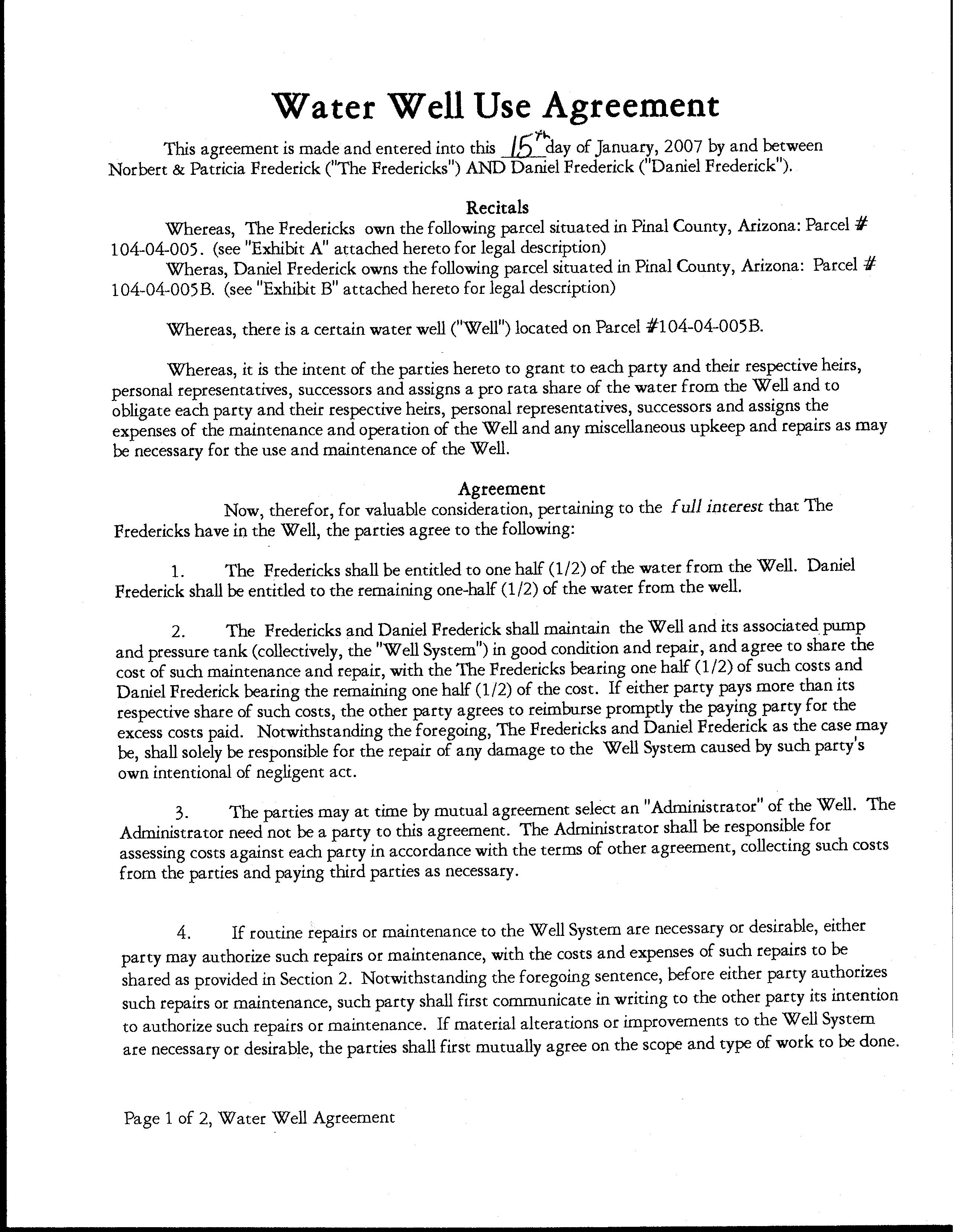
3206 S Sundown Ln, Gold Canyon, AZ 85118

Page 1

Data Provided By:

Subject Property 3206 S Sundown Ln Gold Canyon AZ 85118 APN: 104-04-005C
First American Title Ins Co © 2022 CoreLogic. All rights reserved

LIMITATION OF LIABILITY FOR INFORMATIONAL REPORTS

IMPORTANT -- PLEASE READ CAREFULLY:

This report is not an insured product or service or a representation of the condition of title to real property. It is not an abst ract, legal opinion, opinion of title, title insurance commitment or preliminary report, or any form of Title Insurance or Guaranty. This report is issued exclusively for the benefit of the Applicant therefor and may not be used or relied upon by any other person. This report may not be reproduced in any manner without First American or Title Security's prior written consent. First American or Title Security does not represent or warrant that the information herein is complete or free from error, and the information herein is provided without any warranties of any kind, as-is, and with all faults. As a material part of the consideration given in exchange for the issuance of this report, recipient agrees that First American or Title Security's sole liability for any loss or damage caused by an error or omission due to inaccurate information or negligence in preparing this report shall be limited to the fee charged for the report. Recipient accepts this report with this limitation and agrees that First American or Title Security would not have issued this report but for the limitation of liability described above. First American or Title Security makes no representation or warranty as to the legality or propriety of recipient's use of the information herein.

Disclaimer

This REiSource report is provided "as is" without warranty of any kind, either express or implied, including without limitations any warrantees of merchantability or fitness for a particular purpose. There is no representation of warranty that this information is complete or free from error, and the provider does not assume, and expressly disclaims, any liability to any person or entity for loss or damage caused by errors or omissions in this REiSource report without a title insurance policy.

The information contained in the REiSource report is delivered from your Title Company, who reminds you that you have the right as a consumer to compare fees and serviced levels for Title, Escrow, and all other services associated with property ownership, and to select providers accordingly. Your home is the largest investment you will make in your lifetime and you should demand the very best.

© 2022 CoreLogic. All rights reserved

Subject Property :   3206 S Sundown Ln Gold Canyon AZ 85118

Owner Information

Owner Name : Mcminn Cari Mailing Address : 3206 S Sundown Ln, Gold Canyon AZ 85118-4687 R029

Vesting Codes : / / Separate Property

Owner Occupied Indicator : O

Location Information

Legal Description : Ne Nw Sw Sec 33-01n-09e Exc W-264 And Exc Com @ W4 Cor Sec 33-01n-09e Th E-1149.77 Th S-265.87 To Pob Th S-218.3 Th W-164.75 Th N-143.41 Th N 48d E-112.44 Th E-80.2 To Pob Aka New Parcel On Svy 2011-054625, 5.25 Ac

County : Pinal, Az APN : 104-04-005C

Census Tract / Block : 3.16 / 4

Township-Range- Sect : 01N-09E-33

Legal Lot : 1

Owner Transfer Information

Recording/Sale Date : 11/04/2021 / 11/04/2021

Document # : 140519

Last Market Sale Information

Recording/Sale Date : 09/18/2002 / 09/05/2002

Sale Price : $265,000

Document # : 50433

Alternate APN : 104-04-005A

Map Reference : 3301N09E

Deed Type : Rerecorded Deed

1st Mtg Int. Rate/Type : / Fixed Rate Loan

1st Mtg Document # : 50434

1st Mtg Term : 30

Deed Type : Warranty Deed Price Per SqFt : $112.91

1st Mtg Amount/Type : $212,000 / Cnv

Title Company : Chicago Title Ins Co

Lender : Sunvest Fin'l Corp

Seller Name : Moon Sylvia K

Prior Sale Information

Prior Rec/Sale Date : 05/06/1998 / 05/00/1998

Prior Sale Price : $260,000

Prior Doc Number : 17625

Prior Deed Type : Deed (reg)

Prior Lender : Cit Grp/consumer Fin Inc

Prior 1st Mtg Amt/Type : $135,000 / Conv

Prior 1st Mtg Rate/Type : / Fixed Rate Loan

Customer Name : Jeremiah Stiffler

Customer Company Name : First American Prepared On : 10/18/2022

© 2022 CoreLogic. All rights reserved

Property Characteristics

Gross Area : 2,347 Garage Area : 1,176

Living Area : 2,347 Roof Type : Truss-joist

Above Grade : 2347

Cooling Type : Central

Exterior wall : Concrete

Foundation : Concrete Porch Type : Slab

Year Built / Eff : 1979 Roof Material : Built-up Air Cond : Central

# of Stories : 1 Construction : Concrete Quality : Average

Parking Type : Detached Garage Heat Type : Central Floor Cover : Carpet

Property Information

Land Use : Sfr

Zoning : SINGLE RESIDENCE ZONE

Tax Information

Total Value : $424,031

Land Value : $199,475

Improvement Value : $224,556

Total Taxable Value : $35,280

Lot Acres : 5.25

Lot Size : 228,690

State Use : Single Fam Resrural Non Subd

Improve % : 53%

Tax Year : 2022

Property Tax : $4,511.36

Tax Rate Area : 4301

Assessed Year : 2021 Market Value : $424,031

Current Assessed Year : 2023

Current Year Total Value : $63,762

Current Year Improvement Value :

$32,500

Current Year Land Value : $31,262

Customer Name : Jeremiah Stiffler

Customer Company Name : First American Prepared On : 10/18/2022

© 2022 CoreLogic. All rights reserved
Sales Analysis Criteria Subject Property Low High Average Sale Price $265,000 $515,000 $1,165,000 $748,850 Bldg/Living Area 2347 2018 2674 2294 Price Per Square Foot $112.91 $203 $509 $327.28 Year Built 1979 1995 2018 2002 Lot Size 228,690 5,082 82,328 24,192 Bedrooms Bathrooms Stories 1 1 2 1 Total Assessed Value $424,031 $246,357 $617,019 $331,845 Distance From Subject 0 0.19 0.96 0.66 Summary of Comparables # Address Sale Price Total Assessed Value Sale Date Bed Bath Living Area Lot Size Year Built Dist (Miles) Zoning S 3206 S Sundown Ln 265,000 424,031 09/18/2002 2,347 228,690 1979 SINGLE RESIDENCE ZONE 1 10025 E Lazy K Rd 780,000 346,630 04/18/2022 2,328 54,492 2013 0.19 2 10361 E Running Water Dr 950,000 383,372 06/06/2022 2,272 54,450 2004 0.27 GENERAL RURAL ZONE 3 10100 E Cloudview Ave 789,000 424,316 11/30/2021 2,296 54,450 2018 0.35 GENERAL RURAL ZONE 4 9808 E Saguaro Summit Ct 1,165,000 463,785 11/23/2021 2,287 54,450 2004 0.54 GENERAL RURAL ZONE 5 10216 E Circlestone Ct 599,000 248,594 11/05/2021 2,018 8,088 2001 0.57 6 4226 S Strong Box Rd 649,000 255,810 04/14/2022 2,018 6,688 2000 0.57 7 4110 S Celebration Dr 695,000 261,661 04/07/2022 2,550 5,082 2005 0.58 8 3859 S Mohican 685,000 306,879 01/31/2022 2,344 82,328 1995 0.65 Customer Name : Jeremiah Stiffler Customer Company Name : First American Prepared On : 10/18/2022 © 2022 CoreLogic. All rights reserved

Strike It Rich

05/31/2022 2,018 6,458 2000 0.66

344,310 12/27/2021 2,547 7,006 2002 0.67

246,357 05/13/2022 2,550 6,744 2001 0.67

895,000 352,529 03/03/2022 2,384 19,506 2005 0.72

910,000 355,396 03/15/2022 2,674 14,680 1998 0.74

650,000 272,225 04/11/2022 2,267 19,602 1997 0.76

515,000 271,572 01/06/2022 2,267 17,424 1997 0.77

605,000 261,270 03/30/2022 2,226 13,068 1996 0.86

970,000 370,384 04/28/2022 2,313 26,136 2002 0.87

675,000 270,347 05/05/2022 2,284 13,068 1996 0.88

S Mulberry Ct 845,000 617,019 06/22/2022 2,188 7,042 2007 0.9

Pay Dirt Dr 725,000 337,336 01/04/2022 2,051 13,068 1997 0.96

9 4334 S Strong Box Rd 624,000 247,114
10 4320 S Priceless View Dr 734,000
11 4285 S Celebration Dr 517,000
12 9663 E Little Further Way
13 9755 E Little Further Way
14 10192 E Petroglyph Pl
15 10176 E Petroglyph Pl
16 10163 E Daybreak Pl
17 4699 S
Dr
18 4684 S Rimrock Loop
19 3173
20 4795 S
Distressed Sales = Customer Name : Jeremiah Stiffler Customer Company Name : First American Prepared On : 10/18/2022 © 2022 CoreLogic. All rights reserved
Map Customer Name : Jeremiah Stiffler Customer Company Name : First American Prepared On : 10/18/2022 © 2022 CoreLogic. All rights reserved

Details of Comparables

Subject Property: 3206 S Sundown Ln Gold Canyon Az 85118

Owner Name: Mcminn Cari / APN / Alternate APN: 104-04-005C /104-04-005A

Deed Type: Warranty Deed Land Use: Sfr

Subdivision / Tract: / Lot Size: 228,690

Year Built / Eff: 1979 / Rec. Date / Price: 09/18/2002 / $265,000 Living Area: 2,347 # of units: Document #: 50433

Bedrooms: Pool: Total Tax Value: $424,031 Bath(F/H): /

#1   10025 E Lazy K Rd Gold Canyon Az 85118

Owner Name: Oliver Clarence R /Oliver Bethany K APN / Alternate APN: 104-04-020F / Deed Type: Warranty Deed Land Use: Sfr

Subdivision / Tract: / Lot Size: 54,492 Year Built / Eff: 2013 / Rec. Date / Price: 04/18/2022 / $780,000 Living Area: 2,328 # of units: Document #: 45920

Bedrooms: Pool: Total Tax Value: $346,630 Bath(F/H): /

#2   10361 E Running Water Dr Gold Canyon Az 85118

Owner Name: Joerger Greg /Joerger Grace

APN / Alternate APN: 104-51-021F / Deed Type: Warranty Deed Land Use: Sfr Subdivision / Tract: / Lot Size: 54,450 Year Built / Eff: 2004 / Rec. Date / Price: 06/06/2022 / $950,000 Living Area: 2,272 # of units: Document #: 65516

Bedrooms: Pool: Total Tax Value: $383,372 Bath(F/H): /

#3   10100 E Cloudview Ave Gold Canyon Az 85118

Owner Name: Maertens Steven E /Maertens Katherine L

APN / Alternate APN: 104-51-005X / Deed Type: Warranty Deed Land Use: Sfr Subdivision / Tract: / Lot Size: 54,450 Year Built / Eff: 2018 / Rec. Date / Price: 11/30/2021 / $789,000 Living Area: 2,296 # of units: Document #: 151594

Bedrooms: Pool: Total Tax Value: $424,316 Bath(F/H): /

#4   9808 E Saguaro Summit Ct Gold Canyon Az 85118

Owner Name: Robinson Kenneth /Robinson Laurel

APN / Alternate APN: 104-51-012Y / Deed Type: Warranty Deed Land Use: Sfr Subdivision / Tract: / Lot Size: 54,450 Year Built / Eff: 2004 / Rec. Date / Price: 11/23/2021 / $1,165,000 Living Area: 2,287 # of units: Document #: 148819

Bedrooms: Pool: Gunite

Total Tax Value: $463,785 Bath(F/H): /

Customer Name : Jeremiah Stiffler

Customer Company Name : First American Prepared On : 10/18/2022

© 2022 CoreLogic. All rights reserved

#5   10216 E Circlestone Ct Gold Canyon Az 85118

Owner Name: Petrosky Richard A /Petrosky De Onne M

APN / Alternate APN: 108-08-031 / Deed Type: Warranty Deed Land Use: Sfr Subdivision / Tract: Phase 4 Prcl 2 At Gold Canyon East / Lot Size: 8,088

Year Built / Eff: 2001 / Rec. Date / Price: 11/05/2021 / $599,000 Living Area: 2,018

Document #: 140735

# of units:

Bedrooms: Pool:

Total Tax Value: $248,594 Bath(F/H): /

#6   4226 S Strong Box Rd Gold Canyon Az 85118

Owner Name: Knapp Shawn /Knapp Roxanne

APN / Alternate APN: 108-08-017 / Deed Type: Warranty Deed Land Use: Sfr Subdivision / Tract: Phase 4 Prcl 2 At Gold Canyon East / Lot Size: 6,688

Year Built / Eff: 2000 / Rec. Date / Price: 04/14/2022 / $649,000 Living Area: 2,018

# of units:

Document #: 44875 Bedrooms: Pool: Total Tax Value: $255,810 Bath(F/H): /

#7   4110 S Celebration Dr Gold Canyon Az 85118

Owner Name: Schartner Jamie K / APN / Alternate APN: 108-07-030 / Deed Type: Warranty Deed Land Use: Sfr Subdivision / Tract: Phase 4 Prcl 1 At Gold Canyon East / Lot Size: 5,082

Year Built / Eff: 2005 / Rec. Date / Price: 04/07/2022 / $695,000 Living Area: 2,550

# of units:

Document #: 41656 Bedrooms: Pool: Total Tax Value: $261,661 Bath(F/H): /

#8   3859 S Mohican Gold Canyon Az 85118

Owner Name: Bentz Timothy L /Bentz Karen F

APN / Alternate APN: 104-05-004 / Deed Type: Warranty Deed Land Use: Sfr Subdivision / Tract: Kings Ranch Estates / Lot Size: 82,328

Year Built / Eff: 1995 / Rec. Date / Price: 01/31/2022 / $685,000 Living Area: 2,344

# of units:

Document #: 12228 Bedrooms: Pool: Total Tax Value: $306,879 Bath(F/H): /

#9   4334 S Strong Box Rd Gold Canyon Az 85118

Owner Name: Cary J & L Family Living Trust / APN / Alternate APN: 108-08-008 / Deed Type: Warranty Deed Land Use: Sfr Subdivision / Tract: Phase 4 Prcl 2 At Gold Canyon East / Lot Size: 6,458

Year Built / Eff: 2000 / Rec. Date / Price: 05/31/2022 / $624,000 Living Area: 2,018

Document #: 63926

# of units:

Bedrooms: Pool:

Total Tax Value: $247,114 Bath(F/H): /

Customer Name : Jeremiah Stiffler

Customer Company Name : First American Prepared On : 10/18/2022

CoreLogic.

© 2022
All rights reserved

#10   4320 S Priceless View Dr Gold Canyon Az 85118

Owner Name: Bonham Kirk J / APN / Alternate APN: 108-09-020 / Deed Type: Warranty Deed Land Use: Sfr Subdivision / Tract: Phase 4 Prcl 3 At Gold Canyon East / Lot Size: 7,006

Year Built / Eff: 2002 / Rec. Date / Price: 12/27/2021 / $734,000 Living Area: 2,547

# of units: Document #: 163522

Bedrooms: Pool: Total Tax Value: $344,310 Bath(F/H): /

#11   4285 S Celebration Dr Gold Canyon Az 85118

Owner Name: Derosier Lawrence J /Derosier Frances E APN / Alternate APN: 108-07-004 / Deed Type: Warranty Deed Land Use: Sfr Subdivision / Tract: Phase 4 Prcl 1 At Gold Canyon East / Lot Size: 6,744

Year Built / Eff: 2001 / Rec. Date / Price: 05/13/2022 / $517,000 Living Area: 2,550

# of units:

Document #: 57132 Bedrooms: Pool: Total Tax Value: $246,357 Bath(F/H): /

#12   9663 E Little Further Way Gold Canyon Az 85118

Owner Name: Frasca Family Trust / APN / Alternate APN: 108-09-028 / Deed Type: Warranty Deed Land Use: Sfr Subdivision / Tract: Phase 4 Prcl 3 At Gold Canyon East / Lot Size: 19,506

Year Built / Eff: 2005 / Rec. Date / Price: 03/03/2022 / $895,000 Living Area: 2,384

# of units:

Document #: 25802 Bedrooms: Pool: Total Tax Value: $352,529 Bath(F/H): /

#13   9755 E Little Further Way Gold Canyon Az 85118

Owner Name: Fuzy Keith W /

APN / Alternate APN: 108-09-025 / Deed Type: Warranty Deed Land Use: Sfr Subdivision / Tract: Phase 4 Prcl 3 At Gold Canyon East / Lot Size: 14,680

Year Built / Eff: 1998 / Rec. Date / Price: 03/15/2022 / $910,000 Living Area: 2,674

# of units: Document #: 30897

Bedrooms: Pool: Gunite

Total Tax Value: $355,396 Bath(F/H): /

#14   10192 E Petroglyph Pl Gold Canyon Az 85118

Owner Name: Salamone Louis P /Schimmel Louise S

APN / Alternate APN: 104-74-186 / Deed Type: Warranty Deed

Land Use: Sfr Subdivision / Tract: Gold Canyon East / Lot Size: 19,602

Year Built / Eff: 1997 / Rec. Date / Price: 04/11/2022 / $650,000 Living Area: 2,267

Document #: 43209

# of units:

Bedrooms: Pool:

Total Tax Value: $272,225 Bath(F/H): /

Customer Name : Jeremiah Stiffler

Customer Company Name : First American Prepared On : 10/18/2022

CoreLogic.

© 2022
All rights reserved

#15   10176 E Petroglyph Pl Gold Canyon Az 85118

Owner Name: Coray Stephen R /Coray Debra S

APN / Alternate APN: 104-74-185 / Deed Type: Warranty Deed Land Use: Sfr Subdivision / Tract: Gold Canyon East / Lot Size: 17,424

Year Built / Eff: 1997 / Rec. Date / Price: 01/06/2022 / $515,000 Living Area: 2,267

Document #: 2053

# of units:

Bedrooms: Pool:

Total Tax Value: $271,572 Bath(F/H): /

#16   10163 E Daybreak Pl Gold Canyon Az 85118

Owner Name: Barnes Kathleena I /Barnes John

APN / Alternate APN: 104-74-169 / Deed Type: Warranty Deed Land Use: Sfr Subdivision / Tract: Gold Canyon East / Lot Size: 13,068

Year Built / Eff: 1996 / Rec. Date / Price: 03/30/2022 / $605,000 Living Area: 2,226

Document #: 37654

Bedrooms:

Total Tax Value: $261,270 Bath(F/H): /

#17   4699 S Strike It Rich Dr Gold Canyon Az 85118

Owner Name: Driscoll Bruce L /Driscoll Cynthia A

# of units:

Pool:

APN / Alternate APN: 104-74-048 / Deed Type: Warranty Deed

Land Use: Sfr Subdivision / Tract: Gold Canyon East / Lot Size: 26,136

Year Built / Eff: 2002 / Rec. Date / Price: 04/28/2022 / $970,000 Living Area: 2,313

# of units:

Document #: 51203

Bedrooms:

Pool: Gunite Total Tax Value: $370,384 Bath(F/H): /

#18   4684 S Rimrock Loop Gold Canyon Az 85118

Owner Name: Peffer Mark /Peffer Marin K

APN / Alternate APN: 104-74-163 / Deed Type: Warranty Deed Land Use: Sfr Subdivision / Tract: Gold Canyon East / Lot Size: 13,068

Year Built / Eff: 1996 / Rec. Date / Price: 05/05/2022 / $675,000 Living Area: 2,284 # of units:

Document #: 54214

Bedrooms: Pool: Gunite Total Tax Value: $270,347 Bath(F/H): /

#19   3173 S Mulberry Ct Gold Canyon Az 85118

Owner Name: Schwab Daniel A /Schwab Kristi R

APN / Alternate APN: 107-26-148 / Deed Type: Warranty Deed Land Use: Sfr Subdivision / Tract: Club Vls/superstition Foothill / Lot Size: 7,042

Year Built / Eff: 2007 / Rec. Date / Price: 06/22/2022 / $845,000 Living Area: 2,188

# of units:

Document #: 71794

Bedrooms:

Pool: Total Tax Value: $617,019 Bath(F/H): /

Customer Name : Jeremiah Stiffler

Customer Company Name : First American Prepared On : 10/18/2022

© 2022 CoreLogic. All rights reserved

#20   4795 S Pay Dirt Dr Gold Canyon Az 85118

Owner Name: Rupprecht Rodney P / APN / Alternate APN: 104-74-079 / Deed Type: Warranty Deed

Land Use: Sfr Subdivision / Tract: Gold Canyon East / Lot Size: 13,068

Year Built / Eff: 1997 / Rec. Date / Price: 01/04/2022 / $725,000 Living Area: 2,051

# of units: Document #: 1046 Bedrooms: Pool: Spa Total Tax Value: $337,336 Bath(F/H): /

Customer Name : Jeremiah Stiffler

Customer Company Name : First American Prepared On : 10/18/2022

© 2022 CoreLogic. All rights reserved
Subject Property :   3206 S Sundown Ln Gold Canyon AZ 85118 Customer Name : Jeremiah Stiffler Customer Company Name : First American Prepared On : 10/18/2022 © 2022 CoreLogic. All rights reserved

Customer Name : Jeremiah Stiffler

Customer Company Name : First American

On : 10/18/2022

Prepared
© 2022 CoreLogic. All rights reserved

Arizona Schools

For detailed information and statistics on Arizona schools please go to

https://azreportcards.azed.gov/ First American Title Insurance Company, and the operating divisions thereof, make no express or implied warranty respecting the information presented and assume no responsibility for errors or omissions. First American, the eagle logo, First American Title, and firstam.com are registered trademarks or trademarks of First American Financial Corporation and/or its affiliates. ©2021 First American Financial Corporation and/or its affiliates. All rights reserved. NYSE: FAF 05117910421

Public Schools :

Elementary Schools

Peralta Trail Elementary School

Distance 3.02 Miles 10965 E Peralta Rd Apache Junction AZ 85118

Telephone : (480) 677-7540

Lowest Grade : K

School District : Apache Junction Unified District (4443)

Highest Grade : 6th Kindergarten : Yes School Enrollment :

Enrollment : 418

Total Expenditure/Student : 91

Distance 4.19 Miles 3701 E Broadway Ave Apache Junction AZ 85119

Desert Vista Elementary School

Telephone : (480) 677-7510

Lowest Grade : Pre-K

School District : Apache Junction Unified District (4443)

Highest Grade : 6th Kindergarten : Yes School Enrollment :

Enrollment : 633

Total Expenditure/Student : 91

Customer Name : Jeremiah Stiffler

Company Name : First American Prepared On : 10/18/2022

CoreLogic.

Customer
© 2022
All rights reserved

Local Business

Attractions / Recreation

Name Address

Telephone Distance (Miles)

Superstition Mountain Golf 2900 S Sperstition Mtn Dr Gold Canyon Az (480) 982-3658 0.66

World Dance Center Llc 4381 S Pony Rider Trl Apache Junction Az (480) 220-2994 0.7

Kbees Wood Art 4135 S Redtail Trl Apache Junction Az (602) 803-1258 0.88

Superstition Mountain Golf And Country Club 4149 S Cordia Ct Gold Canyon Az (480) 820-8465 1.18

Banks / Financial

Name Address

Telephone Distance (Miles)

Jp Mortgage Group 9744 E Saguaro Summit Ct Gold Canyon Az (480) 288-9879 0.54

Hitching Post Llc 6030 S Kings Ranch Rd Gold Canyon Az (480) 983-3333 1.73

Primeau Funding 8896 E Red Mountain Ln Gold Canyon Az (517) 832-1651 2.06

Jpmorgan Chase Bank, National Association 5305 S Sperstition Mtn Dr Gold Canyon Az (480) 288-5787 2.4

Eating / Drinking

Name Address

Telephone Distance (Miles)

Aramark Services, Inc. 4126 S Celebration Dr Gold Canyon Az (913) 280-9449 0.59

Gibson's Smokehouse Llc 3141 S Amble Pass Gold Canyon Az (602) 475-8730 1.05

Innovative Table Games, Llc 4063 S Senna Ct Gold Canyon Az (520) 391-0761 1.12

The Gold Stallion 6030 S Kings Ranch Rd Gold Canyon Az (480) 935-1998 1.73

Health Care Services

Name Address

Telephone Distance (Miles)

Nutritionscience.life, Llc 10835 E Baseline Ave Gold Canyon Az (480) 816-4207 0.66

Dorfman Canine Training And Behavior Llc 4158 S Camino De Vida Gold Canyon Az (480) 845-1578 0.82

Customer Name : Jeremiah Stiffler

Customer Company Name : First American Prepared On : 10/18/2022

© 2022 CoreLogic. All rights reserved

Gold Canyon Contemporary Denti 2871 S Lookout Rdg Apache Junction Az (480) 339-9012 1.05

Southwest Center For Neurological Surgeons 2671 S Moonlight Dr Gold Canyon Az (480) 730-1844 1.12

Hospitality

Name Address Telephone Distance (Miles)

Gold Canyon Golf Resort Vacation Villas Owners' Association 6100 S Kings Ranch Rd Apache Junction Az (480) 982-9090 1.78

Spa 6100 S Kings Ranch Rd Gold Canyon Az (480) 982-6855 1.78

National Lodging Supply Llc 4184 S Alamandas Way Gold Canyon Az (602) 678-6777 2.05

Arizona Hideaway, Llc 18428 S Picacho Hwy Picacho Az (520) 466-2966 2.21

Organizations / Associations

Name Address Telephone Distance (Miles)

Mw Home Staging & Sales 4345 S Pony Rider Trl Gold Canyon Az (480) 288-4442 0.68

Our Savior S Lutheran Church 5301 S Kings Ranch Rd Gold Canyon Az (480) 983-7774 1.38

Gold Canyon Community Church 5810 S Alameda Rd Gold Canyon Az (480) 288-5600 1.59

Gold Canyon Church Of Christ 5821 S Camino Fuego Gold Canyon Az (602) 292-1915 1.66

Personal Services

Name Address

Telephone Distance (Miles)

Loverne Fitness, Llc 4163 S Prairie Zinnia Dr Gold Canyon Az (832) 986-7004 1.46

Metzler's Fitness Inc. 7638 E Dsert Hnysckle Dr Gold Canyon Az (302) 563-9039 1.54

Rg Crossfit Llc 5301 S Sperstition Mtn Dr Gold Canyon Az (480) 420-8955 2.4

Southwest Fitness 24/7 Inc 6822 S Kings Ranch Rd Gold Canyon Az (480) 982-0604 2.5

Customer Name : Jeremiah Stiffler

Customer Company Name : First American Prepared On : 10/18/2022

© 2022 CoreLogic. All rights reserved

Shopping

Name Address Telephone Distance (Miles)

Valu Industries Llc 7461 E Golden Eagle Cir Apache Junction Az (480) 474-1703 1.5

Son Rise Mercantile, Llc 5685 S Sage Way Gold Canyon Az (480) 288-4312 1.51

Faith Rein Glass Jewelry 6664 E Barragan Dr Gold Canyon Az (480) 983-8755 2.1 Bashas' Inc. 5310 S Sperstition Mtn Dr Apache Junction Az (480) 474-9401 2.4

Company

:

American

On : 10/18/2022

Customer Name : Jeremiah Stiffler Customer
Name
First
Prepared
© 2022 CoreLogic. All rights reserved

3273 S SUNDOWN LN

Owner Name : Frederick D O Living Trust

Total Value : $495,986

Distance 0.03 Miles

Property Tax : $4,342.88

Lot Acres : 0.75

Land Use : Sfr Living Area : 4,954

Stories : 1 APN : 104-04-005B

Yr Blt / Eff Yr Blt  : 2007 /

3168 S YAQUI LN

Owner Name : Kirtland Gerald W (te)

Sale Date : 11/16/2011

Total Value : $406,286

Distance 0.04 Miles

Recording Date : 12/20/2011

Sale Price  : $360,000

Property Tax : $4,701.38

Land Use : Sfr Lot Acres : 0.53

Stories : 1

Living Area : 3,411

Yr Blt / Eff Yr Blt : 2007 / APN : 104-04-003K

3300 S YAQUI LN

Owner Name : Troutt William Duffy

Sale Date : 12/20/2016

Total Value : $81,791

Land Use : Vacant Land (nec)

Recording Date  : 12/30/2016

Distance 0.05 Miles

Sale Price  : $15,000

Property Tax : $1,070.38

Lot Acres : 1.08

APN : 104-04-002S

S YAQUI LN Distance 0.05 Miles

Owner Name : Saurage Ronald P Ii

Sale Date : 05/31/2022

Total Value : $54,168

Land Use : Vacant Land (nec)

Recording Date  : 06/21/2022

Sale Price  : $82,500

Property Tax : $633.08

Lot Acres : 411.44

APN : 104-04-003L

Customer Name : Jeremiah Stiffler

Customer Company Name : First American Prepared On : 10/18/2022

2022 CoreLogic.

©
All rights reserved

3178 S YAQUI LN

Owner Name : Miers Melissa G

Sale Date : 04/05/2018

Total Value : $94,433

Distance 0.06 Miles

Recording Date : 06/04/2018

Sale Price  : $200,000

Property Tax : $864.54

Land Use : Sfr Lot Acres : 0.50

Stories : 1

Yr Blt / Eff Yr Blt : 1964 /

Subdivision  : Gila & Salt River Meridian

3267 S YAQUI LN

Owner Name : Troutt William Duffy

Total Value : $190,105

Land Use : Sfr

Living Area : 1,185

APN : 104-04-003J

Distance 0.08 Miles

Sale Price  : $172,000

Property Tax : $1,802.98

Lot Acres : 2.54

Stories : 1 Living Area : 1,663

Yr Blt / Eff Yr Blt : 1956 /

Recording Date  : 01/23/2006

3170 S YAQUI LN

Owner Name : Vartola Matthew

Sale Date : 12/17/2019

Total Value : $145,551

APN : 104-04-002L

Distance 0.08 Miles

Recording Date : 12/19/2019

Sale Price  : $390,000

Property Tax : $1,548.80

Land Use : Sfr Lot Acres : 0.62

Stories : 1

Living Area : 2,204 Yr Blt / Eff Yr Blt : 1953 /

3401 S YAQUI LN

Owner Name : Bowen Jason

Sale Date : 02/20/2014

Total Value : $90,013

Land Use : Vacant Land (nec)

Recording Date  : 02/28/2014

APN : 104-04-003H

Distance 0.08 Miles

Sale Price  : $35,000

Property Tax : $1,090

Lot Acres : 1.28

APN : 104-04-012G

Customer Name : Jeremiah Stiffler

Customer Company Name : First American Prepared On : 10/18/2022

© 2022 CoreLogic. All rights reserved

Census Tract / block: 3.16 / 4     Year: 2018

Household

Population Population by Age

Count: 7,883 0 - 11

Estimate Current Year: 8,143 12 - 17

Estimate in 5 Years: 9,273 18 - 24 4.41%

Growth Last 5 Years: 9.54% 25 - 64 34.62%

Growth Last 10 Years: -116.01% 65 - 74 30.04% 75+

Household Size Household Income

Current Year: 3,784 0 - $25,000 11.58%

Average Current Year: 2.08 $25,000 - $35,000 8.91%

Estimate in 5 Years: 4,356 $35,000 - $50,000 12.29%

Growth Last 5 Years: 8.93% $50,000 - $75,000 18.26%

Growth Last 10 Years: -3.69% $75,000 - $100,000 16.6%

Male Population: 47.63% Above $100,000 32.37%

Female Population: 52.37% Average Household Income: $74,433

Married People: 70.49%

Unmarried People: 29.51%

Housing

Median Mortgage Payments

Home Values

Under $300: 1.64% Below $100,000: 2.78%

$300 - $799: 41.04% $100,000 - $150,000: 2.86%

$800 - $1,999: 42.57% $150,000 - $200,000: 4.99% Over $2,000: 14.75% $200,000 - $300,000: 28.91%

Median Home Value: $336,700 $300,000 - $500,000: 46.2%

Unit Occupied Owner: 96.91% Above $500,000: 14.26%

Median Mortgage: $974

Customer Name :
Jeremiah Stiffler
Customer Company Name : First
American
Prepared On : 10/18/2022 © 2022 CoreLogic. All rights reserved

Rent Payments

Year Built

Unit Occupied Renter: 3.09% 1999 - 2000

Median Gross Rent: $1,406 1995 - 1998

Less Than $499 0% 1990 - 1994

$500 - $749 0% 1980 - 1989 6.29%

$750 - $999 34.38% 1970 - 1979 0.98%

$1000 and Over 65.63% 1900 - 1969 0.65%

Education

Enrollment

Public Pre-Primary School: 0.03% Not Enrolled in School: 90.72%

Private Pre-Primary School: 0% Not A High School Graduate: 3.96%

Public School: 7.49% Graduate Of High School: 20.18%

Private School: 1.78% Attended Some College: 26.63%

Public College: 3.86% College Graduate: 33.37%

Private College: 0.78% Graduate Degree: 15.86%

Workforce

Occupation:

Manager/Prof: 45.97% Private Worker: 62.04%

Technical: Government Worker: 16.02%

Sales: 24.48% Self Employed Worker: 13.22%

Administrative: Unpaid Family Worker: 5.52%

Private House Hold: Farming: 3.25%

Service: 18.07% Skilled:

Protective Services: Blue-Collar: 11.48%

Commute Time

Less Than 15 Min: 12.89%

15 min - 28 min: 26.91%

30 min - 57 min: 47.95%

Over 60 min: 12.24%

Name :

Company Name :

American Prepared On : 10/18/2022

Customer
Jeremiah Stiffler Customer
First
© 2022 CoreLogic. All rights reserved
Customer Name : Jeremiah Stiffler Customer Company Name : First American Prepared On : 10/18/2022 © 2022 CoreLogic. All rights reserved
Customer Name : Jeremiah Stiffler Customer Company Name : First American Prepared On : 10/18/2022 © 2022 CoreLogic. All rights reserved

Company

Customer Name : Jeremiah Stiffler Customer
Name : First American Prepared On : 10/18/2022 © 2022 CoreLogic. All rights reserved

SEARCH PARAMETERS

INSTRUMENT REC DATE

2011 54626 06/29/2011

LEGAL: NE NW SW SEC 33-01N-09E EXC W-264 AND EXC COM @ W4 COR SEC 33-01N-09E TH E-1149.77 TH S-265.87 TO POB TH S-218.3 TH W-164.75 TH N-143.41 TH N 48D E-112.44 TH E-80.2 TO POB AKA NEW PARCEL ON SVY 2011054625, 5.25 AC

CURRENT TAXES INFORMATION THROUGH 09/30/2022

LAND IMPR EXEMPT RATE AREA SPECIAL DISTRICTS

PRIMARY  37,044  0  0  8.8650  4301  11642 11900 14613 14900 15625

SECONDARY  19,948  22,347  0  4.9335   24002 30001

2022 TOTAL TAX BILLED 4,511.36

2022  TAX AMT TAX DUE INTEREST DATE PAID

TOTAL DUE

FIRST HALF  2,255.68  2,255.68  0.00  2,255.68

SECOND HALF  2,255.68  2,255.68  0.00  2,255.68

TOTAL CURRENT TAXES DUE 10/22 4,511.36 11/22 4,541.44 (ESTIMATED)

+ FIRST AMERICAN TITLE, FC0, JSTI PINAL (PL), AZ 10/18/2022  03:36PM  R9C8  INVESTIGATIVE SEARCH RESULTS PAGE 1 OF 1
PARCEL:  104-04-005C PARCEL: 104-04-005C 1
OWNER: FREDERICK FAMILY REVOCABLE TRUST
SITUS: 3206 S SUNDOWN LN GOLD CANYON  MAIL: 3206 S SUNDOWN LN  GOLD CANYON, AZ 85118
IMPROVEMENTS SINGLE FAMILY HOME  BLDG SQFT  2,347 FULL CASH VALUE  422,941 YEAR BUILT  1979 LAND USE  01 34 NUMBER OF STORIES  1.0 LOT SIZE  5.250 ACRES STORIES HEIGHT  0 SCHOOL DISTRICT  4301 EXTERIOR WALLS  OTHER LAND FULL CASH VALUE  199,475 GRADE MATERIALS IMPR FULL CASH VALUE  223,466 SALES NO SALES ADDITIONAL PROPERTY INFORMATION STANDARD LAND USE: SFR END SEARCH
PINAL (PL), AZ Document:DED WAR 2002.50433 Page:1 of 4 Printed on:10/18/2022 4:03 PM Branch :FC0 User :JSTI
PINAL (PL), AZ Document:DED WAR 2002.50433 Page:2 of 4 Printed on:10/18/2022 4:03 PM Branch :FC0 User :JSTI
PINAL (PL), AZ Document:DED WAR 2002.50433 Page:3 of 4 Printed on:10/18/2022 4:03 PM Branch :FC0 User :JSTI
PINAL (PL), AZ Document:DED WAR 2002.50433 Page:4 of 4 Printed on:10/18/2022 4:03 PM Branch :FC0 User :JSTI
PINAL (PL), AZ Document:DED WAR 2003.8747 Page:1 of 5 Printed on:10/18/2022 4:03 PM Branch :FC0 User :JSTI
PINAL (PL), AZ Document:DED WAR 2003.8747 Page:2 of 5 Printed on:10/18/2022 4:03 PM Branch :FC0 User :JSTI
PINAL (PL), AZ Document:DED WAR 2003.8747 Page:3 of 5 Printed on:10/18/2022 4:03 PM Branch :FC0 User :JSTI
PINAL (PL), AZ Document:DED WAR 2003.8747 Page:4 of 5 Printed on:10/18/2022 4:03 PM Branch :FC0 User :JSTI
PINAL (PL), AZ Document:DED WAR 2003.8747 Page:5 of 5 Printed on:10/18/2022 4:03 PM Branch :FC0 User :JSTI
PINAL (PL), AZ Document:DED QCL 2006.175076 Page:1 of 2 Printed on:10/18/2022 4:04 PM Branch :FC0 User :JSTI
PINAL (PL), AZ Document:DED QCL 2006.175076 Page:2 of 2 Printed on:10/18/2022 4:04 PM Branch :FC0 User :JSTI
PINAL (PL), AZ Document:XGR 2007.19316 Page:1 of 5 Printed on:10/18/2022 4:04 PM Branch :FC0 User :JSTI
PINAL (PL), AZ Document:XGR 2007.19316 Page:2 of 5 Printed on:10/18/2022 4:04 PM Branch :FC0 User :JSTI
PINAL (PL), AZ Document:XGR 2007.19316 Page:3 of 5 Printed on:10/18/2022 4:04 PM Branch :FC0 User :JSTI
PINAL (PL), AZ Document:XGR 2007.19316 Page:4 of 5 Printed on:10/18/2022 4:04 PM Branch :FC0 User :JSTI
PINAL (PL), AZ Document:XGR 2007.19316 Page:5 of 5 Printed on:10/18/2022 4:04 PM Branch :FC0 User :JSTI
PINAL (PL), AZ Document:DED DIS 2007.59991 Page:1 of 2 Printed on:10/18/2022 4:04 PM Branch :FC0 User :JSTI
PINAL (PL), AZ Document:DED DIS 2007.59991 Page:2 of 2 Printed on:10/18/2022 4:04 PM Branch :FC0 User :JSTI
PINAL (PL), AZ Document:DED TRS 2009.72970 Page:1 of 2 Printed on:10/18/2022 4:05 PM Branch :FC0 User :JSTI
PINAL (PL), AZ Document:DED TRS 2009.72970 Page:2 of 2 Printed on:10/18/2022 4:05 PM Branch :FC0 User :JSTI
PINAL (PL), AZ Document:DED QCL 2009.29571 Page:1 of 2 Printed on:10/18/2022 4:05 PM Branch :FC0 User :JSTI
PINAL (PL), AZ Document:DED QCL 2009.29571 Page:2 of 2 Printed on:10/18/2022 4:05 PM Branch :FC0 User :JSTI
PINAL (PL), AZ Document:DED WAR 2009.110825 Page:1 of 2 Printed on:10/18/2022 4:05 PM Branch :FC0 User :JSTI
PINAL (PL), AZ Document:DED WAR 2009.110825 Page:2 of 2 Printed on:10/18/2022 4:05 PM Branch :FC0 User :JSTI
PINAL (PL), AZ Document:DED WAR 2009.110826 Page:1 of 2 Printed on:10/18/2022 4:05 PM Branch :FC0 User :JSTI
PINAL (PL), AZ Document:DED WAR 2009.110826 Page:2 of 2 Printed on:10/18/2022 4:05 PM Branch :FC0 User :JSTI
PINAL (PL), AZ Document:DED SWR 2010.12947 Page:1 of 4 Printed on:10/18/2022 4:07 PM Branch :FC0 User :JSTI
PINAL (PL), AZ Document:DED SWR 2010.12947 Page:2 of 4 Printed on:10/18/2022 4:07 PM Branch :FC0 User :JSTI
PINAL (PL), AZ Document:DED SWR 2010.12947 Page:3 of 4 Printed on:10/18/2022 4:07 PM Branch :FC0 User :JSTI
PINAL (PL), AZ Document:DED SWR 2010.12947 Page:4 of 4 Printed on:10/18/2022 4:07 PM Branch :FC0 User :JSTI
PINAL (PL), AZ Document:DED WAR 2010.87857 Page:1 of 3 Printed on:10/18/2022 4:07 PM Branch :FC0 User :JSTI
PINAL (PL), AZ Document:DED WAR 2010.87857 Page:2 of 3 Printed on:10/18/2022 4:07 PM Branch :FC0 User :JSTI
PINAL (PL), AZ Document:DED WAR 2010.87857 Page:3 of 3 Printed on:10/18/2022 4:07 PM Branch :FC0 User :JSTI
PINAL (PL), AZ Document:DED WAR 2010.87859 Page:1 of 3 Printed on:10/18/2022 4:07 PM Branch :FC0 User :JSTI
PINAL (PL), AZ Document:DED WAR 2010.87859 Page:2 of 3 Printed on:10/18/2022 4:07 PM Branch :FC0 User :JSTI
PINAL (PL), AZ Document:DED WAR 2010.87859 Page:3 of 3 Printed on:10/18/2022 4:07 PM Branch :FC0 User :JSTI
PINAL (PL), AZ Document:DED WAR 2010.87860 Page:1 of 3 Printed on:10/18/2022 4:09 PM Branch :FC0 User :JSTI
PINAL (PL), AZ Document:DED WAR 2010.87860 Page:2 of 3 Printed on:10/18/2022 4:09 PM Branch :FC0 User :JSTI
PINAL (PL), AZ Document:DED WAR 2010.87860 Page:3 of 3 Printed on:10/18/2022 4:09 PM Branch :FC0 User :JSTI
PINAL (PL), AZ Document:DED WAR 2010.95935 Page:1 of 1 Printed on:10/18/2022 4:09 PM Branch :FC0 User :JSTI
PINAL (PL), AZ Document:DED QCL 2010.96804 Page:1 of 2 Printed on:10/18/2022 4:09 PM Branch :FC0 User :JSTI
PINAL (PL), AZ Document:DED QCL 2010.96804 Page:2 of 2 Printed on:10/18/2022 4:09 PM Branch :FC0 User :JSTI
PINAL (PL), AZ Document:DED QCL 2011.49090 Page:1 of 3 Printed on:10/18/2022 4:09 PM Branch :FC0 User :JSTI
PINAL (PL), AZ Document:DED QCL 2011.49090 Page:2 of 3 Printed on:10/18/2022 4:09 PM Branch :FC0 User :JSTI
PINAL (PL), AZ Document:DED QCL 2011.49090 Page:3 of 3 Printed on:10/18/2022 4:09 PM Branch :FC0 User :JSTI
PINAL (PL), AZ Document:DED QCL 2011.54626 Page:1 of 2 Printed on:10/18/2022 4:09 PM Branch :FC0 User :JSTI
PINAL (PL), AZ Document:DED QCL 2011.54626 Page:2 of 2 Printed on:10/18/2022 4:09 PM Branch :FC0 User :JSTI
PINAL (PL), AZ Document:DED WAR 2014.63099 Page:1 of 4 Printed on:10/18/2022 4:09 PM Branch :FC0 User :JSTI
PINAL (PL), AZ Document:DED WAR 2014.63099 Page:2 of 4 Printed on:10/18/2022 4:09 PM Branch :FC0 User :JSTI
PINAL (PL), AZ Document:DED WAR 2014.63099 Page:3 of 4 Printed on:10/18/2022 4:09 PM Branch :FC0 User :JSTI
PINAL (PL), AZ Document:DED WAR 2014.63099 Page:4 of 4 Printed on:10/18/2022 4:09 PM Branch :FC0 User :JSTI

Turn static files into dynamic content formats.

Create a flipbook
Issuu converts static files into: digital portfolios, online yearbooks, online catalogs, digital photo albums and more. Sign up and create your flipbook.