506-42-006P

Page 1

Subject Property APN:AZ 506-42-006-P Data Provided By: First American Title Ins Co © 2022 CoreLogic. All rights reserved

The Internet Crime Complaint Center @ www.ic3.gov

• If you receive an email containing wire transfer instructions, immediately call your escrow officer to ensure the validity of the instructions.

WIRE FRAUD ADVISORY

• If you receive an email requesting personal/financial information or asking you to download, click on a link, send, and/or do anything that may seem unusual to you, call your escrow officer immediately prior to acting on the suspicious email to verify the validity of the email.

• Never direct, accept or allow anyone in the transaction to consent to receiving transfer instructions without a direct personal telephone call to the individual allegedly providing the instructions.

• It is imperative that this call be made to a number obtained in person from the individual or through other reliable means, not from a number provided in the email or the wiring instructions

Immediately notify your banking institution and Settlement/Title Company if you are a victim of wire fraud.

Client Date Client Date

TRUST YOUR SOURCE OF INFORMATION

The Federal Bureau of Investigation @ https://www.fbi.gov/scams and safety

DO NOT TRUST EMAILS SEEKING PERSONAL/FINANCIAL INFORMATION

DO NOT TRUST EMAILS CONTAINING WIRE INSTRUCTIONS

On Guard Online @ www.onguardonline.gov

Before you wire funds to any party (including your lawyer, title agent, mortgage broker, or real estate agent) personally meet them or call a verified telephone number (not the telephone number in the email) to confirm before you act!

The National White Collar Crime Center @ http://www.nw3c.org/research

PROTECT YOURSELF VERIFY AND NOTIFY

Criminals are targeting social media and email to steal information. This is particularly common in real estate transactions because sensitive data, including social security numbers, bank account numbers, and wire instructions are often sent by electronic means. We do not want you to be the next victim of wire fraud. Money wired to a fraudulent account is stolen money that typically cannot be recovered. Additionally, there is generally no insurance for this loss. You may never get the money back.

The undersigned acknowledges receipt of this Wire Fraud Advisory.

ONLINE RESOURCES: There are many online sources that can provide useful information regarding similar topics including, but not limited to, the following sites:

IMPORTANT -- PLEASE READ CAREFULLY: This report is not an insured product or service or a representation of the condition of title to real property. It is not an abst ract, legal opinion, opinion of title, title insurance commitment or preliminary report, or any form of Title Insurance or Guaranty. This report is issued exclusively for the benefit of the Applicant therefor and may not be used or relied upon by any other person. This report may not be reproduced in any manner without First American or Title Security's prior written consent. First American or Title Security does not represent or warrant that the information herein is complete or free from error, and the information herein is provided without any warranties of any kind, as-is, and with all faults. As a material part of the consideration given in exchange for the issuance of this report, recipient agrees that First American or Title Security's sole liability for any loss or damage caused by an error or omission due to inaccurate information or negligence in preparing this report shall be limited to the fee charged for the report. Recipient accepts this report with this limitation and agrees that First American or Title Security would not have issued this report but for the limitation of liability described above. First American or Title Security makes no representation or warranty as to the legality or propriety of recipient's use of the information herein.

LIMITATION OF LIABILITY FOR INFORMATIONAL REPORTS

Data Provided By: First American Title Ins Co

© 2022 CoreLogic. All rights reserved

The information contained in the REiSource report is delivered from your Title Company, who reminds you that you have the right as a consumer to compare fees and serviced levels for Title, Escrow, and all other services associated with property ownership, and to select providers accordingly. Your home is the largest investment you will make in your lifetime and you should demand the very best.

Disclaimer This REiSource report is provided "as is" without warranty of any kind, either express or implied, including without limitations any warrantees of merchantability or fitness for a particular purpose. There is no representation of warranty that this information is complete or free from error, and the provider does not assume, and expressly disclaims, any liability to any person or entity for loss or damage caused by errors or omissions in this REiSource report without a title insurance policy.

Subject Property :    AZ Owner Information Owner Name : Leon Arturo Vasquez / Vazquez Alma Acucena Mailing Address : 1128 S Frost Ln, Avondale AZ 85323-2800 C026 Vesting Codes : Husband/wife / / Community Property Location Information Legal Description : S2 E2 Fol Desc Prop S2 Ne4 Sw4 Sw4 Sec 25 P/f 06-0971826 County : Maricopa, Az APN : 506-42-006-P Census Tract / Block : 506.03 / 2 School District : Ruth Fisher 90 Township-Range- Sect : 01N-06W-25 Neighbor Code : 25-001 Last Market Sale Information Recording/Sale Date : 09/20/2010 / 09/15/2010 1st Mtg Amount/Type : $10,500 / Cnv Sale Price : $14,500 1st Mtg Document # : 812783 Document # : 812782 Price Per SqFt : $0.26 Deed Type : Warranty Deed Title Company : Commerce Title Co. Lender : * Other Institutional Lenders Seller Name : Kog Investments Llc Prior Sale Information Prior Rec/Sale Date : 07/20/2010 / 07/19/2010 Prior Doc Number : 616769 Prior Sale Price : $16,500 Prior Deed Type : Special Warranty Deed Property Information Land Use : AcreageResidential Lot Acres : 1.25 State Use : NonVac-res-ruralSubd Zoning : RU-43 Lot Size : 54,479 Customer Name : Jeremiah Stiffler Customer Company Name : First American Prepared On : 08/12/2022 © 2022 CoreLogic. All rights reserved

Tax Information Total Value : $7,700 Tax Year : 2021 Fire Dept Tax : 11580 Land Value : $7,700 Property Tax : $97.26 Current AssessedYear : 2023 Total TaxableValue : $992 Tax Rate Area : 900012 Current YearValue :Total $2,505 Assessed Year : 2021 Market Value : $7,700 Current YearValue :Land $2,505 Customer Name : Jeremiah Stiffler Customer Company Name : First American Prepared On : 08/12/2022 © 2022 CoreLogic. All rights reserved

Sales Analysis Criteria Subject Property Low High Average Sale Price $14,500 $15,000 $275,000 $76,484 Bldg/Living Area Price Per Square Foot $0.26 $0 $1 $0.41 Year Built Lot Size 54,479 47,720 859,661 205,079 TotalStoriesBathroomsBedroomsAssessed Value $7,700 $7,700 $137,500 $35,609 Distance From Subject 0 0.1 1 0.72 Summary of Comparables # Address Sale Price TotalValueAssessed Sale Date Bed Bath Living Area Lot Size YearBuilt (Miles)Dist Zoning S 14,500 7,700 09/20/2010 54,479 RU-43 1 64,900 24,200 07/28/2022 304,919 0.1 RU-43 2 41,900 7,700 01/11/2022 54,469 0.23 RU-43 3 5300 S 360th Ave 82,500 84,800 08/27/2021 436,187 0.28 RU-43 4 28,000 11,500 09/28/2021 98,914 0.52 RU-43 5 50,000 47,100 06/22/2022 218,183 0.59 RU-43 6 48,500 19,400 01/05/2022 217,800 0.59 RU-43 7 275,000 66,700 06/10/2022 287,926 0.7 RU-43 8 275,000 54,800 06/10/2022 213,497 0.73 RU-43 9 50,000 15,200 05/23/2022 54,450 0.82 RU-43 10 40,000 37,000 01/14/2022 171,797 0.83 RU-43 11 59,947 22,500 01/03/2022 272,250 0.83 RU-43 12 87,000 29,600 01/14/2022 171,792 0.84 RU-43 13 45,000 13,300 02/08/2022 51,135 0.86 RU-43 14 15,000 7,700 10/27/2021 54,450 0.91 RU-43 15 21,947 10,500 12/30/2021 47,720 0.93 RU-43 Customer Name : Jeremiah Stiffler Customer Company Name : First American Prepared On : 08/12/2022 © 2022 CoreLogic. All rights reserved

16 105,000 137,500 11/24/2021 859,661 0.93 RU-43 17 60,000 55,600 07/01/2022 218,224 0.96 RU-43 18 64,000 13,900 04/18/2022 54,450 0.97 RU-43 19 39,500 17,579 11/19/2021 108,686 1 RU-43 Distressed Sales = Map Customer Name : Jeremiah Stiffler Customer Company Name : First American Prepared On : 08/12/2022 © 2022 CoreLogic. All rights reserved

Details of Comparables Subject Property:  Az Owner Name: Leon Arturo Vasquez /Vazquez Alma Acucena APN / Alternate APN: 506-42-006-P / Deed Type: Warranty Deed Land Use: Residential Acreage Subdivision / Tract: / Lot Size: 54,479 Year Built / Eff: / Rec. Date / Price: 09/20/2010 / $14,500 Living Area: # of units: Document #: 812782 Bedrooms: Pool: Total Tax Value: $7,700 Bath(F/H): / #1   Az Owner Name: De Palma Celine B / APN / Alternate APN: 506-42-008-K / Deed Type: Warranty Deed Land Use: Residential Acreage Subdivision / Tract: / Lot Size: 304,919 Year Built / Eff: / Rec. Date / Price: 07/28/2022 / $64,900 Living Area: # of units: Document #: 604166 Bedrooms: Pool: Total Tax Value: $24,200 Bath(F/H): / #2   Az Owner Name: Gonzalez Jorge / APN / Alternate APN: 506-42-047 / Deed Type: Warranty Deed Land Use: Residential Acreage Subdivision / Tract: / Lot Size: 54,469 Year Built / Eff: / Rec. Date / Price: 01/11/2022 / $41,900 Living Area: # of units: Document #: 32905 Bedrooms: Pool: Total Tax Value: $7,700 Bath(F/H): / #3   5300 S 360th Ave Tonopah Az 85354 Owner Name: Willis Michael / APN / Alternate APN: 506-42-013-G / Deed Type: Warranty Deed Land Use: Residential Acreage Subdivision / Tract: / Lot Size: 436,187 Year Built / Eff: / Rec. Date / Price: 08/27/2021 / $82,500 Living Area: # of units: Document #: 928881 Bedrooms: Pool: Total Tax Value: $84,800 Bath(F/H): / #4   Az Owner Name: Regalado Judith C / APN / Alternate APN: 506-42-004-G / Deed Type: Warranty Deed Land Use: Residential Acreage Subdivision / Tract: / Lot Size: 98,914 Year Built / Eff: / Rec. Date / Price: 09/28/2021 / $28,000 Living Area: # of units: Document #: 1044199 Bedrooms: Pool: Total Tax Value: $11,500 Bath(F/H): / Customer Name : Jeremiah Stiffler Customer Company Name : First American Prepared On : 08/12/2022 © 2022 CoreLogic. All rights reserved

#5   Az Owner Name: Marquez Rene /Burgos Kimberly M APN / Alternate APN: 506-42-001-J / Deed Type: Warranty Deed Land Use: Residential Acreage Subdivision / Tract: / Lot Size: 218,183 Year Built / Eff: / Rec. Date / Price: 06/22/2022 / $50,000 Living Area: # of units: Document #: 519562 Bedrooms: Pool: Total Tax Value: $47,100 Bath(F/H): / #6   Az Owner Name: Dube Adam / APN / Alternate APN: 506-42-038-L / Deed Type: Warranty Deed Land Use: Residential Acreage Subdivision / Tract: / Lot Size: 217,800 Year Built / Eff: / Rec. Date / Price: 01/05/2022 / $48,500 Living Area: # of units: Document #: 14755 Bedrooms: Pool: Total Tax Value: $19,400 Bath(F/H): / #7   Az Owner Name: Argueta Investments Llc / APN / Alternate APN: 506-42-009-H / Deed Type: Warranty Deed Land Use: Residential Acreage Subdivision / Tract: / Lot Size: 287,926 Year Built / Eff: / Rec. Date / Price: 06/10/2022 / $275,000 Living Area: # of units: Document #: 492924 Bedrooms: Pool: Total Tax Value: $66,700 Bath(F/H): / #8   Az Owner Name: Arqueta Investments Llc / APN / Alternate APN: 506-42-009-G / Deed Type: Warranty Deed Land Use: Residential Acreage Subdivision / Tract: / Lot Size: 213,497 Year Built / Eff: / Rec. Date / Price: 06/10/2022 / $275,000 Living Area: # of units: Document #: 492924 Bedrooms: Pool: Total Tax Value: $54,800 Bath(F/H): / #9   Az Owner Name: Moreno Maria G T /Diaz Esther M APN / Alternate APN: 504-33-039-T / Deed Type: Warranty Deed Land Use: Residential Acreage Subdivision / Tract: / Lot Size: 54,450 Year Built / Eff: / Rec. Date / Price: 05/23/2022 / $50,000 Living Area: # of units: Document #: 443825 Bedrooms: Pool: Total Tax Value: $15,200 Bath(F/H): / #10   Az Owner Name: Del Rayo Castillo Hernandez M /Torres Omar G APN / Alternate APN: 506-42-010-H / Deed Type: Warranty Deed Land Use: Residential Acreage Subdivision / Tract: / Lot Size: 171,797 Year Built / Eff: / Rec. Date / Price: 01/14/2022 / $40,000 Living Area: # of units: Document #: 45924 Bedrooms: Pool: Total Tax Value: $37,000 Bath(F/H): / Customer Name : Jeremiah Stiffler Customer Company Name : First American Prepared On : 08/12/2022 © 2022 CoreLogic. All rights reserved

#11   Az Owner Name: Hlac Llc & Ktep 1 / APN / Alternate APN: 506-42-024-L / Deed Type: Special Warranty Deed Land Use: Residential Acreage Subdivision / Tract: / Lot Size: 272,250 Year Built / Eff: / Rec. Date / Price: 01/03/2022 / $59,947 Living Area: # of units: Document #: 4177 Bedrooms: Pool: Total Tax Value: $22,500 Bath(F/H): / #12   Az Owner Name: Del Rayo Castillo Maria /Torres Omar G APN / Alternate APN: 506-42-010-J / Deed Type: Warranty Deed Land Use: Residential Acreage Subdivision / Tract: / Lot Size: 171,792 Year Built / Eff: / Rec. Date / Price: 01/14/2022 / $87,000 Living Area: # of units: Document #: 46877 Bedrooms: Pool: Total Tax Value: $29,600 Bath(F/H): / #13   Az Owner Name: 355th & Salome Llc / APN / Alternate APN: 504-33-081 / Deed Type: Warranty Deed Land Use: Residential Acreage Subdivision / Tract: / Lot Size: 51,135 Year Built / Eff: / Rec. Date / Price: 02/08/2022 / $45,000 Living Area: # of units: Document #: 118304 Bedrooms: Pool: Total Tax Value: $13,300 Bath(F/H): / #14   Az Owner Name: Mendez Sayer Elionay Flores /Mendez Jorge APN / Alternate APN: 506-42-024-J / Deed Type: Special Warranty Deed Land Use: Residential Acreage Subdivision / Tract: / Lot Size: 54,450 Year Built / Eff: / Rec. Date / Price: 10/27/2021 / $15,000 Living Area: # of units: Document #: 1157482 Bedrooms: Pool: Total Tax Value: $7,700 Bath(F/H): / #15   Az Owner Name: Ochoa Francisco / APN / Alternate APN: 504-34-060 / Deed Type: Special Warranty Deed Land Use: Residential Acreage Subdivision / Tract: / Lot Size: 47,720 Year Built / Eff: / Rec. Date / Price: 12/30/2021 / $21,947 Living Area: # of units: Document #: 1382916 Bedrooms: Pool: Total Tax Value: $10,500 Bath(F/H): / #16   Az Owner Name: Sunshine Homes Llc / APN / Alternate APN: 506-42-003-L / Deed Type: Warranty Deed Land Use: Residential Acreage Subdivision / Tract: / Lot Size: 859,661 Year Built / Eff: / Rec. Date / Price: 11/24/2021 / $105,000 Living Area: # of units: Document #: 1255214 Bedrooms: Pool: Total Tax Value: $137,500 Bath(F/H): / Customer Name : Jeremiah Stiffler Customer Company Name : First American Prepared On : 08/12/2022 © 2022 CoreLogic. All rights reserved

#17   Az Owner Name: Casado Sebastian / APN / Alternate APN: 506-42-003-M / Deed Type: Warranty Deed Land Use: Residential Acreage Subdivision / Tract: / Lot Size: 218,224 Year Built / Eff: / Rec. Date / Price: 07/01/2022 / $60,000 Living Area: # of units: Document #: 547774 Bedrooms: Pool: Total Tax Value: $55,600 Bath(F/H): / #18   Az Owner Name: Rivera Fernando T /Irineo Maribel A APN / Alternate APN: 504-33-044-Y / Deed Type: Warranty Deed Land Use: Residential Acreage Subdivision / Tract: / Lot Size: 54,450 Year Built / Eff: / Rec. Date / Price: 04/18/2022 / $64,000 Living Area: # of units: Document #: 341287 Bedrooms: Pool: Total Tax Value: $13,900 Bath(F/H): / #19   Az Owner Name: Gastelum Juan Carlos / APN / Alternate APN: 504-34-075 / Deed Type: Warranty Deed Land Use: Residential Acreage Subdivision / Tract: / Lot Size: 108,686 Year Built / Eff: / Rec. Date / Price: 11/19/2021 / $39,500 Living Area: # of units: Document #: 1238260 Bedrooms: Pool: Total Tax Value: $17,579 Bath(F/H): / Customer Name : Jeremiah Stiffler Customer Company Name : First American Prepared On : 08/12/2022 © 2022 CoreLogic. All rights reserved

No street map for selected property. Customer Name : Jeremiah Stiffler Customer Company Name : First American Prepared On : 08/12/2022 © 2022 CoreLogic. All rights reserved

Customer Name : Jeremiah Stiffler Customer Company Name : First American Prepared On : 08/12/2022 © 2022 CoreLogic. All rights reserved

Arizona Schools For detailed information and statistics on Arizona schools please go ©2021FirstFirsthttps://azreportcards.azed.gov/toAmericanTitleInsuranceCompany,andtheoperatingdivisionsthereof,makenoexpressorimpliedwarrantyrespectingtheinformationpresentedandassumenoresponsibilityforerrorsoromissions.American,theeaglelogo,FirstAmericanTitle,andfirstam.comareregisteredtrademarksortrademarksofFirstAmericanFinancialCorporationand/oritsaffiliates.FirstAmericanFinancialCorporationand/oritsaffiliates.Allrightsreserved.NYSE:FAF05117910421

Public Schools : Elementary Schools Arlington Elementary School Distance 2.41 Miles 9410 S 355th Ave Arlington AZ 85322 Telephone : (623) 386-2031 School District : Arlington Elementary District (4274) Lowest Grade : Pre-K Highest Grade : 8th Kindergarten : Yes School Enrollment : Enrollment : 260 Total Expenditure/Student : 13 Winters Well Elementary School Distance 3.13 Miles 35220 W Buckeye Rd Tonopah AZ 85354 Telephone : (623) 474-5115 School District : Saddle Mountain Unified School District (4254) Lowest Grade : K Highest Grade : 5th Kindergarten : Yes School Enrollment : Enrollment : 460 Total Expenditure/Student : 313 Customer Name : Jeremiah Stiffler Customer Company Name : First American Prepared On : 08/12/2022 © 2022 CoreLogic. All rights reserved

LocalAttractionsBusiness/Recreation Name Address Telephone Distance (Miles) Dc Racing L.l.c. 36448 W Buckeye Rd Tonopah Az (602) 920-1068 2.9 Banks / Financial Name Address Telephone Distance (Miles) Rural Community Assistance 3713 S 375th Ave Tonopah Az (623) 393-0687 2.13 Eating / Drinking Name Address Telephone Distance (Miles) Mi Casita Mexican Food Llc 4611 S 351st Ave Tonopah Az (480) 294-0449 1.46 Wild Wolf Kettle Korn, Llc 36305 W Pima St Tonopah Az (623) 849-2373 2.62 Tin Top Bar & Grill 37900 W Salome Hwy Tonopah Az (623) 386-1501 3.06 Health Care Services Name Address Telephone Distance (Miles) Easier Life Home Care Corp. 36611 W Hadley St Tonopah Az (623) 566-6210 3.11 Ks Physical Therapy 1312 N 358th Ave Tonopah Az (602) 448-6596 4.73 Shopping Name Address Telephone Distance (Miles) Just Right Fencing, Llc 3310 S 347th Ave Tonopah Az (623) 980-8534 2.35 Dollar General Corporation 37930 W Salome Hwy Tonopah Az (602) 457-5029 3.1 Abc Sand & Rock 2801 S 331st Ave Tonopah Az (623) 393-9280 4.2 Customer Name : Jeremiah Stiffler Customer Company Name : First American Prepared On : 08/12/2022 © 2022 CoreLogic. All rights reserved

36116 W WAYLAND DR Distance 0.03 Miles Owner Name : Davis Leselle Recording Date : 11/30/2020 Sale Date : 10/27/2020 Sale Price  : $325,000 Total Value : $180,800 Property Tax : $513.66 Bed / Bath : / 3 Lot Acres : 1.25 Land Use : Sfr Living Area : 2,072 Stories : 1 APN : 506-42-006-N Yr Blt / Eff Yr Blt  : 2009 / 36110 W JESSICA LN Distance 0.03 Miles Owner Name : Pena Jose A Recording Date : 09/22/2020 Sale Date : 08/31/2020 Sale Price  : $269,888 Total Value : $169,300 Property Tax : $701.70 Bed / Bath : / 2 Lot Acres : 1.00 Land Use : Sfr Living Area : 2,081 Stories : 1 APN : 506-42-006-S Yr Blt / Eff Yr Blt  : 2008 / 36134 W JESSICA LN Distance 0.05 Miles Owner Name : Monroy Sergio B Recording Date : 03/15/2022 Sale Date : 02/25/2022 Sale Price  : $395,000 Total Value : $169,300 Property Tax : $701.70 Bed / Bath : / 2 Lot Acres : 1.00 Land Use : Sfr Living Area : 2,081 Stories : 1 APN : 506-42-006-R Yr Blt / Eff Yr Blt  : 2008 / 36107 W JESSICA LN Distance 0.06 Miles Owner Name : Mcatee Brandon Recording Date : 06/16/2008 Sale Date : 05/29/2008 Sale Price  : $237,400 Total Value : $169,300 Property Tax : $775.32 Bed / Bath : / 2 Lot Acres : 1.00 Land Use : Sfr Living Area : 2,081 Stories : 1 APN : 506-42-006-T Yr Blt / Eff Yr Blt  : 2008 / Customer Name : Jeremiah Stiffler Customer Company Name : First American Prepared On : 08/12/2022 © 2022 CoreLogic. All rights reserved

36138 W WAYLAND DR Distance 0.07 Miles Owner Name : Garcia Modesto Emmanuel Sale Price  : $100,000 Sale Date : 07/07/2021 Property Tax : $65.52 Total Value : $7,700 Lot Acres : 1.25 Land Use : Residential Acreage APN : 506-42-006-L Recording Date  : 07/08/2021 36129 W JESSICA LN Distance 0.08 Miles Owner Name : Kirby Litta C Recording Date : 04/07/2015 Sale Date : 03/26/2015 Sale Price  : $163,000 Total Value : $169,300 Property Tax : $701.70 Bed / Bath : / 2 Lot Acres : 1.00 Land Use : Sfr Living Area : 2,081 Stories : 1 APN : 506-42-006-U Yr Blt / Eff Yr Blt  : 2008 / 36146 W JESSICA LN Distance 0.09 Miles Owner Name : Castaneda Jaime Recording Date : 10/02/2015 Sale Date : 09/24/2015 Sale Price  : $165,000 Total Value : $169,200 Property Tax : $775.32 Bed / Bath : / 2 Lot Acres : 1.00 Land Use : Sfr Living Area : 2,081 Stories : 1 APN : 506-42-006-Q Yr Blt / Eff Yr Blt  : 2008 / Customer Name : Jeremiah Stiffler Customer Company Name : First American Prepared On : 08/12/2022 © 2022 CoreLogic. All rights reserved

Census Tract / block: 506.03 / 2     Year: 2018 Household Population Population by Age Count: 5,525 0 - 11 Estimate Current Year: 6,140 12 - 17 Estimate in 5 Years: 9,361 18 - 24 7.57% Growth Last 5 Years: 30.62% 25 - 64 55.17% Growth Last 10 Years: -86.63% 65 - 74 8.6% 75+ Household Size Household Income Current Year: 1,720 0 - $25,000 17.56% Average Current Year: 3.21 $25,000 - $35,000 13.2% Estimate in 5 Years: 2,124 $35,000 - $50,000 15.35% Growth Last 5 Years: 27.27% $50,000 - $75,000 26.86% Growth Last 10 Years: 41.9% $75,000 - $100,000 14.83% Male Population: 54.39% Above $100,000 12.21% Female Population: 45.61% Average Household Income: $55,398 Married People: 51.68% Unmarried People: 48.32% Housing Median Mortgage Payments Home Values Under $300: 22.13% Below $100,000: 30.87% $300 - $799: 20.13% $100,000 - $150,000: 20.95% $800 - $1,999: 50.82% $150,000 - $200,000: 19.22% Over $2,000: 6.92% $200,000 - $300,000: 20.86% Median Home Value: $147,000 $300,000 - $500,000: 7.65% Unit Occupied Owner: 63.84% Above $500,000: 0.46% Median Mortgage: $929 Customer Name : Jeremiah Stiffler Customer Company Name : First American Prepared On : 08/12/2022 © 2022 CoreLogic. All rights reserved

Rent Payments Year Built Unit Occupied Renter: 36.16% 1999 - 2000 Median Gross Rent: $784 1995 - 1998 Less Than $499 21.4% 1990 - 1994 $500 - $749 18.92% 1980 - 1989 10.83% $750 - $999 15.09% 1970 - 1979 4.76% $1000 and Over 44.59% 1900 - 1969 2.26% Education Enrollment Public Pre-Primary School: 0.79% Not Enrolled in School: 76.18% Private Pre-Primary School: 0% Not A High School Graduate: 26.24% Public School: 22.22% Graduate Of High School: 28.42% Private School: 1.6% Attended Some College: 31.68% Public College: 3.67% College Graduate: 12.05% Private College: 0.64% Graduate Degree: 1.61% Workforce Occupation: Manager/Prof: 12.21% Private Worker: 80.53% Technical: Government Worker: 10.2% Sales: 16.69% Self Employed Worker: 1.34% Administrative: Unpaid Family Worker: 5.31% Private House Hold: Farming: 33.18% Service: 16.43% Skilled: Protective Services: Blue-Collar: 54.66% Commute Time Less Than 15 Min: 27.51% 15 min - 28 min: 25.94% 30 min - 57 min: 24.33% Over 60 min: 22.22% Customer Name : Jeremiah Stiffler Customer Company Name : First American Prepared On : 08/12/2022 © 2022 CoreLogic. All rights reserved

Customer Name : Jeremiah Stiffler Customer Company Name : First American Prepared On : 08/12/2022 © 2022 CoreLogic. All rights reserved

Customer Name : Jeremiah Stiffler Customer Company Name : First American Prepared On : 08/12/2022 © 2022 CoreLogic. All rights reserved

Customer Name : Jeremiah Stiffler Customer Company Name : First American Prepared On : 08/12/2022 © 2022 CoreLogic. All rights reserved

+ FIRST AMERICAN TITLE, FC0, JSTI MARICOPA, AZ 08/12/2022  04:35PM  ZFHY  INVESTIGATIVE SEARCH RESULTS PAGE 1 OF 1 SEARCH PARAMETERS PARCEL:  506-42-006P PARCEL: 506-42-006P 1 INSTRUMENT REC DATE OWNER: LEON ARTURO VASQUEZ/VAZQUEZ ALMA ACUCENA     2010 812782 09/20/2010  MAIL: 1128 S FROST LN  AVONDALE, AZ 85323  SECTION: 25 TWP 1N RNG 6W LEGAL: S2 E2 FOL DESC PROP S2 NE4 SW4 SW4 SEC 25 P/F 06-0971826  CURRENT TAXES INFORMATION THROUGH 08/05/2022 LAND IMPR EXEMPT RATE AREA SPECIAL DISTRICTS PRIMARY  992  0  0  5.0470  900012  11588 30002  SECONDARY  1,155  0  0  4.7612  2021 TOTAL TAX BILLED 97.26 2021  TAX AMT TAX DUE INTEREST DATE PAID TOTAL DUE FIRST HALF  97.26  0.00  0.00  12/16/2021  0.00  SECOND HALF  0.00  0.00  0.00  0.00  TOTAL CURRENT TAXES DUE 08/22 0.00 09/22 0.00 IMPROVEMENTS LAND USE  00 14 LAND FULL CASH VALUE  7,700 LOT SIZE  1.251 ACRES IMPROV FULL CASH VALUE  0 SCHOOL DISTRICT  900012 SALES SALE DATE SALE AMOUNT INSTRUMENT TYPE SELLER NAME VALIDITY 09/20/2010 14,500    2010 812782 WD KOG INVESTMENTS LLC 07/20/2010 16,500    2010 616769 SD M/I MARSHALL/IISLEY BANK M ADDITIONAL PROPERTY INFORMATION STANDARD LAND USE: RESIDENTIAL LOT END SEARCH

MARICOPA, AZ Document:DED WAR 2010.812782 Page:1 of 3 Printed on:8/12/2022 4:37 PM Branch :FC0 User :JSTI

MARICOPA, AZ Document:DED WAR 2010.812782 Page:2 of 3 Printed on:8/12/2022 4:37 PM Branch :FC0 User :JSTI

MARICOPA, AZ Document:DED WAR 2010.812782 Page:3 of 3 Printed on:8/12/2022 4:37 PM Branch :FC0 User :JSTI

MARICOPA, AZ Document:DOT 2010.812783 Page:1 of 6 Printed on:8/12/2022 4:37 PM Branch :FC0 User :JSTI

MARICOPA, AZ Document:DOT 2010.812783 Page:2 of 6 Printed on:8/12/2022 4:37 PM Branch :FC0 User :JSTI

MARICOPA, AZ Document:DOT 2010.812783 Page:3 of 6 Printed on:8/12/2022 4:37 PM Branch :FC0 User :JSTI

MARICOPA, AZ Document:DOT 2010.812783 Page:4 of 6 Printed on:8/12/2022 4:37 PM Branch :FC0 User :JSTI

MARICOPA, AZ Document:DOT 2010.812783 Page:5 of 6 Printed on:8/12/2022 4:37 PM Branch :FC0 User :JSTI

MARICOPA, AZ Document:DOT 2010.812783 Page:6 of 6 Printed on:8/12/2022 4:37 PM Branch :FC0 User :JSTI

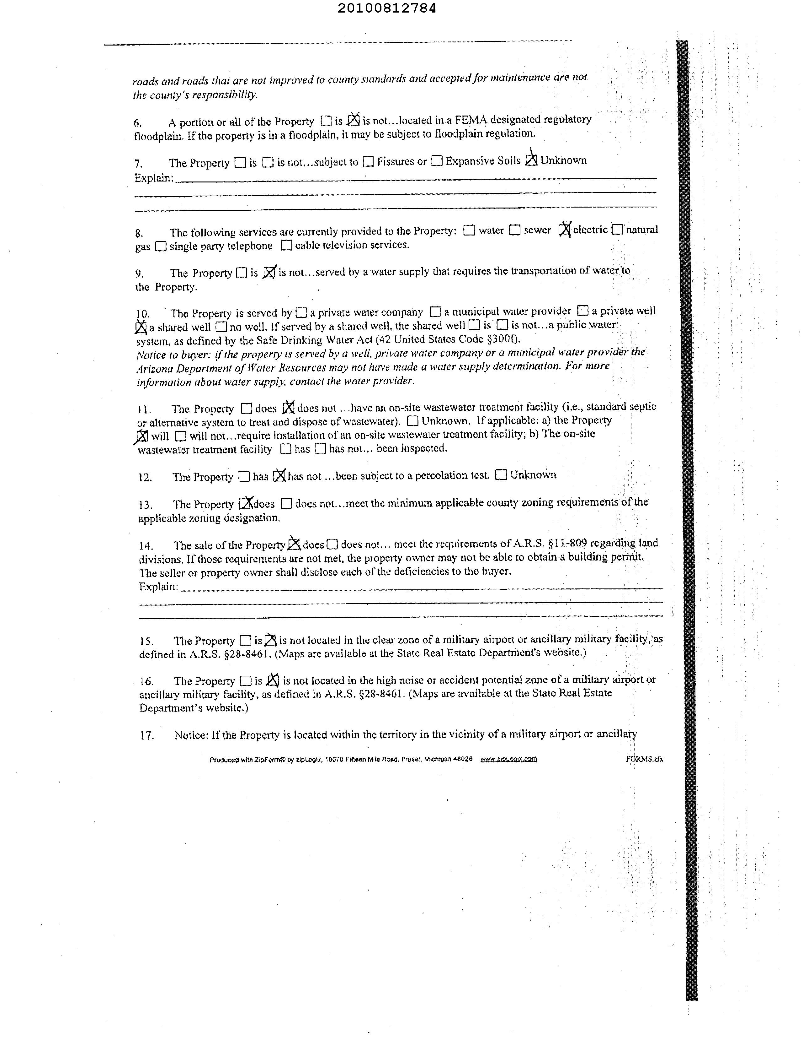
MARICOPA, AZ Document:AFF DSC 2010.812784 Page:1 of 5 Printed on:8/12/2022 4:37 PM Branch :FC0 User :JSTI

MARICOPA, AZ Document:AFF DSC 2010.812784 Page:2 of 5 Printed on:8/12/2022 4:37 PM Branch :FC0 User :JSTI

MARICOPA, AZ Document:AFF DSC 2010.812784 Page:3 of 5 Printed on:8/12/2022 4:37 PM Branch :FC0 User :JSTI

MARICOPA, AZ Document:AFF DSC 2010.812784 Page:4 of 5 Printed on:8/12/2022 4:37 PM Branch :FC0 User :JSTI

MARICOPA, AZ Document:AFF DSC 2010.812784 Page:5 of 5 Printed on:8/12/2022 4:37 PM Branch :FC0 User :JSTI

Turn static files into dynamic content formats.

Create a flipbook
Issuu converts static files into: digital portfolios, online yearbooks, online catalogs, digital photo albums and more. Sign up and create your flipbook.