5035 E South Regency

Page 1

Subject Property 5035 E South Regency Cir APN:AZTucson85711127-01-0570 Data Provided By: First American Title Ins Co © 2022 CoreLogic. All rights reserved

Client Date Client Date

PROTECT YOURSELF VERIFY AND NOTIFY

On Guard Online @ www.onguardonline.gov

• If you receive an email requesting personal/financial information or asking you to download, click on a link, send, and/or do anything that may seem unusual to you, call your escrow officer immediately prior to acting on the suspicious email to verify the validity of the email.

Before you wire funds to any party (including your lawyer, title agent, mortgage broker, or real estate agent) personally meet them or call a verified telephone number (not the telephone number in the email) to confirm before you act!

The undersigned acknowledges receipt of this Wire Fraud Advisory.

ONLINE RESOURCES:

• Never direct, accept or allow anyone in the transaction to consent to receiving transfer instructions without a direct personal telephone call to the individual allegedly providing the instructions.

There are many online sources that can provide useful information regarding similar topics including, but not limited to, the following sites:

TRUST YOUR SOURCE OF INFORMATION

WIRE FRAUD ADVISORY

DO NOT TRUST EMAILS SEEKING PERSONAL/FINANCIAL INFORMATION

DO NOT TRUST EMAILS CONTAINING WIRE INSTRUCTIONS

The Internet Crime Complaint Center @ www.ic3.gov

The Federal Bureau of Investigation @ https://www.fbi.gov/scams and safety

Immediately notify your banking institution and Settlement/Title Company if you are a victim of wire fraud.

The National White Collar Crime Center @ http://www.nw3c.org/research

Criminals are targeting social media and email to steal information. This is particularly common in real estate transactions because sensitive data, including social security numbers, bank account numbers, and wire instructions are often sent by electronic means. We do not want you to be the next victim of wire fraud. Money wired to a fraudulent account is stolen money that typically cannot be recovered. Additionally, there is generally no insurance for this loss. You may never get the money back.

• If you receive an email containing wire transfer instructions, immediately call your escrow officer to ensure the validity of the instructions.

• It is imperative that this call be made to a number obtained in person from the individual or through other reliable means, not from a number provided in the email or the wiring instructions

LIMITATION OF LIABILITY FOR INFORMATIONAL REPORTS

IMPORTANT -- PLEASE READ CAREFULLY: This report is not an insured product or service or a representation of the condition of title to real property. It is not an abst ract, legal opinion, opinion of title, title insurance commitment or preliminary report, or any form of Title Insurance or Guaranty. This report is issued exclusively for the benefit of the Applicant therefor and may not be used or relied upon by any other person. This report may not be reproduced in any manner without First American or Title Security's prior written consent. First American or Title Security does not represent or warrant that the information herein is complete or free from error, and the information herein is provided without any warranties of any kind, as-is, and with all faults. As a material part of the consideration given in exchange for the issuance of this report, recipient agrees that First American or Title Security's sole liability for any loss or damage caused by an error or omission due to inaccurate information or negligence in preparing this report shall be limited to the fee charged for the report. Recipient accepts this report with this limitation and agrees that First American or Title Security would not have issued this report but for the limitation of liability described above. First American or Title Security makes no representation or warranty as to the legality or propriety of recipient's use of the information herein.

This REiSource report is provided "as is" without warranty of any kind, either express or implied, including without limitations any warrantees of merchantability or fitness for a particular purpose. There is no representation of warranty that this information is complete or free from error, and the provider does not assume, and expressly disclaims, any liability to any person or entity for loss or damage caused by errors or omissions in this REiSource report without a title insurance policy.

Data Provided By: First American Title Ins Co

The information contained in the REiSource report is delivered from your Title Company, who reminds you that you have the right as a consumer to compare fees and serviced levels for Title, Escrow, and all other services associated with property ownership, and to select providers accordingly. Your home is the largest investment you will make in your lifetime and you should demand the very best.

© 2022 CoreLogic. All rights reserved

Disclaimer

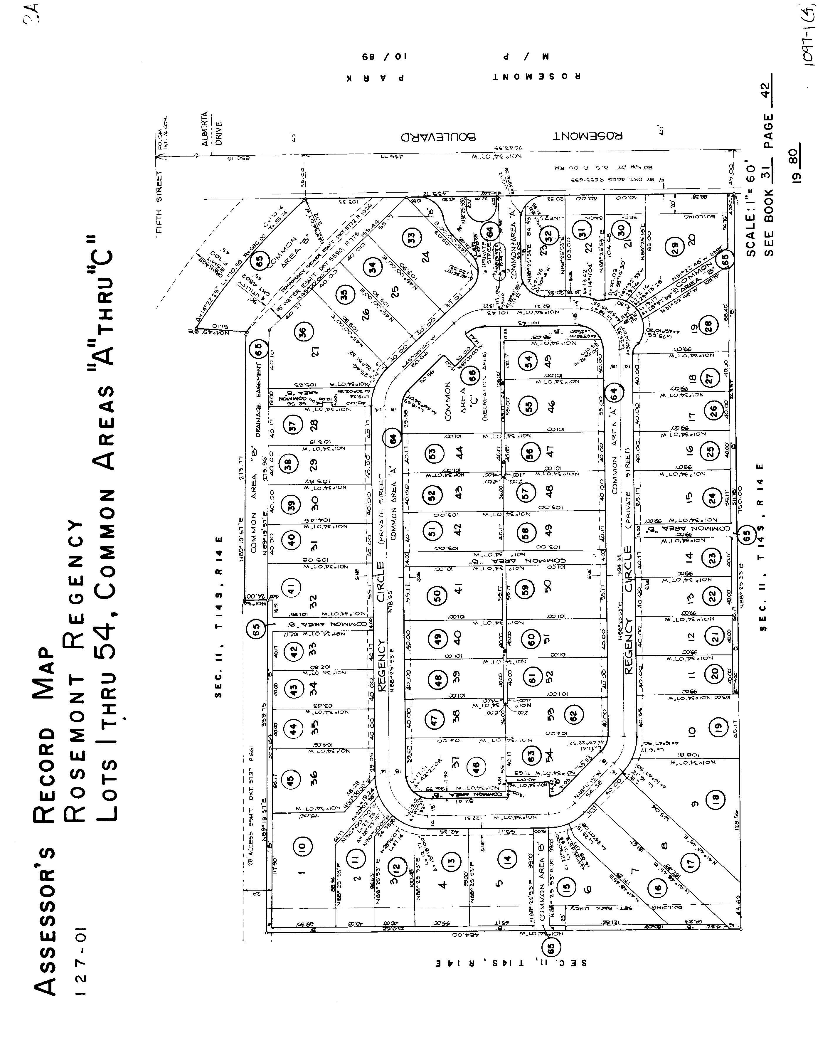
Subject Property :   5035 E South Regency Cir Tucson AZ 85711 Owner Information Owner Name : Sharp Karilyn Ann Mailing Address : 5039 E South Regency Cir, Tucson AZ 85711-3042 C046 Owner OccupiedIndicator : A Location Information Legal Description : Rosemont Regency (townhouses) Lot 48 County : Pima, Az APN : 127-01-0570 Census Tract / Block : 33.04 / 3 Subdivision : Rosemont Regency Twnhms Township-Range- Sect : 14S-14E-11 Map Reference : 11-14S-14E Legal Book/Page : 31-42 School District : Tucson Unified Legal Lot : 48 Munic/Township : Tucson Unified Market Area : 70 Last Market Sale Information Recording/Sale Date : 05/15/2017 / 05/05/2017 1st Mtg Amount/Type : $79,450 / Cnv Sale Price : $150,000 1st Mtg Document # : 1350181 Document # : 1350180 1st Mtg Term : 30 Deed Type : Warranty Deed Price Per SqFt : $70.22 Title Company : Stewart Title & Tr/tucson Lender : Sunstreet Mtg Llc Seller Name : Jones Living Trust Prior Sale Information Prior Rec/Sale Date : 08/15/1989 Prior Deed Type : Deed (reg) Prior Doc Number : 8601-89 Customer Name : Lisa Mrazek Customer Company Name : First American Title Insurance Company Prepared On : 09/07/2022 © 2022 CoreLogic. All rights reserved

Name

Lisa Mrazek

Customer :

Customer Name : First American Title Insurance Company Prepared On : 09/07/2022 © 2022 CoreLogic. All rights reserved

Land Use : Condominium Zoning : R-3 Lot Size : 4,124 County Use : townhouseCondominiums- Lot Acres : 0.09 State Use : townhouseCondominiumsTax Information Total Value : $210,811 Property Tax : $1,998.57 Current YearValue :Total $27,068 Total TaxableValue : $15,529 Tax Rate Area : 0150 Current ImprovementYearValue : $27,017 Assessed Year : 2021 Market Value : $210,811 Current YearValue :Land $50 Tax Year : 2021 Current AssessedYear : 2023

Property Characteristics Gross Area : 2,136 Capacity :Garage 2 Patio Type : Covered Patio Living Area : 2,136 Roof Material : Built-up Air Cond : Refrigeration Year Built / Eff : 1980 Heat Type : Forced Air Quality : Fair # of Stories : 1 Cooling Type : Forced Air Condition : Excellent Parking Type : Garage Exterior wall : Frame Wood Bath Fixtures : 11 Property Information

Company

Sales Analysis Criteria Subject Property Low High Average Sale Price $150,000 $349,900 $349,900 $349,900 Bldg/Living Area 2136 2100 2100 2100 Price Per Square Foot $70.22 $167 $167 $166.62 Year Built 1980 1985 1985 1985 Lot Size 4,124 5,461 5,461 5,461 BathroomsBedrooms 4 3 3 3 Stories 1 1 1 1 Total Assessed Value $210,811 $219,028 $219,028 $219,028 Distance From Subject 0 0.07 0.07 0.07 Customer Name : Lisa Mrazek Customer Company Name : First American Title Insurance Company Prepared On : 09/07/2022 © 2022 CoreLogic. All rights reserved

Map Customer Name : Lisa Mrazek Customer Company Name : First American Title Insurance Company Prepared On : 09/07/2022 © 2022 CoreLogic. All rights reserved

Customer Name : Lisa Mrazek

Details of Comparables Subject Property: 5035 E South Regency Cir Tucson Az 85711

Customer Company Name : First American Title Insurance Company Prepared On : 09/07/2022 © 2022 CoreLogic. All rights reserved

Owner Name: Beij Mohammed N / APN / Alternate APN: 127-01-0450 / Deed Type: Warranty Deed Land Use: Condominium Subdivision / Tract: Rosemont Regency Twnhms / Lot Size: 5,461 Year Built / Eff: 1985 / Rec. Date / Price: 07/11/2022 / $349,900 Living Area: 2,100 # of units: Document #: 1920518 Bedrooms: Pool: Total Tax Value: $219,028 Bath(F/H): /

Owner Name: Sharp Karilyn Ann / APN / Alternate APN: 127-01-0570 / Deed Type: Warranty Deed Land Use: Condominium Subdivision / Tract: Rosemont Regency Twnhms / Lot Size: 4,124 Year Built / Eff: 1980 / Rec. Date / Price: 05/15/2017 / $150,000 Living Area: 2,136 # of units: Document #: 1350180 Bedrooms: Pool: Total Tax Value: $210,811 Bath(F/H): / #1   5001 E North Regency Cir Tucson Az 85711

Subject Property :   5035 E South Regency Cir Tucson AZ 85711 Customer Name : Lisa Mrazek Customer Company Name : First American Title Insurance Company Prepared On : 09/07/2022 © 2022 CoreLogic. All rights reserved

Customer Name : Lisa Mrazek Customer Company Name : First American Title Insurance Company Prepared On : 09/07/2022 © 2022 CoreLogic. All rights reserved

SchoolsArizona For detailed information and statistics on Arizona schools please go ©2021FirstFirsthttps://azreportcards.azed.gov/toAmericanTitleInsuranceCompany,andtheoperatingdivisionsthereof,makenoexpressorimpliedwarrantyrespectingtheinformationpresentedandassumenoresponsibilityforerrorsoromissions.American,theeaglelogo,FirstAmericanTitle,andfirstam.comareregisteredtrademarksortrademarksofFirstAmericanFinancialCorporationand/oritsaffiliates.FirstAmericanFinancialCorporationand/oritsaffiliates.Allrightsreserved.NYSE:FAF05117910421

First

First American Title Insurance Company, and the operating divisions thereof, make no express or implied warranty respecting the information presented and assume no responsibility for errors or omissions. American, the eagle logo, First American Title, and firstam.com are registered trademarks or trademarks of First American Financial Corporation and/or its affiliates. ©2021 First American Financial Corporation and/or its affiliates. All rights reserved. NYSE: FAF

05249570321 AIRPORTINT'LTUCSON Air Force WSilverbellRd SSantaRitaRd NMtLemmon Hwy ESascoRd NF38 W Avra Valley Rd E Grand Va ey DrNAguirreRd dRkLNuce dRWNentzNWatermanMountainRd RdAnwayN W El Tiro Rd NTricoRd W Tucker Rd W Rudas l Rd W Manvi e Rd SSanJoaquinRdWBopp Rd W Snyder H l RddRSMarsear W Park Rd W Hermans RdW Hermans Rd W Guy St W Bush Rd SGaveyRd eaCNRinconado SWmoRd SShawRd SSierritaMountainRd SKobRdW TwinButtes Rd W Mcgee Ranch Rd ESstancaDr EDesertDove E Hemlock Dr BNearCanyonRdW E Camino Del Cerro E Fairmount St SSwanRd NFrontageRd W Emigh Rd W Fort Lowe Rd dSPNumptationR E Nona Rd Ch efButteRd Lo al Ave NTricoRd SCattleTankRd Evalyn Rd SOwlHeadRanchRdGasLineRd PSecanRd NTrcoRd W Bayard Rd dRSSandaro WillowSpringsRd N Dove Mountain Blvd SHelvetiaRd WAnamax Mine Rd dRhRiGWacaanc Road424 WRagged Top Rd W Ruby Star Dr WBritten RanchRd W Pima Mine Rd S Mcgee RanchRd E Edw n Rd SGuildRd 80 NKINNEYRD SPICACHOHWYE BAUMGARTNER RD SNANDARIORDNANWAYRD W VALENCIA RD W MOORE RD W INA RD ESN1TAV E SUNRISE DR E SNYDER RDNSILVERBELLRD TRSNOLDIERLE RIVER RDE PRINCE RD E SPEEDWAY BLVD SFREEMANRDE 22ND ST E 22ND ST W IRVINGTON RD SNOGALESHWY W VALENCIA RDSMISSIONRDWSPEEDWAY BLVD SOLDSPANISHTRL W NARANJA DR W TWIN PEAKS RD W PICTURE ROCKS RD W MANVILLE RD SKINNEYRD W MILE WIDE RD E SAHUARITA RD NTRICORD OSSANDARRD PARK LINK DR SOLDNOGALESHWY GUOSHHTONRD ADCSLAANADRW HELMET PEAK RD WAJOHWY RNASNWD RDKOLBS SHOUGHTONRD W TANGERINE RD E GRANT RD SHOUGHTONRD 95 WAJOHWY E VALENCIA RD NORACLERD I-10 I-19 77 77 77 86 86 286 10 19 10 10 Corona de Tucson AdobesCasas Catalina Green Valley Oracle Picture Rocks Three Points VailSummit TanqueVerde SahuaritaTucson Red Rock Saddlebrooke Marana Oro Valley Rillito SummerhavenWillow Canyon Oracle Junction Cortaro Continental Littletown 20 30 13 15 51 39 12 01 01 08 10 16 11 06 PIMA COUNTY School District Information This map is provided for general location only. Please contact school districts for actual street boundaries SCHOOL DISTRICTS 15 AJO UNIFIED 111 N. Well Road, Ajo, AZ 85321 520.387.5618 51 ALTAR VALLEY ELEMENTARY 10105 S. Sasabe Road, Tucson, AZ 85736 520.822.1484 10 AMPHITHEATER UNIFIED 701 W. Wetmore, Tucson, AZ 85705 520.696.5000 16 CATALINA FOOTHILS UNIFIED 2101 E. River Road, Tucson, AZ 85718 520.209.7500 39 CONTINENTAL ELEMENTARY 1991 E. Whitehouse Canyon, Green Valley, AZ 85614 520.625.4581 08 FLOWING WELLS UNIFIED 1556 W. Prince Road, Tucson, AZ 85705 520.696.8800 06 MARANA UNIFIED 11279 W. Grier Road, Marana, AZ 85653 520.682.3243 11 PIMA COUNTY JTED 2855 W. Master Pieces Dr, Tucson, AZ 85741 520.352.5833 30 SAHUARITA UNIFIED 350 W. Sahuarita Road, Sahuarita, AZ 85629 520.625.3502 12 SUNNYSIDE UNIFIED 2238 E. Ginter Road, Tucson, AZ 85706 520.545.2000 13 TANQUE VERDE UNIFIED 2300 N. Tanque Verde Loop, Tucson, AZ 85749 520.749.5751 01 TUCSON UNIFIED 1010 E. 10th Street, Tucson, AZ 85717 520.225.6000 20 VAIL UNIFIED 10701 E. Mary Ann Cleveland Way, Tucson, AZ 85747 520.879.2000

Customer Company Name : First American Title Insurance Company Prepared On : 09/07/2022 © 2022 CoreLogic. All rights reserved

Lowest Grade : Pre-K Highest Grade : 5th Kindergarten : Yes School Enrollment : Enrollment : 349 Total Expenditure/Student : 200 Desert Sky Community School Distance 0.96 Miles 1350 N Arcadia Ave Tucson AZ 85712 Telephone : (520) 745-3888 School District : Desert Sky Community School Inc. (88308)

W Arthur Sewel Elementary School Distance 1.06 Miles 425 N Sahuara Ave Tucson AZ 85711

Public Schools : Elementary Schools Bonillas Elementary Basic Curriculum Magnet School Distance 0.84 Miles 4757 E Winsett St Tucson AZ Telephone :85711(520) 232-6600 School District : Tucson Unified District (4403)

Lowest Grade : K Highest Grade : 5th Kindergarten : Yes School Enrollment : Enrollment : 56 Total Expenditure/Student :

Lowest Grade : Pre-K Highest Grade : 5th Kindergarten : Yes School Enrollment : Enrollment : 290 Total Expenditure/Student : 200

Telephone : (520) 584-7200 School District : Tucson Unified District (4403)

Customer Name : Lisa Mrazek

(520) 232-7200 School District : Tucson Unified District (4403)

Ida Flood Dodge Traditional Middle Magnet School Distance 1.61 Miles 5831 E Pima St Tucson AZ Telephone :85712

(520) 731-4100 School District : Tucson Unified District (4403)

Lowest Grade : 6th Highest Grade : 8th Kindergarten : No School Enrollment : Enrollment : 793 Total Expenditure/Student : 200

Lowest Grade : 6th Highest Grade : 8th Kindergarten : No School Enrollment : Enrollment : 424 Total Expenditure/Student : 200 Future Investment Middle School Distance 2.31 Miles 1854 S Alvernon Way Tucson AZ 85711 Telephone : (520) 790-8400 School District : Griffin Foundation Inc. The (79500) Lowest Grade : 6th Highest Grade : 8th Kindergarten : No School Enrollment : Enrollment : 84 Total Expenditure/Student :

Customer Company Name : First American Title Insurance Company Prepared On : 09/07/2022 © 2022 CoreLogic. All rights reserved

Lowest Grade : Pre-K Highest Grade : 5th Kindergarten : Yes School Enrollment : Enrollment : 280 Total Expenditure/Student : 200 Middle Schools

Alice Vail Middle School Distance 0.97 Miles 5350 E 16th St Tucson AZ Telephone :85711(520) 584-5400 School District : Tucson Unified District (4403)

Customer Name : Lisa Mrazek

Howell Peter Elementary Distance 1.24 Miles 401 N Irving Ave Tucson AZ Telephone :85711

Telephone : (520) 232-6900 School District : Tucson Unified District (4403)

Lowest Grade : 6th Highest Grade : 8th Kindergarten : No School Enrollment : Enrollment : 601 Total Expenditure/Student : 200 High

Telephone : (520) 232-5600 School District : Tucson Unified District (4403)

Customer Company Name : First American Title Insurance Company Prepared On : 09/07/2022 © 2022 CoreLogic. All rights reserved

Doolen Middle School Distance 2.96 Miles 2400 N Country Club Rd Tucson AZ 85716

Lowest Grade : 8th Highest Grade : 12th School Enrollment : Enrollment : 1150 Total Expenditure/Student : 200 Advanced Placement : No Rincon High School Distance 0.33 Miles 421 N Arcadia Ave Tucson AZ 85711

Total Expenditure/Student : 200 Advanced Placement : No Pcjted - University High School Distance 0.33 Miles 421 N Arcadia Ave Tucson AZ 85711

UniversitySchoolsHighSchool Distance 0.33 Miles 421 N Arcadia Ave Tucson AZ 85711

Lowest Grade : 8th Highest Grade : 12th School Enrollment : Enrollment : 1271

Telephone : (520) 225-4300 School District : Pima County Jted (89380)

Total Expenditure/Student : Advanced Placement : No Customer Name : Lisa Mrazek

Lowest Grade : 9th Highest Grade : 12th School Enrollment : Enrollment : 0

Telephone : (520) 232-5900 School District : Tucson Unified District (4403)

Pcjted - Rincon High School Distance 0.33 Miles 421 N Arcadia Ave Tucson AZ 85711 Telephone : (520) 225-4652 School District : Pima County Jted (89380) Lowest Grade : 9th Highest Grade : 12th School Enrollment : Enrollment : 0 Total Expenditure/Student : Advanced Placement : No Customer Name : Lisa Mrazek Customer Company Name : First American Title Insurance Company Prepared On : 09/07/2022 © 2022 CoreLogic. All rights reserved

Tucson Orienteering Club Limited "" Tucson Az (520) 628-8985 0.12

Bbva Usa 5045 E Broadway Blvd Tucson Az (520) 748-3404 0.28

Banks / Financial Name Address Telephone Distance (Miles)

Club Espana De Tucson, Inc 5029 E South Regency Cir Tucson Az (520) 561-3177 0.01

Jonathan M Herzner 421 N Arcadia Ave Tucson Az (520) 349-1335 0.2

Highland Vista Swimming Pool 315 N Woodland Vis Tucson Az (520) 745-2461 0.36

Hugh Oconor Memorial Pipe Band 5434 E Burns St Tucson Az (520) 621-8353 0.5

The Mobile Bistro Llc 5029 E 5th St Tucson Az (520) 795-8112 0.21

David A Schmidle Inc 5049 E Broadway Blvd # 12 Tucson Az (520) 747-1295 0.28 Health Care Services Name Address Telephone Distance (Miles) General Adult Care Home Llc 5112 E 8th St Tucson Az (520) 300-4994 0.1

David L Robb Dds 4925 E 5th St Ste 111 Tucson Az (520) 881-8151 0.26

Dr. Robert L. Beren, Md 5055 E Broadway Blvd Tucson Az (520) 529-8387 0.28

LocalAttractionsBusiness/Recreation

Rincon Mortgage Group 5055 E Broadway Blvd C214 Tucson Az (888) 284-5578 0.28

Char Thai Restaurant 5039 E 5th St Tucson Az (520) 795-1715 0.21 Edge Catering Company 5029 E 5th St Tucson Az (520) 795-8112 0.21

Name Address Telephone Distance (Miles)

Customer Name : Lisa Mrazek Company Name : First American Title Insurance Company Prepared On : 09/07/2022 © 2022 CoreLogic. All rights reserved

Advanced Capital Mortgage Inc 5151 E Broadway Blvd Tucson Az (520) 326-8059 0.32 Eating / Drinking Name Address Telephone Distance (Miles)

Customer

Codac Health, Recovery & Wellness, Inc. 4901 E 5th St Ste 200 Tucson Az (520) 318-9222 0.27

Hospitality Name Address Telephone Distance (Miles)

4 Tucson 5151 E Broadway Blvd # 28 Tucson Az (520) 745-4404 0.32

Organizations

Hsl Ebs Properties, Llc 5335 E Broadway Blvd Tucson Az (520) 745-2700 0.49 Park Hotels & Resorts Inc. 5335 E Broadway Blvd Tucson Az (520) 745-2700 0.49 /

Associations

:

Personal

Customer Name : Lisa Mrazek Customer Company Name : First American Title Insurance Company Prepared

Persistence Fitness Training Llc 5149 E Crculo Las Cabanas Tucson Az (520) 849-5707 0.48

The Immanuel Group 5151 E Broadway Blvd Tucson Az (520) 745-4444 0.32 Services Address Telephone Distance (Miles)

Name Address Telephone Distance (Miles)

Robert Markley Salon Spa 5350 E Broadway Blvd # 16 Tucson Az (520) 747-1388 0.49 Shopping Name Address Telephone Distance (Miles)

Fittness

Living Vine Retreat House 5122 E Holmes St Tucson Az (520) 750-8285 0.15

7-eleven,

© 2022 CoreLogic. All rights reserved

Name

Broadway Hotel One Llc 4855 E Broadway Blvd Tucson Az (520) 745-6500 0.37 Broadway Hotel Corporation Inc 4855 E Broadway Blvd Tucson Az (520) 790-9013 0.37

Vine Of Grace Retreat Ministry Inc 5122 E Holmes St Tucson Az (520) 631-1408 0.15

Tuff Spas Of Southern Az 5151 E Broadway Blvd Tucson Az (520) 508-0682 0.33 With Kari, Llc. 4865 E 4th St Tucson Az (480) 415-3574 0.41

Glacier Beverage Company, Llc 5151 E Broadway Blvd # 16 Tucson Az (520) 638-8440 0.32

The Honey Baked Ham Company Llc 5350 E Broadway Blvd # 17 Tucson Az (520) 745-0700 0.49 Market 5450 E 5th St Tucson Az (520) 305-4777 0.54 Inc. 4680 E Broadway Blvd Tucson Az (520) 795-4480 0.56 On 09/07/2022

Family

Owner Name : Sharp Viki C Recording Date : 04/01/1998

5019 E SOUTH REGENCY CIR Distance 0.02 Miles

Owner Name : Rosemont HomeownersRegencyAs Recording Date : 10/02/1979

Stories : 1 Living Area : 1,443 Yr Blt / Eff Yr Blt : 1980 / APN : 127-01-0560

Stories : 1 Living Area : 2,100 Yr Blt / Eff Yr Blt : 1980 / APN : 127-01-0590

Land Use : Condominium Lot Acres : 0.13

Total Value : $158,060 Sale Price  : $115,000

5039 E SOUTH REGENCY CIR Distance 0.01 Miles

Total Value : $500 Property Tax : $7.27 Land Use : Condominium Lot Acres : 0.20 Subdivision : Rosemont Regency Twnhms APN : 127-01-0660 Customer Name : Lisa Mrazek

Land Use : Condominium Lot Acres : 0.11 Stories : 1 Living Area : 1,572 Yr Blt / Eff Yr Blt : 1980 / APN : 127-01-0530 5046 E NORTH REGENCY CIR Distance 0.03 Miles

5040 E NORTH REGENCY CIR Distance 0.02 Miles

Bed / Bath : / 3 Property Tax : $1,668.94

Land Use : Condominium Lot Acres : 0.08

Total Value : $211,490 Sale Price  : $125,000 Bed / Bath : / 3 Property Tax : $2,249.74

Total Value : $170,261 Sale Price  : $215,000 Bed / Bath : / 3 Property Tax : $1,714.66

Customer Company Name : First American Title Insurance Company Prepared On : 09/07/2022 © 2022 CoreLogic. All rights reserved

Subdivision  : Rosemont Regency Twnhms

Owner Name : Carew Stephen W Subdivision : Rosemont Regency Twnhms Sale Date : 05/20/2020 Recording Date : 05/28/2020

Owner Name : Garcia Ricardo Subdivision : Rosemont Regency Twnhms Sale Date : 12/00/1984 Recording Date : 12/31/1984

Owner Name : Reiss Angelika D Subdivision : Rosemont Regency Twnhms Sale Date : 12/16/2002 Recording Date : 12/20/2002

Owner Name : Gardner Reyes D Subdivision : Rosemont Regency Twnhms Sale Date : 03/22/2017 Recording Date : 03/24/2017

5012 E NORTH REGENCY CIR Distance 0.04 Miles

Total Value : $208,778 Sale Price  : $215,000 Bed / Bath : / 4 Property Tax : $1,993.13

Owner Name : Martin Nancy Subdivision : Rosemont Regency Twnhms Sale Date : 07/23/2013 Recording Date : 07/25/2013

Customer Company Name : First American Title Insurance Company Prepared On : 09/07/2022 © 2022 CoreLogic. All rights reserved

Total Value : $158,860 Property Tax : $1,657.50 Bed / Bath : / 3 Lot Acres : 0.10

Total Value : $187,532 Sale Price  : $190,000 Bed / Bath : / 3 Property Tax : $1,996.14

Customer Name : Lisa Mrazek

5013 E SOUTH REGENCY CIR Distance 0.04 Miles

Land Use : Condominium Living Area : 1,443 Stories : 1 APN : 127-01-0610

5026 E SOUTH REGENCY CIR Distance 0.03 Miles

Land Use : Condominium Lot Acres : 0.08 Stories : 1 Living Area : 2,136 Yr Blt / Eff Yr Blt : 1980 / APN : 127-01-0480

Land Use : Condominium Lot Acres : 0.09 Stories : 1 Living Area : 1,572 Yr Blt / Eff Yr Blt : 1992 / APN : 127-01-0230

Yr Blt / Eff Yr Blt  : 1980 /

5057 E NORTH REGENCY CIR Distance 0.05 Miles

Customer Name : Lisa Mrazek

Owner Name : Eleff Annette Tr Subdivision : Rosemont Regency Twnhms Sale Date : 05/07/1990 Recording Date : 05/07/1990

Total Value : $211,673 Sale Price  : $115,000 Bed / Bath : / 4 Property Tax : $1,971.04

5007 E SOUTH REGENCY CIR Distance 0.04 Miles

Total Value : $216,271 Sale Price  : $225,000 Bed / Bath : / 4 Property Tax : $2,031.24

Stories : 1 Living Area : 2,136 Yr Blt / Eff Yr Blt : 1981 / APN : 127-01-0350

Customer Company Name : First American Title Insurance Company Prepared On : 09/07/2022 © 2022 CoreLogic. All rights reserved

Land Use : Condominium Lot Acres : 0.12

5068 E SOUTH REGENCY CIR Distance 0.05 Miles

Owner Name : Steele James M Subdivision : Rosemont Regency Twnhms Sale Date : 09/05/2017 Recording Date : 09/08/2017

Owner Name : Dillon Judy Subdivision : Rosemont Regency Twnhms Sale Date : 02/14/2017 Recording Date : 02/15/2017

Stories : 1 Living Area : 1,443 Yr Blt / Eff Yr Blt : 1981 / APN : 127-01-0300

Land Use : Condominium Lot Acres : 0.09

Total Value : $163,293 Sale Price  : $170,000 Bed / Bath : / 3 Property Tax : $1,713.67

Land Use : Condominium Lot Acres : 0.10 Stories : 1 Living Area : 2,136 Yr Blt / Eff Yr Blt : 1980 / APN : 127-01-0620

Census Tract / block: 33.04 / 3     Year: 2018 Household Population Population by Age Count: 3,259 0 - 11 Estimate Current Year: 3,331 12 - 17 Estimate in 5 Years: 3,633 18 - 24 12.21% Growth Last 5 Years: 0.52% 25 - 64 59.53% Growth Last 10 Years: -86.11% 65 - 74 6.9% 75+ Household Size Household Income

Current Year: 1,699 0 - $25,000 32.78%

Estimate in 5 Years: 1,660 $35,000 - $50,000 14.54% Growth Last 5 Years: 4.59% $50,000 - $75,000 19.89%

Unit Occupied Owner: 29.66% Above $500,000: 0% Median Mortgage: $848

Customer Name : Lisa Mrazek

Growth Last 10 Years: 2.98% $75,000 - $100,000 9.01% Male Population: 49.06% Above $100,000 16.19% Female Population: 50.94% Average Household Income: $38,884 Married People: 40.6% Unmarried People: 59.4% Housing Median Mortgage Payments Home Values Under $300: 1.19% Below $100,000: 3.37% $300 - $799: 30.16% $100,000 - $150,000: 9.33%

Customer Company Name : First American Title Insurance Company Prepared On : 09/07/2022 © 2022 CoreLogic. All rights reserved

Average Current Year: 1.91 $25,000 - $35,000 7.59%

$800 - $1,999: 64.09% $150,000 - $200,000: 41.27% Over $2,000: 4.56% $200,000 - $300,000: 40.08%

Median Home Value: $197,100 $300,000 - $500,000: 5.95%

Public Pre-Primary School: 0.53% Not Enrolled in School: 81.12%

reserved

Public School: 15.3% Graduate Of High School: 19.68%

Private Pre-Primary School: 0.62% Not A High School Graduate: 2.14%

Workforce Occupation: Manager/Prof: 47.57% Private Worker: 65.63% Technical: Government Worker: 21.5% Sales: 23.65% Self Employed Worker: 2.54% Administrative: Unpaid Family Worker: 6.32% Private House Hold: Farming: 6.38% Service: 17.21% Skilled: Protective Services: Blue-Collar: 11.57% Time Less Than 15 Min: 26.02% 15 min - 28 min: 56.91% 30 min - 57 min: 15.08% Over 60 min: 1.98% Customer Name : Lisa Mrazek

Rent Payments Year Built Unit Occupied Renter: 70.34% 1999 - 2000 Median Gross Rent: $746 1995 - 1998 Less Than $499 5.79% 1990 - 1994 $500 - $749 44.42% 1980 - 1989 16.36% $750 - $999 30.39% 1970 - 1979 28.01% $1000 and Over 19.4% 1900 - 1969 19.71% Education Enrollment

CoreLogic. All

Commute

Private School: 3.58% Attended Some College: 25.29% Public College: 8.21% College Graduate: 30.59% Private College: 1.61% Graduate Degree: 22.29%

Customer Company Name : First American Title Insurance Company Prepared On : 09/07/2022 2022 rights

©

Customer Name : Lisa Mrazek Customer Company Name : First American Title Insurance Company Prepared On : 09/07/2022 © 2022 CoreLogic. All rights reserved

Customer Name : Lisa Mrazek Customer Company Name : First American Title Insurance Company Prepared On : 09/07/2022 © 2022 CoreLogic. All rights reserved

Customer Name : Lisa Mrazek Customer Company Name : First American Title Insurance Company Prepared On : 09/07/2022 © 2022 CoreLogic. All rights reserved

+ FIRST AMERICAN TITLE, FC0, LMRA PIMA, AZ 09/07/2022  01:29PM  RL13  INVESTIGATIVE SEARCH RESULTS PAGE 1 OF 1 SEARCH PARAMETERS PARCEL:  127-01-0570 PARCEL: 127-01-0570 INSTRUMENT REC DATE OWNER: JONES LIVING TR     8601 89 08/15/1989  SITUS: 5035 E SOUTH REGENCY CI TUC  MAIL: ATTN: VIVIAN M JONES TR  5035 E SOUTH REGENCY CIR  TUCSON AZ 85711-3042  PLAT: LOT 00048 BLOCK LEGAL: ROSEMONT REGENCY (TOWNHOUSES) LOT 48  CURRENT TAXES INFORMATION THROUGH 07/28/2022 LAND IMPR EXEMPT RATE AREA SPECIAL DISTRICTS PRIMARY  15,529  0  0  11.6619  0150 SECONDARY  50  21,031  0  2.8778  2021 TOTAL TAX BILLED 1,998.57 2021  TAX AMT TAX DUE INTEREST DATE PAID TOTAL DUE FIRST HALF  999.29  0.00  0.00  10/23/2021  0.00  SECOND HALF  999.28  0.00  0.00  05/28/2022  0.00  TOTAL CURRENT TAXES DUE 09/22 0.00 10/22 0.00 IMPROVEMENTS BYPASS  BLDG SQFT  2,136 FULL CASH VALUE  210,811 YEAR BUILT  1980 LAND USE  07 40 NUMBER OF STORIES  4.0 LOT SIZE  1 STDLT STORIES HEIGHT  0 SCHOOL DISTRICT  0150 EXTERIOR WALLS  FRAME WOOD LAND FULL CASH VALUE  502 GRADE MATERIALS IMPR FULL CASH VALUE  210,309 SALES SALE DATE SALE AMOUNT INSTRUMENT TYPE SELLER NAME VALIDITY 03/04/1988 120,000    8236 289 JD KABBARA M F ADDITIONAL PROPERTY INFORMATION STANDARD LAND USE: CONDOMINIUM END SEARCH

Turn static files into dynamic content formats.

Create a flipbook
Issuu converts static files into: digital portfolios, online yearbooks, online catalogs, digital photo albums and more. Sign up and create your flipbook.
5035 E South Regency by FirstAmAZ - Issuu