4135 W Sleeping Shadow Pl, Marana, AZ 85658

Page 1

LIMITATION OF LIABILITY FOR INFORMATIONAL REPORTS

IMPORTANT -- PLEASE READ CAREFULLY:

This report is not an insured product or service or a representation of the condition of title to real property. It is not an abst ract, legal opinion, opinion of title, title insurance commitment or preliminary report, or any form of Title Insurance or Guaranty. This report is issued exclusively for the benefit of the Applicant therefor and may not be used or relied upon by any other person. This report may not be reproduced in any manner without First American or Title Security's prior written consent. First American or Title Security does not represent or warrant that the information herein is complete or free from error, and the information herein is provided without any warranties of any kind, as-is, and with all faults. As a material part of the consideration given in exchange for the issuance of this report, recipient agrees that First American or Title Security's sole liability for any loss or damage caused by an error or omission due to inaccurate information or negligence in preparing this report shall be limited to the fee charged for the report. Recipient accepts this report with this limitation and agrees that First American or Title Security would not have issued this report but for the limitation of liability described above. First American or Title Security makes no representation or warranty as to the legality or propriety of recipient's use of the information herein.

Subject Property

Data Provided By: First American Title Ins Co

4135 W Sleeping Shadow Pl Marana AZ 85658 APN: 219-36-0590
© 2022 CoreLogic. All rights reserved

Data Provided By:

First American Title Ins Co

Disclaimer

This REiSource report is provided "as is" without warranty of any kind, either express or implied, including without limitations any warrantees of merchantability or fitness for a particular purpose. There is no representation of warranty that this information is complete or free from error, and the provider does not assume, and expressly disclaims, any liability to any person or entity for loss or damage caused by errors or omissions in this REiSource report without a title insurance policy.

The information contained in the REiSource report is delivered from your Title Company, who reminds you that you have the right as a consumer to compare fees and serviced levels for Title, Escrow, and all other services associated with property ownership, and to select providers accordingly. Your home is the largest investment you will make in your lifetime and you should demand the very best.

© 2022 CoreLogic. All rights reserved

Subject Property :   4135 W Sleeping Shadow Pl Marana AZ 85658

Owner Information

Owner Name : Seavey

Mailing Address : 4135 W Sleeping Shadow Pl, Marana AZ 85658-4855 H016

Vesting Codes : / / Living Trust

Owner Occupied Indicator : O

Location Information

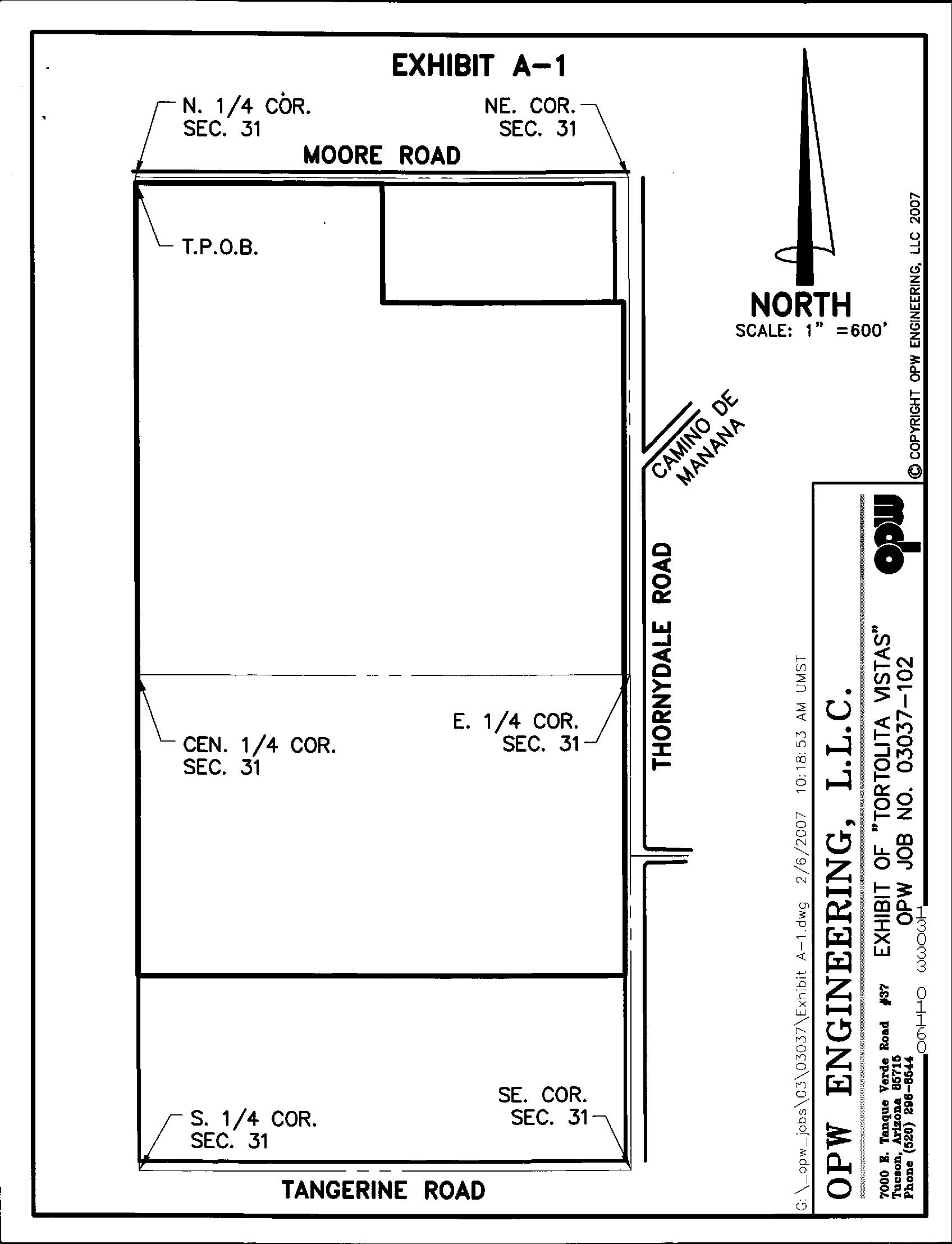
Legal Description : Tortolita Vistas Lot 117

County : Pima, Az

Census Tract / Block : 46.50 / 5

Township-Range- Sect : 11S-13E-31

Legal Book/Page : 62-44

Legal Lot : 117

Market Area : 420

Owner Transfer Information

Recording/Sale Date : 09/15/2015 / 09/04/2015

Document # : 2580417

Last Market Sale Information

Recording/Sale Date : 11/15/2013 / 03/28/2013

Sale Price : $487,928

Document # : 3190301

APN : 219-36-0590

Subdivision : Tortolita Vistas

Map Reference : 31-11S-13E

School District : Marana

Munic/Township : Marana

Deed Type : Special Warranty Deed

1st Mtg Amount/Type : $390,300 / Cnv

1st Mtg Document # : 3190302

1st Mtg Term : 30

Deed Type : Special Warranty Deed Price Per SqFt : $170.13

Title Company : First American Title Insurance

Lender : Interbank Mtg

Seller Name : Scotia Jv 2005 Llp

Prior Sale Information

Prior Rec/Sale Date : 11/16/2012 / 11/15/2012

Prior Sale Price : $758,800

Prior Doc Number : 3210572

Prior Deed Type : Special Warranty Deed

Prior 1st Mtg Amt/Type : $200,000 / Private Party

Customer Name : Jeremiah Stiffler

Customer Company Name : First American Prepared On : 09/28/2022

© 2022 CoreLogic. All rights reserved

Property Characteristics

Gross Area : 2,868

Garage Capacity : 3

Living Area : 2,868 Roof Material : Tile

Total Rooms : 9

Year Built / Eff : 2013

Patio Type : Covered Patio

Air Cond : Refrigeration

Heat Type : Forced Air Quality : Fair

Cooling Type : Forced Air Condition : Excellent

# of Stories : 1 Exterior wall : Frame Wood Bath Fixtures : 10

Parking Type : Garage

Property Information

Land Use : Sfr

County Use : Single Fam Resurban Subd

Tax Information

Total Value : $441,922

Total Taxable Value : $41,875

Zoning : F

Lot Acres : 0.90

Property Tax : $6,151.45

Lot Size : 39,142

State Use : Single Fam Resurban Subd

Current Year Total Value : $57,030

Tax Rate Area : 0612 Current Year Improvement Value : $56,980

Assessed Year : 2021 Market Value : $441,922

Tax Year : 2021 Current Assessed Year : 2023

Current Year Land Value : $50

Customer Name : Jeremiah Stiffler

Customer Company Name : First American Prepared On : 09/28/2022

© 2022 CoreLogic. All rights reserved

Sales Analysis

Criteria

Subject

Sale Price $487,928 $55,000 $1,000,000 $711,600

Bldg/Living Area 2868 2454 3181 2827

Price Per Square Foot $170.13 $22 $351 $249.10

Year Built 2013 2002 2016 2011

Size 39,142 7,235 191,533 31,561

3 5 4

2

Total Assessed Value $441,922 $292,745 $593,040 $412,723

Distance From Subject 0 0.04 0.92 0.66

Summary

#

S 4135 W Sleeping Shadow Pl 487,928 441,922 11/15/2013 4 2,868 39,142 2013 F

1 12655 N Distant Wash Dr 975,000 541,185 07/14/2022 4 2,813 32,830 2014 0.04 F

2 12735 N Distant Wash Dr 990,000 552,044 06/15/2022 5 3,132 32,469 2014 0.09 F

3 4353 W Majestic Saguaro Ln 1,000,000 507,560 08/15/2022 4 2,845 155,074 2004 0.26 R-144

4 4488 W Butterfly Mountain Dr 939,000 593,040 04/08/2022 4 2,892 191,533 2016 0.6 R-144

5 4065 W Tin Cart Trl 949,000 550,676 10/06/2021 4 2,823 32,936 2015 0.61 F

6 12230 N Durham Wash Dr 955,000 557,766 11/18/2021 4 3,108 36,342 2015 0.61 F

7 4025 W Tin Cart Trl 935,000 512,983 02/15/2022 4 2,831 32,913 2016 0.62 F

8 12345 N Wing Shadow Ln 655,000 319,581 04/29/2022 3 2,652 7,935 2010 0.63 F

9 12599 N Sunrise Shadow Dr 720,000 405,477 05/24/2022 4 2,958 8,798 2012 0.69 F

10 12467 N Sunrise Shadow Dr 690,000 379,163 05/26/2022 4 2,958 8,319 2013 0.72 F

Customer Name : Jeremiah Stiffler

Customer Company Name : First American Prepared On : 09/28/2022

Property Low High Average
Lot
Bedrooms Bathrooms 4
Stories 1 1
1
of Comparables
Address Sale Price Total Assessed Value Sale Date Bed Bath Living Area Lot Size Year Built Dist (Miles) Zoning
© 2022 CoreLogic. All rights reserved

11 12441 N Wind Runner Pkwy

557,000 395,820 11/17/2021 4 2,702 8,524 2013 0.74 F

12 3651 W Richmond Vista Dr 500,000 294,922 07/29/2022 4 2,488 7,613 2013 0.77 F

13 12426 N Wind Runner Pkwy 640,000 333,933 06/02/2022 5 3,069 10,399 2013 0.77 F

14 12314 N Wind Runner Pkwy 670,000 344,804 02/10/2022 4 3,181 8,314 2014 0.8 F

15 12380 N Pathfinder Dr 485,000 292,745 02/14/2022 4 2,491 8,190 2011 0.84 F

16 12481 N Golden Mirror Dr 730,000 383,099 06/14/2022 4 3,089 9,170 2012 0.87 F

17 12987 N Ocotillo Bluff Pl 660,000 353,704 12/15/2021 4 2,760 11,847 2004 0.88 F

18 4713 W Cholla Bluff Dr 558,000 321,174 11/22/2021 3 2,537 7,235 2002 0.89 F

19 12347 N Feather Song Ave 569,000 310,566 08/15/2022 4 2,750 8,610 2008 0.9 F 4757 W Cactus Bluff Dr 55,000 304,215 11/19/2021 3 2,454 12,166 2005 0.92 F

Distressed Sales =

Customer Name : Jeremiah Stiffler

Customer Company Name : First American Prepared On : 09/28/2022

© 2022 CoreLogic. All rights reserved

Customer Name : Jeremiah Stiffler

Customer Company Name : First American Prepared On : 09/28/2022

Map
© 2022 CoreLogic. All rights reserved

Details of Comparables

Subject Property: 4135 W Sleeping Shadow Pl Marana Az 85658

Owner Name: Seavey /

APN / Alternate APN: 219-36-0590 / Deed Type: Special Warranty Deed Land Use: Sfr

Subdivision / Tract: Tortolita Vistas / Lot Size: 39,142

Rec. Date / Price: 11/15/2013 / $487,928 Living Area: 2,868

Year Built / Eff: 2013 /

# of units:

Document #: 3190301 Bedrooms: Pool:

Total Tax Value: $441,922 Bath(F/H): /

#1   12655 N Distant Wash Dr Marana Az 85658

Owner Name: Ly Nhi /

APN / Alternate APN: 219-36-0400 / Deed Type: Warranty Deed Land Use: Sfr

Subdivision / Tract: Tortolita Vistas / Lot Size: 32,830

Rec. Date / Price: 07/14/2022 / $975,000 Living Area: 2,813

Year Built / Eff: 2014 /

# of units:

Document #: 1950636 Bedrooms: Pool: Pool

Total Tax Value: $541,185 Bath(F/H): /

#2   12735 N Distant Wash Dr Marana Az 85658

Owner Name: Krieg Drew A /

APN / Alternate APN: 219-36-0380 / Deed Type: Warranty Deed Land Use: Sfr

Subdivision / Tract: Tortolita Vistas / Lot Size: 32,469

Rec. Date / Price: 06/15/2022 / $990,000 Living Area: 3,132

Year Built / Eff: 2014 /

# of units:

Document #: 1660773 Bedrooms: Pool: Pool

Total Tax Value: $552,044 Bath(F/H): /

#3   4353 W Majestic Saguaro Ln Marana Az 85658

Owner Name: Baker Walter F /Baker Donna H

APN / Alternate APN: 219-34-003D / Deed Type: Warranty Deed Land Use: Sfr

Subdivision / Tract: / Lot Size: 155,074

Rec. Date / Price: 08/15/2022 / $1,000,000 Living Area: 2,845

Year Built / Eff: 2004 /

# of units:

Document #: 2270253 Bedrooms: Pool: Pool

Total Tax Value: $507,560 Bath(F/H): /

#4   4488 W Butterfly Mountain Dr Marana Az 85658

Owner Name: Hammerich Raymond W /Hammerich Glorien

APN / Alternate APN: 219-33-0830 / Deed Type: Warranty Deed

Subdivision / Tract: Butterfly Mountain / Lot Size: 191,533

Rec. Date / Price: 04/08/2022 / $939,000 Living Area: 2,892

Land Use: Sfr

Year Built / Eff: 2016 /

# of units:

Document #: 980581 Bedrooms: Pool: Pool

Total Tax Value: $593,040 Bath(F/H): /

Customer Name : Jeremiah Stiffler

Customer Company Name : First American Prepared On : 09/28/2022

© 2022 CoreLogic. All rights reserved

#5   4065 W Tin Cart Trl Marana Az 85658

Owner Name: Tegtmeyer Nicholas /Tegtmeyer Amber

APN / Alternate APN: 219-36-0220 / Deed Type: Warranty Deed

Subdivision / Tract: Tortolita Vistas / Lot Size: 32,936

Rec. Date / Price: 10/06/2021 / $949,000 Living Area: 2,823

Land Use: Sfr

Year Built / Eff: 2015 /

# of units:

Document #: 2790462 Bedrooms: Pool:

Total Tax Value: $550,676 Bath(F/H): /

#6   12230 N Durham Wash Dr Marana Az 85658

Owner Name: Laleme Brian R /Laleme Jody T

APN / Alternate APN: 219-36-0150 / Deed Type: Warranty Deed

Subdivision / Tract: Tortolita Vistas / Lot Size: 36,342

Rec. Date / Price: 11/18/2021 / $955,000 Living Area: 3,108

Land Use: Sfr

Year Built / Eff: 2015 /

# of units:

Document #: 3220437 Bedrooms: Pool: Pool

Total Tax Value: $557,766 Bath(F/H): /

#7   4025 W Tin Cart Trl Marana Az 85658

Owner Name: Anstinc Gerald R /Johnson Elizabeth A

APN / Alternate APN: 219-36-0200 / Deed Type: Warranty Deed

Subdivision / Tract: Tortolita Vistas / Lot Size: 32,913

Rec. Date / Price: 02/15/2022 / $935,000 Living Area: 2,831

Land Use: Sfr

Year Built / Eff: 2016 /

# of units:

Document #: 460219 Bedrooms: Pool:

Total Tax Value: $512,983 Bath(F/H): /

#8   12345 N Wing Shadow Ln Marana Az 85658

Owner Name: Eudy Craig S /Eudy Stephanie K

APN / Alternate APN: 219-37-0970 / Deed Type: Warranty Deed Land Use: Sfr

Subdivision / Tract: Tangerine Xing / Lot Size: 7,935

Rec. Date / Price: 04/29/2022 / $655,000 Living Area: 2,652

Year Built / Eff: 2010 /

# of units:

Document #: 1190128 Bedrooms: Pool: Pool

Total Tax Value: $319,581 Bath(F/H): /

#9   12599

N Sunrise Shadow Dr Marana Az 85658

Owner Name: Zucarelli D Gst Exempt Trust / APN / Alternate APN: 218-55-4620 / Deed Type: Warranty Deed

Subdivision / Tract: Preserve Iii/dove Mountain / Lot Size: 8,798

Rec. Date / Price: 05/24/2022 / $720,000 Living Area: 2,958

Land Use: Sfr

Year Built / Eff: 2012 /

# of units:

Document #: 1440151 Bedrooms: Pool: Pool

Total Tax Value: $405,477 Bath(F/H): /

Customer Name : Jeremiah Stiffler

Customer Company Name : First American Prepared On : 09/28/2022

CoreLogic.

© 2022
All rights reserved

#10   12467 N Sunrise Shadow Dr Marana Az 85658

Owner Name: Scheetz Michael /Scheetz Diane

APN / Alternate APN: 218-55-4520 / Deed Type: Warranty Deed

Subdivision / Tract: Preserve Iii/dove Mountain / Lot Size: 8,319

Rec. Date / Price: 05/26/2022 / $690,000 Living Area: 2,958

Land Use: Sfr

Year Built / Eff: 2013 /

# of units:

Document #: 1460220 Bedrooms: Pool:

Total Tax Value: $379,163 Bath(F/H): /

#11   12441 N Wind Runner Pkwy Marana Az 85658

Owner Name: Walker William B / APN / Alternate APN: 219-37-1470 / Deed Type: Warranty Deed Land Use: Sfr

Subdivision / Tract: Tangerine Xing / Lot Size: 8,524

Rec. Date / Price: 11/17/2021 / $557,000 Living Area: 2,702

Year Built / Eff: 2013 /

# of units:

Document #: 3210898 Bedrooms: Pool: Pool

Total Tax Value: $395,820 Bath(F/H): /

#12   3651 W Richmond Vista Dr Marana Az 85658

Owner Name: Greer Cassandra /Greer Evan

APN / Alternate APN: 219-37-0330 / Deed Type: Warranty Deed Land Use: Sfr

Subdivision / Tract: Tangerine Xing / Lot Size: 7,613

Rec. Date / Price: 07/29/2022 / $500,000 Living Area: 2,488

Year Built / Eff: 2013 /

# of units:

Document #: 2100320 Bedrooms: Pool:

Total Tax Value: $294,922 Bath(F/H): /

#13   12426 N Wind Runner Pkwy Marana Az 85658

Owner Name: Williams Lamont /

APN / Alternate APN: 219-37-1190 / Deed Type: Warranty Deed

Subdivision / Tract: Tangerine Xing / Lot Size: 10,399

Rec. Date / Price: 06/02/2022 / $640,000 Living Area: 3,069

Land Use: Sfr

Year Built / Eff: 2013 /

# of units:

Document #: 1530669 Bedrooms: Pool:

Total Tax Value: $333,933 Bath(F/H): /

#14   12314 N Wind Runner Pkwy Marana Az 85658

Owner Name: Nadzieja Michael /Nadzieja Sheila

APN / Alternate APN: 219-37-0220 / Deed Type: Warranty Deed Land Use: Sfr

Subdivision / Tract: Tangerine Xing / Lot Size: 8,314

Rec. Date / Price: 02/10/2022 / $670,000 Living Area: 3,181

Document #: 410496 Bedrooms:

Total Tax Value: $344,804 Bath(F/H): /

Year Built / Eff: 2014 /

# of units:

Pool: Pool

Customer Name : Jeremiah Stiffler

Customer Company Name : First American Prepared On : 09/28/2022

© 2022 CoreLogic. All rights reserved

#15   12380 N Pathfinder Dr Marana Az 85658

Owner Name: Brundage Henry C /Brundage Margie K

APN / Alternate APN: 219-37-1350 / Deed Type: Warranty Deed Land Use: Sfr

Subdivision / Tract: Tangerine Xing / Lot Size: 8,190

Rec. Date / Price: 02/14/2022 / $485,000 Living Area: 2,491

Year Built / Eff: 2011 /

# of units:

Document #: 450697 Bedrooms: Pool:

Total Tax Value: $292,745 Bath(F/H): /

#16   12481 N Golden Mirror Dr Marana Az 85658

Owner Name: Leffingwell Matthew /

APN / Alternate APN: 218-55-3960 / Deed Type: Warranty Deed Land Use: Sfr

Subdivision / Tract: Preserve Iii/dove Mountain / Lot Size: 9,170

Rec. Date / Price: 06/14/2022 / $730,000 Living Area: 3,089

Year Built / Eff: 2012 /

# of units:

Document #: 1650556 Bedrooms: Pool:

Total Tax Value: $383,099 Bath(F/H): /

#17   12987 N Ocotillo Bluff Pl Marana Az 85658

Owner Name: Nicolazzo Peter /Francovich Jannie

APN / Alternate APN: 218-53-1870 / Deed Type: Warranty Deed Land Use: Sfr

Subdivision / Tract: Bluffs At Dove Mountain Ph 02 / Lot Size: 11,847

Rec. Date / Price: 12/15/2021 / $660,000 Living Area: 2,760

Year Built / Eff: 2004 /

# of units:

Document #: 3490602 Bedrooms: Pool: Pool

Total Tax Value: $353,704 Bath(F/H): /

#18   4713 W Cholla Bluff Dr Marana Az 85658

Owner Name: Barnes Dee A /

APN / Alternate APN: 218-53-2740 / Deed Type: Warranty Deed Land Use: Sfr

Subdivision / Tract: Bluffs At Dove Mountain Ph 02 / Lot Size: 7,235

Rec. Date / Price: 11/22/2021 / $558,000 Living Area: 2,537

Year Built / Eff: 2002 /

# of units:

Document #: 3261085 Bedrooms: Pool: Pool

Total Tax Value: $321,174 Bath(F/H): /

#19   12347 N Feather Song Ave Marana Az 85658

Owner Name: Patrick James F /Patrick Barbara A

APN / Alternate APN: 219-37-2210 / Deed Type: Warranty Deed Land Use: Sfr

Subdivision / Tract: Tangerine Xing / Lot Size: 8,610

Rec. Date / Price: 08/15/2022 / $569,000 Living Area: 2,750

Year Built / Eff: 2008 /

# of units:

Document #: 2270711 Bedrooms: Pool:

Total Tax Value: $310,566 Bath(F/H): /

Customer Name : Jeremiah Stiffler

Customer Company Name : First American Prepared On : 09/28/2022

© 2022 CoreLogic. All rights reserved

4757 W Cactus Bluff Dr Marana Az 85658

Owner Name: Meza Patrick J /Meza Lauren APN / Alternate APN: 218-53-1840 /

Subdivision / Tract: Bluffs At Dove Mountain Ph 02 /

Deed Type: Warranty Deed

Lot Size: 12,166

Land Use: Sfr

Year Built / Eff: 2005 /

# of units: Document #: 3231059

Rec. Date / Price: 11/19/2021 / $55,000 Living Area: 2,454

Bedrooms: Pool:

Total Tax Value: $304,215 Bath(F/H): /

Customer Name : Jeremiah Stiffler

Customer Company Name : First American Prepared On : 09/28/2022

2022 CoreLogic.

©
All rights reserved

Customer Name : Jeremiah Stiffler

Customer Company Name : First American Prepared On : 09/28/2022

CoreLogic.

Subject Property :   4135 W Sleeping Shadow Pl Marana AZ 85658
© 2022
All rights reserved

Customer Name : Jeremiah Stiffler

Customer Company Name : First American Prepared On : 09/28/2022

© 2022 CoreLogic. All rights reserved

and statistics on

schools please go

Arizona Schools For detailed information
Arizona
to https://azreportcards.azed.gov/ First American Title Insurance Company, and the operating divisions thereof, make no express or implied warranty respecting the information presented and assume no responsibility for errors or omissions. First American, the eagle logo, First American Title, and firstam.com are registered trademarks or trademarks of First American Financial Corporation and/or its affiliates. ©2021 First American Financial Corporation and/or its affiliates. All rights reserved. NYSE: FAF 05117910421

PIMA

EDesertDove

SGuildRd

This

WSilverbellRd

NKINNEYRD

NFrontageRd

NSILVERBELLRD

SSanJoaquinRd

SKINNEYRD

SMISSIONRD

W

WAnamax

SSantaRitaRd

SCHOOL DISTRICTS

15 AJO UNIFIED 111 N. Well Road, Ajo, AZ 85321

SHelvetiaRd

51 ALTAR VALLEY ELEMENTARY 10105 S. Sasabe Road, Tucson, AZ 85736 520.822.1484

10 AMPHITHEATER UNIFIED 701 W. Wetmore, Tucson, AZ 85705 520.696.5000

16 CATALINA FOOTHILS UNIFIED 2101 E. River Road, Tucson, AZ 85718 520.209.7500

39 CONTINENTAL ELEMENTARY 1991 E. Whitehouse Canyon, Green Valley, AZ 85614 520.625.4581

08 FLOWING WELLS UNIFIED 1556 W. Prince Road, Tucson, AZ 85705 520.696.8800

06 MARANA UNIFIED 11279 W. Grier Road, Marana, AZ 85653 520.682.3243

11 PIMA COUNTY JTED 2855 W. Master Pieces Dr, Tucson, AZ 85741 520.352.5833

30 SAHUARITA UNIFIED 350 W. Sahuarita Road, Sahuarita, AZ 85629 520.625.3502

12

SUNNYSIDE UNIFIED 2238 E. Ginter Road, Tucson, AZ 85706 520.545.2000

13 TANQUE VERDE UNIFIED 2300 N. Tanque Verde Loop, Tucson, AZ 85749 520.749.5751

01 TUCSON UNIFIED 1010 E. 10th Street, Tucson, AZ 85717 520.225.6000

20 VAIL UNIFIED 10701 E. Mary Ann Cleveland Way, Tucson, AZ 85747 520.879.2000

05249570321 TUCSON INT'L AIRPORT Air Force
N M t L emmon Hwy ESascoRd NF 38 W Avra Valley Rd E Grand Va ey DrNAguirre R d N L u c k e R d N W e n t z R d N Wa terman Mounta i n R d N Anway Rd W El Tiro Rd N Trico Rd W Tucker Rd W Rudas l Rd W Manvi e Rd
WBopp Rd W Snyder H l Rd S M a r s e a r R d W Park Rd W Hermans RdW Hermans Rd W Guy St W Bush Rd S G a v e y R d N C a e R i n c o n a d o S W m o R d S Shaw Rd S Sierrita Mountain Rd S K o b R d W TwinButtes Rd W Mcgee Ranch Rd S E s t a n c a D r
E Hemlock Dr N Bea r C a n y o n R d W E Camino Del Cerro E Fairmount St S Swan Rd
W Emigh Rd W Fort Lowe Rd N P u m p S t a t ion dR E Nona Rd Ch efButteRd Lo al Ave N Trico Rd S Cattle Tank Rd Evalyn Rd SOwlHead R a n c h Rd GasLineRd S P ec a n R d N T r c o R d W Bayard Rd S S a n d a r o R d W i l l owSpri n gsRd N Dove Mountain Blvd
Mine Rd W G a c i a R a n hc R d Road424 WRagged Top Rd W Ruby Star Dr WBritten RanchRd
Pima Mine Rd S Mcgee Ranch R d E Edw n Rd
8 0
S PICACHO HWY E BAUMGARTNER RD N S A N D A R I O R D N ANWAY RD W VALENCIA RD W MOORE RD W INA RD N 1 S T A V E E SUNRISE DR E SNYDER RD
N S O L D I E R T R L E RIVER RDE PRINCE RD E SPEEDWAY BLVD S FREEMAN RD E 22ND ST E 22ND ST W IRVINGTON RD S N O G A L E S H W Y W VALENCIA RD
W SPEEDWAY BLVD S O L D S P A N I S H T RL W NARANJA DR W TWIN PEAKS RD W PICTURE ROCKS RD W MANVILLE RD
W MILE WIDE RD E SAHUARITA RD N TRICO RD S S A N D A R O R D PARK LINK DR S OLD N O G ALES HW Y S H O U G H T O N R D S L A C A N A D A DRW HELMET PEAK RD WAJOHWY N S W A N R D S KOLB RD S HOUGHTON RD W TANGERINE RD E GRANT RD S H O U G H T O N R D 9 5 WAJOHWY E VALENCIA RD NORACLE R D I10 I-19 77 77 77 86 86 286 10 19 10 10 Corona de Tucson Casas Adobes Catalina Green Valley Oracle Picture Rocks Three Points VailSummit Tanque Verde Tucson Sahuarita Red Rock Saddlebrooke Marana Oro Valley Rillito Summerhaven Willow Canyon Oracle Junction Cortaro Continental Littletown 20 30 13 15 51 39 12 01 01 08 10 16 11 06
COUNTY School District Information
map is provided for general location only. Please contact school districts for actual street boundaries
520.387.5618
First American Title Insurance Company, and the operating divisions thereof, make no express or implied warranty respecting the information presented and assume no responsibility for errors or omissions. First American, the eagle logo, First American Title, and firstam.com are registered trademarks or trademarks of First American Financial Corporation and/or its affiliates. ©2021 First American Financial Corporation and/or its affiliates. All rights reserved. NYSE: FAF

Public Schools :

Elementary Schools

Dove Mountain K-8 Distance 1.94 Miles

5650 W Moore Rd Marana AZ 85658

Telephone : (520) 579-4500

Lowest Grade : Pre-K

School District : Marana Unified District (4404)

Highest Grade : 8th

Kindergarten : Yes School Enrollment : Enrollment : 837 Total Expenditure/Student : 269

Richard B Wilson Junior School

2330 W Glover Rd Oro Valley AZ 85742

Telephone : (520) 696-5800

Lowest Grade : Pre-K

Distance 2.36 Miles

School District : Amphitheater Unified District (4406)

Highest Grade : 8th

Kindergarten : Yes School Enrollment : Enrollment : 1017 Total Expenditure/Student : 132

Leman Academy Of Excellence-oro Valley Arizona Distance 3.42 Miles

1410 W Tangerine Rd Oro Valley AZ 85755

Telephone : (520) 912-4005

Lowest Grade : K

School District : Leman Academy Of Excellence Inc. (92730)

Highest Grade : 8th

Kindergarten : Yes School Enrollment : Enrollment : 749

Total Expenditure/Student :

Customer Name : Jeremiah Stiffler

Customer Company Name : First American Prepared On : 09/28/2022

© 2022 CoreLogic. All rights reserved

Ironwood Elementary School

3300 W Freer Dr Tucson AZ 85742

Telephone : (520) 579-5150

Distance 4.07 Miles

School District : Marana Unified District (4404)

Lowest Grade : Pre-K Highest Grade : 6th

Kindergarten : Yes School Enrollment : Enrollment : 399

Total Expenditure/Student : 269

Middle Schools

Tortolita Middle School

4101 W Hardy Rd Tucson AZ 85742

Telephone : (520) 579-4600

Distance 4.94 Miles

School District : Marana Unified District (4404)

Lowest Grade : 7th Highest Grade : 8th

Kindergarten : No School Enrollment : Enrollment : 665

Total Expenditure/Student : 269

High Schools

Ironwood Ridge High School

2475 W Naranja Dr Oro Valley AZ 85742

Telephone : (520) 696-3902

Lowest Grade : 9th

Distance 2.67 Miles

School District : Amphitheater Unified District (4406)

Highest Grade : 12th

School Enrollment : Enrollment : 1713

Total Expenditure/Student : 132

Advanced Placement : No

Customer Name : Jeremiah Stiffler

Customer Company Name : First American Prepared On : 09/28/2022

© 2022 CoreLogic. All rights reserved

Pcjted - Ironwood Ridge High School Distance 2.67 Miles

2475 W Naranja Dr Oro Valley AZ 85742

Telephone : (520) 696-3902

School District : Pima County Jted (89380)

Lowest Grade : 9th Highest Grade : 12th School Enrollment : Enrollment : 0

Total Expenditure/Student : Advanced Placement : No

Mountain View High School

Distance 3.89 Miles 3901 W Linda Vista Blvd Tucson AZ 85742

Telephone : (520) 579-4400

School District : Marana Unified District (4404)

Lowest Grade : 9th Highest Grade : 12th School Enrollment : Enrollment : 1790

Total Expenditure/Student : 269 Advanced Placement : No

Pima County Jted Nw Campus Distance 3.89 Miles 3901 W Linda Vista Blvd Tucson AZ 85742

Telephone : (520) 206-2200

School District : Pima County Jted (89380)

Lowest Grade : 9th Highest Grade : 12th School Enrollment : Enrollment : 8

Total Expenditure/Student : Advanced Placement : No

Customer Name : Jeremiah Stiffler

Customer Company Name : First American Prepared On : 09/28/2022

© 2022 CoreLogic. All rights reserved

Local Business

Attractions / Recreation

Name Address

Telephone Distance (Miles)

Wieck Chamber Singers & Orchestra 3965 W Moore Rd Tucson Az (520) 794-5373 0.33

Twinetime Entertainment Llc 4688 W Tangerine Rd # 162 Marana Az (520) 248-5354 1.0

Cliff Hey Entertainment Llc 13088 N Pier Mountain Rd Marana Az (520) 440-2346 1.03

Peoria Ballet Co 12059 N Qail Feather Blvd Marana Az (520) 638-6311 1.08

Banks / Financial

Name Address Telephone Distance (Miles)

Tucson Federal Credit Union 12100 N Thornydale Rd Marana Az (520) 572-3748 0.75

Pusch Ridge Home Loans 3450 W Moore Rd Tucson Az (520) 531-8731 0.79

Jpmorgan Chase Bank, National Association 12025 N Thornydale Rd Marana Az (520) 579-9020 0.82

Vistoso Mortgage, Llc 12400 N Fallen Shadows Dr Marana Az (520) 744-8736 1.24

Eating / Drinking

Ciao Down Llc

Name Address

Telephone Distance (Miles)

12663 N Fallen Shadows Dr Marana Az (520) 250-4690 0.75

Dove M Bistro 12090 N Thornydale Rd Marana Az (520) 395-1486 0.76

East Gourmet Bistro 12090 N Thornydale Rd # 1 Marana Az (520) 638-8976 0.76

Platypus Cakes 12172 N Qail Feather Blvd Marana Az (520) 229-1029 1.06

Health Care Services

Name Address

Flex Phleb, Llc

Christine Phu

Telephone Distance (Miles)

12603 N Summer Wind Dr Marana Az (715) 529-2936 0.56

12100 N Thornydale Rd Marana Az (520) 572-6041 0.76

Thg Dental. Pllc 12090 N Thornydale Rd Marana Az (520) 616-4610 0.76

Tangerine Dental Care Pc 12090 N Thornydale Rd # 1 Marana Az (520) 616-4610 0.76

Customer Name : Jeremiah Stiffler

Customer Company Name : First American Prepared On : 09/28/2022

© 2022 CoreLogic. All rights reserved

Hospitality

Name Address

Valdez Properties, Llc

Telephone Distance (Miles)

13634 N Hidden Rock Pl Marana Az (907) 835-5990 1.25

Arctic Structures, Llc 13634 N Hidden Rock Pl Marana Az (907) 835-5990 1.25

The Ritz-carlton Hotel Company L L C 12130 N Dove Mtn Blvd Marana Az (520) 572-2700 1.67

Dove Mtn Grill 12130 N Dove Mountain Blv Marana Az (520) 579-8999 1.67

Organizations / Associations

Name Address

Telephone Distance (Miles)

The Body Of Christ - Marana Inc 3615 W Tailspin Pl Marana Az (520) 344-9659 0.7

Arizona Assembly Hall Of Jehovah's Witnesses, Inc.

12976 N Kenosha Bluff Dr Marana Az (520) 400-9273 0.81

Glory International Ministries 13121 N High Hawk Dr Marana Az (520) 744-8153 0.92

Rincon Community Church, Inc. 12747 N Rain Shadow Ct Marana Az (520) 256-0692 1.37

Personal Services

Name Address

Evolvingu Llc

Telephone Distance (Miles)

12330 N Pathfinder Dr Marana Az (520) 419-5419 0.75

Anytime Fitness 12040 N Thornydale Rd Marana Az (520) 579-2601 0.82

On Your Left Fitness Arizona, Inc. 2391 W Tangerine Rd Oro Valley Az (520) 241-9141 2.15

Chosen Path Health And Fitness 2014 W Golden Rose Pl Tucson Az (520) 229-8566 3.01

Shopping

Name Address

Telephone Distance (Miles)

Smith's Food & Drug Centers, Inc. 12100 N Thornydale Rd Marana Az (520) 572-6040 0.75

Circle K Stores Inc 3880 W Tangerine Rd Marana Az (520) 572-6820 0.87

Neo Herbal Care, Llc

12986 N High Hawk Dr Marana Az (520) 579-5236 0.95

Douglass Coaching, Llc 4397 W Cayton House Ct Marana Az (520) 744-2184 1.59

Customer Name : Jeremiah Stiffler

Customer Company Name : First American Prepared On : 09/28/2022

© 2022 CoreLogic. All rights reserved

12640 N DISTANT WASH DR Distance 0.04 Miles

Owner Name : Beach

Sale Date : 04/10/2013

Total Value : $379,281

Bed / Bath : / 3

Land Use : Sfr

Stories : 1

Subdivision : Tortolita Vistas

Recording Date : 12/30/2013

Sale Price  : $437,837

Property Tax : $5,193.90

Lot Acres : 0.77

Living Area : 2,394

Yr Blt / Eff Yr Blt : 2013 / APN : 219-36-0580

4095 W SLEEPING SHADOW PL

Owner Name : Canfield Kimberly Sue

Sale Date : 04/18/2013

Total Value : $535,245

Bed / Bath : / 4

Land Use : Sfr

Stories : 1

Distance 0.04 Miles

Subdivision : Tortolita Vistas

Recording Date : 03/17/2014

Sale Price  : $568,535

Property Tax : $7,581.50

Lot Acres : 0.99

Living Area : 3,541

Yr Blt / Eff Yr Blt : 2014 / APN : 219-36-0600

12655 N DISTANT WASH DR Distance 0.04 Miles

Owner Name : Ly Nhi

Sale Date : 07/11/2022

Subdivision : Tortolita Vistas

Recording Date : 07/14/2022

Total Value : $541,185 Sale Price  : $975,000

Bed / Bath : / 4

Land Use : Sfr

Stories : 1

Property Tax : $7,786.61

Lot Acres : 0.75

Living Area : 2,813

Yr Blt / Eff Yr Blt : 2014 / APN : 219-36-0400

4202 W SLEEPING SHADOW PL Distance 0.05 Miles

Owner Name : Jackson Dan D

Sale Date : 05/23/2013

Total Value : $436,666

Bed / Bath : / 4

Land Use : Sfr

Stories : 1

Subdivision : Tortolita Vistas

Recording Date : 01/17/2014

Sale Price  : $459,778

Property Tax : $6,071.14

Lot Acres : 0.95

Living Area : 2,487

Yr Blt / Eff Yr Blt : 2013 / APN : 219-36-0630

Customer Name : Jeremiah Stiffler

Customer Company Name : First American Prepared On : 09/28/2022

© 2022 CoreLogic. All rights reserved

12685 N DISTANT WASH DR Distance 0.05 Miles

Owner Name : Conroyd Michael F

Sale Date : 01/15/2015

Total Value : $521,000

Bed / Bath : / 5

Land Use : Sfr

Stories : 1

Subdivision : Tortolita Vistas

Recording Date : 02/06/2015

Sale Price  : $528,918

Property Tax : $8,400

Lot Acres : 0.77

Living Area : 3,150

Yr Blt / Eff Yr Blt : 2015 / APN : 219-36-0390

4090 W BENT SHADOW CT

Owner Name : Fortner Delbert

Sale Date : 07/27/2016

Total Value : $532,838

Bed / Bath : / 4

Land Use : Sfr

Stories : 1

Distance 0.06 Miles

Subdivision : Tortolita Vistas

Recording Date : 07/28/2016

Sale Price  : $665,000

Property Tax : $8,141.19

Lot Acres : 0.94

Living Area : 3,541

Yr Blt / Eff Yr Blt : 2013 / APN : 219-36-0530

4100 W BENT SHADOW CT Distance 0.06 Miles

Owner Name : Gehrig Thomas C

Sale Date : 12/05/2013

Subdivision : Tortolita Vistas

Recording Date : 04/30/2014

Total Value : $438,593 Sale Price  : $482,725

Bed / Bath : / 4

Land Use : Sfr

Stories : 1

Property Tax : $6,103.34

Lot Acres : 0.78

Living Area : 2,487

Yr Blt / Eff Yr Blt : 2014 / APN : 219-36-0540

4182 W SLEEPING SHADOW PL Distance 0.06 Miles

Owner Name : Earl William

Sale Date : 10/22/2013

Total Value : $394,494

Bed / Bath : / 3

Land Use : Sfr

Stories : 1

Yr Blt / Eff Yr Blt : 2013 /

Subdivision : Tortolita Vistas

Recording Date : 10/25/2013

Sale Price  : $446,996

Property Tax : $6,026.36

Lot Acres : 0.75

Living Area : 2,394

APN : 219-36-0610

Customer Name : Jeremiah Stiffler

Customer Company Name : First American Prepared On : 09/28/2022

© 2022 CoreLogic. All rights reserved

12610 N DISTANT WASH DR Distance 0.07 Miles

Owner Name : Do Nga T

Sale Date : 07/01/2014

Total Value : $598,589

Bed / Bath : / 4

Land Use : Sfr

Stories : 1

Subdivision : Tortolita Vistas

Recording Date : 08/29/2014

Sale Price  : $584,100

Property Tax : $9,050.94

Lot Acres : 0.78

Living Area : 3,756

Yr Blt / Eff Yr Blt : 2014 / APN : 219-36-0570

12625 N DISTANT WASH DR Distance 0.07 Miles

Owner Name : Goodridge-koldenhoven Trust

Sale Date : 05/15/2017

Subdivision : Tortolita Vistas

Recording Date : 05/18/2017

Total Value : $620,394 Sale Price  : $685,000

Bed / Bath : / 5

Land Use : Sfr

Stories : 1

Property Tax : $9,333.26

Lot Acres : 1.00

Living Area : 3,781

Yr Blt / Eff Yr Blt : 2014 / APN : 219-36-0410

Customer Name : Jeremiah Stiffler

Customer Company Name : First American Prepared On : 09/28/2022

© 2022 CoreLogic. All rights reserved

Customer Name : Jeremiah Stiffler

Customer Company Name : First American Prepared On : 09/28/2022

No demographics data for selected property.
© 2022 CoreLogic. All rights reserved

PARCEL:  219-36-0590

PARCEL: 219-36-0590

OWNER: SEAVEY ROBERT C/CHERYL A

SEARCH PARAMETERS

INSTRUMENT REC DATE

AFFIDAVIT    2013 3190301 11/15/2013

SITUS: 4135 W SLEEPING SHADOW PL MAR

MAIL: 4135 W SLEEPING SHADOW PL  TUCSON AZ 85658

PLAT: LOT 00117 BLOCK

LEGAL: TORTOLITA VISTAS LOT 117

CURRENT TAXES

LAND

RATE AREA

PRIMARY  41,875  0  0  9.6812  0612

SECONDARY  50  44,142  0  6.4416

2021 TOTAL TAX BILLED 6,151.45

2021  TAX AMT TAX DUE INTEREST DATE PAID

INFORMATION THROUGH 07/28/2022

SPECIAL DISTRICTS

TOTAL DUE

FIRST HALF  3,075.73  0.00  0.00  09/20/2021  0.00

SECOND HALF  3,075.72  0.00  0.00  02/07/2022  0.00

TOTAL CURRENT TAXES DUE 09/22 0.00 10/22 0.00

BLDG SQFT

YEAR BUILT

FULL CASH VALUE  441,922

LAND USE  01 41

LOT SIZE  1 STDLT

SCHOOL DISTRICT  0612

LAND FULL CASH VALUE  502

IMPR FULL CASH VALUE

+ FIRST AMERICAN TITLE, FC0, JSTI PIMA, AZ 09/28/2022  01:01PM  R9C8  INVESTIGATIVE SEARCH RESULTS PAGE 1 OF 1
IMPR EXEMPT
IMPROVEMENTS BYPASS
2,868
2013
NUMBER OF STORIES  1.0
STORIES HEIGHT  0
EXTERIOR WALLS  FRAME WOOD
GRADE MATERIALS
441,420 SALES SALE DATE SALE AMOUNT INSTRUMENT TYPE SELLER NAME VALIDITY 11/15/2013 487,928    2013 3190301 SW SCOTIA JV 2005 LLP ADDITIONAL PROPERTY INFORMATION STANDARD LAND USE: SFR END SEARCH
PIMA, AZ Document:DED SWR 2013.319.0301 Page:1 of 3 Printed on:9/28/2022 1:03 PM Branch :FC0 User :JSTI
PIMA, AZ Document:DED SWR 2013.319.0301 Page:2 of 3 Printed on:9/28/2022 1:03 PM Branch :FC0 User :JSTI
PIMA, AZ Document:DED SWR 2013.319.0301 Page:3 of 3 Printed on:9/28/2022 1:03 PM Branch :FC0 User :JSTI
PIMA, AZ Document:DED SWR 2015.258.0417 Page:1 of 1 Printed on:9/28/2022 1:03 PM Branch :FC0 User :JSTI

Covenants, Conditions & Restrictions

Thank you for the opportunity to be of service.

Restrictions indicating a preference, limitation or discrimination based on race, color, religion, sex, handicap, familial status, or national origin are hereby deleted to the extent such restrictions violate 42 USC 3604(c).

This information is furnished without fee and without benefit of a complete title search. No liability is assumed by First American Title or Title Security. If it is desired that liability be assumed, you may apply for a policy of title insurance with First American Title Insurance Company.

PIMA, AZ Document:SUBDIVISION_MAP 62.44 Page:1 of 17 Printed on:9/28/2022 1:04 PM Branch :FC0 User :JSTI
PIMA, AZ Document:SUBDIVISION_MAP 62.44 Page:2 of 17 Printed on:9/28/2022 1:04 PM Branch :FC0 User :JSTI
PIMA, AZ Document:SUBDIVISION_MAP 62.44 Page:3 of 17 Printed on:9/28/2022 1:04 PM Branch :FC0 User :JSTI
PIMA, AZ Document:SUBDIVISION_MAP 62.44 Page:4 of 17 Printed on:9/28/2022 1:04 PM Branch :FC0 User :JSTI
PIMA, AZ Document:SUBDIVISION_MAP 62.44 Page:5 of 17 Printed on:9/28/2022 1:04 PM Branch :FC0 User :JSTI
PIMA, AZ Document:SUBDIVISION_MAP 62.44 Page:6 of 17 Printed on:9/28/2022 1:04 PM Branch :FC0 User :JSTI
PIMA, AZ Document:SUBDIVISION_MAP 62.44 Page:7 of 17 Printed on:9/28/2022 1:04 PM Branch :FC0 User :JSTI
PIMA, AZ Document:SUBDIVISION_MAP 62.44 Page:8 of 17 Printed on:9/28/2022 1:04 PM Branch :FC0 User :JSTI
PIMA, AZ Document:SUBDIVISION_MAP 62.44 Page:9 of 17 Printed on:9/28/2022 1:04 PM Branch :FC0 User :JSTI
PIMA, AZ Document:SUBDIVISION_MAP 62.44 Page:10 of 17 Printed on:9/28/2022 1:04 PM Branch :FC0 User :JSTI
PIMA, AZ Document:SUBDIVISION_MAP 62.44 Page:11 of 17 Printed on:9/28/2022 1:04 PM Branch :FC0 User :JSTI
PIMA, AZ Document:SUBDIVISION_MAP 62.44 Page:12 of 17 Printed on:9/28/2022 1:04 PM Branch :FC0 User :JSTI
PIMA, AZ Document:SUBDIVISION_MAP 62.44 Page:13 of 17 Printed on:9/28/2022 1:04 PM Branch :FC0 User :JSTI
PIMA, AZ Document:SUBDIVISION_MAP 62.44 Page:14 of 17 Printed on:9/28/2022 1:04 PM Branch :FC0 User :JSTI
PIMA, AZ Document:SUBDIVISION_MAP 62.44 Page:15 of 17 Printed on:9/28/2022 1:04 PM Branch :FC0 User :JSTI
PIMA, AZ Document:SUBDIVISION_MAP 62.44 Page:16 of 17 Printed on:9/28/2022 1:04 PM Branch :FC0 User :JSTI
PIMA, AZ Document:SUBDIVISION_MAP 62.44 Page:17 of 17 Printed on:9/28/2022 1:04 PM Branch :FC0 User :JSTI
Page 1 of 35 01/04/2012 2:11 PM
Page 2 of 35 01/04/2012 2:11 PM
Page 3 of 35 01/04/2012 2:11 PM
Page 4 of 35 01/04/2012 2:11 PM
Page 5 of 35 01/04/2012 2:11 PM
Page 6 of 35 01/04/2012 2:11 PM
Page 7 of 35 01/04/2012 2:11 PM
Page 8 of 35 01/04/2012 2:11 PM
Page 9 of 35 01/04/2012 2:11 PM
Page 10 of 35 01/04/2012 2:11 PM
Page 11 of 35 01/04/2012 2:11 PM
Page 12 of 35 01/04/2012 2:11 PM
Page 13 of 35 01/04/2012 2:11 PM
Page 14 of 35 01/04/2012 2:11 PM
Page 15 of 35 01/04/2012 2:11 PM
Page 16 of 35 01/04/2012 2:11 PM
Page 17 of 35 01/04/2012 2:11 PM
Page 18 of 35 01/04/2012 2:11 PM
Page 19 of 35 01/04/2012 2:11 PM
Page 20 of 35 01/04/2012 2:11 PM
Page 21 of 35 01/04/2012 2:11 PM
Page 22 of 35 01/04/2012 2:11 PM
Page 23 of 35 01/04/2012 2:11 PM
Page 24 of 35 01/04/2012 2:11 PM
Page 25 of 35 01/04/2012 2:11 PM
Page 26 of 35 01/04/2012 2:11 PM
Page 27 of 35 01/04/2012 2:11 PM
Page 28 of 35 01/04/2012 2:11 PM
Page 29 of 35 01/04/2012 2:11 PM
Page 30 of 35 01/04/2012 2:11 PM
Page 31 of 35 01/04/2012 2:11 PM
Page 32 of 35 01/04/2012 2:11 PM
Page 33 of 35 01/04/2012 2:11 PM
Page 34 of 35 01/04/2012 2:11 PM
Page 35 of 35 01/04/2012 2:11 PM
Page 1 of 2 01/04/2012 2:11 PM
Page 2 of 2 01/04/2012 2:11 PM
Page 1 of 5 01/04/2012 2:11 PM
Page 2 of 5 01/04/2012 2:11 PM
Page 3 of 5 01/04/2012 2:11 PM
Page 4 of 5 01/04/2012 2:11 PM
Page 5 of 5 01/04/2012 2:11 PM
to the Title & Escrow Process in Arizona Home Seller’s Guide

Your Escrow Number

Your New Address

City/State/Zip

Real Estate Agent

First

Southwest Gas 1.877.860.6020 www.swgas.com Cox 602.277.1000 www.cox.com

Direct TV 1.888.777.2454 www.directv.com

Dish Network 1.800.823.4929 www.dishnetwork.com

CenturyLink 800.366.8201 www.centurylink.com AT&T 1.800.222.0300 www.att.com

Verizon 1.877.300.4498 www.connecttoverizon.com

Salt River Project 602.236.8888 www.srpnet.com APS 602.371.7171 www.aps.com

Name Email Assistant Email Company Phone Address Fax Insurance Previous Company Phone Previous Agent Policy No. New Company Phone New Agent Policy No. Home Warranty Company Policy No.
American Title Escrow Officer Email Escrow Assistant Email Address Phone City/State/Zip Fax 02 Quick Reference 03 Welcome 04 Benefits of Using a REALTOR ® 05 Key Professionals 06 Preparing Your Home for Sale 07 Staging Your Home for Show 09 Terms You Should Know 10 The Life of an Escrow 11 Closing Costs: Who Pays What 12 The Escrow Process 14 Understanding Title Insurance 16 Consider This 17 Closing Your Escrow 18 Planning Your Move Q uick Reference Table of Contents Utilities and Services

Count on First American Title

Welcome to the home-selling process. Throughout this process, you can count on First American Title to guide you smoothly through your transaction and provide expert answers to your questions. We are happy to serve you.

Count On Us For Service

First American Title’s professionals are proud to provide the title insurance that assures people’s home ownership. Backed by First American Title Insurance Company, your transaction will be expertly completed in accordance with state-specific underwriting standards and state and federal regulatory requirements.

Count On Us For Stability

First American Title is the principal subsidiary of First American Financial Corporation, and one of the largest suppliers of title insurance services in the nation. With roots dating back to 1889, we’ve served families for generations.

Count On Us For Convenience

First American Title has a direct office or agent near you, offering convenient locations throughout Arizona. We also have an extensive network of offices and agents throughout the United States, and internationally.

Count On Us To Meet Your Needs

First American Financial Corporation offers more than title insurance and escrow services through its subsidiaries. Our subsidiaries also provide property data, title plant records and images, home warranties, property and casualty insurance, and banking, trust and advisory services.

AZ Sellers Guide | 3

Benefits of using a Professional REALTOR ®

Before you make the decision to try to sell your home alone, consider the benefits a REALTOR ® can provide that you may not be aware of.

A REALTOR ® :

› Understands market conditions and has access to information not available to the average homeowner.

› Can advertise effectively for the best results.

› Knows how to price your home realistically, to give you the highest price possible within your time frame.

› Is experienced in creating demand for homes and how to show them to advantage.

› Knows how to screen potential buyers and eliminate those who can’t qualify or are looking for bargain-basement prices.

› Knows how to go toe-to-toe in negotiations.

› Is always “on-call,” answering the phone at all hours, and showing homes evenings and weekends.

› Can remain objective when presenting offers and counter-offers on your behalf.

› Maintains errors-and-omissions insurance.

› Will listen to your needs, respect your opinions and allow you to make your own decisions.

› Can help protect your rights, particularly important with the increasingly complicated real estate laws and regulations.

› Is experienced with resolving problems to facilitate a successful closing on your home.

Only you can determine whether you should attempt to sell your home—probably your largest investment—all alone. Talk with a REALTOR® before you decide. You may find working with a professional is a lot less expensive and much more beneficial than you ever imagined!

FOR SALE BY OWNER

Many people believe they can save a considerable amount of money by selling their homes themselves. It may seem like a good idea at the time, but while you may be willing to take on the task, are you qualified? The following are some questions to help you realistically assess what’s involved.

Do you...

- have the knowledge, patience, and sales skills needed to sell your home?

- know how to determine your home’s current market value?

- know how to determine whether or not a buyer can qualify for a loan?

- understand the steps of an escrow and what’s required of you and the buyer?

- need to hire a real estate attorney? If so, do you know what the cost will be and how much liability they will assume in the transaction?

- know how to advertise effectively and what the costs will be?

- understand the various types of loans buyers may choose and the advantages and disadvantages for the seller?

- have arrangements with an escrow and title company, home warranty company, pest-control service and lender to assist you with the transaction?

Are you...

- aware of conditions in the marketplace today that affect value and length of time to sell?

- concerned about having strangers walking through your home?

- familiar enough with real estate regulations to prepare a binding sales contract? Counter-offers?

- aware that every time you leave your home, you are taking it off the market until you return?

- aware that prospective buyers and bargain hunters will expect you to lower your cost because there’s no REALTOR® involved?

- prepared to give up your evenings and weekends to show your home to potential buyers and “just-looking” time wasters?

AZ Sellers Guide | 4

Key Professionals Involved in Your Transaction

REALTOR ®

A REALTOR ® is a licensed real estate agent and a member of the National Association of REALTORS,® a real estate trade association. REALTORS ® also belong to their state and local Association of REALTORS.®

REAL ESTATE AGENT

A real estate agent is licensed by the state to represent parties in the transfer of property. Every REALTOR ® is a real estate agent, but not every real estate agent has the professional designation of a REALTOR.®

LISTING AGENT

A key role of the listing agent or broker is to form a legal relationship with the homeowner to sell the property and place the property in the Multiple Listing Service.

BUYER'S AGENT

A key role of the buyer’s agent or broker is to work with the buyer to locate a suitable property and negotiate a successful home purchase.

MULTIPLE LISTING SERVICE (MLS)

The MLS is a database of properties listed for sale by REALTORS ® who are members of the local Association of REALTORS.® Information on an MLS property is available to thousands of REALTORS ®

TITLE COMPANY

These are the people who carry out the title search and examination, work with you to eliminate the title exceptions you are not willing to take subject to, and provide the policy of title insurance regarding title to the real property.

ESCROW OFFICER

An escrow officer leads the facilitation of your escrow, including escrow instructions preparation, document preparation, funds disbursement, and more.

AZ Sellers Guide | 5

PREPARING FOR SALE YOUR HOME

Mow and edge the lawn regularly, and trim the shrubs.

Make your entry inviting: Paint your front door and buy a new front door mat.

Paint or replace the mailbox, if needed.

If screens or windows are damaged, replace or repair them.

Repair or replace worn shutters and other exterior trim.

Make sure the front steps are clear and hazard-free. Make sure the doorbell works properly and has a pleasant sound.

Ensure that all exterior lights are working.

Check stucco walls for cracks and discoloration.

Remove any oil and rust stains from the driveway and garage.

Clean and organize the garage, and ensure the door is in good working order.

Shampoo carpeting or replace if worn. Clean tile floors, particularly the caulking.

Brighten the appearance inside by painting walls, cleaning windows and window coverings, and removing sunscreens.

Repair leaky faucets and caulking in bathtubs and showers.

Repair or replace loose knobs on doors and cabinets. If doors stick or squeak, fix them.

Make sure toilet seats look new and are firmly attached.

First impressions have a major impact on potential buyers. Try to imagine what potential buyers will see when they approach your house for the first time and walk through each room. Ask your REALTOR ® for advice; they know the marketplace and what helps a home sell. Here are some tips to present your home in a positive manner:

Repair or replace loud ventilating fans.

Replace worn shower curtains.

Rearrange furniture to make rooms appear larger. If possible, remove and/or store excess furniture, and avoid extension cords in plain view.

Remove clutter throughout the house. Organize and clean out closets.

Clean household appliances and make sure they work properly.

Air conditioners/heaters, evaporative coolers, hot water heater should be clean, working and inspected if necessary. Replace filters.

Check the pool and/or spa equipment and pumps. Make sure all are working properly and that the pool and/or spa are kept clean.

Inspect fences, gates and latches. Repair or replace as needed.

AZ Sellers Guide | 6

Staging your home for Show

To make the best impression, keep your home clean, neat, uncluttered and in good repair. Please review this list prior to each showing:

Keep everything clean. A messy or dirty home will cause prospective buyers to notice every flaw.

Clear all clutter from counter tops.

Let the light in. Raise shades, open blinds, pull back the curtains and turn on the lights.

Get rid of odors such as tobacco, pets, cooking, etc., but don’t overdo air fresheners or potpourri. Fresh baked bread and cinnamon can make a positive impact.

Send pets away or secure them away from the house, and be sure to clean up after them.

Close the windows to eliminate street noise.

If possible you, your pets, and your children should be gone while your home is being shown.

Clean trash cans and put them out of sight.

If you must be present while your home is shown, keep noise down. Turn off the TV and radio. Soft, instrumental music is fine, but avoid vocals.

Keep the garage door closed and the driveway clear. Park autos and campers away from your home during showings

Hang clean attractive guest towels in the bathrooms.

Check that sink and tub are scrubbed and unstained.

Make beds with attractive spreads.

Stash or throw out newspapers, magazines, junk mail.

AZ Sellers Guide | 7
AZ Sellers Guide | 8

Terms You Should Know

Appraisal

An estimate of value of property resulting from analysis of facts about the property; an opinion of value.

Annual Percentage Rate (APR)

The borrower’s costs of the loan term expressed as a rate. This is not their interest rate.

Beneficiary

The recipient of benefits, often from a deed of trust; usually the lender.

Closing Disclosure (CD)

Closing Disclosure form designed to provide disclosures that will be helpful to borrowers in understanding all of the costs of the transaction. This form will be given to the consumer three (3) business days before closing.

Close of Escrow

Generally the date the buyer becomes the legal owner and title insurance becomes effective.

Comparable Sales

Sales that have similar characteristics as the subject real property, used for analysis in the appraisal. Commonly called “comps.”

Consummation

Occurs when the borrower becomes contractually obligated to the creditor on the loan, not, for example, when the borrower becomes contractually obligated to a seller on a real estate transaction. The point in time when a borrower becomes contractually obligated to the creditor on the loan depends on applicable State law. Consummation is not the same as close of escrow or settlement.

Deed of Trust

An instrument used in many states in place of a mortgage.

Deed Restrictions

Limitations in the deed to a parcel of real property that dictate certain uses that may or may not be made of the real property.

Disbursement Date

The date the amounts are to be disbursed to a buyer and seller in a purchase transaction or the date funds are to be paid to the borrower or a third party in a transaction that is not a purchase transaction.

Earnest Money Deposit

Down payment made by a purchaser of real property as evidence of good faith; a deposit or partial payment.

Easement

A right, privilege or interest limited to a specific purpose that one party has in the land of another.

Endorsement

As to a title insurance policy, a rider or attachment forming a part of the insurance policy expanding or limiting coverage.

Hazard Insurance

Real estate insurance protecting against fire, some natural causes, vandalism, etc., depending upon the policy. Buyer often adds liability insurance and extended coverage for personal property.

Impounds

A trust type of account established by lenders for the accumulation of borrower’s funds to meet periodic payments of taxes, mortgage insurance premiums and/or future insurance policy premiums, required to protect their security.

Legal Description

A description of land recognized by law, based on government surveys, spelling out the exact boundaries of the entire parcel of land. It should so thoroughly identify a parcel of land that it cannot be confused with any other.

Lien

A form of encumbrance that usually makes a specific parcel of real property the security for the payment of a debt or discharge of an obligation. For example, judgments, taxes, mortgages, deeds of trust.

Loan Estimate (LE)

Form designed to provide disclosures that will be helpful to borrowers in understanding the key features, costs and risks of the mortgage loan for which they are applying. Initial disclosure to be given to the borrower three (3) business days after application.

Mortgage

The instrument by which real property is pledged as security for repayment of a loan.

PITI

A payment that includes Principal, Interest, Taxes, and Insurance.

Power of Attorney

A written instrument whereby a principal gives authority to an agent. The agent acting under such a grant is sometimes called an “Attorney-in-Fact.”

Recording

Filing documents affecting real property with the appropriate government agency as a matter of public record.

Settlement statement

Provides a complete breakdown of costs involved in a real estate transaction.

TRID

TILA-RESPA Integrated Disclosures

AZ Sellers Guide | 9

The Life Of An Escrow

THE BUYER

Chooses a Real Estate Agent

Gets pre-approval letter from Lender and provides to Real Estate Agent.

Makes offer to purchase. Upon acceptance, opens escrow and deposits earnest money.

Finalizes loan application with Lender. Receives a Loan Estimate from Lender.

Completes and returns opening package from First American Title.

Schedules inspections and evaluates findings. Reviews title commitment/ preliminary report.

Provides all requested paperwork to Lender (bank statements, tax returns, etc.) All invoices and final approvals should be to the lender no later than 10 days prior to loan consummation.

Lender (or Escrow Officer) prepares CD and delivers to Buyer at least 3 days prior to loan consummation.

Escrow officer or real estate agent contacts the buyer to schedule signing appointment.

Buyer consummates loan, executes settlement documents, & deposits funds via wire transfer.

Documents are recorded and the keys are delivered!

THE SELLER

Chooses a Real Estate Agent

Accepts Buyer’s offer to purchase.

Completes and returns opening package from First American Title, including information such as forwarding address, payoff lender contact information and loan numbers.

Orders any work for inspections and/or repairs to be done as required by the purchase agreement.

Escrow officer or real estate agent contacts the seller to schedule signing appointment.

Documents are recorded and all proceeds from sale are received.

THE ESCROW OFFICER

Upon receipt of order and earnest money deposit, orders title examination.

Requests necessary information from buyers and sellers via opening packages.

Reviews title commitment / preliminary report.

Upon receipt of opening packages, orders demands for payoffs. Contacts buyer or seller when additional information is required for the title commitment/ preliminary report.

All demands, invoices, and fees must be collected and sent to lender at least 10 days prior to loan consummation.

Coordinates with lender on the preparation of the CD.

Reviews all documents, demands, and instructions and prepares settlement statements and any other required documents.

Schedules signing appointment and informs buyer of funds due at settlement.

Once loan is consummated, sends funding package to lender for review.

Prepares recording instructions and submits docs for recording.

Documents are recorded and funds are disbursed. Issues final settlement statement.

THE LENDER

Accepts Buyer’s application and begins the qualification process. Provides Buyer with Loan Estimate.

Orders and reviews title commitment / preliminary report, property appraisal, credit report, employment and funds verification.

Collects information such as title commitment / preliminary report, appraisal, credit report, employment and funds verification. Reviews and requests additional information for final loan approval.

Underwriting reviews loan package for approval.

Coordinates with Escrow Officer on the preparation of the Closing Disclosure, which is delivered to Buyer at least 3 days prior to loan consummation.

Delivers loan documents to escrow.

Upon review of signed loan documents, authorizes loan funding.

AZ Sellers Guide | 10

Closing Costs: Who Pays What

CASH FHA VA CONV

1. Downpayment BUYER BUYER BUYER BUYER

2. Termite (Wood Infestation) Inspection (negotiable except on VA) SELLER

3. Property Inspection (if requested by buyer) BUYER BUYER BUYER BUYER

4. Property Repairs, if any (negotiable) SELLER SELLER SELLER SELLER

5. New Loan Origination Fee (negotiable) BUYER BUYER BUYER

6. Discount Points (negotiable) BUYER BUYER BUYER

7. Credit Report BUYER BUYER BUYER

8. Appraisal or Extension Fee (negotiable) BUYER BUYER BUYER

9. Existing Loan Payoff SELLER SELLER SELLER SELLER

10. Existing Loan Payoff Demand SELLER SELLER SELLER SELLER

11. Loan Prepayment Penalty (if any) SELLER SELLER SELLER SELLER

12. Next Month’s PITI Payment BUYER BUYER BUYER

13. Prepaid Interest (approx. 30 days) BUYER BUYER BUYER

14. Reserve Account Balance (Credit seller / Charge buyer) PRORATE PRORATE PRORATE

15. FHA MIP, VA Funding Fee, PMI Premium BUYER BUYER BUYER

16. Assessments payoff or proration (sewer, paving, etc.) SELLER

Taxes PRORATE PRORATE PRORATE PRORATE

Tax Impounds BUYER BUYER BUYER

Tax Service Contract SELLER SELLER BUYER

Fire/Hazard Insurance BUYER BUYER BUYER BUYER

Flood Insurance BUYER BUYER BUYER

Homeowners Association (HOA) Transfer Fee BUYER or SELLER BUYER or SELLER BUYER or SELLER BUYER or SELLER

SELLER SELLER SELLER SELLER

PRORATE PRORATE PRORATE PRORATE

BUYER BUYER BUYER BUYER

BUYER

SELLER BUYER or SELLER BUYER or SELLER BUYER or SELLER

SELLER SELLER SELLER SELLER

SELLER SELLER SELLER SELLER

BUYER BUYER BUYER

SPLIT SPLIT SELLER SPLIT

SPLIT SPLIT SPLIT SPLIT

SELLER SELLER SELLER SPLIT

SPLIT SPLIT SELLER SPLIT

AZ Sellers Guide | 11
17.
18.
19.
20.
21
22.
23. HOA/Disclosure Fee
24 Current HOA Payment
25. Next Month’s HOA Payment
26. Home Warranty Premium (negotiable)
or
27. REALTORS®’ Commissions
28. EAGLE Homeowners Title Policy
29. Lenders Title Policy and Endorsements
30. Escrow Fee (NOTE: Charge seller on VA Loan)
31. Recording Fees (Flat rate)
32. Reconveyance/Satisfaction Fee
33. Courier/Express Mail Fees
THIS CHART INDICATES WHO CUSTOMARILY PAYS WHAT COSTS Note: Prorated items will appear on Closing Statement as charges for one and credits for the other.

The Escrow Process

WHAT IS AN ESCROW?

The escrow is the process of having a neutral party manage the exchange of money for real property. The escrow holder is known as an escrow or settlement officer or agent. The buyer deposits funds and the seller deposits a deed with the escrow holder along with all of the other documents required to remove all "contingencies" (conditions and approvals) in the purchase agreement prior to closing.

HOW IS AN ESCROW OPENED?

Once a purchase agreement is signed by all necessary parties, the agent representing the party who will pay the fee selects an escrow holder and the buyer's earnest money deposit and contract are submitted to the escrow holder. From this point, the escrow holder will follow the mutual written instructions of the buyer and seller, maintaining a neutral stance to ensure that neither party has an unfair advantage over the other. The escrow holder also follows the instructions of the Buyer's new lender, the seller's existing lender, and both parties' agents. The escrow holder ensures the transparency of the transaction, while carefully maintaining the privacy of the consumers.

AZ Sellers Guide | 12

Your Escrow Professional May:

Open escrow and deposit good faith funds into an escrow account

Conduct a title search to determine the ownership and title status of the real property

Review the title commitment and begin the process of working with you and the title officer to eliminate the title exceptions the buyer and the buyer’s new lender are not willing to take subject to. This includes ordering a payoff demand from your existing lender.

Coordinate with the buyer’s lender on the preparation of the Closing Disclosure (CD)

Prorate fees, such as real property taxes, per the contract and prepare the settlement statement

Set separate appointments allowing the buyer and seller to sign documents and deposit funds

Review documents and ensure all conditions are fulfilled and certain legal requirements are met

Request funds from buyer and buyer’s new lender

When all funds are deposited and conditions met, record documents with the County Recorder to transfer the real property to the buyer

After recording is confirmed, close escrow and disburse funds, including proceeds, loan payoffs, tax payments, and more

Prepare and send final documents to all parties

AZ Sellers Guide | 13

Understanding Title Insurance

The Title Industry & Title Insurance in Brief

Prior to the development of the title industry in the late 1800s, a home-buyer received a grantor’s warranty, attorney’s title opinion, or abstractor’s certificate as assurance of home ownership. The buyer relied on the financial integrity of the grantor, attorney, or abstractor for protection. Today, home-buyers look primarily to title insurance to provide this protection. Title insurance companies are regulated by state statute. They are required to post financial guarantees to ensure that any claims will be paid in a timely fashion. They also must maintain their own “title plants” which house duplicates of recorded deeds, mortgages, plats, and other pertinent county property records.

WHAT IS TITLE INSURANCE?

Title insurance provides coverage for certain losses due to defects in the title that, for the most part, occurred prior to your ownership. Title insurance protects against defects such as prior fraud or forgery that might go undetected until after closing and possibly jeopardize your ownership and investment.

WHY IS TITLE INSURANCE NEEDED?

Title insurance insures buyers against the risk that they did not acquire marketable title from the seller. It is primarily designed to reduce risk or loss caused by defects in title from the past. A loan policy of title insurance protects the interest of the mortgage lender, while an owner’s policy protects the equity of you, the buyer, for as long as you or your heirs (in certain policies) own the real property.

WHEN IS THE PREMIUM DUE?

You pay for your owner’s title insurance policy only once, at the close of escrow. Who pays for the owner’s policy and loan policy varies depending on local customs.

AZ Sellers Guide | 14

Compare First American’s Eagle Policy® for Owners

Protection from:

1 Someone else owns an interest in your title

2 A document is not properly signed

3 Forgery, fraud, duress in the chain of title

4 Defective recording of any document

5 There are restrictive covenants

6 There is a lien on your title because there is:

a) a deed of trust

b) a judgement, tax, or special assessment

c) a charge by a homeowner’s association

7 Title is unmarketable

8 Mechanics lien

9 Forced removal of a structure because it:

a) extends on another property and/or easement

b) violates a restriction in Schedule B

c) violates an existing zoning law*

10 Cannot use the land for a Single-Family Residence because the use violates a restriction in Schedule B or a zoning ordinance

11 Unrecorded lien by a homeowners association

12 Unrecorded easements

13 Building permit violations*

14 Restrictive covenant violations

15 Post-policy forgery

16 Post-policy encroachment

17 Post-policy damage from extraction of minerals or water

18 Lack of vehicular and pedestrian access

19 Map not consistent with legal description

20 Post-policy adverse possession

Compare First American’s Eagle Policy® for Owners

21

22

23

Post-policy prescriptive easement

Covenant violation resulting in your title reverting to a previous owner

Violation of building setback regulations

24 Discriminatory covenants

Other benefits:

25 Pays rent for substitute land or facilities

26 Rights under unrecorded leases

27

28

29

30

Plain language statements of policy coverage and restrictions

Compliance with Subdivision Map Act

Coverage for boundary wall or fence encroachment*

Added ownership coverage leads to enhanced marketability

31 Insurance coverage for a lifetime

32

Post-policy inflation coverage with automatic increase in value up to 150% over five years

33 Post-policy Living Trust coverage

* Deductible and maximum limits apply. Not available to investors on 1- to 4-unit residential properties. Coverage may vary based on an individual policy.

As with any insurance contract, the insuring provisions express the coverage afforded by the title insurance policy and there are exceptions, exclusions and conditions to coverage that limit or narrow the coverage afforded by the policy. Also, some cov erage may not be available in a particular area or transaction due to legal, regulatory, or underwriting considerations. Please contact a First American representative for further information. The services described above are typical basic services. The services provided to you may be different due to the specifics of your transaction or the location of the real property involved.

EAGLE ALTA Standard or CLTA EAGLE ALTA Standard or CLTA
AZ Sellers Guide | 15

Consider This

One escrow transaction could involve more than 20 individuals, including real estate agents, buyers, sellers, attorneys, escrow officer, escrow technician, title officer, loan officer, loan processor, loan underwriter, home inspector, termite inspector, insurance agent, home warranty representative, contractor, roofer, plumber, pool service, and so on. And often, one transaction depends on another.

When you consider the number of people involved, you can imagine the opportunities for delays and mishaps. Your experienced escrow team can’t prevent unforeseen problems from arising; however, they can help smooth out the process.

AZ Sellers Guide | 16

Closing Your Escrow

THE CLOSING DISCLOSURE

Once the loan is approved and all invoices and paperwork have been provided, the lender and escrow officer will collaborate on the preparation of the Closing Disclosure (CD). In order to close on time, all paperwork and invoices should be submitted at least 10 days prior to the expected close of escrow date. The borrower must receive the CD at least three days* prior to consummation of the loan (typically the signing date). The escrow officer will also prepare an estimated settlement statement and inform the buyer of the balance of the down payment and closing costs needed to close escrow.

*For purposes of the Closing Disclosure“business day” is defined as every day except Sundays and Federal legal holidays.

THE CLOSING OR SIGNING APPOINTMENT

The escrow holder will contact you or your agent to schedule a closing or signing appointment. In some states, this is the "close of escrow." In some others, the close of escrow is either the day the documents record or that funds are disbursed. Ask your escrow holder if you would like clarification about your state's laws.

You will have a chance to review the settlement statement and supporting documentation. This is your opportunity to ask questions and clarify terms. You should review the settlement statement carefully and report discrepancies to the escrow officer. This includes any payments that may have been missed. You are responsible for all charges incurred even if overlooked by the escrow holder, so it's better to bring these to their attention before closing.

The escrow holder is obligated by law to have the designated amount of money before releasing any funds. If you have questions or foresee a problem, let your escrow holder know immediately.

DON'T FORGET YOUR IDENTIFICATION

You will need valid identification with your photo I.D. on it when you sign documents that need to be notarized (such as a deed). A driver's license is preferred. You will also be asked to provide your social security number for tax reporting purposes, and a forwarding address.

WHAT HAPPENS NEXT?

If the buyer is obtaining a new loan, the buyer’s signed loan documents will be returned to the lender for review. The escrow holder will ensure that all contract conditions have been met and will ask the lender to "fund the loan."

If the loan documents are satisfactory, the lender will send funds directly to the escrow holder. When the loan funds are received, the escrow holder will verify that all necessary funds are in. Escrow funds will be disbursed to the seller and other appropriate payees. Then, the REALTOR® will present the keys to the property to the buyer.

AZ Sellers Guide | 17

Planning your move

SIX WEEKS BEFORE:

Create an inventory sheet of items to move.

Research moving options You’ll need to decide if yours is a do-it-yourself move or if you’ll be using a moving company.

Request moving quotes Solicit moving quotes from as many moving companies and movers as possible. There can be a large difference between rates and services within moving companies.

Discard unnecessary items Moving is a great time for ridding yourself of unnecessary items. Have a yard sale or donate unnecessary items to charity.

Packing materials. Gather moving boxes and packing materials for your move.

Contact insurance companies. (Life, Health, Fire, Auto) You’ll need to contact your insurance agent to cancel/transfer your insurance policy. Do not cancel your insurance policy until you have and closed escrow on the sale.

Seek employer benefits. If your move is work-related, your employer may provide funding for moving expenses. Your human resources rep should have information on this policy.

Changing Schools. If changing schools, contact new school for registration process.

FOUR WEEKS BEFORE:

Contact utility companies Set utility turnoff date, seek refunds and deposits and notify them of your new address.

Obtain your medical records. Contact your doctors, physicians, dentists and other medical specialists who may currently be retaining any of your family’s medical records. obtain these records or make plans for them to be delivered to your new medical facilities.

Note food inventory levels Check your cupboards, refrigerator and freezer to use up as much of your perishable food as possible.

Service small engines for your move by extracting gas and oil from the machines. This will reduce the chance to catch fire during your move.

Protect jewelry and valuables. Transfer jewelry and valuables to safety deposit box so they can not be lost or stolen during your move.

Borrowed and rented items. Return items which you may have borrowed or rented. Collect items borrowed to others.

ONE WEEK BEFORE:

Plan your itinerary. Make plans to spend the entire day at the house or at least until the movers are on their way. Someone will need to be around to make decisions. Make plans for kids and pets to be at the sitters for the day.

Change of address. Visit USPS for change of address form.

Bank accounts Notify bank of address change. Make sure to have a money order for paying the moving company if you are transferring or closing accounts.

Service automobiles If automobiles will be driven long distances, you’ll want to have them serviced for a trouble-free drive.

Cancel services. Notify any remaining service providers (newspapers, lawn services, etc) of your move.

Start packing. Begin packing for your new location.

Travel items. Set aside items you’ll need while traveling and those needed until your new home is established. Make sure these are not packed in the moving truck!

Scan your furniture. Check furniture for scratches and dents before so you can compare notes with your mover on moving day.

Prepare Floor Plan. Prepare floor plan for your new home. This will help avoid confusion for you and your movers.

MOVING DAY:

Review the house. Once the house is empty, check the entire house (closets, the attic, basement, etc) to ensure no items are left or no home issues exist.

Sign the bill of lading. Once your satisfied with the mover’s packing your items into the truck, sign the bill of lading. If possible, accompany your mover while the moving truck is being weighed.

Double check with your mover. Make sure your mover has the new address and your contact information should they have any questions during your move.

Vacate your home. Make sure utilities are off, doors and windows are locked and notify your real estate agent you’ve left the property.

AZ Sellers Guide | 18

Your Notes:

AZ Sellers Guide | 19

Your Notes:

AZ Sellers Guide | 20

Your Notes:

AZ Sellers Guide | 21

First American Title Branch Locator

1 SUN CITY WES T

623.299.3644

13940 W. Meeker Blvd., #119

Sun City West, AZ 85375

N of Meeker Blvd

W of R.H. Johnson

2 GOODYEAR

623.936.8001

1626 N. Litchfield Rd. Ste. #170

Goodyear, AZ 85395

NW corner of McDowell & Litchfield

3 ARROWHEAD

623.487.0404

16165 N. 83rd Ave , #100

Peoria, AZ 85382

S of Bell/E side of 83rd Ave

4 THE LEGENDS

623.537.1608

20241 N. 67th Ave , #A-2

Glendale, AZ 85308

E side 67th Ave/N of 101

5 ANTHEM

623.551.3265

39508 N. Daisy Mountain Dr., #128 Anthem, AZ 85086

NE corner Daisy Mtn Dr/ Gavilan Peak Pkwy

6 BILTMORE

602.954.3644

3200 E Camelback Rd., #123

Phoenix, AZ 85018

NE Corner of Camelback/32nd Street

7 DESERT RIDGE

480.515 4369

20860 N. Tatum Blvd , #100 Phoenix, AZ 85050

NW corner of Tatum/Loop 101

8 CAREFREE 480.575.6609

7202 E. Carefree Dr , Bldg 1, #1 Carefree, AZ 85377

NE corner of Tom Darlington/ Carefree Dr.

9 KIERLAND COMMONS

480.948.6488

14648 N Scottsdale Rd., Ste. #100 Scottsdale, AZ 85254

W of Scottsdale Road, S side of Greenway

10 SCOTTSDALE FORUM

480.551.0480

6263 N. Scottsdale Rd., #110 Scottsdale, AZ 85250

E Side Scottsdale/S of Lincoln

11 DC CROSSING

480.563.9034

18291 N. Pima Rd , #145 Scottsdale, AZ 85255

SE corner of Pima/Legacy

12 AHWATUKEE

480.753.4424

4435 E. Chandler Blvd , #100 Phoenix, AZ 85048

SW corner Chandler/45th St.

13 CHANDLER PORTICO

480.777.0051

2121 W. Chandler Blvd., #215 Chandler, AZ 85224

SW Corner Chandler Blvd./ Dobson Rd.

14 GILBERT SAN TAN 480.777.0614

1528 E. Williams Field Rd., #101 Gilbert, AZ 85295

NW corner of Williams Field Rd./ Val Vista Rd.

15 MESA 480.401.3738

1630 S. Stapley Dr., #123 Mesa, AZ 85204

N of Baseline / W of Stapley

16 RED MOUNTAIN

480.534.3599

1135 N. Recker Rd , #103 Mesa, AZ 85205

SE corner of Recker & Brown

17 GOLD CANYON

480.288.0883

6877 South Kings Ranch Rd., #5 Gold Canyon, AZ 85118

E of 60/

South Side Kings Ranch Rd.

1 4 3 2 6 12 10 5 8 7 11 9 CRISMON SIGNAL BUTTE GOLDFIELD OLDWESTHWY SKINGSRANCH 14 17 15 13 16 Central Arizona
AZ Sellers Guide | 22

For more information please contact your First American representative. www.firstam.com

©2021 First American Financial Corporation and/or its affiliates. All rights reserved. NYSE: FAF

First American Title Insurance Company, and the operating divisions thereof, make no express or implied warranty respecting the information presented and assume no responsibility for errors or omissions. First American, the eagle logo, First American Title, and firstam.com are registered trademarks or trademarks of First American Financial Corporation and/or its affiliates.

05110281121

Turn static files into dynamic content formats.

Create a flipbook
Issuu converts static files into: digital portfolios, online yearbooks, online catalogs, digital photo albums and more. Sign up and create your flipbook.