7952 E Colette Cir 166

Page 1

7952EastColetteCircle#166 Tucson,AZ85710

WIRE FRAUD ADVISORY

Criminals are targeting social media and email to steal information. This is particularly common in real estate transactions because sensitive data, including social security numbers, bank account numbers, and wire instructions are often sent by electronic means. We do not want you to be the next victim of wire fraud. Money wired to a fraudulent account is stolen money that typically cannot be recovered. Additionally, there is generally no insurance for this loss. You may never get the money back.

PROTECT

YOURSELF

DO NOT TRUST EMAILS CONTAINING WIRE INSTRUCTIONS

• If you receive an email containing wire transfer instructions, immediately call your escrow officer to ensure the validity of the instructions.

DO NOT TRUST EMAILS SEEKING PERSONAL/FINANCIAL INFORMATION

• If you receive an email requesting personal/financial information or asking you to download, click on a link, send, and/or do anything that may seem unusual to you, call your escrow officer immediately prior to acting on the suspicious email to verify the validity of the email.

TRUST YOUR SOURCE OF INFORMATION

• Never direct, accept or allow anyone in the transaction to consent to receiving transfer instructions without a direct personal telephone call to the individual allegedly providing the instructions.

• It is imperative that this call be made to a number obtained in person from the individual or through other reliable means, not from a number provided in the email or the wiring instructions

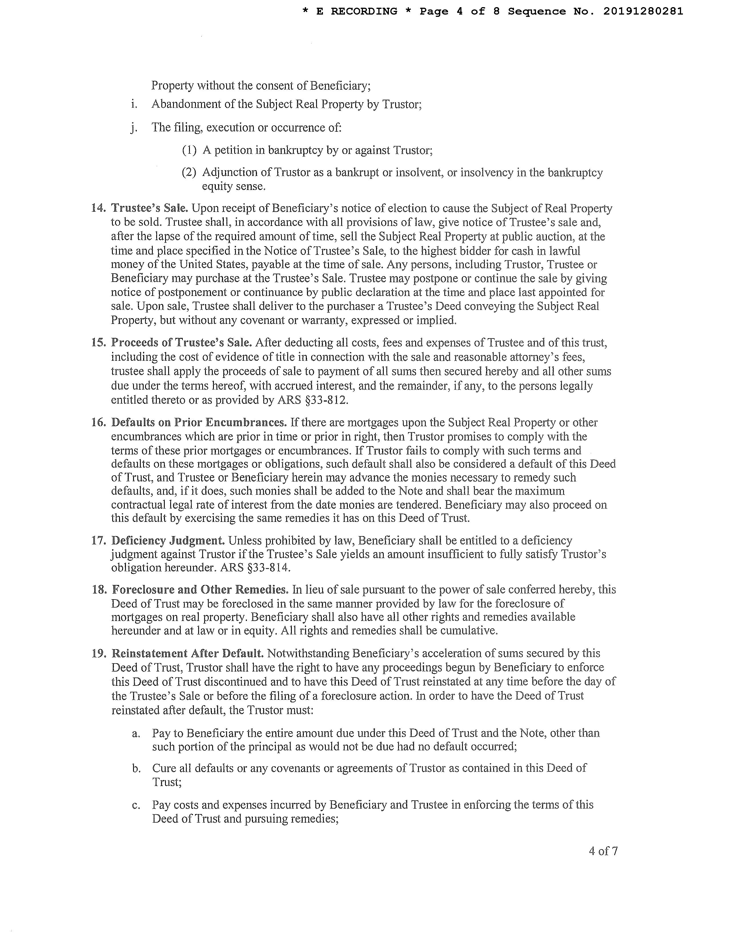
ONLINE RESOURCES:

There are many online sources that can provide useful information regarding similar topics including, but not limited to, the following sites:

The Federal Bureau of Investigation @ https://www.fbi.gov/scams and safety

The Internet Crime Complaint Center @ www.ic3.gov

The National White Collar Crime Center @ http://www.nw3c.org/research

On Guard Online @ www.onguardonline.gov

VERIFY AND NOTIFY

Before you wire funds to any party (including your lawyer, title agent, mortgage broker, or real estate agent) personally meet them or call a verified telephone number (not the telephone number in the email) to confirm before you act!

Immediately notify your banking institution and Settlement/Title Company if you are a victim of wire fraud.

The undersigned acknowledges receipt of this Wire Fraud Advisory.

Client Date Client Date

LIMITATION OF LIABILITY FOR INFORMATIONAL REPORTS

IMPORTANT -- PLEASE READ CAREFULLY:

This report is not an insured product or service or a representation of the condition of title to real property. It is not an abst ract, legal opinion, opinion of title, title insurance commitment or preliminary report, or any form of Title Insurance or Guaranty. This report is issued exclusively for the benefit of the Applicant therefor and may not be used or relied upon by any other person. This report may not be reproduced in any manner without First American or Title Security's prior written consent. First American or Title Security does not represent or warrant that the information herein is complete or free from error, and the information herein is provided without any warranties of any kind, as-is, and with all faults. As a material part of the consideration given in exchange for the issuance of this report, recipient agrees that First American or Title Security's sole liability for any loss or damage caused by an error or omission due to inaccurate information or negligence in preparing this report shall be limited to the fee charged for the report. Recipient accepts this report with this limitation and agrees that First American or Title Security would not have issued this report but for the limitation of liability described above. First American or Title Security makes no representation or warranty as to the legality or propriety of recipient's use of the information herein.

Data Provided By:

Subject Property 7952 E Colette Cir # 166 Tucson AZ 85710 APN: 133-24-3080
First American Title Ins Co © 2022 CoreLogic. All rights reserved

Disclaimer

This REiSource report is provided "as is" without warranty of any kind, either express or implied, including without limitations any warrantees of merchantability or fitness for a particular purpose. There is no representation of warranty that this information is complete or free from error, and the provider does not assume, and expressly disclaims, any liability to any person or entity for loss or damage caused by errors or omissions in this REiSource report without a title insurance policy.

The information contained in the REiSource report is delivered from your Title Company, who reminds you that you have the right as a consumer to compare fees and serviced levels for Title, Escrow, and all other services associated with property ownership, and to select providers accordingly. Your home is the largest investment you will make in your lifetime and you should demand the very best.

© 2022 CoreLogic. All rights reserved

Subject Property :   7952 E Colette Cir # 166 Tucson AZ 85710

Owner Information

Owner Name : Dowdle Damien Mailing Address : 7952 E Colette Cir #166, Tucson AZ 85710-2400 C023

Owner Occupied Indicator : O

Location Information

Legal Description : Summertree Condominiums Unit 166

County : Pima, Az

Census Tract / Block : 40.71 / 1

Township-Range- Sect : 14S-15E-9

Legal Book/Page : 36-75

Legal Lot : 166

Market Area : 91

Last Market Sale Information

APN : 133-24-3080

Subdivision : Summertree Condo

Map Reference : 09-14S-15E

School District : Tucson Unified

Munic/Township : Tucson Unified

Recording/Sale Date : 05/08/2019 / 04/29/2019 1st Mtg Document # : 1280281

Sale Price : $118,000

Document # : 1280279

1st Mtg Term : 5

Price Per SqFt : $103.06

Deed Type : Warranty Deed 2nd Mtg Amount/Type : $110,500 / Conv

1st Mtg Amount/Type : $11,800 / Cnv

Title Company : Stewart Title & Tr/tucson

Seller Name : Hernandez Kathleen M

Prior Sale Information

Prior Rec/Sale Date : 03/18/2016 / 03/14/2016

Prior Sale Price : $92,000

Prior Doc Number : 780877

Property Characteristics

Gross Area : 1,145

Prior Deed Type : Warranty Deed

Prior Lender : Franklin American Mtg Co

Prior 1st Mtg Amt/Type : $73,600 / Conv

Parking Type : None

Patio Type : Covered Patio

Living Area : 1,145 Roof Material : Built-up Air Cond : Refrigeration

Total Rooms : 4 Heat Type : Forced Air Quality : Fair

Year Built / Eff : 1984

# of Stories : 1

Cooling Type : Forced Air Condition : Average

Exterior wall : Frame Wood Bath Fixtures : 6

Customer Name : Lisa Mrazek

Customer Company Name : First American Title Insurance Company Prepared On : 10/24/2022

© 2022 CoreLogic. All rights reserved

Property Information

Land Use : Condominium Zoning : R-3

County Use : Condominiumstownhouse Lot Acres : 0.02

Tax Information

Total Value : $92,291

Total Taxable Value : $8,343

Property Tax : $1,213.06

Tax Rate Area : 0150

Assessed Year : 2021 Market Value : $92,291

Tax Year : 2021 Current Assessed Year : 2023

Lot Size : 676

State Use : Condominiumstownhouse

Current Year Total Value : $12,251

Current Year Improvement Value :

$12,201

Current Year Land Value : $50

Customer Name : Lisa Mrazek

Customer Company Name : First American Title Insurance Company

Prepared On : 10/24/2022

© 2022 CoreLogic. All rights reserved

Sales Analysis

Subject Property Low High Average

Criteria
Sale Price $118,000 $170,000 $285,000 $216,525 Bldg/Living Area 1145 995 1307 1146 Price Per Square Foot $103.06 $157 $218 $188.40 Year Built 1984 1979 1986 1983 Lot Size 676 478 3,500 1,833 Bedrooms Bathrooms 2 2 2 2 Stories 1 1 1 1 Total Assessed Value $92,291 $81,981 $131,968 $107,015 Distance From Subject 0 0.01 0.22 0.12 Customer Name : Lisa Mrazek Customer Company Name : First American Title Insurance Company Prepared On : 10/24/2022 © 2022 CoreLogic. All rights reserved
Map Customer Name : Lisa Mrazek Customer Company Name : First American Title Insurance Company Prepared On : 10/24/2022 © 2022 CoreLogic. All rights reserved

Details of Comparables

Subject Property: 7952 E Colette Cir # 166 Tucson Az 85710

Owner Name: Dowdle Damien / APN / Alternate APN: 133-24-3080 / Deed Type: Warranty Deed

Land Use: Condominium Subdivision / Tract: Summertree Condo / Lot Size: 676

Year Built / Eff: 1984 / Rec. Date / Price: 05/08/2019 / $118,000 Living Area: 1,145

# of units: Document #: 1280279

Bedrooms: Pool: Total Tax Value: $92,291 Bath(F/H): /

#1   7952 E Colette Cir # 167 Tucson Az 85710

Owner Name: Rockov Robert A / APN / Alternate APN: 133-24-3090 / Deed Type: Warranty Deed

Land Use: Condominium Subdivision / Tract: Summertree Condo / Lot Size: 710 Year Built / Eff: 1984 / Rec. Date / Price: 04/08/2022 / $182,000 Living Area: 995

# of units: Document #: 980310

Bedrooms: Pool: Total Tax Value: $81,981 Bath(F/H): /

#2   7956 E Colette Cir # 183 Tucson Az 85710

Owner Name: Humphrey Michelle /Benhuri Michael APN / Alternate APN: 133-24-3250 / Deed Type: Warranty Deed

Land Use: Condominium Subdivision / Tract: Summertree Condo / Lot Size: 496 Year Built / Eff: 1984 / Rec. Date / Price: 11/08/2021 / $181,500 Living Area: 1,113

# of units:

Bedrooms: Pool: Total Tax Value: $90,028 Bath(F/H): /

Document #: 3120943

#3   7917 E Colette Cir # 62 Tucson Az 85710

Owner Name: Montgomery Jacoba M / APN / Alternate APN: 133-24-2040 / Deed Type: Warranty Deed Land Use: Condominium Subdivision / Tract: Summertree Condo / Lot Size: 678 Year Built / Eff: 1984 / Rec. Date / Price: 07/11/2022 / $212,000 Living Area: 1,145

# of units: Document #: 1920687

Bedrooms: Pool: Total Tax Value: $92,291 Bath(F/H): /

#4   7917 E Colette Cir # 58 Tucson Az 85710

Owner Name: Stormes Roseanna M /Benoit Carrie A APN / Alternate APN: 133-24-2000 / Deed Type: Warranty Deed

Land Use: Condominium Subdivision / Tract: Summertree Condo / Lot Size: 488

Year Built / Eff: 1984 / Rec. Date / Price: 05/17/2022 / $217,500 Living Area: 1,145

# of units: Document #: 1370551

Bedrooms: Pool:

Total Tax Value: $92,291 Bath(F/H): /

Customer Name : Lisa Mrazek

Customer Company Name : First American Title Insurance Company Prepared On : 10/24/2022

© 2022 CoreLogic. All rights reserved

#5   7957 E Colette Cir # 192 Tucson Az 85710

Owner Name: Vaughn Gail R & Daniel J /Vaughn Gail R & Daniel J APN / Alternate APN: 133-24-3340 / Deed Type: Warranty Deed

Land Use: Condominium Subdivision / Tract: Summertree Condo / Lot Size: 639

Year Built / Eff: 1984 / Rec. Date / Price: 06/24/2022 / $192,000 Living Area: 1,145

Document #: 1750611

# of units:

Bedrooms: Pool:

Total Tax Value: $92,291 Bath(F/H): /

#6   7937 E Colette Cir # 115 Tucson Az 85710

Owner Name: Frank Bernice H Living Trust / APN / Alternate APN: 133-24-2570 / Deed Type: Warranty Deed Land Use: Condominium Subdivision / Tract: Summertree Condo / Lot Size: 647 Year Built / Eff: 1985 / Rec. Date / Price: 11/30/2021 / $170,000 Living Area: 995

# of units: Document #: 3340735

Bedrooms: Pool:

Total Tax Value: $82,336 Bath(F/H): /

#7   7909 E Colette Cir # 27 Tucson Az 85710

Owner Name: Russell Suzette / APN / Alternate APN: 133-24-1690 / Deed Type: Warranty Deed

Land Use: Condominium Subdivision / Tract: Summertree Condo / Lot Size: 701 Year Built / Eff: 1984 / Rec. Date / Price: 08/04/2022 / $223,000 Living Area: 1,113

# of units:

Bedrooms: Pool: Total Tax Value: $90,028 Bath(F/H): /

Document #: 2160255

#8   7964 E Colette Cir # 208 Tucson Az 85710

Owner Name: Martinez Annette M / APN / Alternate APN: 133-24-3500 / Deed Type: Warranty Deed

Land Use: Condominium Subdivision / Tract: Summertree Condo / Lot Size: 478 Year Built / Eff: 1984 / Rec. Date / Price: 03/03/2022 / $180,000 Living Area: 1,145 # of units:

Document #: 620746

Bedrooms: Pool: Total Tax Value: $89,411 Bath(F/H): /

#9   7932 E Colette Cir # 99 Tucson Az 85710

Owner Name: Lexington-paris Trust / APN / Alternate APN: 133-24-2410 / Deed Type: Warranty Deed

Land Use: Condominium Subdivision / Tract: Summertree Condo / Lot Size: 636 Year Built / Eff: 1986 / Rec. Date / Price: 03/11/2022 / $205,000 Living Area: 995 # of units:

Document #: 700370

Bedrooms: Pool: Total Tax Value: $82,696 Bath(F/H): /

#10   7904 E Colette Cir # 11 Tucson Az 85710

Owner Name: Carlton Gary C /Carlton Maggie M APN / Alternate APN: 133-24-1530 / Deed Type: Warranty Deed Land Use: Condominium Subdivision / Tract: Summertree Condo / Lot Size: 674 Year Built / Eff: 1984 / Rec. Date / Price: 04/12/2022 / $170,000 Living Area: 995

Document #: 1020121

Total Tax Value: $81,981

# of units:

Bedrooms: Pool:

Bath(F/H): /

Customer Name : Lisa Mrazek

Customer Company Name : First American Title Insurance Company Prepared On : 10/24/2022

© 2022 CoreLogic. All rights reserved

#11   728 N Hayden Dr Tucson Az 85710

Owner Name: Perez Brianna R /Hill Kevin APN / Alternate APN: 133-24-1130 / Deed Type: Warranty Deed

Land Use: Condominium Subdivision / Tract: Belcorte Twnhms / Lot Size: 3,449

Year Built / Eff: 1983 / Rec. Date / Price: 04/19/2022 / $285,000 Living Area: 1,307

# of units: Document #: 1090701

Bedrooms: Pool: Total Tax Value: $131,555 Bath(F/H): /

#12   716 N Hayden Dr Tucson Az 85710

Owner Name: Mountain State Properties Llc / APN / Alternate APN: 133-24-1160 / Deed Type: Warranty Deed Land Use: Condominium Subdivision / Tract: Belcorte Twnhms / Lot Size: 3,315

Year Built / Eff: 1983 / Rec. Date / Price: 11/30/2021 / $213,500 Living Area: 1,115

# of units: Document #: 3340053

Bedrooms: Pool: Total Tax Value: $117,456 Bath(F/H): /

#13   7860 E Colette St Tucson Az 85710

Owner Name: Persaud Jaimini N / APN / Alternate APN: 133-40-4370 / Deed Type: Warranty Deed

Land Use: Condominium Subdivision / Tract: Casa Real Amd Twnhs / Lot Size: 2,816

Year Built / Eff: 1980 / Rec. Date / Price: 08/03/2022 / $255,000 Living Area: 1,209

# of units: Document #: 2150177

Bedrooms: Pool: Total Tax Value: $125,022 Bath(F/H): /

#14   7863 E 3rd St Tucson Az 85710

Owner Name: Johnson Danielle / APN / Alternate APN: 133-40-3840 / Deed Type: Warranty Deed

Land Use: Condominium Subdivision / Tract: Casa Real Amd Twnhs / Lot Size: 2,876 Year Built / Eff: 1980 / Rec. Date / Price: 11/05/2021 / $220,000 Living Area: 1,209

# of units: Document #: 3090922

Bedrooms: Pool: Total Tax Value: $125,158 Bath(F/H): /

#15   7862 E Rosewood St Tucson Az 85710

Owner Name: Gootz Terry A / APN / Alternate APN: 133-40-3820 / Deed Type: Warranty Deed

Land Use: Condominium Subdivision / Tract: Casa Real Amd Twnhs / Lot Size: 2,938 Year Built / Eff: 1980 / Rec. Date / Price: 01/31/2022 / $239,000 Living Area: 1,209

# of units: Document #: 310803

Bedrooms: Pool: Total Tax Value: $125,200 Bath(F/H): /

Customer Name : Lisa Mrazek

Customer Company Name : First American Title Insurance Company

Prepared On : 10/24/2022

© 2022 CoreLogic. All rights reserved

#16   7837 E Colette St Tucson Az 85710

Owner Name: Tobev John / APN / Alternate APN: 133-40-4240 / Deed Type: Warranty Deed Land Use: Condominium Subdivision / Tract: Casa Real Amd Twnhs / Lot Size: 2,887

Year Built / Eff: 1980 / Rec. Date / Price: 01/27/2022 / $231,000 Living Area: 1,209

# of units: Document #: 270296

Bedrooms: Pool: Total Tax Value: $128,962 Bath(F/H): /

#17   7850 E Hawthorne St Tucson Az 85710

Owner Name: Burley Anthony / APN / Alternate APN: 133-40-3380 / Deed Type: Warranty Deed Land Use: Condominium Subdivision / Tract: Casa Real Amd Twnhs / Lot Size: 2,655

Year Built / Eff: 1979 / Rec. Date / Price: 07/20/2022 / $259,000 Living Area: 1,209

# of units: Document #: 2010209

Bedrooms: Pool: Total Tax Value: $127,600 Bath(F/H): /

#18   910 N Capron Pl Tucson Az 85710

Owner Name: Barton Breanna /Barton Joseph B APN / Alternate APN: 133-40-2920 / Deed Type: Warranty Deed Land Use: Condominium Subdivision / Tract: Casa Real Amd Twnhs / Lot Size: 2,773

Year Built / Eff: 1979 / Rec. Date / Price: 02/28/2022 / $230,000 Living Area: 1,209

# of units: Document #: 591118

Bedrooms: Pool: Total Tax Value: $124,287 Bath(F/H): /

#19   630 N Hayden Dr Tucson Az 85710

Owner Name: Nigro Michael / APN / Alternate APN: 133-24-1360 / Deed Type: Warranty Deed Land Use: Condominium Subdivision / Tract: Belcorte Twnhms / Lot Size: 3,303

Year Built / Eff: 1983 / Rec. Date / Price: 01/28/2022 / $235,000 Living Area: 1,250

# of units: Document #: 280811

Bedrooms: Pool: Total Tax Value: $127,766 Bath(F/H): /

#20   7827 E 4th St Tucson Az 85710

Owner Name: Bross Judith C /Bross David H APN / Alternate APN: 133-40-4460 / Deed Type: Warranty Deed Land Use: Condominium Subdivision / Tract: Casa Real Amd Twnhs / Lot Size: 3,500

Year Built / Eff: 1982 / Rec. Date / Price: 11/23/2021 / $230,000 Living Area: 1,209

Document #: 3270284

# of units:

Bedrooms: Pool:

Total Tax Value: $131,968 Bath(F/H): /

Customer Name : Lisa Mrazek

Customer Company Name : First American Title Insurance Company Prepared On : 10/24/2022

© 2022 CoreLogic. All rights reserved
Subject Property :   7952 E Colette Cir # 166 Tucson AZ 85710 Customer Name : Lisa Mrazek Customer Company Name : First American Title Insurance Company Prepared On : 10/24/2022 © 2022 CoreLogic. All rights reserved

Company

:

American Title

Company

10/24/2022

Customer Name : Lisa Mrazek Customer
Name
First
Insurance
Prepared On :
© 2022 CoreLogic. All rights reserved

Arizona Schools

For detailed information and statistics on Arizona schools please go to

https://azreportcards.azed.gov/ First American Title Insurance Company, and the operating divisions thereof, make no express or implied warranty respecting the information presented and assume no responsibility for errors or omissions. First American, the eagle logo, First American Title, and firstam.com are registered trademarks or trademarks of First American Financial Corporation and/or its affiliates. ©2021 First American Financial Corporation and/or its affiliates. All rights reserved. NYSE: FAF 05117910421

WSilverbellRd

terman Moun

VERDE

TUCSON

efButteRd

EDesertDove

SGuildRd

GasLineRd

SOwlHead

NFrontageRd

NKINNEYRD

SSanJoaquinRd

NSILVERBELLRD

SKINNEYRD

SMISSIONRD

SSantaRitaRd

Road424

SHelvetiaRd

520.625.3502

E. Ginter Road, Tucson, AZ 85706 520.545.2000

N. Tanque Verde Loop, Tucson, AZ 85749 520.749.5751

E. 10th Street, Tucson, AZ 85717 520.225.6000

E. Mary Ann Cleveland Way, Tucson, AZ 85747 520.879.2000

05249570321 TUCSON INT'L AIRPORT Air Force
N M t L emmon Hwy ESascoRd NF 38 W Avra Valley Rd E Grand Va ey DrNAguirre R d N L u c k e R d N W e n t z R d N Wa
ta i n R d N Anway Rd W El Tiro Rd N Trico Rd W Tucker Rd W Rudas l Rd W Manvi e Rd
WBopp Rd W Snyder H l Rd S M a r s e a r R d W Park Rd W Hermans RdW Hermans Rd W Guy St W Bush Rd S G a v e y R d N C a e R i n c o n a d o S W m o R d S Shaw Rd S Sierrita Mountain Rd S K o b R d W TwinButtes Rd W Mcgee Ranch Rd S E s t a n c a D r
E Hemlock Dr N Bea r C a n y o n R d W E Camino Del Cerro E Fairmount St S Swan Rd
W Emigh Rd W Fort Lowe Rd N P u m p S t a t ion dR E Nona Rd Ch
Lo al Ave N Trico Rd S Cattle Tank Rd Evalyn Rd
R a n c h Rd
S P ec a n R d N T r c o R d W Bayard Rd S S a n d a r o R d W i l l owSpri n gsRd N Dove Mountain Blvd
WAnamax Mine Rd W G a c i a R a n hc R d
WRagged Top Rd W Ruby Star Dr WBritten RanchRd W Pima Mine Rd S Mcgee Ranch R d E Edw n Rd
8 0
S PICACHO HWY E BAUMGARTNER RD N S A N D A R I O R D N ANWAY RD W VALENCIA RD W MOORE RD W INA RD N 1 S T A V E E SUNRISE DR E SNYDER RD
N S O L D I E R T R L E RIVER RDE PRINCE RD E SPEEDWAY BLVD S FREEMAN RD E 22ND ST E 22ND ST W IRVINGTON RD S N O G A L E S H W Y W VALENCIA RD
W SPEEDWAY BLVD S O L D S P A N I S H T RL W NARANJA DR W TWIN PEAKS RD W PICTURE ROCKS RD W MANVILLE RD
W MILE WIDE RD E SAHUARITA RD N TRICO RD S S A N D A R O R D PARK LINK DR S OLD N O G ALES HW Y S H O U G H T O N R D S L A C A N A D A DRW HELMET PEAK RD WAJOHWY N S W A N R D S KOLB RD S HOUGHTON RD W TANGERINE RD E GRANT RD S H O U G H T O N R D 9 5 WAJOHWY E VALENCIA RD NORACLE R D I10 I-19 77 77 77 86 86 286 10 19 10 10 Corona de Tucson Casas Adobes Catalina Green Valley Oracle Picture Rocks Three Points VailSummit Tanque Verde Tucson Sahuarita Red Rock Saddlebrooke Marana Oro Valley Rillito Summerhaven Willow Canyon Oracle Junction Cortaro Continental Littletown 20 30 13 15 51 39 12 01 01 08 10 16 11 06 PIMA COUNTY School District Information This map is provided for general location only. Please contact school districts for actual street boundaries SCHOOL DISTRICTS 15 AJO UNIFIED 111 N. Well Road, Ajo, AZ 85321 520.387.5618 51 ALTAR VALLEY ELEMENTARY 10105 S. Sasabe Road, Tucson, AZ 85736 520.822.1484 10 AMPHITHEATER UNIFIED 701 W. Wetmore, Tucson, AZ 85705 520.696.5000 16 CATALINA FOOTHILS UNIFIED 2101 E. River Road, Tucson, AZ 85718 520.209.7500 39 CONTINENTAL ELEMENTARY 1991 E. Whitehouse Canyon, Green Valley, AZ 85614 520.625.4581 08 FLOWING WELLS UNIFIED 1556 W. Prince Road, Tucson, AZ 85705 520.696.8800 06 MARANA UNIFIED 11279 W. Grier Road, Marana, AZ 85653 520.682.3243 11 PIMA COUNTY JTED 2855 W. Master Pieces Dr, Tucson, AZ 85741 520.352.5833 30 SAHUARITA UNIFIED 350 W. Sahuarita Road, Sahuarita, AZ 85629
12 SUNNYSIDE UNIFIED 2238
13 TANQUE
UNIFIED 2300
01
UNIFIED 1010
20 VAIL UNIFIED 10701
First American Title Insurance Company, and the operating divisions thereof, make no express or implied warranty respecting the information presented and assume no responsibility for errors or omissions. First American, the eagle logo, First American Title, and firstam.com are registered trademarks or trademarks of First American Financial Corporation and/or its affiliates. ©2021 First American Financial Corporation and/or its affiliates. All rights reserved. NYSE: FAF

Public Schools :

Elementary Schools

Bloom Elementary Distance 0.88 Miles 8310 E Pima St Tucson AZ 85715

Telephone : (520) 731-3700

Lowest Grade : Pre-K

School District : Tucson Unified District (4403)

Highest Grade : 6th Kindergarten : Yes School Enrollment :

Enrollment : 364

Total Expenditure/Student : 200

Distance 1.35 Miles 502 N Caribe Ave Tucson AZ 85710

Hudlow Elementary School

Telephone : (520) 731-4800

Lowest Grade : Pre-K

School District : Tucson Unified District (4403)

Highest Grade : 5th Kindergarten : Yes School Enrollment :

Enrollment : 195

Total Expenditure/Student : 200

Distance 1.39 Miles 700 S Sarnoff Dr Tucson AZ 85710

Harold Steele Elementary School

Telephone : (520) 731-6800

School District : Tucson Unified District (4403)

Lowest Grade : Pre-K Highest Grade : 5th Kindergarten : Yes School Enrollment : Enrollment : 329

Total Expenditure/Student : 200

Customer Name : Lisa Mrazek

Customer Company Name : First American Title Insurance Company

Prepared On : 10/24/2022

© 2022 CoreLogic. All rights reserved

Anna Henry Elementary School

Distance 1.42 Miles 650 N Igo Way Tucson AZ 85710

Telephone : (520) 731-4700

School District : Tucson Unified District (4403)

Lowest Grade : Pre-K Highest Grade : 5th Kindergarten : Yes School Enrollment : Enrollment : 326

Middle Schools

Total Expenditure/Student : 200

Magee Middle School

Distance 0.51 Miles 8300 E Speedway Blvd Tucson AZ 85710

Telephone : (520) 731-5000

Lowest Grade : 6th

School District : Tucson Unified District (4403)

Highest Grade : 8th Kindergarten : No School Enrollment :

Enrollment : 521

Total Expenditure/Student : 200

Distance 1.93 Miles 7310 E 22nd St Tucson AZ 85710

Academy Of Tucson Middle School

Telephone : (520) 749-1413

School District : Academy Of Tucson Inc. (78897)

Lowest Grade : 5th Highest Grade : 8th Kindergarten : No School Enrollment : Enrollment : 249

Total Expenditure/Student :

Distance 2.06 Miles 350 S Harrison Rd Tucson AZ 85748

Gridley Middle School

Telephone : (520) 731-4600

School District : Tucson Unified District (4403)

Lowest Grade : 6th Highest Grade : 8th Kindergarten : No School Enrollment : Enrollment : 760

Total Expenditure/Student : 200

Customer Name : Lisa Mrazek Customer Company Name : First American Title Insurance Company Prepared On : 10/24/2022

© 2022 CoreLogic. All rights reserved

Ida Flood Dodge Traditional Middle Magnet School

Distance 2.82 Miles 5831 E Pima St Tucson AZ 85712

Telephone : (520) 731-4100

Lowest Grade : 6th

School District : Tucson Unified District (4403)

Highest Grade : 8th

Kindergarten : No School Enrollment : Enrollment : 424

Total Expenditure/Student : 200

High Schools

Sahuaro High School

Distance 0.87 Miles 545 N Camino Seco Tucson AZ 85710

Telephone : (520) 731-7100

School District : Tucson Unified District (4403)

Highest Grade : 12th School Enrollment : Enrollment : 1695

Lowest Grade : 8th

Total Expenditure/Student : 200 Advanced Placement : No

Pcjted - Sahuaro High School

Distance 0.87 Miles 545 N Camino Seco Tucson AZ 85710

Telephone : (520) 731-7100

School District : Pima County Jted (89380)

Lowest Grade : 9th Highest Grade : 12th School Enrollment : Enrollment : 0

Total Expenditure/Student :

Advanced Placement : No

Distance 0.92 Miles 8495 E Broadway Blvd Tucson AZ 85710

Eastpointe High School

Telephone : (520) 731-8180

School District : Eastpointe High School Inc. (78833)

Highest Grade : 12th School Enrollment : Enrollment : 625

Lowest Grade : 9th

Total Expenditure/Student :

Advanced Placement : No

Customer Name : Lisa Mrazek Customer Company Name : First American Title Insurance Company Prepared On : 10/24/2022 © 2022 CoreLogic. All rights reserved

Compass High School

Distance 1.8 Miles 8250 E 22nd St # 128 Tucson AZ 85710

Telephone : (520) 296-4070

School District : Compass High School Inc. (79467)

Lowest Grade : 9th Highest Grade : 12th School Enrollment : Enrollment : 361

Total Expenditure/Student : Advanced Placement : No

Customer Name : Lisa Mrazek

Customer Company Name : First American Title Insurance Company

On : 10/24/2022

Prepared
© 2022 CoreLogic. All rights reserved

Local Business

Attractions / Recreation

Name Address

Telephone Distance (Miles)

Kung Fu Reflexology Llc 7930 E Speedway Blvd # 13 Tucson Az (626) 371-5999 0.3

Two Suns Lightsaber Dueling Club Llc 445 N Pantano Rd Apt 137 Tucson Az (520) 609-4939 0.33

Aikido Shoubu Dojo Llc 7649 E Speedway Blvd Tucson Az (520) 490-6181 0.53

Southwest Old Time String Band Assn 7570 E Speedway Blvd # 54 Tucson Az (520) 296-5606 0.61

Banks / Financial

Name Address

Telephone Distance (Miles)

Sunwest Federal Credit Union 7901 E Speedway Blvd Tucson Az (520) 885-8701 0.32

Jpmorgan Chase Bank, National Association 7812 E Speedway Blvd Tucson Az (520) 722-7752 0.37

The Pyramid Federal Credit Union 7740 E Speedway Blvd Tucson Az (520) 721-5099 0.44

Allied Cash Holdings Llc 7865 E Broadway Blvd # 13 Tucson Az (520) 722-9479 0.71

Eating / Drinking

Name Address

Telephone Distance (Miles)

Coasters 7951 E Hawthorne St Tucson Az (520) 664-5773 0.13

Aung Sushi Llc 600 N Pantano Rd Apt 1303 Tucson Az (520) 272-3736 0.19

M2 Development Corp 7930 E Speedway Blvd Tucson Az (520) 290-9666 0.3 I Chief, L.l.c. 7910 E Speedway Blvd Tucson Az (520) 298-3002 0.3

Health Care Services

Name Address

Telephone Distance (Miles)

Sassan Momtazbakhsh Medical Se 8145 E Baker Dr Tucson Az (520) 885-8853 0.27

Jesus R Lopez Dds Pc 7979 E Speedway Blvd # 40 Tucson Az (520) 886-8090 0.31

Dr. Dane Hastings, P.c. 8110 E Speedway Blvd # 10 Tucson Az (520) 818-4413 0.33

Abby Alexandra Burrell 8208 E Balfour Dr Tucson Az (307) 286-4783 0.34

Customer Name :

Company

:

American Title

Mrazek

Company

: 10/24/2022

Lisa
Customer
Name
First
Insurance
Prepared On
© 2022 CoreLogic. All rights reserved

Hospitality

Name Address

Telephone Distance (Miles)

Champion Investment Corporation 7600 E Broadway Blvd Tucson Az (520) 721-5600 0.89

Tucson East, Llc 7600 E Broadway Blvd Tucson Az (520) 721-5600 0.89

Stormphoenix Accommodations Llc 4941 E Avnida Del Cazador Tucson Az (520) 990-4065 1.03

Kep Executive Suites, Llc 1610 N Kolb Rd Tucson Az (520) 345-5387 1.43

Organizations / Associations

Name Address

Telephone Distance (Miles)

Good Faith Foreclosure Help L. 8176 E Smooth Sumac Ln Tucson Az (520) 481-7464 0.28

New Age Studies Of Humani 8247 E Brent Pl Tucson Az (520) 885-7909 0.35

El Camino Baptist Church 7777 E Speedway Blvd Tucson Az (520) 886-7770 0.41

Tucson Bible Church 111 N Sarnoff Dr Tucson Az (520) 721-4641 0.68

Personal Services

Name Address

Telephone Distance (Miles)

Move It And Lose It 250 N Pantano Rd Ste 100 Tucson Az (520) 250-2081 0.49

The Protocol 8474 E Speedway Blvd Tucson Az (520) 990-7132 0.64

Performance Fitness Llc 7943 E Mason St Tucson Az (520) 245-8740 0.87

Zma Enterprises, Inc. 7543 E Broadway Blvd Tucson Az (520) 829-7969 0.9

Shopping

Name Address

Telephone Distance (Miles)

Water Street Station Inc 1001 N Pantano Rd Tucson Az (520) 721-8302 0.25

Thomas Birt 8005 E Speedway Blvd Tucson Az (520) 721-8600 0.31

Frys Food Store 34 7850 E Speedway Blvd Tucson Az (520) 885-9416 0.35

Smith's Food & Drug Centers, Inc. 7812 E Speedway Blvd Tucson Az (520) 885-3547 0.37

Company

Name :

:

Mrazek

American Title Insurance Company

On : 10/24/2022

Customer
Lisa
Customer
Name
First
Prepared
© 2022 CoreLogic. All rights reserved

7948 E COLETTE CIR # 146

Owner Name : Zubel Kathleen

Sale Date : 11/05/2020

Total Value : $90,418

Bed / Bath : / 2

Land Use : Condominium

Stories : 1

Yr Blt / Eff Yr Blt : 1985 /

7949 E COLETTE CIR # 158

Owner Name : Cartwright Rita H

Sale Date : 11/00/1984

Total Value : $79,215

Bed / Bath : / 1

Distance 0.03 Miles

Subdivision : Summertree Condo

Recording Date : 11/06/2020

Sale Price  : $127,500

Property Tax : $1,185.24

Lot Acres : 0.01

Living Area : 1,113

APN : 133-24-2880

Distance 0.03 Miles

Subdivision : Summertree Condo

Sale Price  : $56,470

Property Tax : $1,018.67

Lot Acres : 0.01

Land Use : Condominium Living Area : 955

Stories : 1 APN : 133-24-3000

Yr Blt / Eff Yr Blt  : 1984 /

7953 E COLETTE CIR # 170

Owner Name : Mikulak Terry A

Distance 0.03 Miles

Subdivision : Summertree Condo Sale Date : 11/16/2016

Recording Date : 11/23/2016

Total Value : $79,215 Sale Price  : $78,850

Bed / Bath : / 1

Property Tax : $1,018.67

Land Use : Condominium Lot Acres : 0.01

Stories : 1 Living Area : 955

Yr Blt / Eff Yr Blt : 1984 /

7953 E COLETTE CIR # 176

Owner Name : Nelson Mike

Sale Date : 05/00/2004

APN : 133-24-3120

Distance 0.03 Miles

Subdivision : Summertree Condo

Recording Date : 05/27/2004

Total Value : $92,291 Sale Price  : $100,000

Bed / Bath : / 2

Land Use : Condominium

Property Tax : $1,213.06

Lot Acres : 0.01

Stories : 1 Living Area : 1,145

Yr Blt / Eff Yr Blt : 1984 /

APN : 133-24-3180

Customer Name : Lisa Mrazek

Customer Company Name : First American Title Insurance Company Prepared On : 10/24/2022

CoreLogic.

© 2022
All rights reserved

7953 E COLETTE CIR # 169

Owner Name : Schaper Kenneth S

Sale Date : 11/04/2021

Total Value : $72,425

Bed / Bath : / 1

Land Use : Condominium

Stories : 1

Yr Blt / Eff Yr Blt : 1984 /

8021 E 3RD ST

Owner Name : Moore Kevin

Sale Date : 08/29/2016

Total Value : $132,940

Bed / Bath : / 2

Distance 0.03 Miles

Subdivision : Summertree Condo

Recording Date : 11/09/2021

Sale Price  : $145,000

Property Tax : $919.48

Lot Acres : 0.01

Living Area : 859

APN : 133-24-3110

Distance 0.03 Miles

Subdivision : Belcorte Twnhms

Recording Date : 08/31/2016

Sale Price  : $141,000

Property Tax : $1,932.94

Land Use : Condominium Lot Acres : 0.07

Stories : 2

Living Area : 1,417

Yr Blt / Eff Yr Blt : 1983 / APN : 133-24-0860

7953 E COLETTE CIR # 173

Owner Name : Arnold Lauren

Distance 0.04 Miles

Subdivision : Summertree Condo Sale Date : 09/22/2008

Recording Date : 09/25/2008

Total Value : $90,028 Sale Price  : $137,000

Bed / Bath : / 2

Property Tax : $1,180.04

Land Use : Condominium Lot Acres : 0.01

Stories : 1 Living Area : 1,113

Yr Blt / Eff Yr Blt : 1984 /

7944 E COLETTE CIR # 135

Owner Name : Jacobson David M

Sale Date : 12/17/2020

Total Value : $90,418

Bed / Bath : / 2

Land Use : Condominium

Stories : 1

Yr Blt / Eff Yr Blt : 1985 /

APN : 133-24-3150

Distance 0.04 Miles

Subdivision : Summertree Condo

Recording Date : 12/18/2020

Sale Price  : $133,000

Property Tax : $1,185.24

Lot Acres : 0.02

Living Area : 1,113

APN : 133-24-2770

Customer Name : Lisa Mrazek

Customer Company Name : First American Title Insurance Company Prepared On : 10/24/2022

CoreLogic.

© 2022
All rights reserved

7956 E COLETTE CIR # 180

Owner Name : Taylor Living Trust

Sale Date : 05/30/2019

Total Value : $92,291

Bed / Bath : / 2

Land Use : Condominium

Stories : 1

Yr Blt / Eff Yr Blt : 1984 /

7920 E COLETTE CIR # 71

Owner Name : Cox John O

Sale Date : 01/06/2004

Total Value : $83,490

Bed / Bath : / 2

Distance 0.04 Miles

Subdivision : Summertree Condos

Recording Date : 06/21/2019

Sale Price  : $110,000

Property Tax : $1,073.73

Lot Acres : 0.02

Living Area : 1,145

APN : 133-24-3220

Distance 0.04 Miles

Subdivision : Summertree Condo

Recording Date : 01/26/2004

Sale Price  : $73,000

Property Tax : $1,080.73

Land Use : Condominium Lot Acres : 0.01

Stories : 1

Living Area : 1,016

Yr Blt / Eff Yr Blt : 1984 / APN : 133-24-3210

Customer Name : Lisa Mrazek

Customer Company Name : First American Title Insurance Company

Prepared On : 10/24/2022

© 2022 CoreLogic. All rights reserved

Census Tract / block: 40.71 / 1     Year: 2018

Household

Population Population by Age

Count: 4,638 0 - 11

Estimate Current Year: 4,539 12 - 17

Estimate in 5 Years: 4,164 18 - 24 9.01%

Growth Last 5 Years: -0.13% 25 - 64 45.13%

Growth Last 10 Years: -61.76% 65 - 74 12.16% 75+

Household Size Household Income

Current Year: 2,461 0 - $25,000 40.07%

Average Current Year: 1.87 $25,000 - $35,000 11.95%

Estimate in 5 Years: 1,925 $35,000 - $50,000 18.29%

Growth Last 5 Years: -10.32% $50,000 - $75,000 15.56%

Growth Last 10 Years: 14.17% $75,000 - $100,000 10.61%

Male Population: 44.5% Above $100,000 3.54%

Female Population: 55.5% Average Household Income: $34,018

Married People: 25.66%

Unmarried People: 74.34%

Housing

Median Mortgage Payments Home Values

Under $300: 20.29% Below $100,000: 41.24%

$300 - $799: 36.5% $100,000 - $150,000: 19.48%

$800 - $1,999: 43.21% $150,000 - $200,000: 31.42% Over $2,000: 0% $200,000 - $300,000: 7.86%

Median Home Value: $134,600 $300,000 - $500,000: 0%

Unit Occupied Owner: 24.83% Above $500,000: 0%

Median Mortgage: $795

Customer Name : Lisa Mrazek Customer Company Name : First American Title Insurance Company Prepared On : 10/24/2022 © 2022 CoreLogic. All rights reserved

Rent Payments

Year Built

Unit Occupied Renter: 75.17% 1999 - 2000

Median Gross Rent: $850 1995 - 1998

Less Than $499 6.1% 1990 - 1994

$500 - $749 30.74% 1980 - 1989 37.39%

$750 - $999 30.74% 1970 - 1979 30.26%

$1000 and Over 32.43% 1900 - 1969 19.92%

Education

Enrollment

Public Pre-Primary School: 0% Not Enrolled in School: 81.23%

Private Pre-Primary School: 0.96% Not A High School Graduate: 7.83%

Public School: 16.05% Graduate Of High School: 30.39%

Private School: 2.72% Attended Some College: 27.8%

Public College: 3.82% College Graduate: 26.44%

Private College: 1.27% Graduate Degree: 7.54%

Workforce

Occupation:

Manager/Prof: 26.42% Private Worker: 69.17%

Technical: Government Worker: 16.79%

Sales: 40.36% Self Employed Worker: 2.38%

Administrative: Unpaid Family Worker: 2.85%

Private House Hold: Farming: 4.97%

Service: 24.2% Skilled:

Protective Services: Blue-Collar: 9.02%

Commute Time

Less Than 15 Min: 37.87%

15 min - 28 min: 38.78%

30 min - 57 min: 22.5%

Over 60 min: 0.86%

Customer Name : Lisa Mrazek Customer Company Name : First American Title Insurance Company Prepared On : 10/24/2022 © 2022 CoreLogic. All rights reserved
Customer Name : Lisa Mrazek Customer Company Name : First American Title Insurance Company Prepared On : 10/24/2022 © 2022 CoreLogic. All rights reserved
Customer Name : Lisa Mrazek Customer Company Name : First American Title Insurance Company Prepared On : 10/24/2022 © 2022 CoreLogic. All rights reserved
Customer Name : Lisa Mrazek Customer Company Name : First American Title Insurance Company Prepared On : 10/24/2022 © 2022 CoreLogic. All rights reserved

SEARCH PARAMETERS

DATE PAID

IMPROVEMENTS

PHYSICAL CONDITION

SCHOOL DISTRICT

KATHLEEN M HERNANDEZ LIVIN

JAWORSKI DEBRA L

MAULDON MARGARET

SPALLAS LEONIDAS P

+ FIRST AMERICAN TITLE, FC0, LMRA PIMA, AZ 10/24/2022  03:10PM  RL13  INVESTIGATIVE SEARCH RESULTS PAGE 1 OF 1
PARCEL:  133-24-3080 PARCEL: 133-24-3080 INSTRUMENT REC DATE OWNER: DOWDLE DAMIEN  AFFIDAVIT    2019 1280279 05/08/2019  SITUS: 7952 E COLETTE CIR 166 TUCSON  MAIL: 7952 E COLETTE CIR  TUCSON AZ 85710  PLAT: LOT 00166 BLOCK LEGAL: SUMMERTREE CONDOMINIUMS UNIT 166  CURRENT TAXES INFORMATION THROUGH 07/28/2022 LAND IMPR EXEMPT RATE AREA SPECIAL DISTRICTS PRIMARY  8,760  0  0  11.1537  0150 SECONDARY  50  9,639  0  2.7742  2022 TOTAL TAX BILLED 1,220.08 2022  TAX AMT TAX DUE INTEREST
TOTAL DUE FIRST HALF  610.04  610.04  0.00  610.04  SECOND HALF  610.04  610.04  0.00  610.04  TOTAL CURRENT TAXES DUE 10/22 1,220.08 11/22 1,228.21 (ESTIMATED)
RESIDENTIAL
BELOW AVE BLDG SQFT  1,145 FULL CASH VALUE  96,896 YEAR BUILT  1984 LAND USE  07 30 NUMBER OF STORIES  4.0 LOT SIZE  1 STDLT STORIES HEIGHT  0
0150 EXTERIOR WALLS  FRAME WOOD LAND FULL CASH VALUE  502 GRADE MATERIALS IMPR FULL CASH VALUE  96,394 SALES SALE DATE SALE AMOUNT INSTRUMENT TYPE SELLER NAME VALIDITY 05/08/2019 118,000    2019 1280279 WD
03/18/2016 92,000    2016 780877 WD QUINN THOMAS J/KATHLEEN Y 05/04/2010 120,000    13801 43 D
02/14/2003 85,000    11988 5360 WD
02/16/1993 57,500    9479 1007 JD
ADDITIONAL PROPERTY INFORMATION STANDARD LAND USE: CONDOMINIUM END SEARCH

to the Title & Escrow Process in Arizona

Home Seller’s Guide

1.877.860.6020

Southwest Gas
www.swgas.com Cox 602.277.1000 www.cox.com Direct TV 1.888.777.2454 www.directv.com Dish Network 1.800.823.4929 www.dishnetwork.com CenturyLink 800.366.8201 www.centurylink.com AT&T 1.800.222.0300 www.att.com Verizon 1.877.300.4498 www.connecttoverizon.com Salt River Project 602.236.8888 www.srpnet.com APS 602.371.7171 www.aps.com Your Escrow Number Your New Address City/State/Zip Real Estate Agent Name Email Assistant Email Company Phone Address Fax Insurance Previous Company Phone Previous Agent Policy No. New Company Phone New Agent Policy No. Home Warranty Company Policy No. First American Title Escrow Officer Email Escrow Assistant Email Address Phone City/State/Zip Fax 02 Quick Reference 03 Welcome 04 Benefits of Using a REALTOR ® 05 Key Professionals 06 Preparing Your Home for Sale 07 Staging Your Home for Show 09 Terms You Should Know 10 The Life of an Escrow 11 Closing Costs: Who Pays What 12 The Escrow Process 14 Understanding Title Insurance 16 Consider This 17 Closing Your Escrow 18 Planning Your Move Q uick Reference Table of Contents Utilities and Services

Count on First American Title

Welcome to the home-selling process. Throughout this process, you can count on First American Title to guide you smoothly through your transaction and provide expert answers to your questions. We are happy to serve you.

Count On Us For Service

First American Title’s professionals are proud to provide the title insurance that assures people’s home ownership. Backed by First American Title Insurance Company, your transaction will be expertly completed in accordance with state-specific underwriting standards and state and federal regulatory requirements.

Count On Us For Stability

First American Title is the principal subsidiary of First American Financial Corporation, and one of the largest suppliers of title insurance services in the nation. With roots dating back to 1889, we’ve served families for generations.

Count On Us For Convenience

First American Title has a direct office or agent near you, offering convenient locations throughout Arizona. We also have an extensive network of offices and agents throughout the United States, and internationally.

Count On Us To Meet Your Needs

First American Financial Corporation offers more than title insurance and escrow services through its subsidiaries. Our subsidiaries also provide property data, title plant records and images, home warranties, property and casualty insurance, and banking, trust and advisory services.

AZ Sellers Guide | 3

Benefits of using a Professional REALTOR ®

Before you make the decision to try to sell your home alone, consider the benefits a REALTOR ® can provide that you may not be aware of.

A REALTOR ® :

› Understands market conditions and has access to information not available to the average homeowner.

› Can advertise effectively for the best results.

› Knows how to price your home realistically, to give you the highest price possible within your time frame.

› Is experienced in creating demand for homes and how to show them to advantage.

› Knows how to screen potential buyers and eliminate those who can’t qualify or are looking for bargain-basement prices.

› Knows how to go toe-to-toe in negotiations.

› Is always “on-call,” answering the phone at all hours, and showing homes evenings and weekends.

› Can remain objective when presenting offers and counter-offers on your behalf.

› Maintains errors-and-omissions insurance.

› Will listen to your needs, respect your opinions and allow you to make your own decisions.

› Can help protect your rights, particularly important with the increasingly complicated real estate laws and regulations.

› Is experienced with resolving problems to facilitate a successful closing on your home.

Only you can determine whether you should attempt to sell your home—probably your largest investment—all alone. Talk with a REALTOR® before you decide. You may find working with a professional is a lot less expensive and much more beneficial than you ever imagined!

FOR SALE BY OWNER

Many people believe they can save a considerable amount of money by selling their homes themselves. It may seem like a good idea at the time, but while you may be willing to take on the task, are you qualified? The following are some questions to help you realistically assess what’s involved.

Do you...

- have the knowledge, patience, and sales skills needed to sell your home?

- know how to determine your home’s current market value?

- know how to determine whether or not a buyer can qualify for a loan?

- understand the steps of an escrow and what’s required of you and the buyer?

- need to hire a real estate attorney? If so, do you know what the cost will be and how much liability they will assume in the transaction?

- know how to advertise effectively and what the costs will be?

- understand the various types of loans buyers may choose and the advantages and disadvantages for the seller?

- have arrangements with an escrow and title company, home warranty company, pest-control service and lender to assist you with the transaction?

Are you...

- aware of conditions in the marketplace today that affect value and length of time to sell?

- concerned about having strangers walking through your home?

- familiar enough with real estate regulations to prepare a binding sales contract? Counter-offers?

- aware that every time you leave your home, you are taking it off the market until you return?

- aware that prospective buyers and bargain hunters will expect you to lower your cost because there’s no REALTOR® involved?

- prepared to give up your evenings and weekends to show your home to potential buyers and “just-looking” time wasters?

AZ Sellers Guide | 4

Key Professionals Involved in Your Transaction

REALTOR ®

A REALTOR ® is a licensed real estate agent and a member of the National Association of REALTORS,® a real estate trade association. REALTORS ® also belong to their state and local Association of REALTORS.®

REAL ESTATE AGENT

A real estate agent is licensed by the state to represent parties in the transfer of property. Every REALTOR ® is a real estate agent, but not every real estate agent has the professional designation of a REALTOR.®

LISTING AGENT

A key role of the listing agent or broker is to form a legal relationship with the homeowner to sell the property and place the property in the Multiple Listing Service.

BUYER'S AGENT

A key role of the buyer’s agent or broker is to work with the buyer to locate a suitable property and negotiate a successful home purchase.

MULTIPLE LISTING SERVICE (MLS)

The MLS is a database of properties listed for sale by REALTORS ® who are members of the local Association of REALTORS.® Information on an MLS property is available to thousands of REALTORS ®

TITLE COMPANY

These are the people who carry out the title search and examination, work with you to eliminate the title exceptions you are not willing to take subject to, and provide the policy of title insurance regarding title to the real property.

ESCROW OFFICER

An escrow officer leads the facilitation of your escrow, including escrow instructions preparation, document preparation, funds disbursement, and more.

AZ Sellers Guide | 5

PREPARING FOR SALE YOUR HOME

Mow and edge the lawn regularly, and trim the shrubs.

Make your entry inviting: Paint your front door and buy a new front door mat.

Paint or replace the mailbox, if needed.

If screens or windows are damaged, replace or repair them.

Repair or replace worn shutters and other exterior trim.

Make sure the front steps are clear and hazard-free. Make sure the doorbell works properly and has a pleasant sound.

Ensure that all exterior lights are working.

Check stucco walls for cracks and discoloration.

Remove any oil and rust stains from the driveway and garage.

Clean and organize the garage, and ensure the door is in good working order. Shampoo carpeting or replace if worn. Clean tile floors, particularly the caulking.

Brighten the appearance inside by painting walls, cleaning windows and window coverings, and removing sunscreens.

Repair leaky faucets and caulking in bathtubs and showers.

Repair or replace loose knobs on doors and cabinets. If doors stick or squeak, fix them.

Make sure toilet seats look new and are firmly attached.

First impressions have a major impact on potential buyers. Try to imagine what potential buyers will see when they approach your house for the first time and walk through each room. Ask your REALTOR ® for advice; they know the marketplace and what helps a home sell. Here are some tips to present your home in a positive manner:

Repair or replace loud ventilating fans.

Replace worn shower curtains.

Rearrange furniture to make rooms appear larger. If possible, remove and/or store excess furniture, and avoid extension cords in plain view.

Remove clutter throughout the house. Organize and clean out closets.

Clean household appliances and make sure they work properly.

Air conditioners/heaters, evaporative coolers, hot water heater should be clean, working and inspected if necessary. Replace filters.

Check the pool and/or spa equipment and pumps. Make sure all are working properly and that the pool and/or spa are kept clean.

Inspect fences, gates and latches. Repair or replace as needed.

AZ Sellers Guide | 6

Staging your home for Show

To make the best impression, keep your home clean, neat, uncluttered and in good repair. Please review this list prior to each showing:

Keep everything clean. A messy or dirty home will cause prospective buyers to notice every flaw.

Clear all clutter from counter tops.

Let the light in. Raise shades, open blinds, pull back the curtains and turn on the lights.

Get rid of odors such as tobacco, pets, cooking, etc., but don’t overdo air fresheners or potpourri. Fresh baked bread and cinnamon can make a positive impact.

Send pets away or secure them away from the house, and be sure to clean up after them.

Close the windows to eliminate street noise.

If possible you, your pets, and your children should be gone while your home is being shown.

Clean trash cans and put them out of sight.

If you must be present while your home is shown, keep noise down. Turn off the TV and radio. Soft, instrumental music is fine, but avoid vocals.

Keep the garage door closed and the driveway clear. Park autos and campers away from your home during showings

Hang clean attractive guest towels in the bathrooms.

Check that sink and tub are scrubbed and unstained.

Make beds with attractive spreads.

Stash or throw out newspapers, magazines, junk mail.

AZ Sellers Guide | 7
AZ Sellers Guide | 8

Terms You Should Know

Appraisal

An estimate of value of property resulting from analysis of facts about the property; an opinion of value.

Annual Percentage Rate (APR)

The borrower’s costs of the loan term expressed as a rate. This is not their interest rate.

Beneficiary

The recipient of benefits, often from a deed of trust; usually the lender.

Closing Disclosure (CD)

Closing Disclosure form designed to provide disclosures that will be helpful to borrowers in understanding all of the costs of the transaction. This form will be given to the consumer three (3) business days before closing.

Close of Escrow

Generally the date the buyer becomes the legal owner and title insurance becomes effective.

Comparable Sales

Sales that have similar characteristics as the subject real property, used for analysis in the appraisal. Commonly called “comps.”

Consummation

Occurs when the borrower becomes contractually obligated to the creditor on the loan, not, for example, when the borrower becomes contractually obligated to a seller on a real estate transaction. The point in time when a borrower becomes contractually obligated to the creditor on the loan depends on applicable State law. Consummation is not the same as close of escrow or settlement.

Deed of Trust

An instrument used in many states in place of a mortgage.

Deed Restrictions

Limitations in the deed to a parcel of real property that dictate certain uses that may or may not be made of the real property.

Disbursement Date

The date the amounts are to be disbursed to a buyer and seller in a purchase transaction or the date funds are to be paid to the borrower or a third party in a transaction that is not a purchase transaction.

Earnest Money Deposit

Down payment made by a purchaser of real property as evidence of good faith; a deposit or partial payment.

Easement

A right, privilege or interest limited to a specific purpose that one party has in the land of another.

Endorsement

As to a title insurance policy, a rider or attachment forming a part of the insurance policy expanding or limiting coverage.

Hazard Insurance

Real estate insurance protecting against fire, some natural causes, vandalism, etc., depending upon the policy. Buyer often adds liability insurance and extended coverage for personal property.

Impounds

A trust type of account established by lenders for the accumulation of borrower’s funds to meet periodic payments of taxes, mortgage insurance premiums and/or future insurance policy premiums, required to protect their security.

Legal Description

A description of land recognized by law, based on government surveys, spelling out the exact boundaries of the entire parcel of land. It should so thoroughly identify a parcel of land that it cannot be confused with any other.

Lien

A form of encumbrance that usually makes a specific parcel of real property the security for the payment of a debt or discharge of an obligation. For example, judgments, taxes, mortgages, deeds of trust.

Loan Estimate (LE)

Form designed to provide disclosures that will be helpful to borrowers in understanding the key features, costs and risks of the mortgage loan for which they are applying. Initial disclosure to be given to the borrower three (3) business days after application.

Mortgage

The instrument by which real property is pledged as security for repayment of a loan.

PITI

A payment that includes Principal, Interest, Taxes, and Insurance.

Power of Attorney

A written instrument whereby a principal gives authority to an agent. The agent acting under such a grant is sometimes called an “Attorney-in-Fact.”

Recording

Filing documents affecting real property with the appropriate government agency as a matter of public record.

Settlement statement

Provides a complete breakdown of costs involved in a real estate transaction.

TRID

TILA-RESPA Integrated Disclosures

AZ Sellers Guide | 9

The Life Of An Escrow

THE BUYER

Chooses a Real Estate Agent

Gets pre-approval letter from Lender and provides to Real Estate Agent.

Makes offer to purchase. Upon acceptance, opens escrow and deposits earnest money.

Finalizes loan application with Lender. Receives a Loan Estimate from Lender.

Completes and returns opening package from First American Title.

Schedules inspections and evaluates findings. Reviews title commitment/ preliminary report.

Provides all requested paperwork to Lender (bank statements, tax returns, etc.) All invoices and final approvals should be to the lender no later than 10 days prior to loan consummation.

Lender (or Escrow Officer) prepares CD and delivers to Buyer at least 3 days prior to loan consummation.

Escrow officer or real estate agent contacts the buyer to schedule signing appointment.

Buyer consummates loan, executes settlement documents, & deposits funds via wire transfer.

Documents are recorded and the keys are delivered!

THE SELLER

Chooses a Real Estate Agent

Accepts Buyer’s offer to purchase.

Completes and returns opening package from First American Title, including information such as forwarding address, payoff lender contact information and loan numbers.

Orders any work for inspections and/or repairs to be done as required by the purchase agreement.

Escrow officer or real estate agent contacts the seller to schedule signing appointment.

Documents are recorded and all proceeds from sale are received.

THE ESCROW OFFICER

Upon receipt of order and earnest money deposit, orders title examination.

Requests necessary information from buyers and sellers via opening packages.

Reviews title commitment / preliminary report.

Upon receipt of opening packages, orders demands for payoffs. Contacts buyer or seller when additional information is required for the title commitment/ preliminary report.

All demands, invoices, and fees must be collected and sent to lender at least 10 days prior to loan consummation.

Coordinates with lender on the preparation of the CD.

Reviews all documents, demands, and instructions and prepares settlement statements and any other required documents.

Schedules signing appointment and informs buyer of funds due at settlement.

Once loan is consummated, sends funding package to lender for review.

Prepares recording instructions and submits docs for recording.

Documents are recorded and funds are disbursed. Issues final settlement statement.

Accepts Buyer’s application and begins the qualification process. Provides Buyer with Loan Estimate.

Orders and reviews title commitment / preliminary report, property appraisal, credit report, employment and funds verification.

Collects information such as title commitment / preliminary report, appraisal, credit report, employment and funds verification. Reviews and requests additional information for final loan approval.

Underwriting reviews loan package for approval.

Coordinates with Escrow Officer on the preparation of the Closing Disclosure, which is delivered to Buyer at least 3 days prior to loan consummation.

Delivers loan documents to escrow.

Upon review of signed loan documents, authorizes loan funding.

AZ Sellers Guide | 10

Closing

Pays What

CASH FHA VA CONV

AZ Sellers Guide | 11
1. Downpayment BUYER BUYER BUYER BUYER 2. Termite (Wood Infestation) Inspection (negotiable except on VA) SELLER 3. Property Inspection (if requested by buyer) BUYER BUYER BUYER BUYER 4. Property Repairs, if any (negotiable) SELLER SELLER SELLER SELLER 5. New Loan Origination Fee (negotiable) BUYER BUYER BUYER 6. Discount Points (negotiable) BUYER BUYER BUYER 7. Credit Report BUYER BUYER BUYER 8. Appraisal or Extension Fee (negotiable) BUYER BUYER BUYER 9. Existing Loan Payoff SELLER SELLER SELLER SELLER 10. Existing Loan Payoff Demand SELLER SELLER SELLER SELLER 11. Loan Prepayment Penalty (if any) SELLER SELLER SELLER SELLER 12. Next Month’s PITI Payment BUYER BUYER BUYER 13. Prepaid Interest (approx. 30 days) BUYER BUYER BUYER 14. Reserve Account Balance (Credit seller / Charge buyer) PRORATE PRORATE PRORATE 15. FHA MIP, VA Funding Fee, PMI Premium BUYER BUYER BUYER 16. Assessments payoff or proration (sewer, paving, etc.) SELLER 17. Taxes PRORATE PRORATE PRORATE PRORATE 18. Tax Impounds BUYER BUYER BUYER 19. Tax Service Contract SELLER SELLER BUYER 20. Fire/Hazard Insurance BUYER BUYER BUYER BUYER 21 Flood Insurance BUYER BUYER BUYER 22. Homeowners Association (HOA) Transfer Fee BUYER or SELLER BUYER or SELLER BUYER or SELLER BUYER or SELLER 23. HOA/Disclosure Fee SELLER SELLER SELLER SELLER 24 Current HOA Payment PRORATE PRORATE PRORATE PRORATE 25. Next Month’s HOA Payment BUYER BUYER BUYER BUYER 26. Home Warranty Premium (negotiable) BUYER or SELLER BUYER or SELLER BUYER or SELLER BUYER or SELLER 27. REALTORS®’ Commissions SELLER SELLER SELLER SELLER 28. EAGLE Homeowners Title Policy SELLER SELLER SELLER SELLER 29. Lenders Title Policy and Endorsements BUYER BUYER BUYER 30. Escrow Fee (NOTE: Charge seller on VA Loan) SPLIT SPLIT SELLER SPLIT 31. Recording Fees (Flat rate) SPLIT SPLIT SPLIT SPLIT 32. Reconveyance/Satisfaction Fee SELLER SELLER SELLER SPLIT 33. Courier/Express Mail Fees SPLIT SPLIT SELLER SPLIT THIS CHART INDICATES WHO CUSTOMARILY PAYS WHAT COSTS Note: Prorated items will appear on Closing Statement as charges for one and credits for the other.
Costs: Who

The Escrow Process

WHAT IS AN ESCROW?

The escrow is the process of having a neutral party manage the exchange of money for real property. The escrow holder is known as an escrow or settlement officer or agent. The buyer deposits funds and the seller deposits a deed with the escrow holder along with all of the other documents required to remove all "contingencies" (conditions and approvals) in the purchase agreement prior to closing.

HOW IS AN ESCROW OPENED?

Once a purchase agreement is signed by all necessary parties, the agent representing the party who will pay the fee selects an escrow holder and the buyer's earnest money deposit and contract are submitted to the escrow holder. From this point, the escrow holder will follow the mutual written instructions of the buyer and seller, maintaining a neutral stance to ensure that neither party has an unfair advantage over the other. The escrow holder also follows the instructions of the Buyer's new lender, the seller's existing lender, and both parties' agents. The escrow holder ensures the transparency of the transaction, while carefully maintaining the privacy of the consumers.

AZ Sellers Guide | 12

Your Escrow Professional May:

Open escrow and deposit good faith funds into an escrow account

Conduct a title search to determine the ownership and title status of the real property

Review the title commitment and begin the process of working with you and the title officer to eliminate the title exceptions the buyer and the buyer’s new lender are not willing to take subject to. This includes ordering a payoff demand from your existing lender.

Coordinate with the buyer’s lender on the preparation of the Closing Disclosure (CD)

Prorate fees, such as real property taxes, per the contract and prepare the settlement statement

Set separate appointments allowing the buyer and seller to sign documents and deposit funds

Review documents and ensure all conditions are fulfilled and certain legal requirements are met

Request funds from buyer and buyer’s new lender

When all funds are deposited and conditions met, record documents with the County Recorder to transfer the real property to the buyer

After recording is confirmed, close escrow and disburse funds, including proceeds, loan payoffs, tax payments, and more

Prepare and send final documents to all parties

AZ Sellers Guide | 13

Understanding Title Insurance

The Title Industry & Title Insurance in Brief

Prior to the development of the title industry in the late 1800s, a home-buyer received a grantor’s warranty, attorney’s title opinion, or abstractor’s certificate as assurance of home ownership. The buyer relied on the financial integrity of the grantor, attorney, or abstractor for protection. Today, home-buyers look primarily to title insurance to provide this protection. Title insurance companies are regulated by state statute. They are required to post financial guarantees to ensure that any claims will be paid in a timely fashion. They also must maintain their own “title plants” which house duplicates of recorded deeds, mortgages, plats, and other pertinent county property records.

WHAT IS TITLE INSURANCE?

Title insurance provides coverage for certain losses due to defects in the title that, for the most part, occurred prior to your ownership. Title insurance protects against defects such as prior fraud or forgery that might go undetected until after closing and possibly jeopardize your ownership and investment.

WHY IS TITLE INSURANCE NEEDED?

Title insurance insures buyers against the risk that they did not acquire marketable title from the seller. It is primarily designed to reduce risk or loss caused by defects in title from the past. A loan policy of title insurance protects the interest of the mortgage lender, while an owner’s policy protects the equity of you, the buyer, for as long as you or your heirs (in certain policies) own the real property.

WHEN IS THE PREMIUM DUE?

You pay for your owner’s title insurance policy only once, at the close of escrow. Who pays for the owner’s policy and loan policy varies depending on local customs.

AZ Sellers Guide | 14

Compare First American’s Eagle Policy® for Owners

Protection from:

else owns

fraud, duress in the chain of

recording of

There is a lien on your title because there is:

a deed of trust

a judgement, tax, or special assessment

a charge by a homeowner’s association

is unmarketable

Forced removal of a structure because it:

extends on another property and/or easement

violates a restriction in Schedule B

violates an existing zoning law*

use the land for a Single-Family Residence because the use violates a restriction in Schedule B or a

ordinance

by

Compare First American’s Eagle Policy® for Owners

violation resulting in your title

of building

covenants

rent for substitute land or facilities

to

language statements of

with Subdivision

for boundary wall or fence

coverage

ownership coverage leads to enhanced

coverage for a lifetime

inflation coverage with automatic increase in value up to 150% over five years

Living Trust coverage

Deductible and maximum limits apply. Not available to investors on 1- to 4-unit residential properties. Coverage may vary based on an individual policy.

with any insurance contract, the insuring provisions express the coverage afforded by the title insurance policy and there are exceptions, exclusions and conditions to coverage that limit or narrow the coverage afforded by the policy. Also, some cov erage may not be available in a particular area or transaction due to legal, regulatory, or underwriting considerations. Please contact a First American representative for further information. The services described above are typical basic services. The services provided to you may be different due to the specifics of your transaction or the location of the real property involved.

AZ Sellers Guide | 15
EAGLE ALTA Standard or CLTA
1 Someone
an interest in your title 2 A document is not properly signed 3 Forgery,
title 4 Defective
any document 5 There are restrictive covenants 6
a)
b)
c)
7 Title
8 Mechanics lien 9
a)
b)
c)
10 Cannot
zoning
11 Unrecorded lien
a homeowners association 12 Unrecorded easements 13 Building permit violations* 14 Restrictive covenant violations 15 Post-policy forgery 16 Post-policy encroachment 17 Post-policy damage from extraction of minerals or water 18 Lack of vehicular and pedestrian access 19 Map not consistent with legal description 20 Post-policy adverse possession
EAGLE ALTA Standard or CLTA
21 Post-policy prescriptive easement 22 Covenant
reverting
a previous owner 23 Violation
setback regulations 24 Discriminatory
Other benefits: 25 Pays
26 Rights under unrecorded leases 27 Plain
policy
and restrictions 28 Compliance
Map Act 29 Coverage
encroachment* 30 Added
marketability 31 Insurance
32 Post-policy
33 Post-policy
*
As

Consider This

One escrow transaction could involve more than 20 individuals, including real estate agents, buyers, sellers, attorneys, escrow officer, escrow technician, title officer, loan officer, loan processor, loan underwriter, home inspector, termite inspector, insurance agent, home warranty representative, contractor, roofer, plumber, pool service, and so on. And often, one transaction depends on another.

When you consider the number of people involved, you can imagine the opportunities for delays and mishaps. Your experienced escrow team can’t prevent unforeseen problems from arising; however, they can help smooth out the process.

AZ Sellers Guide | 16

Closing Your Escrow

THE CLOSING DISCLOSURE

Once the loan is approved and all invoices and paperwork have been provided, the lender and escrow officer will collaborate on the preparation of the Closing Disclosure (CD). In order to close on time, all paperwork and invoices should be submitted at least 10 days prior to the expected close of escrow date. The borrower must receive the CD at least three days* prior to consummation of the loan (typically the signing date). The escrow officer will also prepare an estimated settlement statement and inform the buyer of the balance of the down payment and closing costs needed to close escrow.

*For purposes of the Closing Disclosure“business day” is defined as every day except Sundays and Federal legal holidays.

THE CLOSING OR SIGNING APPOINTMENT

The escrow holder will contact you or your agent to schedule a closing or signing appointment. In some states, this is the "close of escrow." In some others, the close of escrow is either the day the documents record or that funds are disbursed. Ask your escrow holder if you would like clarification about your state's laws.

You will have a chance to review the settlement statement and supporting documentation. This is your opportunity to ask questions and clarify terms. You should review the settlement statement carefully and report discrepancies to the escrow officer. This includes any payments that may have been missed.

You are responsible for all charges incurred even if overlooked by the escrow holder, so it's better to bring these to their attention before closing.

The escrow holder is obligated by law to have the designated amount of money before releasing any funds. If you have questions or foresee a problem, let your escrow holder know immediately.

DON'T FORGET YOUR IDENTIFICATION

You will need valid identification with your photo I.D. on it when you sign documents that need to be notarized (such as a deed). A driver's license is preferred. You will also be asked to provide your social security number for tax reporting purposes, and a forwarding address.

WHAT HAPPENS NEXT?

If the buyer is obtaining a new loan, the buyer’s signed loan documents will be returned to the lender for review. The escrow holder will ensure that all contract conditions have been met and will ask the lender to "fund the loan." If the loan documents are satisfactory, the lender will send funds directly to the escrow holder. When the loan funds are received, the escrow holder will verify that all necessary funds are in. Escrow funds will be disbursed to the seller and other appropriate payees. Then, the REALTOR® will present the keys to the property to the buyer.

AZ Sellers Guide | 17

Planning your move

SIX WEEKS BEFORE:

Create an inventory sheet of items to move.

Research moving options You’ll need to decide if yours is a do-it-yourself move or if you’ll be using a moving company.

Request moving quotes Solicit moving quotes from as many moving companies and movers as possible. There can be a large difference between rates and services within moving companies.

Discard unnecessary items Moving is a great time for ridding yourself of unnecessary items. Have a yard sale or donate unnecessary items to charity.

Packing materials. Gather moving boxes and packing materials for your move.

Contact insurance companies. (Life, Health, Fire, Auto) You’ll need to contact your insurance agent to cancel/transfer your insurance policy. Do not cancel your insurance policy until you have and closed escrow on the sale.

Seek employer benefits. If your move is work-related, your employer may provide funding for moving expenses. Your human resources rep should have information on this policy.

Changing Schools. If changing schools, contact new school for registration process.

FOUR WEEKS BEFORE:

Contact utility companies Set utility turnoff date, seek refunds and deposits and notify them of your new address.

Obtain your medical records. Contact your doctors, physicians, dentists and other medical specialists who may currently be retaining any of your family’s medical records. obtain these records or make plans for them to be delivered to your new medical facilities.

Note food inventory levels Check your cupboards, refrigerator and freezer to use up as much of your perishable food as possible.

Service small engines for your move by extracting gas and oil from the machines. This will reduce the chance to catch fire during your move.

Protect jewelry and valuables. Transfer jewelry and valuables to safety deposit box so they can not be lost or stolen during your move.

Borrowed and rented items. Return items which you may have borrowed or rented. Collect items borrowed to others.

ONE WEEK BEFORE:

Plan your itinerary. Make plans to spend the entire day at the house or at least until the movers are on their way. Someone will need to be around to make decisions. Make plans for kids and pets to be at the sitters for the day.

Change of address. Visit USPS for change of address form.

Bank accounts Notify bank of address change. Make sure to have a money order for paying the moving company if you are transferring or closing accounts.

Service automobiles If automobiles will be driven long distances, you’ll want to have them serviced for a trouble-free drive.

Cancel services. Notify any remaining service providers (newspapers, lawn services, etc) of your move.

Start packing. Begin packing for your new location.

Travel items. Set aside items you’ll need while traveling and those needed until your new home is established. Make sure these are not packed in the moving truck!

Scan your furniture. Check furniture for scratches and dents before so you can compare notes with your mover on moving day.

Prepare Floor Plan. Prepare floor plan for your new home. This will help avoid confusion for you and your movers.

MOVING DAY:

Review the house. Once the house is empty, check the entire house (closets, the attic, basement, etc) to ensure no items are left or no home issues exist.

Sign the bill of lading. Once your satisfied with the mover’s packing your items into the truck, sign the bill of lading. If possible, accompany your mover while the moving truck is being weighed.

Double check with your mover. Make sure your mover has the new address and your contact information should they have any questions during your move.

Vacate your home. Make sure utilities are off, doors and windows are locked and notify your real estate agent you’ve left the property.

AZ Sellers Guide | 18

Your Notes:

AZ Sellers Guide | 19

Your Notes:

AZ Sellers Guide | 20

Your Notes:

AZ Sellers Guide | 21

1 SUN CITY WES T 623.299.3644

13940 W. Meeker Blvd., #119 Sun City West, AZ 85375 N of Meeker Blvd W of R.H. Johnson

2 GOODYEAR 623.936.8001

1626 N. Litchfield Rd. Ste. #170 Goodyear, AZ 85395

NW corner of McDowell & Litchfield

3 ARROWHEAD 623.487.0404

16165 N. 83rd Ave , #100 Peoria, AZ 85382

S of Bell/E side of 83rd Ave

4 THE LEGENDS 623.537.1608

20241 N. 67th Ave , #A-2 Glendale, AZ 85308

E side 67th Ave/N of 101

5 ANTHEM 623.551.3265

39508 N. Daisy Mountain Dr., #128 Anthem, AZ 85086

NE corner Daisy Mtn Dr/ Gavilan Peak Pkwy

6 BILTMORE 602.954.3644

3200 E Camelback Rd., #123 Phoenix, AZ 85018

NE Corner of Camelback/32nd Street

7 TATUM RIDGE 480.515 4369

11211 N Tatum Blvd, #A150 Phoenix, AZ 85028

N of Shea, E side of Tatum

8 CAREFREE 480.575.6609

7202 E. Carefree Dr , Bldg 1, #1 Carefree, AZ 85377

NE corner of Tom Darlington/ Carefree Dr.

Central Arizona

First American Title Branch Locator

9 KIERLAND COMMONS 480.948.6488

14648 N Scottsdale Rd., Ste. #100 Scottsdale, AZ 85254 W of Scottsdale Road, S side of Greenway

10 SCOTTSDALE FORUM 480.551.0480

6263 N. Scottsdale Rd., #110 Scottsdale, AZ 85250

E Side Scottsdale/S of Lincoln

11 DC CROSSING 480.563.9034

18291 N. Pima Rd , #145 Scottsdale, AZ 85255

SE corner of Pima/Legacy

12 AHWATUKEE 480.753.4424

4435 E. Chandler Blvd , #100 Phoenix, AZ 85048

SW corner Chandler/45th St.

13 CHANDLER PORTICO

480.777.0051

2121 W. Chandler Blvd., #215 Chandler, AZ 85224

SW Corner Chandler Blvd./ Dobson Rd.

14 GILBERT SAN TAN 480.777.0614

1528 E. Williams Field Rd., #101 Gilbert, AZ 85295

NW corner of Williams Field Rd./ Val Vista Rd.

15 MESA 480.401.3738

1630 S. Stapley Dr., #123 Mesa, AZ 85204

N of Baseline / W of Stapley

16 RED MOUNTAIN

480.534.3599

1135 N. Recker Rd., #103 Mesa, AZ 85205

SE corner of Recker & Brown

17 GOLD CANYON 480.288.0883

6877 South Kings Ranch Rd., #5 Gold Canyon, AZ 85118 E of 60/ South Side Kings Ranch Rd.

1 4 3 2 6 12 10 5 8 7 11 9 CRISMON SIGNAL BUTTE GOLDFIELD OLDWESTHWY SKINGSRANCH 14 17 15 13 16
AZ Sellers Guide | 22

For more information please contact your First American representative.

05110280522
www.firstam.com First American Title Insurance Company, and the operating divisions thereof, make no express or implied warranty respecting the information presented and assume no responsibility for errors or omissions. First American, the eagle logo, First American Title, and firstam.com are registered trademarks or trademarks of First American Financial Corporation and/or its affiliates. ©2022 First American Financial Corporation and/or its affiliates. All rights reserved. NYSE: FAF

Turn static files into dynamic content formats.

Create a flipbook
Issuu converts static files into: digital portfolios, online yearbooks, online catalogs, digital photo albums and more. Sign up and create your flipbook.