4734 E Florian Cir, Mesa, AZ 85206

Page 1

4734E.FlorianCircleMesa,AZ85206

• If you receive an email containing wire transfer instructions, immediately call your escrow officer to ensure the validity of the instructions.

Client Date Client Date

The Federal Bureau of Investigation @ https://www.fbi.gov/scams and safety

PROTECT YOURSELF VERIFY AND NOTIFY

ONLINE RESOURCES: There are many online sources that can provide useful information regarding similar topics including, but not limited to, the following sites:

Immediately notify your banking institution and Settlement/Title Company if you are a victim of wire fraud.

• Never direct, accept or allow anyone in the transaction to consent to receiving transfer instructions without a direct personal telephone call to the individual allegedly providing the instructions.

The undersigned acknowledges receipt of this Wire Fraud Advisory.

The Internet Crime Complaint Center @ www.ic3.gov

The National White Collar Crime Center @ http://www.nw3c.org/research

Before you wire funds to any party (including your lawyer, title agent, mortgage broker, or real estate agent) personally meet them or call a verified telephone number (not the telephone number in the email) to confirm before you act!

DO NOT TRUST EMAILS SEEKING PERSONAL/FINANCIAL INFORMATION

DO NOT TRUST EMAILS CONTAINING WIRE INSTRUCTIONS

• If you receive an email requesting personal/financial information or asking you to download, click on a link, send, and/or do anything that may seem unusual to you, call your escrow officer immediately prior to acting on the suspicious email to verify the validity of the email.

On Guard Online @ www.onguardonline.gov

WIRE FRAUD ADVISORY

• It is imperative that this call be made to a number obtained in person from the individual or through other reliable means, not from a number provided in the email or the wiring instructions

Criminals are targeting social media and email to steal information. This is particularly common in real estate transactions because sensitive data, including social security numbers, bank account numbers, and wire instructions are often sent by electronic means. We do not want you to be the next victim of wire fraud. Money wired to a fraudulent account is stolen money that typically cannot be recovered. Additionally, there is generally no insurance for this loss. You may never get the money back.

TRUST YOUR SOURCE OF INFORMATION

IMPORTANT -- PLEASE READ CAREFULLY: This report is not an insured product or service or a representation of the condition of title to real property. It is not an abst ract, legal opinion, opinion of title, title insurance commitment or preliminary report, or any form of Title Insurance or Guaranty. This report is issued exclusively for the benefit of the Applicant therefor and may not be used or relied upon by any other person. This report may not be reproduced in any manner without First American or Title Security's prior written consent. First American or Title Security does not represent or warrant that the information herein is complete or free from error, and the information herein is provided without any warranties of any kind, as-is, and with all faults. As a material part of the consideration given in exchange for the issuance of this report, recipient agrees that First American or Title Security's sole liability for any loss or damage caused by an error or omission due to inaccurate information or negligence in preparing this report shall be limited to the fee charged for the report. Recipient accepts this report with this limitation and agrees that First American or Title Security would not have issued this report but for the limitation of liability described above. First American or Title Security makes no representation or warranty as to the legality or propriety of recipient's use of the information herein.

LIMITATION OF LIABILITY FOR INFORMATIONAL REPORTS

MARICOPA, AZ Document:PLAT_MAP 206.19 Page:1 of 2 Printed on:8/11/2022 4:54 PM Branch :FC0 User :JSTI

MARICOPA, AZ Document:PLAT_MAP 206.19 Page:2 of 2 Printed on:8/11/2022 4:54 PM Branch :FC0 User :JSTI

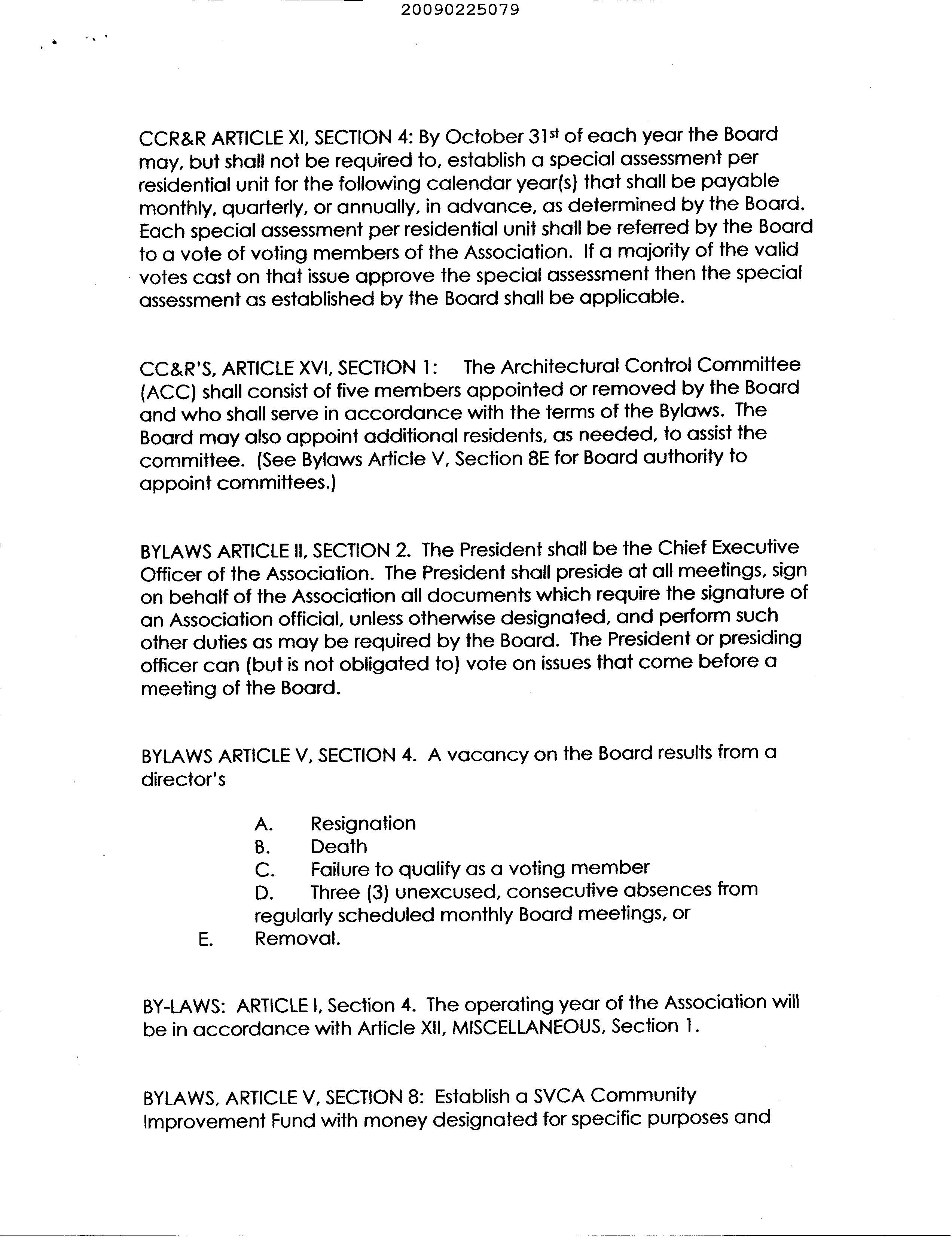
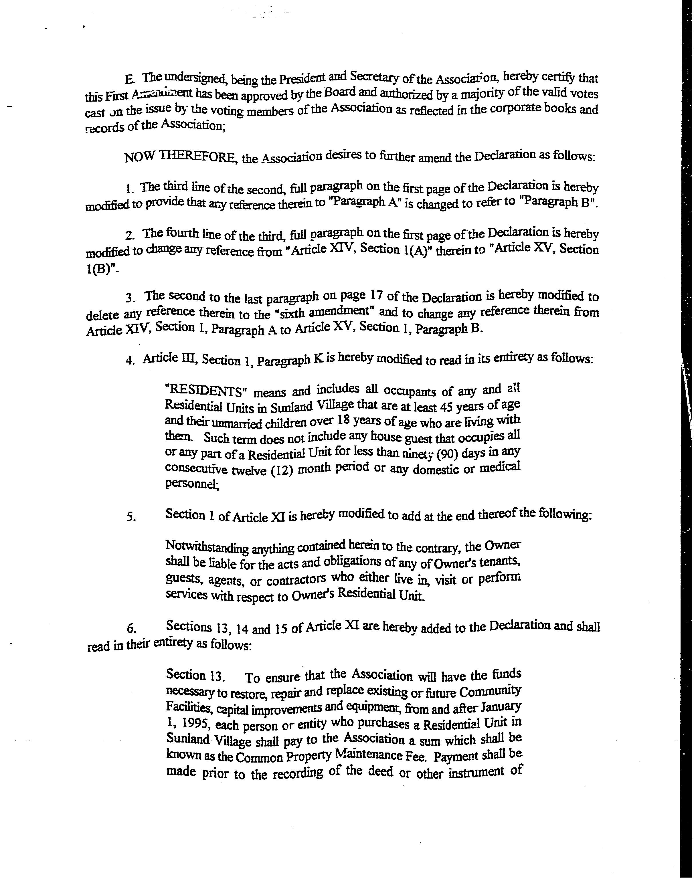
MARICOPA, AZ Document:RES AMD 2009.225079 Page:1 of 3 Printed on:8/11/2022 4:55 PM Branch :FC0 User :JSTI

MARICOPA, AZ Document:RES AMD 2009.225079 Page:2 of 3 Printed on:8/11/2022 4:55 PM Branch :FC0 User :JSTI

MARICOPA, AZ Document:RES AMD 2009.225079 Page:3 of 3 Printed on:8/11/2022 4:55 PM Branch :FC0 User :JSTI

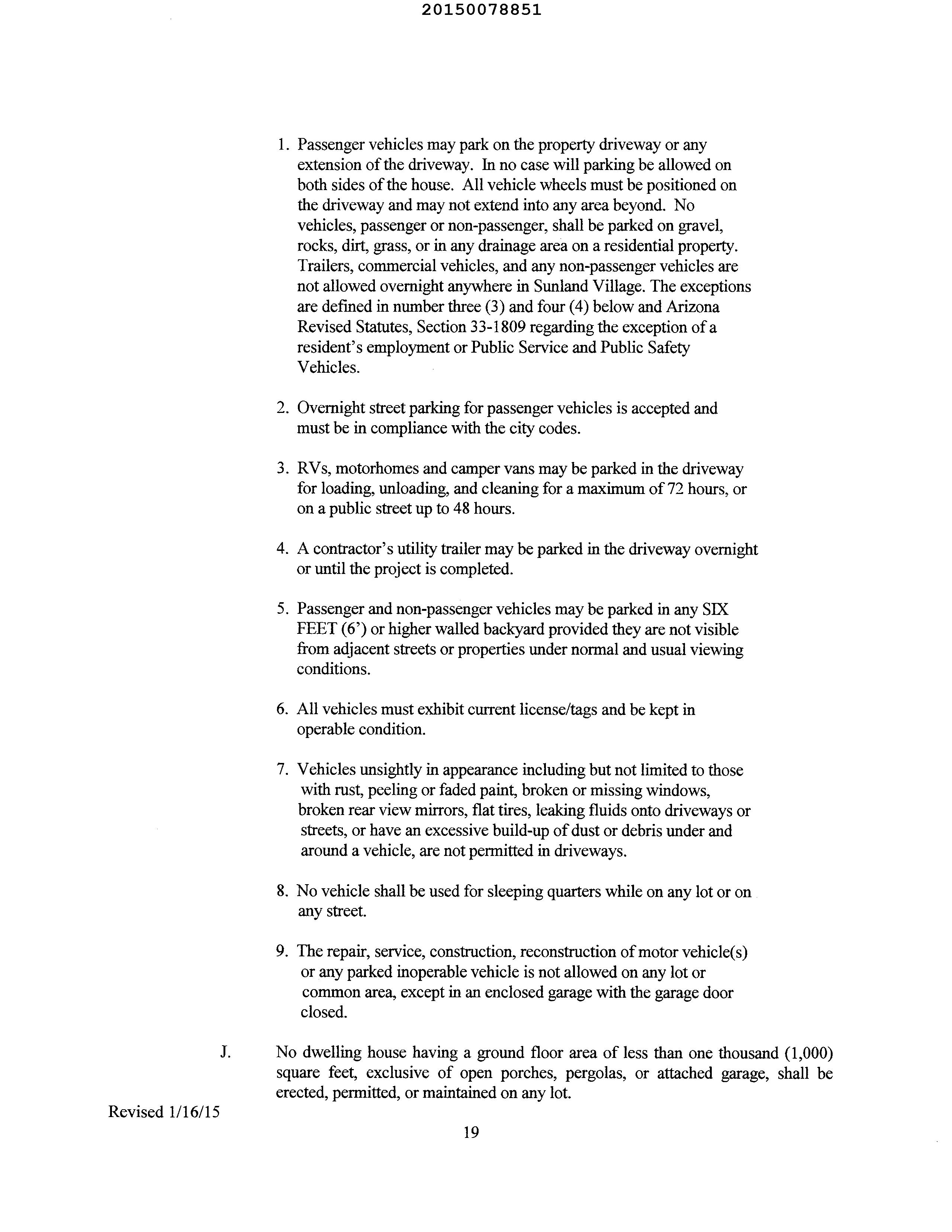
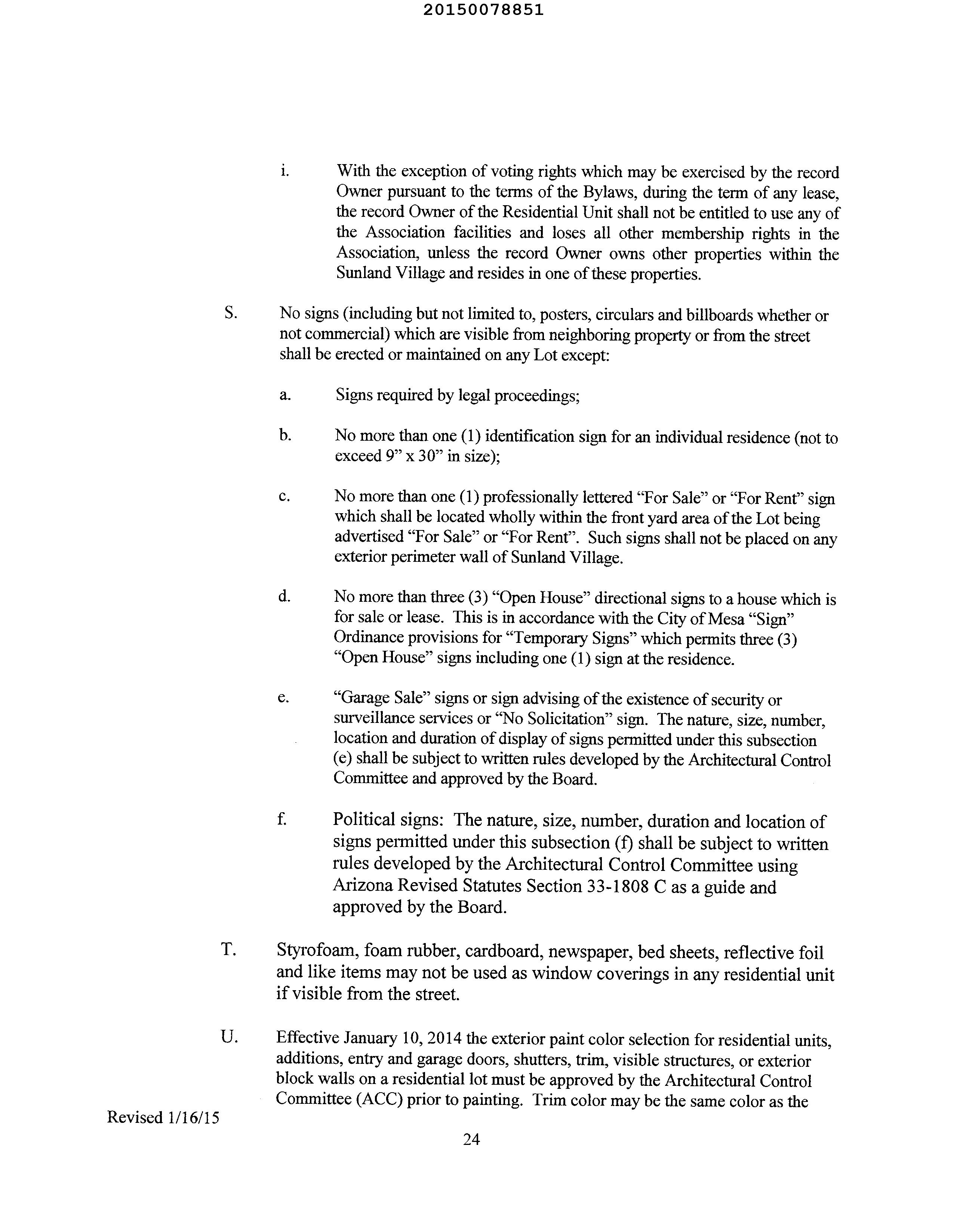
MARICOPA, AZ Document:RES AMD 2015.78851 Page:1 of 53 Printed on:8/11/2022 4:55 PM Branch :FC0 User :JSTI

MARICOPA, AZ Document:RES AMD 2015.78851 Page:2 of 53 Printed on:8/11/2022 4:55 PM Branch :FC0 User :JSTI

MARICOPA, AZ Document:RES AMD 2015.78851 Page:3 of 53 Printed on:8/11/2022 4:55 PM Branch :FC0 User :JSTI

MARICOPA, AZ Document:RES AMD 2015.78851 Page:4 of 53 Printed on:8/11/2022 4:55 PM Branch :FC0 User :JSTI

MARICOPA, AZ Document:RES AMD 2015.78851 Page:5 of 53 Printed on:8/11/2022 4:55 PM Branch :FC0 User :JSTI

MARICOPA, AZ Document:RES AMD 2015.78851 Page:6 of 53 Printed on:8/11/2022 4:55 PM Branch :FC0 User :JSTI

MARICOPA, AZ Document:RES AMD 2015.78851 Page:7 of 53 Printed on:8/11/2022 4:55 PM Branch :FC0 User :JSTI

MARICOPA, AZ Document:RES AMD 2015.78851 Page:8 of 53 Printed on:8/11/2022 4:55 PM Branch :FC0 User :JSTI

MARICOPA, AZ Document:RES AMD 2015.78851 Page:9 of 53 Printed on:8/11/2022 4:55 PM Branch :FC0 User :JSTI

MARICOPA, AZ Document:RES AMD 2015.78851 Page:10 of 53 Printed on:8/11/2022 4:55 PM Branch :FC0 User :JSTI

MARICOPA, AZ Document:RES AMD 2015.78851 Page:11 of 53 Printed on:8/11/2022 4:55 PM Branch :FC0 User :JSTI

MARICOPA, AZ Document:RES AMD 2015.78851 Page:12 of 53 Printed on:8/11/2022 4:55 PM Branch :FC0 User :JSTI

MARICOPA, AZ Document:RES AMD 2015.78851 Page:13 of 53 Printed on:8/11/2022 4:55 PM Branch :FC0 User :JSTI

MARICOPA, AZ Document:RES AMD 2015.78851 Page:14 of 53 Printed on:8/11/2022 4:55 PM Branch :FC0 User :JSTI

MARICOPA, AZ Document:RES AMD 2015.78851 Page:15 of 53 Printed on:8/11/2022 4:55 PM Branch :FC0 User :JSTI

MARICOPA, AZ Document:RES AMD 2015.78851 Page:16 of 53 Printed on:8/11/2022 4:55 PM Branch :FC0 User :JSTI

MARICOPA, AZ Document:RES AMD 2015.78851 Page:17 of 53 Printed on:8/11/2022 4:55 PM Branch :FC0 User :JSTI

MARICOPA, AZ Document:RES AMD 2015.78851 Page:18 of 53 Printed on:8/11/2022 4:55 PM Branch :FC0 User :JSTI

MARICOPA, AZ Document:RES AMD 2015.78851 Page:19 of 53 Printed on:8/11/2022 4:55 PM Branch :FC0 User :JSTI

MARICOPA, AZ Document:RES AMD 2015.78851 Page:20 of 53 Printed on:8/11/2022 4:55 PM Branch :FC0 User :JSTI

MARICOPA, AZ Document:RES AMD 2015.78851 Page:21 of 53 Printed on:8/11/2022 4:55 PM Branch :FC0 User :JSTI

MARICOPA, AZ Document:RES AMD 2015.78851 Page:22 of 53 Printed on:8/11/2022 4:55 PM Branch :FC0 User :JSTI

MARICOPA, AZ Document:RES AMD 2015.78851 Page:23 of 53 Printed on:8/11/2022 4:55 PM Branch :FC0 User :JSTI

MARICOPA, AZ Document:RES AMD 2015.78851 Page:24 of 53 Printed on:8/11/2022 4:55 PM Branch :FC0 User :JSTI

MARICOPA, AZ Document:RES AMD 2015.78851 Page:25 of 53 Printed on:8/11/2022 4:55 PM Branch :FC0 User :JSTI

MARICOPA, AZ Document:RES AMD 2015.78851 Page:26 of 53 Printed on:8/11/2022 4:55 PM Branch :FC0 User :JSTI

MARICOPA, AZ Document:RES AMD 2015.78851 Page:27 of 53 Printed on:8/11/2022 4:55 PM Branch :FC0 User :JSTI

MARICOPA, AZ Document:RES AMD 2015.78851 Page:28 of 53 Printed on:8/11/2022 4:55 PM Branch :FC0 User :JSTI

MARICOPA, AZ Document:RES AMD 2015.78851 Page:29 of 53 Printed on:8/11/2022 4:55 PM Branch :FC0 User :JSTI

MARICOPA, AZ Document:RES AMD 2015.78851 Page:30 of 53 Printed on:8/11/2022 4:55 PM Branch :FC0 User :JSTI

MARICOPA, AZ Document:RES AMD 2015.78851 Page:31 of 53 Printed on:8/11/2022 4:55 PM Branch :FC0 User :JSTI

MARICOPA, AZ Document:RES AMD 2015.78851 Page:32 of 53 Printed on:8/11/2022 4:55 PM Branch :FC0 User :JSTI

MARICOPA, AZ Document:RES AMD 2015.78851 Page:33 of 53 Printed on:8/11/2022 4:55 PM Branch :FC0 User :JSTI

MARICOPA, AZ Document:RES AMD 2015.78851 Page:34 of 53 Printed on:8/11/2022 4:55 PM Branch :FC0 User :JSTI

MARICOPA, AZ Document:RES AMD 2015.78851 Page:35 of 53 Printed on:8/11/2022 4:55 PM Branch :FC0 User :JSTI

MARICOPA, AZ Document:RES AMD 2015.78851 Page:36 of 53 Printed on:8/11/2022 4:55 PM Branch :FC0 User :JSTI

MARICOPA, AZ Document:RES AMD 2015.78851 Page:37 of 53 Printed on:8/11/2022 4:55 PM Branch :FC0 User :JSTI

MARICOPA, AZ Document:RES AMD 2015.78851 Page:38 of 53 Printed on:8/11/2022 4:55 PM Branch :FC0 User :JSTI

MARICOPA, AZ Document:RES AMD 2015.78851 Page:39 of 53 Printed on:8/11/2022 4:55 PM Branch :FC0 User :JSTI

MARICOPA, AZ Document:RES AMD 2015.78851 Page:40 of 53 Printed on:8/11/2022 4:55 PM Branch :FC0 User :JSTI

MARICOPA, AZ Document:RES AMD 2015.78851 Page:41 of 53 Printed on:8/11/2022 4:55 PM Branch :FC0 User :JSTI

MARICOPA, AZ Document:RES AMD 2015.78851 Page:42 of 53 Printed on:8/11/2022 4:55 PM Branch :FC0 User :JSTI

MARICOPA, AZ Document:RES AMD 2015.78851 Page:43 of 53 Printed on:8/11/2022 4:55 PM Branch :FC0 User :JSTI

MARICOPA, AZ Document:RES AMD 2015.78851 Page:44 of 53 Printed on:8/11/2022 4:55 PM Branch :FC0 User :JSTI

MARICOPA, AZ Document:RES AMD 2015.78851 Page:45 of 53 Printed on:8/11/2022 4:55 PM Branch :FC0 User :JSTI

MARICOPA, AZ Document:RES AMD 2015.78851 Page:46 of 53 Printed on:8/11/2022 4:55 PM Branch :FC0 User :JSTI

MARICOPA, AZ Document:RES AMD 2015.78851 Page:47 of 53 Printed on:8/11/2022 4:55 PM Branch :FC0 User :JSTI

MARICOPA, AZ Document:RES AMD 2015.78851 Page:48 of 53 Printed on:8/11/2022 4:55 PM Branch :FC0 User :JSTI

MARICOPA, AZ Document:RES AMD 2015.78851 Page:49 of 53 Printed on:8/11/2022 4:55 PM Branch :FC0 User :JSTI

MARICOPA, AZ Document:RES AMD 2015.78851 Page:50 of 53 Printed on:8/11/2022 4:55 PM Branch :FC0 User :JSTI

MARICOPA, AZ Document:RES AMD 2015.78851 Page:51 of 53 Printed on:8/11/2022 4:55 PM Branch :FC0 User :JSTI

MARICOPA, AZ Document:RES AMD 2015.78851 Page:52 of 53 Printed on:8/11/2022 4:55 PM Branch :FC0 User :JSTI

MARICOPA, AZ Document:RES AMD 2015.78851 Page:53 of 53 Printed on:8/11/2022 4:55 PM Branch :FC0 User :JSTI

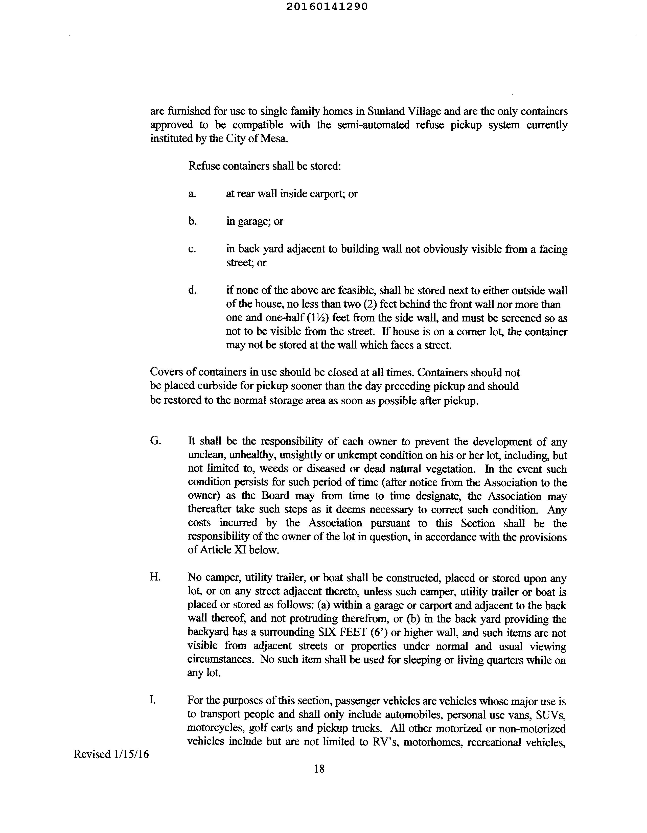
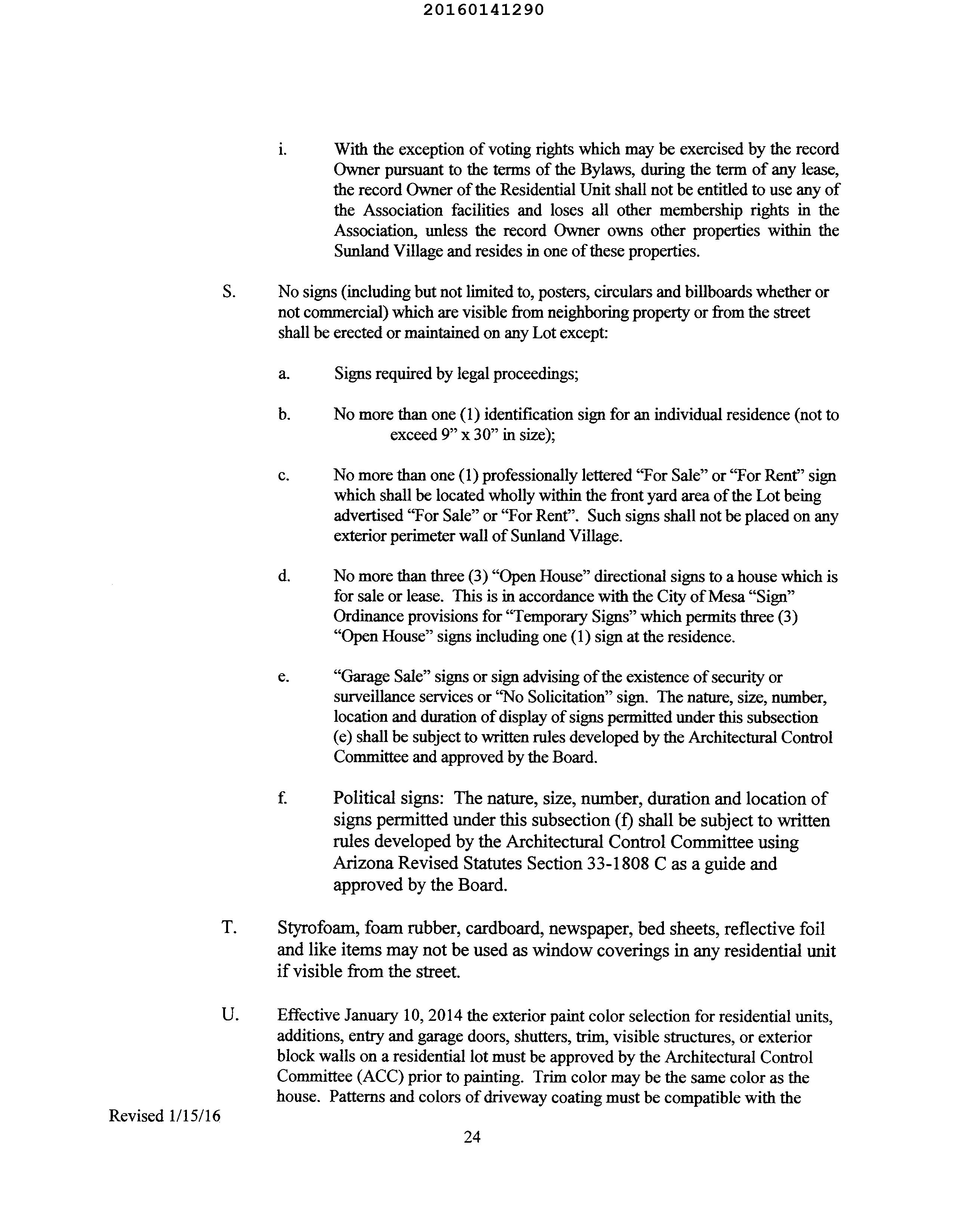
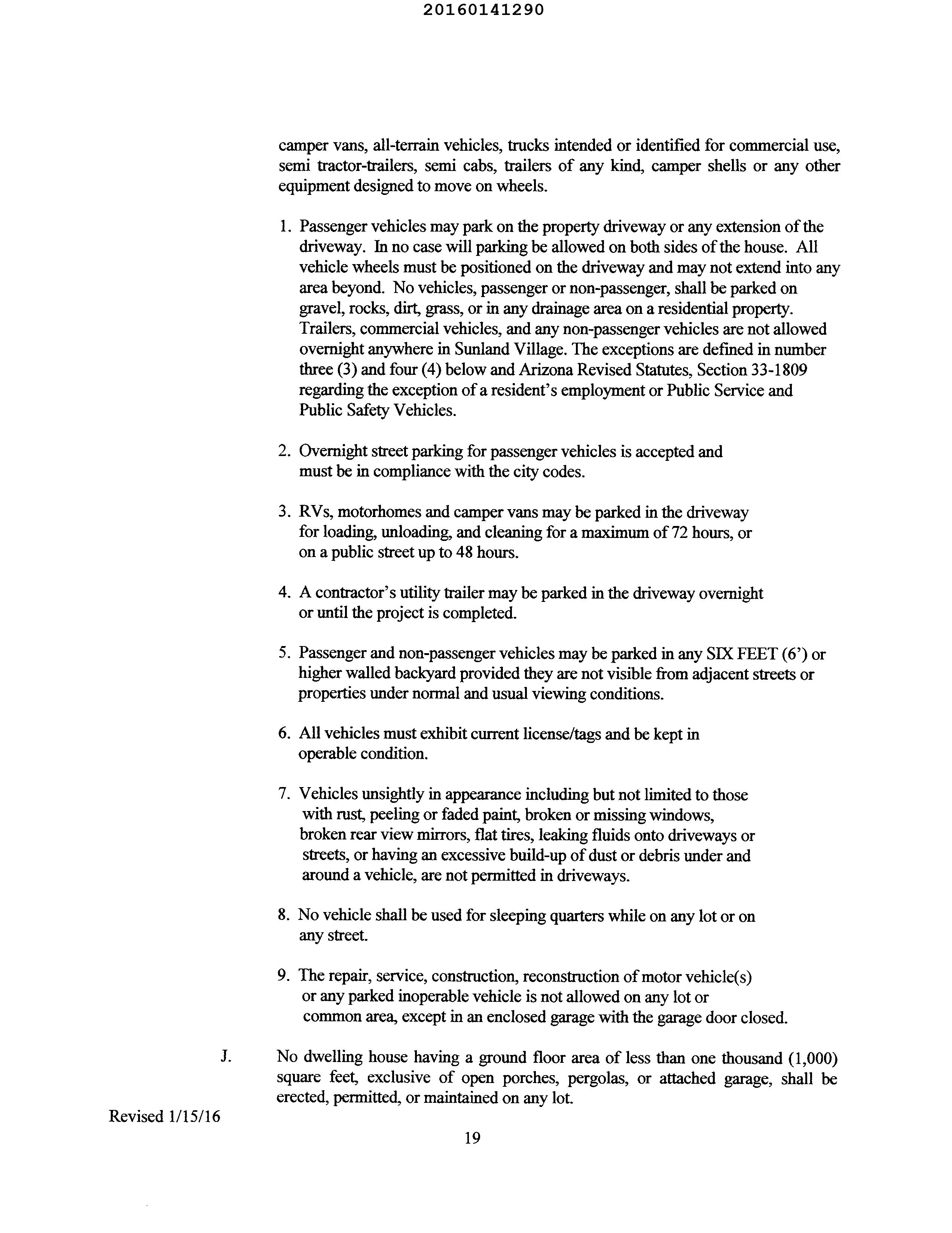
MARICOPA, AZ Document:RES AMD 2016.141290 Page:1 of 26 Printed on:8/11/2022 4:55 PM Branch :FC0 User :JSTI

MARICOPA, AZ Document:RES AMD 2016.141290 Page:2 of 26 Printed on:8/11/2022 4:55 PM Branch :FC0 User :JSTI

MARICOPA, AZ Document:RES AMD 2016.141290 Page:3 of 26 Printed on:8/11/2022 4:55 PM Branch :FC0 User :JSTI

MARICOPA, AZ Document:RES AMD 2016.141290 Page:4 of 26 Printed on:8/11/2022 4:55 PM Branch :FC0 User :JSTI

MARICOPA, AZ Document:RES AMD 2016.141290 Page:5 of 26 Printed on:8/11/2022 4:55 PM Branch :FC0 User :JSTI

MARICOPA, AZ Document:RES AMD 2016.141290 Page:6 of 26 Printed on:8/11/2022 4:55 PM Branch :FC0 User :JSTI

MARICOPA, AZ Document:RES AMD 2016.141290 Page:7 of 26 Printed on:8/11/2022 4:55 PM Branch :FC0 User :JSTI

MARICOPA, AZ Document:RES AMD 2016.141290 Page:8 of 26 Printed on:8/11/2022 4:55 PM Branch :FC0 User :JSTI

MARICOPA, AZ Document:RES AMD 2016.141290 Page:9 of 26 Printed on:8/11/2022 4:55 PM Branch :FC0 User :JSTI

MARICOPA, AZ Document:RES AMD 2016.141290 Page:10 of 26 Printed on:8/11/2022 4:55 PM Branch :FC0 User :JSTI

MARICOPA, AZ Document:RES AMD 2016.141290 Page:11 of 26 Printed on:8/11/2022 4:55 PM Branch :FC0 User :JSTI

MARICOPA, AZ Document:RES AMD 2016.141290 Page:12 of 26 Printed on:8/11/2022 4:55 PM Branch :FC0 User :JSTI

MARICOPA, AZ Document:RES AMD 2016.141290 Page:13 of 26 Printed on:8/11/2022 4:55 PM Branch :FC0 User :JSTI

MARICOPA, AZ Document:RES AMD 2016.141290 Page:14 of 26 Printed on:8/11/2022 4:55 PM Branch :FC0 User :JSTI

MARICOPA, AZ Document:RES AMD 2016.141290 Page:15 of 26 Printed on:8/11/2022 4:55 PM Branch :FC0 User :JSTI

MARICOPA, AZ Document:RES AMD 2016.141290 Page:16 of 26 Printed on:8/11/2022 4:55 PM Branch :FC0 User :JSTI

MARICOPA, AZ Document:RES AMD 2016.141290 Page:17 of 26 Printed on:8/11/2022 4:55 PM Branch :FC0 User :JSTI

MARICOPA, AZ Document:RES AMD 2016.141290 Page:18 of 26 Printed on:8/11/2022 4:55 PM Branch :FC0 User :JSTI

MARICOPA, AZ Document:RES AMD 2016.141290 Page:19 of 26 Printed on:8/11/2022 4:55 PM Branch :FC0 User :JSTI

MARICOPA, AZ Document:RES AMD 2016.141290 Page:20 of 26 Printed on:8/11/2022 4:55 PM Branch :FC0 User :JSTI

MARICOPA, AZ Document:RES AMD 2016.141290 Page:21 of 26 Printed on:8/11/2022 4:55 PM Branch :FC0 User :JSTI

MARICOPA, AZ Document:RES AMD 2016.141290 Page:22 of 26 Printed on:8/11/2022 4:55 PM Branch :FC0 User :JSTI

MARICOPA, AZ Document:RES AMD 2016.141290 Page:23 of 26 Printed on:8/11/2022 4:55 PM Branch :FC0 User :JSTI

MARICOPA, AZ Document:RES AMD 2016.141290 Page:24 of 26 Printed on:8/11/2022 4:55 PM Branch :FC0 User :JSTI

MARICOPA, AZ Document:RES AMD 2016.141290 Page:25 of 26 Printed on:8/11/2022 4:55 PM Branch :FC0 User :JSTI

MARICOPA, AZ Document:RES AMD 2016.141290 Page:26 of 26 Printed on:8/11/2022 4:55 PM Branch :FC0 User :JSTI

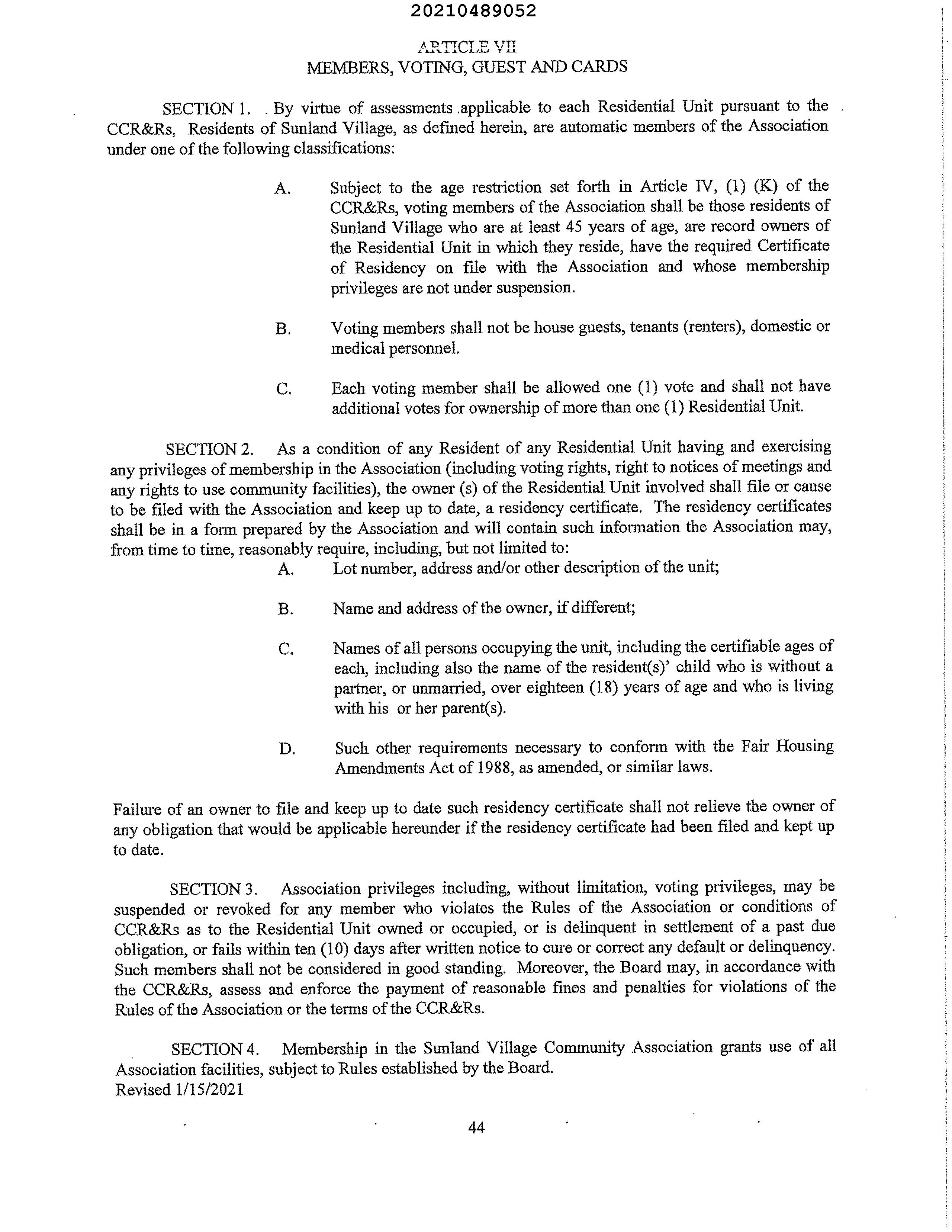
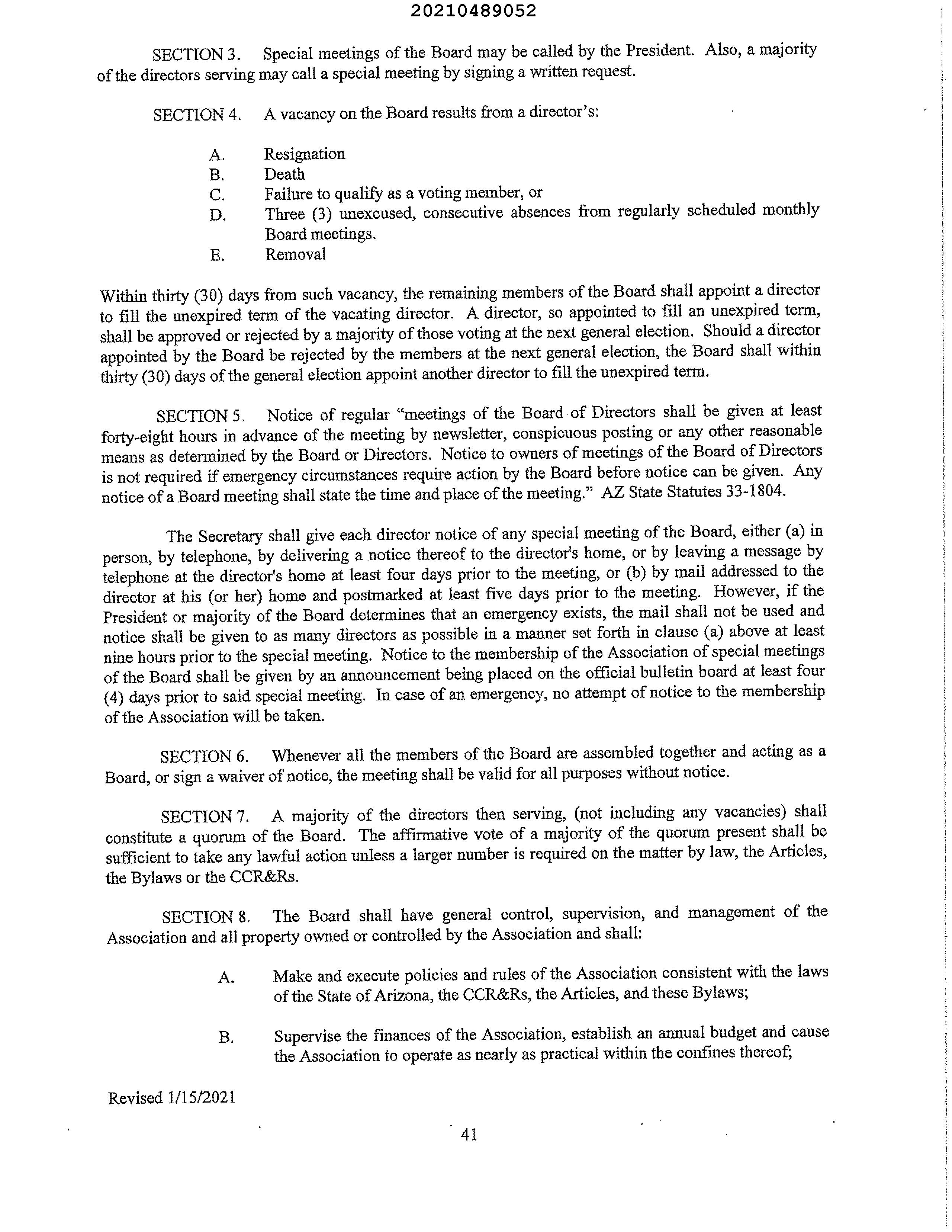
MARICOPA, AZ Document:BYL 2021.489052 Page:1 of 17 Printed on:8/11/2022 4:55 PM Branch :FC0 User :JSTI

MARICOPA, AZ Document:BYL 2021.489052 Page:2 of 17 Printed on:8/11/2022 4:55 PM Branch :FC0 User :JSTI

MARICOPA, AZ Document:BYL 2021.489052 Page:3 of 17 Printed on:8/11/2022 4:55 PM Branch :FC0 User :JSTI

MARICOPA, AZ Document:BYL 2021.489052 Page:4 of 17 Printed on:8/11/2022 4:55 PM Branch :FC0 User :JSTI

MARICOPA, AZ Document:BYL 2021.489052 Page:5 of 17 Printed on:8/11/2022 4:55 PM Branch :FC0 User :JSTI

MARICOPA, AZ Document:BYL 2021.489052 Page:6 of 17 Printed on:8/11/2022 4:55 PM Branch :FC0 User :JSTI

MARICOPA, AZ Document:BYL 2021.489052 Page:7 of 17 Printed on:8/11/2022 4:55 PM Branch :FC0 User :JSTI

MARICOPA, AZ Document:BYL 2021.489052 Page:8 of 17 Printed on:8/11/2022 4:55 PM Branch :FC0 User :JSTI

MARICOPA, AZ Document:BYL 2021.489052 Page:9 of 17 Printed on:8/11/2022 4:55 PM Branch :FC0 User :JSTI

MARICOPA, AZ Document:BYL 2021.489052 Page:10 of 17 Printed on:8/11/2022 4:55 PM Branch :FC0 User :JSTI

MARICOPA, AZ Document:BYL 2021.489052 Page:11 of 17 Printed on:8/11/2022 4:55 PM Branch :FC0 User :JSTI

MARICOPA, AZ Document:BYL 2021.489052 Page:12 of 17 Printed on:8/11/2022 4:55 PM Branch :FC0 User :JSTI

MARICOPA, AZ Document:BYL 2021.489052 Page:13 of 17 Printed on:8/11/2022 4:55 PM Branch :FC0 User :JSTI

MARICOPA, AZ Document:BYL 2021.489052 Page:14 of 17 Printed on:8/11/2022 4:55 PM Branch :FC0 User :JSTI

MARICOPA, AZ Document:BYL 2021.489052 Page:15 of 17 Printed on:8/11/2022 4:55 PM Branch :FC0 User :JSTI

MARICOPA, AZ Document:BYL 2021.489052 Page:16 of 17 Printed on:8/11/2022 4:55 PM Branch :FC0 User :JSTI

MARICOPA, AZ Document:BYL 2021.489052 Page:17 of 17 Printed on:8/11/2022 4:55 PM Branch :FC0 User :JSTI

Turn static files into dynamic content formats.

Create a flipbook
Issuu converts static files into: digital portfolios, online yearbooks, online catalogs, digital photo albums and more. Sign up and create your flipbook.
4734 E Florian Cir, Mesa, AZ 85206 by FirstAmAZ - Issuu