506-42-006N

Page 1

Subject Property 36116 W Wayland Dr APN:AZTonopah85354506-42-006-N Data Provided By: First American Title Ins Co © 2022 CoreLogic. All rights reserved

ONLINE RESOURCES: There are many online sources that can provide useful information regarding similar topics including, but not limited to, the following sites:

TRUST YOUR SOURCE OF INFORMATION

• If you receive an email requesting personal/financial information or asking you to download, click on a link, send, and/or do anything that may seem unusual to you, call your escrow officer immediately prior to acting on the suspicious email to verify the validity of the email.

• If you receive an email containing wire transfer instructions, immediately call your escrow officer to ensure the validity of the instructions.

The Federal Bureau of Investigation @ https://www.fbi.gov/scams and safety

On Guard Online @ www.onguardonline.gov

WIRE FRAUD ADVISORY

The undersigned acknowledges receipt of this Wire Fraud Advisory.

• Never direct, accept or allow anyone in the transaction to consent to receiving transfer instructions without a direct personal telephone call to the individual allegedly providing the instructions.

Immediately notify your banking institution and Settlement/Title Company if you are a victim of wire fraud.

PROTECT YOURSELF VERIFY AND NOTIFY

Client Date Client Date

The Internet Crime Complaint Center @ www.ic3.gov

Criminals are targeting social media and email to steal information. This is particularly common in real estate transactions because sensitive data, including social security numbers, bank account numbers, and wire instructions are often sent by electronic means. We do not want you to be the next victim of wire fraud. Money wired to a fraudulent account is stolen money that typically cannot be recovered. Additionally, there is generally no insurance for this loss. You may never get the money back.

• It is imperative that this call be made to a number obtained in person from the individual or through other reliable means, not from a number provided in the email or the wiring instructions

DO NOT TRUST EMAILS SEEKING PERSONAL/FINANCIAL INFORMATION

DO NOT TRUST EMAILS CONTAINING WIRE INSTRUCTIONS

The National White Collar Crime Center @ http://www.nw3c.org/research

Before you wire funds to any party (including your lawyer, title agent, mortgage broker, or real estate agent) personally meet them or call a verified telephone number (not the telephone number in the email) to confirm before you act!

IMPORTANT -- PLEASE READ CAREFULLY: This report is not an insured product or service or a representation of the condition of title to real property. It is not an abst ract, legal opinion, opinion of title, title insurance commitment or preliminary report, or any form of Title Insurance or Guaranty. This report is issued exclusively for the benefit of the Applicant therefor and may not be used or relied upon by any other person. This report may not be reproduced in any manner without First American or Title Security's prior written consent. First American or Title Security does not represent or warrant that the information herein is complete or free from error, and the information herein is provided without any warranties of any kind, as-is, and with all faults. As a material part of the consideration given in exchange for the issuance of this report, recipient agrees that First American or Title Security's sole liability for any loss or damage caused by an error or omission due to inaccurate information or negligence in preparing this report shall be limited to the fee charged for the report. Recipient accepts this report with this limitation and agrees that First American or Title Security would not have issued this report but for the limitation of liability described above. First American or Title Security makes no representation or warranty as to the legality or propriety of recipient's use of the information herein.

LIMITATION OF LIABILITY FOR INFORMATIONAL REPORTS

Disclaimer This REiSource report is provided "as is" without warranty of any kind, either express or implied, including without limitations any warrantees of merchantability or fitness for a particular purpose. There is no representation of warranty that this information is complete or free from error, and the provider does not assume, and expressly disclaims, any liability to any person or entity for loss or damage caused by errors or omissions in this REiSource report without a title insurance policy.

Data Provided By: First American Title Ins Co

The information contained in the REiSource report is delivered from your Title Company, who reminds you that you have the right as a consumer to compare fees and serviced levels for Title, Escrow, and all other services associated with property ownership, and to select providers accordingly. Your home is the largest investment you will make in your lifetime and you should demand the very best.

© 2022 CoreLogic. All rights reserved

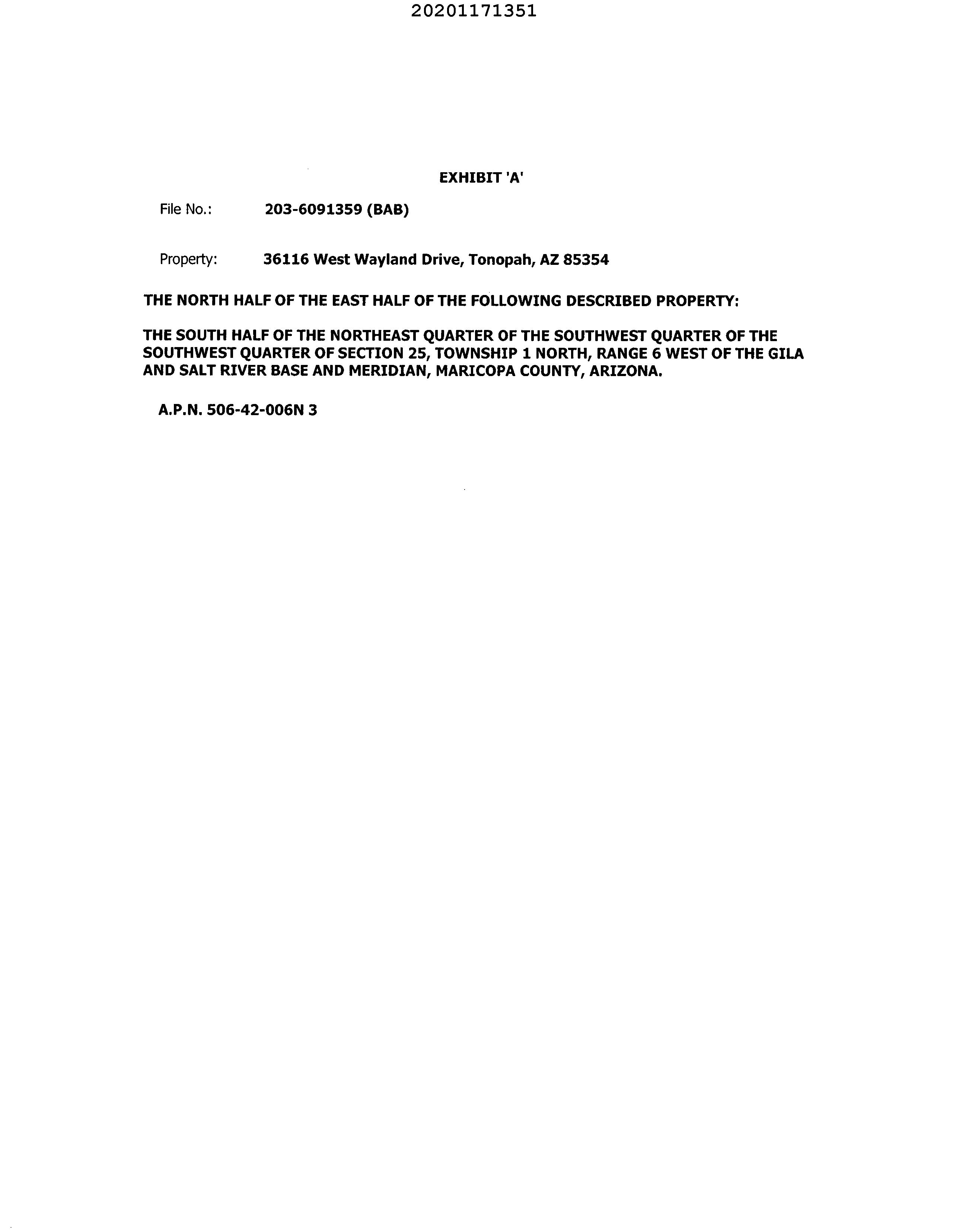
Subject Property :   36116 W Wayland Dr Tonopah AZ 85354 Owner Information Foreclosure Status: AUCTION Owner Name : Davis Leselle / Mckinney Ivan Mailing Address : 36116 W Wayland Dr, Tonopah AZ 85354-7379 H003 Owner OccupiedIndicator : O Location Information Legal Description : N2 E2 Fol Desc Prop S2 Ne4 Sw4 Sw4 Sec 25 P/f 06-0971825 County : Maricopa, Az APN : 506-42-006-N Census Tract / Block : 506.03 / 2 School District : Ruth Fisher 90 Township-Range- Sect : 01N-06W-25 Neighbor Code : 25-001 Last Market Sale Information Recording/Sale Date : 11/30/2020 / 10/27/2020 1st Mtg Amount/Type : $319,113 / Fha Sale Price : $325,000 1st Mtg Document # : 1171351 Document # : 1171350 1st Mtg Term : 30 Deed Type : Warranty Deed Price Per SqFt : $156.85 Title Company : First American Title Lender : Fairway Independent Mtg Corp Seller Name : Lang Bryan R & Laken A Prior Sale Information Prior Rec/Sale Date : 07/16/2010 / 06/14/2010 Prior Lender : Castle & Cooke Mtg Llc Prior Sale Price : $95,000 Prior 1st Mtg Amt/Type : $93,737 / Fha Prior Doc Number : 606834 Prior 1st Mtg Rate/Type : $5.25 Prior Deed Type : Special Warranty Deed Property Characteristics Gross Area : 2,072 Capacity :Garage 3 Patio Type : MasonryConcreteCoveredPatio Living Area : 2,072 Roof Material : Built-up Air Cond : Refrigeration Year Built / Eff : 2009 Heat Type : Heated Quality : Average # of Stories : 1 Cooling Type : Heated Bath Fixtures : 8 Parking Type : Garage Exterior wall : Frame/stucco Customer Name : Jeremiah Stiffler Customer Company Name : First American Prepared On : 08/12/2022 © 2022 CoreLogic. All rights reserved

Property Information Land Use : Sfr Lot Acres : 1.25 State Use : Single Fam Resrural Non Subd ( 3 ) Zoning : RU-43 Lot Size : 54,474 Tax Information Total Value : $180,800 Improve % : 80% Current AssessedYear : 2023 Land Value : $36,100 Tax Year : 2021 Current YearValue :Total $30,160 ImprovementValue : $144,700 Property Tax : $513.66 Current ImprovementYearValue : $24,130 Total TaxableValue : $9,048 Tax Rate Area : 900000 Current YearValue :Land $6,030 Assessed Year : 2021 Market Value : $180,800 Foreclosure Information Foreclosure Stage : AUCTION Original Mtg Doc# : 606836 Recording Date : 08/01/2022 Trustee Name : QUALITY LOAN SVC CORP Original Mtg Date : 07/16/2010 Auction City : PHOENIX Auction Date : 10/06/2022 Customer Name : Jeremiah Stiffler Customer Company Name : First American Prepared On : 08/12/2022 © 2022 CoreLogic. All rights reserved

Sales Analysis Criteria Subject Property Low High Average Sale Price $325,000 $395,000 $535,000 $465,000 Bldg/Living Area 2072 1868 2081 1975 Price Per Square Foot $156.85 $190 $286 $238.11 Year Built 2009 2007 2008 2008 Lot Size 54,474 43,572 229,350 136,461 BathroomsBedrooms 3 2 2 2 Stories 1 1 1 1 Total Assessed Value $180,800 $169,300 $201,500 $185,400 Distance From Subject 0 0.08 0.82 0.45 Summary of Comparables # Address Sale Price TotalValueAssessed Sale Date Bed Bath Living Area Lot Size YearBuilt (Miles)Dist Zoning S 36116 W Wayland Dr 325,000 180,800 11/30/2020 3 2,072 54,474 2009 RU-43 1 36134 W Jessica Ln 395,000 169,300 03/15/2022 2 2,081 43,572 2008 0.08 RU-43 2 4621 S 357th Ave 535,000 201,500 04/18/2022 2 1,868 229,350 2007 0.82 RU-43 Distressed Sales = Customer Name : Jeremiah Stiffler Customer Company Name : First American Prepared On : 08/12/2022 © 2022 CoreLogic. All rights reserved

Map Customer Name : Jeremiah Stiffler Customer Company Name : First American Prepared On : 08/12/2022 © 2022 CoreLogic. All rights reserved

Details of Comparables Subject Property: 36116 W Wayland Dr Tonopah Az 85354 Owner Name: Davis Leselle /Mckinney Ivan APN / Alternate APN: 506-42-006-N / Deed Type: Warranty Deed Land Use: Sfr Subdivision / Tract: / Lot Size: 54,474 Year Built / Eff: 2009 / Rec. Date / Price: 11/30/2020 / $325,000 Living Area: 2,072 # of units: Document #: 1171350 Bedrooms: Pool: Total Tax Value: $180,800 Bath(F/H): / #1   36134 W Jessica Ln Tonopah Az 85354 Owner Name: Monroy Sergio B / APN / Alternate APN: 506-42-006-R / Deed Type: Warranty Deed Land Use: Sfr Subdivision / Tract: / Lot Size: 43,572 Year Built / Eff: 2008 / Rec. Date / Price: 03/15/2022 / $395,000 Living Area: 2,081 # of units: Document #: 236002 Bedrooms: Pool: Total Tax Value: $169,300 Bath(F/H): / #2   4621 S 357th Ave Tonopah Az 85354 Owner Name: Herrera Andrew C & Karen P C /Martinez Karen P C APN / Alternate APN: 506-42-003-K / Deed Type: Warranty Deed Land Use: Sfr Subdivision / Tract: / Lot Size: 229,350 Year Built / Eff: 2007 / Rec. Date / Price: 04/18/2022 / $535,000 Living Area: 1,868 # of units: Document #: 339503 Bedrooms: Pool: Total Tax Value: $201,500 Bath(F/H): / Customer Name : Jeremiah Stiffler Customer Company Name : First American Prepared On : 08/12/2022 © 2022 CoreLogic. All rights reserved

Subject Property :   36116 W Wayland Dr Tonopah AZ 85354 Customer Name : Jeremiah Stiffler Customer Company Name : First American Prepared On : 08/12/2022 © 2022 CoreLogic. All rights reserved

Customer Name : Jeremiah Stiffler Customer Company Name : First American Prepared On : 08/12/2022 © 2022 CoreLogic. All rights reserved

Arizona Schools For detailed information and statistics on Arizona schools please go ©2021FirstFirsthttps://azreportcards.azed.gov/toAmericanTitleInsuranceCompany,andtheoperatingdivisionsthereof,makenoexpressorimpliedwarrantyrespectingtheinformationpresentedandassumenoresponsibilityforerrorsoromissions.American,theeaglelogo,FirstAmericanTitle,andfirstam.comareregisteredtrademarksortrademarksofFirstAmericanFinancialCorporationand/oritsaffiliates.FirstAmericanFinancialCorporationand/oritsaffiliates.Allrightsreserved.NYSE:FAF05117910421

Public Schools : Elementary Schools Arlington Elementary School Distance 2.44 Miles 9410 S 355th Ave Arlington AZ 85322 Telephone : (623) 386-2031 School District : Arlington Elementary District (4274) Lowest Grade : Pre-K Highest Grade : 8th Kindergarten : Yes School Enrollment : Enrollment : 260 Total Expenditure/Student : 13 Winters Well Elementary School Distance 3.1 Miles 35220 W Buckeye Rd Tonopah AZ 85354 Telephone : (623) 474-5115 School District : Saddle Mountain Unified School District (4254) Lowest Grade : K Highest Grade : 5th Kindergarten : Yes School Enrollment : Enrollment : 460 Total Expenditure/Student : 313 Customer Name : Jeremiah Stiffler Customer Company Name : First American Prepared On : 08/12/2022 © 2022 CoreLogic. All rights reserved

LocalAttractionsBusiness/Recreation Name Address Telephone Distance (Miles) Dc Racing L.l.c. 36448 W Buckeye Rd Tonopah Az (602) 920-1068 2.87 Banks / Financial Name Address Telephone Distance (Miles) Rural Community Assistance 3713 S 375th Ave Tonopah Az (623) 393-0687 2.12 Eating / Drinking Name Address Telephone Distance (Miles) Mi Casita Mexican Food Llc 4611 S 351st Ave Tonopah Az (480) 294-0449 1.45 Wild Wolf Kettle Korn, Llc 36305 W Pima St Tonopah Az (623) 849-2373 2.59 Tin Top Bar & Grill 37900 W Salome Hwy Tonopah Az (623) 386-1501 3.04 Health Care Services Name Address Telephone Distance (Miles) Easier Life Home Care Corp. 36611 W Hadley St Tonopah Az (623) 566-6210 3.08 Ks Physical Therapy 1312 N 358th Ave Tonopah Az (602) 448-6596 4.7 Shopping Name Address Telephone Distance (Miles) Just Right Fencing, Llc 3310 S 347th Ave Tonopah Az (623) 980-8534 2.33 Dollar General Corporation 37930 W Salome Hwy Tonopah Az (602) 457-5029 3.08 Abc Sand & Rock 2801 S 331st Ave Tonopah Az (623) 393-9280 4.19 Customer Name : Jeremiah Stiffler Customer Company Name : First American Prepared On : 08/12/2022 © 2022 CoreLogic. All rights reserved

36138 W WAYLAND DR Distance 0.06 Miles Owner Name : Garcia Modesto Emmanuel Sale Price  : $100,000 Sale Date : 07/07/2021 Property Tax : $65.52 Total Value : $7,700 Lot Acres : 1.25 Land Use : Residential Acreage APN : 506-42-006-L Recording Date  : 07/08/2021 36110 W JESSICA LN Distance 0.06 Miles Owner Name : Pena Jose A Recording Date : 09/22/2020 Sale Date : 08/31/2020 Sale Price  : $269,888 Total Value : $169,300 Property Tax : $701.70 Bed / Bath : / 2 Lot Acres : 1.00 Land Use : Sfr Living Area : 2,081 Stories : 1 APN : 506-42-006-S Yr Blt / Eff Yr Blt  : 2008 / 36134 W JESSICA LN Distance 0.08 Miles Owner Name : Monroy Sergio B Recording Date : 03/15/2022 Sale Date : 02/25/2022 Sale Price  : $395,000 Total Value : $169,300 Property Tax : $701.70 Bed / Bath : / 2 Lot Acres : 1.00 Land Use : Sfr Living Area : 2,081 Stories : 1 APN : 506-42-006-R Yr Blt / Eff Yr Blt  : 2008 / 36107 W JESSICA LN Distance 0.09 Miles Owner Name : Mcatee Brandon Recording Date : 06/16/2008 Sale Date : 05/29/2008 Sale Price  : $237,400 Total Value : $169,300 Property Tax : $775.32 Bed / Bath : / 2 Lot Acres : 1.00 Land Use : Sfr Living Area : 2,081 Stories : 1 APN : 506-42-006-T Yr Blt / Eff Yr Blt  : 2008 / Customer Name : Jeremiah Stiffler Customer Company Name : First American Prepared On : 08/12/2022 © 2022 CoreLogic. All rights reserved

36129 W JESSICA LN Distance 0.1 Miles Owner Name : Kirby Litta C Recording Date : 04/07/2015 Sale Date : 03/26/2015 Sale Price  : $163,000 Total Value : $169,300 Property Tax : $701.70 Bed / Bath : / 2 Lot Acres : 1.00 Land Use : Sfr Living Area : 2,081 Stories : 1 APN : 506-42-006-U Yr Blt / Eff Yr Blt  : 2008 / Customer Name : Jeremiah Stiffler Customer Company Name : First American Prepared On : 08/12/2022 © 2022 CoreLogic. All rights reserved

Census Tract / block: 506.03 / 2     Year: 2018 Household Population Population by Age Count: 5,525 0 - 11 Estimate Current Year: 6,140 12 - 17 Estimate in 5 Years: 9,361 18 - 24 7.57% Growth Last 5 Years: 30.62% 25 - 64 55.17% Growth Last 10 Years: -86.63% 65 - 74 8.6% 75+ Household Size Household Income Current Year: 1,720 0 - $25,000 17.56% Average Current Year: 3.21 $25,000 - $35,000 13.2% Estimate in 5 Years: 2,124 $35,000 - $50,000 15.35% Growth Last 5 Years: 27.27% $50,000 - $75,000 26.86% Growth Last 10 Years: 41.9% $75,000 - $100,000 14.83% Male Population: 54.39% Above $100,000 12.21% Female Population: 45.61% Average Household Income: $55,398 Married People: 51.68% Unmarried People: 48.32% Housing Median Mortgage Payments Home Values Under $300: 22.13% Below $100,000: 30.87% $300 - $799: 20.13% $100,000 - $150,000: 20.95% $800 - $1,999: 50.82% $150,000 - $200,000: 19.22% Over $2,000: 6.92% $200,000 - $300,000: 20.86% Median Home Value: $147,000 $300,000 - $500,000: 7.65% Unit Occupied Owner: 63.84% Above $500,000: 0.46% Median Mortgage: $929 Customer Name : Jeremiah Stiffler Customer Company Name : First American Prepared On : 08/12/2022 © 2022 CoreLogic. All rights reserved

Rent Payments Year Built Unit Occupied Renter: 36.16% 1999 - 2000 Median Gross Rent: $784 1995 - 1998 Less Than $499 21.4% 1990 - 1994 $500 - $749 18.92% 1980 - 1989 10.83% $750 - $999 15.09% 1970 - 1979 4.76% $1000 and Over 44.59% 1900 - 1969 2.26% Education Enrollment Public Pre-Primary School: 0.79% Not Enrolled in School: 76.18% Private Pre-Primary School: 0% Not A High School Graduate: 26.24% Public School: 22.22% Graduate Of High School: 28.42% Private School: 1.6% Attended Some College: 31.68% Public College: 3.67% College Graduate: 12.05% Private College: 0.64% Graduate Degree: 1.61% Workforce Occupation: Manager/Prof: 12.21% Private Worker: 80.53% Technical: Government Worker: 10.2% Sales: 16.69% Self Employed Worker: 1.34% Administrative: Unpaid Family Worker: 5.31% Private House Hold: Farming: 33.18% Service: 16.43% Skilled: Protective Services: Blue-Collar: 54.66% Commute Time Less Than 15 Min: 27.51% 15 min - 28 min: 25.94% 30 min - 57 min: 24.33% Over 60 min: 22.22% Customer Name : Jeremiah Stiffler Customer Company Name : First American Prepared On : 08/12/2022 © 2022 CoreLogic. All rights reserved

Customer Name : Jeremiah Stiffler Customer Company Name : First American Prepared On : 08/12/2022 © 2022 CoreLogic. All rights reserved

Customer Name : Jeremiah Stiffler Customer Company Name : First American Prepared On : 08/12/2022 © 2022 CoreLogic. All rights reserved

Customer Name : Jeremiah Stiffler Customer Company Name : First American Prepared On : 08/12/2022 © 2022 CoreLogic. All rights reserved

+ FIRST AMERICAN TITLE, FC0, JSTI MARICOPA, AZ 08/12/2022  04:26PM  ZFHY  INVESTIGATIVE SEARCH RESULTS PAGE 1 OF 1 SEARCH PARAMETERS PARCEL:  506-42-006N PARCEL: 506-42-006N 3 INSTRUMENT REC DATE OWNER: DAVIS LESELLE & MCKINNEY IV     2020 1171350 11/30/2020  SITUS: 36116 W WAYLAND DR TONOPAH  MAIL: 36116 W WAYLAND DR  TONOPAH AZ 85354  SECTION: 25 TWP 1N RNG 6W LEGAL: N2 E2 FOL DESC PROP S2 NE4 SW4 SW4 SEC 25 P/F 06-0971825  CURRENT TAXES INFORMATION THROUGH 08/05/2022 LAND IMPR EXEMPT RATE AREA SPECIAL DISTRICTS PRIMARY  9,048  0  0  5.0470  900000  30002  SECONDARY  3,610  14,470  0  1.5612  2021 TOTAL TAX BILLED 513.66 2021  TAX AMT TAX DUE INTEREST DATE PAID TOTAL DUE FIRST HALF  256.83  0.00  0.00  10/22/2021  0.00  SECOND HALF  256.83  0.00  0.00  04/28/2022  0.00  TOTAL CURRENT TAXES DUE 08/22 0.00 09/22 0.00 RESIDENTIAL IMPROVEMENTS BLDG SQFT  2,072 COOLING  REFRIGERATION YEAR BUILT  2009 EXTERIOR WALLS  OTHER NUMBER OF STORIES  1.0 ROOF  BUILT UP NUMBER OF ROOMS CONSTRUCTION CLASS  R3 NUMBER OF BATH FIXTURES  8 PHYSICAL CONDITION  OTHER PATIO (TYPE AND NUMBER)  UNCOVERED_AND_COVERED 2 LAND USE  01 34 GARAGE (TYPE AND NUMBER)  GARAGE 3 LOT SIZE  1.251 ACRES POOL SQ FT SCHOOL DISTRICT  900000 HEATING LAND FULL CASH VALUE  36,100 IMPR FULL CASH VALUE 144,700 SALES SALE DATE SALE AMOUNT INSTRUMENT TYPE SELLER NAME VALIDITY 11/30/2020 325,000    2020 1171350 WD LANG BRYAN R & LAKEN ALEXA 07/16/2010 95,000    2010 606834 SD M/I MARSHALL/ILSLEY BK ADDITIONAL PROPERTY INFORMATION STANDARD LAND USE: SFR END SEARCH

MARICOPA, AZ Document:DED WAR 2020.527843 Page:1 of 4 Printed on:8/12/2022 4:32 PM Branch :FC0 User :JSTI

MARICOPA, AZ Document:DED WAR 2020.527843 Page:2 of 4 Printed on:8/12/2022 4:32 PM Branch :FC0 User :JSTI

MARICOPA, AZ Document:DED WAR 2020.527843 Page:3 of 4 Printed on:8/12/2022 4:32 PM Branch :FC0 User :JSTI

MARICOPA, AZ Document:DED WAR 2020.527843 Page:4 of 4 Printed on:8/12/2022 4:32 PM Branch :FC0 User :JSTI

MARICOPA, AZ Document:DED WAR 2020.1171350 Page:1 of 3 Printed on:8/12/2022 4:32 PM Branch :FC0 User :JSTI

MARICOPA, AZ Document:DED WAR 2020.1171350 Page:2 of 3 Printed on:8/12/2022 4:32 PM Branch :FC0 User :JSTI

MARICOPA, AZ Document:DED WAR 2020.1171350 Page:3 of 3 Printed on:8/12/2022 4:32 PM Branch :FC0 User :JSTI

MARICOPA, AZ Document:DOT 2020.1171351 Page:1 of 18 Printed on:8/12/2022 4:32 PM Branch :FC0 User :JSTI

MARICOPA, AZ Document:DOT 2020.1171351 Page:2 of 18 Printed on:8/12/2022 4:32 PM Branch :FC0 User :JSTI

MARICOPA, AZ Document:DOT 2020.1171351 Page:3 of 18 Printed on:8/12/2022 4:32 PM Branch :FC0 User :JSTI

MARICOPA, AZ Document:DOT 2020.1171351 Page:4 of 18 Printed on:8/12/2022 4:32 PM Branch :FC0 User :JSTI

MARICOPA, AZ Document:DOT 2020.1171351 Page:5 of 18 Printed on:8/12/2022 4:32 PM Branch :FC0 User :JSTI

MARICOPA, AZ Document:DOT 2020.1171351 Page:6 of 18 Printed on:8/12/2022 4:32 PM Branch :FC0 User :JSTI

MARICOPA, AZ Document:DOT 2020.1171351 Page:7 of 18 Printed on:8/12/2022 4:32 PM Branch :FC0 User :JSTI

MARICOPA, AZ Document:DOT 2020.1171351 Page:8 of 18 Printed on:8/12/2022 4:32 PM Branch :FC0 User :JSTI

MARICOPA, AZ Document:DOT 2020.1171351 Page:9 of 18 Printed on:8/12/2022 4:32 PM Branch :FC0 User :JSTI

MARICOPA, AZ Document:DOT 2020.1171351 Page:10 of 18 Printed on:8/12/2022 4:32 PM Branch :FC0 User :JSTI

MARICOPA, AZ Document:DOT 2020.1171351 Page:11 of 18 Printed on:8/12/2022 4:32 PM Branch :FC0 User :JSTI

MARICOPA, AZ Document:DOT 2020.1171351 Page:12 of 18 Printed on:8/12/2022 4:32 PM Branch :FC0 User :JSTI

MARICOPA, AZ Document:DOT 2020.1171351 Page:13 of 18 Printed on:8/12/2022 4:32 PM Branch :FC0 User :JSTI

MARICOPA, AZ Document:DOT 2020.1171351 Page:14 of 18 Printed on:8/12/2022 4:32 PM Branch :FC0 User :JSTI

MARICOPA, AZ Document:DOT 2020.1171351 Page:15 of 18 Printed on:8/12/2022 4:32 PM Branch :FC0 User :JSTI

MARICOPA, AZ Document:DOT 2020.1171351 Page:16 of 18 Printed on:8/12/2022 4:32 PM Branch :FC0 User :JSTI

MARICOPA, AZ Document:DOT 2020.1171351 Page:17 of 18 Printed on:8/12/2022 4:32 PM Branch :FC0 User :JSTI

MARICOPA, AZ Document:DOT 2020.1171351 Page:18 of 18 Printed on:8/12/2022 4:32 PM Branch :FC0 User :JSTI

MARICOPA, AZ Document:DOT ASN 2022.316692 Page:1 of 2 Printed on:8/12/2022 4:32 PM Branch :FC0 User :JSTI

MARICOPA, AZ Document:DOT ASN 2022.316692 Page:2 of 2 Printed on:8/12/2022 4:32 PM Branch :FC0 User :JSTI

MARICOPA, AZ Document:STR 2022.514768 Page:1 of 2 Printed on:8/12/2022 4:32 PM Branch :FC0 User :JSTI

MARICOPA, AZ Document:STR 2022.514768 Page:2 of 2 Printed on:8/12/2022 4:32 PM Branch :FC0 User :JSTI

MARICOPA, AZ Document:DOT SLE 2022.530567 Page:1 of 3 Printed on:8/12/2022 4:32 PM Branch :FC0 User :JSTI

MARICOPA, AZ Document:DOT SLE 2022.530567 Page:2 of 3 Printed on:8/12/2022 4:32 PM Branch :FC0 User :JSTI

MARICOPA, AZ Document:DOT SLE 2022.530567 Page:3 of 3 Printed on:8/12/2022 4:32 PM Branch :FC0 User :JSTI

Turn static files into dynamic content formats.

Create a flipbook
Issuu converts static files into: digital portfolios, online yearbooks, online catalogs, digital photo albums and more. Sign up and create your flipbook.