748 W Paseo Celestial

Page 1

748WestPaseoCelestial Sahuarita,AZ85629

WIRE FRAUD ADVISORY

Criminals are targeting social media and email to steal information. This is particularly common in real estate transactions because sensitive data, including social security numbers, bank account numbers, and wire instructions are often sent by electronic means. We do not want you to be the next victim of wire fraud. Money wired to a fraudulent account is stolen money that typically cannot be recovered. Additionally, there is generally no insurance for this loss. You may never get the money back.

PROTECT YOURSELF VERIFY AND NOTIFY

DO NOT TRUST EMAILS CONTAINING WIRE INSTRUCTIONS

• If you receive an email containing wire transfer instructions, immediately call your escrow officer to ensure the validity of the instructions.

DO NOT TRUST EMAILS SEEKING PERSONAL/FINANCIAL INFORMATION

• If you receive an email requesting personal/financial information or asking you to download, click on a link, send, and/or do anything that may seem unusual to you, call your escrow officer immediately prior to acting on the suspicious email to verify the validity of the email.

TRUST YOUR SOURCE OF INFORMATION

• Never direct, accept or allow anyone in the transaction to consent to receiving transfer instructions without a direct personal telephone call to the individual allegedly providing the instructions.

• It is imperative that this call be made to a number obtained in person from the individual or through other reliable means, not from a number provided in the email or the wiring instructions

ONLINE RESOURCES:

There are many online sources that can provide useful information regarding similar topics including, but not limited to, the following sites:

The Federal Bureau of Investigation @ https://www.fbi.gov/scams and safety

The Internet Crime Complaint Center @ www.ic3.gov

The National White Collar Crime Center @ http://www.nw3c.org/research

On Guard Online @ www.onguardonline.gov

Before you wire funds to any party (including your lawyer, title agent, mortgage broker, or real estate agent) personally meet them or call a verified telephone number (not the telephone number in the email) to confirm before you act!

Immediately notify your banking institution and Settlement/Title Company if you are a victim of wire fraud.

The undersigned acknowledges receipt of this Wire Fraud Advisory.

Client Date Client Date

LIMITATION OF LIABILITY FOR INFORMATIONAL REPORTS

IMPORTANT -- PLEASE READ CAREFULLY:

This report is not an insured product or service or a representation of the condition of title to real property. It is not an abst ract, legal opinion, opinion of title, title insurance commitment or preliminary report, or any form of Title Insurance or Guaranty. This report is issued exclusively for the benefit of the Applicant therefor and may not be used or relied upon by any other person. This report may not be reproduced in any manner without First American or Title Security's prior written consent. First American or Title Security does not represent or warrant that the information herein is complete or free from error, and the information herein is provided without any warranties of any kind, as-is, and with all faults. As a material part of the consideration given in exchange for the issuance of this report, recipient agrees that First American or Title Security's sole liability for any loss or damage caused by an error or omission due to inaccurate information or negligence in preparing this report shall be limited to the fee charged for the report. Recipient accepts this report with this limitation and agrees that First American or Title Security would not have issued this report but for the limitation of liability described above. First American or Title Security makes no representation or warranty as to the legality or propriety of recipient's use of the information herein.

Subject Property

748 W Paseo Celestial Sahuarita AZ

APN: 303-76-5820

Data Provided By: First American Title Ins Co

85629
© 2022 CoreLogic. All rights reserved

Data Provided By:

First American Title Ins Co

Disclaimer

This REiSource report is provided "as is" without warranty of any kind, either express or implied, including without limitations any warrantees of merchantability or fitness for a particular purpose. There is no representation of warranty that this information is complete or free from error, and the provider does not assume, and expressly disclaims, any liability to any person or entity for loss or damage caused by errors or omissions in this REiSource report without a title insurance policy.

The information contained in the REiSource report is delivered from your Title Company, who reminds you that you have the right as a consumer to compare fees and serviced levels for Title, Escrow, and all other services associated with property ownership, and to select providers accordingly. Your home is the largest investment you will make in your lifetime and you should demand the very best.

© 2022 CoreLogic. All rights reserved

Subject Property :   748 W Paseo Celestial Sahuarita AZ 85629

Owner Information

Owner Name : Watson Adam S / Watson Tatiana K

Mailing Address : 748 W Paseo Celestial, Sahuarita AZ 85629-8644 R009

Vesting Codes : / / Community Property

Owner Occupied Indicator : O

Location Information

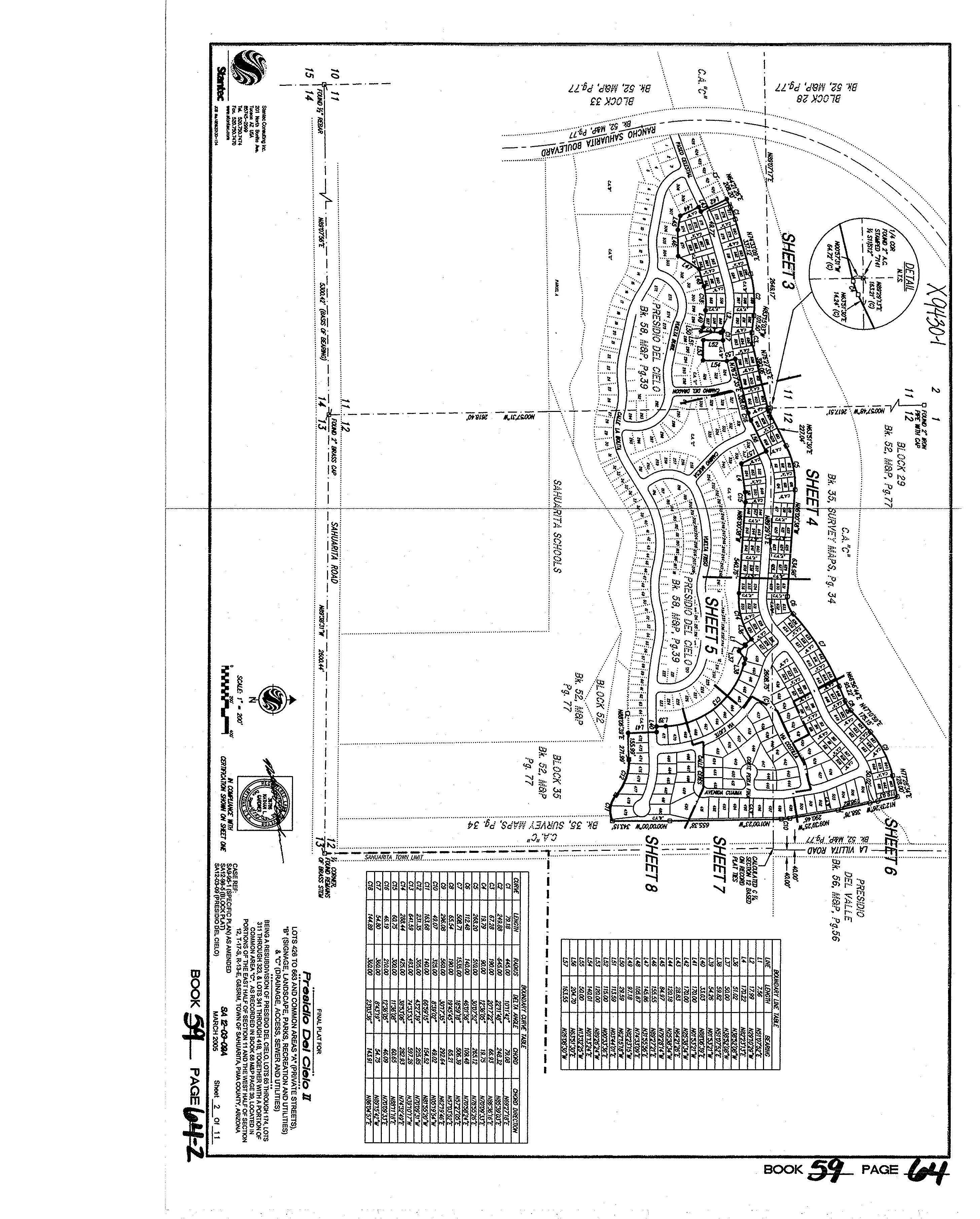
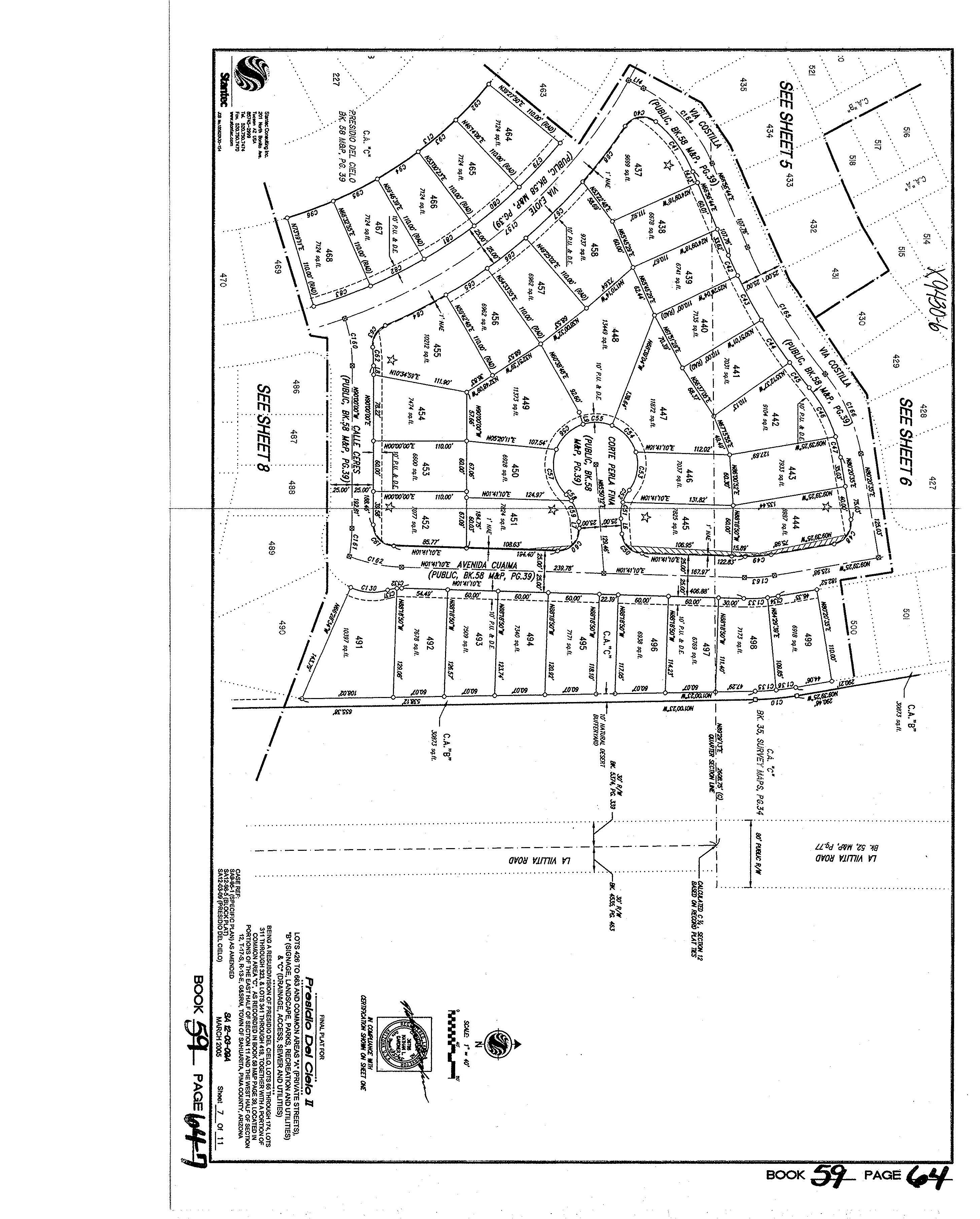
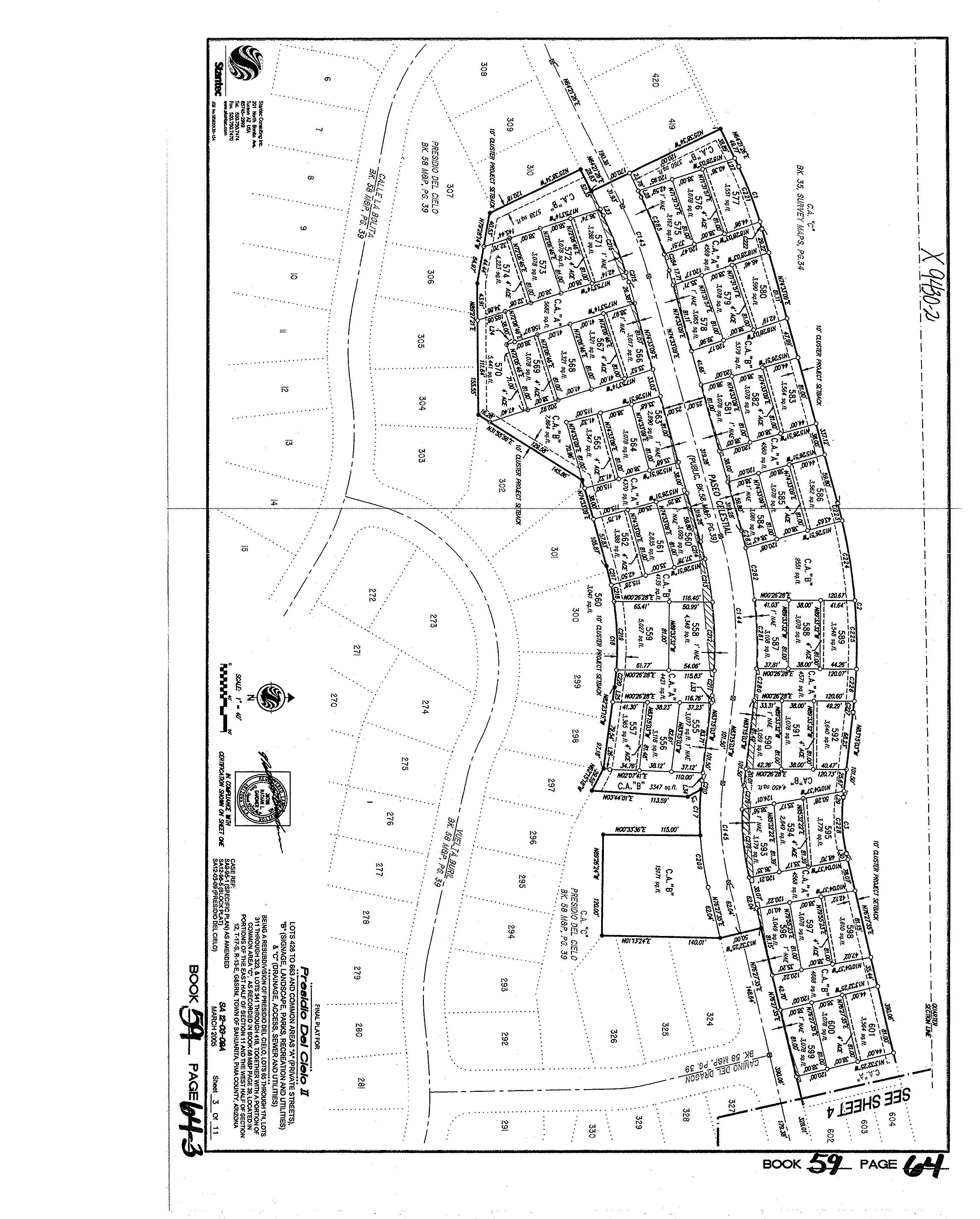
Legal Description : Presidio Del Cielo Ii Lot 579

County : Pima, Az

Census Tract / Block : 43.23 / 1

Township-Range- Sect : 17S-13E-11

Legal Book/Page : 59-64

Legal Lot : 579

Market Area : 700

Last Market Sale Information

APN : 303-76-5820

Subdivision : Presidio Del Cielo 02

Map Reference : 11-17S-13E

School District : Sahuarita

Munic/Township : Sahuarita

Recording/Sale Date : 11/12/2019 / 11/07/2019 1st Mtg Document # : 3160775

Sale Price : $165,000

Document # : 3160774

Deed Type : Warranty Deed

1st Mtg Amount/Type : $162,010 / Fha

Title Company : Title Sec Agcy Llc

Lender : Cardinal Fin'l Co Lp

Seller Name : Ruiz Mabely S

Prior Sale Information

Prior Rec/Sale Date : 11/09/2009 / 05/07/2009

Prior Sale Price : $133,542

Prior Doc Number : 13681-2970

1st Mtg Term : 30

Price Per SqFt : $119.74

2nd Mtg Amount/Type : $4,860 / Private Party

Prior Deed Type : Warranty Deed

Prior Lender : Kb Hm Mtg

Prior 1st Mtg Amt/Type : $136,212 / Conv

Customer Name : Lisa Mrazek

Customer Company Name : First American Title Insurance Company Prepared On : 09/29/2022

CoreLogic.

© 2022
All rights reserved

Property Characteristics

Gross Area : 1,378 Garage Capacity : 2

Living Area : 1,378 Roof Material : Tile

Total Rooms : 6

Year Built / Eff : 2009

# of Stories : 2

Parking Type : Garage

Property Information

Land Use : Sfr

County Use : Single Fam Resrural Subd

Tax Information

Total Value : $131,919

Total Taxable Value : $12,751

Patio Type : Covered Patio

Air Cond : Refrigeration

Heat Type : Forced Air Quality : Good

Cooling Type : Forced Air Condition : Excellent

Exterior wall : Frame Wood Bath Fixtures : 6

Zoning : SP

Lot Acres : 0.07

Property Tax : $1,626.82

Lot Size : 3,078

State Use : Single Fam Resrural Subd

Current Year Total Value : $16,194

Tax Rate Area : 3002 Current Year Improvement Value :

Assessed Year : 2021 Market Value : $131,919

Tax Year : 2021 Current Assessed Year : 2023

$16,143

Current Year Land Value : $50

Customer Name : Lisa Mrazek

Customer Company Name : First American Title Insurance Company Prepared On : 09/29/2022

© 2022 CoreLogic. All rights reserved

Sales Analysis

Criteria

Subject Property Low High Average

Sale Price $165,000 $230,000 $1,740,000 $347,030

Bldg/Living Area 1378 1240 1500 1395

Price Per Square Foot $119.74 $159 $1,263 $249.95

Year Built 2009 2003 2016 2008

Size 3,078 1,989 7,513 4,400

Total Assessed Value $131,919 $128,878 $160,128 $142,080

Distance From Subject 0 0.19 0.78 0.57

Customer Name : Lisa Mrazek

Customer Company Name : First American Title Insurance Company

On : 09/29/2022

Lot
Bedrooms Bathrooms 2 2 3 2 Stories 2 1 2 1
Prepared
© 2022 CoreLogic. All rights reserved

Customer Name : Lisa Mrazek

Customer Company Name : First American Title Insurance Company Prepared On : 09/29/2022

Map
© 2022 CoreLogic. All rights reserved

Details of Comparables

Subject Property: 748 W Paseo Celestial Sahuarita Az 85629

Owner Name: Watson Adam S /Watson Tatiana K

APN / Alternate APN: 303-76-5820 / Deed Type: Warranty Deed

Subdivision / Tract: Presidio Del Cielo 02 / Lot Size: 3,078

Rec. Date / Price: 11/12/2019 / $165,000 Living Area: 1,378

Land Use: Sfr

Year Built / Eff: 2009 /

# of units:

Document #: 3160774 Bedrooms: Pool:

Total Tax Value: $131,919 Bath(F/H): /

#1   612 W Paseo Celestial Sahuarita Az 85629

Owner Name: Sfr Investments V Borrower / APN / Alternate APN: 303-76-6050 / Deed Type: Warranty Deed

Subdivision / Tract: Presidio Del Cielo 02 / Lot Size: 3,078

Rec. Date / Price: 06/28/2022 / $268,000 Living Area: 1,378

Land Use: Sfr

Year Built / Eff: 2006 /

# of units:

Document #: 1790633 Bedrooms: Pool:

Total Tax Value: $128,878 Bath(F/H): /

#2   341 W Paseo Celestial Sahuarita Az 85629

Owner Name: Baf Assets 4 Llc /

APN / Alternate APN: 303-76-5400 / Deed Type: Special Warranty Deed Land Use: Sfr

Subdivision / Tract: Presidio Del Cielo 02 / Lot Size: 3,240

Rec. Date / Price: 03/02/2022 / $1,740,000 Living Area: 1,378

Year Built / Eff: 2007 /

# of units:

Document #: 610705 Bedrooms: Pool:

Total Tax Value: $129,845 Bath(F/H): /

#3   281 W Paseo Celestial Sahuarita Az 85629

Owner Name: Wofford Blake T /Phagan Danielle APN / Alternate APN: 303-76-5350 / Deed Type: Warranty Deed Land Use: Sfr

Subdivision / Tract: Presidio Del Cielo 02 / Lot Size: 3,458

Rec. Date / Price: 06/15/2022 / $290,000 Living Area: 1,378

Year Built / Eff: 2007 /

# of units:

Document #: 1660862 Bedrooms: Pool:

Total Tax Value: $129,845 Bath(F/H): /

#4   1194 W Via Cerro Colorado Sahuarita Az 85629

Owner Name: Openwdor Property Trust I / APN / Alternate APN: 303-75-3380 / Deed Type: Warranty Deed

Subdivision / Tract: Resort Rho Ph 03 Las Brisas / Lot Size: 6,992

Rec. Date / Price: 06/16/2022 / $280,900 Living Area: 1,251

Land Use: Sfr

Year Built / Eff: 2003 /

# of units:

Document #: 1670295 Bedrooms: Pool:

Total Tax Value: $134,814 Bath(F/H): /

Customer Name : Lisa Mrazek

Customer Company Name : First American Title Insurance Company Prepared On : 09/29/2022

© 2022 CoreLogic. All rights reserved

#5   90 W Paseo Celestial Sahuarita Az 85629

Owner Name: Porterfield Andre / APN / Alternate APN: 303-76-6530 / Deed Type: Warranty Deed

Subdivision / Tract: Presidio Del Cielo 02 / Lot Size: 2,876

Rec. Date / Price: 03/28/2022 / $268,000 Living Area: 1,378

Land Use: Sfr

Year Built / Eff: 2008 /

# of units:

Document #: 870673 Bedrooms: Pool:

Total Tax Value: $130,857 Bath(F/H): /

#6   1157 W Calle Trio Los Panchos Sahuarita Az 85629

Owner Name: Galvan Bernice / APN / Alternate APN: 303-75-1380 / Deed Type: Warranty Deed Land Use: Sfr

Subdivision / Tract: Rancho Resort / Lot Size: 1,989

Year Built / Eff: 2015 / Rec. Date / Price: 02/15/2022 / $250,000 Living Area: 1,240

# of units:

Document #: 460567 Bedrooms: Pool:

Total Tax Value: $131,068 Bath(F/H): /

#7   68 W Via Costilla Sahuarita Az 85629

Owner Name: Acosta Edwin J M /Martell Karina P

APN / Alternate APN: 303-76-4340 / Deed Type: Warranty Deed

Land Use: Sfr

Subdivision / Tract: Presidio Del Cielo 02 / Lot Size: 6,494 Year Built / Eff: 2009 /

Rec. Date / Price: 11/08/2021 / $269,500 Living Area: 1,250

# of units:

Document #: 3121093 Bedrooms: Pool:

Total Tax Value: $137,376 Bath(F/H): /

#8   15836 S Via Puente Del Valle Sahuarita Az 85629

Owner Name: Boom Theodore J / APN / Alternate APN: 303-75-2060 / Deed Type: Warranty Deed Land Use: Sfr

Subdivision / Tract: Rancho Resort / Lot Size: 3,380

Rec. Date / Price: 06/03/2022 / $280,000 Living Area: 1,496

Year Built / Eff: 2006 /

# of units:

Document #: 1540653 Bedrooms: Pool:

Total Tax Value: $136,726 Bath(F/H): /

#9   1161 W Calle Querida Sahuarita Az 85629

Owner Name: Semler Stephen C / APN / Alternate APN: 303-75-1160 / Deed Type: Warranty Deed

Subdivision / Tract: Rancho Resort / Lot Size: 2,749

Rec. Date / Price: 02/02/2022 / $250,000 Living Area: 1,448

Land Use: Sfr

Year Built / Eff: 2016 /

# of units:

Document #: 330572 Bedrooms: Pool:

Total Tax Value: $147,733 Bath(F/H): /

Customer Name : Lisa Mrazek

Customer Company Name : First American Title Insurance Company Prepared On : 09/29/2022

© 2022 CoreLogic. All rights reserved

#10   1212 W Via Cerro Colorado Sahuarita Az 85629

Owner Name: Wittman Living Trust /

APN / Alternate APN: 303-75-3410 / Deed Type: Warranty Deed

Subdivision / Tract: Resort Rho Ph 03 Las Brisas / Lot Size: 4,950

Rec. Date / Price: 03/21/2022 / $268,000 Living Area: 1,251

Land Use: Sfr

Year Built / Eff: 2006 /

# of units:

Document #: 800025 Bedrooms: Pool:

Total Tax Value: $137,645 Bath(F/H): /

#11   1189 W Calle Trio Los Panchos Sahuarita Az 85629

Owner Name: Hill James E Jr /Hill Christina

APN / Alternate APN: 303-75-1340 / Deed Type: Warranty Deed Land Use: Sfr

Subdivision / Tract: Rancho Resort / Lot Size: 1,989

Rec. Date / Price: 02/23/2022 / $252,000 Living Area: 1,240

Year Built / Eff: 2015 /

# of units:

Document #: 540924 Bedrooms: Pool:

Total Tax Value: $131,068 Bath(F/H): /

#12   1171 W Calle De Sotelo Sahuarita Az 85629

Owner Name: Berkey /

APN / Alternate APN: 303-75-1000 / Deed Type: Warranty Deed Land Use: Sfr

Subdivision / Tract: Rancho Resort / Lot Size: 3,217

Rec. Date / Price: 10/14/2021 / $230,000 Living Area: 1,448

Year Built / Eff: 2015 /

# of units:

Document #: 2870218 Bedrooms: Pool:

Total Tax Value: $145,691 Bath(F/H): /

#13   15854 S Via Puente Del Valle Sahuarita Az 85629

Owner Name: Becker Kenneth D /Becker Lynnette I

APN / Alternate APN: 303-75-2090 / Deed Type: Warranty Deed Land Use: Sfr

Subdivision / Tract: Rancho Resort / Lot Size: 3,088 Year Built / Eff: 2015 /

Rec. Date / Price: 11/05/2021 / $250,000 Living Area: 1,448

# of units:

Document #: 3090344 Bedrooms: Pool:

Total Tax Value: $145,691 Bath(F/H): /

#14   1241 W Camino Buenos Aires Sahuarita Az 85629

Owner Name: Blickenstaff C Arthur /Blickenstaff Shell

APN / Alternate APN: 303-75-4550 / Deed Type: Warranty Deed Land Use: Sfr

Subdivision / Tract: Resort Rho Ph 03 Las Brisas / Lot Size: 6,620

Rec. Date / Price: 05/25/2022 / $309,000 Living Area: 1,500

Year Built / Eff: 2006 /

# of units:

Document #: 1450690 Bedrooms: Pool:

Total Tax Value: $160,128 Bath(F/H): /

Customer Name : Lisa Mrazek

Customer Company Name : First American Title Insurance Company Prepared On : 09/29/2022

© 2022 CoreLogic. All rights reserved

#15   15795 S Via Cayetano Sahuarita Az 85629

Owner Name: Marti Leonard A /Marti Deborah A

APN / Alternate APN: 303-75-5280 / Deed Type: Warranty Deed Land Use: Sfr

Subdivision / Tract: Resort Rho Ph 03 Las Brisas / Lot Size: 4,991

Rec. Date / Price: 08/05/2022 / $300,900 Living Area: 1,441

Year Built / Eff: 2006 /

# of units:

Document #: 2170268 Bedrooms: Pool:

Total Tax Value: $153,403 Bath(F/H): /

#16   1268 W Camino Buenos Aires Sahuarita Az 85629

Owner Name: Conway Edward / APN / Alternate APN: 303-75-4170 / Deed Type: Warranty Deed Land Use: Sfr

Subdivision / Tract: Resort Rho Ph 03 Las Brisas / Lot Size: 5,053

Rec. Date / Price: 02/18/2022 / $302,000 Living Area: 1,441

Year Built / Eff: 2005 /

# of units:

Document #: 491014 Bedrooms: Pool:

Total Tax Value: $149,641 Bath(F/H): /

#17   1300 W Camino Buenos Aires Sahuarita Az 85629

Owner Name: Bauerle-brown Living Trust / APN / Alternate APN: 303-75-4210 / Deed Type: Warranty Deed Land Use: Sfr Subdivision / Tract: Resort Rho Ph 03 Las Brisas / Lot Size: 4,999

Rec. Date / Price: 03/30/2022 / $311,000 Living Area: 1,500

Year Built / Eff: 2006 /

# of units:

Document #: 890820 Bedrooms: Pool:

Total Tax Value: $157,470 Bath(F/H): /

#18   1316 W Via Cerro Colorado Sahuarita Az 85629

Owner Name: Johnson David R /Johnson Sally M APN / Alternate APN: 303-75-3570 / Deed Type: Warranty Deed Land Use: Sfr

Subdivision / Tract: Resort Rho Ph Iii/las Brisas / Lot Size: 7,513

Rec. Date / Price: 09/29/2021 / $286,300 Living Area: 1,500

Year Built / Eff: 2004 /

# of units:

Document #: 2720349 Bedrooms: Pool:

Total Tax Value: $152,573 Bath(F/H): /

#19   1337 W Via Cerro Colorado Sahuarita Az 85629

Owner Name: Dewire Janis / APN / Alternate APN: 303-75-3740 / Deed Type: Warranty Deed Land Use: Sfr

Subdivision / Tract: Resort Rho Ph 03 Las Brisas / Lot Size: 6,101

Rec. Date / Price: 11/08/2021 / $275,000 Living Area: 1,500

Year Built / Eff: 2004 /

# of units:

Document #: 3120933 Bedrooms: Pool:

Total Tax Value: $152,573 Bath(F/H): /

Customer Name : Lisa Mrazek

Customer Company Name : First American Title Insurance Company Prepared On : 09/29/2022

CoreLogic.

© 2022
All rights reserved

Owner Name: Edwards Scott /Edwards Kathy APN / Alternate APN: 303-75-3650 / Deed Type: Warranty Deed

Subdivision / Tract: Resort Rho Ph 03 Las Brisas / Lot Size: 5,218

Land Use: Sfr

Year Built / Eff: 2004 /

# of units: Document #: 800239 Bedrooms: Pool:

Rec. Date / Price: 03/21/2022 / $260,000 Living Area: 1,441

Total Tax Value: $148,580 Bath(F/H): /

Customer Name : Lisa Mrazek

Customer Company Name : First American Title Insurance Company Prepared On : 09/29/2022

CoreLogic.

#20   1364 W Via Cerro Colorado Sahuarita Az 85629
© 2022
All rights reserved

Customer Name : Lisa Mrazek

Customer Company Name : First American Title Insurance Company Prepared On : 09/29/2022

2022 CoreLogic. All

Subject Paseo Celestial Sahuarita
Property :   748 W
AZ 85629
©
rights reserved

Customer Name : Lisa Mrazek

Customer Company Name : First American Title Insurance Company Prepared On : 09/29/2022

2022 CoreLogic.

©
All rights reserved

and statistics on

schools please go

Arizona Schools For detailed information
Arizona
to https://azreportcards.azed.gov/ First American Title Insurance Company, and the operating divisions thereof, make no express or implied warranty respecting the information presented and assume no responsibility for errors or omissions. First American, the eagle logo, First American Title, and firstam.com are registered trademarks or trademarks of First American Financial Corporation and/or its affiliates. ©2021 First American Financial Corporation and/or its affiliates. All rights reserved. NYSE: FAF 05117910421

PIMA

EDesertDove

SGuildRd

This

WSilverbellRd

NKINNEYRD

NFrontageRd

NSILVERBELLRD

SSanJoaquinRd

SKINNEYRD

SMISSIONRD

W

WAnamax

SSantaRitaRd

SCHOOL DISTRICTS

15 AJO UNIFIED 111 N. Well Road, Ajo, AZ 85321

SHelvetiaRd

51 ALTAR VALLEY ELEMENTARY 10105 S. Sasabe Road, Tucson, AZ 85736 520.822.1484

10 AMPHITHEATER UNIFIED 701 W. Wetmore, Tucson, AZ 85705 520.696.5000

16 CATALINA FOOTHILS UNIFIED 2101 E. River Road, Tucson, AZ 85718 520.209.7500

39 CONTINENTAL ELEMENTARY 1991 E. Whitehouse Canyon, Green Valley, AZ 85614 520.625.4581

08 FLOWING WELLS UNIFIED 1556 W. Prince Road, Tucson, AZ 85705 520.696.8800

06 MARANA UNIFIED 11279 W. Grier Road, Marana, AZ 85653 520.682.3243

11 PIMA COUNTY JTED 2855 W. Master Pieces Dr, Tucson, AZ 85741 520.352.5833

30 SAHUARITA UNIFIED 350 W. Sahuarita Road, Sahuarita, AZ 85629 520.625.3502

12

SUNNYSIDE UNIFIED 2238 E. Ginter Road, Tucson, AZ 85706 520.545.2000

13 TANQUE VERDE UNIFIED 2300 N. Tanque Verde Loop, Tucson, AZ 85749 520.749.5751

01 TUCSON UNIFIED 1010 E. 10th Street, Tucson, AZ 85717 520.225.6000

20 VAIL UNIFIED 10701 E. Mary Ann Cleveland Way, Tucson, AZ 85747 520.879.2000

05249570321 TUCSON INT'L AIRPORT Air Force
N M t L emmon Hwy ESascoRd NF 38 W Avra Valley Rd E Grand Va ey DrNAguirre R d N L u c k e R d N W e n t z R d N Wa terman Mounta i n R d N Anway Rd W El Tiro Rd N Trico Rd W Tucker Rd W Rudas l Rd W Manvi e Rd
WBopp Rd W Snyder H l Rd S M a r s e a r R d W Park Rd W Hermans RdW Hermans Rd W Guy St W Bush Rd S G a v e y R d N C a e R i n c o n a d o S W m o R d S Shaw Rd S Sierrita Mountain Rd S K o b R d W TwinButtes Rd W Mcgee Ranch Rd S E s t a n c a D r
E Hemlock Dr N Bea r C a n y o n R d W E Camino Del Cerro E Fairmount St S Swan Rd
W Emigh Rd W Fort Lowe Rd N P u m p S t a t ion dR E Nona Rd Ch efButteRd Lo al Ave N Trico Rd S Cattle Tank Rd Evalyn Rd SOwlHead R a n c h Rd GasLineRd S P ec a n R d N T r c o R d W Bayard Rd S S a n d a r o R d W i l l owSpri n gsRd N Dove Mountain Blvd
Mine Rd W G a c i a R a n hc R d Road424 WRagged Top Rd W Ruby Star Dr WBritten RanchRd
Pima Mine Rd S Mcgee Ranch R d E Edw n Rd
8 0
S PICACHO HWY E BAUMGARTNER RD N S A N D A R I O R D N ANWAY RD W VALENCIA RD W MOORE RD W INA RD N 1 S T A V E E SUNRISE DR E SNYDER RD
N S O L D I E R T R L E RIVER RDE PRINCE RD E SPEEDWAY BLVD S FREEMAN RD E 22ND ST E 22ND ST W IRVINGTON RD S N O G A L E S H W Y W VALENCIA RD
W SPEEDWAY BLVD S O L D S P A N I S H T RL W NARANJA DR W TWIN PEAKS RD W PICTURE ROCKS RD W MANVILLE RD
W MILE WIDE RD E SAHUARITA RD N TRICO RD S S A N D A R O R D PARK LINK DR S OLD N O G ALES HW Y S H O U G H T O N R D S L A C A N A D A DRW HELMET PEAK RD WAJOHWY N S W A N R D S KOLB RD S HOUGHTON RD W TANGERINE RD E GRANT RD S H O U G H T O N R D 9 5 WAJOHWY E VALENCIA RD NORACLE R D I10 I-19 77 77 77 86 86 286 10 19 10 10 Corona de Tucson Casas Adobes Catalina Green Valley Oracle Picture Rocks Three Points VailSummit Tanque Verde Tucson Sahuarita Red Rock Saddlebrooke Marana Oro Valley Rillito Summerhaven Willow Canyon Oracle Junction Cortaro Continental Littletown 20 30 13 15 51 39 12 01 01 08 10 16 11 06
COUNTY School District Information
map is provided for general location only. Please contact school districts for actual street boundaries
520.387.5618
First American Title Insurance Company, and the operating divisions thereof, make no express or implied warranty respecting the information presented and assume no responsibility for errors or omissions. First American, the eagle logo, First American Title, and firstam.com are registered trademarks or trademarks of First American Financial Corporation and/or its affiliates. ©2021 First American Financial Corporation and/or its affiliates. All rights reserved. NYSE: FAF

Public Schools :

Elementary Schools

Sahuarita Primary School Distance 0.33 Miles

350 W Sahuarita Rd Sahuarita AZ 85629

Telephone : (520) 625-6502

Lowest Grade : Pre-K

School District : Sahuarita Unified District (4411)

Highest Grade : 2nd

Kindergarten : Yes School Enrollment : Enrollment : 412

Total Expenditure/Student : 54

Sahuarita Intermediate School Distance 0.43 Miles

350 W Sahuarita Rd Sahuarita AZ 85629

Telephone : (520) 625-3502

Lowest Grade : 3rd

School District : Sahuarita Unified District (4411)

Highest Grade : 5th

Kindergarten : No School Enrollment : Enrollment : 457

Total Expenditure/Student : 54

Anza Trail Distance 0.58 Miles 15490 South Rancho Sahuarita B Sahuarita AZ 85629

Telephone : (520) 625-3502

Lowest Grade : K

School District : Sahuarita Unified District (4411)

Highest Grade : 8th

Kindergarten : Yes School Enrollment : Enrollment : 1336

Total Expenditure/Student : 54

Customer Name : Lisa Mrazek

Customer Company Name : First American Title Insurance Company Prepared On : 09/29/2022

© 2022 CoreLogic. All rights reserved

Copper View Elementary School

16200 S. Starlight View Lane Sahuarita AZ 85629

Telephone : (520) 625-3502

Lowest Grade : Pre-K

Distance 0.65 Miles

School District : Sahuarita Unified District (4411)

Highest Grade : 5th

Kindergarten : Yes School Enrollment : Enrollment : 760

Total Expenditure/Student : 54

Middle Schools

Sahuarita Middle School

350 W Sahuarita Rd Sahuarita AZ 85629

Telephone : (520) 625-3502

Lowest Grade : 6th

Distance 0.39 Miles

School District : Sahuarita Unified District (4411)

Highest Grade : 8th

Kindergarten : No School Enrollment : Enrollment : 575

Total Expenditure/Student : 54

High Schools

Pcjted - Sahuarita High School

350 W Sahuarita Rd Sahuarita AZ 85629

Telephone : (520) 625-3502

Lowest Grade : 9th

Distance 0.59 Miles

School District : Pima County Jted (89380)

Highest Grade : 12th

School Enrollment : Enrollment : 0

Total Expenditure/Student : Advanced Placement : No

Customer Name : Lisa Mrazek

Customer Company Name : First American Title Insurance Company Prepared On : 09/29/2022

© 2022 CoreLogic. All rights reserved

Sahuarita High School

350 W Sahuarita Rd Sahuarita AZ 85629

Telephone : (520) 625-3502

Distance 0.61 Miles

School District : Sahuarita Unified District (4411)

Highest Grade : 12th School Enrollment : Enrollment : 1067

Lowest Grade : 9th

Total Expenditure/Student : 54 Advanced Placement : No

Pima County At Walden Grove Distance 2.88 Miles

15510 S. Sahuarita Rd. Sahuarita AZ 85629

Telephone : (520) 625-3502

School District : Pima County Jted (89380)

Lowest Grade : 9th Highest Grade : 12th School Enrollment : Enrollment : 0

Total Expenditure/Student : Advanced Placement : No

Walden Grove High School

15510 S. Sahuarita Park Rd Sahuarita AZ 85629

Telephone : (520) 625-3502

Distance 2.88 Miles

School District : Sahuarita Unified District (4411)

Highest Grade : 12th School Enrollment : Enrollment : 1141

Lowest Grade : 9th

Total Expenditure/Student : 54 Advanced Placement : No

Customer Name : Lisa Mrazek

Customer Company Name : First American Title Insurance Company Prepared On : 09/29/2022

© 2022 CoreLogic. All rights reserved

Local

Attractions / Recreation

Name Address

Telephone Distance (Miles)

Oasis Club For Seniors L.l.c. 621 W Camino Tunera Sahuarita Az (801) 403-7359 0.32

Wave Aquatics 525 W Camino Tunera Sahuarita Az (520) 269-7358 0.41

Bridgetrae, Llc 42 W Corte Perla Fina Sahuarita Az (480) 648-7320 0.61

Anamax Recreation 375 W Sahuarita Ctr Way Sahuarita Az (520) 625-8296 0.63

Banks / Financial

Name Address Telephone Distance (Miles)

Jpmorgan Chase Bank, National Association 15960 S Rcho Sarit Blvd Sahuarita Az (520) 399-1512 0.32

Tucson Federal Credit Union 15950 S Rcho Sarit Blvd Sahuarita Az (520) 795-8520 0.32

Oakwood Lending Group Llc 1274 W Clle Playa De Ssta Sahuarita Az (520) 625-1376 0.69

Sahuarita Food Bank

Eating / Drinking

17750 S La Canada Dr Sahuarita Az (520) 668-0547 2.66

Name Address

Pick A Berry Yogurt

Telephone Distance (Miles)

15920 S Rancho Sahuarita Sahuarita Az (520) 396-3100 0.25

Starbucks 15950 S Rcho Sarit Blvd Sahuarita Az (520) 648-7700 0.29

Tito's Pizza & Wings + Bar 15980 S Rcho Sarit Blvd Sahuarita Az (520) 838-0514 0.34

Subway 15980 S Rcho Sarit Blvd # Sahuarita Az (520) 625-3156 0.34

Health Care Services

Name Address

Telephone Distance (Miles)

Pima Emergency Physicians Inc 745 W Calle Las Tunas Sahuarita Az (520) 795-7130 0.1

Jocelyn F Hendricks Do 15920 S Rcho Sarit Blvd Sahuarita Az (520) 365-3545 0.25

Vitality Physical Therapy 15920 S Ranch Sahrita Blv Sahuarita Az (520) 867-8064 0.25

Coppermine Dental Studio Iii, Pllc 15920 S Rcho Sarit Blvd Sahuarita Az (520) 838-0600 0.25

Customer Name : Lisa Mrazek

Customer Company Name : First American Title Insurance Company Prepared On : 09/29/2022

Business
© 2022 CoreLogic. All rights reserved

Hospitality

Name Address

Telephone Distance (Miles)

Chuparosa Inn Bed & Breakfast 1300 Madera Canyon Rd Sahuarita Az (520) 393-7370 0.84

G & C Hospitality, Inc.

13947 S Camino Los Picos Sahuarita Az (520) 425-3291 2.26

Green Valley Hotels No 1, Llc 19200 S I 19 Frontage Rd Green Valley Az (520) 625-0900 4.34

Santa Cruz Valley Hospitality Llc 19200 S I 19 Frontage Rd Green Valley Az (520) 625-0900 4.34

Organizations / Associations

Name Address

Telephone Distance (Miles)

The Rock Church Of Sahuar 492 W Vuelta Friso Sahuarita Az (520) 777-8936 0.28

Santa Cruz Valley Church 350 W Sahuarita Rd Sahuarita Az (520) 331-2450 0.54

Common Ground Church, Inc. 15490 S Rncho Shrita Blvd Sahuarita Az (520) 256-9869 0.55

The Church Of Jesus Christ Of Latterday Saints 17699 S Camino De Las Qns Sahuarita Az (520) 625-4104 0.84

Personal Services

Name Address Telephone Distance (Miles)

Crossfit Sahuarita 719 W Paseo Celestial Sahuarita Az (520) 591-1448 0.05

Crossfit Lanista Fitness 473 W Camino Tunera Sahuarita Az (520) 276-9348 0.55

Body Start Health & Fitness 1660 W Commerce Point Pl Sahuarita Az (520) 399-3405 0.84

Glo Fitness Studio Llc

Shopping

14901 S Cmino Trra Alegra Sahuarita Az (602) 722-8390 0.9

Name Address

Telephone Distance (Miles)

Smith's Food & Drug Centers, Inc. 15950 S Rcho Sarit Blvd Sahuarita Az (520) 648-7700 0.32

Big Lots, Inc. 18705 S I 19 Frontage Rd Sahuarita Az (520) 625-2876 0.84

Rasmussen, John "" Sahuarita Az (520) 648-1395 0.84

Ink Now 4 Less 1338 W Cmino Mesa Snrense Sahuarita Az (520) 245-4500 0.84

Customer Name : Lisa Mrazek

Customer Company Name : First American Title Insurance Company Prepared On : 09/29/2022

© 2022 CoreLogic. All rights reserved

744 W PASEO CELESTIAL Distance 0.01 Miles

Owner Name : Malone Darnell Nathaniel

Sale Date : 03/14/2017

Total Value : $131,919

Bed / Bath : / 2

Land Use : Sfr

Stories : 2

Yr Blt / Eff Yr Blt : 2009 /

Subdivision : Presidio Del Cielo 02

Recording Date : 03/31/2017

Sale Price  : $144,000

Property Tax : $1,626.82

Lot Acres : 0.07

Living Area : 1,378

APN : 303-76-5810

768 W PASEO CELESTIAL Distance 0.02 Miles

Owner Name : Huerta Michael E

Sale Date : 07/01/2009

Total Value : $152,325

Bed / Bath : / 2

Land Use : Sfr

Stories : 2

Yr Blt / Eff Yr Blt : 2009 /

Subdivision : Presidio Del Cielo 02

Recording Date : 11/18/2009

Sale Price  : $142,134

Property Tax : $1,879.27

Lot Acres : 0.07

Living Area : 1,661

APN : 303-76-5790

743 W PASEO CELESTIAL Distance 0.02 Miles

Owner Name : Mejia Bianca

Sale Date : 02/19/2021

Total Value : $134,588

Bed / Bath : / 2

Land Use : Sfr

Stories : 2

Yr Blt / Eff Yr Blt : 2009 /

Subdivision : Presidio Del Cielo 02

Recording Date : 02/23/2021

Sale Price  : $175,000

Property Tax : $1,659.86

Lot Acres : 0.07

Living Area : 1,378

APN : 303-76-5690

764 W PASEO CELESTIAL Distance 0.02 Miles

Owner Name : Shelton Rendell

Sale Date : 08/04/2009

Total Value : $134,588

Bed / Bath : / 2

Land Use : Sfr

Stories : 2

Yr Blt / Eff Yr Blt : 2009 /

Subdivision : Presidio Del Cielo 02

Recording Date : 02/11/2010

Sale Price  : $136,011

Property Tax : $1,659.86

Lot Acres : 0.07

Living Area : 1,378

APN : 303-76-5780

Customer Name : Lisa Mrazek

Customer Company Name : First American Title Insurance Company Prepared On : 09/29/2022

© 2022 CoreLogic. All rights reserved

734 W PASEO CELESTIAL Distance 0.02 Miles

Owner Name : Maurer Timothy J

Sale Date : 06/29/2009

Total Value : $146,081

Bed / Bath : / 2

Land Use : Sfr

Stories : 2

Yr Blt / Eff Yr Blt : 2006 /

Subdivision : Presidio Del Cielo 02

Recording Date : 08/10/2009

Sale Price  : $164,000

Property Tax : $2,018.55

Lot Acres : 0.07

Living Area : 1,661

APN : 303-76-5850

772 W PASEO CELESTIAL Distance 0.02 Miles

Owner Name : Enriquez Siomara G

Sale Date : 04/09/2009

Total Value : $152,325

Bed / Bath : / 2

Land Use : Sfr

Stories : 2

Yr Blt / Eff Yr Blt : 2009 /

Subdivision : Presidio Del Cielo 02

Recording Date : 11/24/2009

Sale Price  : $151,553

Property Tax : $1,879.27

Lot Acres : 0.08

Living Area : 1,661

APN : 303-76-5800

730 W PASEO CELESTIAL Distance 0.02 Miles

Owner Name : Hernandez Kimberly T

Sale Date : 12/01/2021

Total Value : $158,154

Bed / Bath : / 2

Land Use : Sfr

Stories : 2

Yr Blt / Eff Yr Blt : 2006 /

Subdivision : Presidio Del Cielo 02

Recording Date : 12/15/2021

Sale Price  : $289,000

Property Tax : $2,182.75

Lot Acres : 0.07

Living Area : 1,817

APN : 303-76-5840

738 W PASEO CELESTIAL Distance 0.03 Miles

Owner Name : Dobbins

Sale Date : 06/21/2019

Total Value : $128,878

Bed / Bath : / 2

Land Use : Sfr

Stories : 2

Yr Blt / Eff Yr Blt : 2006 /

Subdivision : Presidio Del Cielo 02

Recording Date : 06/27/2019

Sale Price  : $167,425

Property Tax : $1,570.02

Lot Acres : 0.08

Living Area : 1,378

APN : 303-76-5860

Customer Name : Lisa Mrazek

Customer Company Name : First American Title Insurance Company Prepared On : 09/29/2022

© 2022 CoreLogic. All rights reserved

747 W PASEO CELESTIAL

Owner Name : Garcia Gilberto Jr

Sale Date : 04/04/2019

Total Value : $149,655

Bed / Bath : / 2

Land Use : Sfr

Stories : 2

Distance 0.03 Miles

Subdivision : Presidio Del Cielo 02

Recording Date : 04/08/2019

Sale Price  : $175,000

Property Tax : $2,093.65

Lot Acres : 0.08

Living Area : 1,661

Yr Blt / Eff Yr Blt : 2009 / APN : 303-76-5700

763 W PASEO CELESTIAL Distance 0.03 Miles

Owner Name : Martinez Monique

Sale Date : 12/15/2020

Total Value : $134,588

Bed / Bath : / 2

Subdivision : Presidio Del Cielo 02

Recording Date : 01/22/2021

Sale Price  : $205,000

Property Tax : $1,659.86

Land Use : Sfr Lot Acres : 0.08

Stories : 2

Living Area : 1,378

Yr Blt / Eff Yr Blt : 2009 / APN : 303-76-5740

Customer Name : Lisa Mrazek

Customer Company Name : First American Title Insurance Company Prepared On : 09/29/2022

© 2022 CoreLogic. All rights reserved

Census Tract / block: 43.23 / 1     Year: 2018

Household

Population Population by Age

Count: 4,026 0 - 11

Estimate Current Year: 3,990 12 - 17

Estimate in 5 Years: 3,851 18 - 24 6.21%

Growth Last 5 Years: 1.14% 25 - 64 46.52%

Growth Last 10 Years: -167.24% 65 - 74 3.18% 75+

Household Size

Household Income

Current Year: 1,111 0 - $25,000 6.84%

Average Current Year: 3.62 $25,000 - $35,000 0%

Estimate in 5 Years: 1,405 $35,000 - $50,000 11.16%

Growth Last 5 Years: 2.07% $50,000 - $75,000 16.56%

Growth Last 10 Years: 26.25% $75,000 - $100,000 21.15%

Male Population: 46.1% Above $100,000 44.28%

Female Population: 53.9% Average Household Income: $91,583

Married People: 64.35%

Unmarried People: 35.65%

Housing

Median Mortgage Payments

Home Values

Under $300: 0.59% Below $100,000: 5.91%

$300 - $799: 13.71% $100,000 - $150,000: 8.87%

$800 - $1,999: 78.84% $150,000 - $200,000: 28.96% Over $2,000: 6.86% $200,000 - $300,000: 44.33%

Median Home Value: $226,500 $300,000 - $500,000: 10.87%

Unit Occupied Owner: 76.15% Above $500,000: 1.06%

Median Mortgage: $1,030

Customer Name : Lisa Mrazek

Customer Company Name : First American Title Insurance Company Prepared On : 09/29/2022

© 2022 CoreLogic. All rights reserved

Rent Payments Year Built

Unit Occupied Renter: 23.85% 1999 - 2000

Median Gross Rent: $1,397 1995 - 1998

Less Than $499 0% 1990 - 1994

$500 - $749 0% 1980 - 1989 1.87%

$750 - $999 0% 1970 - 1979 0.9%

$1000 and Over 100% 1900 - 1969 2.52%

Education

Enrollment

Public Pre-Primary School: 0.56%

Not Enrolled in School: 59.2%

Private Pre-Primary School: 0.99% Not A High School Graduate: 2.94%

Public School: 39.11% Graduate Of High School: 17.38%

Private School: 1.69% Attended Some College: 25.76%

Public College: 6.11% College Graduate: 39.72%

Private College: 0.7% Graduate Degree: 14.2% Workforce

Occupation:

Manager/Prof: 42.53% Private Worker: 68.85%

Technical: Government Worker: 23.99%

Sales: 26.5% Self Employed Worker: 1.77%

Administrative: Unpaid Family Worker: 3.49%

Private House Hold: Farming: 6.73%

Service: 17.99% Skilled:

Protective Services: Blue-Collar: 12.97%

Commute Time

Less Than 15 Min: 15.39%

15 min - 28 min: 28.66%

30 min - 57 min: 50.47%

Over 60 min: 5.48%

Customer Name : Lisa Mrazek

Customer Company Name : First American Title Insurance Company Prepared On : 09/29/2022

© 2022 CoreLogic. All rights reserved

Customer Name : Lisa Mrazek

Customer Company Name : First American Title Insurance Company Prepared On : 09/29/2022

CoreLogic.

© 2022
All rights reserved

Customer Name : Lisa Mrazek

Customer Company Name : First American Title Insurance Company

Prepared On : 09/29/2022

CoreLogic.

© 2022
All rights reserved

Customer Name : Lisa Mrazek

Customer Company Name : First American Title Insurance Company

Prepared On : 09/29/2022

CoreLogic.

© 2022
All rights reserved

SEARCH PARAMETERS

PARCEL:  303-76-5820

PARCEL: 303-76-5820

OWNER: WATSON ADAM S & TATIANA K

SITUS: 748 W PASEO CELESTIAL SAH

MAIL: 748 W PASEO CELESTIAL  SAHUARITA AZ 85629

PLAT: LOT 00579 BLOCK LEGAL: PRESIDIO DEL CIELO II LOT 579

CURRENT TAXES

LAND

EXEMPT RATE

INSTRUMENT REC DATE

AFFIDAVIT    2019 3160774 11/12/2019

AREA

PRIMARY  12,751  0  0  9.5047  3002

SECONDARY  50  13,142  0  4.9237

2021 TOTAL TAX BILLED 1,626.82

2021  TAX AMT TAX DUE INTEREST DATE PAID

INFORMATION THROUGH 07/28/2022

SPECIAL DISTRICTS

TOTAL DUE

FIRST HALF  813.41  0.00  0.00  10/23/2021  0.00

SECOND HALF  813.41  0.00  0.00  05/28/2022  0.00

TOTAL CURRENT TAXES DUE 09/22 0.00 10/22 0.00

IMPROVEMENTS

RESIDENTIAL

BLDG SQFT  1,378 FULL CASH VALUE  131,919

YEAR BUILT  2009 LAND USE  01 33

NUMBER OF STORIES  2.0 LOT SIZE  1 STDLT STORIES HEIGHT  0 SCHOOL DISTRICT  3002

EXTERIOR WALLS  FRAME WOOD LAND FULL CASH VALUE  502

GRADE MATERIALS IMPR FULL CASH VALUE  131,417

2019 3160774 WD RUIZ MABELYN SOFIA

13681 290 WD KB HOME SALES-TUCSON INC

+ FIRST AMERICAN TITLE, FC0, LMRA PIMA, AZ 09/29/2022  10:33AM  RL13  INVESTIGATIVE SEARCH RESULTS PAGE 1 OF 1
IMPR
SALES SALE DATE SALE AMOUNT INSTRUMENT TYPE SELLER NAME VALIDITY 11/12/2019 165,000
11/09/2009 133,542
ADDITIONAL PROPERTY INFORMATION STANDARD LAND USE: SFR END SEARCH

Covenants, Conditions & Restrictions

Thank you for the opportunity to be of service.

Restrictions indicating a preference, limitation or discrimination based on race, color, religion, sex, handicap, familial status, or national origin are hereby deleted to the extent such restrictions violate 42 USC 3604(c).

This information is furnished without fee and without benefit of a complete title search. No liability is assumed by First American Title or Title Security. If it is desired that liability be assumed, you may apply for a policy of title insurance with First American Title Insurance Company.

Page 1 of 11 09/29/2022 10:37 AM
Page 2 of 11 09/29/2022 10:37 AM
Page 3 of 11 09/29/2022 10:37 AM
Page 4 of 11 09/29/2022 10:37 AM
Page 5 of 11 09/29/2022 10:37 AM
Page 6 of 11 09/29/2022 10:37 AM
Page 7 of 11 09/29/2022 10:37 AM
Page 8 of 11 09/29/2022 10:37 AM
Page 9 of 11 09/29/2022 10:37 AM
Page 10 of 11 09/29/2022 10:37 AM
Page 11 of 11 09/29/2022 10:37 AM
Branch:FC0,User:LMRAComment:StationId:RL13 PIMA,AZPage1of4Printedon9/29/202210:35:58AM Document:RESAMD2011.334.0811
Branch:FC0,User:LMRAComment:StationId:RL13 PIMA,AZPage2of4Printedon9/29/202210:35:58AM Document:RESAMD2011.334.0811
Branch:FC0,User:LMRAComment:StationId:RL13 PIMA,AZPage3of4Printedon9/29/202210:35:58AM Document:RESAMD2011.334.0811
Branch:FC0,User:LMRAComment:StationId:RL13 PIMA,AZPage4of4Printedon9/29/202210:35:59AM Document:RESAMD2011.334.0811
Page 1 of 4 01/22/2013 9:58 AM
Page 2 of 4 01/22/2013 9:58 AM
Page 3 of 4 01/22/2013 9:58 AM
Page 4 of 4 01/22/2013 9:58 AM
Page 1 of 3 01/22/2013 9:58 AM
Page 2 of 3 01/22/2013 9:58 AM
Page 3 of 3 01/22/2013 9:58 AM
Page 1 of 150 01/22/2013 9:58 AM
Page 2 of 150 01/22/2013 9:58 AM
Page 3 of 150 01/22/2013 9:58 AM
Page 4 of 150 01/22/2013 9:58 AM
Page 5 of 150 01/22/2013 9:58 AM
Page 6 of 150 01/22/2013 9:58 AM
Page 7 of 150 01/22/2013 9:58 AM
Page 8 of 150 01/22/2013 9:58 AM
Page 9 of 150 01/22/2013 9:58 AM
Page 10 of 150 01/22/2013 9:58 AM
Page 11 of 150 01/22/2013 9:58 AM
Page 12 of 150 01/22/2013 9:58 AM
Page 13 of 150 01/22/2013 9:58 AM
Page 14 of 150 01/22/2013 9:58 AM
Page 15 of 150 01/22/2013 9:58 AM
Page 16 of 150 01/22/2013 9:58 AM
Page 17 of 150 01/22/2013 9:58 AM
Page 18 of 150 01/22/2013 9:58 AM
Page 19 of 150 01/22/2013 9:58 AM
Page 20 of 150 01/22/2013 9:58 AM
Page 21 of 150 01/22/2013 9:58 AM
Page 22 of 150 01/22/2013 9:58 AM
Page 23 of 150 01/22/2013 9:58 AM
Page 24 of 150 01/22/2013 9:58 AM
Page 25 of 150 01/22/2013 9:58 AM
Page 26 of 150 01/22/2013 9:58 AM
Page 27 of 150 01/22/2013 9:58 AM
Page 28 of 150 01/22/2013 9:58 AM
Page 29 of 150 01/22/2013 9:58 AM
Page 30 of 150 01/22/2013 9:58 AM
Page 31 of 150 01/22/2013 9:58 AM
Page 32 of 150 01/22/2013 9:58 AM
Page 33 of 150 01/22/2013 9:58 AM
Page 34 of 150 01/22/2013 9:58 AM
Page 35 of 150 01/22/2013 9:58 AM
Page 36 of 150 01/22/2013 9:58 AM
Page 37 of 150 01/22/2013 9:58 AM
Page 38 of 150 01/22/2013 9:58 AM
Page 39 of 150 01/22/2013 9:58 AM
Page 40 of 150 01/22/2013 9:58 AM
Page 41 of 150 01/22/2013 9:58 AM
Page 42 of 150 01/22/2013 9:58 AM
Page 43 of 150 01/22/2013 9:58 AM
Page 44 of 150 01/22/2013 9:58 AM
Page 45 of 150 01/22/2013 9:58 AM
Page 46 of 150 01/22/2013 9:58 AM
Page 47 of 150 01/22/2013 9:58 AM
Page 48 of 150 01/22/2013 9:58 AM
Page 49 of 150 01/22/2013 9:58 AM
Page 50 of 150 01/22/2013 9:58 AM
Page 51 of 150 01/22/2013 9:58 AM
Page 52 of 150 01/22/2013 9:58 AM
Page 53 of 150 01/22/2013 9:58 AM
Page 54 of 150 01/22/2013 9:58 AM
Page 55 of 150 01/22/2013 9:58 AM
Page 56 of 150 01/22/2013 9:58 AM
Page 57 of 150 01/22/2013 9:58 AM
Page 58 of 150 01/22/2013 9:58 AM
Page 59 of 150 01/22/2013 9:58 AM
Page 60 of 150 01/22/2013 9:58 AM
Page 61 of 150 01/22/2013 9:58 AM
Page 62 of 150 01/22/2013 9:58 AM
Page 63 of 150 01/22/2013 9:58 AM
Page 64 of 150 01/22/2013 9:58 AM
Page 65 of 150 01/22/2013 9:58 AM
Page 66 of 150 01/22/2013 9:58 AM
Page 67 of 150 01/22/2013 9:58 AM
Page 68 of 150 01/22/2013 9:58 AM
Page 69 of 150 01/22/2013 9:58 AM
Page 70 of 150 01/22/2013 9:58 AM
Page 71 of 150 01/22/2013 9:58 AM
Page 72 of 150 01/22/2013 9:58 AM
Page 73 of 150 01/22/2013 9:58 AM
Page 74 of 150 01/22/2013 9:58 AM
Page 75 of 150 01/22/2013 9:58 AM
Page 76 of 150 01/22/2013 9:58 AM
Page 77 of 150 01/22/2013 9:58 AM
Page 78 of 150 01/22/2013 9:58 AM
Page 79 of 150 01/22/2013 9:58 AM
Page 80 of 150 01/22/2013 9:58 AM
Page 81 of 150 01/22/2013 9:58 AM
Page 82 of 150 01/22/2013 9:58 AM
Page 83 of 150 01/22/2013 9:58 AM
Page 84 of 150 01/22/2013 9:58 AM
Page 85 of 150 01/22/2013 9:58 AM
Page 86 of 150 01/22/2013 9:58 AM
Page 87 of 150 01/22/2013 9:58 AM
Page 88 of 150 01/22/2013 9:58 AM
Page 89 of 150 01/22/2013 9:58 AM
Page 90 of 150 01/22/2013 9:58 AM
Page 91 of 150 01/22/2013 9:58 AM
Page 92 of 150 01/22/2013 9:58 AM
Page 93 of 150 01/22/2013 9:58 AM
Page 94 of 150 01/22/2013 9:58 AM
Page 95 of 150 01/22/2013 9:58 AM
Page 96 of 150 01/22/2013 9:58 AM
Page 97 of 150 01/22/2013 9:58 AM
Page 98 of 150 01/22/2013 9:58 AM
Page 99 of 150 01/22/2013 9:58 AM
Page 100 of 150 01/22/2013 9:58 AM
Page 101 of 150 01/22/2013 9:58 AM
Page 102 of 150 01/22/2013 9:58 AM
Page 103 of 150 01/22/2013 9:58 AM
Page 104 of 150 01/22/2013 9:58 AM
Page 105 of 150 01/22/2013 9:58 AM
Page 106 of 150 01/22/2013 9:58 AM
Page 107 of 150 01/22/2013 9:58 AM
Page 108 of 150 01/22/2013 9:58 AM
Page 109 of 150 01/22/2013 9:58 AM
Page 110 of 150 01/22/2013 9:58 AM
Page 111 of 150 01/22/2013 9:58 AM
Page 112 of 150 01/22/2013 9:58 AM
Page 113 of 150 01/22/2013 9:58 AM
Page 114 of 150 01/22/2013 9:58 AM
Page 115 of 150 01/22/2013 9:58 AM
Page 116 of 150 01/22/2013 9:58 AM
Page 117 of 150 01/22/2013 9:58 AM
Page 118 of 150 01/22/2013 9:58 AM
Page 119 of 150 01/22/2013 9:58 AM
Page 120 of 150 01/22/2013 9:58 AM
Page 121 of 150 01/22/2013 9:58 AM
Page 122 of 150 01/22/2013 9:58 AM
Page 123 of 150 01/22/2013 9:58 AM
Page 124 of 150 01/22/2013 9:58 AM
Page 125 of 150 01/22/2013 9:58 AM
Page 126 of 150 01/22/2013 9:58 AM
Page 127 of 150 01/22/2013 9:58 AM
Page 128 of 150 01/22/2013 9:58 AM
Page 129 of 150 01/22/2013 9:58 AM
Page 130 of 150 01/22/2013 9:58 AM
Page 131 of 150 01/22/2013 9:58 AM
Page 132 of 150 01/22/2013 9:58 AM
Page 133 of 150 01/22/2013 9:58 AM
Page 134 of 150 01/22/2013 9:58 AM
Page 135 of 150 01/22/2013 9:58 AM
Page 136 of 150 01/22/2013 9:58 AM
Page 137 of 150 01/22/2013 9:58 AM
Page 138 of 150 01/22/2013 9:58 AM
Page 139 of 150 01/22/2013 9:58 AM
Page 140 of 150 01/22/2013 9:58 AM
Page 141 of 150 01/22/2013 9:58 AM
Page 142 of 150 01/22/2013 9:58 AM
Page 143 of 150 01/22/2013 9:58 AM
Page 144 of 150 01/22/2013 9:58 AM
Page 145 of 150 01/22/2013 9:58 AM
Page 146 of 150 01/22/2013 9:58 AM
Page 147 of 150 01/22/2013 9:58 AM
Page 148 of 150 01/22/2013 9:58 AM
Page 149 of 150 01/22/2013 9:58 AM
Page 150 of 150 01/22/2013 9:58 AM
to the Title & Escrow Process in Arizona Home Seller’s Guide

Your Escrow Number

Your New Address

City/State/Zip

Real Estate Agent

First

Southwest Gas 1.877.860.6020 www.swgas.com Cox 602.277.1000 www.cox.com

Direct TV 1.888.777.2454 www.directv.com

Dish Network 1.800.823.4929 www.dishnetwork.com

CenturyLink 800.366.8201 www.centurylink.com AT&T 1.800.222.0300 www.att.com

Verizon 1.877.300.4498 www.connecttoverizon.com

Salt River Project 602.236.8888 www.srpnet.com APS 602.371.7171 www.aps.com

Name Email Assistant Email Company Phone Address Fax Insurance Previous Company Phone Previous Agent Policy No. New Company Phone New Agent Policy No. Home Warranty Company Policy No.
American Title Escrow Officer Email Escrow Assistant Email Address Phone City/State/Zip Fax 02 Quick Reference 03 Welcome 04 Benefits of Using a REALTOR ® 05 Key Professionals 06 Preparing Your Home for Sale 07 Staging Your Home for Show 09 Terms You Should Know 10 The Life of an Escrow 11 Closing Costs: Who Pays What 12 The Escrow Process 14 Understanding Title Insurance 16 Consider This 17 Closing Your Escrow 18 Planning Your Move Q uick Reference Table of Contents Utilities and Services

Count on First American Title

Welcome to the home-selling process. Throughout this process, you can count on First American Title to guide you smoothly through your transaction and provide expert answers to your questions. We are happy to serve you.

Count On Us For Service

First American Title’s professionals are proud to provide the title insurance that assures people’s home ownership. Backed by First American Title Insurance Company, your transaction will be expertly completed in accordance with state-specific underwriting standards and state and federal regulatory requirements.

Count On Us For Stability

First American Title is the principal subsidiary of First American Financial Corporation, and one of the largest suppliers of title insurance services in the nation. With roots dating back to 1889, we’ve served families for generations.

Count On Us For Convenience

First American Title has a direct office or agent near you, offering convenient locations throughout Arizona. We also have an extensive network of offices and agents throughout the United States, and internationally.

Count On Us To Meet Your Needs

First American Financial Corporation offers more than title insurance and escrow services through its subsidiaries. Our subsidiaries also provide property data, title plant records and images, home warranties, property and casualty insurance, and banking, trust and advisory services.

AZ Sellers Guide | 3

Benefits of using a Professional REALTOR ®

Before you make the decision to try to sell your home alone, consider the benefits a REALTOR ® can provide that you may not be aware of.

A REALTOR ® :

› Understands market conditions and has access to information not available to the average homeowner.

› Can advertise effectively for the best results.

› Knows how to price your home realistically, to give you the highest price possible within your time frame.

› Is experienced in creating demand for homes and how to show them to advantage.

› Knows how to screen potential buyers and eliminate those who can’t qualify or are looking for bargain-basement prices.

› Knows how to go toe-to-toe in negotiations.

› Is always “on-call,” answering the phone at all hours, and showing homes evenings and weekends.

› Can remain objective when presenting offers and counter-offers on your behalf.

› Maintains errors-and-omissions insurance.

› Will listen to your needs, respect your opinions and allow you to make your own decisions.

› Can help protect your rights, particularly important with the increasingly complicated real estate laws and regulations.

› Is experienced with resolving problems to facilitate a successful closing on your home.

Only you can determine whether you should attempt to sell your home—probably your largest investment—all alone. Talk with a REALTOR® before you decide. You may find working with a professional is a lot less expensive and much more beneficial than you ever imagined!

FOR SALE BY OWNER

Many people believe they can save a considerable amount of money by selling their homes themselves. It may seem like a good idea at the time, but while you may be willing to take on the task, are you qualified? The following are some questions to help you realistically assess what’s involved.

Do you...

- have the knowledge, patience, and sales skills needed to sell your home?

- know how to determine your home’s current market value?

- know how to determine whether or not a buyer can qualify for a loan?

- understand the steps of an escrow and what’s required of you and the buyer?

- need to hire a real estate attorney? If so, do you know what the cost will be and how much liability they will assume in the transaction?

- know how to advertise effectively and what the costs will be?

- understand the various types of loans buyers may choose and the advantages and disadvantages for the seller?

- have arrangements with an escrow and title company, home warranty company, pest-control service and lender to assist you with the transaction?

Are you...

- aware of conditions in the marketplace today that affect value and length of time to sell?

- concerned about having strangers walking through your home?

- familiar enough with real estate regulations to prepare a binding sales contract? Counter-offers?

- aware that every time you leave your home, you are taking it off the market until you return?

- aware that prospective buyers and bargain hunters will expect you to lower your cost because there’s no REALTOR® involved?

- prepared to give up your evenings and weekends to show your home to potential buyers and “just-looking” time wasters?

AZ Sellers Guide | 4

Key Professionals Involved in Your Transaction

REALTOR ®

A REALTOR ® is a licensed real estate agent and a member of the National Association of REALTORS,® a real estate trade association. REALTORS ® also belong to their state and local Association of REALTORS.®

REAL ESTATE AGENT

A real estate agent is licensed by the state to represent parties in the transfer of property. Every REALTOR ® is a real estate agent, but not every real estate agent has the professional designation of a REALTOR.®

LISTING AGENT

A key role of the listing agent or broker is to form a legal relationship with the homeowner to sell the property and place the property in the Multiple Listing Service.

BUYER'S AGENT

A key role of the buyer’s agent or broker is to work with the buyer to locate a suitable property and negotiate a successful home purchase.

MULTIPLE LISTING SERVICE (MLS)

The MLS is a database of properties listed for sale by REALTORS ® who are members of the local Association of REALTORS.® Information on an MLS property is available to thousands of REALTORS ®

TITLE COMPANY

These are the people who carry out the title search and examination, work with you to eliminate the title exceptions you are not willing to take subject to, and provide the policy of title insurance regarding title to the real property.

ESCROW OFFICER

An escrow officer leads the facilitation of your escrow, including escrow instructions preparation, document preparation, funds disbursement, and more.

AZ Sellers Guide | 5

PREPARING FOR SALE YOUR HOME

Mow and edge the lawn regularly, and trim the shrubs.

Make your entry inviting: Paint your front door and buy a new front door mat.

Paint or replace the mailbox, if needed.

If screens or windows are damaged, replace or repair them.

Repair or replace worn shutters and other exterior trim.

Make sure the front steps are clear and hazard-free. Make sure the doorbell works properly and has a pleasant sound.

Ensure that all exterior lights are working.

Check stucco walls for cracks and discoloration.

Remove any oil and rust stains from the driveway and garage.

Clean and organize the garage, and ensure the door is in good working order.

Shampoo carpeting or replace if worn. Clean tile floors, particularly the caulking.

Brighten the appearance inside by painting walls, cleaning windows and window coverings, and removing sunscreens.

Repair leaky faucets and caulking in bathtubs and showers.

Repair or replace loose knobs on doors and cabinets. If doors stick or squeak, fix them.

Make sure toilet seats look new and are firmly attached.

First impressions have a major impact on potential buyers. Try to imagine what potential buyers will see when they approach your house for the first time and walk through each room. Ask your REALTOR ® for advice; they know the marketplace and what helps a home sell. Here are some tips to present your home in a positive manner:

Repair or replace loud ventilating fans.

Replace worn shower curtains.

Rearrange furniture to make rooms appear larger. If possible, remove and/or store excess furniture, and avoid extension cords in plain view.

Remove clutter throughout the house. Organize and clean out closets.

Clean household appliances and make sure they work properly.

Air conditioners/heaters, evaporative coolers, hot water heater should be clean, working and inspected if necessary. Replace filters.

Check the pool and/or spa equipment and pumps. Make sure all are working properly and that the pool and/or spa are kept clean.

Inspect fences, gates and latches. Repair or replace as needed.

AZ Sellers Guide | 6

Staging your home for Show

To make the best impression, keep your home clean, neat, uncluttered and in good repair. Please review this list prior to each showing:

Keep everything clean. A messy or dirty home will cause prospective buyers to notice every flaw.

Clear all clutter from counter tops.

Let the light in. Raise shades, open blinds, pull back the curtains and turn on the lights.

Get rid of odors such as tobacco, pets, cooking, etc., but don’t overdo air fresheners or potpourri. Fresh baked bread and cinnamon can make a positive impact.

Send pets away or secure them away from the house, and be sure to clean up after them.

Close the windows to eliminate street noise.

If possible you, your pets, and your children should be gone while your home is being shown.

Clean trash cans and put them out of sight.

If you must be present while your home is shown, keep noise down. Turn off the TV and radio. Soft, instrumental music is fine, but avoid vocals.

Keep the garage door closed and the driveway clear. Park autos and campers away from your home during showings

Hang clean attractive guest towels in the bathrooms.

Check that sink and tub are scrubbed and unstained.

Make beds with attractive spreads.

Stash or throw out newspapers, magazines, junk mail.

AZ Sellers Guide | 7
AZ Sellers Guide | 8

Terms You Should Know

Appraisal

An estimate of value of property resulting from analysis of facts about the property; an opinion of value.

Annual Percentage Rate (APR)

The borrower’s costs of the loan term expressed as a rate. This is not their interest rate.

Beneficiary

The recipient of benefits, often from a deed of trust; usually the lender.

Closing Disclosure (CD)

Closing Disclosure form designed to provide disclosures that will be helpful to borrowers in understanding all of the costs of the transaction. This form will be given to the consumer three (3) business days before closing.

Close of Escrow

Generally the date the buyer becomes the legal owner and title insurance becomes effective.

Comparable Sales

Sales that have similar characteristics as the subject real property, used for analysis in the appraisal. Commonly called “comps.”

Consummation

Occurs when the borrower becomes contractually obligated to the creditor on the loan, not, for example, when the borrower becomes contractually obligated to a seller on a real estate transaction. The point in time when a borrower becomes contractually obligated to the creditor on the loan depends on applicable State law. Consummation is not the same as close of escrow or settlement.

Deed of Trust

An instrument used in many states in place of a mortgage.

Deed Restrictions

Limitations in the deed to a parcel of real property that dictate certain uses that may or may not be made of the real property.

Disbursement Date

The date the amounts are to be disbursed to a buyer and seller in a purchase transaction or the date funds are to be paid to the borrower or a third party in a transaction that is not a purchase transaction.

Earnest Money Deposit

Down payment made by a purchaser of real property as evidence of good faith; a deposit or partial payment.

Easement

A right, privilege or interest limited to a specific purpose that one party has in the land of another.

Endorsement

As to a title insurance policy, a rider or attachment forming a part of the insurance policy expanding or limiting coverage.

Hazard Insurance

Real estate insurance protecting against fire, some natural causes, vandalism, etc., depending upon the policy. Buyer often adds liability insurance and extended coverage for personal property.

Impounds

A trust type of account established by lenders for the accumulation of borrower’s funds to meet periodic payments of taxes, mortgage insurance premiums and/or future insurance policy premiums, required to protect their security.

Legal Description

A description of land recognized by law, based on government surveys, spelling out the exact boundaries of the entire parcel of land. It should so thoroughly identify a parcel of land that it cannot be confused with any other.

Lien

A form of encumbrance that usually makes a specific parcel of real property the security for the payment of a debt or discharge of an obligation. For example, judgments, taxes, mortgages, deeds of trust.

Loan Estimate (LE)

Form designed to provide disclosures that will be helpful to borrowers in understanding the key features, costs and risks of the mortgage loan for which they are applying. Initial disclosure to be given to the borrower three (3) business days after application.

Mortgage

The instrument by which real property is pledged as security for repayment of a loan.

PITI

A payment that includes Principal, Interest, Taxes, and Insurance.

Power of Attorney

A written instrument whereby a principal gives authority to an agent. The agent acting under such a grant is sometimes called an “Attorney-in-Fact.”

Recording

Filing documents affecting real property with the appropriate government agency as a matter of public record.

Settlement statement

Provides a complete breakdown of costs involved in a real estate transaction.

TRID

TILA-RESPA Integrated Disclosures

AZ Sellers Guide | 9

The Life Of An Escrow

THE BUYER

Chooses a Real Estate Agent

Gets pre-approval letter from Lender and provides to Real Estate Agent.

Makes offer to purchase. Upon acceptance, opens escrow and deposits earnest money.

Finalizes loan application with Lender. Receives a Loan Estimate from Lender.

Completes and returns opening package from First American Title.

Schedules inspections and evaluates findings. Reviews title commitment/ preliminary report.

Provides all requested paperwork to Lender (bank statements, tax returns, etc.) All invoices and final approvals should be to the lender no later than 10 days prior to loan consummation.

Lender (or Escrow Officer) prepares CD and delivers to Buyer at least 3 days prior to loan consummation.

Escrow officer or real estate agent contacts the buyer to schedule signing appointment.

Buyer consummates loan, executes settlement documents, & deposits funds via wire transfer.

Documents are recorded and the keys are delivered!

THE SELLER

Chooses a Real Estate Agent

Accepts Buyer’s offer to purchase.

Completes and returns opening package from First American Title, including information such as forwarding address, payoff lender contact information and loan numbers.

Orders any work for inspections and/or repairs to be done as required by the purchase agreement.

Escrow officer or real estate agent contacts the seller to schedule signing appointment.

Documents are recorded and all proceeds from sale are received.

THE ESCROW OFFICER

Upon receipt of order and earnest money deposit, orders title examination.

Requests necessary information from buyers and sellers via opening packages.

Reviews title commitment / preliminary report.

Upon receipt of opening packages, orders demands for payoffs. Contacts buyer or seller when additional information is required for the title commitment/ preliminary report.

All demands, invoices, and fees must be collected and sent to lender at least 10 days prior to loan consummation.

Coordinates with lender on the preparation of the CD.

Reviews all documents, demands, and instructions and prepares settlement statements and any other required documents.

Schedules signing appointment and informs buyer of funds due at settlement.

Once loan is consummated, sends funding package to lender for review.

Prepares recording instructions and submits docs for recording.

Documents are recorded and funds are disbursed. Issues final settlement statement.

THE LENDER

Accepts Buyer’s application and begins the qualification process. Provides Buyer with Loan Estimate.

Orders and reviews title commitment / preliminary report, property appraisal, credit report, employment and funds verification.

Collects information such as title commitment / preliminary report, appraisal, credit report, employment and funds verification. Reviews and requests additional information for final loan approval.

Underwriting reviews loan package for approval.

Coordinates with Escrow Officer on the preparation of the Closing Disclosure, which is delivered to Buyer at least 3 days prior to loan consummation.

Delivers loan documents to escrow.

Upon review of signed loan documents, authorizes loan funding.

AZ Sellers Guide | 10

Closing Costs: Who Pays What

CASH FHA VA CONV

1. Downpayment BUYER BUYER BUYER BUYER

2. Termite (Wood Infestation) Inspection (negotiable except on VA) SELLER

3. Property Inspection (if requested by buyer) BUYER BUYER BUYER BUYER

4. Property Repairs, if any (negotiable) SELLER SELLER SELLER SELLER

5. New Loan Origination Fee (negotiable) BUYER BUYER BUYER

6. Discount Points (negotiable) BUYER BUYER BUYER

7. Credit Report BUYER BUYER BUYER

8. Appraisal or Extension Fee (negotiable) BUYER BUYER BUYER

9. Existing Loan Payoff SELLER SELLER SELLER SELLER

10. Existing Loan Payoff Demand SELLER SELLER SELLER SELLER

11. Loan Prepayment Penalty (if any) SELLER SELLER SELLER SELLER

12. Next Month’s PITI Payment BUYER BUYER BUYER

13. Prepaid Interest (approx. 30 days) BUYER BUYER BUYER

14. Reserve Account Balance (Credit seller / Charge buyer) PRORATE PRORATE PRORATE

15. FHA MIP, VA Funding Fee, PMI Premium BUYER BUYER BUYER

16. Assessments payoff or proration (sewer, paving, etc.) SELLER

Taxes PRORATE PRORATE PRORATE PRORATE

Tax Impounds BUYER BUYER BUYER

Tax Service Contract SELLER SELLER BUYER

Fire/Hazard Insurance BUYER BUYER BUYER BUYER

Flood Insurance BUYER BUYER BUYER

Homeowners Association (HOA) Transfer Fee BUYER or SELLER BUYER or SELLER BUYER or SELLER BUYER or SELLER

SELLER SELLER SELLER SELLER

PRORATE PRORATE PRORATE PRORATE

BUYER BUYER BUYER BUYER

BUYER

SELLER BUYER or SELLER BUYER or SELLER BUYER or SELLER

SELLER SELLER SELLER SELLER

SELLER SELLER SELLER SELLER

BUYER BUYER BUYER

SPLIT SPLIT SELLER SPLIT

SPLIT SPLIT SPLIT SPLIT

SELLER SELLER SELLER SPLIT

SPLIT SPLIT SELLER SPLIT

AZ Sellers Guide | 11
17.
18.
19.
20.
21
22.
23. HOA/Disclosure Fee
24 Current HOA Payment
25. Next Month’s HOA Payment
26. Home Warranty Premium (negotiable)
or
27. REALTORS®’ Commissions
28. EAGLE Homeowners Title Policy
29. Lenders Title Policy and Endorsements
30. Escrow Fee (NOTE: Charge seller on VA Loan)
31. Recording Fees (Flat rate)
32. Reconveyance/Satisfaction Fee
33. Courier/Express Mail Fees
THIS CHART INDICATES WHO CUSTOMARILY PAYS WHAT COSTS Note: Prorated items will appear on Closing Statement as charges for one and credits for the other.

The Escrow Process

WHAT IS AN ESCROW?

The escrow is the process of having a neutral party manage the exchange of money for real property. The escrow holder is known as an escrow or settlement officer or agent. The buyer deposits funds and the seller deposits a deed with the escrow holder along with all of the other documents required to remove all "contingencies" (conditions and approvals) in the purchase agreement prior to closing.

HOW IS AN ESCROW OPENED?

Once a purchase agreement is signed by all necessary parties, the agent representing the party who will pay the fee selects an escrow holder and the buyer's earnest money deposit and contract are submitted to the escrow holder. From this point, the escrow holder will follow the mutual written instructions of the buyer and seller, maintaining a neutral stance to ensure that neither party has an unfair advantage over the other. The escrow holder also follows the instructions of the Buyer's new lender, the seller's existing lender, and both parties' agents. The escrow holder ensures the transparency of the transaction, while carefully maintaining the privacy of the consumers.

AZ Sellers Guide | 12

Your Escrow Professional May:

Open escrow and deposit good faith funds into an escrow account

Conduct a title search to determine the ownership and title status of the real property

Review the title commitment and begin the process of working with you and the title officer to eliminate the title exceptions the buyer and the buyer’s new lender are not willing to take subject to. This includes ordering a payoff demand from your existing lender.

Coordinate with the buyer’s lender on the preparation of the Closing Disclosure (CD)

Prorate fees, such as real property taxes, per the contract and prepare the settlement statement

Set separate appointments allowing the buyer and seller to sign documents and deposit funds

Review documents and ensure all conditions are fulfilled and certain legal requirements are met

Request funds from buyer and buyer’s new lender

When all funds are deposited and conditions met, record documents with the County Recorder to transfer the real property to the buyer

After recording is confirmed, close escrow and disburse funds, including proceeds, loan payoffs, tax payments, and more

Prepare and send final documents to all parties

AZ Sellers Guide | 13

Understanding Title Insurance

The Title Industry & Title Insurance in Brief

Prior to the development of the title industry in the late 1800s, a home-buyer received a grantor’s warranty, attorney’s title opinion, or abstractor’s certificate as assurance of home ownership. The buyer relied on the financial integrity of the grantor, attorney, or abstractor for protection. Today, home-buyers look primarily to title insurance to provide this protection. Title insurance companies are regulated by state statute. They are required to post financial guarantees to ensure that any claims will be paid in a timely fashion. They also must maintain their own “title plants” which house duplicates of recorded deeds, mortgages, plats, and other pertinent county property records.

WHAT IS TITLE INSURANCE?

Title insurance provides coverage for certain losses due to defects in the title that, for the most part, occurred prior to your ownership. Title insurance protects against defects such as prior fraud or forgery that might go undetected until after closing and possibly jeopardize your ownership and investment.

WHY IS TITLE INSURANCE NEEDED?

Title insurance insures buyers against the risk that they did not acquire marketable title from the seller. It is primarily designed to reduce risk or loss caused by defects in title from the past. A loan policy of title insurance protects the interest of the mortgage lender, while an owner’s policy protects the equity of you, the buyer, for as long as you or your heirs (in certain policies) own the real property.

WHEN IS THE PREMIUM DUE?

You pay for your owner’s title insurance policy only once, at the close of escrow. Who pays for the owner’s policy and loan policy varies depending on local customs.

AZ Sellers Guide | 14

Compare First American’s Eagle Policy® for Owners

Protection from:

1 Someone else owns an interest in your title

2 A document is not properly signed

3 Forgery, fraud, duress in the chain of title

4 Defective recording of any document

5 There are restrictive covenants

6 There is a lien on your title because there is:

a) a deed of trust

b) a judgement, tax, or special assessment

c) a charge by a homeowner’s association

7 Title is unmarketable

8 Mechanics lien

9 Forced removal of a structure because it:

a) extends on another property and/or easement

b) violates a restriction in Schedule B

c) violates an existing zoning law*

10 Cannot use the land for a Single-Family Residence because the use violates a restriction in Schedule B or a zoning ordinance

11 Unrecorded lien by a homeowners association

12 Unrecorded easements

13 Building permit violations*

14 Restrictive covenant violations

15 Post-policy forgery

16 Post-policy encroachment

17 Post-policy damage from extraction of minerals or water

18 Lack of vehicular and pedestrian access

19 Map not consistent with legal description

20 Post-policy adverse possession

Compare First American’s Eagle Policy® for Owners

21

22

23

Post-policy prescriptive easement

Covenant violation resulting in your title reverting to a previous owner

Violation of building setback regulations

24 Discriminatory covenants

Other benefits:

25 Pays rent for substitute land or facilities

26 Rights under unrecorded leases

27

28

29

30

Plain language statements of policy coverage and restrictions

Compliance with Subdivision Map Act

Coverage for boundary wall or fence encroachment*

Added ownership coverage leads to enhanced marketability

31 Insurance coverage for a lifetime

32

Post-policy inflation coverage with automatic increase in value up to 150% over five years

33 Post-policy Living Trust coverage

* Deductible and maximum limits apply. Not available to investors on 1- to 4-unit residential properties. Coverage may vary based on an individual policy.

As with any insurance contract, the insuring provisions express the coverage afforded by the title insurance policy and there are exceptions, exclusions and conditions to coverage that limit or narrow the coverage afforded by the policy. Also, some cov erage may not be available in a particular area or transaction due to legal, regulatory, or underwriting considerations. Please contact a First American representative for further information. The services described above are typical basic services. The services provided to you may be different due to the specifics of your transaction or the location of the real property involved.

EAGLE ALTA Standard or CLTA EAGLE ALTA Standard or CLTA
AZ Sellers Guide | 15

Consider This

One escrow transaction could involve more than 20 individuals, including real estate agents, buyers, sellers, attorneys, escrow officer, escrow technician, title officer, loan officer, loan processor, loan underwriter, home inspector, termite inspector, insurance agent, home warranty representative, contractor, roofer, plumber, pool service, and so on. And often, one transaction depends on another.

When you consider the number of people involved, you can imagine the opportunities for delays and mishaps. Your experienced escrow team can’t prevent unforeseen problems from arising; however, they can help smooth out the process.

AZ Sellers Guide | 16

Closing Your Escrow

THE CLOSING DISCLOSURE

Once the loan is approved and all invoices and paperwork have been provided, the lender and escrow officer will collaborate on the preparation of the Closing Disclosure (CD). In order to close on time, all paperwork and invoices should be submitted at least 10 days prior to the expected close of escrow date. The borrower must receive the CD at least three days* prior to consummation of the loan (typically the signing date). The escrow officer will also prepare an estimated settlement statement and inform the buyer of the balance of the down payment and closing costs needed to close escrow.

*For purposes of the Closing Disclosure“business day” is defined as every day except Sundays and Federal legal holidays.

THE CLOSING OR SIGNING APPOINTMENT

The escrow holder will contact you or your agent to schedule a closing or signing appointment. In some states, this is the "close of escrow." In some others, the close of escrow is either the day the documents record or that funds are disbursed. Ask your escrow holder if you would like clarification about your state's laws.

You will have a chance to review the settlement statement and supporting documentation. This is your opportunity to ask questions and clarify terms. You should review the settlement statement carefully and report discrepancies to the escrow officer. This includes any payments that may have been missed. You are responsible for all charges incurred even if overlooked by the escrow holder, so it's better to bring these to their attention before closing.

The escrow holder is obligated by law to have the designated amount of money before releasing any funds. If you have questions or foresee a problem, let your escrow holder know immediately.

DON'T FORGET YOUR IDENTIFICATION

You will need valid identification with your photo I.D. on it when you sign documents that need to be notarized (such as a deed). A driver's license is preferred. You will also be asked to provide your social security number for tax reporting purposes, and a forwarding address.

WHAT HAPPENS NEXT?

If the buyer is obtaining a new loan, the buyer’s signed loan documents will be returned to the lender for review. The escrow holder will ensure that all contract conditions have been met and will ask the lender to "fund the loan."

If the loan documents are satisfactory, the lender will send funds directly to the escrow holder. When the loan funds are received, the escrow holder will verify that all necessary funds are in. Escrow funds will be disbursed to the seller and other appropriate payees. Then, the REALTOR® will present the keys to the property to the buyer.

AZ Sellers Guide | 17

Planning your move

SIX WEEKS BEFORE:

Create an inventory sheet of items to move.

Research moving options You’ll need to decide if yours is a do-it-yourself move or if you’ll be using a moving company.

Request moving quotes Solicit moving quotes from as many moving companies and movers as possible. There can be a large difference between rates and services within moving companies.

Discard unnecessary items Moving is a great time for ridding yourself of unnecessary items. Have a yard sale or donate unnecessary items to charity.

Packing materials. Gather moving boxes and packing materials for your move.

Contact insurance companies. (Life, Health, Fire, Auto) You’ll need to contact your insurance agent to cancel/transfer your insurance policy. Do not cancel your insurance policy until you have and closed escrow on the sale.

Seek employer benefits. If your move is work-related, your employer may provide funding for moving expenses. Your human resources rep should have information on this policy.

Changing Schools. If changing schools, contact new school for registration process.

FOUR WEEKS BEFORE:

Contact utility companies Set utility turnoff date, seek refunds and deposits and notify them of your new address.

Obtain your medical records. Contact your doctors, physicians, dentists and other medical specialists who may currently be retaining any of your family’s medical records. obtain these records or make plans for them to be delivered to your new medical facilities.

Note food inventory levels Check your cupboards, refrigerator and freezer to use up as much of your perishable food as possible.

Service small engines for your move by extracting gas and oil from the machines. This will reduce the chance to catch fire during your move.

Protect jewelry and valuables. Transfer jewelry and valuables to safety deposit box so they can not be lost or stolen during your move.

Borrowed and rented items. Return items which you may have borrowed or rented. Collect items borrowed to others.

ONE WEEK BEFORE:

Plan your itinerary. Make plans to spend the entire day at the house or at least until the movers are on their way. Someone will need to be around to make decisions. Make plans for kids and pets to be at the sitters for the day.

Change of address. Visit USPS for change of address form.

Bank accounts Notify bank of address change. Make sure to have a money order for paying the moving company if you are transferring or closing accounts.

Service automobiles If automobiles will be driven long distances, you’ll want to have them serviced for a trouble-free drive.

Cancel services. Notify any remaining service providers (newspapers, lawn services, etc) of your move.

Start packing. Begin packing for your new location.

Travel items. Set aside items you’ll need while traveling and those needed until your new home is established. Make sure these are not packed in the moving truck!

Scan your furniture. Check furniture for scratches and dents before so you can compare notes with your mover on moving day.

Prepare Floor Plan. Prepare floor plan for your new home. This will help avoid confusion for you and your movers.

MOVING DAY:

Review the house. Once the house is empty, check the entire house (closets, the attic, basement, etc) to ensure no items are left or no home issues exist.

Sign the bill of lading. Once your satisfied with the mover’s packing your items into the truck, sign the bill of lading. If possible, accompany your mover while the moving truck is being weighed.

Double check with your mover. Make sure your mover has the new address and your contact information should they have any questions during your move.

Vacate your home. Make sure utilities are off, doors and windows are locked and notify your real estate agent you’ve left the property.

AZ Sellers Guide | 18

Your Notes:

AZ Sellers Guide | 19

Your Notes:

AZ Sellers Guide | 20

Your Notes:

AZ Sellers Guide | 21

First American Title Branch Locator

1 SUN CITY WES T

623.299.3644

13940 W. Meeker Blvd., #119

Sun City West, AZ 85375

N of Meeker Blvd

W of R.H. Johnson

2 GOODYEAR

623.936.8001

1626 N. Litchfield Rd. Ste. #170 Goodyear, AZ 85395

NW corner of McDowell & Litchfield

3 ARROWHEAD

623.487.0404

16165 N. 83rd Ave , #100

Peoria, AZ 85382

S of Bell/E side of 83rd Ave

4 THE LEGENDS

623.537.1608

20241 N. 67th Ave , #A-2 Glendale, AZ 85308

E side 67th Ave/N of 101

5 ANTHEM

623.551.3265

39508 N. Daisy Mountain Dr., #128 Anthem, AZ 85086

NE corner Daisy Mtn Dr/ Gavilan Peak Pkwy

6 BILTMORE

602.954.3644

3200 E Camelback Rd., #123 Phoenix, AZ 85018

NE Corner of Camelback/32nd Street

7 TATUM RIDGE

480.515 4369

11211 N Tatum Blvd, #A150 Phoenix, AZ 85028

N of Shea, E side of Tatum

8 CAREFREE 480.575.6609

7202 E. Carefree Dr , Bldg 1, #1 Carefree, AZ 85377

NE corner of Tom Darlington/ Carefree Dr.

9 KIERLAND COMMONS

480.948.6488

14648 N Scottsdale Rd., Ste. #100 Scottsdale, AZ 85254 W of Scottsdale Road, S side of Greenway

10 SCOTTSDALE FORUM

480.551.0480

6263 N. Scottsdale Rd., #110 Scottsdale, AZ 85250

E Side Scottsdale/S of Lincoln

11 DC CROSSING

480.563.9034 18291 N. Pima Rd , #145 Scottsdale, AZ 85255

SE corner of Pima/Legacy

12 AHWATUKEE

480.753.4424

4435 E. Chandler Blvd , #100 Phoenix, AZ 85048

SW corner Chandler/45th St.

13 CHANDLER PORTICO

480.777.0051 2121 W. Chandler Blvd., #215 Chandler, AZ 85224

SW Corner Chandler Blvd./ Dobson Rd.

14 GILBERT SAN TAN 480.777.0614

1528 E. Williams Field Rd., #101 Gilbert, AZ 85295

NW corner of Williams Field Rd./ Val Vista Rd.

15 MESA 480.401.3738

1630 S. Stapley Dr., #123 Mesa, AZ 85204

N of Baseline / W of Stapley

16 RED MOUNTAIN

480.534.3599

1135 N. Recker Rd., #103 Mesa, AZ 85205

SE corner of Recker & Brown

17 GOLD CANYON

480.288.0883 6877 South Kings Ranch Rd., #5 Gold Canyon, AZ 85118 E of 60/

South Side Kings Ranch Rd.

1 4 3 2 6 12 10 5 8 7 11 9 CRISMON SIGNAL BUTTE GOLDFIELD OLDWESTHWY SKINGSRANCH 14 17 15 13 16 Central Arizona
AZ Sellers Guide | 22

For more information please contact your First American representative. www.firstam.com

©2022 First American Financial Corporation and/or its affiliates. All rights reserved. NYSE: FAF

First American Title Insurance Company, and the operating divisions thereof, make no express or implied warranty respecting the information presented and assume no responsibility for errors or omissions. First American, the eagle logo, First American Title, and firstam.com are registered trademarks or trademarks of First American Financial Corporation and/or its affiliates.

05110280522

Turn static files into dynamic content formats.

Create a flipbook
Issuu converts static files into: digital portfolios, online yearbooks, online catalogs, digital photo albums and more. Sign up and create your flipbook.