9009 W Birchover Dr, Marana, AZ 85653

Page 1

Subject Property 9009 W Birchover Dr Marana AZ 85653 APN: 216-40-6910 Data Provided By: First American Title Ins Co © 2022 CoreLogic. All rights reserved

LIMITATION OF LIABILITY FOR INFORMATIONAL REPORTS

IMPORTANT -- PLEASE READ CAREFULLY:

This report is not an insured product or service or a representation of the condition of title to real property. It is not an abst ract, legal opinion, opinion of title, title insurance commitment or preliminary report, or any form of Title Insurance or Guaranty. This report is issued exclusively for the benefit of the Applicant therefor and may not be used or relied upon by any other person. This report may not be reproduced in any manner without First American or Title Security's prior written consent. First American or Title Security does not represent or warrant that the information herein is complete or free from error, and the information herein is provided without any warranties of any kind, as-is, and with all faults. As a material part of the consideration given in exchange for the issuance of this report, recipient agrees that First American or Title Security's sole liability for any loss or damage caused by an error or omission due to inaccurate information or negligence in preparing this report shall be limited to the fee charged for the report. Recipient accepts this report with this limitation and agrees that First American or Title Security would not have issued this report but for the limitation of liability described above. First American or Title Security makes no representation or warranty as to the legality or propriety of recipient's use of the information herein.

Provided By:

Disclaimer

This REiSource report is provided "as is" without warranty of any kind, either express or implied, including without limitations any warrantees of merchantability or fitness for a particular purpose. There is no representation of warranty that this information is complete or free from error, and the provider does not assume, and expressly disclaims, any liability to any person or entity for loss or damage caused by errors or omissions in this REiSource report without a title insurance policy.

The information contained in the REiSource report is delivered from your Title Company, who reminds you that you have the right as a consumer to compare fees and serviced levels for Title, Escrow, and all other services associated with property ownership, and to select providers accordingly. Your home is the largest investment you will make in your lifetime and you should demand the very best.

Data
First American Title Ins Co
© 2022 CoreLogic. All rights reserved

Subject Property :   9009 W Birchover Dr Marana AZ 85653

Owner Information

Owner Name : Guillen Olga D / Guillen Javier

Mailing Address : 9009 W Birchover Dr, Marana AZ 85653-8928 H017

Vesting Codes : / / Community Property

Owner Occupied Indicator : O

Location Information

Legal Description : Saguaro Bloom Block 4 Lot 492 Sq20151910194 Exc Mineral Rights Below 30-ft

County : Pima, Az

Census Tract / Block : 44.36 / 2

Township-Range- Sect : 12S-12E-18

Legal Book/Page : 62-6

Legal Lot : 492

Legal Block : 4

Market Area : 21

Last Market Sale Information

APN : 216-40-6910

Alternate APN : 216-40-5430

Subdivision : Saguaro Spgs

Map Reference : 18-12S-12E

School District : Marana

Munic/Township : Marana

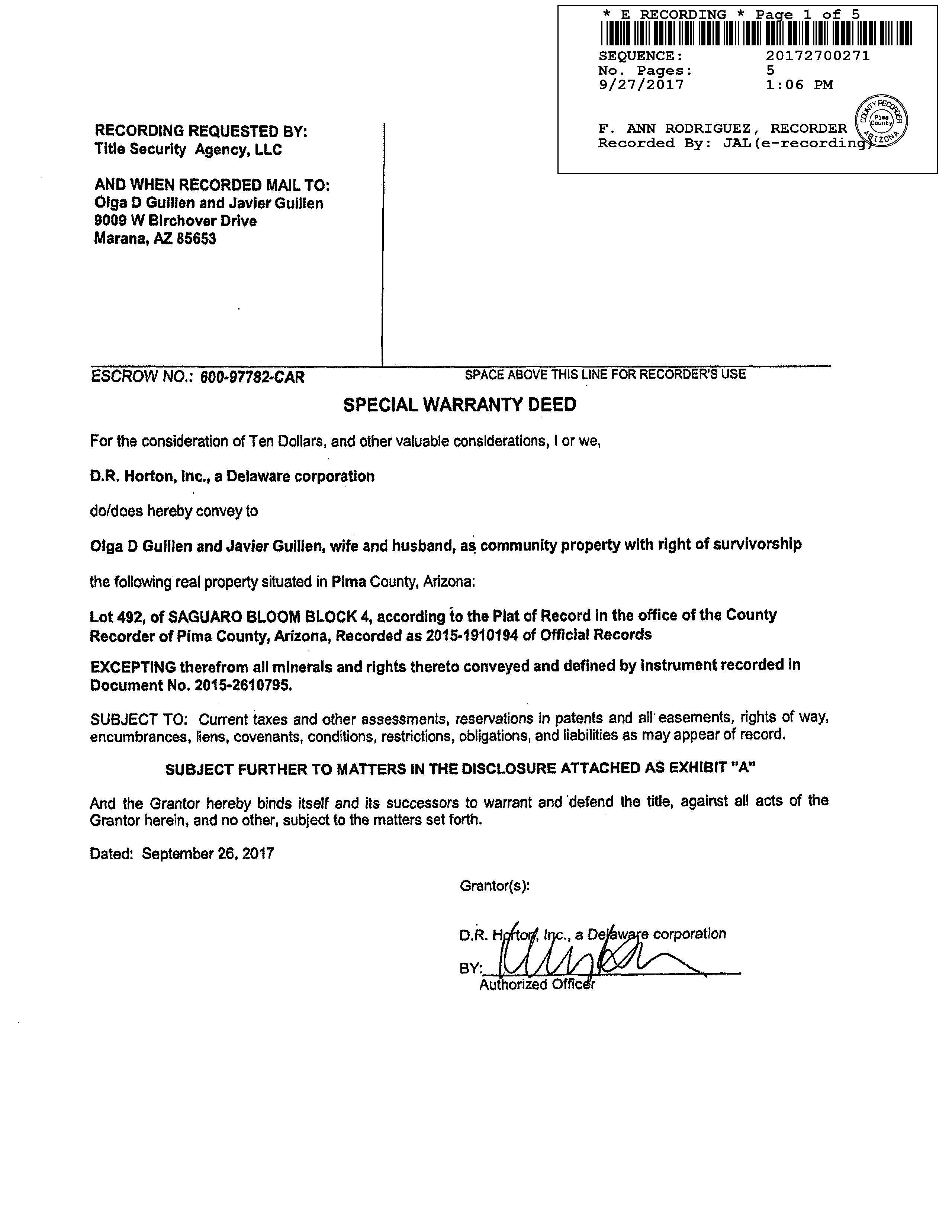
Recording/Sale Date : 09/27/2017 / 09/26/2017 1st Mtg Amount/Type : $263,288 / Fha

Sale Price : $268,146

Document # : 2700271

Deed Type : Special Warranty Deed

Title Company : Title Sec Agcy Llc

Lender : Dhi Mtg Co Ltd Lp

Seller Name : Dr Horton Inc

Prior Sale Information

Prior Rec/Sale Date : 09/18/2015 / 09/00/2015

Prior Sale Price : $10,000,000

1st Mtg Document # : 2700272

1st Mtg Term : 30

Price Per SqFt : $120.24

Prior Doc Number : 2610792

Prior Deed Type : Special Warranty Deed

Customer Name : Jeremiah Stiffler Customer Company Name : First American Prepared On : 10/13/2022

© 2022 CoreLogic. All rights reserved

Property Characteristics

Gross Area : 2,230 Garage Capacity : 2 Patio Type : Covered Patio

Living Area : 2,230 Roof Material : Tile Air Cond : Refrigeration

Total Rooms : 8

Heat Type : Forced Air Quality : Good

Year Built / Eff : 2017 Cooling Type : Forced Air Condition : Excellent

# of Stories : 1

Exterior wall : Frame Wood Bath Fixtures : 8 Parking Type : Garage

Property Information

Land Use : Sfr

County Use : Single Fam Resurban Subd

Tax Information

Total Value : $256,054

Total Taxable Value : $22,843

Zoning : R-6

Lot Acres : 0.19

Property Tax : $3,941.08

Tax Rate Area : 0667

Assessed Year : 2021 Market Value : $256,054

Tax Year : 2021 Current Assessed Year : 2023

Lot Size : 8,394

State Use : Single Fam Resurban Subd

Current Year Total Value : $30,713

Current Year Improvement Value :

$30,663

Current Year Land Value : $50

Customer Name : Jeremiah Stiffler Customer Company Name : First American Prepared On : 10/13/2022 © 2022 CoreLogic. All rights reserved

Sale Price $268,146 $390,000 $530,000 $432,485

Bldg/Living Area 2230 1929 2534 2212

Price Per Square Foot $120.24 $164 $238 $196.59

Year Built 2017 2013 2020 2017

Size 8,394 6,048 43,560 21,698

Assessed Value $256,054 $29,193 $296,625 $244,312

S 9009 W Birchover Dr 268,146 256,054 09/27/2017

1 9025 W Birchover Dr 439,000 256,054 06/21/2022

2 9867 N Melandra Way 517,000 296,625 05/13/2022

8923 W Saguaro Skies Rd 480,000 265,726 05/26/2022

9725 N Melandra Way 485,000 296,625 10/27/2021

8994 W Twin Springs Dr 415,000 256,054 03/16/2022

8846 W Saguaro Skies Rd 413,900 231,471 04/14/2022

8871 W Curzon Rd 415,000 29,193 02/28/2022

9862 N Buzzing Bee Trl 530,000 288,450 07/21/2022

8927 W Fairford Rd 438,300 246,228 08/24/2022

9020 W Twin Springs Dr 430,000 256,054 03/04/2022

2,230 8,394 2017 R-6

2,230 6,052 2017 0.02 R-6

2,534 7,150 2017 0.14 R-6

2,264 43,560 2018 0.15 R-6

2,534 7,834 2017 0.17 R-6

2,230 6,780 2017 0.19 R-6

1,929 43,560 2017 0.19 R-6

1,929 43,560 2020 0.2 R-6

2,534 8,642 2018 0.2

1,929 43,560 2019 0.2 R-6

2,230 6,216 2017 0.2 R-6

Name : Jeremiah Stiffler

Company

: First American

On : 10/13/2022

Sales Analysis Criteria Subject Property Low High Average
Lot
Bedrooms Bathrooms 3 2 3 3 Stories 1 1 2 1 Total
Distance From Subject 0 0.02 0.26 0.2 Summary of Comparables # Address Sale Price Total Assessed Value Sale Date Bed Bath Living Area Lot Size Year Built Dist (Miles) Zoning
3
3
3
3
3
4
3
5
3
6
3
7
3
8
3
9
3
10
3
Customer
Customer
Name
Prepared
© 2022 CoreLogic. All rights reserved

11 8853 W Saguaro Skies Rd 460,000 237,931 04/18/2022

12 8881 W Irongate Rd 399,000 254,490 12/15/2021

13 8832 W Blakebrook Rd 400,000 234,863 08/01/2022

14 9954 N Saguaro Bloom Way 395,000 234,863 03/04/2022

15 8848 W Moon Spring Rd 400,000 245,715 05/27/2022

16 8829 W Saguaro Skies Rd 405,000 265,726 12/13/2021

17 8839 W Irongate Rd 400,000 248,482 03/11/2022

18 9108 W Spanish Dagger Dr 390,000 251,179 12/03/2021

19 8823 W Irongate Rd 402,500 239,336 04/12/2022

20 9656 N Buzzing Bee Trl 435,000 251,179 12/20/2021

Distressed Sales =

1,929 43,560 2018 0.21 R-6

2,241 7,178 2015 0.21 R-6

1,929 43,560 2018 0.21 R-6

1,929 43,560 2018 0.23 R-6

2,436 6,497 2016 0.23 R-6

2,264 43,560 2018 0.24 R-6

2,255 7,151 2013 0.24 R-6

2,241 7,809 2018 0.25

2,436 6,048 2013 0.26 R-6

2,241 8,124 2018 0.26

:

First American

: 10/13/2022

3
2
3
3
3
3
3
2
3
2
Customer Name
Jeremiah Stiffler Customer Company Name :
Prepared On
© 2022 CoreLogic. All rights reserved
Map Customer Name : Jeremiah Stiffler Customer Company Name : First American Prepared On : 10/13/2022 © 2022 CoreLogic. All rights reserved

Details of Comparables

Subject Property: 9009 W Birchover Dr Marana Az 85653

Owner Name: Guillen Olga D /Guillen Javier

APN / Alternate APN: 216-40-6910 /216-40-5430

Deed Type: Special Warranty Deed Land Use: Sfr

Subdivision / Tract: Saguaro Spgs / Lot Size: 8,394

Year Built / Eff: 2017 / Rec. Date / Price: 09/27/2017 / $268,146 Living Area: 2,230

# of units:

Document #: 2700271 Bedrooms: Pool:

Total Tax Value: $256,054 Bath(F/H): /

#1   9025 W Birchover Dr Marana Az 85653

Owner Name: Flentroy Dana I M /

APN / Alternate APN: 216-40-5450 / Deed Type: Warranty Deed

Land Use: Sfr

Year Built / Eff: 2017 / Rec. Date / Price: 06/21/2022 / $439,000 Living Area: 2,230

Subdivision / Tract: Saguaro Spgs / Lot Size: 6,052

# of units:

Document #: 1720322 Bedrooms: Pool: Total Tax Value: $256,054 Bath(F/H): /

#2   9867 N Melandra Way Marana Az 85653

Owner Name: Gray Douglas /Gray Laura

APN / Alternate APN: 216-40-4570 / Deed Type: Warranty Deed

Land Use: Sfr Subdivision / Tract: Saguaro Spgs / Lot Size: 7,150

Year Built / Eff: 2017 / Rec. Date / Price: 05/13/2022 / $517,000 Living Area: 2,534

# of units:

Document #: 1330417 Bedrooms: Pool: Total Tax Value: $296,625 Bath(F/H): /

#3   8923 W Saguaro Skies Rd Marana Az 85653

Owner Name: Lee Michael /Lee Sandra J

APN / Alternate APN: 216-40-0630 / Deed Type: Warranty Deed

Land Use: Sfr

Year Built / Eff: 2018 / Rec. Date / Price: 05/26/2022 / $480,000 Living Area: 2,264

Subdivision / Tract: Saguaro Spgs / Lot Size: 43,560

Document #: 1460484 Bedrooms:

Total Tax Value: $265,726 Bath(F/H): /

#4   9725 N Melandra Way Marana Az 85653

Owner Name: Mc Cullough Kevin /Mc Cullough Dominica

# of units:

Pool:

APN / Alternate APN: 216-40-4680 / Deed Type: Warranty Deed

Land Use: Sfr Subdivision / Tract: Saguaro Spgs / Lot Size: 7,834

Year Built / Eff: 2017 / Rec. Date / Price: 10/27/2021 / $485,000 Living Area: 2,534

# of units:

Document #: 3000366 Bedrooms: Pool:

Total Tax Value: $296,625 Bath(F/H): /

Customer Name : Jeremiah

Company

: First American

Stiffler Customer
Name
Prepared On : 10/13/2022 © 2022 CoreLogic. All rights reserved

#5   8994 W Twin Springs Dr Marana Az 85653

Owner Name: Gdovin Gloria /Gdovin Richard

APN / Alternate APN: 216-40-6240 / Deed Type: Warranty Deed

Land Use: Sfr

Year Built / Eff: 2017 / Rec. Date / Price: 03/16/2022 / $415,000 Living Area: 2,230

Subdivision / Tract: Saguaro Spgs / Lot Size: 6,780

# of units:

Document #: 750123 Bedrooms: Pool:

Total Tax Value: $256,054 Bath(F/H): /

#6   8846 W Saguaro Skies Rd Marana Az 85653

Owner Name: Burgess Cristi L /Burgess Ricky L

APN / Alternate APN: 216-40-1560 / Deed Type: Warranty Deed

Land Use: Sfr

Year Built / Eff: 2017 / Rec. Date / Price: 04/14/2022 / $413,900 Living Area: 1,929

Subdivision / Tract: Saguaro Spgs / Lot Size: 43,560

# of units:

Document #: 1040414 Bedrooms: Pool:

Total Tax Value: $231,471 Bath(F/H): /

#7   8871 W Curzon Rd Marana Az 85653

Owner Name: Van Orsdol Living Trust /

APN / Alternate APN: 216-40-1300 / Deed Type: Warranty Deed

Land Use: Sfr

Year Built / Eff: 2020 / Rec. Date / Price: 02/28/2022 / $415,000 Living Area: 1,929

Subdivision / Tract: Saguaro Spgs / Lot Size: 43,560

# of units:

Document #: 590644 Bedrooms: Pool: Total Tax Value: $29,193 Bath(F/H): /

#8   9862 N Buzzing Bee Trl Marana Az 85653

Owner Name: Bradford Deanna L / APN / Alternate APN: 216-40-7440 / Deed Type: Warranty Deed

Land Use: Sfr Subdivision / Tract: Saguaro Bloom / Lot Size: 8,642

Year Built / Eff: 2018 / Rec. Date / Price: 07/21/2022 / $530,000 Living Area: 2,534

Document #: 2020089 Bedrooms:

Total Tax Value: $288,450 Bath(F/H): /

#9   8927 W Fairford Rd Marana Az 85653

Owner Name: Opendoor Property Trust I / APN / Alternate APN: 216-40-0980 / Deed Type: Warranty Deed

# of units:

Pool:

Land Use: Sfr Subdivision / Tract: Saguaro Spgs / Lot Size: 43,560

Year Built / Eff: 2019 / Rec. Date / Price: 08/24/2022 / $438,300 Living Area: 1,929

Document #: 2360309 Bedrooms:

Total Tax Value: $246,228 Bath(F/H): /

#10   9020 W Twin Springs Dr Marana Az 85653

Owner Name: Ciasca Michael / APN / Alternate APN: 216-40-6210 / Deed Type: Warranty Deed

# of units:

Pool: Pool

Land Use: Sfr Subdivision / Tract: Saguaro Spgs / Lot Size: 6,216

Year Built / Eff: 2017 / Rec. Date / Price: 03/04/2022 / $430,000 Living Area: 2,230

Document #: 630654 Bedrooms:

Total Tax Value: $256,054 Bath(F/H): /

# of units:

Pool:

Customer Name : Jeremiah Stiffler

Customer Company Name : First American

On : 10/13/2022

Prepared
© 2022 CoreLogic. All rights reserved

#11   8853 W Saguaro Skies Rd Marana Az 85653

Owner Name: Ogara Cathleen A /

APN / Alternate APN: 216-40-0690 / Deed Type: Warranty Deed

Land Use: Sfr

Year Built / Eff: 2018 / Rec. Date / Price: 04/18/2022 / $460,000 Living Area: 1,929

Subdivision / Tract: Saguaro Spgs / Lot Size: 43,560

# of units:

Document #: 1080544 Bedrooms: Pool: Pool

Total Tax Value: $237,931 Bath(F/H): /

#12   8881 W Irongate Rd Marana Az 85653

Owner Name: Shum Jeremy M /

APN / Alternate APN: 216-40-2600 / Deed Type: Warranty Deed

Land Use: Sfr

Year Built / Eff: 2015 / Rec. Date / Price: 12/15/2021 / $399,000 Living Area: 2,241

Subdivision / Tract: Saguaro Spgs / Lot Size: 7,178

# of units:

Document #: 3490291 Bedrooms: Pool:

Total Tax Value: $254,490 Bath(F/H): /

#13   8832 W Blakebrook Rd Marana Az 85653

Owner Name: Kaeding Roger T /Kaeding Rebecca R

APN / Alternate APN: 216-40-1320 / Deed Type: Warranty Deed

Land Use: Sfr

Year Built / Eff: 2018 / Rec. Date / Price: 08/01/2022 / $400,000 Living Area: 1,929

Subdivision / Tract: Saguaro Spgs / Lot Size: 43,560

# of units:

Pool: Total Tax Value: $234,863 Bath(F/H): /

Document #: 2130298 Bedrooms:

#14   9954 N Saguaro Bloom Way Marana Az 85653

Owner Name: Smith James H /Smith Deborah A

APN / Alternate APN: 216-40-0820 / Deed Type: Warranty Deed

Land Use: Sfr Subdivision / Tract: Saguaro Spgs / Lot Size: 43,560

Year Built / Eff: 2018 / Rec. Date / Price: 03/04/2022 / $395,000 Living Area: 1,929

Document #: 630766 Bedrooms:

Total Tax Value: $234,863 Bath(F/H): /

#15   8848 W Moon Spring Rd Marana Az 85653

Owner Name: Western Devin M /Mansheim Megan

# of units:

Pool:

APN / Alternate APN: 216-40-2640 / Deed Type: Warranty Deed

Land Use: Sfr Subdivision / Tract: Saguaro Spgs / Lot Size: 6,497

Year Built / Eff: 2016 / Rec. Date / Price: 05/27/2022 / $400,000 Living Area: 2,436

Document #: 1470848 Bedrooms:

Total Tax Value: $245,715 Bath(F/H): /

#16   8829 W Saguaro Skies Rd Marana Az 85653

Owner Name: Sutton Gordon L /Lamb Douglas B

# of units:

Pool:

APN / Alternate APN: 216-40-0720 / Deed Type: Warranty Deed

Land Use: Sfr Subdivision / Tract: Saguaro Spgs / Lot Size: 43,560

Year Built / Eff: 2018 / Rec. Date / Price: 12/13/2021 / $405,000 Living Area: 2,264

Document #: 3470438 Bedrooms:

Total Tax Value: $265,726 Bath(F/H): /

# of units:

Pool:

Customer Name : Jeremiah Stiffler

Customer Company Name : First American Prepared On : 10/13/2022

© 2022 CoreLogic. All rights reserved

#17   8839 W Irongate Rd Marana Az 85653

Owner Name: Fkh Sfr Prop Co J Lp /

APN / Alternate APN: 216-40-2550 / Deed Type: Warranty Deed

Land Use: Sfr

Year Built / Eff: 2013 / Rec. Date / Price: 03/11/2022 / $400,000 Living Area: 2,255

Subdivision / Tract: Saguaro Spgs / Lot Size: 7,151

# of units:

Document #: 700359 Bedrooms: Pool:

Total Tax Value: $248,482 Bath(F/H): /

#18   9108 W Spanish Dagger Dr Marana Az 85653

Owner Name: Winters Travis W /Winters Jessica K

APN / Alternate APN: 216-40-7700 / Deed Type: Warranty Deed

Land Use: Sfr

Year Built / Eff: 2018 / Rec. Date / Price: 12/03/2021 / $390,000 Living Area: 2,241

Subdivision / Tract: Saguaro Bloom / Lot Size: 7,809

# of units:

Document #: 3370765 Bedrooms: Pool:

Total Tax Value: $251,179 Bath(F/H): /

#19   8823 W Irongate Rd Marana Az 85653

Owner Name: Offerpad Spe Borrower A Llc /

APN / Alternate APN: 216-40-2530 / Deed Type: Warranty Deed

Land Use: Sfr

Year Built / Eff: 2013 / Rec. Date / Price: 04/12/2022 / $402,500 Living Area: 2,436

Subdivision / Tract: Saguaro Spgs / Lot Size: 6,048

# of units:

Document #: 1020253 Bedrooms: Pool: Total Tax Value: $239,336 Bath(F/H): /

#20   9656 N Buzzing Bee Trl Marana Az 85653

Owner Name: Bilke Terry A /Bilke Cheryl A

APN / Alternate APN: 216-40-7820 / Deed Type: Warranty Deed

Land Use: Sfr Subdivision / Tract: Saguaro Bloom / Lot Size: 8,124

Year Built / Eff: 2018 / Rec. Date / Price: 12/20/2021 / $435,000 Living Area: 2,241

# of units:

Document #: 3540607 Bedrooms: Pool:

Total Tax Value: $251,179 Bath(F/H): /

Customer Name : Jeremiah Stiffler

Customer Company Name : First American Prepared On : 10/13/2022

© 2022 CoreLogic. All rights reserved
Subject Property :   9009 W Birchover Dr Marana AZ 85653 Customer Name : Jeremiah Stiffler Customer Company Name : First American Prepared On : 10/13/2022 © 2022 CoreLogic. All rights reserved
Customer Name : Jeremiah Stiffler Customer Company Name : First American Prepared On : 10/13/2022 © 2022 CoreLogic. All rights reserved
Customer Name : Jeremiah Stiffler Customer Company Name : First American Prepared On : 10/13/2022 © 2022 CoreLogic. All rights reserved
Customer Name : Jeremiah Stiffler Customer Company Name : First American Prepared On : 10/13/2022 © 2022 CoreLogic. All rights reserved
Arizona Schools For detailed information and statistics on Arizona schools please go to https://azreportcards.azed.gov/ First American Title Insurance Company, and the operating divisions thereof, make no express or implied warranty respecting the information presented and assume no responsibility for errors or omissions. First American, the eagle logo, First American Title, and firstam.com are registered trademarks or trademarks of First American Financial Corporation and/or its affiliates. ©2021 First American Financial Corporation and/or its affiliates. All rights reserved. NYSE: FAF 05117910421

SHelvetiaRd

05249570321 TUCSON INT'L AIRPORT Air Force WSilverbellRd SSantaRitaRd N M t L emmon Hwy ESascoRd NF 38 W Avra Valley Rd E Grand Va ey DrNAguirre R d N L u c k e R d N W e n t z R d N Wa terman Mounta i n R d N Anway Rd W El Tiro Rd N Trico Rd W Tucker Rd W Rudas l Rd W Manvi e Rd SSanJoaquinRdWBopp Rd W Snyder H l Rd S M a r s e a r R d W Park Rd W Hermans RdW Hermans Rd W Guy St W Bush Rd S G a v e y R d N C a e R i n c o n a d o S W m o R d S Shaw Rd S Sierrita Mountain Rd S K o b R d W TwinButtes Rd W Mcgee Ranch Rd S E s t a n c a D r EDesertDove E Hemlock Dr N Bea r C a n y o n R d W E Camino Del Cerro E Fairmount St S Swan Rd NFrontageRd W Emigh Rd W Fort Lowe Rd N P u m p S t a t ion dR E Nona Rd Ch efButteRd Lo al Ave N Trico Rd S Cattle Tank Rd Evalyn Rd SOwlHead R a n c h Rd GasLineRd S P ec a n R d N T r c o R d W Bayard Rd S S a n d a r o R d W i l l owSpri n gsRd N Dove Mountain Blvd
WAnamax Mine Rd W G a c i a R a n hc R d Road424 WRagged Top Rd W Ruby Star Dr WBritten RanchRd W Pima Mine Rd S Mcgee Ranch R d E Edw n Rd SGuildRd 8 0 NKINNEYRD S PICACHO HWY E BAUMGARTNER RD N S A N D A R I O R D N ANWAY RD W VALENCIA RD W MOORE RD W INA RD N 1 S T A V E E SUNRISE DR E SNYDER RDNSILVERBELLRD N S O L D I E R T R L E RIVER RDE PRINCE RD E SPEEDWAY BLVD S FREEMAN RD E 22ND ST E 22ND ST W IRVINGTON RD S N O G A L E S H W Y W VALENCIA RD SMISSIONRD W SPEEDWAY BLVD S O L D S P A N I S H T RL W NARANJA DR W TWIN PEAKS RD W PICTURE ROCKS RD W MANVILLE RD SKINNEYRD W MILE WIDE RD E SAHUARITA RD N TRICO RD S S A N D A R O R D PARK LINK DR S OLD N O G ALES HW Y S H O U G H T O N R D S L A C A N A D A DRW HELMET PEAK RD WAJOHWY N S W A N R D S KOLB RD S HOUGHTON RD W TANGERINE RD E GRANT RD S H O U G H T O N R D 9 5 WAJOHWY E VALENCIA RD NORACLE R D I10 I-19 77 77 77 86 86 286 10 19 10 10 Corona de Tucson Casas Adobes Catalina Green Valley Oracle Picture Rocks Three Points VailSummit Tanque Verde Tucson Sahuarita Red Rock Saddlebrooke Marana Oro Valley Rillito Summerhaven Willow Canyon Oracle Junction Cortaro Continental Littletown 20 30 13 15 51 39 12 01 01 08 10 16 11 06 PIMA COUNTY School District Information This map is provided for general location only. Please contact school districts for actual street boundaries SCHOOL DISTRICTS 15 AJO UNIFIED 111 N. Well Road, Ajo, AZ 85321 520.387.5618 51 ALTAR VALLEY ELEMENTARY 10105 S. Sasabe Road, Tucson, AZ 85736 520.822.1484 10 AMPHITHEATER UNIFIED 701 W. Wetmore, Tucson, AZ 85705 520.696.5000 16 CATALINA FOOTHILS UNIFIED 2101 E. River Road, Tucson, AZ 85718 520.209.7500 39 CONTINENTAL ELEMENTARY 1991 E. Whitehouse Canyon, Green Valley, AZ 85614 520.625.4581 08 FLOWING WELLS UNIFIED 1556 W. Prince Road, Tucson, AZ 85705 520.696.8800 06 MARANA UNIFIED 11279 W. Grier Road, Marana, AZ 85653 520.682.3243 11 PIMA COUNTY JTED 2855 W. Master Pieces Dr, Tucson, AZ 85741 520.352.5833 30 SAHUARITA UNIFIED 350 W. Sahuarita Road, Sahuarita, AZ 85629 520.625.3502 12 SUNNYSIDE UNIFIED 2238 E. Ginter Road, Tucson, AZ 85706 520.545.2000 13 TANQUE VERDE UNIFIED 2300 N. Tanque Verde Loop, Tucson, AZ 85749 520.749.5751 01 TUCSON UNIFIED 1010 E. 10th Street, Tucson, AZ 85717 520.225.6000 20 VAIL UNIFIED 10701 E. Mary Ann Cleveland Way, Tucson, AZ 85747 520.879.2000 First American Title Insurance Company, and the operating divisions thereof, make no express or implied warranty respecting the information presented and assume no responsibility for errors or omissions. First American, the eagle logo, First American Title, and firstam.com are registered trademarks or trademarks of First American Financial Corporation and/or its affiliates. ©2021 First American Financial Corporation and/or its affiliates. All rights reserved. NYSE: FAF

Public Schools :

Elementary Schools

Twin Peaks Elementary School Distance 1.59 Miles

7995 W Twin Peaks Rd Tucson AZ 85743

Telephone : (520) 579-4750

Lowest Grade : Pre-K

School District : Marana Unified District (4404)

Highest Grade : 8th Kindergarten : Yes School Enrollment : Enrollment : 787

Total Expenditure/Student : 269

Rattlesnake Ridge Elementary Distance 2.65 Miles

8500 N Continental Links Dr Tucson AZ 85743

Telephone : (520) 352-7000

Lowest Grade : Pre-K

School District : Marana Unified District (4404)

Highest Grade : 6th Kindergarten : Yes School Enrollment : Enrollment : 457

Total Expenditure/Student : 269

Coyote Trail Elementary School Distance 3.67 Miles

8000 N Silverbell Rd Tucson AZ 85743

Telephone : (520) 579-5105

Lowest Grade : Pre-K

School District : Marana Unified District (4404)

Highest Grade : 6th

Kindergarten : Yes School Enrollment : Enrollment : 506

Total Expenditure/Student : 269

Customer Name : Jeremiah Stiffler Customer Company Name : First American Prepared On : 10/13/2022 © 2022 CoreLogic. All rights reserved

Leman Academy Of Excellence

7720 N Silverbell Rd Tucson AZ 85743

Telephone : (520) 639-8080

Lowest Grade : K

High Schools

Distance 4.43 Miles

School District : Leman Academy Of Excellence Inc. (92730)

Highest Grade : 8th

Kindergarten : Yes School Enrollment : Enrollment : 1078

Pcjted - Marana High School

12000 W Emigh Rd Tucson AZ 85743

Telephone : (520) 616-6400

Total Expenditure/Student :

Distance 3.9 Miles

School District : Pima County Jted (89380)

Highest Grade : 12th School Enrollment : Enrollment : 0

Lowest Grade : 9th

Total Expenditure/Student : Advanced Placement : No

Marana High School

12000 W Emigh Rd Tucson AZ 85743

Telephone : (520) 616-6400

Distance 3.9 Miles

School District : Marana Unified District (4404)

Highest Grade : 12th School Enrollment : Enrollment : 2196

Lowest Grade : 9th

Total Expenditure/Student : 269 Advanced Placement : No

Customer

Name : Jeremiah Stiffler Customer Company Name : First American Prepared On : 10/13/2022 © 2022 CoreLogic. All rights reserved

Attractions / Recreation

Name Address Telephone Distance (Miles)

Akka Karate Usa

7475 W Twin Peaks Rd # 11 Tucson Az (520) 572-8669 0.97

Jesse Stanley 7996 W Irnwood Rserve Ct Tucson Az (520) 975-6599 1.93

Dancing Goddess, Llc 7474 W Victory Ct Tucson Az (415) 505-2721 1.98

Joanne D Rink 8484 N Moonfire Dr Tucson Az (620) 275-3741 2.17

Banks / Financial

Name Address Telephone Distance (Miles)

Dany Bank 9110 N Silverbell Rd # 10 Tucson Az (520) 331-1217 1.55

U.s. Bank National Association 9100 N Silverbell Rd Tucson Az (520) 572-7691 1.57

E&d Financial Llc 7969 W Star Catcher Dr Tucson Az (520) 610-9430 1.77

Wells Fargo Agricultural Credit Inc 7820 N Silverbell Rd Tucson Az (520) 572-6160 4.2

Eating / Drinking

Name Address Telephone Distance (Miles)

Twin Peaks Pizza Llc

7575 W Twin Peaks Rd # 12 Tucson Az (520) 744-0411 0.97

Subway Sandwich And Salads 9110 N Silverbell Rd Tucson Az (520) 744-3151 1.55

Fortune Cookie Restaurant 9110 N Silverbell Rd # 14 Tucson Az (520) 579-7813 1.55

Filthy Pirate 7560 W Mission View Pl Tucson Az (520) 975-4978 1.86

Health Care Services

Name Address Telephone Distance (Miles)

Heartland Dental Care, Llc 7475 W Twin Peaks Rd # 11 Tucson Az (520) 579-1500 0.97

Very Best Home Healthcare, Llc 8064 W Greensleeves Way Tucson Az (520) 579-9575 1.29

Twin Peaks Dental Care, Pllc 9110 N Silverbell Rd # 10 Tucson Az (520) 744-9310 1.55

Vidya Therapy Svc. 7662 W Summer Scene Dr Tucson Az (520) 818-4104 1.73

Hospitality

Name Address Telephone Distance (Miles)

Atlantis Backyard Resorts, L.l.c. 6983 W Somerton Dr Tucson Az (520) 665-1813 3.11

Customer Name : Jeremiah Stiffler

Company Name : First American

On : 10/13/2022

Local Business
Customer
Prepared
© 2022 CoreLogic. All rights reserved

Hsl Marana Hotel Opportunity Fund Llc

6300 W Marana Center Blvd Tucson Az (520) 572-1010 3.18

Lsl Company, Llc 7501 N Wade Rd Tucson Az (520) 744-2355 3.94

Mira Vista Resort Properties, Llc 7501 N Wade Rd Tucson Az (520) 744-2355 3.94

Organizations / Associations

Name Address Telephone Distance (Miles)

Desert View Baptist Church Of Marana, Arizona 9058 N Valhalla Dr Tucson Az (520) 579-5851 1.48

Wagner Free Lancing 7785 W Lees Ferry Ct Tucson Az (520) 744-6436 1.55

Redeemer Evangelical Lutheran Church Of Tucson Arizona 8845 N Silverbell Rd Tucson Az (520) 572-8136 1.82

Faith & Fellowship Comm. Church 9640 N Deimos Dr Tucson Az (520) 272-5195 1.91

Personal Services

Name Address Telephone Distance (Miles)

Anderson Shilo Fitness Llc 8951 W Twin Springs Dr Marana Az (520) 247-6909 0.19

Ta Nail And Spa 9110 N Silverbell Rd Tucson Az (520) 579-0041 1.55

Pandora Larsen Fitness Llc 9060 N Running Bear Pl Tucson Az (520) 744-0589 1.93

Asg Salon & Spa, Llc 8711 N Moonfire Dr Tucson Az (520) 744-2966 1.99

Shopping

Name Address Telephone Distance (Miles)

True Rentals Llc 9251 W Twin Peaks Rd Tucson Az (520) 682-9042 0.42

Luckys Boba Tea 7455 W Twin Peaks Rd # 10 Tucson Az (520) 328-8710 0.97

Safeway Stores, Incorporated 9100 N Silverbell Rd Tucson Az (520) 579-8365 1.57

Diamonback Auto Glass Llc 9011 N Shadow Rock Dr Tucson Az (520) 401-0513 2.0

Customer Name : Jeremiah Stiffler Customer Company Name : First American Prepared On : 10/13/2022

© 2022 CoreLogic. All rights reserved

9017 W BIRCHOVER DR

Owner Name : Fedt Nicholas N

Sale Date : 04/21/2017

Total Value : $278,243

Bed / Bath : / 3

Land Use : Sfr

Stories : 2

Yr Blt / Eff Yr Blt : 2017 /

9025 W BIRCHOVER DR

Owner Name : Flentroy Dana I M

Sale Date : 05/16/2022

Total Value : $256,054

Bed / Bath : / 3

Land Use : Sfr

Stories : 1

Yr Blt / Eff Yr Blt : 2017 /

Distance 0.01 Miles

Subdivision : Saguaro Spgs

Recording Date : 04/21/2017

Sale Price  : $286,383

Property Tax : $4,800.39

Lot Acres : 0.14

Living Area : 2,905

APN : 216-40-5440

Distance 0.02 Miles

Subdivision : Saguaro Spgs

Recording Date : 06/21/2022

Sale Price  : $439,000

Property Tax : $3,941.08

Lot Acres : 0.14

Living Area : 2,230

APN : 216-40-5450

9010 W GRAYLING DR Distance 0.02 Miles

Owner Name : Genzman Ryan S

Sale Date : 07/14/2017

Total Value : $256,054

Bed / Bath : / 3

Land Use : Sfr

Subdivision : Saguaro Spgs

Recording Date : 07/21/2017

Sale Price  : $249,370

Property Tax : $4,322.56

Lot Acres : 0.14

Stories : 1 Living Area : 2,230

Yr Blt / Eff Yr Blt : 2017 /

APN : 216-40-5630

9016 W BIRCHOVER DR Distance 0.03 Miles

Owner Name : Radmacher Kenneth

Sale Date : 03/23/2019

Total Value : $278,694

Bed / Bath : / 3

Land Use : Sfr

Stories : 1

Yr Blt / Eff Yr Blt : 2017 /

Subdivision : Saguaro Spgs

Recording Date : 04/05/2019

Sale Price  : $343,000

Property Tax : $3,941.08

Lot Acres : 0.14

Living Area : 2,230

APN : 216-40-6900

Customer Name : Jeremiah Stiffler Customer Company Name : First American Prepared On : 10/13/2022

© 2022 CoreLogic. All rights reserved

9018 W GRAYLING DR

Owner Name : Reyes Patricia E

Sale Date : 04/12/2018

Total Value : $255,205

Bed / Bath : / 3

Land Use : Sfr

Stories : 2

Yr Blt / Eff Yr Blt : 2017 /

Distance 0.03 Miles

Subdivision : Saguaro Spgs

Recording Date : 04/13/2018

Sale Price  : $302,941

Property Tax : $4,040.13

Lot Acres : 0.14

Living Area : 2,574

APN : 216-40-5620

9860 N HAVENWOOD WAY Distance 0.03 Miles

Owner Name : Hestand Paul

Sale Date : 06/06/2017

Total Value : $313,594

Bed / Bath : / 4

Land Use : Sfr

Stories : 2

Subdivision : Saguaro Spgs

Recording Date : 06/12/2017

Sale Price  : $349,973

Property Tax : $5,410.31

Lot Acres : 0.17

Living Area : 3,185

Yr Blt / Eff Yr Blt : 2017 / APN : 216-40-5190

9033 W BIRCHOVER DR Distance 0.03 Miles

Owner Name : Encinas Gilbert

Sale Date : 09/26/2017

Total Value : $256,744

Bed / Bath : / 3

Land Use : Sfr

Subdivision : Saguaro Spgs

Recording Date : 10/03/2017

Sale Price  : $256,531

Property Tax : $4,205.01

Lot Acres : 0.14

Stories : 2 Living Area : 2,596

Yr Blt / Eff Yr Blt : 2017 /

APN : 216-40-5460

9872 N HAVENWOOD WAY Distance 0.04 Miles

Owner Name : Smith Daniel M

Sale Date : 06/07/2017

Total Value : $296,625

Bed / Bath : / 3

Land Use : Sfr

Stories : 1

Yr Blt / Eff Yr Blt : 2017 /

Subdivision : Saguaro Spgs

Recording Date : 06/14/2017

Sale Price  : $332,649

Property Tax : $4,987.99

Lot Acres : 0.17

Living Area : 2,534

APN : 216-40-5200

Customer Name : Jeremiah Stiffler Customer Company Name : First American Prepared On : 10/13/2022

© 2022 CoreLogic. All rights reserved

9026 W GRAYLING DR

Owner Name : Timmermann Karl E

Sale Date : 09/24/2017

Total Value : $204,361

Bed / Bath : / 2

Land Use : Sfr

Stories : 1

Yr Blt / Eff Yr Blt : 2017 /

Distance 0.04 Miles

Subdivision : Saguaro Spgs

Recording Date : 09/29/2017

Sale Price  : $236,441

Property Tax : $3,275.97

Lot Acres : 0.14

Living Area : 1,566

APN : 216-40-5610

9884 N HAVENWOOD WAY Distance 0.05 Miles

Owner Name : De La Cruz Cristian

Sale Date : 06/01/2021

Total Value : $296,625

Subdivision : Saguaro Spgs

Recording Date : 06/16/2021

Sale Price  : $430,000

Bed / Bath : / 3 Property Tax : $5,470.80

Land Use : Sfr

Stories : 1

Yr Blt / Eff Yr Blt : 2017 /

Lot Acres : 0.17

Living Area : 2,534

APN : 216-40-5210

Customer Name : Jeremiah Stiffler Customer Company Name : First American Prepared On : 10/13/2022

© 2022 CoreLogic. All rights reserved
No demographics data for selected property. Customer Name : Jeremiah Stiffler Customer Company Name : First American Prepared On : 10/13/2022 © 2022 CoreLogic. All rights reserved

SEARCH PARAMETERS

PARCEL:  216-40-6910

216-40-6910

INSTRUMENT REC DATE

AFFIDAVIT    2017 2700271 09/27/2017  SITUS: 9009 W BIRCHOVER DR MAR

OWNER: GUILLEN OLGA D & JAVIER

MAIL: 9009 W BIRCHOVER DR  MARANA AZ 85653

PLAT: LOT 00492 BLOCK

LEGAL: SAGUARO BLOOM BLOCK 4 LOT 492 SQ20151910194 EXC MINERAL RIGHTS BELOW 30-FT

CURRENT TAXES INFORMATION THROUGH 07/28/2022

LAND IMPR EXEMPT RATE AREA SPECIAL DISTRICTS

PRIMARY  23,986

SECONDARY  50  25,252

8.7588  0666

9.2610

2022 TOTAL TAX BILLED 3,911.28

2022  TAX AMT TAX DUE

FIRST HALF  1,955.64  1,955.64

SECOND HALF  1,955.64  1,955.64

DATE PAID TOTAL DUE

1,955.64

1,955.64

TOTAL CURRENT TAXES DUE 10/22 3,911.28 11/22 3,937.36 (ESTIMATED)

IMPROVEMENTS

BLDG SQFT

SALES

+ FIRST AMERICAN TITLE, FC0, JSTI PIMA, AZ 10/13/2022  04:19PM  R9C8  INVESTIGATIVE SEARCH RESULTS PAGE 1 OF 1
PARCEL:
0  0
0
INTEREST
0.00
0.00
2,230 FULL CASH VALUE  253,022 YEAR BUILT  2017 LAND USE  01 31 NUMBER OF STORIES  1.0 LOT SIZE  1 STDLT STORIES HEIGHT  0 SCHOOL DISTRICT  0666 EXTERIOR WALLS  FRAME WOOD LAND FULL CASH VALUE  502 GRADE MATERIALS IMPR FULL CASH VALUE  252,520
SALE DATE SALE AMOUNT INSTRUMENT TYPE SELLER NAME VALIDITY 09/27/2017 268,146    2017 2700271 SW D R HORTON INC ADDITIONAL PROPERTY INFORMATION STANDARD LAND USE: SFR END SEARCH
PIMA, AZ Document:DED SWR 2017.270.0271 Page:1 of 5 Printed on:10/13/2022 4:21 PM Branch :FC0 User :JSTI
PIMA, AZ Document:DED SWR 2017.270.0271 Page:2 of 5 Printed on:10/13/2022 4:21 PM Branch :FC0 User :JSTI
PIMA, AZ Document:DED SWR 2017.270.0271 Page:3 of 5 Printed on:10/13/2022 4:21 PM Branch :FC0 User :JSTI
PIMA, AZ Document:DED SWR 2017.270.0271 Page:4 of 5 Printed on:10/13/2022 4:21 PM Branch :FC0 User :JSTI
PIMA, AZ Document:DED SWR 2017.270.0271 Page:5 of 5 Printed on:10/13/2022 4:21 PM Branch :FC0 User :JSTI
PIMA, AZ Document:DOT 2017.270.0272 Page:1 of 21 Printed on:10/13/2022 4:21 PM Branch :FC0 User :JSTI
PIMA, AZ Document:DOT 2017.270.0272 Page:2 of 21 Printed on:10/13/2022 4:21 PM Branch :FC0 User :JSTI
PIMA, AZ Document:DOT 2017.270.0272 Page:3 of 21 Printed on:10/13/2022 4:21 PM Branch :FC0 User :JSTI
PIMA, AZ Document:DOT 2017.270.0272 Page:4 of 21 Printed on:10/13/2022 4:21 PM Branch :FC0 User :JSTI
PIMA, AZ Document:DOT 2017.270.0272 Page:5 of 21 Printed on:10/13/2022 4:21 PM Branch :FC0 User :JSTI
PIMA, AZ Document:DOT 2017.270.0272 Page:6 of 21 Printed on:10/13/2022 4:21 PM Branch :FC0 User :JSTI
PIMA, AZ Document:DOT 2017.270.0272 Page:7 of 21 Printed on:10/13/2022 4:21 PM Branch :FC0 User :JSTI
PIMA, AZ Document:DOT 2017.270.0272 Page:8 of 21 Printed on:10/13/2022 4:21 PM Branch :FC0 User :JSTI
PIMA, AZ Document:DOT 2017.270.0272 Page:9 of 21 Printed on:10/13/2022 4:21 PM Branch :FC0 User :JSTI
PIMA, AZ Document:DOT 2017.270.0272 Page:10 of 21 Printed on:10/13/2022 4:21 PM Branch :FC0 User :JSTI
PIMA, AZ Document:DOT 2017.270.0272 Page:11 of 21 Printed on:10/13/2022 4:21 PM Branch :FC0 User :JSTI
PIMA, AZ Document:DOT 2017.270.0272 Page:12 of 21 Printed on:10/13/2022 4:21 PM Branch :FC0 User :JSTI
PIMA, AZ Document:DOT 2017.270.0272 Page:13 of 21 Printed on:10/13/2022 4:21 PM Branch :FC0 User :JSTI
PIMA, AZ Document:DOT 2017.270.0272 Page:14 of 21 Printed on:10/13/2022 4:21 PM Branch :FC0 User :JSTI
PIMA, AZ Document:DOT 2017.270.0272 Page:15 of 21 Printed on:10/13/2022 4:21 PM Branch :FC0 User :JSTI
PIMA, AZ Document:DOT 2017.270.0272 Page:16 of 21 Printed on:10/13/2022 4:21 PM Branch :FC0 User :JSTI
PIMA, AZ Document:DOT 2017.270.0272 Page:17 of 21 Printed on:10/13/2022 4:21 PM Branch :FC0 User :JSTI
PIMA, AZ Document:DOT 2017.270.0272 Page:18 of 21 Printed on:10/13/2022 4:21 PM Branch :FC0 User :JSTI
PIMA, AZ Document:DOT 2017.270.0272 Page:19 of 21 Printed on:10/13/2022 4:21 PM Branch :FC0 User :JSTI
PIMA, AZ Document:DOT 2017.270.0272 Page:20 of 21 Printed on:10/13/2022 4:21 PM Branch :FC0 User :JSTI
PIMA, AZ Document:DOT 2017.270.0272 Page:21 of 21 Printed on:10/13/2022 4:21 PM Branch :FC0 User :JSTI
PIMA, AZ Document:UCC 2018.99.0540 Page:1 of 1 Printed on:10/13/2022 4:21 PM Branch :FC0 User :JSTI

Turn static files into dynamic content formats.

Create a flipbook
Issuu converts static files into: digital portfolios, online yearbooks, online catalogs, digital photo albums and more. Sign up and create your flipbook.