9326 N Desert Mist Ln

Page 1

9326N.DesertMistLn. Tucson,AZ85743

The undersigned acknowledges receipt of this Wire Fraud Advisory.

The Federal Bureau of Investigation @ https://www.fbi.gov/scams and safety

The National White Collar Crime Center @ http://www.nw3c.org/research

On Guard Online @ www.onguardonline.gov

TRUST YOUR SOURCE OF INFORMATION

• If you receive an email containing wire transfer instructions, immediately call your escrow officer to ensure the validity of the instructions.

Before you wire funds to any party (including your lawyer, title agent, mortgage broker, or real estate agent) personally meet them or call a verified telephone number (not the telephone number in the email) to confirm before you act!

Criminals are targeting social media and email to steal information. This is particularly common in real estate transactions because sensitive data, including social security numbers, bank account numbers, and wire instructions are often sent by electronic means. We do not want you to be the next victim of wire fraud. Money wired to a fraudulent account is stolen money that typically cannot be recovered. Additionally, there is generally no insurance for this loss. You may never get the money back.

ONLINE RESOURCES:

DO NOT TRUST EMAILS CONTAINING WIRE INSTRUCTIONS

• If you receive an email requesting personal/financial information or asking you to download, click on a link, send, and/or do anything that may seem unusual to you, call your escrow officer immediately prior to acting on the suspicious email to verify the validity of the email.

There are many online sources that can provide useful information regarding similar topics including, but not limited to, the following sites:

Immediately notify your banking institution and Settlement/Title Company if you are a victim of wire fraud.

PROTECT YOURSELF VERIFY AND NOTIFY

• Never direct, accept or allow anyone in the transaction to consent to receiving transfer instructions without a direct personal telephone call to the individual allegedly providing the instructions.

• It is imperative that this call be made to a number obtained in person from the individual or through other reliable means, not from a number provided in the email or the wiring instructions

WIRE FRAUD ADVISORY

The Internet Crime Complaint Center @ www.ic3.gov

DO NOT TRUST EMAILS SEEKING PERSONAL/FINANCIAL INFORMATION

Client Date Client Date

LIMITATION OF LIABILITY FOR INFORMATIONAL REPORTS

IMPORTANT -- PLEASE READ CAREFULLY: This report is not an insured product or service or a representation of the condition of title to real property. It is not an abst ract, legal opinion, opinion of title, title insurance commitment or preliminary report, or any form of Title Insurance or Guaranty. This report is issued exclusively for the benefit of the Applicant therefor and may not be used or relied upon by any other person. This report may not be reproduced in any manner without First American or Title Security's prior written consent. First American or Title Security does not represent or warrant that the information herein is complete or free from error, and the information herein is provided without any warranties of any kind, as-is, and with all faults. As a material part of the consideration given in exchange for the issuance of this report, recipient agrees that First American or Title Security's sole liability for any loss or damage caused by an error or omission due to inaccurate information or negligence in preparing this report shall be limited to the fee charged for the report. Recipient accepts this report with this limitation and agrees that First American or Title Security would not have issued this report but for the limitation of liability described above. First American or Title Security makes no representation or warranty as to the legality or propriety of recipient's use of the information herein.

Subject Property 9326 N Desert Mist Ln APN:AZTucson85743226-16-1620 Data Provided By: First American Title Ins Co © 2022 CoreLogic. All rights reserved

Disclaimer

© 2022 CoreLogic. All rights reserved

This REiSource report is provided "as is" without warranty of any kind, either express or implied, including without limitations any warrantees of merchantability or fitness for a particular purpose. There is no representation of warranty that this information is complete or free from error, and the provider does not assume, and expressly disclaims, any liability to any person or entity for loss or damage caused by errors or omissions in this REiSource report without a title insurance policy.

Data Provided By: First American Title Ins Co

The information contained in the REiSource report is delivered from your Title Company, who reminds you that you have the right as a consumer to compare fees and serviced levels for Title, Escrow, and all other services associated with property ownership, and to select providers accordingly. Your home is the largest investment you will make in your lifetime and you should demand the very best.

Legal Book/Page : 54-15 School District : Marana Legal Lot : 772 Munic/Township : Marana Market Area : 22 Owner Transfer Information Recording/Sale Date : 07/06/2020 / 06/26/2020 Deed Type : Affidavit Document # : 1880485 Last Market Sale Information Recording/Sale Date : 03/14/2003 / 03/00/2003 1st Mtg Int. Rate/Type : / Fixed Rate Loan Sale Price : $140,700 1st Mtg Document # : 12007-2828 Document # : 12007-2824 1st Mtg Term : 30 Deed Type : Sheriff's Deed Price Per SqFt : $108.56

Customer Name : Lisa Mrazek

Customer Company Name : First American Title Insurance Company Prepared On : 09/02/2022 © 2022 CoreLogic. All rights reserved

Census Tract / Block : 44.36 / 1 Subdivision : Continental Ranch Sunflower 07 Township-Range- Sect : 12S-12E-21 Map Reference : 21-12S-12E

Owner OccupiedIndicator : O Location Information Legal Description : Continental Ranch Sunflower Phase Vii Lot 0772 County : Pima, Az APN : 226-16-1620

Owner Information

Subject Property :   9326 N Desert Mist Ln Tucson AZ 85743

Owner Name : Marion Barbara J Mailing Address : 9326 N Desert Mist Ln, Tucson AZ 85743-5197 R130

1st Mtg Amount/Type : $90,700 / Cnv Title Company : Lawyers Title Lender : Miscellaneous Fin Seller Name : Del Webbs Sunflower Of Tuc Prior Sale Information Prior Rec/Sale Date : 03/14/2003 / 03/11/2003 Prior Deed Type : Special Warranty Deed Prior Doc Number : 12007-2819

Insurance Company

Gross Area : 1,296 Capacity :Garage 2 Patio Type : Covered Patio Living Area : 1,296 Roof Material : Tile Air Cond : Refrigeration

Property Characteristics

Total Rooms : 4 Heat Type : Forced Air Quality : Good Year Built / Eff : 2002 Cooling Type : Forced Air Condition : Excellent # of Stories : 1 Exterior wall : Frame Wood Bath Fixtures : 6 Parking Type : Garage Property Information

Land Use : Sfr Zoning : F Lot Size : 4,725 County Use : Single Fam Resurban Subd Lot Acres : 0.11 State Use : Single Fam Resurban Subd Tax Information Total Value : $171,036 Property Tax : $2,415.65 Current YearValue :Total $21,521 Total TaxableValue : $16,714 Tax Rate Area : 0612 Current ImprovementYearValue : $21,471 Assessed Year : 2021 Market Value : $171,036 Current YearValue :Land $50 Tax Year : 2021 Current AssessedYear : 2023

American

All

Name : Lisa Mrazek

Company Name

Customer

reserved

Customer : First Title Prepared On : 09/02/2022 © 2022 CoreLogic. rights

Sales Analysis Criteria Subject Property Low High Average Sale Price $140,700 $255,000 $410,000 $318,343 Bldg/Living Area 1296 1114 1484 1308 Price Per Square Foot $108.56 $201 $308 $244.06 Year Built 2002 1998 2003 2000 Lot Size 4,725 4,442 7,012 5,602 BathroomsBedrooms 2 2 3 2 Stories 1 1 1 1 Total Assessed Value $171,036 $156,461 $187,917 $168,221 Distance From Subject 0 0.01 0.41 0.23 Customer Name : Lisa Mrazek Customer Company Name : First American Title Insurance Company Prepared On : 09/02/2022 © 2022 CoreLogic. All rights reserved

Map Customer Name : Lisa Mrazek Customer Company Name : First American Title Insurance Company Prepared On : 09/02/2022 © 2022 CoreLogic. All rights reserved

Details of Comparables Subject Property: 9326 N Desert Mist Ln Tucson Az 85743

Owner Name: Smith Teresa Nashem / APN / Alternate APN: 226-16-1890 / Deed Type: Warranty Deed Land Use: Sfr Subdivision / Tract: Continental Ranch Sunflower 07 / Lot Size: 5,116 Year Built / Eff: 2002 / Rec. Date / Price: 10/28/2021 / $298,900 Living Area: 1,484 # of units: Document #: 3010296 Bedrooms: Pool: Total Tax Value: $187,917 Bath(F/H): / #4   7628 W August Moon Pl Tucson Az 85743

Customer Company Name : First American Title Insurance Company Prepared On : 09/02/2022 © 2022 CoreLogic. All rights reserved

Owner Name: Lemus Michael /Lemus Amanda Christine APN / Alternate APN: 226-11-8710 / Deed Type: Warranty Deed Land Use: Sfr Subdivision / Tract: Sonoran Moon / Lot Size: 5,977 Year Built / Eff: 2002 / Rec. Date / Price: 10/07/2021 / $295,000 Living Area: 1,332 # of units: Document #: 2800683 Bedrooms: Pool: Total Tax Value: $162,863 Bath(F/H): / Customer Name : Lisa Mrazek

Owner Name: Marion Barbara J / APN / Alternate APN: 226-16-1620 / Deed Type: Sheriff's Deed Land Use: Sfr Subdivision / Tract: Continental Ranch Sunflower 07 / Lot Size: 4,725 Year Built / Eff: 2002 / Rec. Date / Price: 03/14/2003 / $140,700 Living Area: 1,296 # of units: Document #: 12007-2824 Bedrooms: Pool: Total Tax Value: $171,036 Bath(F/H): / #1   9332 N Desert Mist Ln Tucson Az 85743

Owner Name: Anderson Robert & A A / APN / Alternate APN: 226-16-1540 / Deed Type: Warranty Deed Land Use: Sfr Subdivision / Tract: Continental Ranch Sunflower 07 / Lot Size: 4,950 Year Built / Eff: 2002 / Rec. Date / Price: 04/25/2022 / $360,000 Living Area: 1,296 # of units: Document #: 1150660 Bedrooms: Pool: Total Tax Value: $171,036 Bath(F/H): / #3   9397 N Desert Mist Ln Tucson Az 85743

Owner Name: Pieroni Josette / APN / Alternate APN: 226-16-1630 / Deed Type: Warranty Deed Land Use: Sfr Subdivision / Tract: Continental Ranch Sunflower 07 / Lot Size: 4,725 Year Built / Eff: 2002 / Rec. Date / Price: 12/23/2021 / $313,000 Living Area: 1,114 # of units: Document #: 3570664 Bedrooms: Pool: Total Tax Value: $157,115 Bath(F/H): / #2   7667 W Wildflower Crest Way Tucson Az 85743

#5   9256 N Crystal Moon Ct Tucson Az 85743

#6   7702 W Desert Cactus Way Tucson Az 85743

Owner Name: Boklage Adam D /Robinson Ann C APN / Alternate APN: 226-11-3550 / Deed Type: Warranty Deed Land Use: Sfr Subdivision / Tract: Continental Ranch Active Adult Community / Lot Size: 6,098 Year Built / Eff: 1998 / Rec. Date / Price: 04/06/2022 / $317,000 Living Area: 1,296 # of units: Document #: 960298 Bedrooms: Pool: Total Tax Value: $165,601 Bath(F/H): /

#7   7675 W August Moon Pl Tucson Az 85743

Customer Company Name : First American Title Insurance Company Prepared On : 09/02/2022 © 2022 CoreLogic. All rights reserved

Owner Name: Goucher Beverly K / APN / Alternate APN: 226-16-2140 / Deed Type: Warranty Deed Land Use: Sfr Subdivision / Tract: Continental Ranch Sunflower 07 / Lot Size: 4,725 Year Built / Eff: 2002 / Rec. Date / Price: 12/20/2021 / $279,900 Living Area: 1,114 # of units: Document #: 3540919 Bedrooms: Pool: Total Tax Value: $157,115 Bath(F/H): /

Customer Name : Lisa Mrazek

Owner Name: Messina April / APN / Alternate APN: 226-11-8750 / Deed Type: Warranty Deed Land Use: Sfr Subdivision / Tract: Sonoran Moon / Lot Size: 5,962 Year Built / Eff: 2002 / Rec. Date / Price: 04/01/2022 / $305,000 Living Area: 1,332 # of units: Document #: 910703 Bedrooms: Pool: Total Tax Value: $160,329 Bath(F/H): /

Owner Name: Rutkowski Kristen / APN / Alternate APN: 226-11-8600 / Deed Type: Warranty Deed Land Use: Sfr Subdivision / Tract: Sonoran Moon / Lot Size: 5,919 Year Built / Eff: 2003 / Rec. Date / Price: 05/09/2022 / $410,000 Living Area: 1,332 # of units: Document #: 1290333 Bedrooms: Pool: Total Tax Value: $158,482 Bath(F/H): / #8   7621 W Amber Ridge Way Tucson Az 85743

Owner Name: Dunham Denise E / APN / Alternate APN: 226-11-3640 / Deed Type: Warranty Deed Land Use: Sfr Subdivision / Tract: Continental Ranch Active Adult Community / Lot Size: 5,389 Year Built / Eff: 1998 / Rec. Date / Price: 03/04/2022 / $336,000 Living Area: 1,296 # of units: Document #: 630174 Bedrooms: Pool: Total Tax Value: $165,601 Bath(F/H): / #9   9460 N Desert Mist Ln Tucson Az 85743

Customer Company Name : First American Title Insurance Company Prepared On : 09/02/2022

Customer Name : Lisa Mrazek

Owner Name: Casement John O /Casement Phyllis A APN / Alternate APN: 226-10-3390 / Deed Type: Warranty Deed Land Use: Sfr Subdivision / Tract: Continental Ranch Sunflower 04 / Lot Size: 5,051 Year Built / Eff: 2001 / Rec. Date / Price: 09/10/2021 / $255,000 Living Area: 1,114 # of units: Document #: 2530445 Bedrooms: Pool: Total Tax Value: $156,461 Bath(F/H): /

© 2022 CoreLogic. All rights reserved

Owner Name: Min Ansik /Min Kyung-ja APN / Alternate APN: 226-11-3400 / Deed Type: Warranty Deed Land Use: Sfr Subdivision / Tract: Continental Ranch Active Adult Community / Lot Size: 6,373 Year Built / Eff: 1998 / Rec. Date / Price: 10/29/2021 / $297,400 Living Area: 1,296 # of units: Document #: 3020174 Bedrooms: Pool: Total Tax Value: $168,232 Bath(F/H): / #12   9350 N Cottage Garden Pl Tucson Az 85743

Owner Name: Johnson Jay A / APN / Alternate APN: 226-10-3480 / Deed Type: Warranty Deed Land Use: Sfr Subdivision / Tract: Continental Ranch Sunflower 04 / Lot Size: 7,012 Year Built / Eff: 2000 / Rec. Date / Price: 04/06/2022 / $360,000 Living Area: 1,468 # of units: Document #: 960795 Bedrooms: Pool: Total Tax Value: $179,792 Bath(F/H): / #13   7654 W Candlecreek Rd Tucson Az 85743

Owner Name: Hughes Bozana / APN / Alternate APN: 226-11-2660 / Deed Type: Warranty Deed Land Use: Sfr Subdivision / Tract: Continental Ranch Active Adult Community / Lot Size: 6,923 Year Built / Eff: 1998 / Rec. Date / Price: 02/18/2022 / $350,666 Living Area: 1,380 # of units: Document #: 490423 Bedrooms: Pool: Total Tax Value: $174,462 Bath(F/H): / #14   7895 W Morning Light Way Tucson Az 85743

Owner Name: Wicklund Family Trust / APN / Alternate APN: 226-11-3140 / Deed Type: Warranty Deed Land Use: Sfr Subdivision / Tract: Continental Ranch Active Adult Community / Lot Size: 4,971 Year Built / Eff: 1998 / Rec. Date / Price: 11/18/2021 / $287,000 Living Area: 1,296 # of units: Document #: 3220216 Bedrooms: Pool: Total Tax Value: $165,601 Bath(F/H): / #11   7680 W Amber Ridge Way Tucson Az 85743

#10   7605 W Cathedral Canyon Dr Tucson Az 85743

Owner Name: Fisher Deborah / APN / Alternate APN: 226-11-1030 / Deed Type: Warranty Deed Land Use: Sfr Subdivision / Tract: Continental Ranch / Lot Size: 6,098 Year Built / Eff: 1998 / Rec. Date / Price: 01/19/2022 / $290,000 Living Area: 1,264 # of units: Document #: 190190 Bedrooms: Pool: Total Tax Value: $165,848 Bath(F/H): / #19   7597 W Copper Crest Pl Tucson Az 85743

Owner Name: Barters Patricia A / APN / Alternate APN: 226-11-5500 / Deed Type: Warranty Deed Land Use: Sfr Subdivision / Tract: Continental Ranch Sunflower 02 / Lot Size: 4,442 Year Built / Eff: 2000 / Rec. Date / Price: 05/31/2022 / $310,000 Living Area: 1,296 # of units: Document #: 1510487 Bedrooms: Pool: Total Tax Value: $169,598 Bath(F/H): /

Customer Company Name : First American Title Insurance Company Prepared On : 09/02/2022 © 2022 CoreLogic. All rights reserved

#15   7655 W Summer Scene Dr Tucson Az 85743

Owner Name: Hamel Patricia K / APN / Alternate APN: 226-11-4970 / Deed Type: Warranty Deed Land Use: Sfr Subdivision / Tract: Continental Ranch Sunflower V / Lot Size: 6,208 Year Built / Eff: 1999 / Rec. Date / Price: 12/10/2021 / $336,000 Living Area: 1,468 # of units: Document #: 3440203 Bedrooms: Pool: Total Tax Value: $181,692 Bath(F/H): / #16   7738 W Starry Night Ln Tucson Az 85743

Owner Name: Barrowman Family Trust / APN / Alternate APN: 226-11-2270 / Deed Type: Warranty Deed Land Use: Sfr Subdivision / Tract: Continental Ranch Active Adult Community / Lot Size: 4,604 Year Built / Eff: 1998 / Rec. Date / Price: 04/27/2022 / $298,000 Living Area: 1,296 # of units: Document #: 1170101 Bedrooms: Pool: Total Tax Value: $168,232 Bath(F/H): / #17   9558 N Twinkling Shadows Way Tucson Az 85743

Customer Name : Lisa Mrazek

Owner Name: Urias Daniel M /Urias Joyce A APN / Alternate APN: 226-10-4420 / Deed Type: Warranty Deed Land Use: Sfr Subdivision / Tract: Continental Ranch Sunflower 05 / Lot Size: 5,188 Year Built / Eff: 2002 / Rec. Date / Price: 06/21/2022 / $360,000 Living Area: 1,296 # of units: Document #: 1720687 Bedrooms: Pool: Total Tax Value: $171,036 Bath(F/H): / #18   7319 W Mesquite River Dr Tucson Az 85743

#20   9509 N Twinkling Shadows Way Tucson Az 85743 Owner Name: Cady Jennifer S /Russell Naomi E APN / Alternate APN: 226-10-5680 / Deed Type: Warranty Deed Land Use: Sfr Subdivision / Tract: Continental Rnach Sunflower 04 / Lot Size: 6,300 Year Built / Eff: 2002 / Rec. Date / Price: 11/10/2021 / $308,000 Living Area: 1,380 # of units: Document #: 3140761 Bedrooms: Pool: Total Tax Value: $177,401 Bath(F/H): / Customer Name : Lisa Mrazek Customer Company Name : First American Title Insurance Company Prepared On : 09/02/2022 © 2022 CoreLogic. All rights reserved

Subject Property :   9326 N Desert Mist Ln Tucson AZ 85743 Customer Name : Lisa Mrazek Customer Company Name : First American Title Insurance Company Prepared On : 09/02/2022 © 2022 CoreLogic. All rights reserved

Customer Name : Lisa Mrazek Customer Company Name : First American Title Insurance Company Prepared On : 09/02/2022 © 2022 CoreLogic. All rights reserved

SchoolsArizona For detailed information and statistics on Arizona schools please go ©2021FirstFirsthttps://azreportcards.azed.gov/toAmericanTitleInsuranceCompany,andtheoperatingdivisionsthereof,makenoexpressorimpliedwarrantyrespectingtheinformationpresentedandassumenoresponsibilityforerrorsoromissions.American,theeaglelogo,FirstAmericanTitle,andfirstam.comareregisteredtrademarksortrademarksofFirstAmericanFinancialCorporationand/oritsaffiliates.FirstAmericanFinancialCorporationand/oritsaffiliates.Allrightsreserved.NYSE:FAF05117910421

First

05249570321 AIRPORTINT'LTUCSON Air Force WSilverbellRd SSantaRitaRd NMtLemmon Hwy ESascoRd NF38 W Avra Valley Rd E Grand Va ey DrNAguirreRd dRkLNuce dRWNentzNWatermanMountainRd RdAnwayN W El Tiro Rd NTricoRd W Tucker Rd W Rudas l Rd W Manvi e Rd SSanJoaquinRdWBopp Rd W Snyder H l RddRSMarsear W Park Rd W Hermans RdW Hermans Rd W Guy St W Bush Rd SGaveyRd eaCNRinconado SWmoRd SShawRd SSierritaMountainRd SKobRdW TwinButtes Rd W Mcgee Ranch Rd ESstancaDr EDesertDove E Hemlock Dr BNearCanyonRdW E Camino Del Cerro E Fairmount St SSwanRd NFrontageRd W Emigh Rd W Fort Lowe Rd dSPNumptationR E Nona Rd Ch efButteRd Lo al Ave NTricoRd SCattleTankRd Evalyn Rd SOwlHeadRanchRdGasLineRd PSecanRd NTrcoRd W Bayard Rd dRSSandaro WillowSpringsRd N Dove Mountain Blvd SHelvetiaRd WAnamax Mine Rd dRhRiGWacaanc Road424 WRagged Top Rd W Ruby Star Dr WBritten RanchRd W Pima Mine Rd S Mcgee RanchRd E Edw n Rd SGuildRd 80 NKINNEYRD SPICACHOHWYE BAUMGARTNER RD SNANDARIORDNANWAYRD W VALENCIA RD W MOORE RD W INA RD ESN1TAV E SUNRISE DR E SNYDER RDNSILVERBELLRD TRSNOLDIERLE RIVER RDE PRINCE RD E SPEEDWAY BLVD SFREEMANRDE 22ND ST E 22ND ST W IRVINGTON RD SNOGALESHWY W VALENCIA RDSMISSIONRDWSPEEDWAY BLVD SOLDSPANISHTRL W NARANJA DR W TWIN PEAKS RD W PICTURE ROCKS RD W MANVILLE RD SKINNEYRD W MILE WIDE RD E SAHUARITA RD NTRICORD OSSANDARRD PARK LINK DR SOLDNOGALESHWY GUOSHHTONRD ADCSLAANADRW HELMET PEAK RD WAJOHWY RNASNWD RDKOLBS SHOUGHTONRD W TANGERINE RD E GRANT RD SHOUGHTONRD 95 WAJOHWY E VALENCIA RD NORACLERD I-10 I-19 77 77 77 86 86 286 10 19 10 10 Corona de Tucson AdobesCasas Catalina Green Valley Oracle Picture Rocks Three Points VailSummit TanqueVerde SahuaritaTucson Red Rock Saddlebrooke Marana Oro Valley Rillito SummerhavenWillow Canyon Oracle Junction Cortaro Continental Littletown 20 30 13 15 51 39 12 01 01 08 10 16 11 06 PIMA COUNTY School District Information This map is provided for general location only. Please contact school districts for actual street boundaries SCHOOL DISTRICTS 15 AJO UNIFIED 111 N. Well Road, Ajo, AZ 85321 520.387.5618 51 ALTAR VALLEY ELEMENTARY 10105 S. Sasabe Road, Tucson, AZ 85736 520.822.1484 10 AMPHITHEATER UNIFIED 701 W. Wetmore, Tucson, AZ 85705 520.696.5000 16 CATALINA FOOTHILS UNIFIED 2101 E. River Road, Tucson, AZ 85718 520.209.7500 39 CONTINENTAL ELEMENTARY 1991 E. Whitehouse Canyon, Green Valley, AZ 85614 520.625.4581 08 FLOWING WELLS UNIFIED 1556 W. Prince Road, Tucson, AZ 85705 520.696.8800 06 MARANA UNIFIED 11279 W. Grier Road, Marana, AZ 85653 520.682.3243 11 PIMA COUNTY JTED 2855 W. Master Pieces Dr, Tucson, AZ 85741 520.352.5833 30 SAHUARITA UNIFIED 350 W. Sahuarita Road, Sahuarita, AZ 85629 520.625.3502 12 SUNNYSIDE UNIFIED 2238 E. Ginter Road, Tucson, AZ 85706 520.545.2000 13 TANQUE VERDE UNIFIED 2300 N. Tanque Verde Loop, Tucson, AZ 85749 520.749.5751 01 TUCSON UNIFIED 1010 E. 10th Street, Tucson, AZ 85717 520.225.6000 20 VAIL UNIFIED 10701 E. Mary Ann Cleveland Way, Tucson, AZ 85747 520.879.2000

First American Title Insurance Company, and the operating divisions thereof, make no express or implied warranty respecting the information presented and assume no responsibility for errors or omissions. American, the eagle logo, First American Title, and firstam.com are registered trademarks or trademarks of First American Financial Corporation and/or its affiliates. ©2021 First American Financial Corporation and/or its affiliates. All rights reserved. NYSE: FAF

Coyote Trail Elementary School Distance 1.94 Miles 8000 N Silverbell Rd Tucson AZ 85743

Telephone : (520) 579-4750 School District : Marana Unified District (4404)

Telephone : (520) 579-5105 School District : Marana Unified District (4404)

8500 N Continental Links Dr Tucson AZ 85743 Telephone : (520) 352-7000 School District : Marana Unified District (4404)

Lowest Grade : Pre-K Highest Grade : 6th Kindergarten : Yes School Enrollment : Enrollment : 506 Total Expenditure/Student : 269 Leman Academy Of Excellence Distance 2.68 Miles 7720 N Silverbell Rd Tucson AZ 85743

Customer Name : Lisa Mrazek

Customer Company Name : First American Title Insurance Company Prepared On : 09/02/2022 © 2022 CoreLogic. All rights reserved

Lowest Grade : Pre-K Highest Grade : 8th Kindergarten : Yes School Enrollment : Enrollment : 787 Total Expenditure/Student : 269 Rattlesnake Ridge Elementary Distance 1.09 Miles

Telephone : (520) 639-8080 School District : Leman Academy Of Excellence Inc. (92730)

Lowest Grade : K Highest Grade : 8th Kindergarten : Yes School Enrollment : Enrollment : 1078 Total Expenditure/Student :

Public Schools : Elementary Schools Twin Peaks Elementary School Distance 0.39 Miles 7995 W Twin Peaks Rd Tucson AZ 85743

Lowest Grade : Pre-K Highest Grade : 6th Kindergarten : Yes School Enrollment : Enrollment : 457 Total Expenditure/Student : 269

LocalAttractionsBusiness/Recreation

Jpmorgan Chase Bank, National Association 6050 W Jenna Nicole Ln Tucson Az (520) 579-1041 2.4

Dancing Goddess, Llc 7474 W Victory Ct Tucson Az (415) 505-2721 0.22

Happy Dance Creations 7716 W Shining Moon Way Tucson Az (520) 250-8816 0.8

Dany Bank 9110 N Silverbell Rd # 10 Tucson Az (520) 331-1217 0.68

Customer

Eating / Drinking Name Address Telephone Distance (Miles)

U.s. Bank National Association 9100 N Silverbell Rd Tucson Az (520) 572-7691 0.67

Kay Dental Pllc 9180 N Coachline Blvd # 1 Tucson Az (520) 577-0035 0.18 Aihu Inc 7681 W Amber Ridge Way Tucson Az (763) 972-9132 0.18

CoreLogic. All

Filthy Pirate 7560 W Mission View Pl Tucson Az (520) 975-4978 0.32

©

E&d Financial Llc 7969 W Star Catcher Dr Tucson Az (520) 610-9430 0.7

Tucson Dental Sleep Medicine, Pllc 9180 N Coachline Blvd Tucson Az (520) 577-0035 0.18

Jesse Stanley 7996 W Irnwood Rserve Ct Tucson Az (520) 975-6599 0.9 Akka Karate Usa 7475 W Twin Peaks Rd # 11 Tucson Az (520) 572-8669 0.99 Banks / Financial Name Address Telephone Distance (Miles)

Name Address Telephone Distance (Miles)

Customer Name : Lisa Mrazek Company Name : First American Title Insurance Company Prepared On : 09/02/2022 2022 rights

Chiquis Sonoran Hot Dogs 8910 N Mocha Pl Tucson Az (520) 954-9889 0.52 Health Care Services Name Address Telephone Distance (Miles) Matthew Vandiver Dpt 9332 N Indian Summer Dr Tucson Az (832) 493-4300 0.14

Angela S Mexican Food 9190 N Coachline Blvd # 1 Tucson Az (520) 572-4040 0.17 Arriva Catering 7669 W Desert Spirits Dr Tucson Az (520) 256-3165 0.23

reserved

Hospitality Name Address Telephone Distance (Miles) Atlantis Backyard Resorts, L.l.c. 6983 W Somerton Dr Tucson Az (520) 665-1813 1.37 Hsl Marana Hotel Opportunity Fund Llc 6300 W Marana Center Blvd Tucson Az (520) 572-1010 1.42 Yogi Investment Corporation 6020 W Hospitality Rd Tucson Az (520) 572-4235 2.28 Shri Hari, Inc 8425 N Cracker Barrel Rd Tucson Az (520) 579-1099 2.31 Organizations / Associations Name Address Telephone Distance (Miles) Living Hope Family Church Marana, Inc. 9190 N Coachline Blvd # 1 Tucson Az (520) 235-5989 0.17 Faith & Fellowship Comm. Church 9640 N Deimos Dr Tucson Az (520) 272-5195 0.45 Redeemer Evangelical Lutheran Church Of Tucson Arizona 8845 N Silverbell Rd Tucson Az (520) 572-8136 0.66 Continental Baptist Church 7281 W Rivulet Dr Tucson Az (520) 579-0659 0.72 Personal Services Name Address Telephone Distance (Miles) Pandora Larsen Fitness Llc 9060 N Running Bear Pl Tucson Az (520) 744-0589 0.41 Ta Nail And Spa 9110 N Silverbell Rd Tucson Az (520) 579-0041 0.68 Asg Salon & Spa, Llc 8711 N Moonfire Dr Tucson Az (520) 744-2966 0.86 Snap Fitness 8567 N Silverbell Rd # 12 Tucson Az (520) 395-2210 1.03 Shopping Name Address Telephone Distance (Miles) Diamonback Auto Glass Llc 9011 N Shadow Rock Dr Tucson Az (520) 401-0513 0.37 Glass Geeks 7290 W Sunset Mountain Dr Tucson Az (520) 338-6549 0.41 Sun Valley General Merchandise 9037 N Palm Brook Dr Tucson Az (520) 264-8284 0.5 Safeway Stores, Incorporated 9100 N Silverbell Rd Tucson Az (520) 579-8365 0.67 Customer Name : Lisa Mrazek Customer Company Name : First American Title Insurance Company Prepared On : 09/02/2022 © 2022 CoreLogic. All rights reserved

Customer Name : Lisa Mrazek

Customer Company Name : First American Title Insurance Company Prepared On : 09/02/2022 © 2022 CoreLogic. All rights reserved

Land Use : Sfr Lot Acres : 0.15 Stories : 1 Living Area : 1,972 Yr Blt / Eff Yr Blt : 2002 / APN : 226-16-2240

Land Use : Sfr Lot Acres : 0.27 Stories : 1 Living Area : 1,972 Yr Blt / Eff Yr Blt : 2002 / APN : 226-16-1590

7644 W WILDFLOWER CREST WAY Distance 0.03 Miles

Owner Name : Snedden Larry D Subdivision : Continental Ranch Sunflower 07 Sale Date : 02/03/2020 Recording Date : 02/10/2020

Total Value : $232,961 Sale Price  : $300,000 Bed / Bath : / 2 Property Tax : $3,230.78

Owner Name : Malinowski Gretchen Hunt Subdivision : Continental Ranch Sunflwoer 03 Sale Date : 04/10/2001 Recording Date : 09/06/2001

9308 N DESERT MIST LN Distance 0.04 Miles

Land Use : Sfr Lot Acres : 0.15 Stories : 1 Living Area : 1,543 Yr Blt / Eff Yr Blt : 2002 / APN : 226-16-2420

7649 W DESERT CACTUS WAY Distance 0.04 Miles

Owner Name : Murphy Tim Subdivision : Continental Ranch Sunflwoer 03 Sale Date : 06/15/2010 Recording Date : 06/25/2010 Total Value : $221,350 Sale Price  : $248,500 Bed / Bath : / 2 Property Tax : $3,104.29

Total Value : $189,649 Sale Price  : $166,233 Bed / Bath : / 2 Property Tax : $2,980.50

9366 N DESERT MIST LN Distance 0.05 Miles

Owner Name : Coulter Daniel D Subdivision : Continental Ranch Sunflower 07 Sale Date : 02/10/2020 Recording Date : 02/27/2020

Land Use : Sfr Lot Acres : 0.18 Stories : 1 Living Area : 1,468 Yr Blt / Eff Yr Blt : 2002 / APN : 226-16-1580

Owner Name : Leaton Gerald A Subdivision : Continental Ranch Sunflower 07 Sale Date : 02/22/2018 Recording Date : 02/27/2018

Total Value : $157,115 Sale Price  : $150,000 Bed / Bath : / 2 Property Tax : $2,222.87 Land Use : Sfr Lot Acres : 0.11

Stories : 1 Living Area : 1,114 Yr Blt / Eff Yr Blt : 2002 / APN : 226-16-1670

Customer Name : Lisa Mrazek

Customer Company Name : First American Title Insurance Company Prepared On : 09/02/2022 © 2022 CoreLogic. All rights reserved

Land Use : Sfr Lot Acres : 0.15 Stories : 1 Living Area : 1,619 Yr Blt / Eff Yr Blt : 2002 / APN : 226-16-1570

Total Value : $184,029 Sale Price  : $240,000 Bed / Bath : / 2 Property Tax : $2,894.37

7637 W WILDFLOWER CREST WAY Distance 0.04 Miles

Owner Name : Boerner Carol M Subdivision : Continental Ranch Sunflower 07 Sale Date : 03/26/2002 Recording Date : 03/26/2002

7645 W WILDFLOWER CREST WAY Distance 0.05 Miles

Total Value : $198,006 Sale Price  : $190,414 Bed / Bath : / 2 Property Tax : $2,795.17

Owner Name : Johnson Margaret A Subdivision : Continental Ranch Sunflower Ph Sale Date : 10/02/2012 Recording Date : 12/12/2012

Total Value : $185,230 Sale Price  : $155,000 Bed / Bath : / 2 Property Tax : $2,611.02

Land Use : Sfr Lot Acres : 0.11 Stories : 1 Living Area : 1,484 Yr Blt / Eff Yr Blt : 2002 / APN : 226-16-1680

7668 W WILDFLOWER CREST WAY Distance 0.06 Miles

Customer Company Name : First American Title Insurance Company Prepared On : 09/02/2022 © 2022 CoreLogic. All rights reserved

Owner Name : Mann Kathleen Subdivision : Continental Ranch Sunflower 07 Sale Date : 11/15/2021 Recording Date : 11/22/2021

Total Value : $177,401 Sale Price  : $178,000 Bed / Bath : / 2 Property Tax : $2,503.38

Land Use : Sfr Lot Acres : 0.15 Stories : 1 Living Area : 1,619 Yr Blt / Eff Yr Blt : 2002 / APN : 226-16-1560

7653 W WILDFLOWER CREST WAY Distance 0.06 Miles

Owner Name : Dorr Subdivision : Continental Ranch Sunflwoer 03 Sale Date : 10/30/2014 Recording Date : 11/25/2014

9374 N DESERT MIST LN Distance 0.06 Miles

Land Use : Sfr Lot Acres : 0.14

Total Value : $195,319 Sale Price  : $335,000 Bed / Bath : / 2 Property Tax : $2,749.37

Stories : 1 Living Area : 1,380 Yr Blt / Eff Yr Blt : 2002 / APN : 226-16-2390

Customer Name : Lisa Mrazek

No demographics data for selected property. Customer Name : Lisa Mrazek Customer Company Name : First American Title Insurance Company Prepared On : 09/02/2022 © 2022 CoreLogic. All rights reserved

+ FIRST AMERICAN TITLE, FC0, LMRA PIMA, AZ 09/02/2022  11:16AM  RL13  INVESTIGATIVE SEARCH RESULTS PAGE 1 OF 1 SEARCH PARAMETERS PARCEL:  226-16-1620 PARCEL: 226-16-1620 INSTRUMENT REC DATE OWNER: MARION CHARLES E & BARBARA J CP/RS     12007 2824 03/14/2003  SITUS: 9326 N DESERT MIST LN MAR  MAIL: 9326 N DESERT MIST LN  TUCSON AZ 85743  PLAT: LOT 00772 BLOCK LEGAL: CONTINENTAL RANCH SUNFLOWER PHASE VII LOT 0772  CURRENT TAXES INFORMATION THROUGH 07/28/2022 LAND IMPR EXEMPT RATE AREA SPECIAL DISTRICTS PRIMARY  16,714  0  0  9.6812  0612 SECONDARY  50  17,053  0  6.4416  2021 TOTAL TAX BILLED 2,415.65 2021  TAX AMT TAX DUE INTEREST DATE PAID TOTAL DUE FIRST HALF  1,207.83  0.00  0.00  10/11/2021  0.00  SECOND HALF  1,207.82  0.00  0.00  04/19/2022  0.00  TOTAL CURRENT TAXES DUE 09/22 0.00 10/22 0.00 IMPROVEMENTS RESIDENTIAL  BLDG SQFT  1,296 FULL CASH VALUE  171,036 YEAR BUILT  2002 LAND USE  01 31 NUMBER OF STORIES  1.0 LOT SIZE  1 STDLT STORIES HEIGHT  0 SCHOOL DISTRICT  0612 EXTERIOR WALLS  FRAME WOOD LAND FULL CASH VALUE  502 GRADE MATERIALS IMPR FULL CASH VALUE  170,534 SALES SALE DATE SALE AMOUNT INSTRUMENT TYPE SELLER NAME VALIDITY 03/14/2003 140,700    12007 2824 SD DEL WEBBS SUNFLOWER OF TUC ADDITIONAL PROPERTY INFORMATION STANDARD LAND USE: SFR END SEARCH

Thank you for the opportunity to be of service. Restrictions indicating a preference, limitation or discrimination based on race, color, religion, sex, handicap, familial status, or national origin are hereby deleted to the extent such restrictions violate 42 USC 3604(c). This information is furnished without fee and without benefit of a complete title search. No liability is assumed by First American Title or Title Security. If it is desired that liability be assumed, you may apply for a policy of title insurance with First American Title Insurance Company.

ConditionsCovenants,&Restrictions

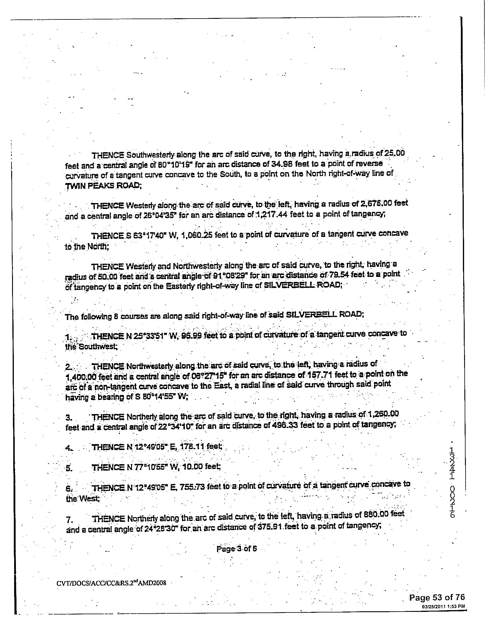
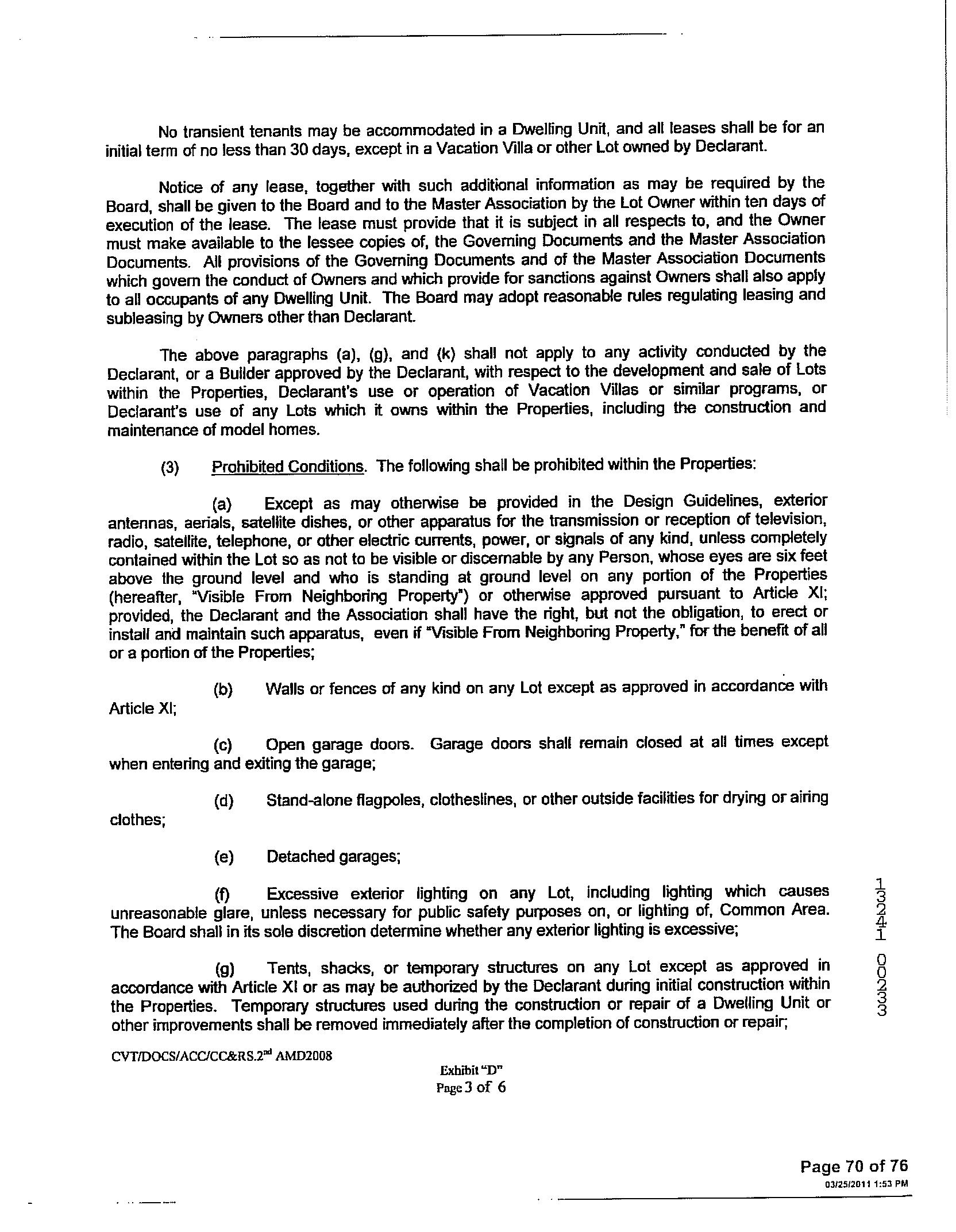
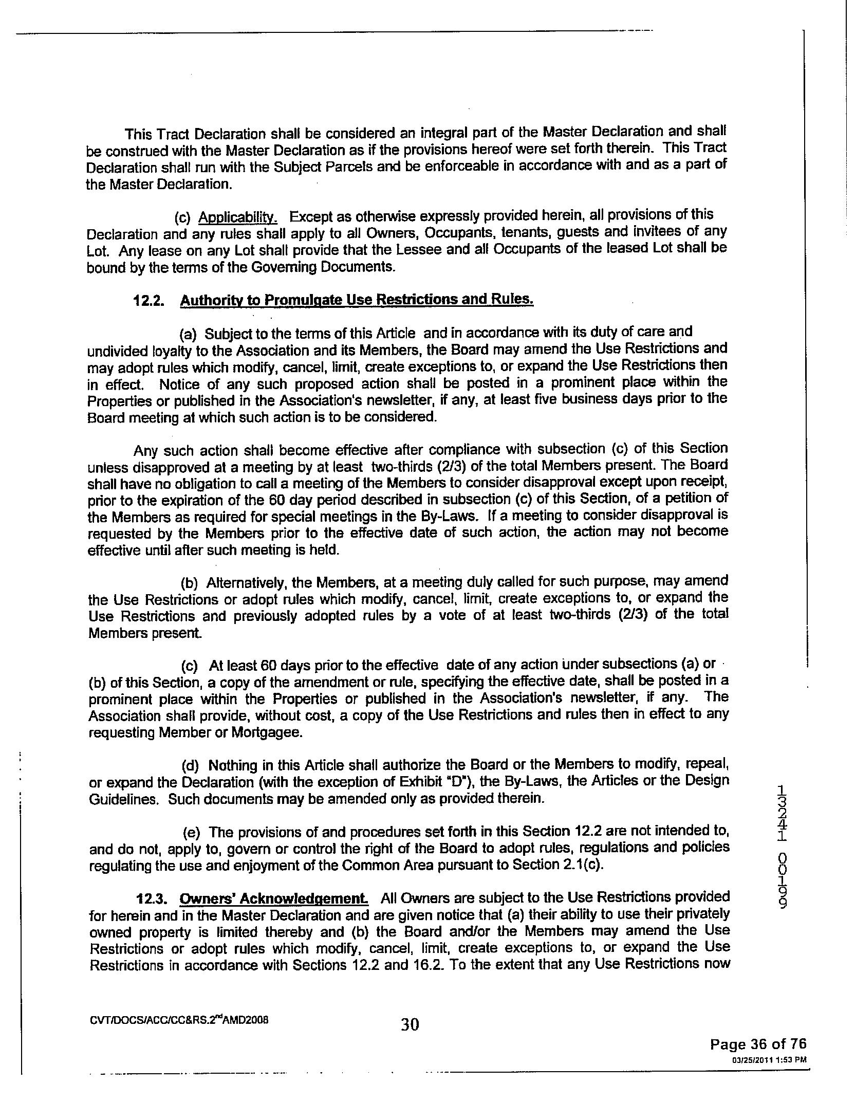
Branch:FC0,User:LMRAComment:StationId:RL13 PIMA,AZPage1of5Printedon9/2/202211:19:11AM Document:SUBDIVISION_MAP54.15

Branch:FC0,User:LMRAComment:StationId:RL13 PIMA,AZPage2of5Printedon9/2/202211:19:17AM Document:SUBDIVISION_MAP54.15

Branch:FC0,User:LMRAComment:StationId:RL13 PIMA,AZPage3of5Printedon9/2/202211:19:21AM Document:SUBDIVISION_MAP54.15

Branch:FC0,User:LMRAComment:StationId:RL13 PIMA,AZPage4of5Printedon9/2/202211:19:29AM Document:SUBDIVISION_MAP54.15

Branch:FC0,User:LMRAComment:StationId:RL13 PIMA,AZPage5of5Printedon9/2/202211:19:33AM Document:SUBDIVISION_MAP54.15

to the Title & Escrow Process in Arizona Home Seller’s Guide

Southwest Gas www.swgas.com1.877.860.6020 Cox www.cox.com602.277.1000 Direct TV www.directv.com1.888.777.2454 Dish Network www.dishnetwork.com1.800.823.4929 CenturyLink www.centurylink.com800.366.8201 AT&T www.att.com1.800.222.0300 Verizon www.connecttoverizon.com1.877.300.4498 Salt River Project www.srpnet.com602.236.8888 APS www.aps.com602.371.7171 Your Escrow Number Your New City/State/ZipAddress Real Estate Agent Name Email Assistant Email Company Phone Address Fax Insurance CompanyPrevious Phone Previous Agent No.Policy New Company Phone New Agent No.Policy Home CompanyWarranty No.Policy First American Title Escrow Officer Email Escrow Assistant Email Address Phone City/State/Zip Fax 02 Quick Reference 03 Welcome 04 Benefits of Using a REALTOR ® 05 Key Professionals 06 Preparing Your Home for Sale 07 Staging Your Home for Show 09 Terms You Should Know 10 The Life of an Escrow 11 Closing Costs: Who Pays What 12 The Escrow Process 14 Understanding Title Insurance 16 Consider This 17 Closing Your Escrow 18 Planning Your Move Q uick Reference Table of Contents Utilities and Services

Count On Us For Service

Count On Us For Stability

First American Title’s professionals are proud to provide the title insurance that assures people’s home ownership. Backed by First American Title Insurance Company, your transaction will be expertly completed in accordance with state-specific underwriting standards and state and federal regulatory requirements.

First American Title is the principal subsidiary of First American Financial Corporation, and one of the largest suppliers of title insurance services in the nation. With roots dating back to 1889, we’ve served families for generations.

First American Title has a direct office or agent near you, offering convenient locations throughout Arizona. We also have an extensive network of offices and agents throughout the United States, and internationally.

Count on First American Title

Count On Us For Convenience

First American Financial Corporation offers more than title insurance and escrow services through its subsidiaries. Our subsidiaries also provide property data, title plant records and images, home warranties, property and casualty insurance, and banking, trust and advisory services.

Count On Us To Meet Your Needs

AZ Sellers Guide | 3

Welcome to the home-selling process. Throughout this process, you can count on First American Title to guide you smoothly through your transaction and provide expert answers to your questions. We are happy to serve you.

Are you... - aware of conditions in the marketplace today that affect value and length of time to sell?

Many people believe they can save a considerable amount of money by selling their homes themselves. It may seem like a good idea at the time, but while you may be willing to take on the task, are you qualified? The following are some questions to help you realistically assess what’s involved.

- concerned about having strangers walking through your home?

› Can remain objective when presenting offers and counter-offers on your behalf.

- familiar enough with real estate regulations to prepare a binding sales contract? Counter-offers?

- prepared to give up your evenings and weekends to show your home to potential buyers and “just-looking” time wasters?

› Knows how to price your home realistically, to give you the highest price possible within your time frame. › Is experienced in creating demand for homes and how to show them to advantage.

› Knows how to go toe-to-toe in negotiations.

Do you... - have the knowledge, patience, and sales skills needed to sell your home? - know how to determine your home’s current market value? - know how to determine whether or not a buyer can qualify for a loan?

- understand the various types of loans buyers may choose and the advantages and disadvantages for the seller?

- know how to advertise effectively and what the costs will be?

› Is always “on-call,” answering the phone at all hours, and showing homes evenings and weekends.

- aware that every time you leave your home, you are taking it off the market until you return?

› Knows how to screen potential buyers and eliminate those who can’t qualify or are looking for bargain-basement prices.

- understand the steps of an escrow and what’s required of you and the buyer? - need to hire a real estate attorney? If so, do you know what the cost will be and how much liability they will assume in the transaction?

Before you make the decision to try to sell your home alone, consider the benefits a REALTOR ® can provide that you may not be aware of.

FOR SALE BY OWNER

› Can help protect your rights, particularly important with the increasingly complicated real estate laws and regulations.

› Is experienced with resolving problems to facilitate a successful closing on your home. Only you can determine whether you should attempt to sell your home—probably your largest investment—all alone. Talk with a REALTOR® before you decide. You may find working with a professional is a lot less expensive and much more beneficial than you ever imagined!

A REALTOR ® : › Understands market conditions and has access to information not available to the average homeowner. › Can advertise effectively for the best results.

- aware that prospective buyers and bargain hunters will expect you to lower your cost because there’s no REALTOR® involved?

AZ Sellers Guide | Benefits4 of using a Professional REALTOR ®

› Maintains errors-and-omissions insurance. › Will listen to your needs, respect your opinions and allow you to make your own decisions.

- have arrangements with an escrow and title company, home warranty company, pest-control service and lender to assist you with the transaction?

REALTOR ® A REALTOR ® is a licensed real estate agent and a member of the National Association of REALTORS,® a real estate trade association. REALTORS ® also belong to their state and local Association of REALTORS.®

Key Professionals Involved in Your Transaction

LISTING AGENT

MULTIPLE LISTING SERVICE (MLS)

A key role of the listing agent or broker is to form a legal relationship with the homeowner to sell the property and place the property in the Multiple Listing Service.

ESCROW OFFICER

AZ Sellers Guide | 5

BUYER'S AGENT

These are the people who carry out the title search and examination, work with you to eliminate the title exceptions you are not willing to take subject to, and provide the policy of title insurance regarding title to the real property.

A real estate agent is licensed by the state to represent parties in the transfer of property. Every REALTOR ® is a real estate agent, but not every real estate agent has the professional designation of a REALTOR.®

REAL ESTATE AGENT

A key role of the buyer’s agent or broker is to work with the buyer to locate a suitable property and negotiate a successful home purchase.

An escrow officer leads the facilitation of your escrow, including escrow instructions preparation, document preparation, funds disbursement, and more.

TITLE COMPANY

The MLS is a database of properties listed for sale by REALTORS ® who are members of the local Association of REALTORS.® Information on an MLS property is available to thousands of REALTORS ®

YOURFORPREPARINGSALEHOME

Mow and edge the lawn regularly, and trim the shrubs. Make your entry inviting: Paint your front door and buy a new front door mat. Paint or replace the mailbox, if needed.

Repair or replace worn shutters and other exterior trim. Make sure the front steps are clear and hazard-free. Make sure the doorbell works properly and has a pleasant sound. Ensure that all exterior lights are working. Check stucco walls for cracks and discoloration. Remove any oil and rust stains from the driveway and garage. Clean and organize the garage, and ensure the door is in good working order.

Brighten the appearance inside by painting walls, cleaning windows and window coverings, and removing sunscreens. Repair leaky faucets and caulking in bathtubs and showers. Repair or replace loose knobs on doors and cabinets. If doors stick or squeak, fix them. Make sure toilet seats look new and are firmly attached. Repair or replace loud ventilating fans. Replace worn shower curtains. Rearrange furniture to make rooms appear larger. If possible, remove and/or store excess furniture, and avoid extension cords in plain view. Remove clutter throughout the house. Organize and clean out closets. Clean household appliances and make sure they work properly. Air conditioners/heaters, evaporative coolers, hot water heater should be clean, working and inspected if necessary. Replace filters. Check the pool and/or spa equipment and pumps. Make sure all are working properly and that the pool and/or spa are kept clean. Inspect fences, gates and latches. Repair or replace as needed.

First impressions have a major impact on potential buyers. Try to imagine what potential buyers will see when they approach your house for the first time and walk through each room. Ask your REALTOR ® for advice; they know the marketplace and what helps a home sell. Here are some tips to present your home in a positive manner:

If screens or windows are damaged, replace or repair them.

AZ Sellers Guide | 6

Shampoo carpeting or replace if worn. Clean tile floors, particularly the caulking.

Get rid of odors such as tobacco, pets, cooking, etc., but don’t overdo air fresheners or potpourri. Fresh baked bread and cinnamon can make a positive impact. Send pets away or secure them away from the house, and be sure to clean up after them. Close the windows to eliminate street noise.

Staging your home for Show

AZ Sellers Guide | 7

Keep everything clean. A messy or dirty home will cause prospective buyers to notice every flaw. Clear all clutter from counter tops. Let the light in. Raise shades, open blinds, pull back the curtains and turn on the lights.

Cleanshown.trash

To make the best impression, keep your home clean, neat, uncluttered and in good repair. Please review this list prior to each showing:

If possible you, your pets, and your children should be gone while your home is being cans and put them out of sight.

If you must be present while your home is shown, keep noise down. Turn off the TV and radio. Soft, instrumental music is fine, but avoid vocals. Keep the garage door closed and the driveway clear. Park autos and campers away from your home during showings Hang clean attractive guest towels in the bathrooms. Check that sink and tub are scrubbed and unstained. Make beds with attractive spreads. Stash or throw out newspapers, magazines, junk mail.

AZ Sellers Guide | 8

Settlement statement Provides a complete breakdown of costs involved in a real estate transaction.

Easement

Legal Description

An estimate of value of property resulting from analysis of facts about the property; an opinion of value.

Deed Restrictions

Comparable Sales Sales that have similar characteristics as the subject real property, used for analysis in the appraisal. Commonly called “comps.”

Limitations in the deed to a parcel of real property that dictate certain uses that may or may not be made of the real property.

As to a title insurance policy, a rider or attachment forming a part of the insurance policy expanding or limiting coverage.

The instrument by which real property is pledged as security for repayment of a loan.

Close of Escrow

Deed of Trust

Annual Percentage Rate (APR)

Consummation

TRID TILA-RESPA Integrated Disclosures

A written instrument whereby a principal gives authority to an agent. The agent acting under such a grant is sometimes called an “Attorney-in-Fact.” Recording

Hazard Insurance Real estate insurance protecting against fire, some natural causes, vandalism, etc., depending upon the policy. Buyer often adds liability insurance and extended coverage for personal property. Impounds A trust type of account established by lenders for the accumulation of borrower’s funds to meet periodic payments of taxes, mortgage insurance premiums and/or future insurance policy premiums, required to protect their security.

Appraisal

Closing Disclosure (CD)

Generally the date the buyer becomes the legal owner and title insurance becomes effective.

Occurs when the borrower becomes contractually obligated to the creditor on the loan, not, for example, when the borrower becomes contractually obligated to a seller on a real estate transaction. The point in time when a borrower becomes contractually obligated to the creditor on the loan depends on applicable State law. Consummation is not the same as close of escrow or settlement.

A right, privilege or interest limited to a specific purpose that one party has in the land of another.

Terms You Should Know

The recipient of benefits, often from a deed of trust; usually the lender.

Lien

Power of Attorney

The borrower’s costs of the loan term expressed as a rate. This is not their interest rate.

AZ Sellers Guide | 9

Beneficiary

Closing Disclosure form designed to provide disclosures that will be helpful to borrowers in understanding all of the costs of the transaction. This form will be given to the consumer three (3) business days before closing.

An instrument used in many states in place of a mortgage.

Disbursement Date

The date the amounts are to be disbursed to a buyer and seller in a purchase transaction or the date funds are to be paid to the borrower or a third party in a transaction that is not a purchase transaction.

Earnest Money Deposit Down payment made by a purchaser of real property as evidence of good faith; a deposit or partial payment.

Endorsement

A description of land recognized by law, based on government surveys, spelling out the exact boundaries of the entire parcel of land. It should so thoroughly identify a parcel of land that it cannot be confused with any other.

A form of encumbrance that usually makes a specific parcel of real property the security for the payment of a debt or discharge of an obligation. For example, judgments, taxes, mortgages, deeds of trust. Loan Estimate (LE) Form designed to provide disclosures that will be helpful to borrowers in understanding the key features, costs and risks of the mortgage loan for which they are applying. Initial disclosure to be given to the borrower three (3) business days after application. Mortgage

PITI A payment that includes Principal, Interest, Taxes, and Insurance.

Filing documents affecting real property with the appropriate government agency as a matter of public record.

THE BUYER

Chooses a Real Estate Agent Accepts Buyer’s offer to openingCompletespurchase.andreturnspackagefromFirstAmericanTitle,includinginformationsuchasforwardingaddress,payofflendercontactinformationandloannumbers.Ordersanyworkforinspectionsand/orrepairstobedoneasrequiredbythepurchaseagreement.Escrowofficerorrealestateagentcontactsthesellertoschedulesigningappointment.Documentsarerecordedandallproceedsfromsalearereceived.

All demands, invoices, and fees must be collected and sent to lender at least 10 days prior to loan

Coordinatesconsummation.withlender on the preparation of the CD. Reviews all documents, demands, and instructions and prepares settlement statements and any other required documents.

Schedules signing appointment and informs buyer of funds due at settlement.

THE SELLER

THE LENDER

THE ESCROW OFFICER

Chooses a Real Estate Agent Gets pre-approval letter from Lender and provides to Real Estate Agent. Makes offer to purchase. Upon acceptance, opens escrow and deposits earnest money. Finalizes loan application with Lender. Receives a Loan Estimate from Lender. Completes and returns opening package from First American Title. Schedules inspections and evaluates findings. Reviews title BuyerpriorlenderpaperworkProvidespreliminarycommitment/report.allrequestedtoLender(bankstatements,taxreturns,etc.)Allinvoicesandfinalapprovalsshouldbetothenolaterthan10daystoloanconsummation.Lender(orEscrowOfficer)preparesCDanddeliverstoatleast3dayspriortoloanconsummation.Escrowofficerorrealestateagentcontactsthebuyertoschedulesigningappointment.Buyerconsummatesloan,executessettlementdocuments,&depositsfundsviawiretransfer.Documentsarerecordedandthekeysaredelivered!

Upon receipt of order and earnest money deposit, orders title examination. Requests necessary information from buyers and sellers via opening packages. Reviews title commitment / preliminary report. Upon receipt of opening packages, orders demands for payoffs. Contacts buyer or seller when additional information is required for the title preliminarycommitment/report.

Accepts Buyer’s application and begins the qualification process. Provides Buyer with Loan Estimate. Orders and reviews title commitment / preliminary report, property appraisal, credit report, employment and funds verification. Collects information such as title commitment / preliminary report, appraisal, credit report, employment and funds verification. Reviews and requests additional information for final loan Underwritingapproval.reviews loan package for approval. Coordinates with Escrow Officer on the preparation of the Closing Disclosure, which is delivered to Buyer at least 3 days prior to loan documents,UponDeliversconsummation.loandocumentstoescrow.reviewofsignedloanauthorizesloanfunding.

Once loan is consummated, sends funding package to lender for review. Prepares recording instructions and submits docs for recording. Documents are recorded and funds are disbursed. Issues final settlement statement.

The Life Of An Escrow

AZ Sellers Guide | 10

AZ Sellers Guide | 11 CASH FHA VA CONV 1. Downpayment BUYER BUYER BUYER BUYER 2. Termite (Wood Infestation) Inspection (negotiable except on VA) SELLER 3. Property Inspection (if requested by buyer) BUYER BUYER BUYER BUYER 4. Property Repairs, if any (negotiable) SELLER SELLER SELLER SELLER 5. New Loan Origination Fee (negotiable) BUYER BUYER BUYER 6. Discount Points (negotiable) BUYER BUYER BUYER 7. Credit Report BUYER BUYER BUYER 8. Appraisal or Extension Fee (negotiable) BUYER BUYER BUYER 9. Existing Loan Payoff SELLER SELLER SELLER SELLER 10. Existing Loan Payoff Demand SELLER SELLER SELLER SELLER 11. Loan Prepayment Penalty (if any) SELLER SELLER SELLER SELLER 12. Next Month’s PITI Payment BUYER BUYER BUYER 13. Prepaid Interest (approx. 30 days) BUYER BUYER BUYER 14. Reserve Account Balance (Credit seller / Charge buyer) PRORATE PRORATE PRORATE 15. FHA MIP, VA Funding Fee, PMI Premium BUYER BUYER BUYER 16. Assessments payoff or proration (sewer, paving, etc.) SELLER 17. Taxes PRORATE PRORATE PRORATE PRORATE 18. Tax Impounds BUYER BUYER BUYER 19. Tax Service Contract SELLER SELLER BUYER 20. Fire/Hazard Insurance BUYER BUYER BUYER BUYER 21 Flood Insurance BUYER BUYER BUYER 22. Homeowners Association (HOA) Transfer Fee BUYER or SELLER BUYER or SELLER BUYER or SELLER BUYER or SELLER 23. HOA/Disclosure Fee SELLER SELLER SELLER SELLER 24 Current HOA Payment PRORATE PRORATE PRORATE PRORATE 25. Next Month’s HOA Payment BUYER BUYER BUYER BUYER 26. Home Warranty Premium (negotiable) BUYER or SELLER BUYER or SELLER BUYER or SELLER BUYER or SELLER 27. REALTORS®’ Commissions SELLER SELLER SELLER SELLER 28. EAGLE Homeowners Title Policy SELLER SELLER SELLER SELLER 29. Lenders Title Policy and Endorsements BUYER BUYER BUYER 30. Escrow Fee (NOTE: Charge seller on VA Loan) SPLIT SPLIT SELLER SPLIT 31. Recording Fees (Flat rate) SPLIT SPLIT SPLIT SPLIT 32. Reconveyance/Satisfaction Fee SELLER SELLER SELLER SPLIT 33. Courier/Express Mail Fees SPLIT SPLIT SELLER SPLIT THIS CHART INDICATES WHO CUSTOMARILY PAYS WHAT COSTS Note: Prorated items will appear on Closing Statement as charges for one and credits for the other. Closing Costs: Who Pays What

AZ Sellers Guide | 12

HOW IS AN ESCROW OPENED? Once a purchase agreement is signed by all necessary parties, the agent representing the party who will pay the fee selects an escrow holder and the buyer's earnest money deposit and contract are submitted to the escrow holder. From this point, the escrow holder will follow the mutual written instructions of the buyer and seller, maintaining a neutral stance to ensure that neither party has an unfair advantage over the other. The escrow holder also follows the instructions of the Buyer's new lender, the seller's existing lender, and both parties' agents. The escrow holder ensures the transparency of the transaction, while carefully maintaining the privacy of the consumers.

WHAT IS AN ESCROW?

The escrow is the process of having a neutral party manage the exchange of money for real property. The escrow holder is known as an escrow or settlement officer or agent. The buyer deposits funds and the seller deposits a deed with the escrow holder along with all of the other documents required to remove all "contingencies" (conditions and approvals) in the purchase agreement prior to closing.

The Escrow Process

AZ Sellers Guide | 13

Prorate fees, such as real property taxes, per the contract and prepare the settlement statement

Set separate appointments allowing the buyer and seller to sign documents and deposit funds

Your Escrow May:

Review documents and ensure all conditions are fulfilled and certain legal requirements are met Request funds from buyer and buyer’s new lender

After recording is confirmed, close escrow and disburse funds, including proceeds, loan payoffs, tax payments, and more Prepare and send final documents to all parties

Conduct a title search to determine the ownership and title status of the real Reviewpropertythetitle commitment and begin the process of working with you and the title officer to eliminate the title exceptions the buyer and the buyer’s new lender are not willing to take subject to. This includes ordering a payoff demand from your existing lender.

Professional

Open escrow and deposit good faith funds into an escrow account

When all funds are deposited and conditions met, record documents with the County Recorder to transfer the real property to the buyer

Coordinate with the buyer’s lender on the preparation of the Closing Disclosure (CD)

WHY IS TITLE INSURANCE NEEDED?

WHAT IS TITLE INSURANCE?

Title Insurance

Understandingrecords.

The Title Industry & Title Insurance in Brief

Title insurance insures buyers against the risk that they did not acquire marketable title from the seller. It is primarily designed to reduce risk or loss caused by defects in title from the past. A loan policy of title insurance protects the interest of the mortgage lender, while an owner’s policy protects the equity of you, the buyer, for as long as you or your heirs (in certain policies) own the real property.

Title insurance provides coverage for certain losses due to defects in the title that, for the most part, occurred prior to your ownership. Title insurance protects against defects such as prior fraud or forgery that might go undetected until after closing and possibly jeopardize your ownership and investment.

You pay for your owner’s title insurance policy only once, at the close of escrow. Who pays for the owner’s policy and loan policy varies depending on local customs.

AZ Sellers Guide | 14

WHEN IS THE PREMIUM DUE?

Prior to the development of the title industry in the late 1800s, a home-buyer received a grantor’s warranty, attorney’s title opinion, or abstractor’s certificate as assurance of home ownership. The buyer relied on the financial integrity of the grantor, attorney, or abstractor for protection. Today, home-buyers look primarily to title insurance to provide this protection. Title insurance companies are regulated by state statute. They are required to post financial guarantees to ensure that any claims will be paid in a timely fashion. They also must maintain their own “title plants” which house duplicates of recorded deeds, mortgages, plats, and other pertinent county property

1

12

17

4

AZ Sellers Guide | 15 Compare First American’s Eagle Policy® for Owners EAGLE StandardALTAorCLTA

Forgery, fraud, duress in the chain of title Defective recording of any document There are restrictive covenants There is a lien on your title because there is: a) a deed of trust b) a judgement, tax, or special assessment c) a charge by a homeowner’s association Title is unmarketable 8 Mechanics lien 9 Forced removal of a structure because it: a) extends on another property and/or easement b) violates a restriction in Schedule B c) violates an existing zoning law* 10 Cannot use the land for a Single-Family Residence because the use violates a restriction in Schedule B or a zoning ordinance Unrecorded lien by a homeowners association Unrecorded easements Building permit violations* Restrictive covenant violations Post-policy forgery Post-policy encroachment Post-policy damage from extraction of minerals or water Lack of vehicular and pedestrian access Map not consistent with legal description Post-policy adverse possession First American’s Eagle Policy® for Owners EAGLE StandardALTAorCLTA 21

Protection from: Someone else owns an interest in your title A document is not properly signed

13

3

15

16

Compare

Post-policy prescriptive easement 22 Covenant violation resulting in your title reverting to a previous owner 23 Violation of building setback regulations 24 Discriminatory covenants Other benefits: 25 Pays rent for substitute land or facilities 26 Rights under unrecorded leases 27 Plain language statements of policy coverage and restrictions 28 Compliance with Subdivision Map Act 29 Coverage for boundary wall or fence encroachment* 30 Added ownership coverage leads to enhanced marketability 31 Insurance coverage for a lifetime 32 Post-policy inflation coverage with automatic increase in value up to 150% over five years 33 Post-policy Living Trust coverage * Deductible and maximum limits apply. Not available to investors on 1- to 4-unit residential properties. Coverage may vary based on an individual policy.

As with any insurance contract, the insuring provisions express the coverage afforded by the title insurance policy and there are exceptions, exclusions and conditions to coverage that limit or narrow the coverage afforded by the policy. Also, some cov erage may not be available in a particular area or transaction due to legal, regulatory, or underwriting considerations. Please contact a First American representative for further information. The services described above are typical basic services. The services provided to you may be different due to the specifics of your transaction or the location of the real property involved.

6

11

20

14

19

7

18

5

2

Consider This

One escrow transaction could involve more than 20 individuals, including real estate agents, buyers, sellers, attorneys, escrow officer, escrow technician, title officer, loan officer, loan processor, loan underwriter, home inspector, termite inspector, insurance agent, home warranty representative, contractor, roofer, plumber, pool service, and so on. And often, one transaction depends on another.

When you consider the number of people involved, you can imagine the opportunities for delays and mishaps. Your experienced escrow team can’t prevent unforeseen problems from arising; however, they can help smooth out the process.

AZ Sellers Guide | 16

If the buyer is obtaining a new loan, the buyer’s signed loan documents will be returned to the lender for review. The escrow holder will ensure that all contract conditions have been met and will ask the lender to "fund the loan."

You will have a chance to review the settlement statement and supporting documentation. This is your opportunity to ask questions and clarify terms. You should review the settlement statement carefully and report discrepancies to the escrow officer. This includes any payments that may have been missed.

You will need valid identification with your photo I.D. on it when you sign documents that need to be notarized (such as a deed). A driver's license is preferred. You will also be asked to provide your social security number for tax reporting purposes, and a forwarding address.

AZ Sellers Guide | 17

If the loan documents are satisfactory, the lender will send funds directly to the escrow holder. When the loan funds are received, the escrow holder will verify that all necessary funds are in. Escrow funds will be disbursed to the seller and other appropriate payees. Then, the REALTOR® will present the keys to the property to the buyer.

The escrow holder will contact you or your agent to schedule a closing or signing appointment. In some states, this is the "close of escrow." In some others, the close of escrow is either the day the documents record or that funds are disbursed. Ask your escrow holder if you would like clarification about your state's laws.

Closing Your Escrow

DON'T FORGET YOUR IDENTIFICATION

The escrow holder is obligated by law to have the designated amount of money before releasing any funds. If you have questions or foresee a problem, let your escrow holder know immediately.

*For purposes of the Closing Disclosure“business day” is defined as every day except Sundays and Federal legal holidays.

You are responsible for all charges incurred even if overlooked by the escrow holder, so it's better to bring these to their attention before closing.

THE CLOSING DISCLOSURE

Once the loan is approved and all invoices and paperwork have been provided, the lender and escrow officer will collaborate on the preparation of the Closing Disclosure (CD). In order to close on time, all paperwork and invoices should be submitted at least 10 days prior to the expected close of escrow date. The borrower must receive the CD at least three days* prior to consummation of the loan (typically the signing date). The escrow officer will also prepare an estimated settlement statement and inform the buyer of the balance of the down payment and closing costs needed to close escrow.

WHAT HAPPENS NEXT?

THE CLOSING OR SIGNING APPOINTMENT

MOVINGReviewDAY:thehouse. Once the house is empty, check the entire house (closets, the attic, basement, etc) to ensure no items are left or no home issues exist. Sign the bill of lading. Once your satisfied with the mover’s packing your items into the truck, sign the bill of lading. If possible, accompany your mover while the moving truck is being weighed.

Change of address. Visit USPS for change of address form. Bank accounts Notify bank of address change. Make sure to have a money order for paying the moving company if you are transferring or closing accounts.

Double check with your mover. Make sure your mover has the new address and your contact information should they have any questions during your move.

Packing materials. Gather moving boxes and packing materials for your move. Contact insurance companies. (Life, Health, Fire, Auto) You’ll need to contact your insurance agent to cancel/transfer your insurance policy. Do not cancel your insurance policy until you have and closed escrow on the sale. Seek employer benefits. If your move is work-related, your employer may provide funding for moving expenses. Your human resources rep should have information on this policy.

Note food inventory levels Check your cupboards, refrigerator and freezer to use up as much of your perishable food as possible. Service small engines for your move by extracting gas and oil from the machines. This will reduce the chance to catch fire during your move.

Vacate your home. Make sure utilities are off, doors and windows are locked and notify your real estate agent you’ve left the property.

Service automobiles If automobiles will be driven long distances, you’ll want to have them serviced for a trouble-free drive.

Planning your move

ONE WEEK BEFORE: Plan your itinerary. Make plans to spend the entire day at the house or at least until the movers are on their way. Someone will need to be around to make decisions. Make plans for kids and pets to be at the sitters for the day.

Travel items. Set aside items you’ll need while traveling and those needed until your new home is established. Make sure these are not packed in the moving truck! Scan your furniture. Check furniture for scratches and dents before so you can compare notes with your mover on moving day. Prepare Floor Plan. Prepare floor plan for your new home. This will help avoid confusion for you and your movers.

AZ Sellers Guide | 18

Protect jewelry and valuables. Transfer jewelry and valuables to safety deposit box so they can not be lost or stolen during your move.

Changing Schools. If changing schools, contact new school for registration process.

Obtain your medical records. Contact your doctors, physicians, dentists and other medical specialists who may currently be retaining any of your family’s medical records. obtain these records or make plans for them to be delivered to your new medical facilities.

FOUR WEEKS BEFORE: Contact utility companies Set utility turnoff date, seek refunds and deposits and notify them of your new address.

Start packing. Begin packing for your new location.

Borrowed and rented items. Return items which you may have borrowed or rented. Collect items borrowed to others.

Cancel services. Notify any remaining service providers (newspapers, lawn services, etc) of your move.

SIX WEEKS BEFORE: Create an inventory sheet of items to move. Research moving options You’ll need to decide if yours is a do-it-yourself move or if you’ll be using a moving company. Request moving quotes Solicit moving quotes from as many moving companies and movers as possible. There can be a large difference between rates and services within moving companies. Discard unnecessary items Moving is a great time for ridding yourself of unnecessary items. Have a yard sale or donate unnecessary items to charity.

AZ Sellers Guide | 19 Your Notes:

AZ Sellers Guide | 20 Your Notes:

AZ Sellers Guide | 21 Your Notes:

1 SUN CITY WES T Blvd., #119 Sun City West, AZ 85375 N of Meeker Blvd W of R.H. Johnson GOODYEAR Rd. Ste. #170 Goodyear, AZ 85395 NW corner of McDowell & Litchfield 3 ARROWHEAD 16165623.487.0404N.83rd Ave , #100 Peoria, AZ 85382 S of Bell/E side of 83rd Ave 4 THE LEGENDS 20241623.537.1608N.67th Ave , #A-2 Glendale, AZ 85308 E side 67th Ave/N of 101 5 ANTHEM 39508623.551.3265N.Daisy Mountain Dr., #128 Anthem, AZ 85086 NE corner Daisy Mtn Dr/ Gavilan Peak Pkwy 6 BILTMORE 3200602.954.3644ECamelback Rd., #123 Phoenix, AZ 85018 NE Corner of Camelback/32nd Street 7 TATUM RIDGE 480.515 4369 11211 N Tatum Blvd, #A150 Phoenix, AZ 85028 N of Shea, E side of Tatum 8 CAREFREE 7202480.575.6609E.Carefree Dr , Bldg 1, #1 Carefree, AZ 85377 NE corner of Tom Darlington/ Carefree Dr. 9 KIERLAND COMMONS 14648480.948.6488NScottsdale Rd., Ste. #100 Scottsdale, AZ 85254 W of Scottsdale Road, S side of Greenway 10 SCOTTSDALE FORUM 6263480.551.0480N.Scottsdale Rd., #110 Scottsdale, AZ 85250 E Side Scottsdale/S of Lincoln 11 DC CROSSING 18291480.563.9034N.Pima Rd , #145 Scottsdale, AZ 85255 SE corner of Pima/Legacy 12 AHWATUKEE 4435480.753.4424E.Chandler Blvd , #100 Phoenix, AZ 85048 SW corner Chandler/45th St. 13 CHANDLER PORTICO 2121480.777.0051W.Chandler Blvd., #215 Chandler, AZ 85224 SW Corner Chandler Blvd./ Dobson Rd. 14 GILBERT SAN TAN 1528480.777.0614E.Williams Field Rd., #101 Gilbert, AZ 85295 NW corner of Williams Field Rd./ Val Vista Rd. 15 MESA 1630480.401.3738S.Stapley Dr., #123 Mesa, AZ 85204 N of Baseline / W of Stapley 16 RED MOUNTAIN 1135480.534.3599N.Recker Rd., #103 Mesa, AZ 85205 SE corner of Recker & Brown 17 GOLD CANYON 6877480.288.0883SouthKings Ranch Rd., #5 Gold Canyon, AZ 85118 E of South60/Side Kings Ranch Rd.

13940623.299.3644W.Meeker

1 4 3 2 6 12 10 5 8 7 11 9 CRISMON BUTTESIGNAL GOLDFIELD OLDWESTHWY SKINGSRANCH 14 17 15 13 16 ArizonaCentral First American Title Branch Locator

2

1626623.936.8001N.Litchfield

AZ Sellers Guide | 22

|

7479

NBarkervilleRd W Fort Lowe Rd dSPNumpationR E Nona Rd Ch efButteRd LovettaRd E Hanna Rd TecoloteRanchRd FlorenceRdRomeroRd Con nenta Ave BIA 30 NTricoRd SSunandGnRd SCattleTankRd E E s Rd E Hotts Rd E Nutt Rd Evalyn Rd SOwlHeadRanchRdGasLineRd PSecanRd I on Va ey RdEDeepWellRanchRd SNighSkySt SBadyPumpRdE Houser Rd E Ar ca Rd W Ea ey Rd NTrcoRd W Baya d Rd dRSSandario WillowSpringsRd EHelmwheel Ranch Rd N Dove Mounta n Blvd BIA-35 dRhRiGWarcaanc E Dese H s Rd WRagged Top Rd W Pima Mine Rd WSilverbellRdS E Edw n Rd BIA34 SGuildRd 80 NKINNEYRD SPICACHOHWYE GREENE RESERVOIR RD SSUNLANDGINRD W BATTAGLIA DR AZ-84 E BAUMGARTNER RD SSUNSHINEBLVD SNANDARIORDNANWAYRD E HARMON RD W VALENCIA RD E RODEO RD W MOORE RD W INA RD ESN1TAV E SUNRISE DR E SNYDER RDNSILVERBELLRD TRSNOLDIERLE RIVER RDE PRINCE RD E SPEEDWAY BLVD SFREEMANRDE 22ND ST E 22ND ST W IRV NGTON RD SNOGALESHWY W VALENC A RDSMISSIONRDWSPEEDWAY BLVD SOLDSPANISHTRL W NARANJA DR W TW N PEAKS RD W P CTURE ROCKS RD W MANVILLE RD SKINNEYRD W MILE WIDE RD E SAHUAR TA RD W HARMON RD W MCCARTNEY RD NTRICORD OSSANDARRD PARK LINK DR GUOSHHTONRD ADDR E MART N RD STHORNTONRD W HELMET PEAK RD SCHUICHURD WAJOHWY RNASNWD RDKOLBS SHOUGHTONRD W TANGER NE RD E GRANT RD SHOUGHTONRD NPINALAVE 95 WAJOHWY E VALENCIA RD NORACLERD I10 I-19 I8 77 77 79 77 77 87 86 86 387 287 86 10 19 8 10 10 10 La Palma Chuichu Arizona City Corona de Tucson AdobesCasas Catalina OracleDudleyvilleGrandeCasa Picture Rocks Three Points VailSummit TanqueVerde Eloy SahuaritaTucson Cactus Forest Picacho Red Rock Saddlebrooke Marana Oro Valley HaivanaNakya Rillito SummerhavenWillow Canyon Randolph Toltec Oracle Junction Cortaro Schuchk Littletown 2 4 385 9 10 11 13 12 6 1 AIRPORTINT'LTUCSON Air Force WSilverbellRd SSantaRitaRd NMtLemmon Hwy W Avra Valley Rd guirreRd dRkLNucet dRWNenzNWatermanMountainRd RdAnwayN W El Tiro Rd NTricoRd W Tucke Rd W Rudas Rd W Manv e Rd SSanJoaquinRdWBopp Rd W Snyder H RddRlSMarsear W Park Rd W Hermans RdW He mans Rd W Guy St W Bush Rd SGarveyRd eaCNlRnconado SWmoRd SShawRd SSierritaMountainRd SKobRdW TwinButtes Rd W Mcgee Ranch Rd BNearCanyonRdW E Cam no De Cerro E Fairmount St SSwanRd NFrontageRd W Emigh Rd W Fort Lowel Rd dSPNumptationR NNTricoRdTcoRd W Baya d Rd dRSSandaro N Dove Mountain Blvd SHelvetiaRd WAnamax M ne Rd dRhRiGWacaanc Road424 ed Top Rd W Ruby S ar D WBritten RanchRd W Pima Mine Rd S Mcgee RanchRd 80 NKINNEYRDSNANDARIORDNANWAYRD W VALENC A RD W MOORE RD W INA RD ESN1TAV E SUNR SE DR E SNYDER RDNSILVERBELLRD TRSNOLDIERLE RIVER RDE PRINCE RD E SPEEDWAY BLVD SFREEMANRDE 22ND ST E 22ND ST W IRV NGTON RD SNOGALESHWY W VALENCIA RDSMISSIONRDWSPEEDWAY BLVD SOLDSPANISHTRL W NARANJA DR W TW N PEAKS RD W P CTURE ROCKS RD W MANVILLE RD SKINNEYRD W MILE WIDE RD E SAHUARITA RD NTRICORD OSSANDARIRD SOLDNOGALESHWY GUOSHHTONRD ADCSLAANADRW HELMET PEAK RD WAJOHWY RNASNWD RDKOLBS SHOUGHTONRD W TANGERINE RD E GRANT RD SHOUGHTONRD 95 WAJOHWY E VALENCIA RD NORACLERD I-19 77 77 86 86 286 19 10 10 Corona de Tucson AdobesCasas Catalina Green Valley Picture Rocks Three Points VailSummit TanqueVerde SahuaritaTucson Marana Oro Valley Rillito SummerhavenWillow Canyon Cortaro Continental Littletown 2 3758 9 10 11 13 12 6 1 AZ Sellers Guide | 23

1 MAIN OFFICE 520.885.1600 | Fax 520.885.2309 6390 E. Tanque Verde Rd. Tucson, AZ 85715 2 BROADWAY 520.747.1644 | Fax 520.747.1403 3777 E. Broadway Blvd., Ste. 220 Tucson, AZ 85716

3 CAMBRIC 520.577.8707 | Fax 520.529.5034 1840 E. River Rd., Ste. 200 Tucson, AZ 85718 4 CASA GRANDE 520.426.4600 | Fax 520.426.4699 421 E. Cottonwood Ln. Casa Grande, AZ 85122 5 CASAS ADOBES 520.575.1900 | Fax 520.432.0168 6760 N. Oracle Rd., Ste. 100B Tucson, AZ 85704 6 FOOTHILLS 520.299.4606 | Fax 520.577.6993 6262 N Swan Road, Suite 205 Tucson, AZ 85718 7 GREEN VALLEY 520.625.1095 | Fax 520.958.9663 190 W. Continental Rd., Ste. 226 Green Valley, AZ 85622 8 ORO VALLEY/LA CANADA 520.877.9200 | Fax 520.202.6348 11165 N. La Canada Dr., Ste. 143 Oro Valley, AZ 85737 9 ORO VALLEY/ORACLE 520.229.9194 | 520.297.2576 Fax 520.229.9210 | 520.742.5866 8500 N. Oracle Rd., Ste 100 Oro Valley, AZ 85704 10 RITA ROAD 520.618.7790 | Fax 520.901.1720 10222 East Rita Rd., Ste. 190 Tucson, AZ 85747 11 RIVER 520.529.1944 | Fax 520.615.2945 1650 E. River Rd., Ste. 105 Tucson, AZ 85718 12 SKYLINE 520.529.0506 | Fax 520.529.8998 2890 E. Skyline Dr., Ste. 200 Tucson, AZ 85718 TANQUE VERDE 520.202.2626 Fax 520.495.6151 E. Tanque Verde Tucson, AZ 85715 NTweedyRd E Randolph Rd W Kleck Rd E K eck Rd W Se ma Hwy STrekellRd SHennessRd E Selma Hwy W Co nman Rd W Pretzer Rd SLambRd SLaPalmaRd E M gan Rd E M gan Rd W A es Dr E Curtis Rd ESsancaDr EDesertDove HearthRd E Hemlock Dr BNearCanyonRdW E Cam no De Cerro E Fairmount St SSwanRd NFrontageRd W Emigh Rd GoffRanchRd

13

AIRPORTINT'LTUCSON Air Force WSilverbellRd SSantaRitaRd NMtLemmon Hwy ESascoRd W Avra Valley Rd E G and Va ey DrNAguirreRd dRkLNucet dRWNentzNWatermanMountainRd RdAnwayN W El Tiro Rd NTricoRd W Tucke Rd W Rudasi Rd W Manv l e Rd SSanJoaquinRdWBopp Rd W Snyder H RddRSMarstear W Park Rd W Hermans RdW He mans Rd W Guy St W Bush Rd SGarveyRd eaCNlRinconado SWimotRd SShawRd SSierritaMountainRd SKobRdW Tw nButtes Rd W Mcgee Ranch Rd ESstanca BNearCanyonRdW E Cam no De Cerro E Fairmount St SSwanRd NFrontageRd W Emigh Rd W Fort Lowe Rd dSPNumptationR Cont nental Ave NTricoRd SOwlHeadGasLineRd NTricoRd W Bayard Rd dRSSandaro N Dove Mountain Blvd SHelvetiaRd WAnamax Mine Rd dRhRiGWarcaanc Road424 WRagged Top Rd W Ruby S a Dr WBritten RanchRd W Pima Mine Rd ellRdS S Mcgee RanchRd E Edw n Rd 80 NKINNEYRDSNANDARIORDNANWAYRD W VALENCIA RD W MOORE RD W INA RD ESN1TAV E SUNRISE DR E SNYDER RDNSILVERBELLRD TRSNOLDIERLE RIVER RDE PRINCE RD E SPEEDWAY BLVD SFREEMANRDE 22ND ST E 22ND ST W IRVINGTON RD SNOGALESHWY W VALENCIA RDSMISSIONRDWSPEEDWAY BLVD SOLDSPANISHTRL W NARANJA DR W TWIN PEAKS RD W PICTURE ROCKS RD W MANVILLE RD SKINNEYRD W MILE WIDE RD E SAHUARITA RD NTRICORD OSSANDARIRD SOLDNOGALESHWY GUOSHHTONRD ADCSLAANADRW HELMET PEAK RD WAJOHWY RNASNWD RDKOLBS SHOUGHTONRD W TANGERINE RD E GRANT RD SHOUGHTONRD 95 WAJOHWY E VALENCIA RD NORACLERD I-10 I-19 77 77 86 86 286 19 10 10 Corona de Tucson AdobesCasas Catalina Green Valley Picture Rocks Three Points VailSummit TanqueVerde SahuaritaTucson Saddlebrooke Marana Oro Valley Rillito SummerhavenWillow Canyon Oracle Junction Cortaro Continental Littletown 2 3758 9 10 11 13 12 6 1 SouthernArizona First American Title Branch Locator AIRPORTINT'LTUCSON Air Force FreemanRd WSilverbellRd NMtLemmon Hwy ESascoRd NF38 W Avra Val ey Rd WSCuryRdHanna Rd E Grand Va ey D W Houser Rd W Ph ps Rd E Co nman Rd NAguirreRd dRkLNucet dRWNentzNWatermanMountainRd RdAnwayN W El Tiro Rd NTricoRd W Tucke Rd W Rudas Rd W Manv e Rd SSanJoaquinRdWBopp Rd W Snyde H RddRlSMarsear W Pa k Rd W He mans RdW Hermans Rd W Guy St W Bush Rd SGaveyRd eaCNllRinconado SWimotRd SShawRd SSierritaMountainRd boRdRd W Woodru Rd ONveriedRd W Rando ph Rd W BartlettNRdLaPamaRd

For more information please contact your First American representative. www.firstam.com

05110280522

©2022 First American Financial Corporation and/or its affiliates. All rights reserved. NYSE: FAF

First American Title Insurance Company, and the operating divisions thereof, make no express or implied warranty respecting the information presented and assume no responsibility for errors or omissions. First American, the eagle logo, First American Title, and firstam.com are registered trademarks or trademarks of First American Financial Corporation and/or its affiliates.

Turn static files into dynamic content formats.

Create a flipbook
Issuu converts static files into: digital portfolios, online yearbooks, online catalogs, digital photo albums and more. Sign up and create your flipbook.