800 N Camino Del Codorniz - Pima county

Page 1

Before you wire funds to any party (including your lawyer, title agent, mortgage broker, or real estate agent) personally meet them or call a verified telephone number (not the telephone number in the email) to confirm before you act!

Criminals are targeting social media and email to steal information. This is particularly common in real estate transactions because sensitive data, including social security numbers, bank account numbers, and wire instructions are often sent by electronic means. We do not want you to be the next victim of wire fraud. Money wired to a fraudulent account is stolen money that typically cannot be recovered. Additionally, there is generally no insurance for this loss. You may never get the money back.

DO NOT TRUST EMAILS CONTAINING WIRE INSTRUCTIONS

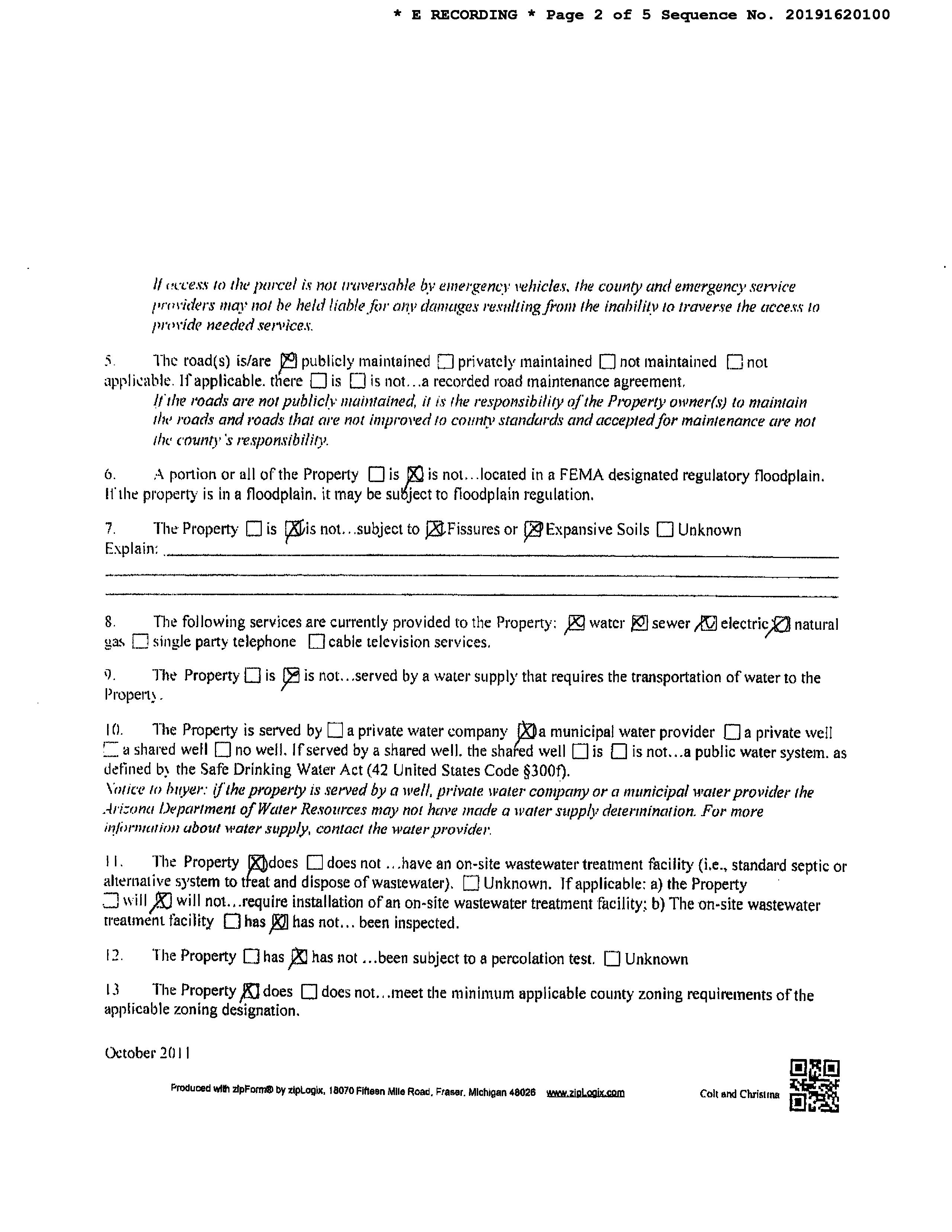
The Federal Bureau of Investigation @ https://www.fbi.gov/scams and safety

Client Date Client Date

WIRE FRAUD ADVISORY

PROTECT YOURSELF VERIFY AND NOTIFY

Immediately notify your banking institution and Settlement/Title Company if you are a victim of wire fraud.

DO NOT TRUST EMAILS SEEKING PERSONAL/FINANCIAL INFORMATION

ONLINE RESOURCES:

• If you receive an email requesting personal/financial information or asking you to download, click on a link, send, and/or do anything that may seem unusual to you, call your escrow officer immediately prior to acting on the suspicious email to verify the validity of the email.

• If you receive an email containing wire transfer instructions, immediately call your escrow officer to ensure the validity of the instructions.

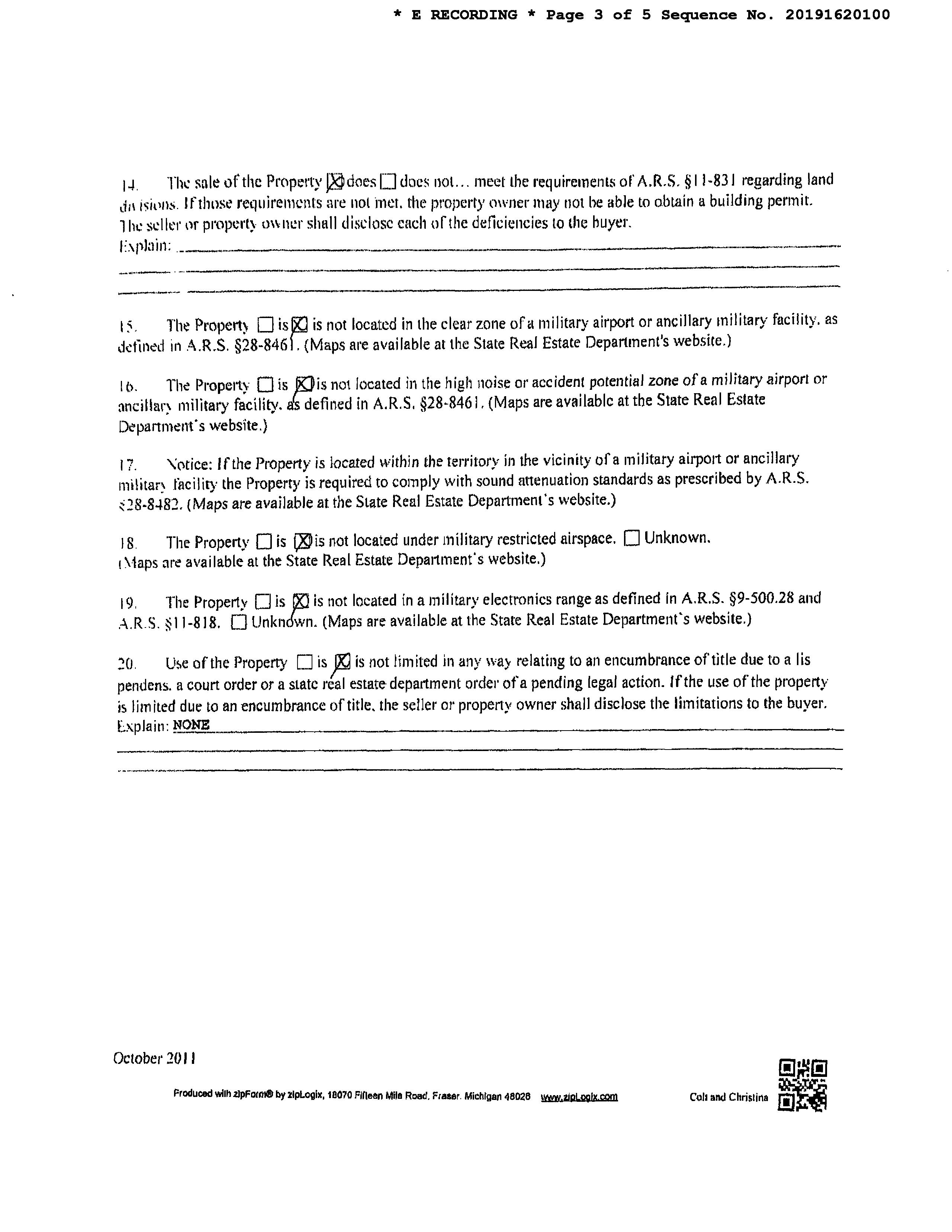
There are many online sources that can provide useful information regarding similar topics including, but not limited to, the following sites:

The National White Collar Crime Center @ http://www.nw3c.org/research

On Guard Online @ www.onguardonline.gov

TRUST YOUR SOURCE OF INFORMATION

• It is imperative that this call be made to a number obtained in person from the individual or through other reliable means, not from a number provided in the email or the wiring instructions

The undersigned acknowledges receipt of this Wire Fraud Advisory.

The Internet Crime Complaint Center @ www.ic3.gov

• Never direct, accept or allow anyone in the transaction to consent to receiving transfer instructions without a direct personal telephone call to the individual allegedly providing the instructions.

LIMITATION OF LIABILITY FOR INFORMATIONAL REPORTS

This report is not an insured product or service or a representation of the condition of title to real property. It is not an abst ract, legal opinion, opinion of title, title insurance commitment or preliminary report, or any form of Title Insurance or Guaranty. This report is issued exclusively for the benefit of the Applicant therefor and may not be used or relied upon by any other person. This report may not be reproduced in any manner without First American or Title Security's prior written consent. First American or Title Security does not represent or warrant that the information herein is complete or free from error, and the information herein is provided without any warranties of any kind, as-is, and with all faults. As a material part of the consideration given in exchange for the issuance of this report, recipient agrees that First American or Title Security's sole liability for any loss or damage caused by an error or omission due to inaccurate information or negligence in preparing this report shall be limited to the fee charged for the report. Recipient accepts this report with this limitation and agrees that First American or Title Security would not have issued this report but for the limitation of liability described above. First American or Title Security makes no representation or warranty as to the legality or propriety of recipient's use of the information herein.

IMPORTANT -- PLEASE READ CAREFULLY:

First

Subject Property 800 N Camino Del Codorniz APN:AZTucson85748205-54-0160

Data Provided By: American Title Ins Co

© 2022 CoreLogic. All rights reserved

© 2022 CoreLogic. All rights reserved

Disclaimer

Data Provided By: First American Title Ins Co

This REiSource report is provided "as is" without warranty of any kind, either express or implied, including without limitations any warrantees of merchantability or fitness for a particular purpose. There is no representation of warranty that this information is complete or free from error, and the provider does not assume, and expressly disclaims, any liability to any person or entity for loss or damage caused by errors or omissions in this REiSource report without a title insurance policy.

The information contained in the REiSource report is delivered from your Title Company, who reminds you that you have the right as a consumer to compare fees and serviced levels for Title, Escrow, and all other services associated with property ownership, and to select providers accordingly. Your home is the largest investment you will make in your lifetime and you should demand the very best.

© 2022 CoreLogic. All rights reserved

Living Area : 3,371 Roof Material : Built-up Air Cond : Refrigeration

County : Pima, Az

Map Reference : 08-14S-16E

Recording/Sale Date : 06/11/2019 / 06/04/2019

School District : Tanque Verde

Seller Name : James Colt R & Christina J

Property Characteristics

Legal Description : W640.14' Se4 Ne4 Exc S982.14' & Exc W15' 4.85 Ac Sec 8-14-16

# of Stories : 1 Exterior wall : Frame Wood Bath Fixtures : 10

Parking Type : Carport Patio Type : Covered Patio Pool Size : 450

Prior Doc Number : 3380443

Title Company : Catalina Title Agcy

Customer Name : Jeremiah Stiffler

Owner OccupiedIndicator : O

Document # : 1620099

Year Built / Eff : 1979 Cooling Type : Forced Air Condition : Excellent

Total Rooms : 7 Heat Type : Forced Air Quality : Good

Gross Area : 3,371 Capacity :Garage 2 Pool : Pool

Census Tract / Block : 40.44 / 2

Prior 1st Mtg Amt/Type : $400,000 / Conv

Township-Range- Sect : 14S-16E-8

Munic/Township : Tanque Verde

Prior Sale Information

Prior Sale Price : $550,000

Prior Deed Type : Warranty Deed

Prior Lender : Citibank Na

Prior Rec/Sale Date : 12/04/2015 / 12/02/2015

Market Area : 91

Subject Property :   800 N Camino Del Codorniz Tucson AZ 85748

APN : 205-54-0160

Last Market Sale Information

Deed Type : Warranty Deed

Owner Name : Mks Imaging Technology Llc

Location Information

Owner Information

Sale Price : $575,000

Mailing Address : 800 N Camino Del Codorniz, Tucson AZ 85748-7111 C010

Price Per SqFt : $170.57

Customer Company Name : First American Prepared On : 09/15/2022

Assessed Year : 2021 Market Value : $561,293

Current YearValue :Land $50

Property Information

Total Value : $561,293

State Use : Single Fam Resurban Non Subd

County Use : Single Fam Resurban Non Subd Lot Acres : 4.85

Tax Information

Property Tax : $5,929.28

Customer Name : Jeremiah Stiffler

Current YearValue :Total $67,158

Total TaxableValue : $52,667

Tax Year : 2021 Current AssessedYear : 2023

Land Use : Sfr Zoning : SR Lot Size : 211,266

Customer Company Name : First American Prepared On : 09/15/2022

© 2022 CoreLogic. All rights reserved

Tax Rate Area : 1300 Current ImprovementYearValue : $67,108

Criteria

2 12220 E 5th St 1,000,000 526,695 04/08/2022 4 2,926 145,650 1996 0.49 SR

6

Summary

Customer Name : Jeremiah Stiffler Company : First American Prepared On : 09/15/2022

Name

© 2022 CoreLogic. All rights reserved

Stories 1 1

BathroomsBedrooms 4

1 12650 E Speedway Blvd 400,000 558,007 07/01/2022 2 3,345 405,979 1985 0.25 SR

Distressed

1 Total

S 800 N Camino Del Codorniz 575,000 561,293 06/11/2019 4 3,371 211,266 1979 SR

Year Built 1979 1977 2001 1990 Lot Size 211,266 25,299 405,979 111,020 2 5 4 2 Assessed Value $561,293 $396,563 $558,007 $482,301

3 12410 E Barbary Coast Rd 680,000 396,563 09/28/2021 2 3,014 25,453 1977 0.75 CR-1

Customer

4 12335 E Barbary Coast Rd 725,000 423,668 05/18/2022 5 3,022 25,299 1978 0.82 CR-1 1725 N Wentworth Rd 895,000 507,468 02/10/2022 4 3,088 33,086 2001 0.82 CR-1 12225 E Gold Dust Dr 725,000 481,406 03/07/2022 4 3,106 30,650 2000 0.94 CR-1 Sales =

of Comparables # Address Sale Price TotalValueAssessed Sale Date Bed Bath Living Area Lot Size YearBuilt (Miles)Dist Zoning

5

Sales Analysis

Bldg/Living Area 3371 2926 3345 3084

Distance From Subject 0 0.25 0.94 0.68

Subject Property Low High Average

Sale Price $575,000 $400,000 $1,000,000 $737,500

Price Per Square Foot $170.57 $120 $342 $241.69

Map

Customer Company Name : First American Prepared On : 09/15/2022

Customer Name : Jeremiah Stiffler

© 2022 CoreLogic. All rights reserved

APN / Alternate APN: 205-50-1040 / Deed Type: Warranty Deed Land Use: Sfr Subdivision / Tract: Forty Niners Cc Estates / Lot Size: 25,453

# of units: Document #: 2710759 Bedrooms: Pool: Total Tax Value: $396,563 Bath(F/H): /

#4   12335 E Barbary Coast Rd Tucson Az 85749

Customer Name : Jeremiah Stiffler

Deed Type: Warranty Deed

#1   12650 E Speedway Blvd Tucson Az 85748

© 2022 CoreLogic. All rights reserved

Land Use: Sfr Subdivision / Tract: / Lot Size: 405,979

Deed Type: Warranty Deed Land Use: Sfr Subdivision / Tract: Saguaro Cerro Estates / Lot Size: 145,650

Owner Name: Ludu Michael D /Denine Ann Holmes

Details of Comparables

# of units: Document #: 980317 Bedrooms: Pool: Total Tax Value: $526,695 Bath(F/H): /

Owner Name: Clary David E /Clary Lynd I

Customer Company Name : First American Prepared On : 09/15/2022

Year Built / Eff: 1985 / Rec. Date / Price: 07/01/2022 / $400,000 Living Area: 3,345 # of units: Document #: 1820044

Subject Property: 800 N Camino Del Codorniz Tucson Az 85748

#3   12410 E Barbary Coast Rd Tucson Az 85749

#2   12220 E 5th St Tucson Az 85748

Year Built / Eff: 1977 / Rec. Date / Price: 09/28/2021 / $680,000 Living Area: 3,014

APN / Alternate APN: 205-55-017C /

Owner Name: Mks Imaging Technology Llc / APN / Alternate APN: 205-54-0160 /

# of units: Document #: 1620099 Bedrooms: Pool: Pool Total Tax Value: $561,293 Bath(F/H): /

Bedrooms: Pool: Total Tax Value: $558,007 Bath(F/H): /

Owner Name: Obler Andrew M /Corning Cybil

APN / Alternate APN: 205-54-001D /

# of units: Document #: 1380476 Bedrooms: Pool: Pool Total Tax Value: $423,668 Bath(F/H): /

Year Built / Eff: 1979 / Rec. Date / Price: 06/11/2019 / $575,000 Living Area: 3,371

Land Use: Sfr Subdivision / Tract: / Lot Size: 211,266

Owner Name: Gold Jeffrey E /

Year Built / Eff: 1996 / Rec. Date / Price: 04/08/2022 / $1,000,000 Living Area: 2,926

APN / Alternate APN: 205-50-0370 / Deed Type: Warranty Deed

Deed Type: Warranty Deed

Land Use: Sfr Subdivision / Tract: Forty Niners Cc Estates / Lot Size: 25,299

Year Built / Eff: 1978 / Rec. Date / Price: 05/18/2022 / $725,000 Living Area: 3,022

Rec. Date / Price: 02/10/2022 / $895,000 Living Area: 3,088

# of units: Document #: 660636 Bedrooms: Pool: Pool

Customer Name : Jeremiah Stiffler

Deed Type: Warranty Deed Land Use: Sfr Subdivision / Tract: Forty Niners Cc Estates / Lot Size: 33,086

Total Tax Value: $507,468 Bath(F/H): /

Year Built / Eff: 2001 /

Owner Name: Feitman Rhonda L / APN / Alternate APN: 205-50-0400 /

#6   12225 E Gold Dust Dr Tucson Az 85749

Total Tax Value: $481,406 Bath(F/H): /

Deed Type: Warranty Deed Land Use: Sfr Subdivision / Tract: Forty Niners Cc Estates / Lot Size: 30,650

# of units: Document #: 410952 Bedrooms: Pool: Pool

Owner Name: Jones William M / APN / Alternate APN: 205-50-1560 /

Customer Company Name : First American Prepared On : 09/15/2022

© 2022 CoreLogic. All rights reserved

#5   1725 N Wentworth Rd Tucson Az 85749

Year Built / Eff: 2000 / Rec. Date / Price: 03/07/2022 / $725,000 Living Area: 3,106

Customer Company Name : First American Prepared On : 09/15/2022

Subject Property :   800 N Camino Del Codorniz Tucson AZ 85748

Customer Name : Jeremiah Stiffler

© 2022 CoreLogic. All rights reserved

Customer Name : Jeremiah Stiffler

Customer Company Name : First American Prepared On : 09/15/2022

© 2022 CoreLogic. All rights reserved

SchoolsArizona For detailed information and statistics on Arizona schools please go ©2021FirstFirsthttps://azreportcards.azed.gov/toAmericanTitleInsuranceCompany,andtheoperatingdivisionsthereof,makenoexpressorimpliedwarrantyrespectingtheinformationpresentedandassumenoresponsibilityforerrorsoromissions.American,theeaglelogo,FirstAmericanTitle,andfirstam.comareregisteredtrademarksortrademarksofFirstAmericanFinancialCorporationand/oritsaffiliates.FirstAmericanFinancialCorporationand/oritsaffiliates.Allrightsreserved.NYSE:FAF05117910421

WAnamax Mine Rd dRhRiGWacaanc Road424 WRagged Top Rd W Ruby Star Dr WBritten RanchRd W Pima Mine Rd S Mcgee RanchRd E Edw n Rd SGuildRd 80 NKINNEYRD SPICACHOHWYE BAUMGARTNER RD SNANDARIORDNANWAYRD W VALENCIA RD W MOORE RD W INA RD ESN1TAV E SUNRISE DR E SNYDER RDNSILVERBELLRD TRSNOLDIERLE RIVER RDE PRINCE RD E SPEEDWAY BLVD SFREEMANRDE 22ND ST E 22ND ST W IRVINGTON RD SNOGALESHWY W VALENCIA RDSMISSIONRDWSPEEDWAY BLVD SOLDSPANISHTRL W NARANJA DR W TWIN PEAKS RD W PICTURE ROCKS RD W MANVILLE RD SKINNEYRD W MILE WIDE RD E SAHUARITA RD NTRICORD OSSANDARRD PARK LINK DR SOLDNOGALESHWY GUOSHHTONRD ADCSLAANADRW HELMET PEAK RD WAJOHWY RNASNWD RDKOLBS SHOUGHTONRD W TANGERINE RD E GRANT RD SHOUGHTONRD 95 WAJOHWY E VALENCIA RD NORACLERD I-10 I-19 77 77 77 86 86 286 10 19 10 10 Corona de Tucson AdobesCasas Catalina Green Valley Oracle Picture Rocks Three Points VailSummit TanqueVerde SahuaritaTucson Red Rock Saddlebrooke Marana Oro Valley Rillito SummerhavenWillow Canyon Oracle Junction Cortaro Continental Littletown 20 30 13 15 51 39 12 01 01 08 10 16 11 06 PIMA COUNTY School District Information This map is provided for general location only. Please contact school districts for actual street boundaries SCHOOL DISTRICTS 15 AJO

06

111

UNIFIED 2101

SHelvetiaRdUNIFIED N. Well Road, Ajo, AZ 85321 520.387.5618 VALLEY S. Sasabe Road, Tucson, AZ 85736 520.822.1484 W. Wetmore, Tucson, AZ 85705 520.696.5000 FOOTHILS E. River Road, Tucson, AZ 85718 520.209.7500 CONTINENTAL ELEMENTARY 1991 E. Whitehouse Canyon, Green Valley, AZ 85614 520.625.4581 FLOWING WELLS UNIFIED 1556 W. Prince Road, Tucson, AZ 85705 520.696.8800 MARANA UNIFIED 11279 W. Grier Road, Marana, AZ 85653 520.682.3243 PIMA COUNTY JTED 2855 W. Master Pieces Dr, Tucson, AZ 85741 520.352.5833 SAHUARITA UNIFIED W. Sahuarita Road, Sahuarita, AZ 85629 520.625.3502 SUNNYSIDE UNIFIED 2238 E. Ginter Road, Tucson, AZ 85706 520.545.2000

11

12

10 AMPHITHEATER UNIFIED 701

08

350

TANQUE VERDE UNIFIED 2300 N. Tanque Verde Loop, Tucson, AZ 85749 520.749.5751 TUCSON UNIFIED 1010 E. 10th Street, Tucson, AZ 85717 520.225.6000 VAIL UNIFIED 10701 E. Mary Ann Cleveland Way, Tucson, AZ 85747 520.879.2000

20

01

First American Title Insurance Company, and the operating divisions thereof, make no express or implied warranty respecting the information presented and assume no responsibility for errors or omissions. First American, the eagle logo, First American Title, and firstam.com are registered trademarks or trademarks of First American Financial Corporation and/or its affiliates. ©2021 First American Financial Corporation and/or its affiliates. All rights reserved. NYSE: FAF

05249570321 AIRPORTINT'LTUCSON Air Force WSilverbellRd SSantaRitaRd NMtLemmon Hwy ESascoRd NF38 W Avra Valley Rd E Grand Va ey DrNAguirreRd dRkLNuce dRWNentzNWatermanMountainRd RdAnwayN W El Tiro Rd NTricoRd W Tucker Rd W Rudas l Rd W Manvi e Rd SSanJoaquinRdWBopp Rd W Snyder H l RddRSMarsear W Park Rd W Hermans RdW Hermans Rd W Guy St W Bush Rd SGaveyRd eaCNRinconado SWmoRd SShawRd SSierritaMountainRd SKobRdW TwinButtes Rd W Mcgee Ranch Rd ESstancaDr

EDesertDove

51 ALTAR

ELEMENTARY 10105

16 CATALINA

39

E Hemlock Dr BNearCanyonRdW E Camino Del Cerro E Fairmount St SSwanRd NFrontageRd W Emigh Rd W Fort Lowe Rd dSPNumptationR E Nona Rd Ch efButteRd Lo al Ave NTricoRd SCattleTankRd Evalyn Rd SOwlHeadRanchRdGasLineRd PSecanRd NTrcoRd W Bayard Rd dRSSandaro WillowSpringsRd N Dove Mountain Blvd

30

13

Distance 2.84 Miles

Customer Company Name : First American Prepared On : 09/15/2022

Distance 2.51 Miles

Public Schools :

Lowest Grade : K Highest Grade : 8th Kindergarten : Yes School Enrollment : Enrollment : 233 Total Expenditure/Student :

Lowest Grade : Pre-K Highest Grade : 6th

Soleng Tom Elementary School

Hermosa Montessori Charter

Distance 1.7 Miles 2600 N Fennimore Ave Tucson AZ 85749

© 2022 CoreLogic. All rights reserved

School District : Tanque Verde Unified District (4408)

11141 East Camino Quince Tucson AZ 85748

Elementary Schools

12051 E Fort Lowell Rd Tucson AZ 85749

Telephone : (520) 731-5400

School District : Hermosa Montessori Charter School (4426)

Customer Name : Jeremiah Stiffler

Telephone : (520) 749-4244

School District : Tucson Unified District (4403)

Telephone : (520) 749-5518

Tanque Verde Elementary School

Kindergarten : Yes School Enrollment : Enrollment : 712 Total Expenditure/Student : 0

Lowest Grade : Pre-K Highest Grade : 5th

Kindergarten : Yes School Enrollment : Enrollment : 385 Total Expenditure/Student : 200

Emily Gray Junior High School

Distance 3.69 Miles

Telephone : (520) 749-2235

350 S Harrison Rd Tucson AZ Telephone :85748(520) 731-4600

Agua Caliente School

11420 E Limberlost Rd Tucson AZ 85749

School District : Tanque Verde Unified District (4408)

Customer Name : Jeremiah Stiffler

Distance 4.03 Miles

Lowest Grade : 6th Highest Grade : 8th Kindergarten : No School Enrollment : Enrollment : 760 Total Expenditure/Student : 200

© 2022 CoreLogic. All rights reserved

Total Expenditure/Student : 0

Distance 2.19 Miles

School District : Tanque Verde Unified District (4408)

Lowest Grade : 7th Highest Grade : 8th Kindergarten : No School Enrollment : Enrollment : 396

Lowest Grade : Pre-K Highest Grade : 6th Kindergarten : Yes School Enrollment : Enrollment : 498

Total Expenditure/Student : 0

11150 E Tanque Verde Rd Tucson AZ 85749

Gridley Middle School

School District : Tucson Unified District (4403)

Customer Company Name : First American Prepared On : 09/15/2022

Telephone : (520) 749-3838

Middle Schools

Telephone : (520) 731-5300

Telephone : (520) 760-0801

Telephone : (520) 352-5833

Distance 4.2 Miles

Lowest Grade : 9th Highest Grade : 12th School Enrollment : Enrollment : 4

10720 E 22nd St Tucson AZ Telephone :85748(520) 733-0096

Lowest Grade : 9th Highest Grade : 12th School Enrollment : Enrollment : 155

High School Distance 2.91 Miles

Pima County Jted Annex Distance 4.2 Miles

School District : Pima County Jted (89380)

Pcjted - Tanque Verde High School

Total Expenditure/Student : Advanced Placement : No

High AcademySchoolsOfTucson

Lowest Grade : 9th Highest Grade : 12th School Enrollment : Enrollment : 0

Total Expenditure/Student : Advanced Placement : No

School District : Pima County Jted (89380)

Customer Company Name : First American Prepared On : 09/15/2022

4201 N Melpomene Way Tucson AZ 85749

Total Expenditure/Student : 200

Secrist Middle School

School District : Academy Of Tucson Inc. (78897)

School District : Tucson Unified District (4403)

Distance 4.48 Miles

© 2022 CoreLogic. All rights reserved

4201 N Melpomene Way Tucson AZ 85749

Customer Name : Jeremiah Stiffler

Total Expenditure/Student : Advanced Placement : No

Lowest Grade : 6th Highest Grade : 8th Kindergarten : No School Enrollment : Enrollment : 348

3400 S Houghton Rd Tucson AZ 85730

Lowest Grade : 9th

Total Expenditure/Student : 0 Advanced Placement : No

Customer Name : Jeremiah Stiffler

© 2022 CoreLogic. All rights reserved

4201 N Melpomene Way Tucson AZ 85749

Distance 4.2 Miles

Telephone : (520) 760-0801

Customer Company Name : First American Prepared On : 09/15/2022

Highest Grade : 12th School Enrollment : Enrollment : 574

Tanque Verde High School

School District : Tanque Verde Unified District (4408)

Art By Rochelle Llc 2021 N Forty Niner Dr Tucson Az (520) 907-5558 1.03

Twisted Tandoor Tucson Llc 1280 N Spud Rock Pl Tucson Az (520) 954-8018 2.14

© 2022 CoreLogic. All rights reserved

Compassionate Currency, Llc 11090 E Old Spanish Trl Tucson Az (520) 886-9781 3.16

Desert East Equestrian, Llc 12510 E Tanque Verde Rd Tucson Az (520) 760-6452 1.36

Eating / Drinking

Firuzeh Mehrabani 12225 E Gold Dust Dr Tucson Az (520) 991-5891 0.92

El Cortijo Llc 635 N Wentworth Rd Tucson Az (520) 298-0390 0.26

Kona Shaved Ice Of Tucson, Llc 2475 N Buttercup Dr Tucson Az (520) 870-5896 1.48

Harris Bmo Bank National Association 35 N Houghton Rd Tucson Az (520) 751-6700 2.92

Jpmorgan Chase Bank, National Association 10255 E Broadway Blvd Tucson Az (520) 290-4175 3.03

Ice Cat Hockey Of So. Ariz., Inc 2521 N Calle Noche Tucson Az (520) 749-5530 1.52

Name Address Telephone Distance (Miles)

Name Address Telephone Distance (Miles)

Name Address Telephone Distance (Miles)

Health Care Services

AttractionsBusiness/Recreation

49er Golf And Country Club Inc 12000 E Tanque Verde Rd Tucson Az (520) 749-4925 1.52

Name Address Telephone Distance (Miles)

Customer Company Name : First American Prepared On : 09/15/2022

Natalie G Camras Fnp 12350 E Barbary Coast Rd Tucson Az (520) 440-0567 0.8

Customer Name : Jeremiah Stiffler

Octopi Puppet Theatre L.l.c. 2496 N Redington Pl Tucson Az (520) 777-3664 1.57

M&i Corp 35 N Houghton Rd Tucson Az (520) 751-6700 2.92

Local

Resonate With Healing 12575 E Speedway Blvd Tucson Az (520) 861-2938 0.29

Banks / Financial

Richard C Miller Md Ltd 12931 E Speedway Blvd Tucson Az (520) 886-2858 0.48

Organizations / Associations

Name Address Telephone Distance (Miles)

Lemon-soape Ministries 11863 E Injun Pl Tucson Az (520) 777-6517 1.51

Name Address Telephone Distance (Miles)

Circle K Stores Inc. 11271 E Tanque Verde Rd Tucson Az (520) 437-7576 2.13

Name Address Telephone Distance (Miles)

The Cheese Knife - Returns Department 740 N Western Ridge Trl Tucson Az (480) 275-8417 2.17

La Hacienda Living 10949 E Broadway Blvd Tucson Az (520) 886-6798 2.15

Shopping

Hospitality

Name Address Telephone Distance (Miles)

Brothers Of Tanque Verde 300 N Tnque Verde Loop Rd Tucson Az (520) 751-4235 1.97

Sandy Point Resort 3000 N Sonoran Sunset Pl Tucson Az (520) 360-7628 2.2

The Church Of Jesus Christ Of Latterday Saints 12351 E Speedway Blvd Tucson Az (520) 886-7362 0.38

Curves International Inc 150 S Houghton Rd Ste 140 Tucson Az (520) 751-4242 2.96

Average Jones Llc 455 S Via Catorce Tucson Az (520) 240-0961 2.87

Personal Services

Arizona Sunshine Ranches, Inc. 14301 E Speedway Blvd Tucson Az (520) 296-6275 1.49

Defiant Candy Co., Llc 3191 N Spirit Dancer Trl Tucson Az (520) 979-2986 2.35

Southwest Natural Stone Llc 527 S Placita Quince Tucson Az (520) 393-8496 2.76

Desert Trails Bed & Breakfast 12851 E Speedway Blvd Tucson Az (520) 885-7295 0.43

© 2022 CoreLogic. All rights reserved

Customer Name : Jeremiah Stiffler

Corpus Christi Parish Rectory 11120 E Michelle Ln Tucson Az (520) 300-4231 1.84

La Mariposa Fitness And Sports Club 1501 N Houghton Rd Tucson Az (520) 749-1099 3.05

C2 Fitness, Llc 130 N Eastern Slope Loop Tucson Az (520) 861-8181 2.21

Customer Company Name : First American Prepared On : 09/15/2022

Property Tax : $7,972.11

Bed / Bath : / 3 Lot Acres : 4.70

Property Tax : $4,012.30

Sale Price  : $335,000

Land Use : Sfr Living Area : 4,825

750 N CAMINO DEL CODORNIZ

Yr Blt / Eff Yr Blt  : 1979 /

Recording Date : 03/13/2000

Total Value : $526,621

Sale Price  : $525,000

Owner Name : Fromm John G

Distance 0.06 Miles

Bed / Bath : / 3 Lot Acres : 3.53

Total Value : $394,908

Total Value : $743,284

Sale Price  : $180,000

Owner Name : Peebles James C

Property Tax : $5,328.39

Sale Price  : $680,000

Customer Company Name : First American Prepared On : 09/15/2022

Land Use : Sfr Living Area : 3,661

Bed / Bath : / 2 Lot Acres : 4.34

Yr Blt / Eff Yr Blt  : 1978 /

Sale Date : 05/11/2005

Owner Name : Jacobs Henry L

Land Use : Sfr Living Area : 4,738

Bed / Bath : / 6 Lot Acres : 5.37

801 N CAMINO DEL CODORNIZ Distance 0.1 Miles

Owner Name : Koktavy Scott A

Yr Blt / Eff Yr Blt  : 2002 /

Stories : 1 APN : 205-54-003A

Stories : 1.5 APN : 205-54-0170

Stories : 1 APN : 205-54-003B

Land Use : Sfr Living Area : 2,517

Sale Date : 05/20/2018

Stories : 1 APN : 205-54-015A

Sale Date : 03/10/2000

Distance 0.06 Miles

Sale Date : 01/00/1996

Property Tax : $9,214.66

Recording Date : 05/24/2018

Yr Blt / Eff Yr Blt  : 1957 /

Customer Name : Jeremiah Stiffler

Recording Date : 01/23/1996

© 2022 CoreLogic. All rights reserved

950 N CAMINO DEL CODORNIZ Distance 0.12 Miles

Recording Date : 05/16/2005

900 N CAMINO DEL CODORNIZ

Total Value : $691,447

Recording Date : 06/04/1991

Distance 0.13 Miles

Owner Name : Bobcat Sale Price  : $300,000

Total Value : $603,580

Recording Date : 06/24/1975

Sale Date : 01/13/2012

Distance 0.13 Miles

Customer Name : Jeremiah Stiffler

650 N CAMINO DEL CODORNIZ

Yr Blt / Eff Yr Blt  : 1989 /

Bed / Bath : / 4 Lot Acres : 4.70

Yr Blt / Eff Yr Blt  : 1975 /

Owner Name : Bobcat

Total Value : $443,031

Stories : 1 APN : 205-54-018B

Property Tax : $2,603.42

Bed / Bath : / 5

Land Use : Sfr Living Area : 5,822

Total Value : $140,000 Lot Acres : 3.36

© 2022 CoreLogic. All rights reserved

Property Tax : $4,603.04

Lot Acres : 5.11

Customer Company Name : First American Prepared On : 09/15/2022

Distance 0.12 Miles

Recording Date : 10/01/2002

Bed / Bath : / 3 Lot Acres : 5.28

Stories : 1 APN : 205-54-0230

Yr Blt / Eff Yr Blt  : 1978 /

Property Tax : $17,238.34

Land Use : Residential Acreage APN : 205-54-002C

Stories : 1 APN : 205-54-019B

Total Value : $1,418,553

Sale Price  : $640,000

Land Use : Sfr Living Area : 2,841

801 N WENTWORTH RD

Land Use : Sfr Living Area : 3,186

Recording Date  : 01/20/2012

Owner Name : 75585748 Tr

Property Tax : $6,291.68

Owner Name : Archuleta Crystal A

12680 E PASEO DEL LAGO

755 N WENTWORTH RD Distance 0.14 Miles

Sale Date : 09/00/2002

© 2022 CoreLogic. All rights reserved

Sale Date : 08/08/2001

12670 E PASEO DEL LAGO Distance 0.15 Miles

Sale Date : 05/00/2021

Customer Name : Jeremiah Stiffler

Customer Company Name : First American Prepared On : 09/15/2022

Distance 0.15 Miles

Total Value : $363,827

Property Tax : $3,933.55

Bed / Bath : / 4 Lot Acres : 4.34

Recording Date  : 05/28/2021

Total Value : $140,000 Lot Acres : 3.36

909 N CAMINO DEL CODORNIZ

Land Use : Residential Acreage APN : 205-54-002D

Land Use : Sfr

Sale Price  : $315,000

Owner Name : Gwaltney Family Prtnshp

Property Tax : $2,603.42

Living Area : 1,758

Owner Name : Johnson Richard Hillsman Jr

Stories : 1 APN : 205-54-0120

Yr Blt / Eff Yr Blt : 1962 /

Recording Date : 10/12/2001

Under $300: 0% Below $100,000: 2.17%

Male Population: 49.43% Above $100,000 44.4%

Average Current Year: 2.55 $25,000 - $35,000 2.78%

Household

Median Home Value: $272,200 $300,000 - $500,000: 21.73%

Married People: 62.57%

Unit Occupied Owner: 89.64% Above $500,000: 17.26%

Median Mortgage: $1,087

Unmarried People: 37.43%

Count: 3,977 0 - 11

© 2022 CoreLogic. All rights reserved

Median Mortgage Payments Home Values

Census Tract / block: 40.44 / 2     Year: 2018

Female Population: 50.57% Average Household Income: $92,813

Housing

Current Year: 1,545 0 - $25,000 10.55%

Growth Last 10 Years: 0.83% $75,000 - $100,000 15.53%

Growth Last 10 Years: -155.28% 65 - 74 15.99% 75+

Estimate Current Year: 3,956 12 - 17

Customer Company Name : First American Prepared On : 09/15/2022

Estimate in 5 Years: 1,408 $35,000 - $50,000 8.22%

Estimate in 5 Years: 3,874 18 - 24 6.16%

Growth Last 5 Years: -6.41% $50,000 - $75,000 18.51%

$800 - $1,999: 49.68% $150,000 - $200,000: 8.74% Over $2,000: 17.26% $200,000 - $300,000: 46.35%

Population Population by Age

$300 - $799: 33.07% $100,000 - $150,000: 3.75%

Household Size Household Income

Growth Last 5 Years: -2.64% 25 - 64 51.97%

Customer Name : Jeremiah Stiffler

Private Pre-Primary School: 0% Not A High School Graduate: 5.49%

Enrollment

Private College: 0.54% Graduate Degree: 21.71%

30 min - 57 min: 34.42%

Public College: 5.38% College Graduate: 36.66%

Manager/Prof: 49.84% Private Worker: 63.02%

Unit Occupied Renter: 10.36% 1999 - 2000

Less Than 15 Min: 20.6%

Year Built

Median Gross Rent: $1,389 1995 - 1998

Technical: Government Worker: 18.73%

Public Pre-Primary School: 0.77%

$750 - $999 0% 1970 - 1979 17.86%

15 min - 28 min: 42.8%

Customer Company Name : First American Prepared On : 09/15/2022

Private School: 2.93% Attended Some College: 19.88%

Commute Time

Rent Payments

Not Enrolled in School: 78.16%

Administrative: Unpaid Family Worker: 6.14%

$1000 and Over 100% 1900 - 1969 3.7%

Sales: 21.74% Self Employed Worker: 8.02%

Public School: 18.9% Graduate Of High School: 16.26%

Protective Services: Blue-Collar: 12%

Customer Name : Jeremiah Stiffler

Less Than $499 0% 1990 - 1994

$500 - $749 0% 1980 - 1989 6.93%

Private House Hold: Farming: 9.58%

Education

Workforce

Occupation:

Over 60 min: 2.18%

Service: 16.42% Skilled:

© 2022 CoreLogic. All rights reserved

© 2022 CoreLogic. All rights reserved

Customer Name : Jeremiah Stiffler

Customer Company Name : First American Prepared On : 09/15/2022

Customer Name : Jeremiah Stiffler

© 2022 CoreLogic. All rights reserved

Customer Company Name : First American Prepared On : 09/15/2022

Customer Name : Jeremiah Stiffler

Customer Company Name : First American Prepared On : 09/15/2022

© 2022 CoreLogic. All rights reserved

3,933

STORIES HEIGHT  0

WD

TOTAL CURRENT TAXES DUE 09/22 0.00 10/22 0.00

SEARCH PARAMETERS

2021  TAX AMT DATE PAID TOTAL DUE FIRST HALF  2,964.64  0.00  0.00  03/17/2022  0.00  SECOND HALF  2,964.64  0.00  0.00  03/17/2022  0.00

GRADE MATERIALS

INFORMATION THROUGH 07/28/2022 LAND IMPR EXEMPT RATE AREA SPECIAL DISTRICTS PRIMARY  52,667  0  0  9.3101  1300 SECONDARY  50  56,079  0  3.0872  2021 TOTAL TAX BILLED 5,929.28

PARCEL:  205-54-0160

ADDITIONAL PROPERTY INFORMATION STANDARD LAND USE: SFR

OWNER: MKS IMAGING TECHNOLOGY LLC

EXTERIOR WALLS  FRAME WOOD

+ FIRST AMERICAN TITLE, FC0, JSTI PIMA, AZ 09/15/2022  10:27AM  R9C8  INVESTIGATIVE SEARCH RESULTS PAGE 1 OF 1

IMPROVEMENTS

TAX DUE INTEREST

AFFIDAVIT    2019 1620099 06/11/2019

08/29/1997 325,000

WD

PARCEL: 205-54-0160

08/03/1990 290,000

BYPASS  BLDG SQFT FULL CASH VALUE LAND USE LOT SIZE  4.850 ACRES SCHOOL DISTRICT  1300 LAND FULL CASH VALUE  502 IMPR FULL CASH VALUE SELLER NAME    2019 1620099 JAMES COLT R & CHRISTINA J    2015 3380443 R/R A OCHSNER LIVING TRUST    10620 4414 BALL JAMES W /    8844 1974 ZIMMERMAN HAROLD/DOROTHY

INSTRUMENT REC DATE

JD

560,791 SALES SALE DATE SALE AMOUNT INSTRUMENT TYPE

01 82 NUMBER OF STORIES  1.0

MAIL: 800 N CAMINO DEL CODORNIZ  TUCSON AZ 85748

CURRENT TAXES

12/04/2015 550,000

VALIDITY 06/11/2019 575,000

END SEARCH

LEGAL: W640.14' SE4 NE4 EXC S982.14' & EXC W15' 4.85 AC SEC 8-14-16

SITUS: 800 N CAMINO DEL CODORNIZ PC

561,293 YEAR BUILT  1979

PIMA, AZ Document:DED WAR 2019.162.0099 Page:1 of 3 Printed on:9/15/2022 10:29 AM Branch :FC0 User :JSTI

PIMA, AZ Document:DED WAR 2019.162.0099 Page:2 of 3 Printed on:9/15/2022 10:29 AM Branch :FC0 User :JSTI

PIMA, AZ Document:DED WAR 2019.162.0099 Page:3 of 3 Printed on:9/15/2022 10:29 AM Branch :FC0 User :JSTI

PIMA, AZ Document:AFF 2019.162.0100 Page:1 of 5 Printed on:9/15/2022 10:29 AM Branch :FC0 User :JSTI

PIMA, AZ Document:AFF 2019.162.0100 Page:2 of 5 Printed on:9/15/2022 10:29 AM Branch :FC0 User :JSTI

PIMA, AZ Document:AFF 2019.162.0100 Page:3 of 5 Printed on:9/15/2022 10:29 AM Branch :FC0 User :JSTI

PIMA, AZ Document:AFF 2019.162.0100 Page:4 of 5 Printed on:9/15/2022 10:29 AM Branch :FC0 User :JSTI

PIMA, AZ Document:AFF 2019.162.0100 Page:5 of 5 Printed on:9/15/2022 10:29 AM Branch :FC0 User :JSTI

PIMA, AZ Document:UCC 2019.247.0360 Page:1 of 2 Printed on:9/15/2022 10:29 AM Branch :FC0 User :JSTI

PIMA, AZ Document:UCC 2019.247.0360 Page:2 of 2 Printed on:9/15/2022 10:29 AM Branch :FC0 User :JSTI

Once escrow is opened, the property will be thoroughly examined. CC&Rs and other matters that may “run with the land” will be disclosed in Schedule B of the Commitment for Title Insurance.

The property is too complex to obtain CC&Rs without a complete title examination

 The property is sectional, whereas there are no “standard” subdivision‐type restrictions

 Recorded CC&Rs may not exist.

 The recorded plat may be older, with limited information available, or

 A recorded plat may not exist

We are providing the requested information without CC&Rs.

Unfortunately, we are unable to confirm CC&Rs at this time, possibly because:

If you have questions, or need additional information at this time, please contact your First American or Title Security Account Manager or Escrow Officer.

to the Title & Escrow Process in Arizona Home Seller’s Guide

Southwest Gas www.swgas.com1.877.860.6020 Cox www.cox.com602.277.1000 Direct TV www.directv.com1.888.777.2454 Dish Network www.dishnetwork.com1.800.823.4929 CenturyLink www.centurylink.com800.366.8201 AT&T www.att.com1.800.222.0300 Verizon www.connecttoverizon.com1.877.300.4498 Salt River Project www.srpnet.com602.236.8888 APS www.aps.com602.371.7171 Your Escrow Number Your New City/State/ZipAddress Real Estate Agent Name Email Assistant Email Company Phone Address Fax Insurance CompanyPrevious Phone Previous Agent No.Policy New Company Phone New Agent No.Policy Home CompanyWarranty No.Policy First American Title Escrow Officer Email Escrow Assistant Email Address Phone City/State/Zip Fax 02 Quick Reference 03 Welcome 04 Benefits of Using a REALTOR ® 05 Key Professionals 06 Preparing Your Home for Sale 07 Staging Your Home for Show 09 Terms You Should Know 10 The Life of an Escrow 11 Closing Costs: Who Pays What 12 The Escrow Process 14 Understanding Title Insurance 16 Consider This 17 Closing Your Escrow 18 Planning Your Move Q uick Reference Table of Contents Utilities and Services

Count On Us For Stability

First American Title’s professionals are proud to provide the title insurance that assures people’s home ownership. Backed by First American Title Insurance Company, your transaction will be expertly completed in accordance with state-specific underwriting standards and state and federal regulatory requirements.

First American Title has a direct office or agent near you, offering convenient locations throughout Arizona. We also have an extensive network of offices and agents throughout the United States, and internationally.

First American Financial Corporation offers more than title insurance and escrow services through its subsidiaries. Our subsidiaries also provide property data, title plant records and images, home warranties, property and casualty insurance, and banking, trust and advisory services.

AZ Sellers Guide | 3

Count On Us To Meet Your Needs

Welcome to the home-selling process. Throughout this process, you can count on First American Title to guide you smoothly through your transaction and provide expert answers to your questions. We are happy to serve you.

Count On Us For Service

Count On Us For Convenience

Count on First American Title

First American Title is the principal subsidiary of First American Financial Corporation, and one of the largest suppliers of title insurance services in the nation. With roots dating back to 1889, we’ve served families for generations.

- aware that prospective buyers and bargain hunters will expect you to lower your cost because there’s no REALTOR® involved?

A REALTOR ® :

Before you make the decision to try to sell your home alone, consider the benefits a REALTOR ® can provide that you may not be aware of.

› Understands market conditions and has access to information not available to the average homeowner.

Only you can determine whether you should attempt to sell your home—probably your largest investment—all alone. Talk with a REALTOR® before you decide. You may find working with a professional is a lot less expensive and much more beneficial than you ever imagined!

- concerned about having strangers walking through your home?

- familiar enough with real estate regulations to prepare a binding sales contract? Counter-offers?

- aware that every time you leave your home, you are taking it off the market until you return?

- know how to advertise effectively and what the costs will be?

› Can advertise effectively for the best results.

Do you...

› Can help protect your rights, particularly important with the increasingly complicated real estate laws and regulations.

- understand the various types of loans buyers may choose and the advantages and disadvantages for the seller?

Benefits4 of using a Professional REALTOR ®

Are you...

› Is experienced in creating demand for homes and how to show them to advantage.

› Will listen to your needs, respect your opinions and allow you to make your own decisions.

› Can remain objective when presenting offers and counter-offers on your behalf.

Many people believe they can save a considerable amount of money by selling their homes themselves. It may seem like a good idea at the time, but while you may be willing to take on the task, are you qualified? The following are some questions to help you realistically assess what’s involved.

› Is experienced with resolving problems to facilitate a successful closing on your home.

FOR SALE BY OWNER

- know how to determine whether or not a buyer can qualify for a loan?

- have arrangements with an escrow and title company, home warranty company, pest-control service and lender to assist you with the transaction?

- aware of conditions in the marketplace today that affect value and length of time to sell?

- prepared to give up your evenings and weekends to show your home to potential buyers and “just-looking” time wasters?

› Knows how to go toe-to-toe in negotiations.

- understand the steps of an escrow and what’s required of you and the buyer?

› Knows how to price your home realistically, to give you the highest price possible within your time frame.

AZ Sellers Guide |

- have the knowledge, patience, and sales skills needed to sell your home?

› Knows how to screen potential buyers and eliminate those who can’t qualify or are looking for bargain-basement prices.

- know how to determine your home’s current market value?

› Is always “on-call,” answering the phone at all hours, and showing homes evenings and weekends.

› Maintains errors-and-omissions insurance.

- need to hire a real estate attorney? If so, do you know what the cost will be and how much liability they will assume in the transaction?

An escrow officer leads the facilitation of your escrow, including escrow instructions preparation, document preparation, funds disbursement, and more.

Key Professionals Involved in Your Transaction

BUYER'S AGENT

The MLS is a database of properties listed for sale by REALTORS ® who are members of the local Association of REALTORS.® Information on an MLS property is available to thousands of REALTORS ®

REALTOR ®

A real estate agent is licensed by the state to represent parties in the transfer of property. Every REALTOR ® is a real estate agent, but not every real estate agent has the professional designation of a REALTOR.®

These are the people who carry out the title search and examination, work with you to eliminate the title exceptions you are not willing to take subject to, and provide the policy of title insurance regarding title to the real property.

LISTING AGENT

AZ Sellers Guide | 5

A key role of the listing agent or broker is to form a legal relationship with the homeowner to sell the property and place the property in the Multiple Listing Service.

TITLE COMPANY

A key role of the buyer’s agent or broker is to work with the buyer to locate a suitable property and negotiate a successful home purchase.

REAL ESTATE AGENT

MULTIPLE LISTING SERVICE (MLS)

A REALTOR ® is a licensed real estate agent and a member of the National Association of REALTORS,® a real estate trade association. REALTORS ® also belong to their state and local Association of REALTORS.®

ESCROW OFFICER

AZ Sellers Guide | 6

Repair or replace worn shutters and other exterior trim.

Remove any oil and rust stains from the driveway and garage.

Clean and organize the garage, and ensure the door is in good working order.

Repair or replace loose knobs on doors and cabinets. If doors stick or squeak, fix them.

Repair or replace loud ventilating fans. Replace worn shower curtains.

Brighten the appearance inside by painting walls, cleaning windows and window coverings, and removing sunscreens.

Remove clutter throughout the house. Organize and clean out closets.

Ensure that all exterior lights are working.

Repair leaky faucets and caulking in bathtubs and showers.

Make sure toilet seats look new and are firmly attached.

Air conditioners/heaters, evaporative coolers, hot water heater should be clean, working and inspected if necessary. Replace filters.

Check the pool and/or spa equipment and pumps. Make sure all are working properly and that the pool and/or spa are kept clean.

First impressions have a major impact on potential buyers. Try to imagine what potential buyers will see when they approach your house for the first time and walk through each room. Ask your REALTOR ® for advice; they know the marketplace and what helps a home sell. Here are some tips to present your home in a positive manner:

If screens or windows are damaged, replace or repair them.

Paint or replace the mailbox, if needed.

Shampoo carpeting or replace if worn. Clean tile floors, particularly the caulking.

Rearrange furniture to make rooms appear larger. If possible, remove and/or store excess furniture, and avoid extension cords in plain view.

Clean household appliances and make sure they work properly.

Make your entry inviting: Paint your front door and buy a new front door mat.

Check stucco walls for cracks and discoloration.

Make sure the front steps are clear and hazard-free. Make sure the doorbell works properly and has a pleasant sound.

YOURFORPREPARINGSALEHOME

Mow and edge the lawn regularly, and trim the shrubs.

Inspect fences, gates and latches. Repair or replace as needed.

AZ Sellers Guide | 7

To make the best impression, keep your home clean, neat, uncluttered and in good repair. Please review this list prior to each showing:

If you must be present while your home is shown, keep noise down. Turn off the TV and radio. Soft, instrumental music is fine, but avoid vocals.

Send pets away or secure them away from the house, and be sure to clean up after them.

Close the windows to eliminate street noise.

Hang clean attractive guest towels in the bathrooms.

Let the light in. Raise shades, open blinds, pull back the curtains and turn on the lights.

Keep the garage door closed and the driveway clear. Park autos and campers away from your home during showings

Make beds with attractive spreads.

cans and put them out of sight.

Stash or throw out newspapers, magazines, junk mail.

Staging your home for Show

Check that sink and tub are scrubbed and unstained.

Keep everything clean. A messy or dirty home will cause prospective buyers to notice every flaw.

Clear all clutter from counter tops.

If possible you, your pets, and your children should be gone while your home is being Cleanshown.trash

Get rid of odors such as tobacco, pets, cooking, etc., but don’t overdo air fresheners or potpourri. Fresh baked bread and cinnamon can make a positive impact.

AZ Sellers Guide | 8

Closing Disclosure form designed to provide disclosures that will be helpful to borrowers in understanding all of the costs of the transaction. This form will be given to the consumer three (3) business days before closing.

Deed of Trust

Appraisal

The instrument by which real property is pledged as security for repayment of a loan.

As to a title insurance policy, a rider or attachment forming a part of the insurance policy expanding or limiting coverage.

Annual Percentage Rate (APR)

Endorsement

Loan Estimate (LE)

A right, privilege or interest limited to a specific purpose that one party has in the land of another.

Earnest Money Deposit

AZ Sellers Guide | 9

Deed Restrictions

The date the amounts are to be disbursed to a buyer and seller in a purchase transaction or the date funds are to be paid to the borrower or a third party in a transaction that is not a purchase transaction.

Consummation

An instrument used in many states in place of a mortgage.

Lien

Form designed to provide disclosures that will be helpful to borrowers in understanding the key features, costs and risks of the mortgage loan for which they are applying. Initial disclosure to be given to the borrower three (3) business days after application.

Impounds

A form of encumbrance that usually makes a specific parcel of real property the security for the payment of a debt or discharge of an obligation. For example, judgments, taxes, mortgages, deeds of trust.

A written instrument whereby a principal gives authority to an agent. The agent acting under such a grant is sometimes called an “Attorney-in-Fact.”

Mortgage

A payment that includes Principal, Interest, Taxes, and Insurance.

Recording

Generally the date the buyer becomes the legal owner and title insurance becomes effective.

Disbursement Date

Easement

Hazard Insurance

Power of Attorney

Sales that have similar characteristics as the subject real property, used for analysis in the appraisal. Commonly called “comps.”

Beneficiary

Occurs when the borrower becomes contractually obligated to the creditor on the loan, not, for example, when the borrower becomes contractually obligated to a seller on a real estate transaction. The point in time when a borrower becomes contractually obligated to the creditor on the loan depends on applicable State law. Consummation is not the same as close of escrow or settlement.

Limitations in the deed to a parcel of real property that dictate certain uses that may or may not be made of the real property.

Real estate insurance protecting against fire, some natural causes, vandalism, etc., depending upon the policy. Buyer often adds liability insurance and extended coverage for personal property.

A trust type of account established by lenders for the accumulation of borrower’s funds to meet periodic payments of taxes, mortgage insurance premiums and/or future insurance policy premiums, required to protect their security.

A description of land recognized by law, based on government surveys, spelling out the exact boundaries of the entire parcel of land. It should so thoroughly identify a parcel of land that it cannot be confused with any other.

The recipient of benefits, often from a deed of trust; usually the lender.

Close of Escrow

Terms You Should Know

PITI

Closing Disclosure (CD)

TRID

Down payment made by a purchaser of real property as evidence of good faith; a deposit or partial payment.

An estimate of value of property resulting from analysis of facts about the property; an opinion of value.

Comparable Sales

The borrower’s costs of the loan term expressed as a rate. This is not their interest rate.

Legal Description

Settlement statement

Provides a complete breakdown of costs involved in a real estate transaction.

Filing documents affecting real property with the appropriate government agency as a matter of public record.

TILA-RESPA Integrated Disclosures

THE SELLER

THE BUYER

Completes and returns opening package from First American Title.

Prepares recording instructions and submits docs for recording.

Chooses a Real Estate Agent

Requests necessary information from buyers and sellers via opening packages.

Accepts Buyer’s application and begins the qualification process. Provides Buyer with Loan Estimate.

Orders and reviews title commitment / preliminary report, property appraisal, credit report, employment and funds verification.

Coordinatesconsummation.withlender on the preparation of the CD.

Coordinates with Escrow Officer on the preparation of the Closing Disclosure, which is delivered to Buyer at least 3 days prior to loan documents,UponDeliversconsummation.loandocumentstoescrow.reviewofsignedloanauthorizesloanfunding.

Finalizes loan application with Lender. Receives a Loan Estimate from Lender.

Schedules signing appointment and informs buyer of funds due at settlement.

All demands, invoices, and fees must be collected and sent to lender at least 10 days prior to loan

Once loan is consummated, sends funding package to lender for review.

Gets pre-approval letter from Lender and provides to Real Estate Agent.

Reviews title commitment / preliminary report.

Accepts Buyer’s offer to openingCompletespurchase.andreturnspackagefromFirstAmericanTitle,includinginformationsuchasforwardingaddress,payofflendercontactinformationandloannumbers.Ordersanyworkforinspectionsand/orrepairstobedoneasrequiredbythepurchaseagreement.Escrowofficerorrealestateagentcontactsthesellertoschedulesigningappointment.Documentsarerecordedandallproceedsfromsalearereceived.

Schedules inspections and evaluates findings. Reviews title BuyerpriorlenderpaperworkProvidespreliminarycommitment/report.allrequestedtoLender(bankstatements,taxreturns,etc.)Allinvoicesandfinalapprovalsshouldbetothenolaterthan10daystoloanconsummation.Lender(orEscrowOfficer)preparesCDanddeliverstoatleast3dayspriortoloanconsummation.Escrowofficerorrealestateagentcontactsthebuyertoschedulesigningappointment.Buyerconsummatesloan,executessettlementdocuments,&depositsfundsviawiretransfer.Documentsarerecordedandthekeysaredelivered!

Reviews all documents, demands, and instructions and prepares settlement statements and any other required documents.

Makes offer to purchase. Upon acceptance, opens escrow and deposits earnest money.

Chooses a Real Estate Agent

Upon receipt of opening packages, orders demands for payoffs. Contacts buyer or seller when additional information is required for the title preliminarycommitment/report.

The Life Of An Escrow

THE LENDER

Upon receipt of order and earnest money deposit, orders title examination.

Documents are recorded and funds are disbursed. Issues final settlement statement.

Collects information such as title commitment / preliminary report, appraisal, credit report, employment and funds verification. Reviews and requests additional information for final loan

AZ Sellers Guide | 10

THE ESCROW OFFICER

Underwritingapproval.reviews loan package for approval.

AZ Sellers Guide | 11 CASH FHA VA CONV 1. Downpayment BUYER BUYER BUYER BUYER 2. Termite (Wood Infestation) Inspection (negotiable except on VA) SELLER 3. Property Inspection (if requested by buyer) BUYER BUYER BUYER BUYER 4. Property Repairs, if any (negotiable) SELLER SELLER SELLER SELLER 5. New Loan Origination Fee (negotiable) BUYER BUYER BUYER 6. Discount Points (negotiable) BUYER BUYER BUYER 7. Credit Report BUYER BUYER BUYER 8. Appraisal or Extension Fee (negotiable) BUYER BUYER BUYER 9. Existing Loan Payoff SELLER SELLER SELLER SELLER 10. Existing Loan Payoff Demand SELLER SELLER SELLER SELLER 11. Loan Prepayment Penalty (if any) SELLER SELLER SELLER SELLER 12. Next Month’s PITI Payment BUYER BUYER BUYER 13. Prepaid Interest (approx. 30 days) BUYER BUYER BUYER 14. Reserve Account Balance (Credit seller / Charge buyer) PRORATE PRORATE PRORATE 15. FHA MIP, VA Funding Fee, PMI Premium BUYER BUYER BUYER 16. Assessments payoff or proration (sewer, paving, etc.) SELLER 17. Taxes PRORATE PRORATE PRORATE PRORATE 18. Tax Impounds BUYER BUYER BUYER 19. Tax Service Contract SELLER SELLER BUYER 20. Fire/Hazard Insurance BUYER BUYER BUYER BUYER 21 Flood Insurance BUYER BUYER BUYER 22. Homeowners Association (HOA) Transfer Fee BUYER or SELLER BUYER or SELLER BUYER or SELLER BUYER or SELLER 23. HOA/Disclosure Fee SELLER SELLER SELLER SELLER 24 Current HOA Payment PRORATE PRORATE PRORATE PRORATE 25. Next Month’s HOA Payment BUYER BUYER BUYER BUYER 26. Home Warranty Premium (negotiable) BUYER or SELLER BUYER or SELLER BUYER or SELLER BUYER or SELLER 27. REALTORS®’ Commissions SELLER SELLER SELLER SELLER 28. EAGLE Homeowners Title Policy SELLER SELLER SELLER SELLER 29. Lenders Title Policy and Endorsements BUYER BUYER BUYER 30. Escrow Fee (NOTE: Charge seller on VA Loan) SPLIT SPLIT SELLER SPLIT 31. Recording Fees (Flat rate) SPLIT SPLIT SPLIT SPLIT 32. Reconveyance/Satisfaction Fee SELLER SELLER SELLER SPLIT 33. Courier/Express Mail Fees SPLIT SPLIT SELLER SPLIT THIS CHART INDICATES WHO CUSTOMARILY PAYS WHAT COSTS Note: Prorated items will appear on Closing Statement as charges for one and credits for the other. Closing Costs: Who Pays What

The escrow is the process of having a neutral party manage the exchange of money for real property. The escrow holder is known as an escrow or settlement officer or agent. The buyer deposits funds and the seller deposits a deed with the escrow holder along with all of the other documents required to remove all "contingencies" (conditions and approvals) in the purchase agreement prior to closing.

WHAT IS AN ESCROW?

Once a purchase agreement is signed by all necessary parties, the agent representing the party who will pay the fee selects an escrow holder and the buyer's earnest money deposit and contract are submitted to the escrow holder. From this point, the escrow holder will follow the mutual written instructions of the buyer and seller, maintaining a neutral stance to ensure that neither party has an unfair advantage over the other. The escrow holder also follows the instructions of the Buyer's new lender, the seller's existing lender, and both parties' agents. The escrow holder ensures the transparency of the transaction, while carefully maintaining the privacy of the consumers.

AZ Sellers Guide | 12

The Escrow Process

HOW IS AN ESCROW OPENED?

Your Escrow Professional May:

Review documents and ensure all conditions are fulfilled and certain legal requirements are met

Open escrow and deposit good faith funds into an escrow account

AZ Sellers Guide | 13

When all funds are deposited and conditions met, record documents with the County Recorder to transfer the real property to the buyer

After recording is confirmed, close escrow and disburse funds, including proceeds, loan payoffs, tax payments, and more

Conduct a title search to determine the ownership and title status of the real Reviewpropertythetitle

Prorate fees, such as real property taxes, per the contract and prepare the settlement statement

commitment and begin the process of working with you and the title officer to eliminate the title exceptions the buyer and the buyer’s new lender are not willing to take subject to. This includes ordering a payoff demand from your existing lender.

Set separate appointments allowing the buyer and seller to sign documents and deposit funds

Request funds from buyer and buyer’s new lender

Prepare and send final documents to all parties

Coordinate with the buyer’s lender on the preparation of the Closing Disclosure (CD)

The Title Industry & Title Insurance in Brief

Title insurance provides coverage for certain losses due to defects in the title that, for the most part, occurred prior to your ownership. Title insurance protects against defects such as prior fraud or forgery that might go undetected until after closing and possibly jeopardize your ownership and investment.

Prior to the development of the title industry in the late 1800s, a home-buyer received a grantor’s warranty, attorney’s title opinion, or abstractor’s certificate as assurance of home ownership. The buyer relied on the financial integrity of the grantor, attorney, or abstractor for protection. Today, home-buyers look primarily to title insurance to provide this protection. Title insurance companies are regulated by state statute. They are required to post financial guarantees to ensure that any claims will be paid in a timely fashion. They also must maintain their own “title plants” which house duplicates of recorded deeds, mortgages, plats, and other pertinent county property Understandingrecords.

Title insurance insures buyers against the risk that they did not acquire marketable title from the seller. It is primarily designed to reduce risk or loss caused by defects in title from the past. A loan policy of title insurance protects the interest of the mortgage lender, while an owner’s policy protects the equity of you, the buyer, for as long as you or your heirs (in certain policies) own the real property.

AZ Sellers Guide | 14

WHY IS TITLE INSURANCE NEEDED?

WHAT IS TITLE INSURANCE?

WHEN IS THE PREMIUM DUE?

You pay for your owner’s title insurance policy only once, at the close of escrow. Who pays for the owner’s policy and loan policy varies depending on local customs.

Title Insurance

StandardALTAorCLTA

19 Map not consistent with legal description

EAGLE

9 Forced removal of a structure because it:

20 Post-policy adverse possession

15 Post-policy forgery

17 Post-policy damage from extraction of minerals or water

c) violates an existing zoning law*

b) violates a restriction in Schedule B

8 Mechanics lien

Compare First American’s Eagle Policy® for Owners

21 Post-policy prescriptive easement

13 Building permit violations*

24 Discriminatory covenants

Compare First American’s Eagle Policy® for Owners EAGLE StandardALTAorCLTA

18 Lack of vehicular and pedestrian access

Other benefits:

25 Pays rent for substitute land or facilities

a) extends on another property and/or easement

c) a charge by a homeowner’s association

29

33 Post-policy Living Trust coverage

As with any insurance contract, the insuring provisions express the coverage afforded by the title insurance policy and there are exceptions, exclusions and conditions to coverage that limit or narrow the coverage afforded by the policy. Also, some cov erage may not be available in a particular area or transaction due to legal, regulatory, or underwriting considerations. Please contact a First American representative for further information. The services described above are typical basic services. The services provided to you may be different due to the specifics of your transaction or the location of the real property involved.

11 Unrecorded lien by a homeowners association

27

32 Post-policy inflation coverage with automatic increase in value up to 150% over five years

16 Post-policy encroachment

a) a deed of trust

* Deductible and maximum limits apply. Not available to investors on 1- to 4-unit residential properties. Coverage may vary based on an individual policy.

7 Title is unmarketable

23 Violation of building setback regulations

3 Forgery, fraud, duress in the chain of title

22 Covenant violation resulting in your title reverting to a previous owner

31 Insurance coverage for a lifetime

5 There are restrictive covenants

2 A document is not properly signed

28 Compliance with Subdivision Map Act Coverage for boundary wall or fence encroachment*

1 Someone else owns an interest in your title

4 Defective recording of any document

26 Rights under unrecorded leases Plain language statements of policy coverage and restrictions

Protection from:

14 Restrictive covenant violations

b) a judgement, tax, or special assessment

AZ Sellers Guide | 15

10 Cannot use the land for a Single-Family Residence because the use violates a restriction in Schedule B or a zoning ordinance

30 Added ownership coverage leads to enhanced marketability

6 There is a lien on your title because there is:

12 Unrecorded easements

AZ Sellers Guide | 16

One escrow transaction could involve more than 20 individuals, including real estate agents, buyers, sellers, attorneys, escrow officer, escrow technician, title officer, loan officer, loan processor, loan underwriter, home inspector, termite inspector, insurance agent, home warranty representative, contractor, roofer, plumber, pool service, and so on. And often, one transaction depends on another.

Consider This

When you consider the number of people involved, you can imagine the opportunities for delays and mishaps. Your experienced escrow team can’t prevent unforeseen problems from arising; however, they can help smooth out the process.

Closing Your Escrow

Once the loan is approved and all invoices and paperwork have been provided, the lender and escrow officer will collaborate on the preparation of the Closing Disclosure (CD). In order to close on time, all paperwork and invoices should be submitted at least 10 days prior to the expected close of escrow date. The borrower must receive the CD at least three days* prior to consummation of the loan (typically the signing date). The escrow officer will also prepare an estimated settlement statement and inform the buyer of the balance of the down payment and closing costs needed to close escrow.

THE CLOSING DISCLOSURE

DON'T FORGET YOUR IDENTIFICATION

THE CLOSING OR SIGNING APPOINTMENT

You will have a chance to review the settlement statement and supporting documentation. This is your opportunity to ask questions and clarify terms. You should review the settlement statement carefully and report discrepancies to the escrow officer. This includes any payments that may have been missed. You are responsible for all charges incurred even if overlooked by the escrow holder, so it's better to bring these to their attention before closing.

The escrow holder will contact you or your agent to schedule a closing or signing appointment. In some states, this is the "close of escrow." In some others, the close of escrow is either the day the documents record or that funds are disbursed. Ask your escrow holder if you would like clarification about your state's laws.

AZ Sellers Guide | 17

*For purposes of the Closing Disclosure“business day” is defined as every day except Sundays and Federal legal holidays.

You will need valid identification with your photo I.D. on it when you sign documents that need to be notarized (such as a deed). A driver's license is preferred. You will also be asked to provide your social security number for tax reporting purposes, and a forwarding address.

If the buyer is obtaining a new loan, the buyer’s signed loan documents will be returned to the lender for review. The escrow holder will ensure that all contract conditions have been met and will ask the lender to "fund the loan."

If the loan documents are satisfactory, the lender will send funds directly to the escrow holder. When the loan funds are received, the escrow holder will verify that all necessary funds are in. Escrow funds will be disbursed to the seller and other appropriate payees. Then, the REALTOR® will present the keys to the property to the buyer.

WHAT HAPPENS NEXT?

The escrow holder is obligated by law to have the designated amount of money before releasing any funds. If you have questions or foresee a problem, let your escrow holder know immediately.

Research moving options You’ll need to decide if yours is a do-it-yourself move or if you’ll be using a moving company.

AZ Sellers Guide | 18

Contact insurance companies. (Life, Health, Fire, Auto) You’ll need to contact your insurance agent to cancel/transfer your insurance policy. Do not cancel your insurance policy until you have and closed escrow on the sale.

Bank accounts Notify bank of address change. Make sure to have a money order for paying the moving company if you are transferring or closing accounts.

Service automobiles If automobiles will be driven long distances, you’ll want to have them serviced for a trouble-free drive.

Double check with your mover. Make sure your mover has the new address and your contact information should they have any questions during your move.

Plan your itinerary. Make plans to spend the entire day at the house or at least until the movers are on their way. Someone will need to be around to make decisions. Make plans for kids and pets to be at the sitters for the day.

FOUR WEEKS BEFORE:

Scan your furniture. Check furniture for scratches and dents before so you can compare notes with your mover on moving day.

Sign the bill of lading. Once your satisfied with the mover’s packing your items into the truck, sign the bill of lading. If possible, accompany your mover while the moving truck is being weighed.

SIX WEEKS BEFORE:

Travel items. Set aside items you’ll need while traveling and those needed until your new home is established. Make sure these are not packed in the moving truck!

Protect jewelry and valuables. Transfer jewelry and valuables to safety deposit box so they can not be lost or stolen during your move.

Service small engines for your move by extracting gas and oil from the machines. This will reduce the chance to catch fire during your move.

ONE WEEK BEFORE:

Contact utility companies Set utility turnoff date, seek refunds and deposits and notify them of your new address.

Create an inventory sheet of items to move.

Vacate your home. Make sure utilities are off, doors and windows are locked and notify your real estate agent you’ve left the property.

Discard unnecessary items Moving is a great time for ridding yourself of unnecessary items. Have a yard sale or donate unnecessary items to charity.

Note food inventory levels Check your cupboards, refrigerator and freezer to use up as much of your perishable food as possible.

Request moving quotes Solicit moving quotes from as many moving companies and movers as possible. There can be a large difference between rates and services within moving companies.

Planning your move

ReviewDAY:thehouse

MOVING

Obtain your medical records. Contact your doctors, physicians, dentists and other medical specialists who may currently be retaining any of your family’s medical records. obtain these records or make plans for them to be delivered to your new medical facilities.

Start packing. Begin packing for your new location.

Cancel services. Notify any remaining service providers (newspapers, lawn services, etc) of your move.

Borrowed and rented items. Return items which you may have borrowed or rented. Collect items borrowed to others.

Prepare Floor Plan. Prepare floor plan for your new home. This will help avoid confusion for you and your movers.

. Once the house is empty, check the entire house (closets, the attic, basement, etc) to ensure no items are left or no home issues exist.

Seek employer benefits. If your move is work-related, your employer may provide funding for moving expenses. Your human resources rep should have information on this policy.

Change of address. Visit USPS for change of address form.

Packing materials. Gather moving boxes and packing materials for your move.

Changing Schools. If changing schools, contact new school for registration process.

AZ Sellers Guide | 19

Your Notes:

AZ Sellers Guide | 20

Your Notes:

AZ Sellers Guide | 21

Your Notes:

3 ARROWHEAD

Sun City West, AZ 85375

2 GOODYEAR

20241623.537.1608N.67th Ave , #A-2 Glendale, AZ 85308

7 DESERT RIDGE 480.515 4369 20860 N. Tatum Blvd , #100 Phoenix, AZ 85050

SW Corner Chandler Blvd./ Dobson Rd.

5 ANTHEM 39508623.551.3265N.Daisy Mountain Dr., #128 Anthem, AZ 85086

NE corner of Tom Darlington/ Carefree Dr.

W of Scottsdale Road, S side of Greenway

17 GOLD CANYON 6877480.288.0883SouthKings Ranch Rd., #5 Gold Canyon, AZ 85118 E of South60/Side Kings Ranch Rd.

SE corner of Pima/Legacy

NW corner of McDowell & Litchfield

N of Baseline / W of Stapley

16 RED MOUNTAIN 1135480.534.3599N.Recker Rd , #103 Mesa, AZ 85205

1 4 3 2 6 12 10 5 8 7 11 9 CRISMON BUTTESIGNAL GOLDFIELD OLDWESTHWY SKINGSRANCH 14 17 15 13 16 ArizonaCentral First American Title Branch Locator

16165623.487.0404N.83rd Ave , #100 Peoria, AZ 85382

W of R.H. Johnson

N of Meeker Blvd

NE corner Daisy Mtn Dr/ Gavilan Peak Pkwy

11 DC CROSSING 18291480.563.9034N.Pima Rd , #145 Scottsdale, AZ 85255

1 SUN CITY WES T

NE Corner of Camelback/32nd Street

E side 67th Ave/N of 101

6 BILTMORE 3200602.954.3644ECamelback Rd., #123 Phoenix, AZ 85018

E Side Scottsdale/S of Lincoln

12 AHWATUKEE 4435480.753.4424E.Chandler Blvd , #100 Phoenix, AZ 85048

NW corner of Tatum/Loop 101

10 SCOTTSDALE FORUM 6263480.551.0480N.Scottsdale Rd., #110 Scottsdale, AZ 85250

14 GILBERT SAN TAN 1528480.777.0614E.Williams Field Rd., #101 Gilbert, AZ 85295

NW corner of Williams Field Rd./ Val Vista Rd.

4 THE LEGENDS

13 CHANDLER PORTICO 2121480.777.0051W.Chandler Blvd., #215 Chandler, AZ 85224

SW corner Chandler/45th St.

S of Bell/E side of 83rd Ave

8 CAREFREE 7202480.575.6609E.Carefree Dr , Bldg 1, #1 Carefree, AZ 85377

SE corner of Recker & Brown

13940623.299.3644W.Meeker Blvd., #119

1626623.936.8001N.Litchfield Rd. Ste. #170 Goodyear, AZ 85395

9 KIERLAND COMMONS 14648480.948.6488NScottsdale Rd., Ste. #100 Scottsdale, AZ 85254

AZ Sellers Guide | 22

15 MESA 1630480.401.3738S.Stapley Dr., #123 Mesa, AZ 85204

W Pima Mine Rd S Mcgee

E SPEEDWAY BLVD E 22ND ST E 22ND ST

W E Cam no De Cerro E Fairmount St SSwanRd NFrontageRd W Emigh Rd

W

Baya d Rd dRSSandaro N Dove Mountain Blvd

E

6390 E. Tanque Verde Rd. Tucson, AZ 85715

TRSNOLDERL

SNOGALESHWY

W VALENCIA RD BLVD

RD W MANVILLE RD SKINNEYRD W MILE WIDE RD E SAHUARITA RD NTRICORD OSSANDARRD SOLDNOGALESHWY GUOSHHTONRD ADCSLAANADRW HELMET PEAK RD WAJOHWY RNASNWD RDKOLBS SHOUGHTONRD W TANGERINE RD E GRANT RD SHOUGHTONRD 95 WAJOHWY E VALENCIA RD NORACLERD I-10 I-19 77 77 86 86 286 19 10 10 Corona de Tucson AdobesCasas Catalina Green Valley Picture Rocks Three Points VailSummit TanqueVerde SahuaritaTucson Saddlebrooke Marana Oro Valley Rillito SummerhavenWillow Canyon Cortaro Continental Littletown 2 3 5 6 7910 11 12 13 15 14 8 1 AZ Sellers Guide | 23

SHelvetiaRd

W Emigh Rd W Fort Lowe Rd dSPNumptationR Cont nental Ave NTricoRd SCattle SOwlHeadRanchRdGasLineRd NTrcoRd W Bayard Rd dRSSandario N Dove

Rd W

TRSNOLDIERLE RIVER RDE PRINCE RD

E Edw n Rd 80

Air Force WSilverbellRd SSantaRitaRd NMtLemmon Hwy ESascoRd NF-38 W Avra Valley Rd E G and Va ey DrNAguirreRd dRkLNucett dRWNentzNWatermanMountainRd RdAnwayN W El Tiro Rd NTricoRd W Tucke Rd W Rudasi Rd W Manv l e Rd SSanJoaquinRdWBopp Rd W Snyder H RddRllSMarstear W Park Rd W Hermans RdW He mans Rd W Guy St W Bush Rd SGarveyRd eaCNRinconado SWmotRd SShawRd SSierritaMountainRd SKolbRdW Tw nButtes Rd W Mcgee

W VALENCIA RD

3 CAMBRIC 520.577.8707 | Fax 520.529.5034

NSILVERBELLRD

ESN1TAV SUNRISE DR E SNYDER RD

SHelvetiaRd

SOLDSPANISHTRL

W IRV NGTON RD

13 RIVER 520.529.1944 | Fax 520.615.2945 1650 E. River Rd., Ste. 105 Tucson, AZ 85718

WAnamax

7 DOWNTOWN 520.740.0424 | Fax 520.740.0436

E 80

SNANDARIORD

8 FOOTHILLS 520.299.4606 | Fax 520.577.6993 4051 E Sunrise Dr., Ste. 155 Tucson, AZ 85718

Rd ESstanciaDr E Hemlock Dr BNearCanyonRd

Road424 ed Top Rd W Ruby S ar D

E

SFREEMANRD

W

FlorenceRd

421 E. Cottonwood Ln Casa Grande, AZ 85122

12 RITA ROAD 520.618.7790 | Fax 520.901.1720 10222 East Rita Rd., Ste. 190 Tucson, AZ 85747

14 SKYLINE 520.529.0506 | Fax 520.529.8998 2890 E. Skyline Dr., Ste. 200 Tucson, AZ 85718

WBritten RanchRd RanchRd

5 CASAS ADOBES

10 ORO CANADAVALLEY/LA 520.877.9200 | Fax 520.202.6348 11165 N. La Canada Dr., Ste. 143 Oro Valley, AZ 85737

1 MAIN OFFICE

BNearCanyonRd

AIRPORTINT'LTUCSON Ranch

EDesertDove

GoffRanchRd

W

NKINNEYRD

dRhRiGWarcaanc

NBarkervilleRd

W NARANJA DR

W TW N PEAKS RD P CTURE ROCKS

3777 E. Broadway Blvd., Ste. 220 Tucson, AZ 85716

Con nenta Ave BIA 30 NTricoRd SSunandGinRd SCattleTankRd E E s Rd E Hotts Rd E Nutt Rd Evalyn Rd SOwlHeadRanchRdGasLineRd PSecanRd I on Va ey RdEDeepWellRanchRd SNghtSkySt SBradyPumpRdE Houser Rd E Ar ca Rd W Ea ey Rd NTrcoRd W Baya d Rd dRSSandaro WillowSpringsRd EHelmwheel Ranch Rd N Dove Mounta n Blvd BIA-35 dRhRiGWarcaanc E Dese H s Rd WRagged Top Rd W Pima Mine Rd WSilverbellRdS E Edw n Rd BIA34 SGuildRd 80 NKINNEYRD SPICACHOHWYE GREENE RESERVOIR RD SSUNLANDGINRD W BATTAGLIA DR AZ-84 E BAUMGARTNER RD SSUNSHINEBLVD SNANDARORDNANWAYRD E HARMON RD W VALENCIA RD E RODEO RD W MOORE RD W INA RD ESN1TAV E SUNRISE DR E SNYDER RDNSILVERBELLRD TRSNOLDIERLE RIVER RDE PRINCE RD E SPEEDWAY BLVD SFREEMANRDE 22ND ST E 22ND ST W IRV NGTON RD SNOGALESHWY W VALENC A RDSMISSIONRDWSPEEDWAY BLVD SOLDSPANISHTRL W NARANJA DR W TW N PEAKS RD W P CTURE ROCKS RD W MANVILLE RD SKINNEYRD W MILE WIDE RD W HARMON RD W MCCARTNEY RD NTRICORD OSSANDARIRD PARK LINK DR GUOSHHTONRD E MART N RD STHORNTONRD SCHUICHURD WAJOHWY RNASNWD RDKOLBS SHOUGHTONRD W TANGER NE RD E GRANT RD SHOUGHTONRD NPNALAVE 95 WAJOHWY E VALENCIA RD NORACLERD I10 I-19 I-8 77 77 79 77 77 87 86 86 387 287 86 10 19 8 10 10 10 La Palma Chuichu Arizona City AdobesCasas Catalina OracleDudleyvilleGrandeCasa Picture Rocks Three Points VailSummit TanqueVerde Eloy Tucson Cactus Forest Picacho Red Rock Saddlebrooke Marana Oro Valley HaivanaNakya Rillito SummerhavenWillow Canyon Randolph Toltec Oracle Junction Cortaro Schuchk Littletown 2 4 3 5 6 7 10 11 12 13 15 14 8 1 AIRPORTINT'LTUCSON Air Force WSilverbellRd SSantaRitaRd NMtLemmon Hwy ESas W Avra Valley Rd E G and Va ey DNAguirreRd dRkLNucet dRWNentzNWatermanMountanRd RdAnwayN W El Tiro Rd NTricoRd W Tucke Rd W Rudas Rd W Manv e Rd SSanJoaquinRdWBopp Rd W Snyder H RddRSMarstear W Park Rd W Hermans RdW He mans Rd W Guy St W Bush Rd SGaveyRd eaCNRinconado SWlmotRd SShawRd SSierritaMountainRd SKobRdW TwinButtes Rd W Mcgee Ranch Rd ESs BNearCanyonRdW E Cam no De Cerro E Fairmount St SSwanRd

W Emigh Rd W Fort Lowel Rd dSPNumpationR NTricoRd SOwGas NTrcoRd

E Cam no De Cerro E Fairmount St SSwanRd

15 TANQUE VERDE 520.202.2626 | Fax 520.495.6151 7479 E. Tanque Verde Tucson, AZ 85715

dRhRiGWarcaanc

11 ORO VALLEY/ORACLE 520.229.9194 | 520.297.2576 Fax 520.229.9210 | 520.742.5866 8500 N. Oracle Rd., Ste 100 Oro Valley, AZ 85704

W Fort Lowe Rd dSPNumptationR E Nona Rd Ch efButteRd LovettaRd E Hanna Rd

WAnamax Mine Rd Road424

W

9 GREEN VALLEY 520.625.1095 | Fax 520.958.9663 190 W. Continental Rd., Ste. 226 Green Valley, AZ 85622

W

3777 E. Broadway Blvd., Ste. 102 Tucson, AZ 85716

HearthRd E Hemlock Dr

SNANDARORDNANWAYRD

S

Edw n Rd SGu

2 BROADWAY 520.747.1644 | Fax 520.747.1403

4 CASA GRANDE 520.426.4600 | Fax 520.426.4699

NFrontageRd Mountain Blvd

E SPEEDWAY BLVD

ellRdS Mcgee RanchRd

TecoloteRanchRd RomeroRd

W VALENC A RD

W MOORE RD INA RD ESN1TAV SUNR SE DR E SNYDER RD

NSILVERBELLRD E RIVER RDE PRINCE RD

SMISSIONRDWSPEEDWAY

6 CENTRAL 520.319.9207 | Fax 520.319.1468

W

1 S. Church Ave., Ste. 1610 Tucson, AZ 85701

W MOORE RD INA RD

1840 E. River Rd., Ste. 200 Tucson, AZ 85718

520.885.1600 | Fax 520.885.2309

WRagged Top Ruby S a Dr WBritten RanchRd Pima Mine Rd

SFREEMANRDE 22ND ST E 22ND ST W IRVINGTON RD SNOGALESHWY W VALENCIA RDSMISSIONRDWSPEEDWAY BLVD SOLDSPANISHTRL W NARANJA DR W TWIN PEAKS RD W PICTURE ROCKS RD W MANVILLE RD SKINNEYRD W MILE WIDE RD E SAHUARITA RD NTRICORD OSSANDARIRD SOLDNOGALESHWY GUOSHHTONRD ADCSLAANADRW HELMET PEAK RD WAJOHWY RNASNWD RDKOLBS SHOUGHTONRD W TANGERINE RD E GRANT RD SHOUGHTONRD 95 WAJOHWY E VALENCIA RD NORACLERD I-10 I-19 77 77 86 86 286 19 10 10 Corona de Tucson AdobesCasas Catalina Green Valley Picture Rocks Three Points VailSummit TanqueVerde SahuaritaTucson Red Rock Saddlebrooke Marana Oro Valley Rillito SummerhavenWillow Canyon Oracle Junction Cortaro Continental Littletown 2 3 5 6 7910 11 12 13 15 14 8 1 SouthernArizona First American Title Branch Locator AIRPORTINT'LTUCSON Air Force FreemanRd WSilverbellRd NMtLemmon Hwy ESascoRd NF38 W Avra Val ey Rd WSCurryRdHanna Rd E Grand Va ey D W Houser Rd W Ph ps Rd E Co nman Rd NAguirreRd dRkLNucet dRWNenzNWatermanMountainRd RdAnwayN W El Tiro Rd NTricoRd W Tucke Rd W Rudas Rd W Manv e Rd SSanJoaquinRdWBopp Rd W Snyde H RddRSMarstear W Pa k Rd W He mans RdW Hermans Rd W Guy St W Bush Rd dRearvy eaCNRinco SWmoRd ShawRd SSierrita W Woodru Rd ONverfedRd W Rando ph Rd W BartlettNRdLaPamaRdNTweedyRd E Randolph Rd W Kleck Rd E K eck Rd W Se ma Hwy STrekellRd SHennessRd E Selma Hwy W Co nman Rd W Pretzer Rd SLambRd SLaPalmaRd E M gan Rd E M gan Rd W A es Dr E Curtis Rd ESstancaDr

NKINNEYRD NANWAYRD

NFrontageRd

M ne Rd

520.575.1900 | Fax 520.432.0168 6760 N. Oracle Rd., Ste. 100B Tucson, AZ 85704

First American Title Insurance Company, and the operating divisions thereof, make no express or implied warranty respecting the information presented and assume no responsibility for errors or omissions. First American, the eagle logo, First American Title, and firstam.com are registered trademarks or trademarks of First American Financial Corporation and/or its affiliates.

For more information please contact your First American representative. www.firstam.com

05110281121

©2021 First American Financial Corporation and/or its affiliates. All rights reserved. NYSE: FAF

Turn static files into dynamic content formats.

Create a flipbook
Issuu converts static files into: digital portfolios, online yearbooks, online catalogs, digital photo albums and more. Sign up and create your flipbook.