) violates a restriction in Schedule B

25 Pays rent for substitute land or facilities

a) a deed of trust

AZ Sellers Guide | 15

24 Discriminatory covenants

10 Cannot use the land for a Single-Family Residence because the use violates a restriction in Schedule B or a zoning ordinance

13 Building permit violations*

b) a judgement, tax, or special assessment

One escrow transaction could involve more than 20 individuals, including real estate agents, buyers, sellers, attorneys, escrow officer, escrow technician, title officer, loan officer, loan processor, loan underwriter, home inspector, termite inspector, insurance agent, home warranty representative, contractor, roofer, plumber, pool service, and so on. And often, one transaction depends on another.

AZ Sellers Guide | 16

When you consider the number of people involved, you can imagine the opportunities for delays and mishaps. Your experienced escrow team can’t prevent unforeseen problems from arising; however, they can help smooth out the process.

Consider This

You will need valid identification with your photo I.D. on it when you sign documents that need to be notarized (such as a deed). A driver's license is preferred. You will also be asked to provide your social security number for tax reporting purposes, and a forwarding address.

Closing Your Escrow

THE CLOSING DISCLOSURE

The escrow holder will contact you or your agent to schedule a closing or signing appointment. In some states, this is the "close of escrow." In some others, the close of escrow is either the day the documents record or that funds are disbursed. Ask your escrow holder if you would like clarification about your state's laws.

*For purposes of the Closing Disclosure“business day” is defined as every day except Sundays and Federal legal holidays.

DON'T FORGET YOUR IDENTIFICATION

THE CLOSING OR SIGNING APPOINTMENT

You will have a chance to review the settlement statement and supporting documentation. This is your opportunity to ask questions and clarify terms. You should review the settlement statement carefully and report discrepancies to the escrow officer. This includes any payments that may have been missed. You are responsible for all charges incurred even if overlooked by the escrow holder, so it's better to bring these to their attention before closing.

If the buyer is obtaining a new loan, the buyer’s signed loan documents will be returned to the lender for review. The escrow holder will ensure that all contract conditions have been met and will ask the lender to "fund the loan."

AZ Sellers Guide | 17

WHAT HAPPENS NEXT?

If the loan documents are satisfactory, the lender will send funds directly to the escrow holder. When the loan funds are received, the escrow holder will verify that all necessary funds are in. Escrow funds will be disbursed to the seller and other appropriate payees. Then, the REALTOR® will present the keys to the property to the buyer.

Once the loan is approved and all invoices and paperwork have been provided, the lender and escrow officer will collaborate on the preparation of the Closing Disclosure (CD). In order to close on time, all paperwork and invoices should be submitted at least 10 days prior to the expected close of escrow date. The borrower must receive the CD at least three days* prior to consummation of the loan (typically the signing date). The escrow officer will also prepare an estimated settlement statement and inform the buyer of the balance of the down payment and closing costs needed to close escrow.

The escrow holder is obligated by law to have the designated amount of money before releasing any funds. If you have questions or foresee a problem, let your escrow holder know immediately.

MOVING

ONE WEEK BEFORE:

Bank accounts Notify bank of address change. Make sure to have a money order for paying the moving company if you are transferring or closing accounts.

Service small engines for your move by extracting gas and oil from the machines. This will reduce the chance to catch fire during your move.

Note food inventory levels Check your cupboards, refrigerator and freezer to use up as much of your perishable food as possible.

Borrowed and rented items. Return items which you may have borrowed or rented. Collect items borrowed to others.

Research moving options You’ll need to decide if yours is a do-it-yourself move or if you’ll be using a moving company.

SIX WEEKS BEFORE:

Seek employer benefits. If your move is work-related, your employer may provide funding for moving expenses. Your human resources rep should have information on this policy.

Protect jewelry and valuables. Transfer jewelry and valuables to safety deposit box so they can not be lost or stolen during your move.

Service automobiles If automobiles will be driven long distances, you’ll want to have them serviced for a trouble-free drive.

Start packing. Begin packing for your new location.

Travel items. Set aside items you’ll need while traveling and those needed until your new home is established. Make sure these are not packed in the moving truck!

. Once the house is empty, check the entire house (closets, the attic, basement, etc) to ensure no items are left or no home issues exist.

Cancel services. Notify any remaining service providers (newspapers, lawn services, etc) of your move.

Contact insurance companies. (Life, Health, Fire, Auto) You’ll need to contact your insurance agent to cancel/transfer your insurance policy. Do not cancel your insurance policy until you have and closed escrow on the sale.

Scan your furniture. Check furniture for scratches and dents before so you can compare notes with your mover on moving day.

Change of address. Visit USPS for change of address form.

Discard unnecessary items Moving is a great time for ridding yourself of unnecessary items. Have a yard sale or donate unnecessary items to charity.

Planning your move

Prepare Floor Plan. Prepare floor plan for your new home. This will help avoid confusion for you and your movers.

Request moving quotes Solicit moving quotes from as many moving companies and movers as possible. There can be a large difference between rates and services within moving companies.

ReviewDAY:thehouse

Obtain your medical records. Contact your doctors, physicians, dentists and other medical specialists who may currently be retaining any of your family’s medical records. obtain these records or make plans for them to be delivered to your new medical facilities.

FOUR WEEKS BEFORE:

Changing Schools. If changing schools, contact new school for registration process.

Plan your itinerary. Make plans to spend the entire day at the house or at least until the movers are on their way. Someone will need to be around to make decisions. Make plans for kids and pets to be at the sitters for the day.

Vacate your home. Make sure utilities are off, doors and windows are locked and notify your real estate agent you’ve left the property.

Packing materials. Gather moving boxes and packing materials for your move.

Create an inventory sheet of items to move.

Sign the bill of lading. Once your satisfied with the mover’s packing your items into the truck, sign the bill of lading. If possible, accompany your mover while the moving truck is being weighed.

AZ Sellers Guide | 18

Double check with your mover. Make sure your mover has the new address and your contact information should they have any questions during your move.

Contact utility companies Set utility turnoff date, seek refunds and deposits and notify them of your new address.

Your Notes:

AZ Sellers Guide | 19

Your Notes:

AZ Sellers Guide | 20

Your Notes:

AZ Sellers Guide | 21

NE Corner of Camelback/32nd Street

16 RED MOUNTAIN 1135480.534.3599N.Recker Rd., #103 Mesa, AZ 85205

9 KIERLAND COMMONS

11 DC CROSSING 18291480.563.9034N.Pima Rd , #145 Scottsdale, AZ 85255

17 GOLD CANYON 6877480.288.0883SouthKings Ranch Rd., #5 Gold Canyon, AZ 85118 E of South60/Side Kings Ranch Rd.

SE corner of Recker & Brown

E side 67th Ave/N of 101

8 CAREFREE 7202480.575.6609E.Carefree Dr , Bldg 1, #1 Carefree, AZ 85377

W of R.H. Johnson

13 CHANDLER PORTICO 2121480.777.0051W.Chandler Blvd., #215 Chandler, AZ 85224

1 4 3 2 6 12 10 5 8 7 11 9 CRISMON BUTTESIGNAL GOLDFIELD OLDWESTHWY SKINGSRANCH 14 17 15 13 16 ArizonaCentral First American Title Branch Locator

7 TATUM RIDGE 480.515 4369 11211 N Tatum Blvd, #A150 Phoenix, AZ 85028

W of Scottsdale Road, S side of Greenway

NE corner Daisy Mtn Dr/ Gavilan Peak Pkwy

2 GOODYEAR

NE corner of Tom Darlington/ Carefree Dr.

NW corner of Williams Field Rd./ Val Vista Rd.

Sun City West, AZ 85375

5 ANTHEM 39508623.551.3265N.Daisy Mountain Dr., #128 Anthem, AZ 85086

SW Corner Chandler Blvd./ Dobson Rd.

20241623.537.1608N.67th Ave , #A-2 Glendale, AZ 85308

10 SCOTTSDALE FORUM 6263480.551.0480N.Scottsdale Rd., #110 Scottsdale, AZ 85250

15 MESA 1630480.401.3738S.Stapley Dr., #123 Mesa, AZ 85204

13940623.299.3644W.Meeker Blvd., #119

1 SUN CITY WES T

NW corner of McDowell & Litchfield

N of Baseline / W of Stapley

3 ARROWHEAD

E Side Scottsdale/S of Lincoln

S of Bell/E side of 83rd Ave

12 AHWATUKEE 4435480.753.4424E.Chandler Blvd , #100 Phoenix, AZ 85048

SW corner Chandler/45th St.

16165623.487.0404N.83rd Ave , #100 Peoria, AZ 85382

SE corner of Pima/Legacy

4 THE LEGENDS

N of Meeker Blvd

6 BILTMORE 3200602.954.3644ECamelback Rd., #123 Phoenix, AZ 85018

14 GILBERT SAN TAN 1528480.777.0614E.Williams Field Rd., #101 Gilbert, AZ 85295

14648480.948.6488NScottsdale Rd., Ste. #100 Scottsdale, AZ 85254

AZ Sellers Guide | 22

N of Shea, E side of Tatum

1626623.936.8001N.Litchfield Rd. Ste. #170 Goodyear, AZ 85395

W MOORE RD

E M gan Rd gan Rd

Pretzer

E Hemlock Dr

6 FOOTHILLS 520.299.4606 | Fax 520.577.6993 6262 N Swan Road, Suite 205 Tucson, AZ 85718

12 SKYLINE 520.529.0506 | Fax 520.529.8998 2890 E. Skyline Dr., Ste. 200 Tucson, AZ 85718

W

AIRPORTINT'LTUCSON Rd

NKINNEYRD

W INA RD ESN1TAV SUNR SE DR E SNYDER RD

E

8 ORO VALLEY/LA CANADA 520.877.9200 | Fax 520.202.6348 11165 N. La Canada Dr., Ste. 143 Oro Valley, AZ 85737

SHennessRd Selma Hwy Co nman Rd

S

NKINNEYRD

ESsancaDr

SLambRd

A

4 CASA GRANDE 520.426.4600 | Fax 520.426.4699 421 E. Cottonwood Ln. Casa Grande, AZ 85122

dRSSandaro N Dove Mountain Blvd

STrekellRd

ESN1TAV

E

W Bayard Rd

SLaPalmaRd

TRSNOLDIERL

520.575.1900 | Fax 520.432.0168 6760 N. Oracle Rd., Ste. 100B Tucson, AZ 85704

E M

NGTON RD SNOGALESHWY W VALENCIA RDSMISSIONRDWSPEEDWAY BLVD SOLDSPANISHTRL W NARANJA DR W TW N PEAKS RD W P CTURE ROCKS RD W MANVILLE RD SKINNEYRD W MILE WIDE RD E SAHUARITA RD NTRICORD OSSANDARIRD SOLDNOGALESHWY GUOSHHTONRD ADCSLAANADRW HELMET PEAK RD WAJOHWY RNASNWD RDKOLBS SHOUGHTONRD W TANGERINE RD E GRANT RD SHOUGHTONRD 95 WAJOHWY E VALENCIA RD NORACLERD I-19 77 77 86 86 286 19 10 10 Corona de Tucson AdobesCasas Catalina Green Valley Picture Rocks Three Points VailSummit TanqueVerde SahuaritaTucson Marana Oro Valley Rillito SummerhavenWillow Canyon Cortaro Continental Littletown 2 3758 9 10 11 13 12 6 1 AZ Sellers Guide | 23

520.885.1600 | Fax 520.885.2309 6390 E. Tanque Verde Rd. Tucson, AZ 85715

dRhRiGWacaanc

5 CASAS ADOBES

HearthRd

7 GREEN VALLEY 520.625.1095 | Fax 520.958.9663 190 W. Continental Rd., Ste. 226 Green Valley, AZ 85622

EDesertDove

W

ellRdS Mcgee RanchRd 80

WBritten

W

SNANDARIORDNANWAYRD

2 BROADWAY 520.747.1644 | Fax 520.747.1403

11 RIVER 520.529.1944 | Fax 520.615.2945 1650 E. River Rd., Ste. 105 Tucson, AZ 85718

3777 E. Broadway Blvd., Ste. 220 Tucson, AZ 85716

SNANDARIORD

ed Top Rd W

WRagged Ruby S a Dr RanchRd Pima Mine Rd

dSPNumptationR Cont nental Ave NTricoRd SOwlHeadGasLineRd NTricoRd

1 MAIN OFFICE

13 TANQUE VERDE 520.202.2626 | Fax 520.495.6151 7479 E. Tanque Verde Tucson, AZ 85715

Top Rd W

W

W Rd

W E Cam no De Cerro Fairmount St

S

3 CAMBRIC 520.577.8707 | Fax 520.529.5034 1840 E. River Rd., Ste. 200 Tucson, AZ 85718

W VALENC A RD

NBarkervilleRd W Fort Lowe Rd dSPNumpationR E Nona Rd Ch efButteRd LovettaRd E Hanna Rd TecoloteRanchRd FlorenceRdRomeroRd Con nenta Ave BIA 30 NTricoRd SSunandGnRd SCattleTankRd E E s Rd E Hotts Rd E Nutt Rd Evalyn Rd SOwlHeadRanchRdGasLineRd PSecanRd I on Va ey RdEDeepWellRanchRd SNighSkySt SBadyPumpRdE Houser Rd E Ar ca Rd W Ea ey Rd NTrcoRd W Baya d Rd dRSSandario WillowSpringsRd EHelmwheel Ranch Rd N Dove Mounta n Blvd BIA-35 dRhRiGWarcaanc E Dese H s Rd WRagged Top Rd W Pima Mine Rd WSilverbellRdS E Edw n Rd BIA34 SGuildRd 80 NKINNEYRD SPICACHOHWYE GREENE RESERVOIR RD SSUNLANDGINRD W BATTAGLIA DR AZ-84 E BAUMGARTNER RD SSUNSHINEBLVD SNANDARIORDNANWAYRD E HARMON RD W VALENCIA RD E RODEO RD W MOORE RD W INA RD ESN1TAV E SUNRISE DR E SNYDER RDNSILVERBELLRD TRSNOLDIERLE RIVER RDE PRINCE RD E SPEEDWAY BLVD SFREEMANRDE 22ND ST E 22ND ST W IRV NGTON RD SNOGALESHWY W VALENC A RDSMISSIONRDWSPEEDWAY BLVD SOLDSPANISHTRL W NARANJA DR W TW N PEAKS RD W P CTURE ROCKS RD W MANVILLE RD SKINNEYRD W MILE WIDE RD E SAHUAR TA RD W HARMON RD W MCCARTNEY RD NTRICORD OSSANDARRD PARK LINK DR GUOSHHTONRD ADDR E MART N RD STHORNTONRD W HELMET PEAK RD SCHUICHURD WAJOHWY RNASNWD RDKOLBS SHOUGHTONRD W TANGER NE RD E GRANT RD SHOUGHTONRD NPINALAVE 95 WAJOHWY E VALENCIA RD NORACLERD I10 I-19 I8 77 77 79 77 77 87 86 86 387 287 86 10 19 8 10 10 10 La Palma Chuichu Arizona City Corona de Tucson AdobesCasas Catalina OracleDudleyvilleGrandeCasa Picture Rocks Three Points VailSummit TanqueVerde Eloy SahuaritaTucson Cactus Forest Picacho Red Rock Saddlebrooke Marana Oro Valley HaivanaNakya Rillito SummerhavenWillow Canyon Randolph Toltec Oracle Junction Cortaro Schuchk Littletown 2 4 385 9 10 11 13 12 6 1 AIRPORTINT'LTUCSON Air Force WSilverbellRd SSantaRitaRd NMtLemmon Hwy W Avra Valley Rd guirreRd dRkLNucet dRWNenzNWatermanMountainRd RdAnwayN W El Tiro Rd NTricoRd W Tucke Rd W Rudas Rd W Manv e Rd SSanJoaquinRdWBopp Rd W Snyder H RddRlSMarsear W Park Rd W Hermans RdW He mans Rd W Guy St W Bush Rd SGarveyRd eaCNlRnconado SWmoRd SShawRd SSierritaMountainRd SKobRdW TwinButtes Rd W Mcgee Ranch Rd BNearCanyonRdW E Cam no De Cerro E Fairmount St SSwanRd NFrontageRd W Emigh Rd W Fort Lowel Rd dSPNumptationR NNTricoRdTcoRd W Baya d Rd dRSSandaro N Dove Mountain Blvd SHelvetiaRd

NANWAYRD

W es Curtis Rd

SSwanRd

GoffRanchRd

W MOORE RD

E SUNRISE DR E SNYDER RDNSILVERBELLRD TRSNOLDIERLE RIVER RDE PRINCE RD E SPEEDWAY BLVD SFREEMANRDE 22ND ST E 22ND ST W IRVINGTON RD SNOGALESHWY W VALENCIA RDSMISSIONRDWSPEEDWAY BLVD SOLDSPANISHTRL W NARANJA DR W TWIN PEAKS RD W PICTURE ROCKS RD W MANVILLE RD SKINNEYRD W MILE WIDE RD E SAHUARITA RD NTRICORD OSSANDARIRD SOLDNOGALESHWY GUOSHHTONRD ADCSLAANADRW HELMET PEAK RD WAJOHWY RNASNWD RDKOLBS SHOUGHTONRD W TANGERINE RD E GRANT RD SHOUGHTONRD 95 WAJOHWY E VALENCIA RD NORACLERD I-10 I-19 77 77 86 86 286 19 10 10 Corona de Tucson AdobesCasas Catalina Green Valley Picture Rocks Three Points VailSummit TanqueVerde SahuaritaTucson Saddlebrooke Marana Oro Valley Rillito SummerhavenWillow Canyon Oracle Junction Cortaro Continental Littletown 2 3758 9 10 11 13 12 6 1 SouthernArizona First American Title Branch Locator AIRPORTINT'LTUCSON Air Force FreemanRd WSilverbellRd NMtLemmon Hwy ESascoRd NF38 W Avra Val ey Rd WSCuryRdHanna Rd E Grand Va ey D W Houser Rd W Ph ps Rd E Co nman Rd NAguirreRd dRkLNucet dRWNentzNWatermanMountainRd RdAnwayN W El Tiro Rd NTricoRd W Tucke Rd W Rudas Rd W Manv e Rd SSanJoaquinRdWBopp Rd W Snyde H RddRlSMarsear W Pa k Rd W He mans RdW Hermans Rd W Guy St W Bush Rd SGaveyRd eaCNllRinconado SWimotRd SShawRd SSierritaMountainRd boRdRd W Woodru Rd ONveriedRd W Rando ph Rd W BartlettNRdLaPamaRdNTweedyRd E Randolph Rd W Kleck Rd E K eck Rd

NFrontageRd Emigh Rd

9 ORO VALLEY/ORACLE

520.229.9194 | 520.297.2576 Fax 520.229.9210 | 520.742.5866 8500 N. Oracle Rd., Ste 100 Oro Valley, AZ 85704

SHelvetiaRd

W IRV

E Edw n Rd

BNearCanyonRd

10 RITA ROAD 520.618.7790 | Fax 520.901.1720 10222 East Rita Rd., Ste. 190 Tucson, AZ 85747

W VALENCIA RD

WAnamax Mine Rd

W Se ma Hwy

E SPEEDWAY BLVD SFREEMANRDE 22ND ST E 22ND ST

Air Force WSilverbellRd SSantaRitaRd NMtLemmon Hwy ESascoRd W Avra Valley Rd E G and Va ey DrNAguirreRd dRkLNucet dRWNentzNWatermanMountainRd RdAnwayN W El Tiro Rd NTricoRd W Tucke Rd W Rudasi Rd W Manv l e Rd SSanJoaquinRdWBopp Rd W Snyder H RddRSMarstear W Park Rd W Hermans RdW He mans Rd W Guy St W Bush Rd SGarveyRd eaCNlRinconado SWimotRd SShawRd SSierritaMountainRd SKobRdW Tw nButtes Rd W Mcgee Ranch Rd ESstanca BNearCanyonRdW E Cam no De Cerro E Fairmount St SSwanRd NFrontageRd W Emigh Rd W Fort Lowe

W INA RD

WAnamax M ne Rd Road424 Ruby S ar D WBritten RanchRd Pima Mine Rd Mcgee RanchRd 80

NSILVERBELLRD E RIVER RDE PRINCE RD

E

dRhRiGWarcaanc Road424

Dr E

05110280522

For more information please contact your First American representative. www.firstam.com

©2022 First American Financial Corporation and/or its affiliates. All rights reserved. NYSE: FAF

First American Title Insurance Company, and the operating divisions thereof, make no express or implied warranty respecting the information presented and assume no responsibility for errors or omissions. First American, the eagle logo, First American Title, and firstam.com are registered trademarks or trademarks of First American Financial Corporation and/or its affiliates.

Turn static files into dynamic content formats.

Create a flipbook
Issuu converts static files into: digital portfolios, online yearbooks, online catalogs, digital photo albums and more. Sign up and create your flipbook.