504 07 010C Pinal County AZ

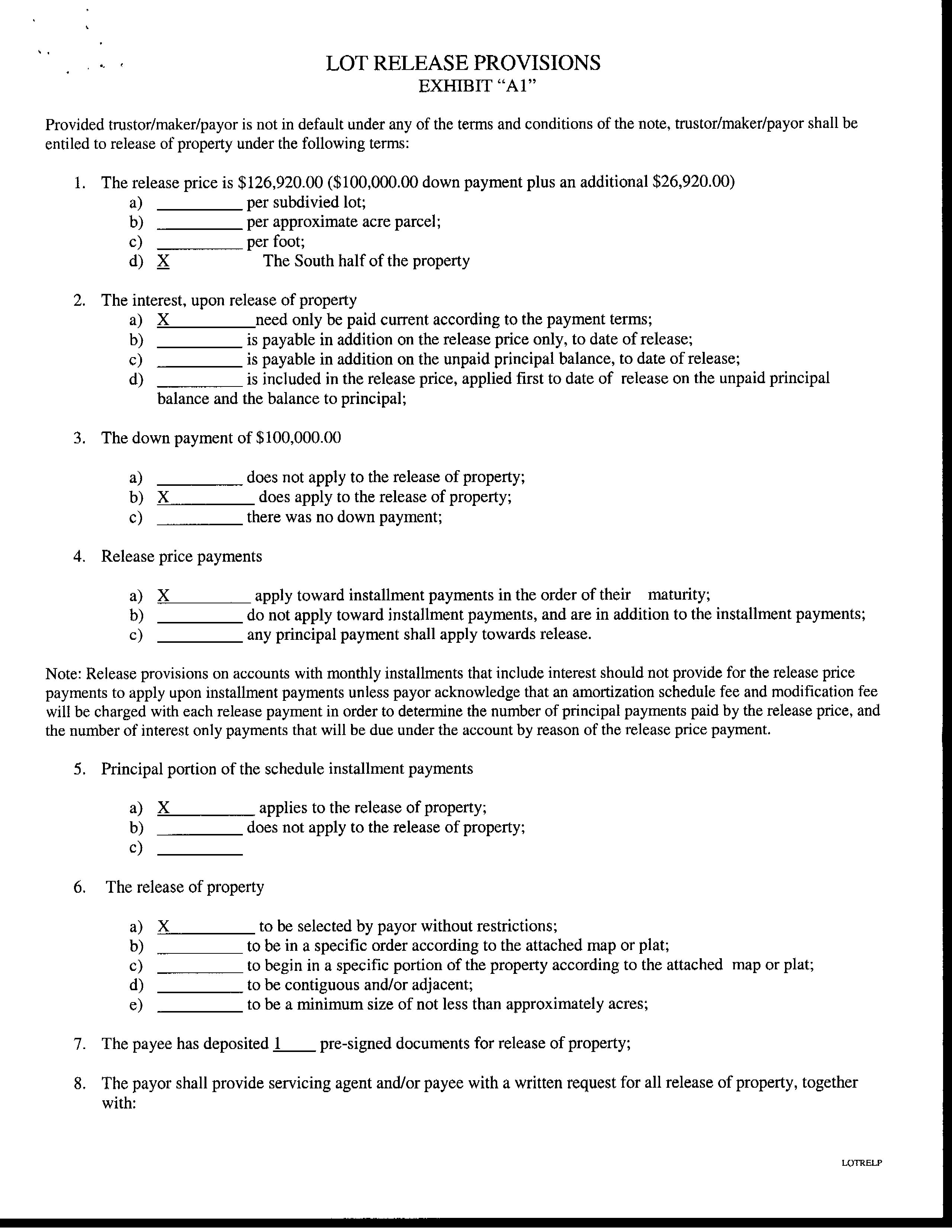
Page 1

Subject Property E Rodeo Rd Casa Grande AZ APN:85122504-07-010C Data Provided By: First American Title Ins Co © 2022 CoreLogic. All rights reserved

WIRE FRAUD ADVISORY Criminals are targeting social media and email to steal information. This is particularly common in real estate transactions because sensitive data, including social security numbers, bank account numbers, and wire instructions are often sent by electronic means. We do not want you to be the next victim of wire fraud. Money wired to a fraudulent account is stolen money that typically cannot be recovered. Additionally, there is generally no insurance for this loss. You may never get the money back. DO NOT TRUST EMAILS CONTAINING WIRE INSTRUCTIONS • If you receive an email containing wire transfer instructions, immediately call your escrow officer to ensure the validity of the instructions. DO NOT TRUST EMAILS SEEKING PERSONAL/FINANCIAL INFORMATION • If you receive an email requesting personal/financial information or asking you to download, click on a link, send, and/or do anything that may seem unusual to you, call your escrow officer immediately prior to acting on the suspicious email to verify the validity of the email. TRUST YOUR SOURCE OF INFORMATION • Never direct, accept or allow anyone in the transaction to consent to receiving transfer instructions without a direct personal telephone call to the individual allegedly providing the instructions. • It is imperative that this call be made to a number obtained in person from the individual or through other reliable means, not from a number provided in the email or the wiring instructions Before you wire funds to any party (including your lawyer, title agent, mortgage broker, or real estate agent) personally meet them or call a verified telephone number (not the telephone number in the email) to confirm before you act! Immediately notify your banking institution and Settlement/Title Company if you are a victim of wire fraud. The undersigned acknowledges receipt of this Wire Fraud Advisory. Client Date Client Date ONLINE RESOURCES: There are many online sources that can provide useful information regarding similar topics including, but not limited to, the following sites: The Federal Bureau of Investigation @ https://www.fbi.gov/scams and safety The Internet Crime Complaint Center @ www.ic3.gov The National White Collar Crime Center @ http://www.nw3c.org/research On Guard Online @ www.onguardonline.gov PROTECT YOURSELF VERIFY AND NOTIFY

LIMITATION OF LIABILITY FOR INFORMATIONAL REPORTS

First American or Title Security makes no representation or warranty as to the legality or propriety of recipient's use of the information herein.

First American or Title Security does not represent or warrant that the information herein is complete or free from error, and the information herein is provided without any warranties of any kind, as-is, and with all faults. As a material part of the consideration given in exchange for the issuance of this report, recipient agrees that First American or Title Security's sole liability for any loss or damage caused by an error or omission due to inaccurate information or negligence in preparing this report shall be limited to the fee charged for the report. Recipient accepts this report with this limitation and agrees that First American or Title Security would not have issued this report but for the limitation of liability described above.

IMPORTANT -- PLEASE READ CAREFULLY: This report is not an insured product or service or a representation of the condition of title to real property. It is not an abst ract, legal opinion, opinion of title, title insurance commitment or preliminary report, or any form of Title Insurance or Guaranty. This report is issued exclusively for the benefit of the Applicant therefor and may not be used or relied upon by any other person. This report may not be reproduced in any manner without First American or Title Security's prior written consent.

There is no representation of warranty that this information is complete or free from error, and the provider does not assume, and expressly disclaims, any liability to any person or entity for loss or damage caused by errors or omissions in this REiSource report without a title insurance policy.

The information contained in the REiSource report is delivered from Title Company, who reminds that have the as a with accordingly. and

Data Provided By: First American Title Ins Co Disclaimer This REiSource report is provided "as is" without warranty of any kind, either express or implied, including without limitations any warrantees of merchantability or fitness for a particular purpose.

you

you

consumer to compare fees and serviced levels for Title, Escrow, and all other services associated

your

property ownership, and to select providers

you should demand the very best. © 2022 CoreLogic. All rights reserved

right

Your home is the largest investment you will make in your lifetime

Subject Property :   E Rodeo Rd Casa Grande AZ 85122 Owner Information Owner Name : Greco Gail Mailing Address : 2367 Mirador, Vista CA 92084-2833 C061 Vesting Codes : / / Trust Location Information Legal Description : Beg At Sw Cr Of Ne Ne Of Sec 8-6s-6e; Th N-650.3' Th E-30' To Pobth N-602.19' To Pt Of Curve Th Nely Along Curve 46.73' Th E-559.61' Th S-630' Th W-590.3' To Pob Sec 8-6s-6e 8.34 Ac County : Pinal, Az APN : 504-07-010C Census Tract / Block : 13.05 Subdivision : Condon Park Township-Range- Sect : 06S-06E-08 Map Reference : 0806S06E Legal Lot : 2 Last Market Sale Information Recording/Sale Date : 08/18/2004 / 07/00/2004 1st Mtg Amount/Type : $115,750 / Pp Sale Price : $215,750 1st Mtg Int. Rate/Type : / Fixed Rate Loan Document # : 63501 1st Mtg Document # : 63502 Deed Type : Warranty Deed Price Per SqFt : $0.59 Title Company : First Fin'l Title Agency Seller Name : Berry Dale C Prior Sale Information Prior Rec/Sale Date : 04/13/1990 / 04/13/1990 Prior Deed Type : Special Warranty Deed Prior Doc Number : 1669-439 Property Information Land Use : Vacant Land (nec) Lot Acres : 8.34 State Use : rurundetermined-Vac-NonSubd Zoning : UNDESIGNATED Lot Size : 363,290 Customer Name : Lisa Mrazek Customer Company Name : First American Title Insurance Company Prepared On : 08/31/2022 © 2022 CoreLogic. All rights reserved

Tax Information Total Value : $77,118 Tax Year : 2021 Current AssessedYear : 2023 Land Value : $77,118 Property Tax : $1,712.60 Current YearValue :Total $31,848 Total TaxableValue : $11,568 Tax Rate Area : 0402 Current YearValue :Land $31,848 Assessed Year : 2021 Market Value : $77,118 Customer Name : Lisa Mrazek Customer Company Name : First American Title Insurance Company Prepared On : 08/31/2022 © 2022 CoreLogic. All rights reserved

Sales Analysis Criteria Subject Property Low High Average Sale Price $215,750 $314,963 $515,945 $409,554 Bldg/Living Area Price Per Square Foot $0.59 $46 $56 $51.30 Year Built Lot Size 363,290 6,098 9,148 7,688 TotalStoriesBathroomsBedroomsAssessed Value $77,118 $12,197 $18,295 $15,377 Distance From Subject 0 0.19 0.3 0.26 Customer Name : Lisa Mrazek Customer Company Name : First American Title Insurance Company Prepared On : 08/31/2022 © 2022 CoreLogic. All rights reserved

Map Customer Name : Lisa Mrazek Customer Company Name : First American Title Insurance Company Prepared On : 08/31/2022 © 2022 CoreLogic. All rights reserved

Details of Comparables Subject Property: E Rodeo Rd Casa Grande Az 85122 Owner Name: Greco Gail / APN / Alternate APN: 504-07-010C / Deed Type: Warranty Deed Land Use: Vacant Land (nec) Subdivision / Tract: Condon Park / Lot Size: 363,290 Year Built / Eff: / Rec. Date / Price: 08/18/2004 / $215,750 Living Area: # of units: Document #: 63501 Bedrooms: Pool: Total Tax Value: $77,118 Bath(F/H): / #1   2408 N Morrison Ave Casa Grande Az 85122 Owner Name: Ashfeld Martin /Ashfeld Diane APN / Alternate APN: 504-78-039 / Deed Type: Special Warranty Deed Land Use: Vacant Land (nec) Subdivision / Tract: Mccartney Ranch Prcl 03 Amd / Lot Size: 9,148 Year Built / Eff: / Rec. Date / Price: 05/27/2022 / $515,945 Living Area: # of units: Document #: 62552 Bedrooms: Pool: Total Tax Value: $18,295 Bath(F/H): / #2   2414 N Morrison Ave Casa Grande Az 85122 Owner Name: Dosapati Anand K /Dosapati Rajini APN / Alternate APN: 504-78-038 / Deed Type: Special Warranty Deed Land Use: Vacant Land (nec) Subdivision / Tract: Mccartney Ranch Prcl 03 Amd / Lot Size: 7,841 Year Built / Eff: / Rec. Date / Price: 05/31/2022 / $434,490 Living Area: # of units: Document #: 63135 Bedrooms: Pool: Total Tax Value: $15,682 Bath(F/H): / #3   2420 N Morrison Ave Casa Grande Az 85122 Owner Name: Ilindra Bhanu /Page Damavanti APN / Alternate APN: 504-78-037 / Deed Type: Special Warranty Deed Land Use: Vacant Land (nec) Subdivision / Tract: Mccartney Ranch Prcl 03 Amd / Lot Size: 7,841 Year Built / Eff: / Rec. Date / Price: 05/26/2022 / $493,490 Living Area: # of units: Document #: 62122 Bedrooms: Pool: Total Tax Value: $15,682 Bath(F/H): / #4   588 E Quail Dr Casa Grande Az 85122 Owner Name: Samal Sabita R /Nayak Jyoti K APN / Alternate APN: 504-78-040 / Deed Type: Special Warranty Deed Land Use: Vacant Land (nec) Subdivision / Tract: Mccartney Ranch Prcl 03 Amd / Lot Size: 8,276 Year Built / Eff: / Rec. Date / Price: 02/24/2022 / $479,490 Living Area: # of units: Document #: 22492 Bedrooms: Pool: Total Tax Value: $16,553 Bath(F/H): / Customer Name : Lisa Mrazek Customer Company Name : First American Title Insurance Company Prepared On : 08/31/2022 © 2022 CoreLogic. All rights reserved

#5   565 E White Wing Dr Casa Grande Az 85122 Owner Name: 565 White Wing Llc / APN / Alternate APN: 504-78-056 / Deed Type: Special Warranty Deed Land Use: Vacant Land (nec) Subdivision / Tract: Mccartney Ranch Prcl 03 Amd / Lot Size: 8,276 Year Built / Eff: / Rec. Date / Price: 02/25/2022 / $414,490 Living Area: # of units: Document #: 23215 Bedrooms: Pool: Total Tax Value: $16,553 Bath(F/H): / #6   997 E White Wing Dr Casa Grande Az 85122 Owner Name: Miller Ryan E /Miller Kelly M APN / Alternate APN: 504-78-340 / Deed Type: Special Warranty Deed Land Use: Vacant Land (nec) Subdivision / Tract: Mccartney Ranch Prcl 6 / Lot Size: 7,841 Year Built / Eff: / Rec. Date / Price: 01/07/2022 / $362,330 Living Area: # of units: Document #: 2946 Bedrooms: Pool: Total Tax Value: $15,682 Bath(F/H): / #7   588 E White Wing Dr Casa Grande Az 85122 Owner Name: Madupu Suribabu /Reddy Sunitha V K APN / Alternate APN: 504-78-058 / Deed Type: Special Warranty Deed Land Use: Vacant Land (nec) Subdivision / Tract: Mccartney Ranch Prcl 03 Amd / Lot Size: 7,841 Year Built / Eff: / Rec. Date / Price: 04/07/2022 / $408,490 Living Area: # of units: Document #: 41659 Bedrooms: Pool: Total Tax Value: $15,682 Bath(F/H): / #8   2471 N Lehmberg Ave Casa Grande Az 85122 Owner Name: Nguyen Joseph /Dang Lynn APN / Alternate APN: 504-78-352 / Deed Type: Special Warranty Deed Land Use: Vacant Land (nec) Subdivision / Tract: Mccartney Ranch Prcl 6 / Lot Size: 6,098 Year Built / Eff: / Rec. Date / Price: 11/09/2021 / $314,963 Living Area: # of units: Document #: 142481 Bedrooms: Pool: Total Tax Value: $12,197 Bath(F/H): / #9   566 E White Wing Dr Casa Grande Az 85122 Owner Name: Chavda Chintal D & Dharmendras /Chavda Jaydeep & Jaydeepsinh P APN / Alternate APN: 504-78-059 / Deed Type: Special Warranty Deed Land Use: Vacant Land (nec) Subdivision / Tract: Mccartney Ranch Prcl 03 Amd / Lot Size: 7,841 Year Built / Eff: / Rec. Date / Price: 04/11/2022 / $405,990 Living Area: # of units: Document #: 43241 Bedrooms: Pool: Total Tax Value: $15,682 Bath(F/H): / Customer Name : Lisa Mrazek Customer Company Name : First American Title Insurance Company Prepared On : 08/31/2022 © 2022 CoreLogic. All rights reserved

#10   587 E Cactus Wren Dr Casa Grande Az 85122 Owner Name: Casas Carlos G /Casas Eva L APN / Alternate APN: 504-78-075 / Deed Type: Warranty Deed Land Use: Vacant Land (nec) Subdivision / Tract: Mccartney Ranch Prcl 03 Amd / Lot Size: 8,712 Year Built / Eff: / Rec. Date / Price: 07/13/2022 / $460,000 Living Area: # of units: Document #: 78982 Bedrooms: Pool: Total Tax Value: $17,424 Bath(F/H): / #11   2477 N Lehmberg Ave Casa Grande Az 85122 Owner Name: Quintero Melania M /Quintero Gabriel E APN / Alternate APN: 504-78-353 / Deed Type: Special Warranty Deed Land Use: Vacant Land (nec) Subdivision / Tract: Mccartney Ranch Prcl 6 / Lot Size: 6,098 Year Built / Eff: / Rec. Date / Price: 12/29/2021 / $385,238 Living Area: # of units: Document #: 164958 Bedrooms: Pool: Total Tax Value: $12,197 Bath(F/H): / #12   544 E White Wing Dr Casa Grande Az 85122 Owner Name: Pampatwar Amol R /Pampatwar Sonali A APN / Alternate APN: 504-78-060 / Deed Type: Special Warranty Deed Land Use: Vacant Land (nec) Subdivision / Tract: Mccartney Ranch Prcl 03 / Lot Size: 7,841 Year Built / Eff: / Rec. Date / Price: 03/30/2022 / $378,490 Living Area: # of units: Document #: 38116 Bedrooms: Pool: Total Tax Value: $15,682 Bath(F/H): / #13   522 E White Wing Dr Casa Grande Az 85122 Owner Name: Randolph Deychana M / APN / Alternate APN: 504-78-061 / Deed Type: Special Warranty Deed Land Use: Vacant Land (nec) Subdivision / Tract: Mccartney Ranch Prcl 03 Amd / Lot Size: 7,841 Year Built / Eff: / Rec. Date / Price: 04/13/2022 / $370,990 Living Area: # of units: Document #: 44136 Bedrooms: Pool: Total Tax Value: $15,682 Bath(F/H): / #14   543 E Cactus Wren Dr Casa Grande Az 85122 Owner Name: Ayala Lisa L /Ayala Gary D APN / Alternate APN: 504-78-073 / Deed Type: Special Warranty Deed Land Use: Vacant Land (nec) Subdivision / Tract: Mccartney Ranch Prcl 03 Amd / Lot Size: 7,841 Year Built / Eff: / Rec. Date / Price: 05/26/2022 / $414,490 Living Area: # of units: Document #: 62226 Bedrooms: Pool: Total Tax Value: $15,682 Bath(F/H): / Customer Name : Lisa Mrazek Customer Company Name : First American Title Insurance Company Prepared On : 08/31/2022 © 2022 CoreLogic. All rights reserved

#15   2462 N Coolidge Ave Casa Grande Az 85122 Owner Name: Cuevas Jorge / APN / Alternate APN: 504-78-339 / Deed Type: Special Warranty Deed Land Use: Vacant Land (nec) Subdivision / Tract: Mccartney Ranch Prcl 6 / Lot Size: 6,098 Year Built / Eff: / Rec. Date / Price: 03/01/2022 / $370,348 Living Area: # of units: Document #: 24978 Bedrooms: Pool: Total Tax Value: $12,197 Bath(F/H): / #16   490 E White Wing Dr Casa Grande Az 85122 Owner Name: Tomar Mayank /Gulati Himani APN / Alternate APN: 504-78-062 / Deed Type: Special Warranty Deed Land Use: Vacant Land (nec) Subdivision / Tract: Mccartney Ranch Prcl 03 Amd / Lot Size: 7,841 Year Built / Eff: / Rec. Date / Price: 04/18/2022 / $365,990 Living Area: # of units: Document #: 46372 Bedrooms: Pool: Total Tax Value: $15,682 Bath(F/H): / #17   521 E Cactus Wren Dr Casa Grande Az 85122 Owner Name: Madupu Janaki R /Katta Supriya APN / Alternate APN: 504-78-072 / Deed Type: Special Warranty Deed Land Use: Vacant Land (nec) Subdivision / Tract: Mccartney Ranch Prcl 03 Amd / Lot Size: 7,841 Year Built / Eff: / Rec. Date / Price: 04/28/2022 / $381,990 Living Area: # of units: Document #: 51060 Bedrooms: Pool: Total Tax Value: $15,682 Bath(F/H): / #18   2466 N Coolidge Ave Casa Grande Az 85122 Owner Name: Payne Williebell Jr /Payne Willie C Jr APN / Alternate APN: 504-78-338 / Deed Type: Special Warranty Deed Land Use: Vacant Land (nec) Subdivision / Tract: Mccartney Ranch Prcl 6 / Lot Size: 6,970 Year Built / Eff: / Rec. Date / Price: 04/20/2022 / $350,884 Living Area: # of units: Document #: 47701 Bedrooms: Pool: Total Tax Value: $13,939 Bath(F/H): / #19   472 E White Wing Dr Casa Grande Az 85122 Owner Name: Mccoy Homer Jr / APN / Alternate APN: 504-78-063 / Deed Type: Special Warranty Deed Land Use: Vacant Land (nec) Subdivision / Tract: Mccartney Ranch Prcl 03 Amd / Lot Size: 7,841 Year Built / Eff: / Rec. Date / Price: 04/20/2022 / $409,990 Living Area: # of units: Document #: 47654 Bedrooms: Pool: Total Tax Value: $15,682 Bath(F/H): / Customer Name : Lisa Mrazek Customer Company Name : First American Title Insurance Company Prepared On : 08/31/2022 © 2022 CoreLogic. All rights reserved

#20   489 E Cactus Wren Dr Casa Grande Az 85122 Owner Name: Peterson Kinsie / APN / Alternate APN: 504-78-071 / Deed Type: Special Warranty Deed Land Use: Vacant Land (nec) Subdivision / Tract: Mccartney Ranch Prcl 03 Amd / Lot Size: 7,841 Year Built / Eff: / Rec. Date / Price: 04/27/2022 / $472,990 Living Area: # of units: Document #: 50630 Bedrooms: Pool: Total Tax Value: $15,682 Bath(F/H): / Customer Name : Lisa Mrazek Customer Company Name : First American Title Insurance Company Prepared On : 08/31/2022 © 2022 CoreLogic. All rights reserved

No street map for selected property. Customer Name : Lisa Mrazek Customer Company Name : First American Title Insurance Company Prepared On : 08/31/2022 © 2022 CoreLogic. All rights reserved

Customer Name : Lisa Mrazek Customer Company Name : First American Title Insurance Company Prepared On : 08/31/2022 © 2022 CoreLogic. All rights reserved

SchoolsArizona For detailed information and statistics on Arizona schools please go ©2021FirstFirsthttps://azreportcards.azed.gov/toAmericanTitleInsuranceCompany,andtheoperatingdivisionsthereof,makenoexpressorimpliedwarrantyrespectingtheinformationpresentedandassumenoresponsibilityforerrorsoromissions.American,theeaglelogo,FirstAmericanTitle,andfirstam.comareregisteredtrademarksortrademarksofFirstAmericanFinancialCorporationand/oritsaffiliates.FirstAmericanFinancialCorporationand/oritsaffiliates.Allrightsreserved.NYSE:FAF05117910421

05249570321 AIRPORTINT'LTUCSON Air Force WSilverbellRd SSantaRitaRd NMtLemmon Hwy ESascoRd NF38 W Avra Valley Rd E Grand Va ey DrNAguirreRd dRkLNuce dRWNentzNWatermanMountainRd RdAnwayN W El Tiro Rd NTricoRd W Tucker Rd W Rudas l Rd W Manvi e Rd SSanJoaquinRdWBopp Rd W Snyder H l RddRSMarsear W Park Rd W Hermans RdW Hermans Rd W Guy St W Bush Rd SGaveyRd eaCNRinconado SWmoRd SShawRd SSierritaMountainRd SKobRdW TwinButtes Rd W Mcgee Ranch Rd ESstancaDr EDesertDove E Hemlock Dr BNearCanyonRdW E Camino Del Cerro E Fairmount St SSwanRd NFrontageRd W Emigh Rd W Fort Lowe Rd dSPNumptationR E Nona Rd Ch efButteRd Lo al Ave NTricoRd SCattleTankRd Evalyn Rd SOwlHeadRanchRdGasLineRd PSecanRd NTrcoRd W Bayard Rd dRSSandaro WillowSpringsRd N Dove Mountain Blvd SHelvetiaRd WAnamax Mine Rd dRhRiGWacaanc Road424 WRagged Top Rd W Ruby Star Dr WBritten RanchRd W Pima Mine Rd S Mcgee RanchRd E Edw n Rd SGuildRd 80 NKINNEYRD SPICACHOHWYE BAUMGARTNER RD SNANDARIORDNANWAYRD W VALENCIA RD W MOORE RD W INA RD ESN1TAV E SUNRISE DR E SNYDER RDNSILVERBELLRD TRSNOLDIERLE RIVER RDE PRINCE RD E SPEEDWAY BLVD SFREEMANRDE 22ND ST E 22ND ST W IRVINGTON RD SNOGALESHWY W VALENCIA RDSMISSIONRDWSPEEDWAY BLVD SOLDSPANISHTRL W NARANJA DR W TWIN PEAKS RD W PICTURE ROCKS RD W MANVILLE RD SKINNEYRD W MILE WIDE RD E SAHUARITA RD NTRICORD OSSANDARRD PARK LINK DR SOLDNOGALESHWY GUOSHHTONRD ADCSLAANADRW HELMET PEAK RD WAJOHWY RNASNWD RDKOLBS SHOUGHTONRD W TANGERINE RD E GRANT RD SHOUGHTONRD 95 WAJOHWY E VALENCIA RD NORACLERD I-10 I-19 77 77 77 86 86 286 10 19 10 10 Corona de Tucson AdobesCasas Catalina Green Valley Oracle Picture Rocks Three Points VailSummit TanqueVerde SahuaritaTucson Red Rock Saddlebrooke Marana Oro Valley Rillito SummerhavenWillow Canyon Oracle Junction Cortaro Continental Littletown 20 30 13 15 51 39 12 01 01 08 10 16 11 06 PIMA COUNTY School District Information This map is provided for general location only. Please contact school districts for actual street boundaries SCHOOL DISTRICTS 15 AJO UNIFIED 111 N. Well Road, Ajo, AZ 85321 520.387.5618 51 ALTAR VALLEY ELEMENTARY 10105 S. Sasabe Road, Tucson, AZ 85736 520.822.1484 10 AMPHITHEATER UNIFIED 701 W. Wetmore, Tucson, AZ 85705 520.696.5000 16 CATALINA FOOTHILS UNIFIED 2101 E. River Road, Tucson, AZ 85718 520.209.7500 39 CONTINENTAL ELEMENTARY 1991 E. Whitehouse Canyon, Green Valley, AZ 85614 520.625.4581 08 FLOWING WELLS UNIFIED 1556 W. Prince Road, Tucson, AZ 85705 520.696.8800 06 MARANA UNIFIED 11279 W. Grier Road, Marana, AZ 85653 520.682.3243 11 PIMA COUNTY JTED 2855 W. Master Pieces Dr, Tucson, AZ 85741 520.352.5833 30 SAHUARITA UNIFIED 350 W. Sahuarita Road, Sahuarita, AZ 85629 520.625.3502 12 SUNNYSIDE UNIFIED 2238 E. Ginter Road, Tucson, AZ 85706 520.545.2000 13 TANQUE VERDE UNIFIED 2300 N. Tanque Verde Loop, Tucson, AZ 85749 520.749.5751 01 TUCSON UNIFIED 1010 E. 10th Street, Tucson, AZ 85717 520.225.6000 20 VAIL UNIFIED 10701 E. Mary Ann Cleveland Way, Tucson, AZ 85747 520.879.2000 First American Title Insurance Company, and the operating divisions thereof, make no express or implied warranty respecting the information presented and assume no responsibility for errors or omissions. First American, the eagle logo, First American Title, and firstam.com are registered trademarks or trademarks of First American Financial Corporation and/or its affiliates. ©2021 First American Financial Corporation and/or its affiliates. All rights reserved. NYSE: FAF

Public Schools : Elementary Schools Mccartney Ranch Elementary School Distance 0.7 Miles 2631 N Brown Ave Casa Grande AZ 85122 Telephone : (520) 876-4235 School District : Casa Grande Elementary District (4446) Lowest Grade : Pre-K Highest Grade : 8th Kindergarten : Yes School Enrollment : Enrollment : 697 Total Expenditure/Student : 53 Cholla Elementary School Distance 0.92 Miles 1180 E Kortsen Rd Casa Grande AZ 85122 Telephone : (520) 836-4719 School District : Casa Grande Elementary District (4446) Lowest Grade : Pre-K Highest Grade : 8th Kindergarten : Yes School Enrollment : Enrollment : 478 Total Expenditure/Student : 53 Legacy Traditional School - Casa Grande Distance 1.58 Miles 1274 E. Oneil Dr Casa Grande AZ 85122 Telephone : (520) 421-2323 School District : Legacy Traditional SchoolCasa Grande (92199) Lowest Grade : K Highest Grade : 8th Kindergarten : Yes School Enrollment : Enrollment : 1275 Total Expenditure/Student : Customer Name : Lisa Mrazek Customer Company Name : First American Title Insurance Company Prepared On : 08/31/2022 © 2022 CoreLogic. All rights reserved

Cottonwood Elementary School Distance 1.79 Miles 1667 N Kadota Ave Casa Grande AZ 85122 Telephone : (520) 836-5601 School District : Casa Grande Elementary District (4446) Lowest Grade : Pre-K Highest Grade : 8th Kindergarten : Yes School Enrollment : Enrollment : 346 Total Expenditure/Student : 53 Middle Schools Cactus Middle School Distance 1.05 Miles 1220 E Kortsen Rd Casa Grande AZ 85122 Telephone : (520) 431-3330 School District : Casa Grande Elementary District (4446) Lowest Grade : 6th Highest Grade : 8th Kindergarten : No School Enrollment : Enrollment : 821 Total Expenditure/Student : 53 Villago Middle School Distance 1.5 Miles 574 E. Lakeside Parkway Casa Grande AZ 85122 Telephone : (520) 423-0176 School District : Casa Grande Elementary District (4446) Lowest Grade : 6th Highest Grade : 8th Kindergarten : No School Enrollment : Enrollment : 915 Total Expenditure/Student : 53 Customer Name : Lisa Mrazek Customer Company Name : First American Title Insurance Company Prepared On : 08/31/2022 © 2022 CoreLogic. All rights reserved

Casa Grande Middle School Distance 2.43 Miles 260 W Mcmurray Blvd Casa Grande AZ 85122 Telephone : (520) 836-7310 School District : Casa Grande Elementary District (4446) Lowest Grade : 6th Highest Grade : 8th Kindergarten : No School Enrollment : Enrollment : 748 Total Expenditure/Student : 53 High PinnacleSchoolsHighSchool - Casa Grande Distance 0.43 Miles 2510 N Trekell Rd Casa Grande AZ 85122 Telephone : (520) 423-2380 School District : Pinnacle Education-casa Grande Inc. (81011) Lowest Grade : 9th Highest Grade : 12th School Enrollment : Enrollment : 51 Total Expenditure/Student : Advanced Placement : No Cavit - Casa Grande Union High School Distance 1 Miles 1362 N Casa Grande Ave Casa Grande AZ 85122 Telephone : (928) 645-2737 School District : Central Arizona Valley Institute Of Technology (79385) Lowest Grade : 9th Highest Grade : 12th School Enrollment : Enrollment : 0 Total Expenditure/Student : Advanced Placement : No Casa Grande Union High School Distance 1.12 Miles 2730 N Trekell Rd Casa Grande AZ 85122 Telephone : (520) 836-8500 School District : Casa Grande Union High School District (4453) Lowest Grade : 9th Highest Grade : 12th School Enrollment : Enrollment : 1910 Total Expenditure/Student : 442 Advanced Placement : No Customer Name : Lisa Mrazek Customer Company Name : First American Title Insurance Company Prepared On : 08/31/2022 © 2022 CoreLogic. All rights reserved

Mission Heights Preparatory High School Distance 2.09 Miles 1376 E Cottonwood Ln Casa Grande AZ 85122 Telephone : (520) 836-9383 School District : Kaizen HeightsFoundationEducationDbaMissionPr(90548) Lowest Grade : 9th Highest Grade : 12th School Enrollment : Enrollment : 380 Total Expenditure/Student : Advanced Placement : No Customer Name : Lisa Mrazek Customer Company Name : First American Title Insurance Company Prepared On : 08/31/2022 © 2022 CoreLogic. All rights reserved

LocalAttractionsBusiness/Recreation Name Address Telephone Distance (Miles) Revolution Cheer Company Llc 958 E Rodeo Rd Casa Grande Az (520) 840-8760 0.11 New Generation Dance Company 565 E Quail Dr Casa Grande Az (520) 213-1929 0.22 Casita Verde Rv Park 2200 N Trekell Rd Casa Grande Az (520) 836-9031 0.47 Rodeo Estates 155 E Rodeo Rd Ofc Casa Grande Az (520) 421-9008 0.48 Banks / Financial Name Address Telephone Distance (Miles) First American Credit Union 958 E Rodeo Rd Ste 16 Casa Grande Az (520) 836-8848 0.11 M & A Financial, Inc. 2481 N Granite Ct Casa Grande Az (505) 870-0931 0.55 Azci.net, Llc 156 W Flagstone Pl Casa Grande Az (866) 701-3278 0.73 U.s. Bank National Association 2858 N Pinal Ave Casa Grande Az (520) 836-3077 1.48 Eating / Drinking Name Address Telephone Distance (Miles) A Latte Vino 958 E Rodeo Rd Casa Grande Az (520) 788-6677 0.11 Manguera Brothers Party Chefs, Llc 918 E White Wing Dr Casa Grande Az (520) 705-7077 0.24 Lucky Penny, Llc 121 W Auburn Sky Ct Casa Grande Az (520) 836-0960 0.74 Vaqueros Carne Asada Inc 3860 N Pinal Ave Ste 8 Casa Grande Az (520) 836-9014 0.86 Health Care Services Name Address Telephone Distance (Miles) Russell J Crocket Dmd Pllc 380 E White Wing Ct Casa Grande Az (520) 560-1690 0.41 O'connor, Kary 1114 E Yucca St Casa Grande Az (520) 836-3229 0.43 Philip J. Kapsos Md, P.c. 263 E Wiley Way Casa Grande Az (520) 840-3333 0.47 Southwestern Eye Center, Ltd. 560 N Cmino Mercado Ste 1 Casa Grande Az (520) 836-5456 0.55 Customer Name : Lisa Mrazek Customer Company Name : First American Title Insurance Company Prepared On : 08/31/2022 © 2022 CoreLogic. All rights reserved

Hospitality Name Address Telephone Distance (Miles) Hay Enterprises 849 E Shadow Ridge Rd Casa Grande Az (520) 264-9354 1.42 Kesar Hospitality Llc 901 N Pinal Ave Casa Grande Az (562) 964-4325 2.93 Wes Calverley 901 N Pinal Ave Casa Grande Az (520) 836-7489 2.93 The Rest Stop 1532 E 10th St Casa Grande Az (520) 431-8736 2.96 Organizations / Associations Name Address Telephone Distance (Miles) Harvest Family Church 631 E Santa Cruz Rd Casa Grande Az (520) 510-6231 0.25 Lds Church 1231 E Barcelona Ave Casa Grande Az (520) 836-6662 0.54 Kingdom Living Ministries 297 W Rock Creek Pl Casa Grande Az (520) 423-2511 0.82 Calvary Southern Baptist Church 3860 N Pinal Ave Ste 1 Casa Grande Az (520) 252-7055 0.86 Personal Services Name Address Telephone Distance (Miles) 24/7 Fitness 2080 N Trekell Rd Casa Grande Az (520) 836-0613 0.76 Powerhouse Fitness And Cycle Llc 2080 N Trekell Rd Casa Grande Az (520) 836-0613 0.76 Edwards Fitness Centers Llc 594 E Palo Verde St Casa Grande Az (520) 509-6696 1.13 Vivid Salon & Spa 1927 N Trekell Rd Ste B Casa Grande Az (602) 909-3998 1.15 Shopping Name Address Telephone Distance (Miles) American West Pump Service Inc 1192 E Rodeo Rd Casa Grande Az (520) 423-2527 0.41 Alternative Nutrition Llc 1107 E Avenida Kino Casa Grande Az (520) 560-7566 0.52 Circle K Stores Inc. 2194 N Trekell Rd Casa Grande Az (520) 836-1486 0.52 Circle K Stores Inc 2382 N Pinal Ave Casa Grande Az (520) 876-0235 0.83 Customer Name : Lisa Mrazek Customer Company Name : First American Title Insurance Company Prepared On : 08/31/2022 © 2022 CoreLogic. All rights reserved

1009 E RODEO RD Distance 0.1 Miles Owner Name : Collins SolutionsAccounting Recording Date : 06/29/2007 Sale Date : 08/24/2006 Sale Price  : $3,200,000 Total Value : $1,765,158 Property Tax : $47,039.94 Land Use : Warehouse Lot Acres : 3.35 Stories : 1 Living Area : 67,365 Yr Blt / Eff Yr Blt : 2005 / APN : 504-07-010D Subdivision  : Condon Park 1130 E MEADOWBROOK DR Distance 0.11 Miles Owner Name : Scott Communities At Arroyo Gr Recording Date : 05/14/2021 Sale Date : 05/14/2021 Sale Price  : $3,621,000 Total Value : $1,416 Property Tax : $50.26 Land Use : Vacant Land (nec) Lot Acres : 0.14 Subdivision : Arroyo Grande S A Through Aa APN : 509-48-479 1131 E MEADOWBROOK DR Distance 0.11 Miles Owner Name : Scott Communities At Arroyo Gr Recording Date : 05/14/2021 Sale Date : 05/14/2021 Sale Price  : $3,621,000 Total Value : $1,480 Property Tax : $51.70 Land Use : Vacant Land (nec) Lot Acres : 0.15 Subdivision : Arroyo Grande S A Through Aa APN : 509-48-495 1135 E MEADOWBROOK DR Distance 0.11 Miles Owner Name : Scott Communities At Arroyo Gr Recording Date : 05/14/2021 Sale Date : 05/14/2021 Sale Price  : $3,621,000 Total Value : $1,480 Property Tax : $51.70 Land Use : Vacant Land (nec) Lot Acres : 0.15 Subdivision : Arroyo Grande S A Through Aa APN : 509-48-496 Customer Name : Lisa Mrazek Customer Company Name : First American Title Insurance Company Prepared On : 08/31/2022 © 2022 CoreLogic. All rights reserved

1138 E MEADOWBROOK DR Distance 0.11 Miles Owner Name : Scott Communities At Arroyo Gr Recording Date : 05/14/2021 Sale Date : 05/14/2021 Sale Price  : $3,621,000 Total Value : $1,415 Property Tax : $50.26 Land Use : Vacant Land (nec) Lot Acres : 0.14 Subdivision : Arroyo Grande S A Through Aa APN : 509-48-477 2822 N TRAILRIDGE LN Distance 0.11 Miles Owner Name : Scott Communities At Arroyo Gr Recording Date : 12/29/2011 Sale Date : 12/29/2011 Sale Price  : $2,500,000 Total Value : $2,661 Property Tax : $77.94 Land Use : Vacant Land (nec) Lot Acres : 0.26 Subdivision : Arroyo Grande S A Through Aa APN : 509-48-499 2830 N TRAILRIDGE LN Distance 0.11 Miles Owner Name : Scott Communities At Arroyo Gr Recording Date : 12/29/2011 Sale Date : 12/29/2011 Sale Price  : $2,500,000 Total Value : $2,113 Property Tax : $65.84 Land Use : Vacant Land (nec) Lot Acres : 0.21 Subdivision : Arroyo Grande S A Through Aa APN : 509-48-501 2838 N TRAILRIDGE LN Distance 0.11 Miles Owner Name : Scott Communities At Arroyo Gr Recording Date : 12/29/2011 Sale Date : 12/29/2011 Sale Price  : $2,500,000 Total Value : $1,836 Property Tax : $59.64 Land Use : Vacant Land (nec) Lot Acres : 0.18 Subdivision : Arroyo Grande S A Through Aa APN : 509-48-503 Customer Name : Lisa Mrazek Customer Company Name : First American Title Insurance Company Prepared On : 08/31/2022 © 2022 CoreLogic. All rights reserved

2842 N TRAILRIDGE LN Distance 0.11 Miles Owner Name : Scott Communities At Arroyo Gr Recording Date : 12/29/2011 Sale Date : 12/29/2011 Sale Price  : $2,500,000 Total Value : $1,685 Property Tax : $56.30 Land Use : Vacant Land (nec) Lot Acres : 0.17 Subdivision : Arroyo Grande S A Through Aa APN : 509-48-504 2846 N TRAILRIDGE LN Distance 0.11 Miles Owner Name : Scott Communities At Arroyo Gr Recording Date : 12/29/2011 Sale Date : 12/29/2011 Sale Price  : $2,500,000 Total Value : $1,904 Property Tax : $61.22 Land Use : Vacant Land (nec) Lot Acres : 0.19 Subdivision : Arroyo Grande S A Through Aa APN : 509-48-505 Customer Name : Lisa Mrazek Customer Company Name : First American Title Insurance Company Prepared On : 08/31/2022 © 2022 CoreLogic. All rights reserved

Census Tract / block: 13.05     Year: 2018 Household Population Population by Age Count: 5,792 0 - 11 Estimate Current Year: 5,959 12 - 17 Estimate in 5 Years: 6,675 18 - 24 6.96% Growth Last 5 Years: -8.67% 25 - 64 50.26% Growth Last 10 Years: -153.03% 65 - 74 10.5% 75+ Household Size Household Income Current Year: 1,997 0 - $25,000 17.93% Average Current Year: 2.89 $25,000 - $35,000 10.02% Estimate in 5 Years: 2,244 $35,000 - $50,000 21.23% Growth Last 5 Years: -0.9% $50,000 - $75,000 23.23% Growth Last 10 Years: 12.76% $75,000 - $100,000 13.92% Male Population: 52.43% Above $100,000 13.67% Female Population: 47.57% Average Household Income: $51,375 Married People: 56.66% Unmarried People: 43.34% Housing Median Mortgage Payments Home Values Under $300: 12.77% Below $100,000: 29.34% $300 - $799: 34.16% $100,000 - $150,000: 34.31% $800 - $1,999: 48.18% $150,000 - $200,000: 5.91% Over $2,000: 4.89% $200,000 - $300,000: 10.51% Median Home Value: $129,100 $300,000 - $500,000: 17.45% Unit Occupied Owner: 68.6% Above $500,000: 2.48% Median Mortgage: $774 Customer Name : Lisa Mrazek Customer Company Name : First American Title Insurance Company Prepared On : 08/31/2022 © 2022 CoreLogic. All rights reserved

Rent Payments Year Built Unit Occupied Renter: 31.4% 1999 - 2000 Median Gross Rent: $1,026 1995 - 1998 Less Than $499 3.72% 1990 - 1994 $500 - $749 12.16% 1980 - 1989 11.63% $750 - $999 30.24% 1970 - 1979 17.3% $1000 and Over 53.89% 1900 - 1969 6.45% Education Enrollment Public Pre-Primary School: 1.87% Not Enrolled in School: 72.64% Private Pre-Primary School: 0% Not A High School Graduate: 21.2% Public School: 25.14% Graduate Of High School: 19.18% Private School: 2.22% Attended Some College: 34.32% Public College: 3.89% College Graduate: 22.35% Private College: 1.8% Graduate Degree: 2.95% Workforce Occupation: Manager/Prof: 22.31% Private Worker: 64.47% Technical: Government Worker: 16.45% Sales: 17.22% Self Employed Worker: 3.36% Administrative: Unpaid Family Worker: 11.63% Private House Hold: Farming: 5.41% Service: 29.8% Skilled: Protective Services: Blue-Collar: 30.67% Commute Time Less Than 15 Min: 30.27% 15 min - 28 min: 45.24% 30 min - 57 min: 18.3% Over 60 min: 6.19% Customer Name : Lisa Mrazek Customer Company Name : First American Title Insurance Company Prepared On : 08/31/2022 © 2022 CoreLogic. All rights reserved

Customer Name : Lisa Mrazek Customer Company Name : First American Title Insurance Company Prepared On : 08/31/2022 © 2022 CoreLogic. All rights reserved

Customer Name : Lisa Mrazek Customer Company Name : First American Title Insurance Company Prepared On : 08/31/2022 © 2022 CoreLogic. All rights reserved

Customer Name : Lisa Mrazek Customer Company Name : First American Title Insurance Company Prepared On : 08/31/2022 © 2022 CoreLogic. All rights reserved

+ FIRST AMERICAN TITLE, FC0, LMRA PINAL (PL), AZ 08/31/2022  02:34PM  RL13  INVESTIGATIVE SEARCH RESULTS PAGE 1 OF 1 SEARCH PARAMETERS PARCEL:  504-07-010C PARCEL: 504-07-010C 8 INSTRUMENT REC DATE OWNER: GRECO GAIL FAMILY TRUST     2004 63501 08/18/2004  MAIL: 2367 MIRADOR  VISTA CA 92084  LEGAL: BEG AT SW CR OF NE NE OF SEC 8-6S-6E; TH N-650.3' TH E-30' TO POBTH N-602.19' TO PT OF CURVE TH NELY ALONG CURVE 46.73' TH E-559. 61' TH S-630' TH W-590.3' TO POB SEC 8-6S-6E 8.34 AC  CURRENT TAXES INFORMATION THROUGH 08/12/2022 LAND IMPR EXEMPT RATE AREA SPECIAL DISTRICTS PRIMARY  11,568  0  0  11.4251  0402  11900 14613 14900 15625 24001  SECONDARY  11,568  0  0  3.3800   30002  2021 TOTAL TAX BILLED 1,712.60 2021  TAX AMT TAX DUE INTEREST DATE PAID TOTAL DUE FIRST HALF  856.30  0.00  0.00  10/05/2021  0.00  SECOND HALF  856.30  0.00  0.00  02/23/2022  0.00  TOTAL CURRENT TAXES DUE 08/22 0.00 09/22 0.00 IMPROVEMENTS BLDG SQFT  0 FULL CASH VALUE  77,118 YEAR BUILT  0 LAND USE  00 04 NUMBER OF STORIES LOT SIZE  8.340 ACRES STORIES HEIGHT  0 SCHOOL DISTRICT  0402 EXTERIOR WALLS LAND FULL CASH VALUE  77,118 GRADE MATERIALS IMPR FULL CASH VALUE  0 SALES SALE DATE SALE AMOUNT INSTRUMENT TYPE SELLER NAME VALIDITY 08/18/2004 215,750    2004 63501 WD BERRY DALE C / ADDITIONAL PROPERTY INFORMATION STANDARD LAND USE: VACANT LAND (NEC) END SEARCH

Turn static files into dynamic content formats.

Create a flipbook
Issuu converts static files into: digital portfolios, online yearbooks, online catalogs, digital photo albums and more. Sign up and create your flipbook.
504 07 010C Pinal County AZ by FirstAmAZ - Issuu