5870 W Aster Bloom Dr, Tucson, AZ 85735

Page 1

Criminals are targeting social media and email to steal information. This is particularly common in real estate transactions because sensitive data, including social security numbers, bank account numbers, and wire instructions are often sent by electronic means. We do not want you to be the next victim of wire fraud. Money wired to a fraudulent account is stolen money that typically cannot be recovered. Additionally, there is generally no insurance for this loss. You may never get the money back.

WIRE FRAUD ADVISORY

• It is imperative that this call be made to a number obtained in person from the individual or through other reliable means, not from a number provided in the email or the wiring instructions

On Guard Online @ www.onguardonline.gov

Before you wire funds to any party (including your lawyer, title agent, mortgage broker, or real estate agent) personally meet them or call a verified telephone number (not the telephone number in the email) to confirm before you act!

DO NOT TRUST EMAILS SEEKING PERSONAL/FINANCIAL INFORMATION

The undersigned acknowledges receipt of this Wire Fraud Advisory.

• If you receive an email requesting personal/financial information or asking you to download, click on a link, send, and/or do anything that may seem unusual to you, call your escrow officer immediately prior to acting on the suspicious email to verify the validity of the email.

DO NOT TRUST EMAILS CONTAINING WIRE INSTRUCTIONS

Client Date Client Date

Immediately notify your banking institution and Settlement/Title Company if you are a victim of wire fraud.

The Federal Bureau of Investigation @ https://www.fbi.gov/scams and safety

The National White Collar Crime Center @ http://www.nw3c.org/research

TRUST YOUR SOURCE OF INFORMATION

• Never direct, accept or allow anyone in the transaction to consent to receiving transfer instructions without a direct personal telephone call to the individual allegedly providing the instructions.

ONLINE RESOURCES: There are many online sources that can provide useful information regarding similar topics including, but not limited to, the following sites:

PROTECT YOURSELF VERIFY AND NOTIFY

• If you receive an email containing wire transfer instructions, immediately call your escrow officer to ensure the validity of the instructions.

The Internet Crime Complaint Center @ www.ic3.gov

IMPORTANT -- PLEASE READ CAREFULLY: This report is not an insured product or service or a representation of the condition of title to real property. It is not an abst ract, legal opinion, opinion of title, title insurance commitment or preliminary report, or any form of Title Insurance or Guaranty. This report is issued exclusively for the benefit of the Applicant therefor and may not be used or relied upon by any other person. This report may not be reproduced in any manner without First American or Title Security's prior written consent. First American or Title Security does not represent or warrant that the information herein is complete or free from error, and the information herein is provided without any warranties of any kind, as-is, and with all faults. As a material part of the consideration given in exchange for the issuance of this report, recipient agrees that First American or Title Security's sole liability for any loss or damage caused by an error or omission due to inaccurate information or negligence in preparing this report shall be limited to the fee charged for the report. Recipient accepts this report with this limitation and agrees that First American or Title Security would not have issued this report but for the limitation of liability described above. First American or Title Security makes no representation or warranty as to the legality or propriety of recipient's use of the information herein.

LIMITATION OF LIABILITY FOR INFORMATIONAL REPORTS

Subject Property 5870 W Aster Bloom Dr APN:AZTucson85735212-27-3180 Data Provided By: First American Title Ins Co © 2022 CoreLogic. All rights reserved

© 2022 CoreLogic. All rights reserved

Disclaimer This REiSource report is provided "as is" without warranty of any kind, either express or implied, including without limitations any warrantees of merchantability or fitness for a particular purpose. There is no representation of warranty that this information is complete or free from error, and the provider does not assume, and expressly disclaims, any liability to any person or entity for loss or damage caused by errors or omissions in this REiSource report without a title insurance policy.

The information contained in the REiSource report is delivered from your Title Company, who reminds you that you have the right as a consumer to compare fees and serviced levels for Title, Escrow, and all other services associated with property ownership, and to select providers accordingly. Your home is the largest investment you will make in your lifetime and you should demand the very best.

Data Provided By: First American Title Ins Co

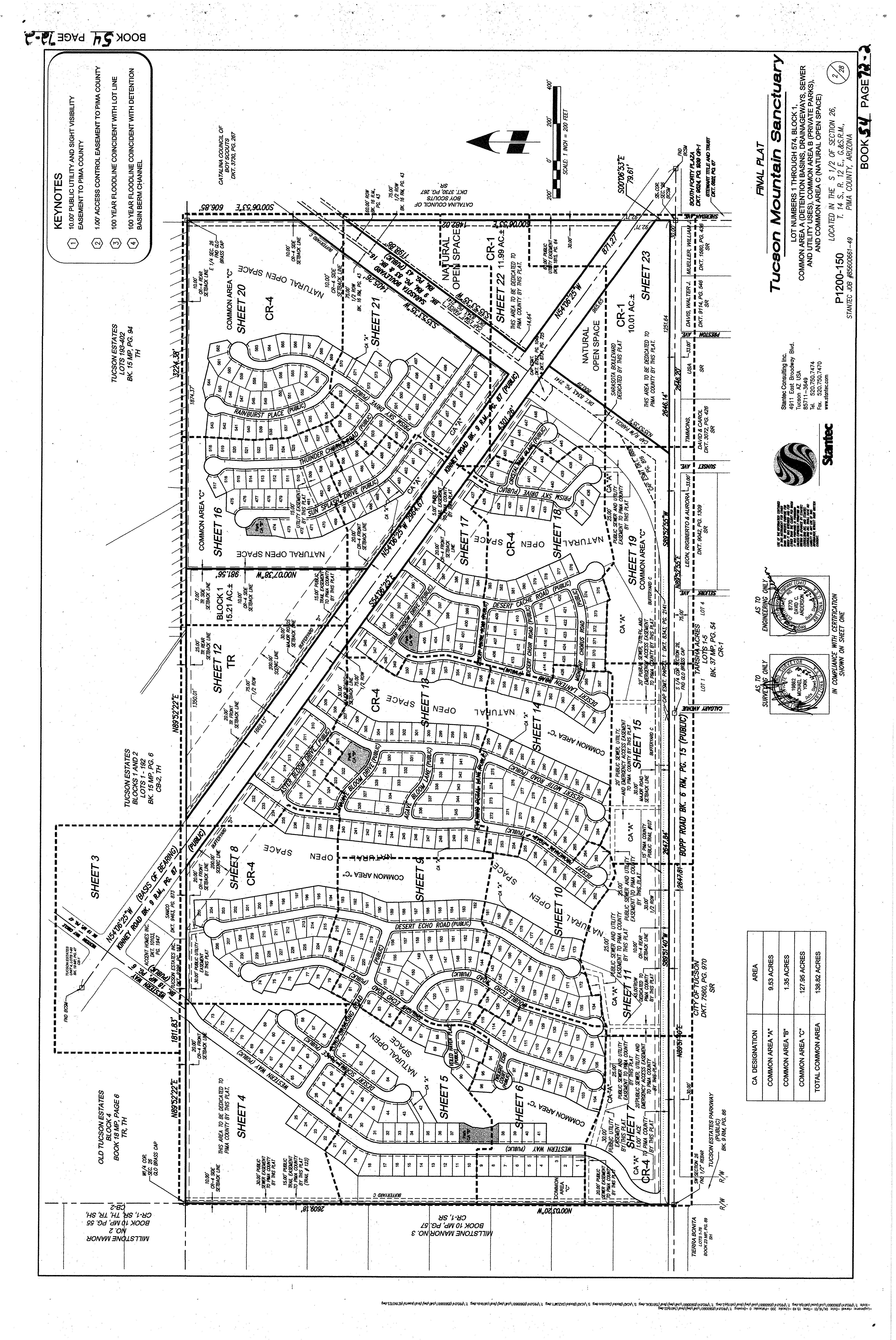
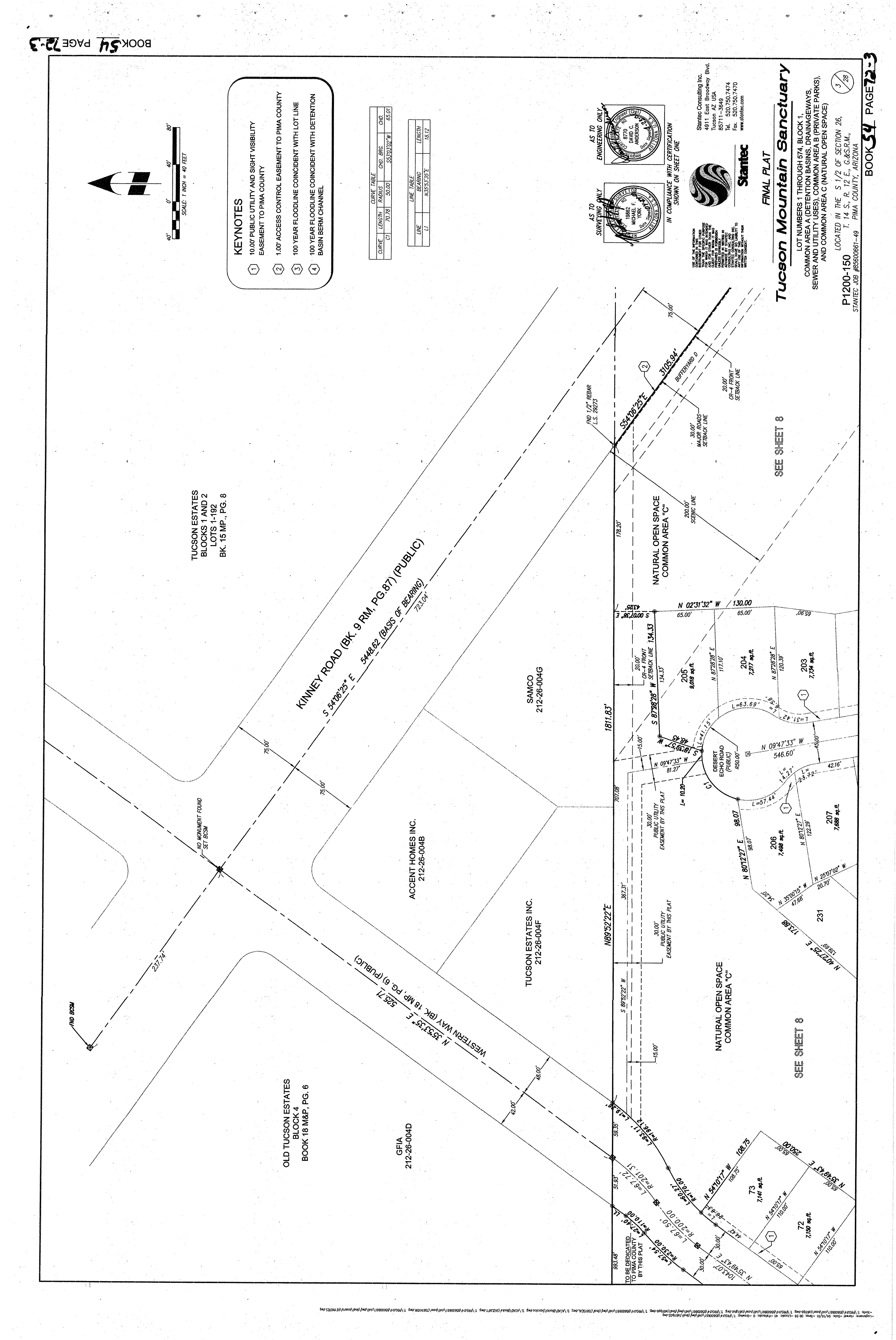
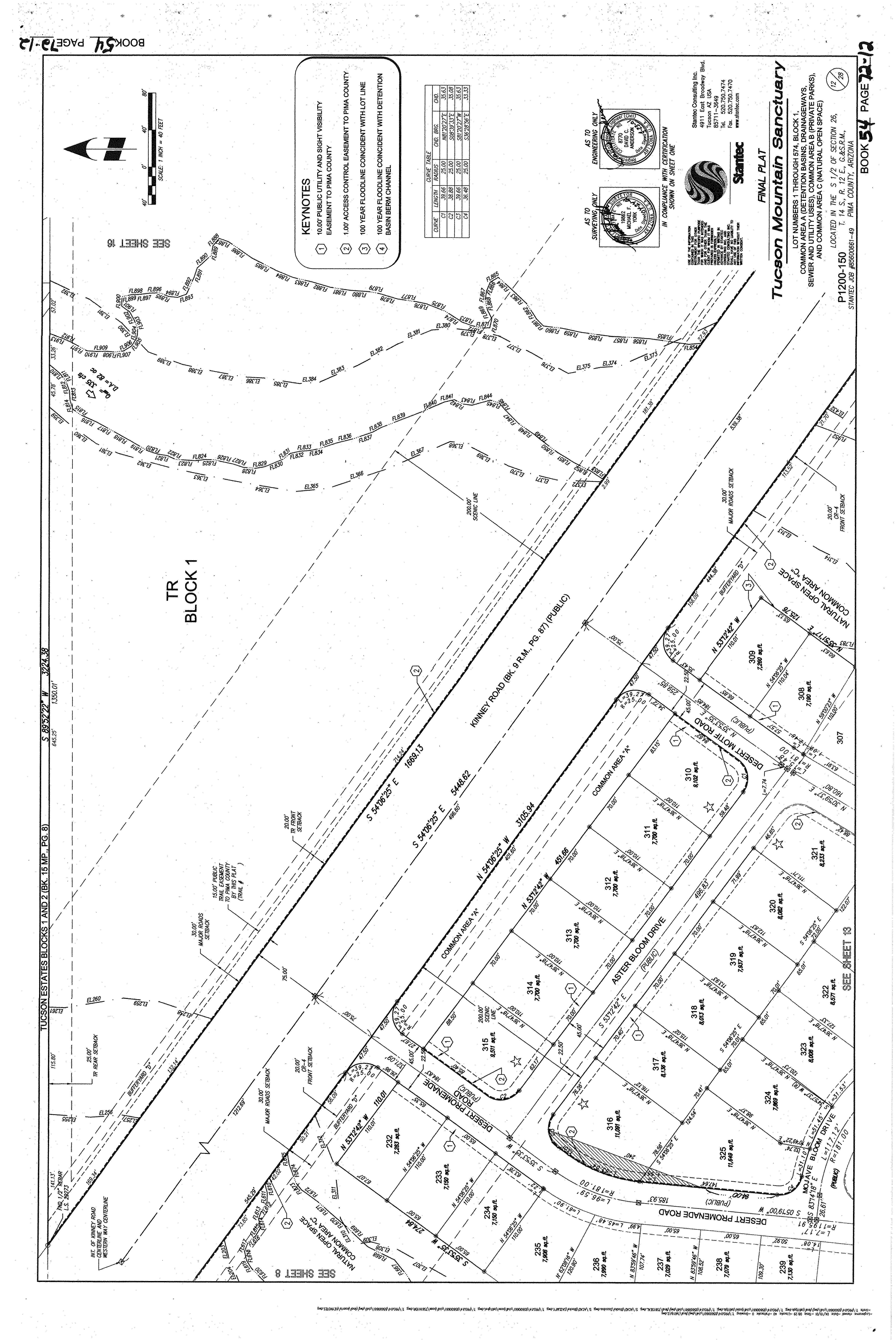
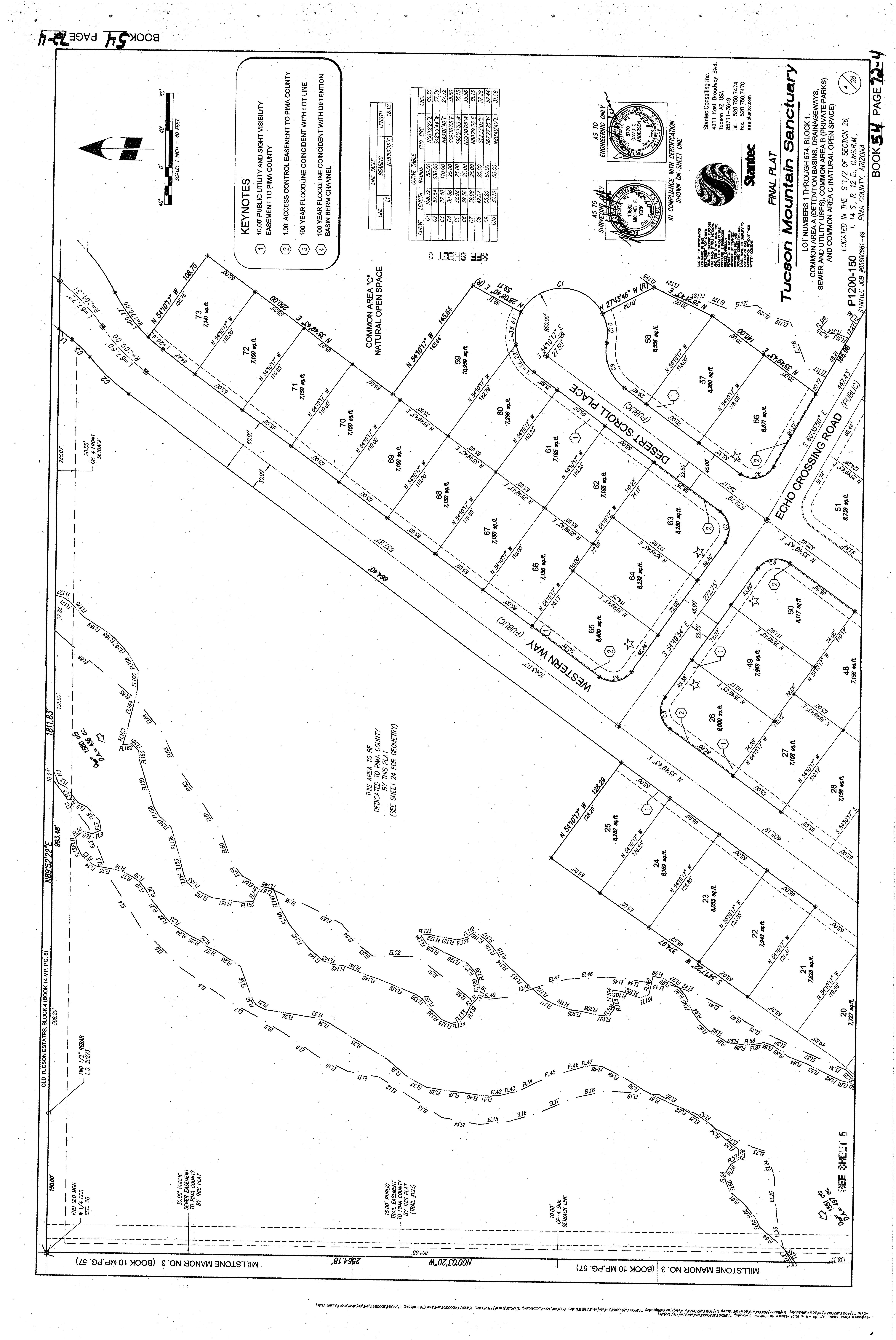
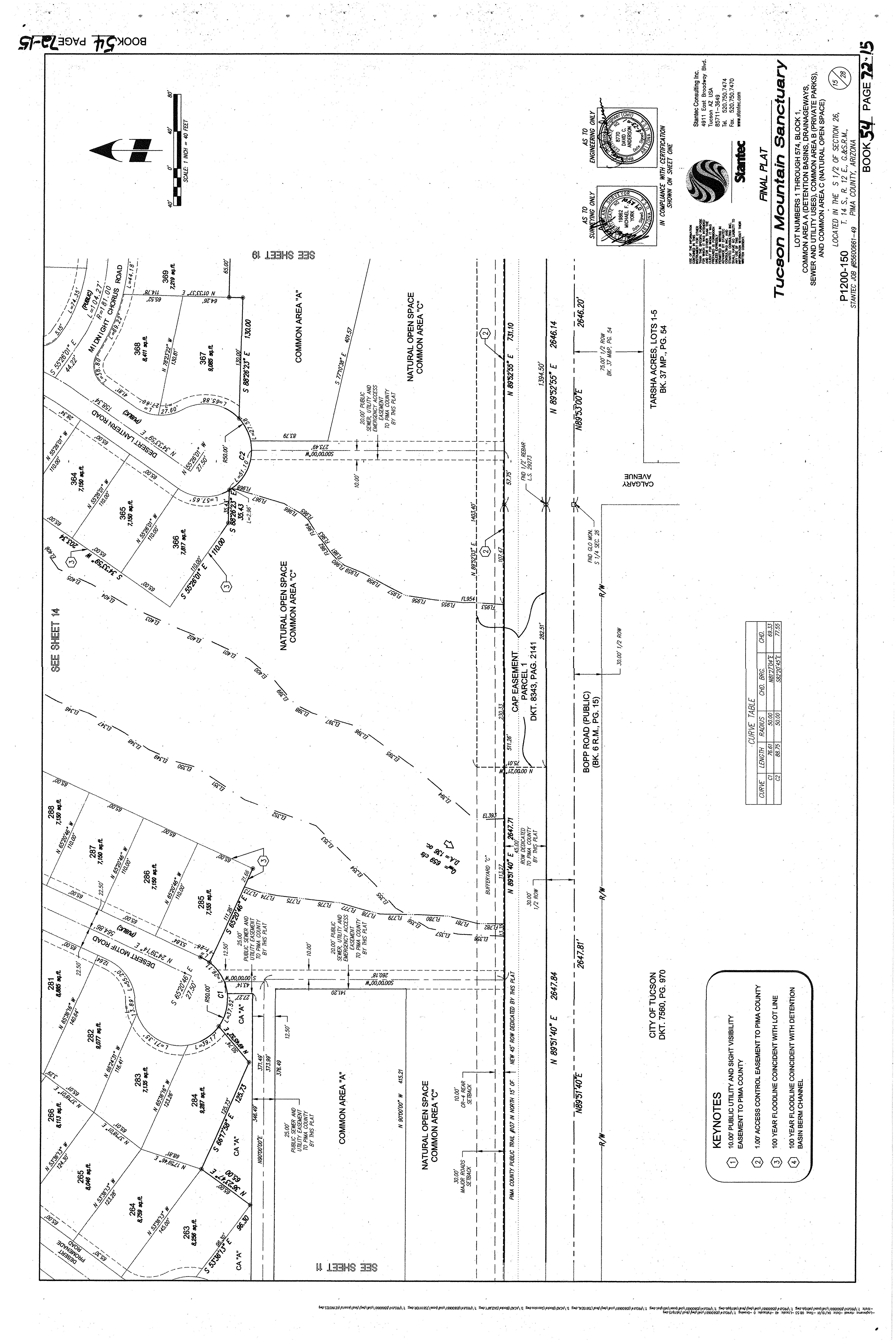
Subject Property :   5870 W Aster Bloom Dr Tucson AZ 85735 Owner Information Owner Name : Nguyen Johny D / Nguyen Jimmy D Mailing Address : 5870 W Aster Bloom Dr, Tucson AZ 85735-5148 R133 Vesting Codes : / / Joint Tenants Owner OccupiedIndicator : O Location Information Legal Description : Tucson Mountain Sanctuary Lot 0315 County : Pima, Az APN : 212-27-3180 Census Tract / Block : 44.35 / 2 Subdivision : Tucson SanctuaryMountain Township-Range- Sect : 14S-12E-26 Map Reference : 26-14S-12E Legal Book/Page : 54-72 School District : Tucson Unified Legal Lot : 315 Munic/Township : Tucson Unified Market Area : 311 Last Market Sale Information Recording/Sale Date : 07/23/2021 / 07/15/2021 Deed Type : Warranty Deed Sale Price : $265,000 Price Per SqFt : $172.30 Document # : 2041027 Title Company : Pima Title Seller Name : Powell Shepard & Armelle Prior Sale Information Prior Rec/Sale Date : 08/31/2004 / 08/00/2004 Prior Lender : Greenpoint Mtg Fndg Prior Sale Price : $153,670 Prior 1st Mtg Amt/Type : $122,900 / Conv Prior Doc Number : 12377-8142 Prior 1st Mtg Rate/Type : / Fixed Rate Loan Prior Deed Type : Deed (reg) Customer Name : Jeremiah Stiffler Customer Company Name : First American Prepared On : 08/16/2022 © 2022 CoreLogic. All rights reserved

Property Characteristics Gross Area : 1,538 Capacity :Garage 2 Patio Type : Covered Patio Living Area : 1,538 Roof Material : Tile Air Cond : Refrigeration Total Rooms : 7 Heat Type : Forced Air Quality : Good Year Built / Eff : 2004 Cooling Type : Forced Air Condition : Excellent # of Stories : 1 Exterior wall : Frame Wood Bath Fixtures : 7 Parking Type : Garage Property Information Land Use : Sfr Zoning : CR-4 Lot Size : 9,501 County Use : Single Fam Resurban Subd Lot Acres : 0.22 State Use : Single Fam Resurban Subd Tax Information Total Value : $148,944 Property Tax : $2,364.15 Current YearValue :Total $17,815 Total TaxableValue : $14,066 Tax Rate Area : 0102 Current ImprovementYearValue : $17,765 Assessed Year : 2021 Market Value : $148,944 Current YearValue :Land $50 Tax Year : 2021 Current AssessedYear : 2023 Customer Name : Jeremiah Stiffler Customer Company Name : First American Prepared On : 08/16/2022 © 2022 CoreLogic. All rights reserved

Sales Analysis Criteria Subject Property Low High Average Sale Price $265,000 $215,000 $502,000 $342,950 Bldg/Living Area 1538 1404 1761 1586 Price Per Square Foot $172.30 $136 $325 $216.97 Year Built 2004 1998 2015 2004 Lot Size 9,501 6,222 10,742 7,825 BathroomsBedrooms 3 3 3 3 Stories 1 1 1 1 Total Assessed Value $148,944 $145,157 $269,986 $194,066 Distance From Subject 0 0.08 0.98 0.49 Summary of Comparables # Address Sale Price TotalValueAssessed Sale Date Bed Bath Living Area Lot Size YearBuilt (Miles)Dist Zoning S 5870 W Aster Bloom Dr 265,000 148,944 07/23/2021 3 1,538 9,501 2004 CR-4 1 3386 S PromenadeDesertRd 286,000 145,157 10/21/2021 3 1,538 7,127 2003 0.08 CR-4 2 5827 W Mohave Bloom Dr 280,000 148,695 12/17/2021 3 1,538 9,201 2003 0.12 CR-4 3 3349 S Desert Echo Rd 215,000 150,641 08/20/2021 3 1,579 7,226 2003 0.13 CR-4 4 3530 S PromenadeDesertRd 325,000 145,399 05/31/2022 3 1,538 7,244 2004 0.2 CR-4 5 3312 S Twilight Echo Rd 305,000 150,895 06/16/2022 3 1,579 8,187 2004 0.21 CR-4 6 3498 S Desert Echo Rd 280,000 154,178 04/07/2022 3 1,579 7,279 2003 0.23 CR-4 7 3627 S PromenadeDesertRd 294,000 172,319 10/01/2021 3 1,538 8,865 2004 0.28 CR-4 8 3663 S Desert Motif Rd 320,000 148,944 07/21/2022 3 1,538 7,150 2004 0.3 CR-4 9 3264 S ChorusThunderRd 370,000 158,763 06/30/2022 3 1,752 6,866 2003 0.31 CR-4 Customer Name : Jeremiah Stiffler Customer Company Name : First American Prepared On : 08/16/2022 © 2022 CoreLogic. All rights reserved

10 3647 S Twilight Echo Rd 272,000 159,182 02/18/2022 3 1,761 7,683 2003 0.41 CR-4 11 3574 S Western Way 250,000 151,156 01/28/2022 3 1,579 7,585 2005 0.45 CR-4 12 3046 S RangeOpenWay 456,000 269,986 03/30/2022 3 1,404 8,666 2007 0.74 CR-4 13 5670 W Triangle X Pl 425,000 264,669 05/16/2022 3 1,615 8,806 2015 0.79 CMH-1 14 3081 S Three D Ct 355,100 248,390 10/21/2021 3 1,588 10,742 2009 0.83 CR-4 15 2201 S Triangle X Ln 419,000 265,577 08/27/2021 3 1,720 7,211 2001 0.92 CMH-1 16 6066 W Tucson Estates Pkwy 394,000 249,339 11/29/2021 3 1,528 7,460 1998 0.94 CMH-1 17 2111 S Double Circle Dr 502,000 255,212 05/19/2022 3 1,588 6,222 2001 0.97 CMH-1 18 2111 S Flying Heart Ln 425,000 254,679 06/16/2022 3 1,591 7,321 1999 0.98 CMH-1 Distressed Sales = Customer Name : Jeremiah Stiffler Customer Company Name : First American Prepared On : 08/16/2022 © 2022 CoreLogic. All rights reserved

Map Customer Name : Jeremiah Stiffler Customer Company Name : First American Prepared On : 08/16/2022 © 2022 CoreLogic. All rights reserved

Details of Comparables Subject Property: 5870 W Aster Bloom Dr Tucson Az 85735 Owner Name: Nguyen Johny D /Nguyen Jimmy D APN / Alternate APN: 212-27-3180 / Deed Type: Warranty Deed Land Use: Sfr Subdivision / Tract: Tucson Mountain Sanctuary / Lot Size: 9,501 Year Built / Eff: 2004 / Rec. Date / Price: 07/23/2021 / $265,000 Living Area: 1,538 # of units: Document #: 2041027 Bedrooms: Pool: Total Tax Value: $148,944 Bath(F/H): / #1   3386 S Desert Promenade Rd Tucson Az 85735 Owner Name: Cowman Terrence L /Living Diane C APN / Alternate APN: 212-27-2420 / Deed Type: Warranty Deed Land Use: Sfr Subdivision / Tract: Tucson Mountain Sanctuary / Lot Size: 7,127 Year Built / Eff: 2003 / Rec. Date / Price: 10/21/2021 / $286,000 Living Area: 1,538 # of units: Document #: 2940225 Bedrooms: Pool: Total Tax Value: $145,157 Bath(F/H): / #2   5827 W Mohave Bloom Dr Tucson Az 85735 Owner Name: Carpena Jose P /Galvez Evelyn A V APN / Alternate APN: 212-27-3330 / Deed Type: Warranty Deed Land Use: Sfr Subdivision / Tract: Tucson Mountain Sanctuary / Lot Size: 9,201 Year Built / Eff: 2003 / Rec. Date / Price: 12/17/2021 / $280,000 Living Area: 1,538 # of units: Document #: 3510674 Bedrooms: Pool: Total Tax Value: $148,695 Bath(F/H): / #3   3349 S Desert Echo Rd Tucson Az 85735 Owner Name: Tsalikis Spencer /Anzanos Christine Bik APN / Alternate APN: 212-27-1990 / Deed Type: Warranty Deed Land Use: Sfr Subdivision / Tract: Tucson Mountain Sanctuary / Lot Size: 7,226 Year Built / Eff: 2003 / Rec. Date / Price: 08/20/2021 / $215,000 Living Area: 1,579 # of units: Document #: 2321142 Bedrooms: Pool: Total Tax Value: $150,641 Bath(F/H): / #4   3530 S Desert Promenade Rd Tucson Az 85735 Owner Name: Sfr Investments V Borrower / APN / Alternate APN: 212-27-2520 / Deed Type: Warranty Deed Land Use: Sfr Subdivision / Tract: Tucson Mountain Sanctuary / Lot Size: 7,244 Year Built / Eff: 2004 / Rec. Date / Price: 05/31/2022 / $325,000 Living Area: 1,538 # of units: Document #: 1510240 Bedrooms: Pool: Total Tax Value: $145,399 Bath(F/H): / Customer Name : Jeremiah Stiffler Customer Company Name : First American Prepared On : 08/16/2022 © 2022 CoreLogic. All rights reserved

#5   3312 S Twilight Echo Rd Tucson Az 85735 Owner Name: Zepeda Danielys /Zepeda Silvia M & Zepeda APN / Alternate APN: 212-27-0780 / Deed Type: Warranty Deed Land Use: Sfr Subdivision / Tract: Tucson Mountain Sanctuary / Lot Size: 8,187 Year Built / Eff: 2004 / Rec. Date / Price: 06/16/2022 / $305,000 Living Area: 1,579 # of units: Document #: 1670444 Bedrooms: Pool: Total Tax Value: $150,895 Bath(F/H): / #6   3498 S Desert Echo Rd Tucson Az 85735 Owner Name: Bott Eric / APN / Alternate APN: 212-27-1620 / Deed Type: Warranty Deed Land Use: Sfr Subdivision / Tract: Tucson Mountain Sanctuary / Lot Size: 7,279 Year Built / Eff: 2003 / Rec. Date / Price: 04/07/2022 / $280,000 Living Area: 1,579 # of units: Document #: 970243 Bedrooms: Pool: Total Tax Value: $154,178 Bath(F/H): / #7   3627 S Desert Promenade Rd Tucson Az 85735 Owner Name: Holt Conrad / APN / Alternate APN: 212-27-2710 / Deed Type: Warranty Deed Land Use: Sfr Subdivision / Tract: Tucson Mountain Sanctuary / Lot Size: 8,865 Year Built / Eff: 2004 / Rec. Date / Price: 10/01/2021 / $294,000 Living Area: 1,538 # of units: Document #: 2740579 Bedrooms: Pool: Pool Total Tax Value: $172,319 Bath(F/H): / #8   3663 S Desert Motif Rd Tucson Az 85735 Owner Name: Brunner Nykolas / APN / Alternate APN: 212-27-2910 / Deed Type: Warranty Deed Land Use: Sfr Subdivision / Tract: Tucson Mountain Sanctuary / Lot Size: 7,150 Year Built / Eff: 2004 / Rec. Date / Price: 07/21/2022 / $320,000 Living Area: 1,538 # of units: Document #: 2020421 Bedrooms: Pool: Total Tax Value: $148,944 Bath(F/H): / #9   3264 S Thunder Chorus Rd Tucson Az 85713 Owner Name: Hood Ronald B /Hood Albertine K APN / Alternate APN: 212-27-5170 / Deed Type: Warranty Deed Land Use: Sfr Subdivision / Tract: Tucson Mountain Sanctuary / Lot Size: 6,866 Year Built / Eff: 2003 / Rec. Date / Price: 06/30/2022 / $370,000 Living Area: 1,752 # of units: Document #: 1810655 Bedrooms: Pool: Total Tax Value: $158,763 Bath(F/H): / Customer Name : Jeremiah Stiffler Customer Company Name : First American Prepared On : 08/16/2022 © 2022 CoreLogic. All rights reserved

#10   3647 S Twilight Echo Rd Tucson Az 85735 Owner Name: Jones Dewayne K /Jones Linda J C APN / Alternate APN: 212-27-1110 / Deed Type: Warranty Deed Land Use: Sfr Subdivision / Tract: Tucson Mountain Sanctuary / Lot Size: 7,683 Year Built / Eff: 2003 / Rec. Date / Price: 02/18/2022 / $272,000 Living Area: 1,761 # of units: Document #: 491000 Bedrooms: Pool: Total Tax Value: $159,182 Bath(F/H): / #11   3574 S Western Way Tucson Az 85735 Owner Name: Cruz Jaime I / APN / Alternate APN: 212-27-0110 / Deed Type: Special Warranty Deed Land Use: Sfr Subdivision / Tract: Tucson Mountain Sanctuary / Lot Size: 7,585 Year Built / Eff: 2005 / Rec. Date / Price: 01/28/2022 / $250,000 Living Area: 1,579 # of units: Document #: 280444 Bedrooms: Pool: Total Tax Value: $151,156 Bath(F/H): / #12   3046 S Open Range Way Tucson Az 85713 Owner Name: Adams Erin E / APN / Alternate APN: 212-22-6380 / Deed Type: Warranty Deed Land Use: Sfr Subdivision / Tract: Starr Rdg / Lot Size: 8,666 Year Built / Eff: 2007 / Rec. Date / Price: 03/30/2022 / $456,000 Living Area: 1,404 # of units: Document #: 890650 Bedrooms: Pool: Total Tax Value: $269,986 Bath(F/H): / #13   5670 W Triangle X Pl Tucson Az 85713 Owner Name: Van Michael H / APN / Alternate APN: 212-17-1210 / Deed Type: Warranty Deed Land Use: Sfr Subdivision / Tract: Tucson Estates 2 / Lot Size: 8,806 Year Built / Eff: 2015 / Rec. Date / Price: 05/16/2022 / $425,000 Living Area: 1,615 # of units: Document #: 1360366 Bedrooms: Pool: Total Tax Value: $264,669 Bath(F/H): / #14   3081 S Three D Ct Tucson Az 85713 Owner Name: Brown Willard E /Brown Janice L APN / Alternate APN: 212-22-6730 / Deed Type: Warranty Deed Land Use: Sfr Subdivision / Tract: Starr Rdg / Lot Size: 10,742 Year Built / Eff: 2009 / Rec. Date / Price: 10/21/2021 / $355,100 Living Area: 1,588 # of units: Document #: 2940366 Bedrooms: Pool: Total Tax Value: $248,390 Bath(F/H): / Customer Name : Jeremiah Stiffler Customer Company Name : First American Prepared On : 08/16/2022 © 2022 CoreLogic. All rights reserved

#15   2201 S Triangle X Ln Tucson Az 85713 Owner Name: Johnson Robert /Johnson Michelle APN / Alternate APN: 212-17-2280 / Deed Type: Warranty Deed Land Use: Sfr Subdivision / Tract: Tucson Estates 2 / Lot Size: 7,211 Year Built / Eff: 2001 / Rec. Date / Price: 08/27/2021 / $419,000 Living Area: 1,720 # of units: Document #: 2390584 Bedrooms: Pool: Total Tax Value: $265,577 Bath(F/H): / #16   6066 W Tucson Estates Pkwy Tucson Az 85713 Owner Name: Goins Jane M / APN / Alternate APN: 212-17-5390 / Deed Type: Warranty Deed Land Use: Sfr Subdivision / Tract: Tucson Estates 2 / Lot Size: 7,460 Year Built / Eff: 1998 / Rec. Date / Price: 11/29/2021 / $394,000 Living Area: 1,528 # of units: Document #: 3331184 Bedrooms: Pool: Total Tax Value: $249,339 Bath(F/H): / #17   2111 S Double Circle Dr Tucson Az 85713 Owner Name: Clark Gregory F /Clark Alison P APN / Alternate APN: 212-17-2330 / Deed Type: Warranty Deed Land Use: Sfr Subdivision / Tract: Tucson Estates 2 / Lot Size: 6,222 Year Built / Eff: 2001 / Rec. Date / Price: 05/19/2022 / $502,000 Living Area: 1,588 # of units: Document #: 1390492 Bedrooms: Pool: Total Tax Value: $255,212 Bath(F/H): / #18   2111 S Flying Heart Ln Tucson Az 85713 Owner Name: Geesey Brenda C /Thornborrow Sonny H APN / Alternate APN: 212-17-5240 / Deed Type: Warranty Deed Land Use: Sfr Subdivision / Tract: Tucson Estates 2 / Lot Size: 7,321 Year Built / Eff: 1999 / Rec. Date / Price: 06/16/2022 / $425,000 Living Area: 1,591 # of units: Document #: 1670615 Bedrooms: Pool: Total Tax Value: $254,679 Bath(F/H): / Customer Name : Jeremiah Stiffler Customer Company Name : First American Prepared On : 08/16/2022 © 2022 CoreLogic. All rights reserved

Subject Property :   5870 W Aster Bloom Dr Tucson AZ 85735 Customer Name : Jeremiah Stiffler Customer Company Name : First American Prepared On : 08/16/2022 © 2022 CoreLogic. All rights reserved

Customer Name : Jeremiah Stiffler Customer Company Name : First American Prepared On : 08/16/2022 © 2022 CoreLogic. All rights reserved

SchoolsArizona For detailed information and statistics on Arizona schools please go ©2021FirstFirsthttps://azreportcards.azed.gov/toAmericanTitleInsuranceCompany,andtheoperatingdivisionsthereof,makenoexpressorimpliedwarrantyrespectingtheinformationpresentedandassumenoresponsibilityforerrorsoromissions.American,theeaglelogo,FirstAmericanTitle,andfirstam.comareregisteredtrademarksortrademarksofFirstAmericanFinancialCorporationand/oritsaffiliates.FirstAmericanFinancialCorporationand/oritsaffiliates.Allrightsreserved.NYSE:FAF05117910421

05249570321 AIRPORTINT'LTUCSON Air Force WSilverbellRd SSantaRitaRd NMtLemmon Hwy ESascoRd NF38 W Avra Valley Rd E Grand Va ey DrNAguirreRd dRkLNuce dRWNentzNWatermanMountainRd RdAnwayN W El Tiro Rd NTricoRd W Tucker Rd W Rudas l Rd W Manvi e Rd SSanJoaquinRdWBopp Rd W Snyder H l RddRSMarsear W Park Rd W Hermans RdW Hermans Rd W Guy St W Bush Rd SGaveyRd eaCNRinconado SWmoRd SShawRd SSierritaMountainRd SKobRdW TwinButtes Rd W Mcgee Ranch Rd ESstancaDr EDesertDove E Hemlock Dr BNearCanyonRdW E Camino Del Cerro E Fairmount St SSwanRd NFrontageRd W Emigh Rd W Fort Lowe Rd dSPNumptationR E Nona Rd Ch efButteRd Lo al Ave NTricoRd SCattleTankRd Evalyn Rd SOwlHeadRanchRdGasLineRd PSecanRd NTrcoRd W Bayard Rd dRSSandaro WillowSpringsRd N Dove Mountain Blvd SHelvetiaRd WAnamax Mine Rd dRhRiGWacaanc Road424 WRagged Top Rd W Ruby Star Dr WBritten RanchRd W Pima Mine Rd S Mcgee RanchRd E Edw n Rd SGuildRd 80 NKINNEYRD SPICACHOHWYE BAUMGARTNER RD SNANDARIORDNANWAYRD W VALENCIA RD W MOORE RD W INA RD ESN1TAV E SUNRISE DR E SNYDER RDNSILVERBELLRD TRSNOLDIERLE RIVER RDE PRINCE RD E SPEEDWAY BLVD SFREEMANRDE 22ND ST E 22ND ST W IRVINGTON RD SNOGALESHWY W VALENCIA RDSMISSIONRDWSPEEDWAY BLVD SOLDSPANISHTRL W NARANJA DR W TWIN PEAKS RD W PICTURE ROCKS RD W MANVILLE RD SKINNEYRD W MILE WIDE RD E SAHUARITA RD NTRICORD OSSANDARRD PARK LINK DR SOLDNOGALESHWY GUOSHHTONRD ADCSLAANADRW HELMET PEAK RD WAJOHWY RNASNWD RDKOLBS SHOUGHTONRD W TANGERINE RD E GRANT RD SHOUGHTONRD 95 WAJOHWY E VALENCIA RD NORACLERD I-10 I-19 77 77 77 86 86 286 10 19 10 10 Corona de Tucson AdobesCasas Catalina Green Valley Oracle Picture Rocks Three Points VailSummit TanqueVerde SahuaritaTucson Red Rock Saddlebrooke Marana Oro Valley Rillito SummerhavenWillow Canyon Oracle Junction Cortaro Continental Littletown 20 30 13 15 51 39 12 01 01 08 10 16 11 06 PIMA COUNTY School District Information This map is provided for general location only. Please contact school districts for actual street boundaries SCHOOL DISTRICTS 15 AJO UNIFIED 111 N. Well Road, Ajo, AZ 85321 520.387.5618 51 ALTAR VALLEY ELEMENTARY 10105 S. Sasabe Road, Tucson, AZ 85736 520.822.1484 10 AMPHITHEATER UNIFIED 701 W. Wetmore, Tucson, AZ 85705 520.696.5000 16 CATALINA FOOTHILS UNIFIED 2101 E. River Road, Tucson, AZ 85718 520.209.7500 39 CONTINENTAL ELEMENTARY 1991 E. Whitehouse Canyon, Green Valley, AZ 85614 520.625.4581 08 FLOWING WELLS UNIFIED 1556 W. Prince Road, Tucson, AZ 85705 520.696.8800 06 MARANA UNIFIED 11279 W. Grier Road, Marana, AZ 85653 520.682.3243 11 PIMA COUNTY JTED 2855 W. Master Pieces Dr, Tucson, AZ 85741 520.352.5833 30 SAHUARITA UNIFIED 350 W. Sahuarita Road, Sahuarita, AZ 85629 520.625.3502 12 SUNNYSIDE UNIFIED 2238 E. Ginter Road, Tucson, AZ 85706 520.545.2000 13 TANQUE VERDE UNIFIED 2300 N. Tanque Verde Loop, Tucson, AZ 85749 520.749.5751 01 TUCSON UNIFIED 1010 E. 10th Street, Tucson, AZ 85717 520.225.6000 20 VAIL UNIFIED 10701 E. Mary Ann Cleveland Way, Tucson, AZ 85747 520.879.2000 First American Title Insurance Company, and the operating divisions thereof, make no express or implied warranty respecting the information presented and assume no responsibility for errors or omissions. First American, the eagle logo, First American Title, and firstam.com are registered trademarks or trademarks of First American Financial Corporation and/or its affiliates. ©2021 First American Financial Corporation and/or its affiliates. All rights reserved. NYSE: FAF

Public Schools : Elementary Schools Vesey Elementary School Distance 1.85 Miles 5005 S Butts Rd Tucson AZ Telephone :85757(520) 908-4600 School District : Tucson Unified District (4403) Lowest Grade : Pre-K Highest Grade : 5th Kindergarten : Yes School Enrollment : Enrollment : 669 Total Expenditure/Student : 200 Laura N. Banks Elementary Distance 3.01 Miles 3200 S Lead Flower Ave Tucson AZ 85735 Telephone : (520) 908-5700 School District : Tucson Unified District (4403) Lowest Grade : Pre-K Highest Grade : 5th Kindergarten : Yes School Enrollment : Enrollment : 323 Total Expenditure/Student : 200 Harriet Johnson Primary School Distance 3.05 Miles 6060 S Joseph Ave Tucson AZ 85757 Telephone : (520) 908-3800 School District : Tucson Unified District (4403) Lowest Grade : Pre-K Highest Grade : 3rd Kindergarten : Yes School Enrollment : Enrollment : 284 Total Expenditure/Student : 200 Customer Name : Jeremiah Stiffler Customer Company Name : First American Prepared On : 08/16/2022 © 2022 CoreLogic. All rights reserved

Frances J Warren Elementary School Distance 3.85 Miles 3505 W Milton Rd Tucson AZ Telephone :85746(520) 908-4700 School District : Tucson Unified District (4403) Lowest Grade : Pre-K Highest Grade : 5th Kindergarten : Yes School Enrollment : Enrollment : 276 Total Expenditure/Student : 200 Middle Schools Valencia Middle School Distance 2.28 Miles 4400 W Irvington Rd Tucson AZ 85746 Telephone : (520) 908-4500 School District : Tucson Unified District (4403) Lowest Grade : 6th Highest Grade : 8th Kindergarten : No School Enrollment : Enrollment : 806 Total Expenditure/Student : 200 Anna Lawrence Intermediate School Distance 4.08 Miles 4850 W Jeffrey Rd Tucson AZ Telephone :85757(520) 908-3900 School District : Tucson Unified District (4403) Lowest Grade : 3rd Highest Grade : 8th Kindergarten : No School Enrollment : Enrollment : 239 Total Expenditure/Student : 200 Customer Name : Jeremiah Stiffler Customer Company Name : First American Prepared On : 08/16/2022 © 2022 CoreLogic. All rights reserved

Pistor Middle School Distance 4.2 Miles 5455 S Cardinal Ave Tucson AZ 85746 Telephone : (520) 908-5400 School District : Tucson Unified District (4403) Lowest Grade : 6th Highest Grade : 8th Kindergarten : No School Enrollment : Enrollment : 870 Total Expenditure/Student : 200 High Schools Pcjted - Southwest Alternative High School Distance 4 Miles 6855 S Mark Rd Tucson AZ Telephone :85757(520) 908-3976 School District : Pima County Jted (89380) Lowest Grade : 9th Highest Grade : 12th School Enrollment : Enrollment : 0 Total Expenditure/Student : Advanced Placement : No Envision High School Distance 4.83 Miles 351 W. Prince Rd. Tucson AZ Telephone :85705(520) 887-0045 School District : Cplc Community Schools Dba Hiaki High School (90331) Lowest Grade : 9th Highest Grade : 12th School Enrollment : Enrollment : 48 Total Expenditure/Student : Advanced Placement : No Cholla High School Distance 4.92 Miles 2001 W Starr Pass Blvd Tucson AZ 85713 Telephone : (520) 225-4000 School District : Tucson Unified District (4403) Lowest Grade : 8th Highest Grade : 12th School Enrollment : Enrollment : 1765 Total Expenditure/Student : 200 Advanced Placement : No Customer Name : Jeremiah Stiffler Customer Company Name : First American Prepared On : 08/16/2022 © 2022 CoreLogic. All rights reserved

Pcjted - Cholla High School Distance 4.92 Miles 2001 W Starr Pass Blvd Tucson AZ 85713 Telephone : (520) 225-4000 School District : Pima County Jted (89380) Lowest Grade : 9th Highest Grade : 12th School Enrollment : Enrollment : 0 Total Expenditure/Student : Advanced Placement : No Customer Name : Jeremiah Stiffler Customer Company Name : First American Prepared On : 08/16/2022 © 2022 CoreLogic. All rights reserved

LocalAttractionsBusiness/Recreation Name Address Telephone Distance (Miles) Mat Williams Racing, Llc 3265 S Western Way Tucson Az (520) 548-8553 0.28 Tuscon Estate Inc 5900 W Western Way Cir Tucson Az (520) 578-0435 0.28 Art Glass Coldfyre 3647 S Twilight Echo Rd Tucson Az (520) 954-6938 0.41 Bowmans Art, Llc 3901 W Calle Don Miguel Tucson Az (520) 904-2364 2.34 Banks / Financial Name Address Telephone Distance (Miles) Bank Of The West 3041 S Kinney Rd Tucson Az (520) 883-5527 0.31 Golden Gate Mortgage 1980 S Flying Heart Ln Tucson Az (520) 578-7157 1.06 Golden Gate Morgage, Llc 1980 S Flying Heart Ln Tucson Az (520) 349-9090 1.06 Titlemax Of Arizona, Inc. 2955 W Valencia Rd # 121 Tucson Az (520) 918-0049 4.89 Eating / Drinking Name Address Telephone Distance (Miles) Mexican Minerals 5834 W Aster Bloom Dr Tucson Az (520) 904-6858 0.05 Women On A Mission 3363 S Desert Echo Rd Tucson Az (520) 245-9602 0.14 Jans Ice Cream Shoppe Llc 5849 W Lazy Heart St Tucson Az (520) 883-7101 0.19 Queen Donuts 2 5975 W Western Way Cir Tucson Az (520) 908-3280 0.24 Health Care Services Name Address Telephone Distance (Miles) Compassionate Therapy 3057 S Kinney Rd Tucson Az (520) 395-0179 0.3 Olsen Chiropractic 3055 S Kinney Rd Tucson Az (520) 578-8000 0.3 Elizabeth Schmahl Dds Pllc 3029 S Kinney Rd Ste B Tucson Az (520) 883-5848 0.31 West Tucson Mental Health Inc 3571 S Double Echo Rd Tucson Az (520) 288-5644 0.32 Hospitality Name Address Telephone Distance (Miles) Cat Mountain Lodge 2720 S Kinney Rd Tucson Az (520) 578-6085 0.89 Customer Name : Jeremiah Stiffler Customer Company Name : First American Prepared On : 08/16/2022 © 2022 CoreLogic. All rights reserved

Starr Pass Resort Llc 3645 W Starr Pass Blvd Tucson Az (520) 670-0500 3.29 Marriott International, Inc. 3800 W Starr Pass Blvd Tucson Az (520) 792-3500 3.3 Starr Pass Resort Llc 3800 W Starr Pass Blvd Tucson Az (520) 792-3500 3.3 Organizations / Associations Name Address Telephone Distance (Miles) Mountain Shadow Congregation Of Jehovahs Witnesses 5425 W Bopp Rd Tucson Az (520) 578-4075 0.67 Golden Key Prison Ministry 6445 W Naomi Rd Tucson Az (520) 883-4012 0.86 West Ajo Baptist Church 5757 W Ajo Hwy Tucson Az (520) 883-1234 1.14 Tucson Mountain Baptist Church Of Tucson Arizona 5757 W Ajo Hwy Tucson Az (520) 883-1234 1.14 Personal Services Name Address Telephone Distance (Miles) Geri-fit Company Ltd. Liability Co. 4350 W Camino De Venias Tucson Az (888) 437-4348 4.59 Gunning Fitness Llc 1401 S Salamander Pl Tucson Az (520) 999-0995 4.67 Desert Sports & Fitness 3030 W Valencia Rd # 272 Tucson Az (520) 908-3319 4.77 Shopping Name Address Telephone Distance (Miles) Family Dollar Stores, Inc. 3191 S Kinney Rd Tucson Az (520) 883-8500 0.14 Circle K Stores Inc. 3065 S Kinney Rd Tucson Az (520) 883-7697 0.29 Susy's Produce Market 3057 S Kinney Rd Tucson Az (520) 578-4276 0.3 Whites' Hardware Inc 3025 S Kinney Rd Tucson Az (520) 578-3989 0.31 Customer Name : Jeremiah Stiffler Customer Company Name : First American Prepared On : 08/16/2022 © 2022 CoreLogic. All rights reserved

3290 S DESERT PROMENADE RD Distance 0.03 Miles Owner Name : Lopez Cynthia Subdivision : Tucson Mountain Sanctuary Sale Date : 06/05/2006 Recording Date : 06/16/2006 Total Value : $164,647 Sale Price  : $239,900 Bed / Bath : / 3 Property Tax : $2,358.41 Land Use : Sfr Lot Acres : 0.17 Stories : 1 Living Area : 1,873 Yr Blt / Eff Yr Blt : 2004 / APN : 212-27-2350 3302 S DESERT PROMENADE RD Distance 0.03 Miles Owner Name : Morales Jose Subdivision : Tucson Mountain Sanctuary Sale Date : 07/17/2006 Recording Date : 08/09/2006 Total Value : $158,333 Sale Price  : $226,000 Bed / Bath : / 3 Property Tax : $2,192.16 Land Use : Sfr Lot Acres : 0.16 Stories : 1 Living Area : 1,538 Yr Blt / Eff Yr Blt : 2004 / APN : 212-27-2360 3316 S DESERT PROMENADE RD Distance 0.03 Miles Owner Name : Leon Mario Subdivision : Tucson Mountain Sanctuary Sale Date : 04/00/2006 Recording Date : 04/05/2006 Total Value : $187,147 Sale Price  : $310,750 Bed / Bath : / 3 Property Tax : $2,693.27 Land Use : Sfr Lot Acres : 0.16 Stories : 1 Living Area : 2,291 Yr Blt / Eff Yr Blt : 2004 / APN : 212-27-2370 5834 W ASTER BLOOM DR Distance 0.04 Miles Owner Name : Liera Fabian R Subdivision : Tucson Mountain Sanctuary Sale Date : 09/25/2015 Recording Date : 09/29/2015 Total Value : $186,816 Sale Price  : $202,000 Bed / Bath : / 3 Property Tax : $2,675.66 Land Use : Sfr Lot Acres : 0.18 Stories : 1 Living Area : 2,291 Yr Blt / Eff Yr Blt : 2003 / APN : 212-27-3150 Customer Name : Jeremiah Stiffler Customer Company Name : First American Prepared On : 08/16/2022 © 2022 CoreLogic. All rights reserved

3330 S DESERT PROMENADE RD Distance 0.04 Miles Owner Name : Hoffman Residential Llc 60% & Subdivision : Tucson Mountain Sanctuary Sale Date : 02/27/2008 Recording Date : 02/29/2008 Total Value : $196,185 Sale Price  : $205,000 Bed / Bath : / 3 Property Tax : $3,040.25 Land Use : Sfr Lot Acres : 0.18 Stories : 1 Living Area : 2,291 Yr Blt / Eff Yr Blt : 2003 / APN : 212-27-2380 3344 S DESERT PROMENADE RD Distance 0.05 Miles Owner Name : Howes Daniel G Subdivision : Tucson Mountain Sanctuary Sale Date : 06/00/2005 Recording Date : 06/10/2005 Total Value : $206,976 Sale Price  : $246,000 Bed / Bath : / 3 Property Tax : $2,907.16 Land Use : Sfr Lot Acres : 0.18 Stories : 1 Living Area : 2,291 Yr Blt / Eff Yr Blt : 2004 / APN : 212-27-2390 5888 W MOHAVE BLOOM DR Distance 0.05 Miles Owner Name : Lopez Jose Noperi Subdivision : Tucson Mountain Sanctuary Sale Date : 06/12/2015 Recording Date : 06/16/2015 Total Value : $223,047 Sale Price  : $203,000 Bed / Bath : / 3 Property Tax : $3,057.32 Land Use : Sfr Lot Acres : 0.27 Stories : 1 Living Area : 2,291 Yr Blt / Eff Yr Blt : 2003 / APN : 212-27-3280 Customer Name : Jeremiah Stiffler Customer Company Name : First American Prepared On : 08/16/2022 © 2022 CoreLogic. All rights reserved

5822 W ASTER BLOOM DR Distance 0.05 Miles Owner Name : Hay Stephen M Subdivision : Tucson Mountain Sanctuary Sale Date : 04/00/2004 Recording Date : 10/01/2004 Total Value : $148,944 Sale Price  : $161,085 Bed / Bath : / 3 Property Tax : $2,129.25 Land Use : Sfr Lot Acres : 0.18 Stories : 1 Living Area : 1,538 Yr Blt / Eff Yr Blt : 2004 / APN : 212-27-3140 5876 W MOHAVE BLOOM DR Distance 0.06 Miles Owner Name : Vincent Michel F Subdivision : Tucson Mountain Sanctuary Sale Date : 08/10/2011 Recording Date : 08/12/2011 Total Value : $156,342 Sale Price  : $98,000 Bed / Bath : / 3 Property Tax : $2,224.71 Land Use : Sfr Lot Acres : 0.18 Stories : 1 Living Area : 1,776 Yr Blt / Eff Yr Blt : 2003 / APN : 212-27-3270 3358 S DESERT PROMENADE RD Distance 0.06 Miles Owner Name : Hulbert Margaret Kate Subdivision : Tucson Mountain Sanctuary Sale Date : 06/11/2012 Recording Date : 06/14/2012 Total Value : $145,399 Sale Price  : $147,000 Bed / Bath : / 3 Property Tax : $2,303.96 Land Use : Sfr Lot Acres : 0.16 Stories : 1 Living Area : 1,538 Yr Blt / Eff Yr Blt : 2004 / APN : 212-27-2400 Customer Name : Jeremiah Stiffler Customer Company Name : First American Prepared On : 08/16/2022 © 2022 CoreLogic. All rights reserved

No demographics data for selected property. Customer Name : Jeremiah Stiffler Customer Company Name : First American Prepared On : 08/16/2022 © 2022 CoreLogic. All rights reserved

+ FIRST AMERICAN TITLE, FC0, JSTI PIMA, AZ 08/16/2022  10:43AM  R9C8  INVESTIGATIVE SEARCH RESULTS PAGE 1 OF 1 SEARCH PARAMETERS PARCEL:  212-27-3180 PARCEL: 212-27-3180 INSTRUMENT REC DATE OWNER: NGUYEN JOHNY & JIMMY  AFFIDAVIT    2021 2041027 07/23/2021  SITUS: 5870 W ASTER BLOOM DR PC  MAIL: 5870 W ASTER BLOOM DR   PLAT: LOT 00315 BLOCK LEGAL: TUCSON MOUNTAIN SANCTUARY LOT 0315  CURRENT TAXES INFORMATION THROUGH 07/28/2022 LAND IMPR EXEMPT RATE AREA SPECIAL DISTRICTS PRIMARY  14,066  0  0  11.2189  0102 SECONDARY  50  14,844  0  5.5885  2021 TOTAL TAX BILLED 2,364.15 2021  TAX AMT TAX DUE INTEREST DATE PAID TOTAL DUE FIRST HALF  1,182.08  0.00  0.00  11/04/2021  0.00  SECOND HALF  1,182.07  0.00  0.00  11/04/2021  0.00  TOTAL CURRENT TAXES DUE 08/22 0.00 09/22 0.00 IMPROVEMENTS RESIDENTIAL  BLDG SQFT  1,538 FULL CASH VALUE  148,944 YEAR BUILT  2004 LAND USE  01 31 NUMBER OF STORIES  1.0 LOT SIZE  1 STDLT STORIES HEIGHT  0 SCHOOL DISTRICT  0102 EXTERIOR WALLS  FRAME WOOD LAND FULL CASH VALUE  502 GRADE MATERIALS IMPR FULL CASH VALUE  148,442 SALES SALE DATE SALE AMOUNT INSTRUMENT TYPE SELLER NAME VALIDITY 07/23/2021 265,000    2021 2041027 WD POWELL SHEPARD ARMELLE 08/31/2004 153,670    12377 8142 D FIDELITY NATIONAL TITLE AG ADDITIONAL PROPERTY INFORMATION STANDARD LAND USE: SFR END SEARCH

PIMA, AZ Document:DED WAR 2021.204.1027 Page:1 of 5 Printed on:8/16/2022 10:46 AM Branch :FC0 User :JSTI

PIMA, AZ Document:DED WAR 2021.204.1027 Page:2 of 5 Printed on:8/16/2022 10:46 AM Branch :FC0 User :JSTI

PIMA, AZ Document:DED WAR 2021.204.1027 Page:3 of 5 Printed on:8/16/2022 10:46 AM Branch :FC0 User :JSTI

PIMA, AZ Document:DED WAR 2021.204.1027 Page:4 of 5 Printed on:8/16/2022 10:46 AM Branch :FC0 User :JSTI

PIMA, AZ Document:DED WAR 2021.204.1027 Page:5 of 5 Printed on:8/16/2022 10:46 AM Branch :FC0 User :JSTI

ConditionsCovenants,&Restrictions Thank you for the opportunity to be of service. Restrictions indicating a preference, limitation or discrimination based on race, color, religion, sex, handicap, familial status, or national origin are hereby deleted to the extent such restrictions violate 42 USC 3604(c). This information is furnished without fee and without benefit of a complete title search. No liability is assumed by First American Title or Title Security. If it is desired that liability be assumed, you may apply for a policy of title insurance with First American Title Insurance Company.

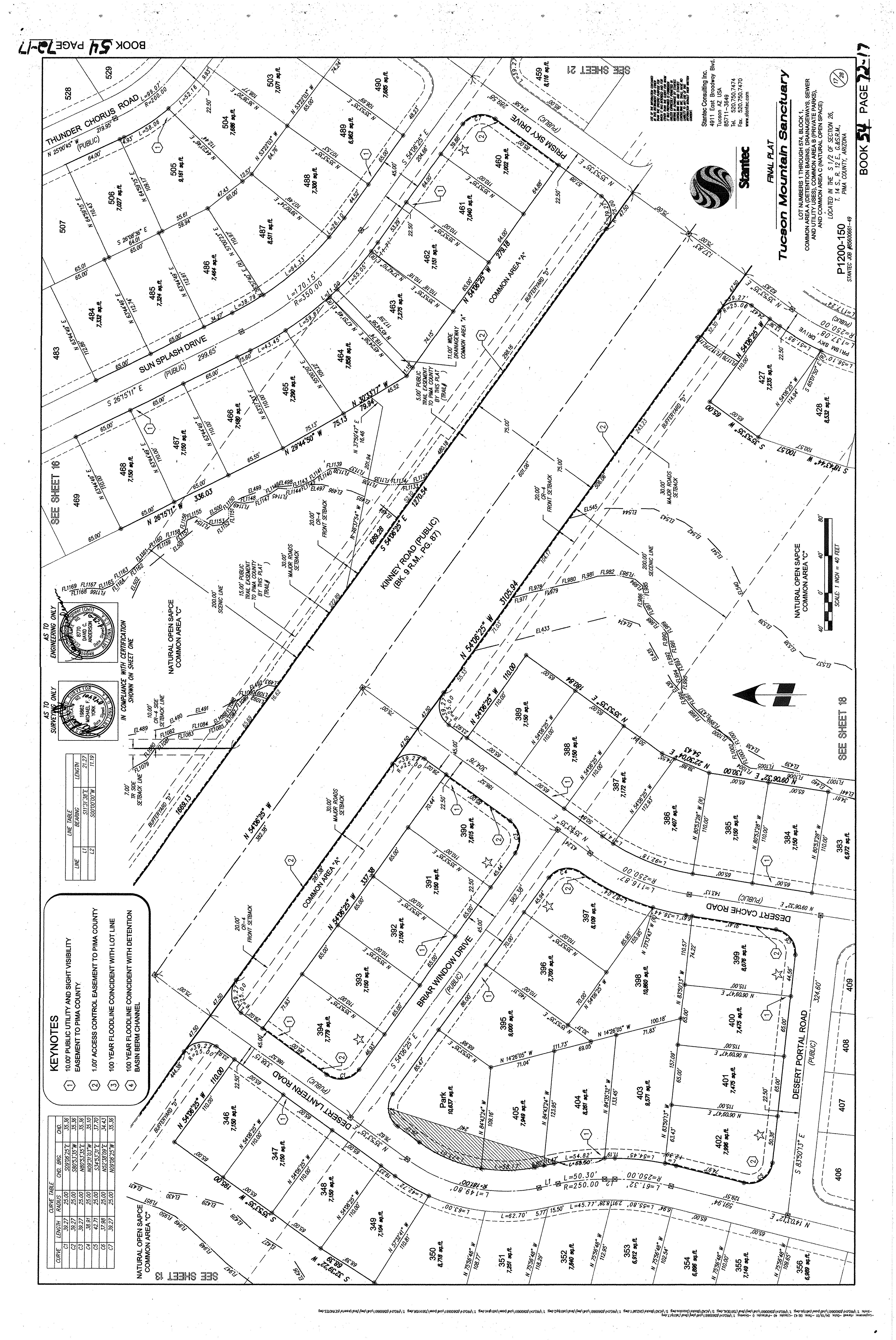
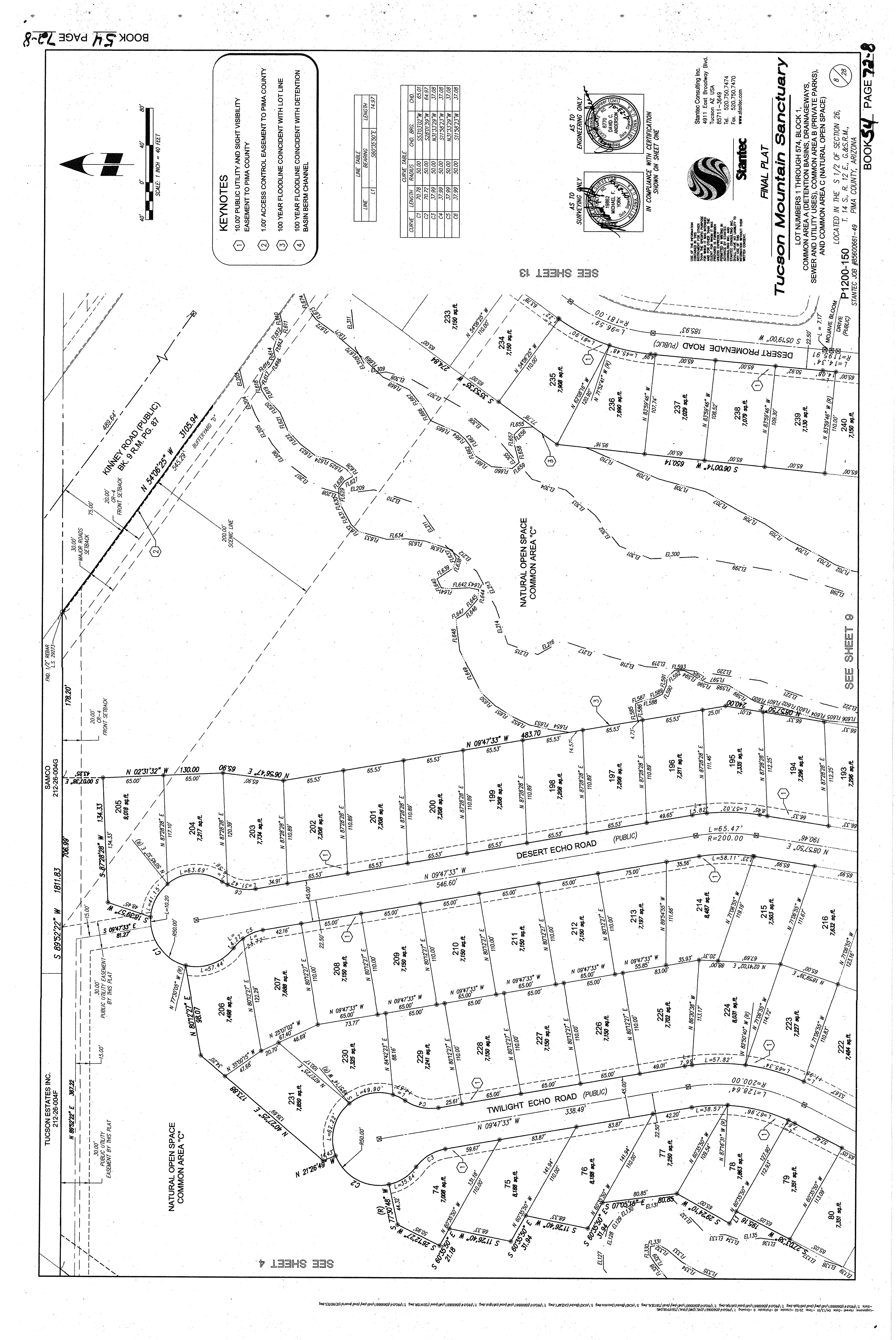
PIMA, AZ Document:SUBDIVISION_MAP 54.72 Page:1 of 28 Printed on:8/16/2022 10:47 AM Branch :FC0 User :JSTI

PIMA, AZ Document:SUBDIVISION_MAP 54.72 Page:2 of 28 Printed on:8/16/2022 10:47 AM Branch :FC0 User :JSTI

PIMA, AZ Document:SUBDIVISION_MAP 54.72 Page:3 of 28 Printed on:8/16/2022 10:47 AM Branch :FC0 User :JSTI

PIMA, AZ Document:SUBDIVISION_MAP 54.72 Page:4 of 28 Printed on:8/16/2022 10:47 AM Branch :FC0 User :JSTI

PIMA, AZ Document:SUBDIVISION_MAP 54.72 Page:5 of 28 Printed on:8/16/2022 10:47 AM Branch :FC0 User :JSTI

PIMA, AZ Document:SUBDIVISION_MAP 54.72 Page:6 of 28 Printed on:8/16/2022 10:47 AM Branch :FC0 User :JSTI

PIMA, AZ Document:SUBDIVISION_MAP 54.72 Page:7 of 28 Printed on:8/16/2022 10:47 AM Branch :FC0 User :JSTI

PIMA, AZ Document:SUBDIVISION_MAP 54.72 Page:8 of 28 Printed on:8/16/2022 10:47 AM Branch :FC0 User :JSTI

PIMA, AZ Document:SUBDIVISION_MAP 54.72 Page:9 of 28 Printed on:8/16/2022 10:47 AM Branch :FC0 User :JSTI

PIMA, AZ Document:SUBDIVISION_MAP 54.72 Page:10 of 28 Printed on:8/16/2022 10:47 AM Branch :FC0 User :JSTI

PIMA, AZ Document:SUBDIVISION_MAP 54.72 Page:11 of 28 Printed on:8/16/2022 10:47 AM Branch :FC0 User :JSTI

PIMA, AZ Document:SUBDIVISION_MAP 54.72 Page:12 of 28 Printed on:8/16/2022 10:47 AM Branch :FC0 User :JSTI

PIMA, AZ Document:SUBDIVISION_MAP 54.72 Page:13 of 28 Printed on:8/16/2022 10:47 AM Branch :FC0 User :JSTI

PIMA, AZ Document:SUBDIVISION_MAP 54.72 Page:14 of 28 Printed on:8/16/2022 10:47 AM Branch :FC0 User :JSTI

PIMA, AZ Document:SUBDIVISION_MAP 54.72 Page:15 of 28 Printed on:8/16/2022 10:47 AM Branch :FC0 User :JSTI

PIMA, AZ Document:SUBDIVISION_MAP 54.72 Page:16 of 28 Printed on:8/16/2022 10:47 AM Branch :FC0 User :JSTI

PIMA, AZ Document:SUBDIVISION_MAP 54.72 Page:17 of 28 Printed on:8/16/2022 10:47 AM Branch :FC0 User :JSTI

PIMA, AZ Document:SUBDIVISION_MAP 54.72 Page:18 of 28 Printed on:8/16/2022 10:47 AM Branch :FC0 User :JSTI

PIMA, AZ Document:SUBDIVISION_MAP 54.72 Page:19 of 28 Printed on:8/16/2022 10:47 AM Branch :FC0 User :JSTI

PIMA, AZ Document:SUBDIVISION_MAP 54.72 Page:20 of 28 Printed on:8/16/2022 10:47 AM Branch :FC0 User :JSTI

PIMA, AZ Document:SUBDIVISION_MAP 54.72 Page:21 of 28 Printed on:8/16/2022 10:47 AM Branch :FC0 User :JSTI

PIMA, AZ Document:SUBDIVISION_MAP 54.72 Page:22 of 28 Printed on:8/16/2022 10:47 AM Branch :FC0 User :JSTI

PIMA, AZ Document:SUBDIVISION_MAP 54.72 Page:23 of 28 Printed on:8/16/2022 10:47 AM Branch :FC0 User :JSTI

PIMA, AZ Document:SUBDIVISION_MAP 54.72 Page:24 of 28 Printed on:8/16/2022 10:47 AM Branch :FC0 User :JSTI

PIMA, AZ Document:SUBDIVISION_MAP 54.72 Page:25 of 28 Printed on:8/16/2022 10:47 AM Branch :FC0 User :JSTI

PIMA, AZ Document:SUBDIVISION_MAP 54.72 Page:26 of 28 Printed on:8/16/2022 10:47 AM Branch :FC0 User :JSTI

PIMA, AZ Document:SUBDIVISION_MAP 54.72 Page:27 of 28 Printed on:8/16/2022 10:47 AM Branch :FC0 User :JSTI

PIMA, AZ Document:SUBDIVISION_MAP 54.72 Page:28 of 28 Printed on:8/16/2022 10:47 AM Branch :FC0 User :JSTI

to the Title & Escrow Process in Arizona Home Seller’s Guide

Southwest Gas www.swgas.com1.877.860.6020 Cox www.cox.com602.277.1000 Direct TV www.directv.com1.888.777.2454 Dish Network www.dishnetwork.com1.800.823.4929 CenturyLink www.centurylink.com800.366.8201 AT&T www.att.com1.800.222.0300 Verizon www.connecttoverizon.com1.877.300.4498 Salt River Project www.srpnet.com602.236.8888 APS www.aps.com602.371.7171 Your Escrow Number Your New City/State/ZipAddress Real Estate Agent Name Email Assistant Email Company Phone Address Fax Insurance CompanyPrevious Phone Previous Agent No.Policy New Company Phone New Agent No.Policy Home CompanyWarranty No.Policy First American Title Escrow Officer Email Escrow Assistant Email Address Phone City/State/Zip Fax 02 Quick Reference 03 Welcome 04 Benefits of Using a REALTOR ® 05 Key Professionals 06 Preparing Your Home for Sale 07 Staging Your Home for Show 09 Terms You Should Know 10 The Life of an Escrow 11 Closing Costs: Who Pays What 12 The Escrow Process 14 Understanding Title Insurance 16 Consider This 17 Closing Your Escrow 18 Planning Your Move Q uick Reference Table of Contents Utilities and Services

AZ Sellers Guide | 3 Welcome to the home-selling process. Throughout this process, you can count on First American Title to guide you smoothly through your transaction and provide expert answers to your questions. We are happy to serve you. Count on First American Title Count On Us For Service Count On Us For Stability Count On Us For Convenience Count On Us To Meet Your Needs

First American Title’s professionals are proud to provide the title insurance that assures people’s home ownership. Backed by First American Title Insurance Company, your transaction will be expertly completed in accordance with state-specific underwriting standards and state and federal regulatory requirements.

First American Title is the principal subsidiary of First American Financial Corporation, and one of the largest suppliers of title insurance services in the nation. With roots dating back to 1889, we’ve served families for generations. First American Title has a direct office or agent near you, offering convenient locations throughout Arizona. We also have an extensive network of offices and agents throughout the United States, and internationally. First American Financial Corporation offers more than title insurance and escrow services through its subsidiaries. Our subsidiaries also provide property data, title plant records and images, home warranties, property and casualty insurance, and banking, trust and advisory services.

- aware that every time you leave your home, you are taking it off the market until you return?

› Is always “on-call,” answering the phone at all hours, and showing homes evenings and weekends.

- have arrangements with an escrow and title company, home warranty company, pest-control service and lender to assist you with the transaction? Are you...

A REALTOR ® :

› Will listen to your needs, respect your opinions and allow you to make your own decisions.

› Maintains errors-and-omissions insurance.

› Is experienced with resolving problems to facilitate a successful closing on your home. Only you can determine whether you should attempt to sell your home—probably your largest investment—all alone. Talk with a REALTOR® before you decide. You may find working with a professional is a lot less expensive and much more beneficial than you ever imagined!

› Understands market conditions and has access to information not available to the average homeowner.

FOR SALE BY OWNER

- need to hire a real estate attorney? If so, do you know what the cost will be and how much liability they will assume in the transaction?

- familiar enough with real estate regulations to prepare a binding sales contract? Counter-offers?

Do you...

- know how to advertise effectively and what the costs will be?

› Is experienced in creating demand for homes and how to show them to advantage.

› Knows how to price your home realistically, to give you the highest price possible within your time frame.

› Can advertise effectively for the best results.

- know how to determine whether or not a buyer can qualify for a loan?

- have the knowledge, patience, and sales skills needed to sell your home? - know how to determine your home’s current market value?

› Can help protect your rights, particularly important with the increasingly complicated real estate laws and regulations.

- understand the various types of loans buyers may choose and the advantages and disadvantages for the seller?

- aware of conditions in the marketplace today that affect value and length of time to sell?

®

› Knows how to go toe-to-toe in negotiations.

Many people believe they can save a considerable amount of money by selling their homes themselves. It may seem like a good idea at the time, but while you may be willing to take on the task, are you qualified? The following are some questions to help you realistically assess what’s involved.

Before you make the decision to try to sell your home alone, consider the benefits a REALTOR ® can provide that you may not be aware of.

- understand the steps of an escrow and what’s required of you and the buyer?

- concerned about having strangers walking through your home?

› Knows how to screen potential buyers and eliminate those who can’t qualify or are looking for bargain-basement prices.

AZ Sellers Guide |

- prepared to give up your evenings and weekends to show your home to potential buyers and “just-looking” time wasters?

Benefits4 of using a Professional REALTOR

- aware that prospective buyers and bargain hunters will expect you to lower your cost because there’s no REALTOR® involved?

› Can remain objective when presenting offers and counter-offers on your behalf.

Key Professionals Involved in Your Transaction

MULTIPLE LISTING SERVICE (MLS)

REAL ESTATE AGENT

A key role of the listing agent or broker is to form a legal relationship with the homeowner to sell the property and place the property in the Multiple Listing Service.

A key role of the buyer’s agent or broker is to work with the buyer to locate a suitable property and negotiate a successful home purchase.

A real estate agent is licensed by the state to represent parties in the transfer of property. Every REALTOR ® is a real estate agent, but not every real estate agent has the professional designation of a REALTOR.®

These are the people who carry out the title search and examination, work with you to eliminate the title exceptions you are not willing to take subject to, and provide the policy of title insurance regarding title to the real property.

LISTING AGENT

REALTOR ®

A REALTOR ® is a licensed real estate agent and a member of the National Association of REALTORS,® a real estate trade association. REALTORS ® also belong to their state and local Association of REALTORS.®

An escrow officer leads the facilitation of your escrow, including escrow instructions preparation, document preparation, funds disbursement, and more.

AZ Sellers Guide | 5

ESCROW OFFICER

The MLS is a database of properties listed for sale by REALTORS ® who are members of the local Association of REALTORS.® Information on an MLS property is available to thousands of REALTORS ® TITLE COMPANY

BUYER'S AGENT

Make your entry inviting: Paint your front door and buy a new front door mat. Paint or replace the mailbox, if needed.

Shampoo carpeting or replace if worn. Clean tile floors, particularly the caulking.

Brighten the appearance inside by painting walls, cleaning windows and window coverings, and removing sunscreens. Repair leaky faucets and caulking in bathtubs and showers. Repair or replace loose knobs on doors and cabinets. If doors stick or squeak, fix them. Make sure toilet seats look new and are firmly attached. Repair or replace loud ventilating fans. Replace worn shower curtains. Rearrange furniture to make rooms appear larger. If possible, remove and/or store excess furniture, and avoid extension cords in plain view. Remove clutter throughout the house. Organize and clean out closets. Clean household appliances and make sure they work properly.

Inspect fences, gates and latches. Repair or replace as needed.

First impressions have a major impact on potential buyers. Try to imagine what potential buyers will see when they approach your house for the first time and walk through each room. Ask your REALTOR ® for advice; they know the marketplace and what helps a home sell. Here are some tips to present your home in a positive manner:

YOURFORPREPARINGSALEHOME

Check stucco walls for cracks and discoloration. Remove any oil and rust stains from the driveway and garage. Clean and organize the garage, and ensure the door is in good working order.

Mow and edge the lawn regularly, and trim the shrubs.

If screens or windows are damaged, replace or repair them. Repair or replace worn shutters and other exterior trim.

Air conditioners/heaters, evaporative coolers, hot water heater should be clean, working and inspected if necessary. Replace filters.

AZ Sellers Guide | 6

Make sure the front steps are clear and hazard-free. Make sure the doorbell works properly and has a pleasant sound. Ensure that all exterior lights are working.

Check the pool and/or spa equipment and pumps. Make sure all are working properly and that the pool and/or spa are kept clean.

Staging your home for Show To make the best impression, keep your home clean, neat, uncluttered and in good repair. Please review this list prior to each showing:

If possible you, your pets, and your children should be gone while your home is being Cleanshown.trash cans and put them out of sight.

Keep everything clean. A messy or dirty home will cause prospective buyers to notice every flaw. Clear all clutter from counter tops. Let the light in. Raise shades, open blinds, pull back the curtains and turn on the lights. Get rid of odors such as tobacco, pets, cooking, etc., but don’t overdo air fresheners or potpourri. Fresh baked bread and cinnamon can make a positive impact. Send pets away or secure them away from the house, and be sure to clean up after them. Close the windows to eliminate street noise.

If you must be present while your home is shown, keep noise down. Turn off the TV and radio. Soft, instrumental music is fine, but avoid vocals. Keep the garage door closed and the driveway clear. Park autos and campers away from your home during showings Hang clean attractive guest towels in the bathrooms.

AZ Sellers Guide | 7

Check that sink and tub are scrubbed and unstained. Make beds with attractive spreads. Stash or throw out newspapers, magazines, junk mail.

AZ Sellers Guide | 8

Deed of Trust An instrument used in many states in place of a mortgage. Deed Restrictions Limitations in the deed to a parcel of real property that dictate certain uses that may or may not be made of the real property.

AZ Sellers Guide | 9

PITI A payment that includes Principal, Interest, Taxes, and Insurance.

Beneficiary

An estimate of value of property resulting from analysis of facts about the property; an opinion of value. Annual Percentage Rate (APR) The borrower’s costs of the loan term expressed as a rate. This is not their interest rate.

Consummation Occurs when the borrower becomes contractually obligated to the creditor on the loan, not, for example, when the borrower becomes contractually obligated to a seller on a real estate transaction. The point in time when a borrower becomes contractually obligated to the creditor on the loan depends on applicable State law. Consummation is not the same as close of escrow or settlement.

Disbursement Date

The date the amounts are to be disbursed to a buyer and seller in a purchase transaction or the date funds are to be paid to the borrower or a third party in a transaction that is not a purchase transaction.

Power of Attorney A written instrument whereby a principal gives authority to an agent. The agent acting under such a grant is sometimes called an “Attorney-in-Fact.”

A description of land recognized by law, based on government surveys, spelling out the exact boundaries of the entire parcel of land. It should so thoroughly identify a parcel of land that it cannot be confused with any other. Lien A form of encumbrance that usually makes a specific parcel of real property the security for the payment of a debt or discharge of an obligation. For example, judgments, taxes, mortgages, deeds of trust. Loan Estimate (LE) Form designed to provide disclosures that will be helpful to borrowers in understanding the key features, costs and risks of the mortgage loan for which they are applying. Initial disclosure to be given to the borrower three (3) business days after application. Mortgage The instrument by which real property is pledged as security for repayment of a loan.

Terms You Should Know

Down payment made by a purchaser of real property as evidence of good faith; a deposit or partial payment. Easement A right, privilege or interest limited to a specific purpose that one party has in the land of another. Endorsement As to a title insurance policy, a rider or attachment forming a part of the insurance policy expanding or limiting coverage. Hazard Insurance Real estate insurance protecting against fire, some natural causes, vandalism, etc., depending upon the policy. Buyer often adds liability insurance and extended coverage for personal property. Impounds A trust type of account established by lenders for the accumulation of borrower’s funds to meet periodic payments of taxes, mortgage insurance premiums and/or future insurance policy premiums, required to protect their security.

TRID TILA-RESPA Integrated Disclosures

Recording Filing documents affecting real property with the appropriate government agency as a matter of public record. Settlement statement Provides a complete breakdown of costs involved in a real estate transaction.

Legal Description

Earnest Money Deposit

Generally the date the buyer becomes the legal owner and title insurance becomes effective. Comparable Sales Sales that have similar characteristics as the subject real property, used for analysis in the appraisal. Commonly called “comps.”

Appraisal

The recipient of benefits, often from a deed of trust; usually the lender. Closing Disclosure (CD) Closing Disclosure form designed to provide disclosures that will be helpful to borrowers in understanding all of the costs of the transaction. This form will be given to the consumer three (3) business days before closing. Close of Escrow

Chooses a Real Estate Agent Accepts Buyer’s offer to

Coordinatesconsummation.withlender on the preparation of the CD. Reviews all documents, demands, and instructions and prepares settlement statements and any other required documents. Schedules signing appointment and informs buyer of funds due at settlement. Once loan is consummated, sends funding package to lender for review. Prepares recording instructions and submits docs for recording. Documents are recorded and funds are disbursed. Issues final settlement statement.

THE ESCROW OFFICER

THE LENDER

THE SELLER Accepts Buyer’s application and begins the qualification process. Provides Buyer with Loan Estimate. Orders and reviews title commitment / preliminary report, property appraisal, credit report, employment and funds verification. Collects information such as title commitment / preliminary report, appraisal, credit report, employment and funds verification. Reviews and requests additional information for final loan Underwritingapproval.reviews loan package for approval. Coordinates with Escrow Officer on the preparation of the Closing Disclosure, which is delivered to Buyer at least 3 days prior to loan documents,UponDeliversconsummation.loandocumentstoescrow.reviewofsignedloanauthorizesloanfunding.

AZ Sellers Guide | 10 The Life Of An Escrow Chooses a Real Estate Agent Gets pre-approval letter from Lender and provides to Real Estate Agent. Makes offer to purchase. Upon acceptance, opens escrow and deposits earnest money. Finalizes loan application with Lender. Receives a Loan Estimate from Lender. Completes and returns opening package from First American Title. Schedules inspections and evaluates findings. Reviews title BuyerpriorlenderpaperworkProvidespreliminarycommitment/report.allrequestedtoLender(bankstatements,taxreturns,etc.)Allinvoicesandfinalapprovalsshouldbetothenolaterthan10daystoloanconsummation.Lender(orEscrowOfficer)preparesCDanddeliverstoatleast3dayspriortoloanconsummation.Escrowofficerorrealestateagentcontactsthebuyertoschedulesigningappointment.Buyerconsummatesloan,executessettlementdocuments,&depositsfundsviawiretransfer.Documentsarerecordedandthekeysaredelivered! THE BUYER Upon receipt of order and earnest money deposit, orders title examination. Requests necessary information from buyers and sellers via opening packages. Reviews title commitment / preliminary report. Upon receipt of opening packages, orders demands for payoffs. Contacts buyer or seller when additional information is required for the title preliminarycommitment/report. All demands, invoices, and fees must be collected and sent to lender at least 10 days prior to loan

openingCompletespurchase.andreturnspackagefromFirstAmericanTitle,includinginformationsuchasforwardingaddress,payofflendercontactinformationandloannumbers.Ordersanyworkforinspectionsand/orrepairstobedoneasrequiredbythepurchaseagreement.Escrowofficerorrealestateagentcontactsthesellertoschedulesigningappointment.Documentsarerecordedandallproceedsfromsalearereceived.

AZ Sellers Guide | 11 CASH FHA VA CONV 1. Downpayment BUYER BUYER BUYER BUYER 2. Termite (Wood Infestation) Inspection (negotiable except on VA) SELLER 3. Property Inspection (if requested by buyer) BUYER BUYER BUYER BUYER 4. Property Repairs, if any (negotiable) SELLER SELLER SELLER SELLER 5. New Loan Origination Fee (negotiable) BUYER BUYER BUYER 6. Discount Points (negotiable) BUYER BUYER BUYER 7. Credit Report BUYER BUYER BUYER 8. Appraisal or Extension Fee (negotiable) BUYER BUYER BUYER 9. Existing Loan Payoff SELLER SELLER SELLER SELLER 10. Existing Loan Payoff Demand SELLER SELLER SELLER SELLER 11. Loan Prepayment Penalty (if any) SELLER SELLER SELLER SELLER 12. Next Month’s PITI Payment BUYER BUYER BUYER 13. Prepaid Interest (approx. 30 days) BUYER BUYER BUYER 14. Reserve Account Balance (Credit seller / Charge buyer) PRORATE PRORATE PRORATE 15. FHA MIP, VA Funding Fee, PMI Premium BUYER BUYER BUYER 16. Assessments payoff or proration (sewer, paving, etc.) SELLER 17. Taxes PRORATE PRORATE PRORATE PRORATE 18. Tax Impounds BUYER BUYER BUYER 19. Tax Service Contract SELLER SELLER BUYER 20. Fire/Hazard Insurance BUYER BUYER BUYER BUYER 21 Flood Insurance BUYER BUYER BUYER 22. Homeowners Association (HOA) Transfer Fee BUYER or SELLER BUYER or SELLER BUYER or SELLER BUYER or SELLER 23. HOA/Disclosure Fee SELLER SELLER SELLER SELLER 24 Current HOA Payment PRORATE PRORATE PRORATE PRORATE 25. Next Month’s HOA Payment BUYER BUYER BUYER BUYER 26. Home Warranty Premium (negotiable) BUYER or SELLER BUYER or SELLER BUYER or SELLER BUYER or SELLER 27. REALTORS®’ Commissions SELLER SELLER SELLER SELLER 28. EAGLE Homeowners Title Policy SELLER SELLER SELLER SELLER 29. Lenders Title Policy and Endorsements BUYER BUYER BUYER 30. Escrow Fee (NOTE: Charge seller on VA Loan) SPLIT SPLIT SELLER SPLIT 31. Recording Fees (Flat rate) SPLIT SPLIT SPLIT SPLIT 32. Reconveyance/Satisfaction Fee SELLER SELLER SELLER SPLIT 33. Courier/Express Mail Fees SPLIT SPLIT SELLER SPLIT THIS CHART INDICATES WHO CUSTOMARILY PAYS WHAT COSTS Note: Prorated items will appear on Closing Statement as charges for one and credits for the other. Closing Costs: Who Pays What

AZ Sellers Guide | 12

The escrow is the process of having a neutral party manage the exchange of money for real property. The escrow holder is known as an escrow or settlement officer or agent. The buyer deposits funds and the seller deposits a deed with the escrow holder along with all of the other documents required to remove all "contingencies" (conditions and approvals) in the purchase agreement prior to closing.

HOW IS AN ESCROW OPENED?

WHAT IS AN ESCROW?

Once a purchase agreement is signed by all necessary parties, the agent representing the party who will pay the fee selects an escrow holder and the buyer's earnest money deposit and contract are submitted to the escrow holder. From this point, the escrow holder will follow the mutual written instructions of the buyer and seller, maintaining a neutral stance to ensure that neither party has an unfair advantage over the other. The escrow holder also follows the instructions of the Buyer's new lender, the seller's existing lender, and both parties' agents. The escrow holder ensures the transparency of the transaction, while carefully maintaining the privacy of the consumers. Process

The Escrow

Coordinate with the buyer’s lender on the preparation of the Closing Disclosure (CD)

Open escrow and deposit good faith funds into an escrow account

Prorate fees, such as real property taxes, per the contract and prepare the settlement statement

AZ Sellers Guide | 13

When all funds are deposited and conditions met, record documents with the County Recorder to transfer the real property to the buyer

Review documents and ensure all conditions are fulfilled and certain legal requirements are met

Your

Conduct a title search to determine the ownership and title status of the real Reviewpropertythetitle commitment and begin the process of working with you and the title officer to eliminate the title exceptions the buyer and the buyer’s new lender are not willing to take subject to. This includes ordering a payoff demand from your existing lender.

Prepare and send final documents to all parties Escrow Professional May:

Request funds from buyer and buyer’s new lender

After recording is confirmed, close escrow and disburse funds, including proceeds, loan payoffs, tax payments, and more

Set separate appointments allowing the buyer and seller to sign documents and deposit funds

The Title Industry & Title Insurance in Brief

Title insurance insures buyers against the risk that they did not acquire marketable title from the seller. It is primarily designed to reduce risk or loss caused by defects in title from the past. A loan policy of title insurance protects the interest of the mortgage lender, while an owner’s policy protects the equity of you, the buyer, for as long as you or your heirs (in certain policies) own the real property.

Understandingrecords.

Prior to the development of the title industry in the late 1800s, a home-buyer received a grantor’s warranty, attorney’s title opinion, or abstractor’s certificate as assurance of home ownership. The buyer relied on the financial integrity of the grantor, attorney, or abstractor for protection. Today, home-buyers look primarily to title insurance to provide this protection. Title insurance companies are regulated by state statute. They are required to post financial guarantees to ensure that any claims will be paid in a timely fashion. They also must maintain their own “title plants” which house duplicates of recorded deeds, mortgages, plats, and other pertinent county property

WHEN IS THE PREMIUM DUE?

Title insurance provides coverage for certain losses due to defects in the title that, for the most part, occurred prior to your ownership. Title insurance protects against defects such as prior fraud or forgery that might go undetected until after closing and possibly jeopardize your ownership and investment.

Title Insurance

WHY IS TITLE INSURANCE NEEDED? You pay for your owner’s title insurance policy only once, at the close of escrow. Who pays for the owner’s policy and loan policy varies depending on local customs.

AZ Sellers Guide | 14

WHAT IS TITLE INSURANCE?

AZ Sellers Guide | 15 Compare First American’s Eagle Policy® for Owners EAGLE StandardALTAorCLTA Protection from: 1 Someone else owns an interest in your title 2 A document is not properly signed 3 Forgery, fraud, duress in the chain of title 4 Defective recording of any document 5 There are restrictive covenants 6 There is a lien on your title because there is: a) a deed of trust b) a judgement, tax, or special assessment c) a charge by a homeowner’s association 7 Title is unmarketable 8 Mechanics lien 9 Forced removal of a structure because it: a) extends on another property and/or easement b) violates a restriction in Schedule B c) violates an existing zoning law* 10 Cannot use the land for a Single-Family Residence because the use violates a restriction in Schedule B or a zoning ordinance 11 Unrecorded lien by a homeowners association 12 Unrecorded easements 13 Building permit violations* 14 Restrictive covenant violations 15 Post-policy forgery 16 Post-policy encroachment 17 Post-policy damage from extraction of minerals or water 18 Lack of vehicular and pedestrian access 19 Map not consistent with legal description 20 Post-policy adverse possession Compare First American’s Eagle Policy® for Owners EAGLE StandardALTAorCLTA 21 Post-policy prescriptive easement 22 Covenant violation resulting in your title reverting to a previous owner 23 Violation of building setback regulations 24 Discriminatory covenants Other benefits: 25 Pays rent for substitute land or facilities 26 Rights under unrecorded leases 27 Plain language statements of policy coverage and restrictions 28 Compliance with Subdivision Map Act 29 Coverage for boundary wall or fence encroachment* 30 Added ownership coverage leads to enhanced marketability 31 Insurance coverage for a lifetime 32 Post-policy inflation coverage with automatic increase in value up to 150% over five years 33 Post-policy Living Trust coverage * Deductible and maximum limits apply. Not available to investors on 1- to 4-unit residential properties. Coverage may vary based on an individual policy. As with any insurance contract, the insuring provisions express the coverage afforded by the title insurance policy and there are exceptions, exclusions and conditions to coverage that limit or narrow the coverage afforded by the policy. Also, some cov erage may not be available in a particular area or transaction due to legal, regulatory, or underwriting considerations. Please contact a First American representative for further information. The services described above are typical basic services. The services provided to you may be different due to the specifics of your transaction or the location of the real property involved.

AZ Sellers Guide | 16 Consider This

One escrow transaction could involve more than 20 individuals, including real estate agents, buyers, sellers, attorneys, escrow officer, escrow technician, title officer, loan officer, loan processor, loan underwriter, home inspector, termite inspector, insurance agent, home warranty representative, contractor, roofer, plumber, pool service, and so on. And often, one transaction depends on another. When you consider the number of people involved, you can imagine the opportunities for delays and mishaps. Your experienced escrow team can’t prevent unforeseen problems from arising; however, they can help smooth out the process.

Once the loan is approved and all invoices and paperwork have been provided, the lender and escrow officer will collaborate on the preparation of the Closing Disclosure (CD). In order to close on time, all paperwork and invoices should be submitted at least 10 days prior to the expected close of escrow date. The borrower must receive the CD at least three days* prior to consummation of the loan (typically the signing date). The escrow officer will also prepare an estimated settlement statement and inform the buyer of the balance of the down payment and closing costs needed to close escrow.

WHAT HAPPENS NEXT?

THE CLOSING OR SIGNING APPOINTMENT

Closing Your

The escrow holder is obligated by law to have the designated amount of money before releasing any funds. If you have questions or foresee a problem, let your escrow holder know immediately.

*For purposes of the Closing Disclosure“business day” is defined as every day except Sundays and Federal legal holidays.

THE CLOSING DISCLOSURE

DON'T FORGET YOUR IDENTIFICATION

You will need valid identification with your photo I.D. on it when you sign documents that need to be notarized (such as a deed). A driver's license is preferred. You will also be asked to provide your social security number for tax reporting purposes, and a forwarding address.

If the buyer is obtaining a new loan, the buyer’s signed loan documents will be returned to the lender for review. The escrow holder will ensure that all contract conditions have been met and will ask the lender to "fund the loan." If the loan documents are satisfactory, the lender will send funds directly to the escrow holder. When the loan funds are received, the escrow holder will verify that all necessary funds are in. Escrow funds will be disbursed to the seller and other appropriate payees. Then, the REALTOR® will present the keys to the property to the buyer. Escrow

The escrow holder will contact you or your agent to schedule a closing or signing appointment. In some states, this is the "close of escrow." In some others, the close of escrow is either the day the documents record or that funds are disbursed. Ask your escrow holder if you would like clarification about your state's laws. You will have a chance to review the settlement statement and supporting documentation. This is your opportunity to ask questions and clarify terms. You should review the settlement statement carefully and report discrepancies to the escrow officer. This includes any payments that may have been missed. You are responsible for all charges incurred even if overlooked by the escrow holder, so it's better to bring these to their attention before closing.

AZ Sellers Guide | 17

. Make sure your mover has the new address and your contact information should they have any questions during your move.

. Check furniture for scratches and dents before so you can compare notes with your mover on moving day. Prepare Floor Plan

. Make sure utilities are off, doors and windows are locked and notify your real estate agent you’ve left the property.

Travel items. Set aside items you’ll need while traveling and those needed until your new home is established. Make sure these are not packed in the moving truck! Scan your furniture

. Once the house is empty, check the entire house (closets, the attic, basement, etc) to ensure no items are left or no home issues exist. Sign the bill of lading

Planning your move

Cancel services. Notify any remaining service providers (newspapers, lawn services, etc) of your move.

Vacate your home

Service automobiles If automobiles will be driven long distances, you’ll want to have them serviced for a trouble-free drive.

AZ Sellers Guide | 18

. Make plans to spend the entire day at the house or at least until the movers are on their way. Someone will need to be around to make decisions. Make plans for kids and pets to be at the sitters for the day.

MOVINGReviewDAY:thehouse

SIX WEEKS BEFORE: Create an inventory sheet of items to move. Research moving options You’ll need to decide if yours is a do-it-yourself move or if you’ll be using a moving company. Request moving quotes Solicit moving quotes from as many moving companies and movers as possible. There can be a large difference between rates and services within moving companies. Discard unnecessary items Moving is a great time for ridding yourself of unnecessary items. Have a yard sale or donate unnecessary items to charity. Packing materials. Gather moving boxes and packing materials for your move. Contact insurance companies. (Life, Health, Fire, Auto) You’ll need to contact your insurance agent to cancel/transfer your insurance policy. Do not cancel your insurance policy until you have and closed escrow on the sale. Seek employer benefits. If your move is work-related, your employer may provide funding for moving expenses. Your human resources rep should have information on this policy. Changing Schools. If changing schools, contact new school for registration process.

Change of address

FOUR WEEKS BEFORE: Contact utility companies Set utility turnoff date, seek refunds and deposits and notify them of your new address. Obtain your medical records. Contact your doctors, physicians, dentists and other medical specialists who may currently be retaining any of your family’s medical records. obtain these records or make plans for them to be delivered to your new medical facilities. Note food inventory levels Check your cupboards, refrigerator and freezer to use up as much of your perishable food as possible. Service small engines for your move by extracting gas and oil from the machines. This will reduce the chance to catch fire during your move. Protect jewelry and valuables. Transfer jewelry and valuables to safety deposit box so they can not be lost or stolen during your move.

Start packing. Begin packing for your new location.

. Prepare floor plan for your new home. This will help avoid confusion for you and your movers.

Borrowed and rented items. Return items which you may have borrowed or rented. Collect items borrowed to others. ONE WEEK BEFORE: Plan your itinerary

. Visit USPS for change of address form.

Bank accounts Notify bank of address change. Make sure to have a money order for paying the moving company if you are transferring or closing accounts.

. Once your satisfied with the mover’s packing your items into the truck, sign the bill of lading. If possible, accompany your mover while the moving truck is being weighed. Double check with your mover

AZ Sellers Guide | 19 Your Notes:

AZ Sellers Guide | 20 Your Notes:

AZ Sellers Guide | 21 Your Notes:

1 4 3 2 6 12 10 5 8 7 11 9 CRISMON BUTTESIGNAL GOLDFIELD OLDWESTHWY SKINGSRANCH 14 17 15 13 16 ArizonaCentral First American Title Branch Locator 1 SUN CITY WES T 13940623.299.3644W.Meeker Blvd., #119 Sun City West, AZ 85375 N of Meeker Blvd W of R.H. Johnson 2 GOODYEAR 1626623.936.8001N.Litchfield Rd. Ste. #170 Goodyear, AZ 85395 NW corner of McDowell & Litchfield 3 ARROWHEAD 16165623.487.0404N.83rd Ave , #100 Peoria, AZ 85382 S of Bell/E side of 83rd Ave 4 THE LEGENDS 20241623.537.1608N.67th Ave , #A-2 Glendale, AZ 85308 E side 67th Ave/N of 101 5 ANTHEM 39508623.551.3265N.Daisy Mountain Dr., #128 Anthem, AZ 85086 NE corner Daisy Mtn Dr/ Gavilan Peak Pkwy 6 BILTMORE 3200602.954.3644ECamelback Rd., #123 Phoenix, AZ 85018 NE Corner of Camelback/32nd Street 7 DESERT RIDGE 480.515 4369 20860 N. Tatum Blvd , #100 Phoenix, AZ 85050 NW corner of Tatum/Loop 101 8 CAREFREE 7202480.575.6609E.Carefree Dr , Bldg 1, #1 Carefree, AZ 85377 NE corner of Tom Darlington/ Carefree Dr. 9 KIERLAND COMMONS 14648480.948.6488NScottsdale Rd., Ste. #100 Scottsdale, AZ 85254 W of Scottsdale Road, S side of Greenway 10 SCOTTSDALE FORUM 6263480.551.0480N.Scottsdale Rd., #110 Scottsdale, AZ 85250 E Side Scottsdale/S of Lincoln 11 DC CROSSING 18291480.563.9034N.Pima Rd , #145 Scottsdale, AZ 85255 SE corner of Pima/Legacy 12 AHWATUKEE 4435480.753.4424E.Chandler Blvd , #100 Phoenix, AZ 85048 SW corner Chandler/45th St. 13 CHANDLER PORTICO 2121480.777.0051W.Chandler Blvd., #215 Chandler, AZ 85224 SW Corner Chandler Blvd./ Dobson Rd. 14 GILBERT SAN TAN 1528480.777.0614E.Williams Field Rd., #101 Gilbert, AZ 85295 NW corner of Williams Field Rd./ Val Vista Rd. 15 MESA 1630480.401.3738S.Stapley Dr., #123 Mesa, AZ 85204 N of Baseline / W of Stapley 16 RED MOUNTAIN 1135480.534.3599N.Recker Rd , #103 Mesa, AZ 85205 SE corner of Recker & Brown 17 GOLD CANYON 6877480.288.0883SouthKings Ranch Rd., #5 Gold Canyon, AZ 85118 E of South60/Side Kings Ranch Rd. AZ Sellers Guide | 22

1 MAIN OFFICE 520.885.1600 | Fax 520.885.2309 6390 E. Tanque Verde Rd. Tucson, AZ 85715 2 BROADWAY 520.747.1644 | Fax 520.747.1403 3777 E. Broadway Blvd., Ste. 220 Tucson, AZ 85716 3 CAMBRIC 520.577.8707 | Fax 520.529.5034 1840 E. River Rd., Ste. 200 Tucson, AZ 85718 4 CASA GRANDE 520.426.4600 | Fax 520.426.4699 421 E. Cottonwood Ln Casa Grande, AZ 85122 5 CASAS ADOBES 520.575.1900 | Fax 520.432.0168 6760 N. Oracle Rd., Ste. 100B Tucson, AZ 85704 6 CENTRAL 520.319.9207 | Fax 520.319.1468 3777 E. Broadway Blvd., Ste. 102 Tucson, AZ 85716 7 DOWNTOWN 520.740.0424 | Fax 520.740.0436 1 S. Church Ave., Ste. 1610 Tucson, AZ 85701 8 FOOTHILLS 520.299.4606 | Fax 520.577.6993 4051 E Sunrise Dr., Ste. 155 Tucson, AZ 85718 9 GREEN VALLEY 520.625.1095 | Fax 520.958.9663 190 W. Continental Rd., Ste. 226 Green Valley, AZ 85622 10 ORO CANADAVALLEY/LA 520.877.9200 | Fax 520.202.6348 11165 N. La Canada Dr., Ste. 143 Oro Valley, AZ 85737 11 ORO VALLEY/ORACLE 520.229.9194 | 520.297.2576 Fax 520.229.9210 | 520.742.5866 8500 N. Oracle Rd., Ste 100 Oro Valley, AZ 85704 12 RITA ROAD 520.618.7790 | Fax 520.901.1720 10222 East Rita Rd., Ste. 190 Tucson, AZ 85747 13 RIVER 520.529.1944 | Fax 520.615.2945 1650 E. River Rd., Ste. 105 Tucson, AZ 85718 14 SKYLINE 520.529.0506 | Fax 520.529.8998 2890 E. Skyline Dr., Ste. 200 Tucson, AZ 85718 15 TANQUE VERDE 520.202.2626 | Fax 520.495.6151 7479 E. Tanque Verde Tucson, AZ 85715 AIRPORTINT'LTUCSON Air Force WSilverbellRd SSantaRitaRd NMtLemmon Hwy ESascoRd NF-38 W Avra Valley Rd E G and Va ey DrNAguirreRd dRkLNucett dRWNentzNWatermanMountainRd RdAnwayN W El Tiro Rd NTricoRd W Tucke Rd W Rudasi Rd W Manv l e Rd SSanJoaquinRdWBopp Rd W Snyder H RddRllSMarstear W Park Rd W Hermans RdW He mans Rd W Guy St W Bush Rd SGarveyRd eaCNRinconado SWmotRd SShawRd SSierritaMountainRd SKolbRdW Tw nButtes Rd W Mcgee Ranch Rd ESstanciaDr E Hemlock Dr BNearCanyonRdW E Cam no De Cerro E Fairmount St SSwanRd NFrontageRd W Emigh Rd W Fort Lowe Rd dSPNumptationR Cont nental Ave NTricoRd SCattle SOwlHeadRanchRdGasLineRd NTrcoRd W Bayard Rd dRSSandario N Dove Mountain Blvd SHelvetiaRd WAnamax Mine Rd dRhRiGWarcaanc Road424 WRagged Top Rd W Ruby S a Dr WBritten RanchRd W Pima Mine Rd ellRdS S Mcgee RanchRd E Edw n Rd SGu 80 NKINNEYRDSNANDARIORDNANWAYRD W VALENCIA RD W MOORE RD W INA RD ESN1TAV E SUNRISE DR E SNYDER RDNSILVERBELLRD TRSNOLDIERLE RIVER RDE PRINCE RD E SPEEDWAY BLVD SFREEMANRDE 22ND ST E 22ND ST W IRVINGTON RD SNOGALESHWY W VALENCIA RDSMISSIONRDWSPEEDWAY BLVD SOLDSPANISHTRL W NARANJA DR W TWIN PEAKS RD W PICTURE ROCKS RD W MANVILLE RD SKINNEYRD W MILE WIDE RD E SAHUARITA RD NTRICORD OSSANDARIRD SOLDNOGALESHWY GUOSHHTONRD ADCSLAANADRW HELMET PEAK RD WAJOHWY RNASNWD RDKOLBS SHOUGHTONRD W TANGERINE RD E GRANT RD SHOUGHTONRD 95 WAJOHWY E VALENCIA RD NORACLERD I-10 I-19 77 77 86 86 286 19 10 10 Corona de Tucson AdobesCasas Catalina Green Valley Picture Rocks Three Points VailSummit TanqueVerde SahuaritaTucson Red Rock Saddlebrooke Marana Oro Valley Rillito SummerhavenWillow Canyon Oracle Junction Cortaro Continental Littletown 2 3 5 6 7910 11 12 13 15 14 8 1 SouthernArizona First American Title Branch Locator AIRPORTINT'LTUCSON Air Force FreemanRd WSilverbellRd NMtLemmon Hwy ESascoRd NF38 W Avra Val ey Rd WSCurryRdHanna Rd E Grand Va ey D W Houser Rd W Ph ps Rd E Co nman Rd NAguirreRd dRkLNucet dRWNenzNWatermanMountainRd RdAnwayN W El Tiro Rd NTricoRd W Tucke Rd W Rudas Rd W Manv e Rd SSanJoaquinRdWBopp Rd W Snyde H RddRSMarstear W Pa k Rd W He mans RdW Hermans Rd W Guy St W Bush Rd dRearvy eaCNRinco SWmoRd ShawRd SSierrita W Woodru Rd ONverfedRd W Rando ph Rd W BartlettNRdLaPamaRdNTweedyRd E Randolph Rd W Kleck Rd E K eck Rd W Se ma Hwy STrekellRd SHennessRd E Selma Hwy W Co nman Rd W Pretzer Rd SLambRd SLaPalmaRd E M gan Rd E M gan Rd W A es Dr E Curtis Rd ESstancaDr EDesertDove HearthRd E Hemlock Dr BNearCanyonRdW E Cam no De Cerro E Fairmount St SSwanRd NFrontageRd W Emigh Rd GoffRanchRd NBarkervilleRd W Fort Lowe Rd dSPNumptationR E Nona Rd Ch efButteRd LovettaRd E Hanna Rd TecoloteRanchRd FlorenceRdRomeroRd Con nenta Ave BIA 30 NTricoRd SSunandGinRd SCattleTankRd E E s Rd E Hotts Rd E Nutt Rd Evalyn Rd SOwlHeadRanchRdGasLineRd PSecanRd I on Va ey RdEDeepWellRanchRd SNghtSkySt SBradyPumpRdE Houser Rd E Ar ca Rd W Ea ey Rd NTrcoRd W Baya d Rd dRSSandaro WillowSpringsRd EHelmwheel Ranch Rd N Dove Mounta n Blvd BIA-35 dRhRiGWarcaanc E Dese H s Rd WRagged Top Rd W Pima Mine Rd WSilverbellRdS E Edw n Rd BIA34 SGuildRd 80 NKINNEYRD SPICACHOHWYE GREENE RESERVOIR RD SSUNLANDGINRD W BATTAGLIA DR AZ-84 E BAUMGARTNER RD SSUNSHINEBLVD SNANDARORDNANWAYRD E HARMON RD W VALENCIA RD E RODEO RD W MOORE RD W INA RD ESN1TAV E SUNRISE DR E SNYDER RDNSILVERBELLRD TRSNOLDIERLE RIVER RDE PRINCE RD E SPEEDWAY BLVD SFREEMANRDE 22ND ST E 22ND ST W IRV NGTON RD SNOGALESHWY W VALENC A RDSMISSIONRDWSPEEDWAY BLVD SOLDSPANISHTRL W NARANJA DR W TW N PEAKS RD W P CTURE ROCKS RD W MANVILLE RD SKINNEYRD W MILE WIDE RD W HARMON RD W MCCARTNEY RD NTRICORD OSSANDARIRD PARK LINK DR GUOSHHTONRD E MART N RD STHORNTONRD SCHUICHURD WAJOHWY RNASNWD RDKOLBS SHOUGHTONRD W TANGER NE RD E GRANT RD SHOUGHTONRD NPNALAVE 95 WAJOHWY E VALENCIA RD NORACLERD I10 I-19 I-8 77 77 79 77 77 87 86 86 387 287 86 10 19 8 10 10 10 La Palma Chuichu Arizona City AdobesCasas Catalina OracleDudleyvilleGrandeCasa Picture Rocks Three Points VailSummit TanqueVerde Eloy Tucson Cactus Forest Picacho Red Rock Saddlebrooke Marana Oro Valley HaivanaNakya Rillito SummerhavenWillow Canyon Randolph Toltec Oracle Junction Cortaro Schuchk Littletown 2 4 3 5 6 7 10 11 12 13 15 14 8 1 AIRPORTINT'LTUCSON Air Force WSilverbellRd SSantaRitaRd NMtLemmon Hwy ESas W Avra Valley Rd E G and Va ey DNAguirreRd dRkLNucet dRWNentzNWatermanMountanRd RdAnwayN W El Tiro Rd NTricoRd W Tucke Rd W Rudas Rd W Manv e Rd SSanJoaquinRdWBopp Rd W Snyder H RddRSMarstear W Park Rd W Hermans RdW He mans Rd W Guy St W Bush Rd SGaveyRd eaCNRinconado SWlmotRd SShawRd SSierritaMountainRd SKobRdW TwinButtes Rd W Mcgee Ranch Rd ESs BNearCanyonRdW E Cam no De Cerro E Fairmount St SSwanRd NFrontageRd W Emigh Rd W Fort Lowel Rd dSPNumpationR NTricoRd SOwGas NTrcoRd W Baya d Rd dRSSandaro N Dove Mountain Blvd SHelvetiaRd WAnamax M ne Rd dRhRiGWarcaanc Road424 ed Top Rd W Ruby S ar D WBritten RanchRd W Pima Mine Rd S Mcgee RanchRd E Edw n Rd 80 NKINNEYRDSNANDARORDNANWAYRD W VALENC A RD W MOORE RD W INA RD ESN1TAV E SUNR SE DR E SNYDER RDNSILVERBELLRD TRSNOLDERLE RIVER RDE PRINCE RD E SPEEDWAY BLVD SFREEMANRDE 22ND ST E 22ND ST W IRV NGTON RD SNOGALESHWY W VALENCIA RDSMISSIONRDWSPEEDWAY BLVD SOLDSPANISHTRL W NARANJA DR W TW N PEAKS RD W P CTURE ROCKS RD W MANVILLE RD SKINNEYRD W MILE WIDE RD E SAHUARITA RD NTRICORD OSSANDARRD SOLDNOGALESHWY GUOSHHTONRD ADCSLAANADRW HELMET PEAK RD WAJOHWY RNASNWD RDKOLBS SHOUGHTONRD W TANGERINE RD E GRANT RD SHOUGHTONRD 95 WAJOHWY E VALENCIA RD NORACLERD I-10 I-19 77 77 86 86 286 19 10 10 Corona de Tucson AdobesCasas Catalina Green Valley Picture Rocks Three Points VailSummit TanqueVerde SahuaritaTucson Saddlebrooke Marana Oro Valley Rillito SummerhavenWillow Canyon Cortaro Continental Littletown 2 3 5 6 7910 11 12 13 15 14 8 1 AZ Sellers Guide | 23

05110281121 For more information please contact your First American representative. www.firstam.com First American Title Insurance Company, and the operating divisions thereof, make no express or implied warranty respecting the information presented and assume no responsibility for errors or omissions. First American, the eagle logo, First American Title, and firstam.com are registered trademarks or trademarks of First American Financial Corporation and/or its affiliates. ©2021 First American Financial Corporation and/or its affiliates. All rights reserved. NYSE: FAF

Turn static files into dynamic content formats.

Create a flipbook
Issuu converts static files into: digital portfolios, online yearbooks, online catalogs, digital photo albums and more. Sign up and create your flipbook.