LIMITATION OF LIABILITY FOR INFORMATIONAL REPORTS
IMPORTANT -- PLEASE READ CAREFULLY:
This report is not an insured product or service or a representation of the condition of title to real property. It is not an abst ract, legal opinion, opinion of title, title insurance commitment or preliminary report, or any form of Title Insurance or Guaranty. This report is issued exclusively for the benefit of the Applicant therefor and may not be used or relied upon by any other person. This report may not be reproduced in any manner without First American or Title Security's prior written consent. First American or Title Security does not represent or warrant that the information herein is complete or free from error, and the information herein is provided without any warranties of any kind, as-is, and with all faults. As a material part of the consideration given in exchange for the issuance of this report, recipient agrees that First American or Title Security's sole liability for any loss or damage caused by an error or omission due to inaccurate information or negligence in preparing this report shall be limited to the fee charged for the report. Recipient accepts this report with this limitation and agrees that First American or Title Security would not have issued this report but for the limitation of liability described above. First American or Title Security makes no representation or warranty as to the legality or propriety of recipient's use of the information herein.
SEARCH PARAMETERS
+ FIRST AMERICAN TITLE, FC0, JSTI PIMA, AZ 11/14/2022 01:36PM R9C8 INVESTIGATIVE SEARCH RESULTS PAGE 1 OF 1
IMPROVEMENTS
OTHER
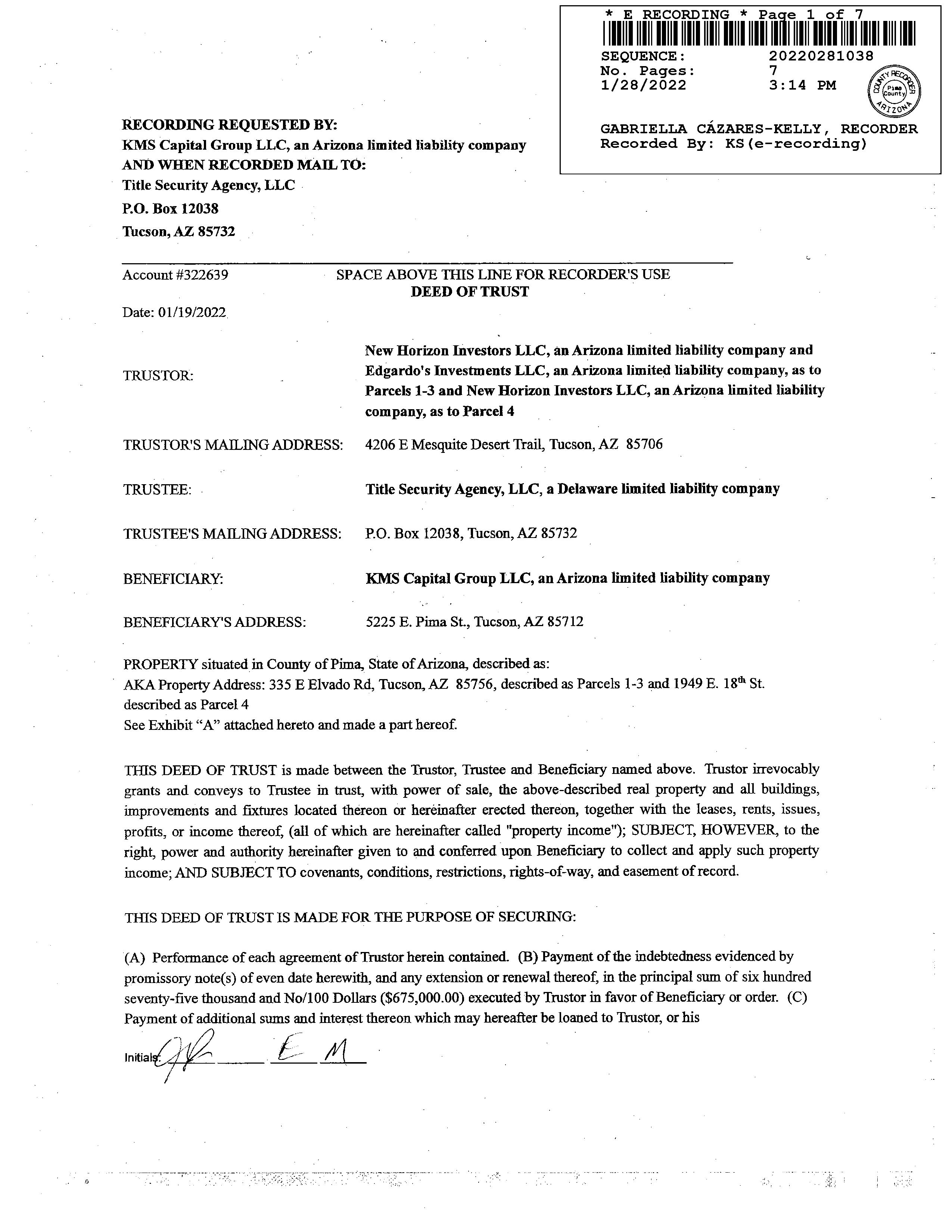
SALES SALE DATE SALE AMOUNT INSTRUMENT TYPE SELLER NAME VALIDITY 01/28/2022 535,000 2022 1037 WD TUCSON FAITH ASSEMBLY OF G M ADDITIONAL PROPERTY INFORMATION STANDARD LAND USE: COMMERCIAL (NEC) END SEARCH
PARCEL: 138-17-0340 PARCEL: 138-17-0340 INSTRUMENT REC DATE OWNER: NEW HORIZON INVESTORS LLC AFFIDAVIT 2022 1037 01/28/2022 SITUS: 335 E ELVADO RD TUC MAIL: 4306 E MESQUITE DESERT TRL PLAT: LOT 00046 BLOCK 0 LEGAL: GOLDEN DAWN FARMS W2 LOT 46 CURRENT TAXES INFORMATION THROUGH 10/21/2022 LAND IMPR EXEMPT RATE AREA SPECIAL DISTRICTS PRIMARY 55,188 0 0 9.1591 1250 SECONDARY 11,419 43,769 0 3.1602 2022 TOTAL TAX BILLED 0.00 2022 TAX AMT TAX DUE INTEREST DATE PAID TOTAL DUE FIRST HALF 0.00 0.00 0.00 0.00 SECOND HALF 0.00 0.00 0.00 0.00 TOTAL CURRENT TAXES DUE 11/22 0.00 12/22 0.00
CHURCH/SYNAGOGUE BLDG SQFT 5,328 FULL CASH VALUE 315,359 YEAR BUILT 1961 LAND USE 10 40 NUMBER OF STORIES 1.0 LOT SIZE 43,500 SQ FT STORIES HEIGHT 0 SCHOOL DISTRICT 1250 EXTERIOR WALLS
LAND FULL CASH VALUE 65,250 GRADE MATERIALS IMPR FULL CASH VALUE 250,109
Page 1 of 5 11/14/2022 2:39 PM
Page 2 of 5 11/14/2022 2:39 PM
Page 3 of 5 11/14/2022 2:39 PM
Page 4 of 5 11/14/2022 2:39 PM
Page 5 of 5 11/14/2022 2:39 PM
Page 1 of 7 11/14/2022 2:39 PM
Page 2 of 7 11/14/2022 2:39 PM
Page 3 of 7 11/14/2022 2:39 PM
Page 4 of 7 11/14/2022 2:39 PM
Page 5 of 7 11/14/2022 2:39 PM
Page 6 of 7 11/14/2022 2:39 PM
Page 7 of 7 11/14/2022 2:39 PM
Page 1 of 11 11/14/2022 2:39 PM
Page 2 of 11 11/14/2022 2:39 PM
Page 3 of 11 11/14/2022 2:39 PM
Page 4 of 11 11/14/2022 2:39 PM
Page 5 of 11 11/14/2022 2:39 PM
Page 6 of 11 11/14/2022 2:39 PM
Page 7 of 11 11/14/2022 2:39 PM
Page 8 of 11 11/14/2022 2:39 PM
Page 9 of 11 11/14/2022 2:39 PM
Page 10 of 11 11/14/2022 2:39 PM
Page 11 of 11 11/14/2022 2:39 PM
Page 1 of 5 11/14/2022 2:39 PM
Page 2 of 5 11/14/2022 2:39 PM
Page 3 of 5 11/14/2022 2:39 PM
Page 4 of 5 11/14/2022 2:39 PM
Page 5 of 5 11/14/2022 2:39 PM