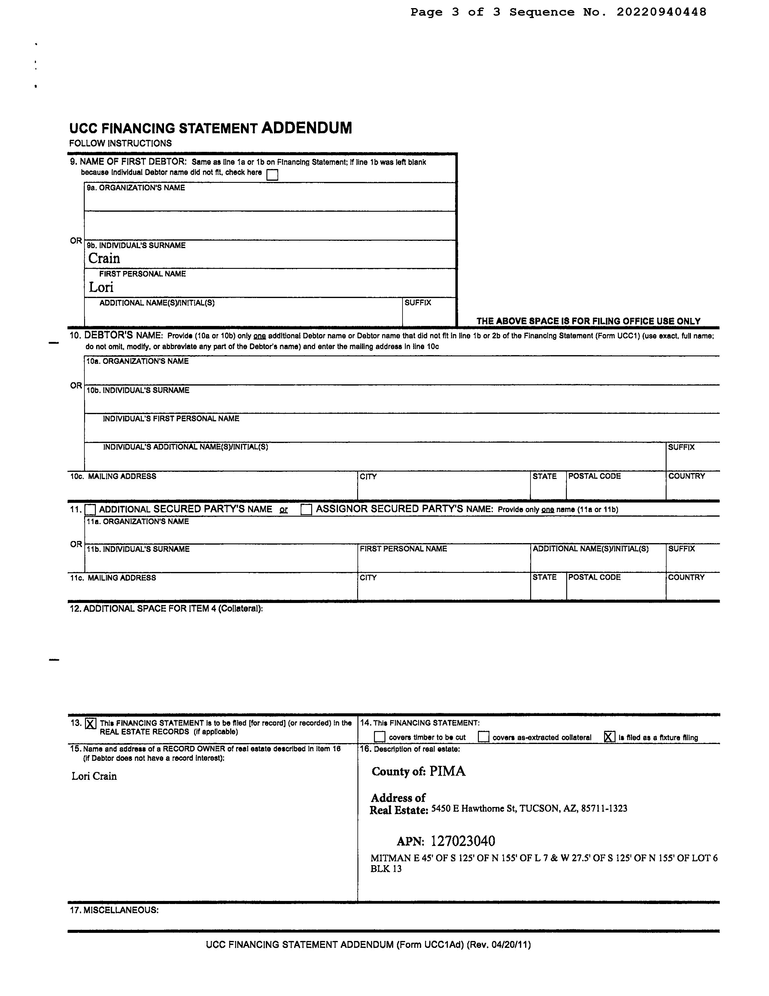
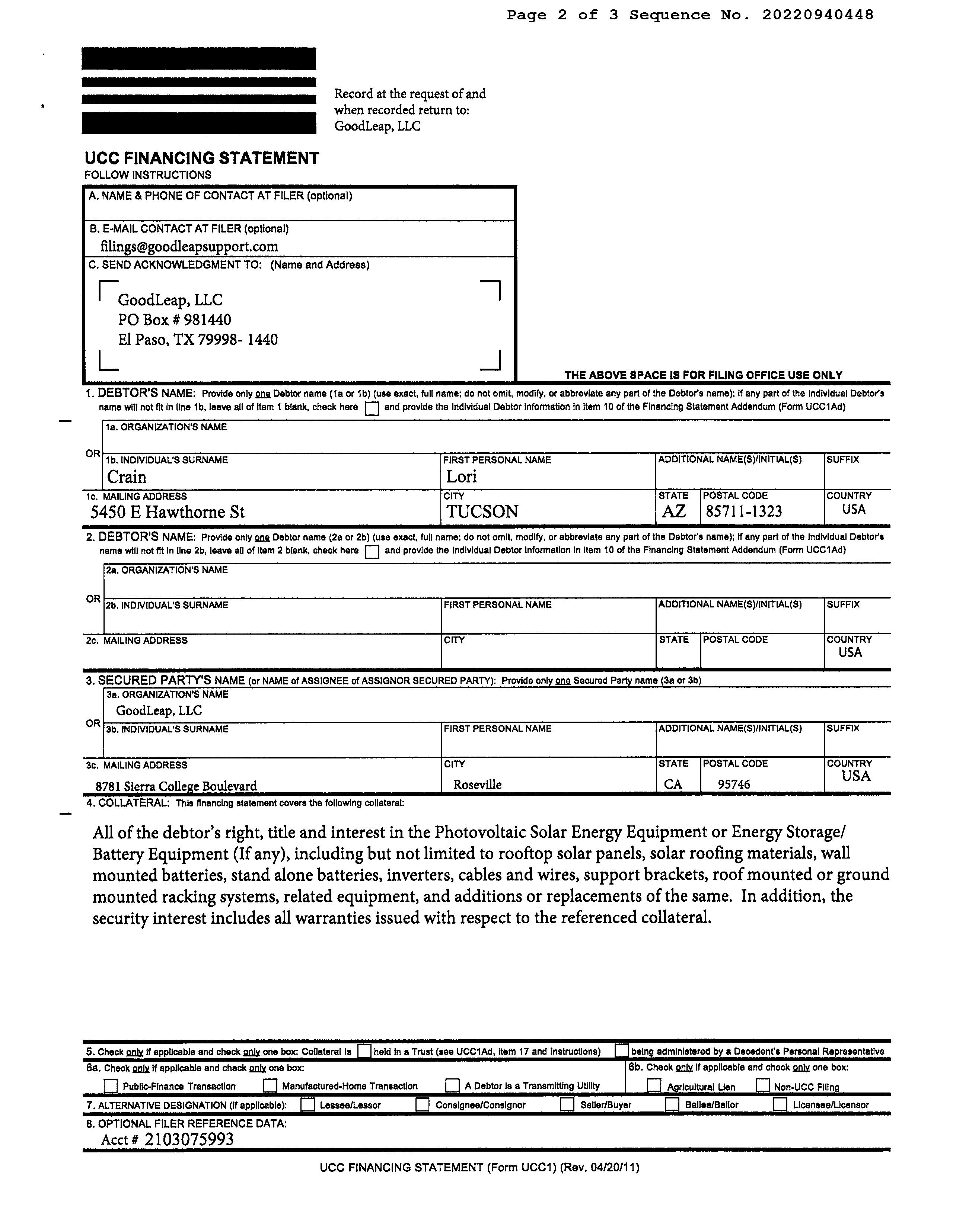
5450 E Hawthorne St

Page 1

5450EastHawthorneStreet Tucson,AZ85711

TRUST YOUR SOURCE OF INFORMATION

Criminals are targeting social media and email to steal information. This is particularly common in real estate transactions because sensitive data, including social security numbers, bank account numbers, and wire instructions are often sent by electronic means. We do not want you to be the next victim of wire fraud. Money wired to a fraudulent account is stolen money that typically cannot be recovered. Additionally, there is generally no insurance for this loss. You may never get the money back.

There are many online sources that can provide useful information regarding similar topics including, but not limited to, the following sites:

DO NOT TRUST EMAILS CONTAINING WIRE INSTRUCTIONS

DO NOT TRUST EMAILS SEEKING PERSONAL/FINANCIAL INFORMATION

Before you wire funds to any party (including your lawyer, title agent, mortgage broker, or real estate agent) personally meet them or call a verified telephone number (not the telephone number in the email) to confirm before you act!

The National White Collar Crime Center @ http://www.nw3c.org/research

• It is imperative that this call be made to a number obtained in person from the individual or through other reliable means, not from a number provided in the email or the wiring instructions

On Guard Online @ www.onguardonline.gov

PROTECT YOURSELF VERIFY AND NOTIFY

ONLINE RESOURCES:

WIRE FRAUD ADVISORY

Immediately notify your banking institution and Settlement/Title Company if you are a victim of wire fraud.

• Never direct, accept or allow anyone in the transaction to consent to receiving transfer instructions without a direct personal telephone call to the individual allegedly providing the instructions.

The undersigned acknowledges receipt of this Wire Fraud Advisory.

Client Date Client Date

The Federal Bureau of Investigation @ https://www.fbi.gov/scams and safety

The Internet Crime Complaint Center @ www.ic3.gov

• If you receive an email containing wire transfer instructions, immediately call your escrow officer to ensure the validity of the instructions.

• If you receive an email requesting personal/financial information or asking you to download, click on a link, send, and/or do anything that may seem unusual to you, call your escrow officer immediately prior to acting on the suspicious email to verify the validity of the email.

LIMITATION OF LIABILITY FOR INFORMATIONAL REPORTS

IMPORTANT -- PLEASE READ CAREFULLY:

This report is not an insured product or service or a representation of the condition of title to real property. It is not an abst ract, legal opinion, opinion of title, title insurance commitment or preliminary report, or any form of Title Insurance or Guaranty. This report is issued exclusively for the benefit of the Applicant therefor and may not be used or relied upon by any other person. This report may not be reproduced in any manner without First American or Title Security's prior written consent. First American or Title Security does not represent or warrant that the information herein is complete or free from error, and the information herein is provided without any warranties of any kind, as-is, and with all faults. As a material part of the consideration given in exchange for the issuance of this report, recipient agrees that First American or Title Security's sole liability for any loss or damage caused by an error or omission due to inaccurate information or negligence in preparing this report shall be limited to the fee charged for the report. Recipient accepts this report with this limitation and agrees that First American or Title Security would not have issued this report but for the limitation of liability described above. First American or Title Security makes no representation or warranty as to the legality or propriety of recipient's use of the information herein.

First

© 2022 CoreLogic. All rights reserved

Subject Property 5450 E Hawthorne St APN:AZTucson85711127-02-3040

Data Provided By: American Title Ins Co

Disclaimer

This REiSource report is provided "as is" without warranty of any kind, either express or implied, including without limitations any warrantees of merchantability or fitness for a particular purpose. There is no representation of warranty that this information is complete or free from error, and the provider does not assume, and expressly disclaims, any liability to any person or entity for loss or damage caused by errors or omissions in this REiSource report without a title insurance policy.

Data Provided By: First American Title Ins Co

The information contained in the REiSource report is delivered from your Title Company, who reminds you that you have the right as a consumer to compare fees and serviced levels for Title, Escrow, and all other services associated with property ownership, and to select providers accordingly. Your home is the largest investment you will make in your lifetime and you should demand the very best.

© 2022 CoreLogic. All rights reserved

Prepared On : 09/13/2022

Subdivision : Mitman Add Legal Book/Page : 4-43 Map Reference : 11-14S-14E

Prior Deed Type : Deed (reg)

Last Market Sale Information

Market Area : 50

Owner OccupiedIndicator : O

Township-Range- Sect : 14S-14E-11

Mailing Address : 5450 E Hawthorne St, Tucson AZ 85711-1323 C012

1st Mtg Term : 30

Prior Sale Price : $105,346

Recording/Sale Date : 08/26/2020 / 08/25/2020

Munic/Township : Tucson Unified

Prior Sale Information

APN : 127-02-3040

Legal Description : Mitman E 45' Of S 125' Of N 155' Of L 7 & W 27.5' Of S 125' Of N 155' Of Lot 6 Blk 13

Subject Property :   5450 E Hawthorne St Tucson AZ 85711

Customer Name : Lisa Mrazek

© 2022 CoreLogic. All rights reserved

1st Mtg Amount/Type : $191,468 / Fha Sale Price : $195,000

Title Company : Other Lender : Nova Fin'l & Inv Corp

Prior Rec/Sale Date : 04/04/2007 / 03/15/2007

Owner Name : Crain Lori

Prior Doc Number : 13026-3472

School District : Tucson Unified Legal Block : 13

Seller Name : Pom Llc

Location Information

County : Pima, Az

Deed Type : Warranty Deed Price Per SqFt : $166.24

Legal Lot : 6

Customer Company Name : First American Title Insurance Company

Document # : 2390976

1st Mtg Document # : 2390977

Owner Information

Census Tract / Block : 31.02 / 3

Total Rooms : 5

Heat Type : Forced Air Quality : Fair

Gross Area : 1,173 Capacity :Garage 1

State Use : Single Fam Resurban Subd

Land Use : Sfr

Total Value : $139,965

Tax Year : 2021 Current AssessedYear : 2023

Customer Name : Lisa Mrazek

Patio Type : Covered Patio

Customer Company Name : First American Title Insurance Company Prepared On : 09/13/2022

Parking Type : Carport

Lot Acres : 0.21

Zoning : R-1 Lot Size : 9,091

Total TaxableValue : $12,405 Tax Rate Area : 0150 Current ImprovementYearValue : $17,169

Property Tax : $1,803.64 Current YearValue :Total $17,219

Year Built / Eff : 1953

Living Area : 1,173 Roof Material : Asphalt Air Cond : Evap Cooler

County Use : Single Fam Resurban Subd

Tax Information

Assessed Year : 2021 Market Value : $139,965 Current YearValue :Land $50

© 2022 CoreLogic. All rights reserved

Cooling Type : Forced Air Condition : Average

Property Information

# of Stories : 1

Property Characteristics

Exterior wall : Brick Bath Fixtures : 5

Price Per Square Foot $166.24 $158 $328 $240.34

Prepared On : 09/13/2022

Year Built 1953 1949 1961 1955 Lot Size 9,091 7,491 9,114 8,204 BathroomsBedrooms 2 1 2 2 Stories 1 1 1 1

© 2022 CoreLogic. All rights reserved

Customer Name : Lisa Mrazek

Total Assessed Value $139,965 $123,239 $176,215 $149,737

Distance From Subject 0 0.03 0.47 0.3

Criteria Subject Property Low High Average

Sales Analysis

Sale Price $195,000 $190,000 $364,000 $288,470

Customer Company Name : First American Title Insurance Company

Bldg/Living Area 1173 1020 1347 1208

Map

Company Name : First American Title Insurance Company

Customer

Prepared On

Customer

: 09/13/2022 © 2022 CoreLogic. All rights reserved

Name : Lisa Mrazek

Year Built / Eff: 1952 / Rec. Date / Price: 01/27/2022 / $275,000 Living Area: 1,342 # of units: Document #: 270657 Bedrooms: Pool: Total Tax Value: $149,596 Bath(F/H): /

Owner Name: Crain Lori /

#4   702 N Jefferson Ave Tucson Az 85711

Year Built / Eff: 1953 / Rec. Date / Price: 06/02/2022 / $255,000 Living Area: 1,258 # of units: Document #: 1530484 Bedrooms: Pool:

Owner Name: Lampert Wilene M /

Owner Name: Sullivan Colin Y / APN / Alternate APN: 127-02-3060 / Deed Type: Warranty Deed

Customer Company Name : First American Title Insurance Company Prepared On : 09/13/2022

Deed Type: Warranty Deed

#2   5514 E Rosewood St Tucson Az 85711

Details of Comparables

Total Tax Value: $158,411 Bath(F/H): /

Owner Name: Genow James G /Genow Lauren APN / Alternate APN: 127-03-3180 / Deed Type: Warranty Deed Land Use: Sfr Subdivision / Tract: Mitman Add / Lot Size: 8,564

Owner Name: Bond Laura B /Bond Wyatt P APN / Alternate APN: 127-03-3920 / Deed Type: Warranty Deed Land Use: Sfr Subdivision / Tract: Mitman Add / Lot Size: 7,801

#1   5441 E Rosewood St Tucson Az 85711

Year Built / Eff: 1953 / Rec. Date / Price: 08/26/2020 / $195,000 Living Area: 1,173 # of units: Document #: 2390976 Bedrooms: Pool: Total Tax Value: $139,965 Bath(F/H): /

#3   5519 E 3rd St Tucson Az 85711

© 2022 CoreLogic. All rights reserved

Year Built / Eff: 1959 / Rec. Date / Price: 07/15/2022 / $280,000 Living Area: 1,346 # of units: Document #: 1960391 Bedrooms: Pool: Total Tax Value: $155,888 Bath(F/H): /

Customer Name : Lisa Mrazek

Land Use: Sfr Subdivision / Tract: Mitman Add / Lot Size: 9,091

Land Use: Sfr Subdivision / Tract: Mitman Add / Lot Size: 8,976

APN / Alternate APN: 127-02-3040 /

Subject Property: 5450 E Hawthorne St Tucson Az 85711

APN / Alternate APN: 127-03-3240 / Deed Type: Warranty Deed Land Use: Sfr Subdivision / Tract: Mitman Add / Lot Size: 8,082

Year Built / Eff: 1952 / Rec. Date / Price: 08/24/2022 / $325,000 Living Area: 1,202 # of units: Document #: 2360244 Bedrooms: Pool: Total Tax Value: $140,306 Bath(F/H): /

#6   5602 E 4th St Tucson Az 85711

Bedrooms: Pool: Total Tax Value: $156,165 Bath(F/H): /

Owner Name: E Baker Llc /

Total Tax Value: $136,235 Bath(F/H): /

APN / Alternate APN: 127-03-5300 / Deed Type: Warranty Deed

APN / Alternate APN: 121-12-0390 / Deed Type: Warranty Deed

APN / Alternate APN: 127-03-5270 / Deed Type: Warranty Deed

Land Use: Sfr Subdivision / Tract: Mitman Add / Lot Size: 7,840

Owner Name: Dock Brittany /Hammonds Phillip J

Prepared On : 09/13/2022

#5   5643 E Hawthorne St Tucson Az 85711

Owner Name: Barthel Samuel C /Barthel Sandra D

Year Built / Eff: 1952 / Rec. Date / Price: 04/25/2022 / $265,000 Living Area: 1,053 # of units: Document #: 1150666 Bedrooms: Pool: Total Tax Value: $141,623 Bath(F/H): /

Land Use: Sfr Subdivision / Tract: Avondale / Lot Size: 9,000

Customer Company Name : First American Title Insurance Company

APN / Alternate APN: 127-03-2490 / Deed Type: Warranty Deed

APN / Alternate APN: 127-03-3680 / Deed Type: Warranty Deed Land Use: Sfr Subdivision / Tract: Mitman Add / Lot Size: 8,291 Year Built / Eff: 1954 / Rec. Date / Price: 03/24/2022 / $325,000 Living Area: 1,258 # of units: Document #: 830528 Bedrooms: Pool:

© 2022 CoreLogic. All rights reserved

Land Use: Sfr Subdivision / Tract: Mitman Add / Lot Size: 8,168

Total Tax Value: $153,356 Bath(F/H): /

Land Use: Sfr Subdivision / Tract: Mitman Add / Lot Size: 7,579

Land Use: Sfr Subdivision / Tract: Mitman Add / Lot Size: 8,037 Year Built / Eff: 1953 / Rec. Date / Price: 05/27/2022 / $260,000 Living Area: 1,098 # of units: Document #: 1470927 Bedrooms: Pool:

Customer Name : Lisa Mrazek

#10   1163 N Woodland Ave Tucson Az 85712

Year Built / Eff: 1953 / Rec. Date / Price: 05/27/2022 / $260,000 Living Area: 1,196 # of units: Document #: 1470927 Bedrooms: Pool: Total Tax Value: $145,983 Bath(F/H): /

#9   5620 E 4th St Tucson Az 85711

Owner Name: E Baker Llc /

#8   5643 E 3rd St Tucson Az 85711

Owner Name: E Baker Llc / APN / Alternate APN: 127-03-5260 / Deed Type: Warranty Deed

Year Built / Eff: 1960 / Rec. Date / Price: 05/27/2022 / $260,000 Living Area: 1,298 # of units: Document #: 1470927

#7   5608 E 4th St Tucson Az 85711

Year Built / Eff: 1949 / Rec. Date / Price: 09/29/2021 / $280,000 Living Area: 1,020 # of units: Document #: 2720732 Bedrooms: Pool: Total Tax Value: $123,239 Bath(F/H): /

Owner Name: Brooks Lisa E /

#11   5707 E Rosewood St Tucson Az 85711

Owner Name: Desert Llc /

Deed Type: Warranty Deed

Year Built / Eff: 1956 / Rec. Date / Price: 03/29/2022 / $335,000 Living Area: 1,248 # of units: Document #: 880887 Bedrooms: Pool: Total Tax Value: $158,439 Bath(F/H): /

Customer Name : Lisa Mrazek

#13   5455 E Bellevue St Tucson Az 85712

Year Built / Eff: 1955 / Rec. Date / Price: 06/07/2022 / $306,000 Living Area: 1,224 # of units: Document #: 1580238 Bedrooms: Pool: Total Tax Value: $147,972 Bath(F/H): /

APN / Alternate APN: 121-12-1970 / Deed Type: Warranty Deed

#12   5425 E 6th St Tucson Az 85711

Owner Name: Holloway Christina M / APN / Alternate APN: 121-12-1830 / Deed Type: Warranty Deed Land Use: Sfr Subdivision / Tract: Avondale / Lot Size: 8,700 Year Built / Eff: 1959 / Rec. Date / Price: 11/05/2021 / $190,000 Living Area: 1,204 # of units: Document #: 3090655 Bedrooms: Pool: Total Tax Value: $140,746 Bath(F/H): /

Land Use: Sfr Subdivision / Tract: Mitman Add / Lot Size: 7,832

Land Use: Sfr Subdivision / Tract: Avondale / Lot Size: 8,700

Land Use: Sfr Subdivision / Tract: Mitman Add / Lot Size: 7,491 Year Built / Eff: 1958 / Rec. Date / Price: 03/14/2022 / $269,000 Living Area: 1,232 # of units: Document #: 730778 Bedrooms: Pool: Total Tax Value: $148,754 Bath(F/H): /

Deed Type: Warranty Deed Land Use: Sfr Subdivision / Tract: Highland Vista / Lot Size: 8,393

Customer Company Name : First American Title Insurance Company Prepared On : 09/13/2022

Owner Name: Matus Celeste M /Rodriguez Carmen E APN / Alternate APN: 127-02-2400 / Deed Type: Warranty Deed

Year Built / Eff: 1954 / Rec. Date / Price: 11/17/2021 / $269,900 Living Area: 1,044 # of units: Document #: 3210702 Bedrooms: Pool: Total Tax Value: $137,982 Bath(F/H): /

#15   5731 E 3rd St Tucson Az 85711

Owner Name: Apodaca Esteban C / APN / Alternate APN: 127-03-2320 /

Owner Name: Earle Brenda / APN / Alternate APN: 127-03-4040 / Deed Type: Warranty Deed Land Use: Sfr Subdivision / Tract: Mitman Add / Lot Size: 7,971

Year Built / Eff: 1959 / Rec. Date / Price: 03/25/2022 / $346,000 Living Area: 1,128 # of units: Document #: 840752 Bedrooms: Pool: Total Tax Value: $174,722 Bath(F/H): /

Owner Name: Mufame Living Trust / APN / Alternate APN: 127-08-0260 /

#14   5169 E 2nd St Tucson Az 85711

© 2022 CoreLogic. All rights reserved

#16   5408 E Willard St Tucson Az 85712

Owner Name: Trenhaile Paulette A / APN / Alternate APN: 121-06-3410 / Deed Type: Warranty Deed Land Use: Sfr Subdivision / Tract: Mountain View Acre Farms Resub / Lot Size: 8,010

Owner Name: Fisher Jenifer L / APN / Alternate APN: 127-07-0850 / Deed Type: Warranty Deed Land Use: Sfr Subdivision / Tract: Cinco Villa / Lot Size: 9,114

Year Built / Eff: 1953 / Rec. Date / Price: 06/10/2022 / $364,000 Living Area: 1,110 # of units: Document #: 1610245 Bedrooms: Pool: Total Tax Value: $148,232 Bath(F/H): /

Owner Name: Landriau Martin / APN / Alternate APN: 127-03-0890 / Deed Type: Warranty Deed Land Use: Sfr Subdivision / Tract: Mitman Add / Lot Size: 7,652 Year Built / Eff: 1952 / Rec. Date / Price: 04/04/2022 / $289,000 Living Area: 1,302 # of units: Document #: 940534 Bedrooms: Pool: Total Tax Value: $147,873 Bath(F/H): /

Owner Name: Robb Edward H / APN / Alternate APN: 127-03-1530 / Deed Type: Warranty Deed Land Use: Sfr Subdivision / Tract: Mitman Add / Lot Size: 7,871

# of units: Document #: 3430664 Bedrooms: Pool: Total Tax Value: $152,995 Bath(F/H): /

© 2022 CoreLogic. All rights reserved

#19   5215 E 6th St Tucson Az 85711

#20   5814 E 1st St Tucson Az 85711

#17   5727 E 1st St Tucson Az 85711

Year Built / Eff: 1961 / Rec. Date / Price: 12/09/2021 / $265,500 Living Area: 1,251

#18   5549 E Mabel St Tucson Az 85712

Customer Company Name : First American Title Insurance Company Prepared On : 09/13/2022

Customer Name : Lisa Mrazek

Year Built / Eff: 1952 / Rec. Date / Price: 08/11/2022 / $350,000 Living Area: 1,347 # of units: Document #: 2230279 Bedrooms: Pool: Pool

Total Tax Value: $176,215 Bath(F/H): /

Subject Property :   5450 E Hawthorne St Tucson AZ 85711 Customer Name : Lisa Mrazek Customer Company Name : First American Title Insurance Company Prepared On : 09/13/2022 © 2022 CoreLogic. All rights reserved

Customer Company Name : First American Title Insurance Company

Prepared On : 09/13/2022

Customer Name : Lisa Mrazek

© 2022 CoreLogic. All rights reserved

SchoolsArizona For detailed information and statistics on Arizona schools please go ©2021FirstFirsthttps://azreportcards.azed.gov/toAmericanTitleInsuranceCompany,andtheoperatingdivisionsthereof,makenoexpressorimpliedwarrantyrespectingtheinformationpresentedandassumenoresponsibilityforerrorsoromissions.American,theeaglelogo,FirstAmericanTitle,andfirstam.comareregisteredtrademarksortrademarksofFirstAmericanFinancialCorporationand/oritsaffiliates.FirstAmericanFinancialCorporationand/oritsaffiliates.Allrightsreserved.NYSE:FAF05117910421

08

11

111

ELEMENTARY 10105

06

30

350

TANQUE VERDE UNIFIED 2300 N. Tanque Verde Loop, Tucson, AZ 85749 520.749.5751 TUCSON UNIFIED 1010 E. 10th Street, Tucson, AZ 85717 520.225.6000 VAIL UNIFIED 10701 E. Mary Ann Cleveland Way, Tucson, AZ 85747 520.879.2000

51 ALTAR

SHelvetiaRdUNIFIED N. Well Road, Ajo, AZ 85321 520.387.5618 VALLEY S. Sasabe Road, Tucson, AZ 85736 520.822.1484 W. Wetmore, Tucson, AZ 85705 520.696.5000 FOOTHILS E. River Road, Tucson, AZ 85718 520.209.7500 CONTINENTAL ELEMENTARY 1991 E. Whitehouse Canyon, Green Valley, AZ 85614 520.625.4581 FLOWING WELLS UNIFIED 1556 W. Prince Road, Tucson, AZ 85705 520.696.8800 MARANA UNIFIED 11279 W. Grier Road, Marana, AZ 85653 520.682.3243 PIMA COUNTY JTED 2855 W. Master Pieces Dr, Tucson, AZ 85741 520.352.5833 SAHUARITA UNIFIED W. Sahuarita Road, Sahuarita, AZ 85629 520.625.3502 SUNNYSIDE UNIFIED 2238 E. Ginter Road, Tucson, AZ 85706 520.545.2000

05249570321 AIRPORTINT'LTUCSON Air Force WSilverbellRd SSantaRitaRd NMtLemmon Hwy ESascoRd NF38 W Avra Valley Rd E Grand Va ey DrNAguirreRd dRkLNuce dRWNentzNWatermanMountainRd RdAnwayN W El Tiro Rd NTricoRd W Tucker Rd W Rudas l Rd W Manvi e Rd SSanJoaquinRdWBopp Rd W Snyder H l RddRSMarsear W Park Rd W Hermans RdW Hermans Rd W Guy St W Bush Rd SGaveyRd eaCNRinconado SWmoRd SShawRd SSierritaMountainRd SKobRdW TwinButtes Rd W Mcgee Ranch Rd ESstancaDr

39

EDesertDove

16 CATALINA

E Hemlock Dr BNearCanyonRdW E Camino Del Cerro E Fairmount St SSwanRd NFrontageRd W Emigh Rd W Fort Lowe Rd dSPNumptationR E Nona Rd Ch efButteRd Lo al Ave NTricoRd SCattleTankRd Evalyn Rd SOwlHeadRanchRdGasLineRd PSecanRd NTrcoRd W Bayard Rd dRSSandaro WillowSpringsRd N Dove Mountain Blvd

10 AMPHITHEATER UNIFIED 701

UNIFIED 2101

First American Title Insurance Company, and the operating divisions thereof, make no express or implied warranty respecting the information presented and assume no responsibility for errors or omissions. First American, the eagle logo, First American Title, and firstam.com are registered trademarks or trademarks of First American Financial Corporation and/or its affiliates. ©2021 First American Financial Corporation and/or its affiliates. All rights reserved. NYSE: FAF

13

WAnamax Mine Rd dRhRiGWacaanc Road424 WRagged Top Rd W Ruby Star Dr WBritten RanchRd W Pima Mine Rd S Mcgee RanchRd E Edw n Rd SGuildRd 80 NKINNEYRD SPICACHOHWYE BAUMGARTNER RD SNANDARIORDNANWAYRD W VALENCIA RD W MOORE RD W INA RD ESN1TAV E SUNRISE DR E SNYDER RDNSILVERBELLRD TRSNOLDIERLE RIVER RDE PRINCE RD E SPEEDWAY BLVD SFREEMANRDE 22ND ST E 22ND ST W IRVINGTON RD SNOGALESHWY W VALENCIA RDSMISSIONRDWSPEEDWAY BLVD SOLDSPANISHTRL W NARANJA DR W TWIN PEAKS RD W PICTURE ROCKS RD W MANVILLE RD SKINNEYRD W MILE WIDE RD E SAHUARITA RD NTRICORD OSSANDARRD PARK LINK DR SOLDNOGALESHWY GUOSHHTONRD ADCSLAANADRW HELMET PEAK RD WAJOHWY RNASNWD RDKOLBS SHOUGHTONRD W TANGERINE RD E GRANT RD SHOUGHTONRD 95 WAJOHWY E VALENCIA RD NORACLERD I-10 I-19 77 77 77 86 86 286 10 19 10 10 Corona de Tucson AdobesCasas Catalina Green Valley Oracle Picture Rocks Three Points VailSummit TanqueVerde SahuaritaTucson Red Rock Saddlebrooke Marana Oro Valley Rillito SummerhavenWillow Canyon Oracle Junction Cortaro Continental Littletown 20 30 13 15 51 39 12 01 01 08 10 16 11 06 PIMA COUNTY School District Information This map is provided for general location only. Please contact school districts for actual street boundaries SCHOOL DISTRICTS 15 AJO

01

12

20

Distance 0.68 Miles

425 N Sahuara Ave Tucson AZ 85711

Total Expenditure/Student :

Customer Name : Lisa Mrazek

Public Schools :

Kindergarten : Yes School Enrollment : Enrollment : 148 Total Expenditure/Student :

School District : Tucson Unified District (4403)

W Arthur Sewel Elementary School

Distance 0.83 Miles

5757 E Pima St Tucson AZ Telephone :85712(520) 296-0656

Lowest Grade : K Highest Grade : 8th

Desert Sky Community School

Lowest Grade : Pre-K

Telephone : (520) 584-7200

Elementary Schools

School District : Desert Sky Community School Inc. (88308)

Highest Grade : 5th Kindergarten : Yes School Enrollment : Enrollment : 290

Lowest Grade : K

Highest Grade : 5th Kindergarten : Yes School Enrollment : Enrollment : 56

1350 N Arcadia Ave Tucson AZ 85712

Adventure School Distance 0.83 Miles

School District : Educational Impact Inc. (81123)

Customer Company Name : First American Title Insurance Company Prepared On : 09/13/2022

Telephone : (520) 745-3888

Total Expenditure/Student : 200

© 2022 CoreLogic. All rights reserved

Lowest Grade : Pre-K Highest Grade : 5th Kindergarten : Yes School Enrollment : Enrollment : 349

5831 E Pima St Tucson AZ

Customer Company Name : First American Title Insurance Company Prepared On : 09/13/2022

Ida Flood Dodge Traditional Middle Magnet School

Total Expenditure/Student : 200

School District : Tucson Unified District (4403)

Lowest Grade : 6th Highest Grade : 8th Kindergarten : No School Enrollment : Enrollment : 424 Total Expenditure/Student : 200

5350 E 16th St Tucson AZ

Telephone :85711(520) 232-6600

School District : Tucson Unified District (4403)

Distance 0.89 Miles

Bonillas Elementary Basic Curriculum Magnet School

Distance 1.54 Miles

Alice Vail Middle School Distance 1.37 Miles

© 2022 CoreLogic. All rights reserved

Lowest Grade : 6th Highest Grade : 8th Kindergarten : No School Enrollment : Enrollment : 793 Total Expenditure/Student : 200

Middle Schools

Telephone :85712(520) 731-4100

Telephone :85711(520) 584-5400

4757 E Winsett St Tucson AZ

Customer Name : Lisa Mrazek

School District : Tucson Unified District (4403)

Distance 0.93 Miles

Distance 0.93 Miles

Lowest Grade : 9th Highest Grade : 12th School Enrollment : Enrollment : 0

Telephone : (520) 225-4300

Customer Company Name : First American Title Insurance Company Prepared On : 09/13/2022

Lowest Grade : 8th

421 N Arcadia Ave Tucson AZ 85711

Distance 0.93 Miles

Pcjted - Rincon High School

Customer Name : Lisa Mrazek

School District : Pima County Jted (89380)

School District : Academy Of Tucson Inc. (78897)

Telephone : (520) 225-4652

Academy Of Tucson Middle School

High Schools

Total Expenditure/Student :

School District : Tucson Unified District (4403)

Total Expenditure/Student : 200 Advanced Placement : No

Lowest Grade : 9th Highest Grade : 12th School Enrollment : Enrollment : 0

Rincon High School

Distance 3 Miles

Lowest Grade : 5th Highest Grade : 8th Kindergarten : No School Enrollment : Enrollment : 249

7310 E 22nd St Tucson AZ Telephone :85710(520) 749-1413

Telephone : (520) 232-5600

421 N Arcadia Ave Tucson AZ 85711

Pcjted - University High School

Total Expenditure/Student : Advanced Placement : No

Total Expenditure/Student : Advanced Placement : No

© 2022 CoreLogic. All rights reserved

421 N Arcadia Ave Tucson AZ 85711

Highest Grade : 12th School Enrollment : Enrollment : 1271

School District : Pima County Jted (89380)

Lowest Grade : 8th

Distance 0.93 Miles 421 N Arcadia Ave Tucson AZ 85711

Telephone : (520) 232-5900

Highest Grade : 12th School Enrollment : Enrollment : 1150

Total Expenditure/Student : 200 Advanced Placement : No

Customer Company Name : First American Title Insurance Company Prepared On : 09/13/2022

© 2022 CoreLogic. All rights reserved

School District : Tucson Unified District (4403)

Customer Name : Lisa Mrazek

University High School

Name Address Telephone Distance (Miles)

Banks / Financial

Southern Arizona Endodontics Pc 1011 N Craycroft Rd # 107 Tucson Az (520) 322-0800 0.1

Name Address Telephone Distance (Miles)

Team Arizona Pizza, Inc. 5460 E Speedway Blvd # 10 Tucson Az (520) 296-2333 0.2

Mcdonald's 24255 5445 E Speedway Blvd Tucson Az (520) 323-7275 0.21

Frank Trent 5633 E Speedway Blvd Tucson Az (520) 721-9477 0.31

Renee Star Entertainment Llc 5201 E 2nd St Apt D15 Tucson Az (520) 312-0041 0.34

Prime Capital Inc 5357 E Pima St Ste 103 Tucson Az (520) 323-3300 0.73

Saguaro Center For Speech & Language, Pllc 1011 N Craycroft Rd Tucson Az (520) 398-6834 0.1

Buckeye Check Cashing, Inc. 5502 E Pima St Ste 100 Tucson Az (520) 546-6100 0.71

Name Address Telephone Distance (Miles)

Name Address Telephone Distance (Miles)

AttractionsBusiness/Recreation

Your Personal Secretary Llc 5418 E 2nd St Tucson Az (520) 730-4235 0.1

Local

Health Care Services

Psychic Visions 1151 N Craycroft Rd Tucson Az (520) 474-8651 0.29

Titlemax Of Arizona, Inc. 5470 E Speedway Blvd Tucson Az (520) 407-6011 0.2

Eating / Drinking

The Bashful Bandit Llc Fn 5607 E 2nd St Tucson Az (520) 275-8483 0.21

Laboratory Corporation Of America 1011 N Craycroft Rd # 201 Tucson Az (520) 322-8945 0.1

Studio 98 Full Service Salon, L.l.c. 5460 E Spdway Blvd Ste 10 Tucson Az (520) 308-7444 0.2

Customer Company Name : First American Title Insurance Company Prepared On : 09/13/2022

© 2022 CoreLogic. All rights reserved

Youth Families First 1011 N Craycroft Rd # 306 Tucson Az (520) 326-1424 0.1

El Tour De Tucson 630 N Craycroft Rd Tucson Az (520) 403-4448 0.22

Customer Name : Lisa Mrazek

Customer Company Name : First American Title Insurance Company Prepared On : 09/13/2022

© 2022 CoreLogic. All rights reserved

Name Address Telephone Distance (Miles)

Name Address Telephone Distance (Miles)

Name Address Telephone Distance (Miles)

Steps Dance And Fitness Studio, Llc 5813 E Speedway Blvd Tucson Az (520) 730-2279 0.48

Family Dollar Stores, Inc. 5629 E Speedway Blvd Tucson Az (520) 546-6950 0.31

Hospitality

Circle K 5502 E Speedway Blvd Tucson Az (520) 514-0644 0.2

Park Hotels & Resorts Inc.

Mon Ami Bed & Breakfast 5902 E 9th St Tucson Az (520) 444-0807 0.89

Fittness With Kari, Llc. 4865 E 4th St Tucson Az (480) 415-3574 0.78

Customer Name : Lisa Mrazek

Specialty Fitness Llc 5555 E 5th St Tucson Az (520) 571-7000 0.31

5335 E Broadway Blvd Tucson Az (520) 745-2700 0.8

Hsl Ebs Properties, Llc 5335 E Broadway Blvd Tucson Az (520) 745-2700 0.8

Ihp Tucson Ii (az) Owner, Llc 5400 E Williams Cir Tucson Az (520) 790-6100 0.89

Organizations / Associations

Name Address Telephone Distance (Miles)

Christ Church United Methodist 655 N Craycroft Rd Tucson Az (520) 327-1116 0.22

Tucson True Light Church 5550 E 1st St Tucson Az (520) 571-8770 0.18

Personal Services

Congregation Anshei Israel Of Tucson, Arizona 5550 E 5th St Tucson Az (520) 745-5550 0.32

Metro Fitness Inc 5851 E Speedway Blvd # 10 Tucson Az (520) 751-0303 0.53

Family Market 5450 E 5th St Tucson Az (520) 305-4777 0.3

Kimpo Oriental Market 5595 E 5th St Ste 101 Tucson Az (520) 750-9009 0.33

Shopping

Street Ministries 5626 E 3rd St Tucson Az (520) 745-1732 0.24

Distance 0.03 Miles

Recording Date : 08/16/2017

Sale Date : 08/14/2017

Total Value : $150,054

Bed / Bath : / 2 Property Tax : $1,855.09

Owner Name : Horner Karen L

Subdivision : Mitman Add

Sale Price  : $99,000

Distance 0.04 Miles

Total Value : $143,205

Owner Name : Bagenstos Leland K Jr

5457 E ROSEWOOD ST

Yr Blt / Eff Yr Blt : 1952 / APN : 127-02-2970

5449 E HAWTHORNE ST

Bed / Bath : / 1 Property Tax : $1,584.83

Sale Date : 05/00/2003

Land Use : Sfr

Sale Date : 04/00/2004

Sale Price  : $123,000

Bed / Bath : / 2 Property Tax : $1,725.71

Stories : 1 Living Area : 1,094

Stories : 1 Living Area : 1,281

Customer Name : Lisa Mrazek

Land Use : Sfr Lot Acres : 0.22

Total Value : $129,842 Sale Price  : $137,750

© 2022 CoreLogic. All rights reserved

Recording Date : 04/22/2004

Land Use : Sfr Lot Acres : 0.20

Yr Blt / Eff Yr Blt : 1952 / APN : 127-02-3000

Owner Name : RaquelMercado-sepulvedaM

Subdivision : Mitman Add

Recording Date : 05/09/2003

Lot Acres : 0.20

Yr Blt / Eff Yr Blt : 1953 / APN : 127-02-3020

Stories : 1 Living Area : 884

Distance 0.03 Miles

Subdivision : Mitman Add

5457 E HAWTHORNE ST

Customer Company Name : First American Title Insurance Company Prepared On : 09/13/2022

Stories : 1 Living Area : 2,332

Customer Company Name : First American Title Insurance Company Prepared On : 09/13/2022

Stories : 1 Living Area : 884

Yr Blt / Eff Yr Blt : 1954 / APN : 127-02-3090

5426 E HAWTHORNE ST

Distance 0.04 Miles

Subdivision : Mitman Add

Total Value : $163,111

Property Tax : $2,318.34

Sale Date : 06/06/2003

Sale Price  : $83,000

Sale Date : 05/00/1998

Owner Name : Gonzalez Juan P

Subdivision  : Mitman Add

Sale Date : 02/22/2012

5505 E ROSEWOOD ST Distance 0.05 Miles

Bed / Bath : / 2 Property Tax : $2,077.05

Yr Blt / Eff Yr Blt : 1970 / 1970

Bed / Bath : / 1 Property Tax : $1,350.13

Subdivision : Mitman Add

Recording Date : 05/15/1998

Property Tax : $1,954.02

Bed / Bath : / 2 Lot Acres : 0.18

Owner Name : Cocio Maryanne

950 N CRAYCROFT RD

Land Use : Sfr Living Area : 1,584

Stories : 1 APN : 127-03-3090

Owner Name : Cota-robles Jerry

Total Value : $120,103

Sale Price  : $125,000

Recording Date : 02/28/2012

Total Value : $203,743

APN : 127-03-275D

Distance 0.04 Miles

© 2022 CoreLogic. All rights reserved

5433 E HAWTHORNE ST

Owner Name : Hixson Elwanda

Sale Price  : $156,500

Land Use : Sfr Lot Acres : 0.20

Yr Blt / Eff Yr Blt : 1954 / APN : 127-02-2930

Customer Name : Lisa Mrazek

Subdivision : Mitman Add

Land Use : Sfr Lot Acres : 0.21

Yr Blt / Eff Yr Blt  : 1957 /

Stories : 1 Living Area : 1,676

Total Value : $183,002

Distance 0.06 Miles

Recording Date : 06/18/2003

Land Use : Duplex Lot Acres : 0.17

Land Use : Sfr Lot Acres : 0.18

Owner Name : Peters Andrew Sean

Recording Date : 10/11/2016

© 2022 CoreLogic. All rights reserved

5450 E 2ND ST Distance 0.06 Miles

Owner Name : Gharbieh Maram N

5511 E ROSEWOOD ST

Bed / Bath : / 2 Property Tax : $2,137.39

Yr Blt / Eff Yr Blt : 1953 / APN : 127-02-2990

Stories : 1 Living Area : 1,718

Total Value : $198,698 Sale Price  : $292,500

Customer Name : Lisa Mrazek

Total Value : $189,462 Sale Price  : $160,000

5458 E 2ND ST Distance 0.06 Miles

Recording Date : 06/28/2004

Customer Company Name : First American Title Insurance Company Prepared On : 09/13/2022

Stories : 1 Living Area : 1,887

Total Value : $160,347 Sale Price  : $155,000

Yr Blt / Eff Yr Blt : 1957 / APN : 127-03-3060

Subdivision : Mitman Add Sale Date : 05/17/2004

Bed / Bath : / 2 Property Tax : $1,904.85

Yr Blt / Eff Yr Blt : 1956 / APN : 127-02-2980

Owner Name : Sullivan Stephanie

Bed / Bath : / 3 Property Tax : $2,525.55

Distance 0.06 Miles

Stories : 1 Living Area : 1,508

Recording Date : 11/30/2021

Subdivision : Mitman Add Sale Date : 11/30/2021

Land Use : Sfr Lot Acres : 0.20

Subdivision : Mitman Add Sale Date : 10/03/2016

Land Use : Sfr Lot Acres : 0.19

Female Population: 47.58% Average Household Income: $26,324

Population Population by Age

Current Year: 1,790 0 - $25,000 48.99%

© 2022 CoreLogic. All rights reserved

Growth Last 10 Years: -105.7% 65 - 74 10.28% 75+

Unmarried People: 70.61%

$800 - $1,999: 54.51% $150,000 - $200,000: 33.73% Over $2,000: 5.62% $200,000 - $300,000: 29.15%

Household Size Household Income

Estimate Current Year: 3,585 12 - 17

Median Mortgage Payments Home Values

Customer Name : Lisa Mrazek

Estimate in 5 Years: 3,172 18 - 24 8.66%

Median Home Value: $169,800 $300,000 - $500,000: 2.22%

Unit Occupied Owner: 42.74% Above $500,000: 0%

Median Mortgage: $697

Growth Last 5 Years: -9.17% 25 - 64 54.86%

Household

Average Current Year: 1.94 $25,000 - $35,000 9.89%

Growth Last 5 Years: -6.42% $50,000 - $75,000 11.45%

Married People: 29.39%

Estimate in 5 Years: 1,679 $35,000 - $50,000 11.12%

$300 - $799: 35.29% $100,000 - $150,000: 19.87%

Census Tract / block: 31.02 / 3     Year: 2018

Growth Last 10 Years: 0.41% $75,000 - $100,000 8.66%

Under $300: 4.58% Below $100,000: 15.03%

Count: 3,697 0 - 11

Housing

Male Population: 52.42% Above $100,000 9.89%

Customer Company Name : First American Title Insurance Company Prepared On : 09/13/2022

15 min - 28 min: 49.66%

Customer Name : Lisa Mrazek

Not Enrolled in School: 80.45%

Commute Time

Public College: 4.47% College Graduate: 27.19%

Service: 28.93% Skilled:

Workforce

Occupation:

Private College: 0.33% Graduate Degree: 10.53%

Administrative: Unpaid Family Worker: 12.19%

Private Pre-Primary School: 0.39% Not A High School Graduate: 7.28%

Less Than 15 Min: 24.65%

$750 - $999 9.46% 1970 - 1979 19.35%

$1000 and Over 30.94% 1900 - 1969 69.1%

Private House Hold: Farming: 3.27%

Protective Services: Blue-Collar: 9.33%

Rent Payments

Private School: 1.49% Attended Some College: 30.7%

Technical: Government Worker: 21.03%

Median Gross Rent: $710 1995 - 1998

Over 60 min: 2.68%

Unit Occupied Renter: 57.26% 1999 - 2000

Education

Public Pre-Primary School: 0.83%

Manager/Prof: 40.57% Private Worker: 53.98%

$500 - $749 38.54% 1980 - 1989 9.85%

30 min - 57 min: 23.01%

© 2022 CoreLogic. All rights reserved

Public School: 18.06% Graduate Of High School: 24.31%

Less Than $499 21.07% 1990 - 1994

Enrollment

Customer Company Name : First American Title Insurance Company Prepared On : 09/13/2022

Year Built

Sales: 21.17% Self Employed Worker: 4.15%

Customer Name : Lisa Mrazek

Prepared On : 09/13/2022

Customer Company Name : First American Title Insurance Company

© 2022 CoreLogic. All rights reserved

Customer Company Name : First American Title Insurance Company

Customer Name : Lisa Mrazek

Prepared On : 09/13/2022

© 2022 CoreLogic. All rights reserved

Customer Company Name : First American Title Insurance Company

Prepared On : 09/13/2022

Customer Name : Lisa Mrazek

© 2022 CoreLogic. All rights reserved

IMPROVEMENTS RESIDENTIAL  PHYSICAL CONDITION   BELOW AVE BLDG SQFT  1,173 FULL CASH VALUE  139,965 YEAR BUILT  1953 LAND USE  01 31 NUMBER OF STORIES  1.0 LOT SIZE  1 STDLT STORIES HEIGHT  0 SCHOOL DISTRICT  0150 EXTERIOR WALLS  BRICK LAND FULL CASH VALUE  502 GRADE MATERIALS IMPR FULL CASH VALUE  139,463 SALES SALE DATE SALE AMOUNT INSTRUMENT TYPE SELLER NAME VALIDITY 08/26/2020 195,000    2020 2390976 WD POM LLC 04/04/2007 105,346    13026 3472 SW JACOBS THOMAS S / ADDITIONAL PROPERTY INFORMATION STANDARD LAND USE: SFR END SEARCH

TAX DUE INTEREST

2021  TAX AMT DATE PAID TOTAL DUE FIRST HALF  901.82  0.00  0.00  10/23/2021  0.00  SECOND HALF  901.82  0.00  0.00  05/28/2022  0.00

CURRENT TAXES

PRIMARY  12,405  0  0  11.6619  0150 SECONDARY  50  13,946  0  2.8778

OWNER: CRAIN LORI  AFFIDAVIT    2020 2390976 08/26/2020

TOTAL CURRENT TAXES DUE 09/22 0.00 10/22 0.00

INSTRUMENT REC DATE

MAIL: 5450 E HAWTHORNE ST  TUCSON AZ 85711

SEARCH PARAMETERS

INFORMATION THROUGH 07/28/2022 LAND IMPR EXEMPT RATE AREA SPECIAL DISTRICTS

2021 TOTAL TAX BILLED 1,803.64

PARCEL: 127-02-3040

SITUS: 5450 E HAWTHORNE ST TUC

PARCEL:  127-02-3040

PLAT: LOT 00007 BLOCK 013 LEGAL: MITMAN E 45' OF S 125' OF N 155' OF L 7 & W 27.5' OF S 125' OF N 155' OF LOT 6 BLK 13

+ FIRST AMERICAN TITLE, FC0, LMRA PIMA, AZ 09/13/2022  12:08PM  RL13  INVESTIGATIVE SEARCH RESULTS PAGE 1 OF 1

Restrictions indicating a preference, limitation or discrimination based on race, color, religion, sex, handicap, familial status, or national origin are hereby deleted to the extent such restrictions violate 42 USC 3604(c).

Thank you for the opportunity to be of service.

This information is furnished without fee and without benefit of a complete title search. No liability is assumed by First American Title or Title Security. If it is desired that liability be assumed, you may apply for a policy of title insurance with First American Title Insurance Company.

ConditionsCovenants,&Restrictions

Branch:FC0,User:LMRAComment:StationId:RL13 PIMA,AZPage1of1Printedon9/13/202212:12:38PM Document:SUBDIVISION_MAP4.43

Branch:FC0,User:LMRAComment:StationId:RL13 PIMA,AZPage1of39Printedon9/13/202212:12:38PM Document:RES2017.146.0318

Branch:FC0,User:LMRAComment:StationId:RL13 PIMA,AZPage2of39Printedon9/13/202212:12:38PM Document:RES2017.146.0318

Branch:FC0,User:LMRAComment:StationId:RL13 PIMA,AZPage3of39Printedon9/13/202212:12:38PM Document:RES2017.146.0318

Branch:FC0,User:LMRAComment:StationId:RL13 PIMA,AZPage4of39Printedon9/13/202212:12:38PM Document:RES2017.146.0318

Branch:FC0,User:LMRAComment:StationId:RL13 PIMA,AZPage5of39Printedon9/13/202212:12:39PM Document:RES2017.146.0318

Branch:FC0,User:LMRAComment:StationId:RL13 PIMA,AZPage6of39Printedon9/13/202212:12:39PM Document:RES2017.146.0318

Branch:FC0,User:LMRAComment:StationId:RL13 PIMA,AZPage7of39Printedon9/13/202212:12:39PM Document:RES2017.146.0318

Branch:FC0,User:LMRAComment:StationId:RL13 PIMA,AZPage8of39Printedon9/13/202212:12:40PM Document:RES2017.146.0318

Branch:FC0,User:LMRAComment:StationId:RL13 PIMA,AZPage9of39Printedon9/13/202212:12:40PM Document:RES2017.146.0318

Branch:FC0,User:LMRAComment:StationId:RL13 PIMA,AZPage10of39Printedon9/13/202212:12:40PM Document:RES2017.146.0318

Branch:FC0,User:LMRAComment:StationId:RL13 PIMA,AZPage11of39Printedon9/13/202212:12:40PM Document:RES2017.146.0318

Branch:FC0,User:LMRAComment:StationId:RL13 PIMA,AZPage12of39Printedon9/13/202212:12:41PM Document:RES2017.146.0318

Branch:FC0,User:LMRAComment:StationId:RL13 PIMA,AZPage13of39Printedon9/13/202212:12:41PM Document:RES2017.146.0318

Branch:FC0,User:LMRAComment:StationId:RL13 PIMA,AZPage14of39Printedon9/13/202212:12:41PM Document:RES2017.146.0318

Branch:FC0,User:LMRAComment:StationId:RL13 PIMA,AZPage15of39Printedon9/13/202212:12:41PM Document:RES2017.146.0318

Branch:FC0,User:LMRAComment:StationId:RL13 PIMA,AZPage16of39Printedon9/13/202212:12:42PM Document:RES2017.146.0318

Branch:FC0,User:LMRAComment:StationId:RL13 PIMA,AZPage17of39Printedon9/13/202212:12:42PM Document:RES2017.146.0318

Branch:FC0,User:LMRAComment:StationId:RL13 PIMA,AZPage18of39Printedon9/13/202212:12:42PM Document:RES2017.146.0318

Branch:FC0,User:LMRAComment:StationId:RL13 PIMA,AZPage19of39Printedon9/13/202212:12:42PM Document:RES2017.146.0318

Branch:FC0,User:LMRAComment:StationId:RL13 PIMA,AZPage20of39Printedon9/13/202212:12:43PM Document:RES2017.146.0318

Branch:FC0,User:LMRAComment:StationId:RL13 PIMA,AZPage21of39Printedon9/13/202212:12:43PM Document:RES2017.146.0318

Branch:FC0,User:LMRAComment:StationId:RL13 PIMA,AZPage22of39Printedon9/13/202212:12:43PM Document:RES2017.146.0318

Branch:FC0,User:LMRAComment:StationId:RL13 PIMA,AZPage23of39Printedon9/13/202212:12:43PM Document:RES2017.146.0318

Branch:FC0,User:LMRAComment:StationId:RL13 PIMA,AZPage24of39Printedon9/13/202212:12:44PM Document:RES2017.146.0318

Branch:FC0,User:LMRAComment:StationId:RL13 PIMA,AZPage25of39Printedon9/13/202212:12:44PM Document:RES2017.146.0318

Branch:FC0,User:LMRAComment:StationId:RL13 PIMA,AZPage26of39Printedon9/13/202212:12:44PM Document:RES2017.146.0318

Branch:FC0,User:LMRAComment:StationId:RL13 PIMA,AZPage27of39Printedon9/13/202212:12:44PM Document:RES2017.146.0318

Branch:FC0,User:LMRAComment:StationId:RL13 PIMA,AZPage28of39Printedon9/13/202212:12:44PM Document:RES2017.146.0318

Branch:FC0,User:LMRAComment:StationId:RL13 PIMA,AZPage29of39Printedon9/13/202212:12:45PM Document:RES2017.146.0318

Branch:FC0,User:LMRAComment:StationId:RL13 PIMA,AZPage30of39Printedon9/13/202212:12:45PM Document:RES2017.146.0318

Branch:FC0,User:LMRAComment:StationId:RL13 PIMA,AZPage31of39Printedon9/13/202212:12:45PM Document:RES2017.146.0318

Branch:FC0,User:LMRAComment:StationId:RL13 PIMA,AZPage32of39Printedon9/13/202212:12:45PM Document:RES2017.146.0318

Branch:FC0,User:LMRAComment:StationId:RL13 PIMA,AZPage33of39Printedon9/13/202212:12:46PM Document:RES2017.146.0318

Branch:FC0,User:LMRAComment:StationId:RL13 PIMA,AZPage34of39Printedon9/13/202212:12:46PM Document:RES2017.146.0318

Branch:FC0,User:LMRAComment:StationId:RL13 PIMA,AZPage35of39Printedon9/13/202212:12:46PM Document:RES2017.146.0318

Branch:FC0,User:LMRAComment:StationId:RL13 PIMA,AZPage36of39Printedon9/13/202212:12:46PM Document:RES2017.146.0318

Branch:FC0,User:LMRAComment:StationId:RL13 PIMA,AZPage37of39Printedon9/13/202212:12:46PM Document:RES2017.146.0318

Branch:FC0,User:LMRAComment:StationId:RL13 PIMA,AZPage38of39Printedon9/13/202212:12:47PM Document:RES2017.146.0318

Branch:FC0,User:LMRAComment:StationId:RL13 PIMA,AZPage39of39Printedon9/13/202212:12:47PM Document:RES2017.146.0318

Branch:FC0,User:LMRAComment:StationId:RL13 PIMA,AZPage1of8Printedon9/13/202212:12:47PM Document:RESASN2018.351.0596

Branch:FC0,User:LMRAComment:StationId:RL13 PIMA,AZPage2of8Printedon9/13/202212:12:47PM Document:RESASN2018.351.0596

Branch:FC0,User:LMRAComment:StationId:RL13 PIMA,AZPage3of8Printedon9/13/202212:12:48PM Document:RESASN2018.351.0596

Branch:FC0,User:LMRAComment:StationId:RL13 PIMA,AZPage4of8Printedon9/13/202212:12:48PM Document:RESASN2018.351.0596

Branch:FC0,User:LMRAComment:StationId:RL13 PIMA,AZPage5of8Printedon9/13/202212:12:48PM Document:RESASN2018.351.0596

Branch:FC0,User:LMRAComment:StationId:RL13 PIMA,AZPage6of8Printedon9/13/202212:12:48PM Document:RESASN2018.351.0596

Branch:FC0,User:LMRAComment:StationId:RL13 PIMA,AZPage7of8Printedon9/13/202212:12:48PM Document:RESASN2018.351.0596

Branch:FC0,User:LMRAComment:StationId:RL13 PIMA,AZPage8of8Printedon9/13/202212:12:49PM Document:RESASN2018.351.0596

Branch:FC0,User:LMRAComment:StationId:RL13 PIMA,AZPage1of25Printedon9/13/202212:12:49PM Document:RESAMD2018.351.0597

Branch:FC0,User:LMRAComment:StationId:RL13 PIMA,AZPage2of25Printedon9/13/202212:12:49PM Document:RESAMD2018.351.0597

Branch:FC0,User:LMRAComment:StationId:RL13 PIMA,AZPage3of25Printedon9/13/202212:12:49PM Document:RESAMD2018.351.0597

Branch:FC0,User:LMRAComment:StationId:RL13 PIMA,AZPage4of25Printedon9/13/202212:12:49PM Document:RESAMD2018.351.0597

Branch:FC0,User:LMRAComment:StationId:RL13 PIMA,AZPage5of25Printedon9/13/202212:12:50PM Document:RESAMD2018.351.0597

Branch:FC0,User:LMRAComment:StationId:RL13 PIMA,AZPage6of25Printedon9/13/202212:12:50PM Document:RESAMD2018.351.0597

Branch:FC0,User:LMRAComment:StationId:RL13 PIMA,AZPage7of25Printedon9/13/202212:12:50PM Document:RESAMD2018.351.0597

Branch:FC0,User:LMRAComment:StationId:RL13 PIMA,AZPage8of25Printedon9/13/202212:12:50PM Document:RESAMD2018.351.0597

Branch:FC0,User:LMRAComment:StationId:RL13 PIMA,AZPage9of25Printedon9/13/202212:12:51PM Document:RESAMD2018.351.0597

Branch:FC0,User:LMRAComment:StationId:RL13 PIMA,AZPage10of25Printedon9/13/202212:12:51PM Document:RESAMD2018.351.0597

Branch:FC0,User:LMRAComment:StationId:RL13 PIMA,AZPage11of25Printedon9/13/202212:12:51PM Document:RESAMD2018.351.0597

Branch:FC0,User:LMRAComment:StationId:RL13 PIMA,AZPage12of25Printedon9/13/202212:12:51PM Document:RESAMD2018.351.0597

Branch:FC0,User:LMRAComment:StationId:RL13 PIMA,AZPage13of25Printedon9/13/202212:12:52PM Document:RESAMD2018.351.0597

Branch:FC0,User:LMRAComment:StationId:RL13 PIMA,AZPage14of25Printedon9/13/202212:12:52PM Document:RESAMD2018.351.0597

Branch:FC0,User:LMRAComment:StationId:RL13 PIMA,AZPage15of25Printedon9/13/202212:12:52PM Document:RESAMD2018.351.0597

Branch:FC0,User:LMRAComment:StationId:RL13 PIMA,AZPage16of25Printedon9/13/202212:12:52PM Document:RESAMD2018.351.0597

Branch:FC0,User:LMRAComment:StationId:RL13 PIMA,AZPage17of25Printedon9/13/202212:12:52PM Document:RESAMD2018.351.0597

Branch:FC0,User:LMRAComment:StationId:RL13 PIMA,AZPage18of25Printedon9/13/202212:12:53PM Document:RESAMD2018.351.0597

Branch:FC0,User:LMRAComment:StationId:RL13 PIMA,AZPage19of25Printedon9/13/202212:12:53PM Document:RESAMD2018.351.0597

Branch:FC0,User:LMRAComment:StationId:RL13 PIMA,AZPage20of25Printedon9/13/202212:12:53PM Document:RESAMD2018.351.0597

Branch:FC0,User:LMRAComment:StationId:RL13 PIMA,AZPage21of25Printedon9/13/202212:12:53PM Document:RESAMD2018.351.0597

Branch:FC0,User:LMRAComment:StationId:RL13 PIMA,AZPage22of25Printedon9/13/202212:12:54PM Document:RESAMD2018.351.0597

Branch:FC0,User:LMRAComment:StationId:RL13 PIMA,AZPage23of25Printedon9/13/202212:12:54PM Document:RESAMD2018.351.0597

Branch:FC0,User:LMRAComment:StationId:RL13 PIMA,AZPage24of25Printedon9/13/202212:12:54PM Document:RESAMD2018.351.0597

Branch:FC0,User:LMRAComment:StationId:RL13 PIMA,AZPage25of25Printedon9/13/202212:12:54PM Document:RESAMD2018.351.0597

to the Title & Escrow Process in Arizona Home Seller’s Guide

Southwest Gas www.swgas.com1.877.860.6020 Cox www.cox.com602.277.1000 Direct TV www.directv.com1.888.777.2454 Dish Network www.dishnetwork.com1.800.823.4929 CenturyLink www.centurylink.com800.366.8201 AT&T www.att.com1.800.222.0300 Verizon www.connecttoverizon.com1.877.300.4498 Salt River Project www.srpnet.com602.236.8888 APS www.aps.com602.371.7171 Your Escrow Number Your New City/State/ZipAddress Real Estate Agent Name Email Assistant Email Company Phone Address Fax Insurance CompanyPrevious Phone Previous Agent No.Policy New Company Phone New Agent No.Policy Home CompanyWarranty No.Policy First American Title Escrow Officer Email Escrow Assistant Email Address Phone City/State/Zip Fax 02 Quick Reference 03 Welcome 04 Benefits of Using a REALTOR ® 05 Key Professionals 06 Preparing Your Home for Sale 07 Staging Your Home for Show 09 Terms You Should Know 10 The Life of an Escrow 11 Closing Costs: Who Pays What 12 The Escrow Process 14 Understanding Title Insurance 16 Consider This 17 Closing Your Escrow 18 Planning Your Move Q uick Reference Table of Contents Utilities and Services

Count on First American Title

Count On Us For Convenience

Count On Us To Meet Your Needs

First American Title is the principal subsidiary of First American Financial Corporation, and one of the largest suppliers of title insurance services in the nation. With roots dating back to 1889, we’ve served families for generations.

Welcome to the home-selling process. Throughout this process, you can count on First American Title to guide you smoothly through your transaction and provide expert answers to your questions. We are happy to serve you.

Count On Us For Stability

Count On Us For Service

AZ Sellers Guide | 3

First American Title’s professionals are proud to provide the title insurance that assures people’s home ownership. Backed by First American Title Insurance Company, your transaction will be expertly completed in accordance with state-specific underwriting standards and state and federal regulatory requirements.

First American Title has a direct office or agent near you, offering convenient locations throughout Arizona. We also have an extensive network of offices and agents throughout the United States, and internationally.

First American Financial Corporation offers more than title insurance and escrow services through its subsidiaries. Our subsidiaries also provide property data, title plant records and images, home warranties, property and casualty insurance, and banking, trust and advisory services.

- know how to determine whether or not a buyer can qualify for a loan?

- understand the steps of an escrow and what’s required of you and the buyer?

- familiar enough with real estate regulations to prepare a binding sales contract? Counter-offers?

› Is experienced in creating demand for homes and how to show them to advantage.

Benefits4 of using a Professional REALTOR ®

› Maintains errors-and-omissions insurance.

› Can advertise effectively for the best results.

› Is always “on-call,” answering the phone at all hours, and showing homes evenings and weekends.

A REALTOR ® :

- know how to determine your home’s current market value?

AZ Sellers Guide |

- have arrangements with an escrow and title company, home warranty company, pest-control service and lender to assist you with the transaction?

› Will listen to your needs, respect your opinions and allow you to make your own decisions.

- understand the various types of loans buyers may choose and the advantages and disadvantages for the seller?

› Understands market conditions and has access to information not available to the average homeowner.

- aware that every time you leave your home, you are taking it off the market until you return?

› Knows how to price your home realistically, to give you the highest price possible within your time frame.

- need to hire a real estate attorney? If so, do you know what the cost will be and how much liability they will assume in the transaction?

Are you...

Only you can determine whether you should attempt to sell your home—probably your largest investment—all alone. Talk with a REALTOR® before you decide. You may find working with a professional is a lot less expensive and much more beneficial than you ever imagined!

- prepared to give up your evenings and weekends to show your home to potential buyers and “just-looking” time wasters?

Do you...

- know how to advertise effectively and what the costs will be?

› Knows how to go toe-to-toe in negotiations.

- aware of conditions in the marketplace today that affect value and length of time to sell?

- concerned about having strangers walking through your home?

- aware that prospective buyers and bargain hunters will expect you to lower your cost because there’s no REALTOR® involved?

Many people believe they can save a considerable amount of money by selling their homes themselves. It may seem like a good idea at the time, but while you may be willing to take on the task, are you qualified? The following are some questions to help you realistically assess what’s involved.

› Knows how to screen potential buyers and eliminate those who can’t qualify or are looking for bargain-basement prices.

Before you make the decision to try to sell your home alone, consider the benefits a REALTOR ® can provide that you may not be aware of.

› Is experienced with resolving problems to facilitate a successful closing on your home.

- have the knowledge, patience, and sales skills needed to sell your home?

› Can help protect your rights, particularly important with the increasingly complicated real estate laws and regulations.

› Can remain objective when presenting offers and counter-offers on your behalf.

FOR SALE BY OWNER

ESCROW OFFICER

A REALTOR ® is a licensed real estate agent and a member of the National Association of REALTORS,® a real estate trade association. REALTORS ® also belong to their state and local Association of REALTORS.®

LISTING AGENT

A key role of the listing agent or broker is to form a legal relationship with the homeowner to sell the property and place the property in the Multiple Listing Service.

A real estate agent is licensed by the state to represent parties in the transfer of property. Every REALTOR ® is a real estate agent, but not every real estate agent has the professional designation of a REALTOR.®

A key role of the buyer’s agent or broker is to work with the buyer to locate a suitable property and negotiate a successful home purchase.

The MLS is a database of properties listed for sale by REALTORS ® who are members of the local Association of REALTORS.® Information on an MLS property is available to thousands of REALTORS ®

An escrow officer leads the facilitation of your escrow, including escrow instructions preparation, document preparation, funds disbursement, and more.

BUYER'S AGENT

REALTOR ®

MULTIPLE LISTING SERVICE (MLS)

REAL ESTATE AGENT

These are the people who carry out the title search and examination, work with you to eliminate the title exceptions you are not willing to take subject to, and provide the policy of title insurance regarding title to the real property.

AZ Sellers Guide | 5

TITLE COMPANY

Key Professionals Involved in Your Transaction

Rearrange furniture to make rooms appear larger. If possible, remove and/or store excess furniture, and avoid extension cords in plain view.

Remove clutter throughout the house. Organize and clean out closets.

Clean household appliances and make sure they work properly.

Air conditioners/heaters, evaporative coolers, hot water heater should be clean, working and inspected if necessary. Replace filters.

Check stucco walls for cracks and discoloration.

Repair or replace loose knobs on doors and cabinets. If doors stick or squeak, fix them.

Repair or replace worn shutters and other exterior trim.

Clean and organize the garage, and ensure the door is in good working order.

Remove any oil and rust stains from the driveway and garage.

Paint or replace the mailbox, if needed.

Repair leaky faucets and caulking in bathtubs and showers.

Make sure toilet seats look new and are firmly attached.

Shampoo carpeting or replace if worn. Clean tile floors, particularly the caulking.

YOURFORPREPARINGSALEHOME

Inspect fences, gates and latches. Repair or replace as needed.

Brighten the appearance inside by painting walls, cleaning windows and window coverings, and removing sunscreens.

Make your entry inviting: Paint your front door and buy a new front door mat.

Repair or replace loud ventilating fans. Replace worn shower curtains.

Mow and edge the lawn regularly, and trim the shrubs.

Check the pool and/or spa equipment and pumps. Make sure all are working properly and that the pool and/or spa are kept clean.

First impressions have a major impact on potential buyers. Try to imagine what potential buyers will see when they approach your house for the first time and walk through each room. Ask your REALTOR ® for advice; they know the marketplace and what helps a home sell. Here are some tips to present your home in a positive manner:

AZ Sellers Guide | 6

Make sure the front steps are clear and hazard-free. Make sure the doorbell works properly and has a pleasant sound.

If screens or windows are damaged, replace or repair them.

Ensure that all exterior lights are working.

Stash or throw out newspapers, magazines, junk mail.

If possible you, your pets, and your children should be gone while your home is being Cleanshown.trash

Check that sink and tub are scrubbed and unstained.

Staging your home for Show

Keep the garage door closed and the driveway clear. Park autos and campers away from your home during showings

Get rid of odors such as tobacco, pets, cooking, etc., but don’t overdo air fresheners or potpourri. Fresh baked bread and cinnamon can make a positive impact.

If you must be present while your home is shown, keep noise down. Turn off the TV and radio. Soft, instrumental music is fine, but avoid vocals.

Let the light in. Raise shades, open blinds, pull back the curtains and turn on the lights.

Clear all clutter from counter tops.

Hang clean attractive guest towels in the bathrooms.

To make the best impression, keep your home clean, neat, uncluttered and in good repair. Please review this list prior to each showing:

cans and put them out of sight.

Keep everything clean. A messy or dirty home will cause prospective buyers to notice every flaw.

Send pets away or secure them away from the house, and be sure to clean up after them.

AZ Sellers Guide | 7

Close the windows to eliminate street noise.

Make beds with attractive spreads.

AZ Sellers Guide | 8

An estimate of value of property resulting from analysis of facts about the property; an opinion of value.

Closing Disclosure (CD)

Filing documents affecting real property with the appropriate government agency as a matter of public record.

Mortgage

Endorsement

A right, privilege or interest limited to a specific purpose that one party has in the land of another.

Legal Description

Settlement statement

Sales that have similar characteristics as the subject real property, used for analysis in the appraisal. Commonly called “comps.”

Occurs when the borrower becomes contractually obligated to the creditor on the loan, not, for example, when the borrower becomes contractually obligated to a seller on a real estate transaction. The point in time when a borrower becomes contractually obligated to the creditor on the loan depends on applicable State law. Consummation is not the same as close of escrow or settlement.

Lien

Recording

Generally the date the buyer becomes the legal owner and title insurance becomes effective.

Annual Percentage Rate (APR)

Beneficiary

Deed of Trust

Power of Attorney

TRID

The recipient of benefits, often from a deed of trust; usually the lender.

Easement

Down payment made by a purchaser of real property as evidence of good faith; a deposit or partial payment.

Appraisal

Consummation

Closing Disclosure form designed to provide disclosures that will be helpful to borrowers in understanding all of the costs of the transaction. This form will be given to the consumer three (3) business days before closing.

AZ Sellers Guide | 9

The borrower’s costs of the loan term expressed as a rate. This is not their interest rate.

The date the amounts are to be disbursed to a buyer and seller in a purchase transaction or the date funds are to be paid to the borrower or a third party in a transaction that is not a purchase transaction.

Real estate insurance protecting against fire, some natural causes, vandalism, etc., depending upon the policy. Buyer often adds liability insurance and extended coverage for personal property.

Disbursement Date

An instrument used in many states in place of a mortgage.

Impounds

A trust type of account established by lenders for the accumulation of borrower’s funds to meet periodic payments of taxes, mortgage insurance premiums and/or future insurance policy premiums, required to protect their security.

A description of land recognized by law, based on government surveys, spelling out the exact boundaries of the entire parcel of land. It should so thoroughly identify a parcel of land that it cannot be confused with any other.

As to a title insurance policy, a rider or attachment forming a part of the insurance policy expanding or limiting coverage.

A form of encumbrance that usually makes a specific parcel of real property the security for the payment of a debt or discharge of an obligation. For example, judgments, taxes, mortgages, deeds of trust.

Loan Estimate (LE)

Terms You Should Know

PITI

A payment that includes Principal, Interest, Taxes, and Insurance.

Comparable Sales

Deed Restrictions

A written instrument whereby a principal gives authority to an agent. The agent acting under such a grant is sometimes called an “Attorney-in-Fact.”

Hazard Insurance

Provides a complete breakdown of costs involved in a real estate transaction.

TILA-RESPA Integrated Disclosures

Limitations in the deed to a parcel of real property that dictate certain uses that may or may not be made of the real property.

Form designed to provide disclosures that will be helpful to borrowers in understanding the key features, costs and risks of the mortgage loan for which they are applying. Initial disclosure to be given to the borrower three (3) business days after application.

The instrument by which real property is pledged as security for repayment of a loan.

Earnest Money Deposit

Close of Escrow

Gets pre-approval letter from Lender and provides to Real Estate Agent.

THE BUYER

THE SELLER

Finalizes loan application with Lender. Receives a Loan Estimate from Lender.

Coordinatesconsummation.withlender on the preparation of the CD.

Completes and returns opening package from First American Title.

THE LENDER

Schedules inspections and evaluates findings. Reviews title BuyerpriorlenderpaperworkProvidespreliminarycommitment/report.allrequestedtoLender(bankstatements,taxreturns,etc.)Allinvoicesandfinalapprovalsshouldbetothenolaterthan10daystoloanconsummation.Lender(orEscrowOfficer)preparesCDanddeliverstoatleast3dayspriortoloanconsummation.Escrowofficerorrealestateagentcontactsthebuyertoschedulesigningappointment.Buyerconsummatesloan,executessettlementdocuments,&depositsfundsviawiretransfer.Documentsarerecordedandthekeysaredelivered!

THE ESCROW OFFICER

Prepares recording instructions and submits docs for recording.

All demands, invoices, and fees must be collected and sent to lender at least 10 days prior to loan

Reviews title commitment / preliminary report.

Chooses a Real Estate Agent

Collects information such as title commitment / preliminary report, appraisal, credit report, employment and funds verification. Reviews and requests additional information for final loan

Orders and reviews title commitment / preliminary report, property appraisal, credit report, employment and funds verification.

Upon receipt of order and earnest money deposit, orders title examination.

The Life Of An Escrow

Reviews all documents, demands, and instructions and prepares settlement statements and any other required documents.

Accepts Buyer’s offer to openingCompletespurchase.andreturnspackagefromFirstAmericanTitle,includinginformationsuchasforwardingaddress,payofflendercontactinformationandloannumbers.Ordersanyworkforinspectionsand/orrepairstobedoneasrequiredbythepurchaseagreement.Escrowofficerorrealestateagentcontactsthesellertoschedulesigningappointment.Documentsarerecordedandallproceedsfromsalearereceived.

Underwritingapproval.reviews loan package for approval.

Schedules signing appointment and informs buyer of funds due at settlement.

Coordinates with Escrow Officer on the preparation of the Closing Disclosure, which is delivered to Buyer at least 3 days prior to loan documents,UponDeliversconsummation.loandocumentstoescrow.reviewofsignedloanauthorizesloanfunding.

Requests necessary information from buyers and sellers via opening packages.

Accepts Buyer’s application and begins the qualification process. Provides Buyer with Loan Estimate.

AZ Sellers Guide | 10

Documents are recorded and funds are disbursed. Issues final settlement statement.

Upon receipt of opening packages, orders demands for payoffs. Contacts buyer or seller when additional information is required for the title preliminarycommitment/report.

Chooses a Real Estate Agent

Once loan is consummated, sends funding package to lender for review.

Makes offer to purchase. Upon acceptance, opens escrow and deposits earnest money.

AZ Sellers Guide | 11 CASH FHA VA CONV 1. Downpayment BUYER BUYER BUYER BUYER 2. Termite (Wood Infestation) Inspection (negotiable except on VA) SELLER 3. Property Inspection (if requested by buyer) BUYER BUYER BUYER BUYER 4. Property Repairs, if any (negotiable) SELLER SELLER SELLER SELLER 5. New Loan Origination Fee (negotiable) BUYER BUYER BUYER 6. Discount Points (negotiable) BUYER BUYER BUYER 7. Credit Report BUYER BUYER BUYER 8. Appraisal or Extension Fee (negotiable) BUYER BUYER BUYER 9. Existing Loan Payoff SELLER SELLER SELLER SELLER 10. Existing Loan Payoff Demand SELLER SELLER SELLER SELLER 11. Loan Prepayment Penalty (if any) SELLER SELLER SELLER SELLER 12. Next Month’s PITI Payment BUYER BUYER BUYER 13. Prepaid Interest (approx. 30 days) BUYER BUYER BUYER 14. Reserve Account Balance (Credit seller / Charge buyer) PRORATE PRORATE PRORATE 15. FHA MIP, VA Funding Fee, PMI Premium BUYER BUYER BUYER 16. Assessments payoff or proration (sewer, paving, etc.) SELLER 17. Taxes PRORATE PRORATE PRORATE PRORATE 18. Tax Impounds BUYER BUYER BUYER 19. Tax Service Contract SELLER SELLER BUYER 20. Fire/Hazard Insurance BUYER BUYER BUYER BUYER 21 Flood Insurance BUYER BUYER BUYER 22. Homeowners Association (HOA) Transfer Fee BUYER or SELLER BUYER or SELLER BUYER or SELLER BUYER or SELLER 23. HOA/Disclosure Fee SELLER SELLER SELLER SELLER 24 Current HOA Payment PRORATE PRORATE PRORATE PRORATE 25. Next Month’s HOA Payment BUYER BUYER BUYER BUYER 26. Home Warranty Premium (negotiable) BUYER or SELLER BUYER or SELLER BUYER or SELLER BUYER or SELLER 27. REALTORS®’ Commissions SELLER SELLER SELLER SELLER 28. EAGLE Homeowners Title Policy SELLER SELLER SELLER SELLER 29. Lenders Title Policy and Endorsements BUYER BUYER BUYER 30. Escrow Fee (NOTE: Charge seller on VA Loan) SPLIT SPLIT SELLER SPLIT 31. Recording Fees (Flat rate) SPLIT SPLIT SPLIT SPLIT 32. Reconveyance/Satisfaction Fee SELLER SELLER SELLER SPLIT 33. Courier/Express Mail Fees SPLIT SPLIT SELLER SPLIT THIS CHART INDICATES WHO CUSTOMARILY PAYS WHAT COSTS Note: Prorated items will appear on Closing Statement as charges for one and credits for the other. Closing Costs: Who Pays What

WHAT IS AN ESCROW?

The escrow is the process of having a neutral party manage the exchange of money for real property. The escrow holder is known as an escrow or settlement officer or agent. The buyer deposits funds and the seller deposits a deed with the escrow holder along with all of the other documents required to remove all "contingencies" (conditions and approvals) in the purchase agreement prior to closing.

HOW IS AN ESCROW OPENED?

Once a purchase agreement is signed by all necessary parties, the agent representing the party who will pay the fee selects an escrow holder and the buyer's earnest money deposit and contract are submitted to the escrow holder. From this point, the escrow holder will follow the mutual written instructions of the buyer and seller, maintaining a neutral stance to ensure that neither party has an unfair advantage over the other. The escrow holder also follows the instructions of the Buyer's new lender, the seller's existing lender, and both parties' agents. The escrow holder ensures the transparency of the transaction, while carefully maintaining the privacy of the consumers.

The Escrow Process

AZ Sellers Guide | 12

AZ Sellers Guide | 13

When all funds are deposited and conditions met, record documents with the County Recorder to transfer the real property to the buyer

Conduct a title search to determine the ownership and title status of the real Reviewpropertythetitle

After recording is confirmed, close escrow and disburse funds, including proceeds, loan payoffs, tax payments, and more

Review documents and ensure all conditions are fulfilled and certain legal requirements are met

Set separate appointments allowing the buyer and seller to sign documents and deposit funds

Prorate fees, such as real property taxes, per the contract and prepare the settlement statement

commitment and begin the process of working with you and the title officer to eliminate the title exceptions the buyer and the buyer’s new lender are not willing to take subject to. This includes ordering a payoff demand from your existing lender.

Open escrow and deposit good faith funds into an escrow account

Prepare and send final documents to all parties

Request funds from buyer and buyer’s new lender

Your Escrow Professional May:

Coordinate with the buyer’s lender on the preparation of the Closing Disclosure (CD)

Title insurance provides coverage for certain losses due to defects in the title that, for the most part, occurred prior to your ownership. Title insurance protects against defects such as prior fraud or forgery that might go undetected until after closing and possibly jeopardize your ownership and investment.

WHAT IS TITLE INSURANCE?

AZ Sellers Guide | 14

Prior to the development of the title industry in the late 1800s, a home-buyer received a grantor’s warranty, attorney’s title opinion, or abstractor’s certificate as assurance of home ownership. The buyer relied on the financial integrity of the grantor, attorney, or abstractor for protection. Today, home-buyers look primarily to title insurance to provide this protection. Title insurance companies are regulated by state statute. They are required to post financial guarantees to ensure that any claims will be paid in a timely fashion. They also must maintain their own “title plants” which house duplicates of recorded deeds, mortgages, plats, and other pertinent county property Understandingrecords.

WHY IS TITLE INSURANCE NEEDED?

You pay for your owner’s title insurance policy only once, at the close of escrow. Who pays for the owner’s policy and loan policy varies depending on local customs.

The Title Industry & Title Insurance in Brief

Title insurance insures buyers against the risk that they did not acquire marketable title from the seller. It is primarily designed to reduce risk or loss caused by defects in title from the past. A loan policy of title insurance protects the interest of the mortgage lender, while an owner’s policy protects the equity of you, the buyer, for as long as you or your heirs (in certain policies) own the real property.

Title Insurance

WHEN IS THE PREMIUM DUE?

22 Covenant violation resulting in your title reverting to a previous owner

c) a charge by a homeowner’s association

15 Post-policy forgery

23 Violation of building setback regulations

Compare First American’s Eagle Policy® for Owners EAGLE StandardALTAorCLTA

Other benefits:

1 Someone else owns an interest in your title

a) a deed of trust

b) violates a restriction in Schedule B

27

21 Post-policy prescriptive easement

8 Mechanics lien

16 Post-policy encroachment

b) a judgement, tax, or special assessment

11 Unrecorded lien by a homeowners association

32 Post-policy inflation coverage with automatic increase in value up to 150% over five years

AZ Sellers Guide | 15

12 Unrecorded easements

20 Post-policy adverse possession

Protection from:

25 Pays rent for substitute land or facilities

17 Post-policy damage from extraction of minerals or water

5 There are restrictive covenants

Compare First American’s Eagle Policy® for Owners

2 A document is not properly signed

a) extends on another property and/or easement

18 Lack of vehicular and pedestrian access

StandardALTAorCLTA

30 Added ownership coverage leads to enhanced marketability

31 Insurance coverage for a lifetime

* Deductible and maximum limits apply. Not available to investors on 1- to 4-unit residential properties. Coverage may vary based on an individual policy.

7 Title is unmarketable

EAGLE

24 Discriminatory covenants

c) violates an existing zoning law*

6 There is a lien on your title because there is:

As with any insurance contract, the insuring provisions express the coverage afforded by the title insurance policy and there are exceptions, exclusions and conditions to coverage that limit or narrow the coverage afforded by the policy. Also, some cov erage may not be available in a particular area or transaction due to legal, regulatory, or underwriting considerations. Please contact a First American representative for further information. The services described above are typical basic services. The services provided to you may be different due to the specifics of your transaction or the location of the real property involved.

33 Post-policy Living Trust coverage

3 Forgery, fraud, duress in the chain of title

14 Restrictive covenant violations

26 Rights under unrecorded leases Plain language statements of policy coverage and restrictions

4 Defective recording of any document

19 Map not consistent with legal description

9 Forced removal of a structure because it:

10 Cannot use the land for a Single-Family Residence because the use violates a restriction in Schedule B or a zoning ordinance

28 Compliance with Subdivision Map Act Coverage for boundary wall or fence encroachment*

29

13 Building permit violations*

When you consider the number of people involved, you can imagine the opportunities for delays and mishaps. Your experienced escrow team can’t prevent unforeseen problems from arising; however, they can help smooth out the process.

One escrow transaction could involve more than 20 individuals, including real estate agents, buyers, sellers, attorneys, escrow officer, escrow technician, title officer, loan officer, loan processor, loan underwriter, home inspector, termite inspector, insurance agent, home warranty representative, contractor, roofer, plumber, pool service, and so on. And often, one transaction depends on another.

AZ Sellers Guide | 16

Consider This

WHAT HAPPENS NEXT?

If the loan documents are satisfactory, the lender will send funds directly to the escrow holder. When the loan funds are received, the escrow holder will verify that all necessary funds are in. Escrow funds will be disbursed to the seller and other appropriate payees. Then, the REALTOR® will present the keys to the property to the buyer.

Closing Your Escrow

If the buyer is obtaining a new loan, the buyer’s signed loan documents will be returned to the lender for review. The escrow holder will ensure that all contract conditions have been met and will ask the lender to "fund the loan."

AZ Sellers Guide | 17

Once the loan is approved and all invoices and paperwork have been provided, the lender and escrow officer will collaborate on the preparation of the Closing Disclosure (CD). In order to close on time, all paperwork and invoices should be submitted at least 10 days prior to the expected close of escrow date. The borrower must receive the CD at least three days* prior to consummation of the loan (typically the signing date). The escrow officer will also prepare an estimated settlement statement and inform the buyer of the balance of the down payment and closing costs needed to close escrow.

*For purposes of the Closing Disclosure“business day” is defined as every day except Sundays and Federal legal holidays.

THE CLOSING DISCLOSURE

THE CLOSING OR SIGNING APPOINTMENT

You will have a chance to review the settlement statement and supporting documentation. This is your opportunity to ask questions and clarify terms. You should review the settlement statement carefully and report discrepancies to the escrow officer. This includes any payments that may have been missed. You are responsible for all charges incurred even if overlooked by the escrow holder, so it's better to bring these to their attention before closing.

The escrow holder will contact you or your agent to schedule a closing or signing appointment. In some states, this is the "close of escrow." In some others, the close of escrow is either the day the documents record or that funds are disbursed. Ask your escrow holder if you would like clarification about your state's laws.

The escrow holder is obligated by law to have the designated amount of money before releasing any funds. If you have questions or foresee a problem, let your escrow holder know immediately.

DON'T FORGET YOUR IDENTIFICATION

You will need valid identification with your photo I.D. on it when you sign documents that need to be notarized (such as a deed). A driver's license is preferred. You will also be asked to provide your social security number for tax reporting purposes, and a forwarding address.

Scan your furniture. Check furniture for scratches and dents before so you can compare notes with your mover on moving day.

Service small engines for your move by extracting gas and oil from the machines. This will reduce the chance to catch fire during your move.

AZ Sellers Guide | 18

MOVING

. Once the house is empty, check the entire house (closets, the attic, basement, etc) to ensure no items are left or no home issues exist.

Changing Schools. If changing schools, contact new school for registration process.

Service automobiles If automobiles will be driven long distances, you’ll want to have them serviced for a trouble-free drive.

Note food inventory levels Check your cupboards, refrigerator and freezer to use up as much of your perishable food as possible.

Cancel services. Notify any remaining service providers (newspapers, lawn services, etc) of your move.

SIX WEEKS BEFORE:

Change of address. Visit USPS for change of address form.

Travel items. Set aside items you’ll need while traveling and those needed until your new home is established. Make sure these are not packed in the moving truck!

Seek employer benefits. If your move is work-related, your employer may provide funding for moving expenses. Your human resources rep should have information on this policy.

Vacate your home. Make sure utilities are off, doors and windows are locked and notify your real estate agent you’ve left the property.

Bank accounts Notify bank of address change. Make sure to have a money order for paying the moving company if you are transferring or closing accounts.

Protect jewelry and valuables. Transfer jewelry and valuables to safety deposit box so they can not be lost or stolen during your move.

Borrowed and rented items. Return items which you may have borrowed or rented. Collect items borrowed to others.

Double check with your mover. Make sure your mover has the new address and your contact information should they have any questions during your move.

Request moving quotes Solicit moving quotes from as many moving companies and movers as possible. There can be a large difference between rates and services within moving companies.

ReviewDAY:thehouse

Create an inventory sheet of items to move.

Plan your itinerary. Make plans to spend the entire day at the house or at least until the movers are on their way. Someone will need to be around to make decisions. Make plans for kids and pets to be at the sitters for the day.

Start packing. Begin packing for your new location.

Packing materials. Gather moving boxes and packing materials for your move.

FOUR WEEKS BEFORE:

Sign the bill of lading. Once your satisfied with the mover’s packing your items into the truck, sign the bill of lading. If possible, accompany your mover while the moving truck is being weighed.

ONE WEEK BEFORE:

Prepare Floor Plan. Prepare floor plan for your new home. This will help avoid confusion for you and your movers.

Research moving options You’ll need to decide if yours is a do-it-yourself move or if you’ll be using a moving company.

Obtain your medical records. Contact your doctors, physicians, dentists and other medical specialists who may currently be retaining any of your family’s medical records. obtain these records or make plans for them to be delivered to your new medical facilities.

Planning your move

Discard unnecessary items Moving is a great time for ridding yourself of unnecessary items. Have a yard sale or donate unnecessary items to charity.

Contact insurance companies. (Life, Health, Fire, Auto) You’ll need to contact your insurance agent to cancel/transfer your insurance policy. Do not cancel your insurance policy until you have and closed escrow on the sale.

Contact utility companies Set utility turnoff date, seek refunds and deposits and notify them of your new address.

Your Notes:

AZ Sellers Guide | 19

AZ Sellers Guide | 20

Your Notes:

AZ Sellers Guide | 21

Your Notes:

SW corner Chandler/45th St.

2 GOODYEAR

13 CHANDLER PORTICO 2121480.777.0051W.Chandler Blvd., #215 Chandler, AZ 85224

SW Corner Chandler Blvd./ Dobson Rd.

13940623.299.3644W.Meeker Blvd., #119

3 ARROWHEAD

NE corner Daisy Mtn Dr/ Gavilan Peak Pkwy

15 MESA 1630480.401.3738S.Stapley Dr., #123 Mesa, AZ 85204

9 KIERLAND COMMONS

S of Bell/E side of 83rd Ave

NE Corner of Camelback/32nd Street

1626623.936.8001N.Litchfield Rd. Ste. #170 Goodyear, AZ 85395

5 ANTHEM 39508623.551.3265N.Daisy Mountain Dr., #128 Anthem, AZ 85086

E Side Scottsdale/S of Lincoln

N of Meeker Blvd

1 4 3 2 6 12 10 5 8 7 11 9 CRISMON BUTTESIGNAL GOLDFIELD OLDWESTHWY SKINGSRANCH 14 17 15 13 16 ArizonaCentral First American Title Branch Locator

4 THE LEGENDS

N of Shea, E side of Tatum

8 CAREFREE 7202480.575.6609E.Carefree Dr , Bldg 1, #1 Carefree, AZ 85377

SE corner of Recker & Brown

14 GILBERT SAN TAN 1528480.777.0614E.Williams Field Rd., #101 Gilbert, AZ 85295

N of Baseline / W of Stapley

AZ Sellers Guide | 22

W of R.H. Johnson

16165623.487.0404N.83rd Ave , #100 Peoria, AZ 85382

NW corner of Williams Field Rd./ Val Vista Rd.

16 RED MOUNTAIN 1135480.534.3599N.Recker Rd., #103 Mesa, AZ 85205

11 DC CROSSING 18291480.563.9034N.Pima Rd , #145 Scottsdale, AZ 85255

12 AHWATUKEE 4435480.753.4424E.Chandler Blvd , #100 Phoenix, AZ 85048

6 BILTMORE 3200602.954.3644ECamelback Rd., #123 Phoenix, AZ 85018

7 TATUM RIDGE 480.515 4369 11211 N Tatum Blvd, #A150 Phoenix, AZ 85028

14648480.948.6488NScottsdale Rd., Ste. #100 Scottsdale, AZ 85254

NW corner of McDowell & Litchfield

W of Scottsdale Road, S side of Greenway

1 SUN CITY WES T

NE corner of Tom Darlington/ Carefree Dr.

E side 67th Ave/N of 101

17 GOLD CANYON 6877480.288.0883SouthKings Ranch Rd., #5 Gold Canyon, AZ 85118 E of South60/Side Kings Ranch Rd.

Sun City West, AZ 85375

SE corner of Pima/Legacy

10 SCOTTSDALE FORUM 6263480.551.0480N.Scottsdale Rd., #110 Scottsdale, AZ 85250

20241623.537.1608N.67th Ave , #A-2 Glendale, AZ 85308

12 SKYLINE 520.529.0506 | Fax 520.529.8998 2890 E. Skyline Dr., Ste. 200 Tucson, AZ 85718

ESsancaDr

BNearCanyonRd

520.885.1600 | Fax 520.885.2309 6390 E. Tanque Verde Rd. Tucson, AZ 85715

A

W Rd

AIRPORTINT'LTUCSON Rd

WAnamax M ne Rd Road424 Ruby S ar D WBritten RanchRd Pima Mine Rd Mcgee RanchRd 80

NANWAYRD

S

9 ORO VALLEY/ORACLE

E Hemlock Dr

dRhRiGWacaanc

10 RITA ROAD 520.618.7790 | Fax 520.901.1720 10222 East Rita Rd., Ste. 190 Tucson, AZ 85747

HearthRd

W Se ma Hwy

11 RIVER 520.529.1944 | Fax 520.615.2945 1650 E. River Rd., Ste. 105 Tucson, AZ 85718

W Bayard Rd

W

TRSNOLDIERL

3 CAMBRIC 520.577.8707 | Fax 520.529.5034 1840 E. River Rd., Ste. 200 Tucson, AZ 85718

dRSSandaro N Dove Mountain Blvd

SSwanRd

GoffRanchRd

WAnamax Mine Rd

W INA RD ESN1TAV SUNR SE DR E SNYDER RD

W MOORE RD

NSILVERBELLRD E RIVER RDE PRINCE RD

2 BROADWAY 520.747.1644 | Fax 520.747.1403

W

6 FOOTHILLS 520.299.4606 | Fax 520.577.6993 6262 N Swan Road, Suite 205 Tucson, AZ 85718

S

W VALENCIA RD

NBarkervilleRd W Fort Lowe Rd dSPNumpationR E Nona Rd Ch efButteRd LovettaRd E Hanna Rd TecoloteRanchRd FlorenceRdRomeroRd Con nenta Ave BIA 30 NTricoRd SSunandGnRd SCattleTankRd E E s Rd E Hotts Rd E Nutt Rd Evalyn Rd SOwlHeadRanchRdGasLineRd PSecanRd I on Va ey RdEDeepWellRanchRd SNighSkySt SBadyPumpRdE Houser Rd E Ar ca Rd W Ea ey Rd NTrcoRd W Baya d Rd dRSSandario WillowSpringsRd EHelmwheel Ranch Rd N Dove Mounta n Blvd BIA-35 dRhRiGWarcaanc E Dese H s Rd WRagged Top Rd W Pima Mine Rd WSilverbellRdS E Edw n Rd BIA34 SGuildRd 80 NKINNEYRD SPICACHOHWYE GREENE RESERVOIR RD SSUNLANDGINRD W BATTAGLIA DR AZ-84 E BAUMGARTNER RD SSUNSHINEBLVD SNANDARIORDNANWAYRD E HARMON RD W VALENCIA RD E RODEO RD W MOORE RD W INA RD ESN1TAV E SUNRISE DR E SNYDER RDNSILVERBELLRD TRSNOLDIERLE RIVER RDE PRINCE RD E SPEEDWAY BLVD SFREEMANRDE 22ND ST E 22ND ST W IRV NGTON RD SNOGALESHWY W VALENC A RDSMISSIONRDWSPEEDWAY BLVD SOLDSPANISHTRL W NARANJA DR W TW N PEAKS RD W P CTURE ROCKS RD W MANVILLE RD SKINNEYRD W MILE WIDE RD E SAHUAR TA RD W HARMON RD W MCCARTNEY RD NTRICORD OSSANDARRD PARK LINK DR GUOSHHTONRD ADDR E MART N RD STHORNTONRD W HELMET PEAK RD SCHUICHURD WAJOHWY RNASNWD RDKOLBS SHOUGHTONRD W TANGER NE RD E GRANT RD SHOUGHTONRD NPINALAVE 95 WAJOHWY E VALENCIA RD NORACLERD I10 I-19 I8 77 77 79 77 77 87 86 86 387 287 86 10 19 8 10 10 10 La Palma Chuichu Arizona City Corona de Tucson AdobesCasas Catalina OracleDudleyvilleGrandeCasa Picture Rocks Three Points VailSummit TanqueVerde Eloy SahuaritaTucson Cactus Forest Picacho Red Rock Saddlebrooke Marana Oro Valley HaivanaNakya Rillito SummerhavenWillow Canyon Randolph Toltec Oracle Junction Cortaro Schuchk Littletown 2 4 385 9 10 11 13 12 6 1 AIRPORTINT'LTUCSON Air Force WSilverbellRd SSantaRitaRd NMtLemmon Hwy W Avra Valley Rd guirreRd dRkLNucet dRWNenzNWatermanMountainRd RdAnwayN W El Tiro Rd NTricoRd W Tucke Rd W Rudas Rd W Manv e Rd SSanJoaquinRdWBopp Rd W Snyder H RddRlSMarsear W Park Rd W Hermans RdW He mans Rd W Guy St W Bush Rd SGarveyRd eaCNlRnconado SWmoRd SShawRd SSierritaMountainRd SKobRdW TwinButtes Rd W Mcgee Ranch Rd BNearCanyonRdW E Cam no De Cerro E Fairmount St SSwanRd NFrontageRd W Emigh Rd W Fort Lowel Rd dSPNumptationR NNTricoRdTcoRd W Baya d Rd dRSSandaro N Dove Mountain Blvd SHelvetiaRd

E

NGTON RD SNOGALESHWY W VALENCIA RDSMISSIONRDWSPEEDWAY BLVD SOLDSPANISHTRL W NARANJA DR W TW N PEAKS RD W P CTURE ROCKS RD W MANVILLE RD SKINNEYRD W MILE WIDE RD E SAHUARITA RD NTRICORD OSSANDARIRD SOLDNOGALESHWY GUOSHHTONRD ADCSLAANADRW HELMET PEAK RD WAJOHWY RNASNWD RDKOLBS SHOUGHTONRD W TANGERINE RD E GRANT RD SHOUGHTONRD 95 WAJOHWY E VALENCIA RD NORACLERD I-19 77 77 86 86 286 19 10 10 Corona de Tucson AdobesCasas Catalina Green Valley Picture Rocks Three Points VailSummit TanqueVerde SahuaritaTucson Marana Oro Valley Rillito SummerhavenWillow Canyon Cortaro Continental Littletown 2 3758 9 10 11 13 12 6 1 AZ Sellers Guide | 23

E M

13 TANQUE VERDE 520.202.2626 | Fax 520.495.6151 7479 E. Tanque Verde Tucson, AZ 85715

EDesertDove

SNANDARIORD

520.575.1900 | Fax 520.432.0168 6760 N. Oracle Rd., Ste. 100B Tucson, AZ 85704

STrekellRd

7 GREEN VALLEY 520.625.1095 | Fax 520.958.9663 190 W. Continental Rd., Ste. 226 Green Valley, AZ 85622

NKINNEYRD

dRhRiGWarcaanc Road424

8 ORO VALLEY/LA CANADA 520.877.9200 | Fax 520.202.6348 11165 N. La Canada Dr., Ste. 143 Oro Valley, AZ 85737

W MOORE RD

dSPNumptationR Cont nental Ave NTricoRd SOwlHeadGasLineRd NTricoRd

W INA RD

W

520.229.9194 | 520.297.2576 Fax 520.229.9210 | 520.742.5866 8500 N. Oracle Rd., Ste 100 Oro Valley, AZ 85704

E SPEEDWAY BLVD SFREEMANRDE 22ND ST E 22ND ST

E Edw n Rd

WRagged Ruby S a Dr RanchRd Pima Mine Rd

ed Top Rd W

SHelvetiaRd

SHennessRd Selma Hwy Co nman Rd

NFrontageRd Emigh Rd

NKINNEYRD

W

WBritten

Pretzer

W VALENC A RD

1 MAIN OFFICE

4 CASA GRANDE 520.426.4600 | Fax 520.426.4699 421 E. Cottonwood Ln. Casa Grande, AZ 85122

E SUNRISE DR E SNYDER RDNSILVERBELLRD TRSNOLDIERLE RIVER RDE PRINCE RD E SPEEDWAY BLVD SFREEMANRDE 22ND ST E 22ND ST W IRVINGTON RD SNOGALESHWY W VALENCIA RDSMISSIONRDWSPEEDWAY BLVD SOLDSPANISHTRL W NARANJA DR W TWIN PEAKS RD W PICTURE ROCKS RD W MANVILLE RD SKINNEYRD W MILE WIDE RD E SAHUARITA RD NTRICORD OSSANDARIRD SOLDNOGALESHWY GUOSHHTONRD ADCSLAANADRW HELMET PEAK RD WAJOHWY RNASNWD RDKOLBS SHOUGHTONRD W TANGERINE RD E GRANT RD SHOUGHTONRD 95 WAJOHWY E VALENCIA RD NORACLERD I-10 I-19 77 77 86 86 286 19 10 10 Corona de Tucson AdobesCasas Catalina Green Valley Picture Rocks Three Points VailSummit TanqueVerde SahuaritaTucson Saddlebrooke Marana Oro Valley Rillito SummerhavenWillow Canyon Oracle Junction Cortaro Continental Littletown 2 3758 9 10 11 13 12 6 1 SouthernArizona First American Title Branch Locator AIRPORTINT'LTUCSON Air Force FreemanRd WSilverbellRd NMtLemmon Hwy ESascoRd NF38 W Avra Val ey Rd WSCuryRdHanna Rd E Grand Va ey D W Houser Rd W Ph ps Rd E Co nman Rd NAguirreRd dRkLNucet dRWNentzNWatermanMountainRd RdAnwayN W El Tiro Rd NTricoRd W Tucke Rd W Rudas Rd W Manv e Rd SSanJoaquinRdWBopp Rd W Snyde H RddRlSMarsear W Pa k Rd W He mans RdW Hermans Rd W Guy St W Bush Rd SGaveyRd eaCNllRinconado SWimotRd SShawRd SSierritaMountainRd boRdRd W Woodru Rd ONveriedRd W Rando ph Rd W BartlettNRdLaPamaRdNTweedyRd E Randolph Rd W Kleck Rd E K eck Rd

SLambRd

E

W IRV

Air Force WSilverbellRd SSantaRitaRd NMtLemmon Hwy ESascoRd W Avra Valley Rd E G and Va ey DrNAguirreRd dRkLNucet dRWNentzNWatermanMountainRd RdAnwayN W El Tiro Rd NTricoRd W Tucke Rd W Rudasi Rd W Manv l e Rd SSanJoaquinRdWBopp Rd W Snyder H RddRSMarstear W Park Rd W Hermans RdW He mans Rd W Guy St W Bush Rd SGarveyRd eaCNlRinconado SWimotRd SShawRd SSierritaMountainRd SKobRdW Tw nButtes Rd W Mcgee Ranch Rd ESstanca BNearCanyonRdW E Cam no De Cerro E Fairmount St SSwanRd NFrontageRd W Emigh Rd W Fort Lowe

W es Curtis Rd

3777 E. Broadway Blvd., Ste. 220 Tucson, AZ 85716

SNANDARIORDNANWAYRD

Dr E

5 CASAS ADOBES

Top Rd W

E

SLaPalmaRd

ESN1TAV

W E Cam no De Cerro Fairmount St

E M gan Rd gan Rd

ellRdS Mcgee RanchRd 80

05110280522

©2022 First American Financial Corporation and/or its affiliates. All rights reserved. NYSE: FAF

First American Title Insurance Company, and the operating divisions thereof, make no express or implied warranty respecting the information presented and assume no responsibility for errors or omissions. First American, the eagle logo, First American Title, and firstam.com are registered trademarks or trademarks of First American Financial Corporation and/or its affiliates.

For more information please contact your First American representative. www.firstam.com

Turn static files into dynamic content formats.

Create a flipbook
Issuu converts static files into: digital portfolios, online yearbooks, online catalogs, digital photo albums and more. Sign up and create your flipbook.