307-20-011v

Page 1

Manuel AZ 85631 APN: 307-20-011V
Provided
American Title Ins Co © 2022 CoreLogic. All rights reserved
Subject Property San
Data
By: First

LIMITATION OF LIABILITY FOR INFORMATIONAL REPORTS

IMPORTANT -- PLEASE READ CAREFULLY:

This report is not an insured product or service or a representation of the condition of title to real property. It is not an abst ract, legal opinion, opinion of title, title insurance commitment or preliminary report, or any form of Title Insurance or Guaranty. This report is issued exclusively for the benefit of the Applicant therefor and may not be used or relied upon by any other person. This report may not be reproduced in any manner without First American or Title Security's prior written consent. First American or Title Security does not represent or warrant that the information herein is complete or free from error, and the information herein is provided without any warranties of any kind, as-is, and with all faults. As a material part of the consideration given in exchange for the issuance of this report, recipient agrees that First American or Title Security's sole liability for any loss or damage caused by an error or omission due to inaccurate information or negligence in preparing this report shall be limited to the fee charged for the report. Recipient accepts this report with this limitation and agrees that First American or Title Security would not have issued this report but for the limitation of liability described above. First American or Title Security makes no representation or warranty as to the legality or propriety of recipient's use of the information herein.

Disclaimer

This REiSource report is provided "as is" without warranty of any kind, either express or implied, including without limitations any warrantees of merchantability or fitness for a particular purpose. There is no representation of warranty that this information is complete or free from error, and the provider does not assume, and expressly disclaims, any liability to any person or entity for loss or damage caused by errors or omissions in this REiSource report without a title insurance policy.

The information contained in the REiSource report is delivered from your Title Company, who reminds you that you have the right as a consumer to compare fees and serviced levels for Title, Escrow, and all other services associated with property ownership, and to select providers accordingly. Your home is the largest investment you will make in your lifetime and you should demand the very best.

Data Provided By: First American Title Ins Co
© 2022 CoreLogic. All rights reserved

Subject Property :    San Manuel AZ 85631

Owner Information

Owner Name : Bartholomew George E / Bartholomew Mary

Mailing Address : 6122 N Camino Arturo, Tucson AZ 85718-2802 C033

Vesting Codes : / / Living Trust

Location Information

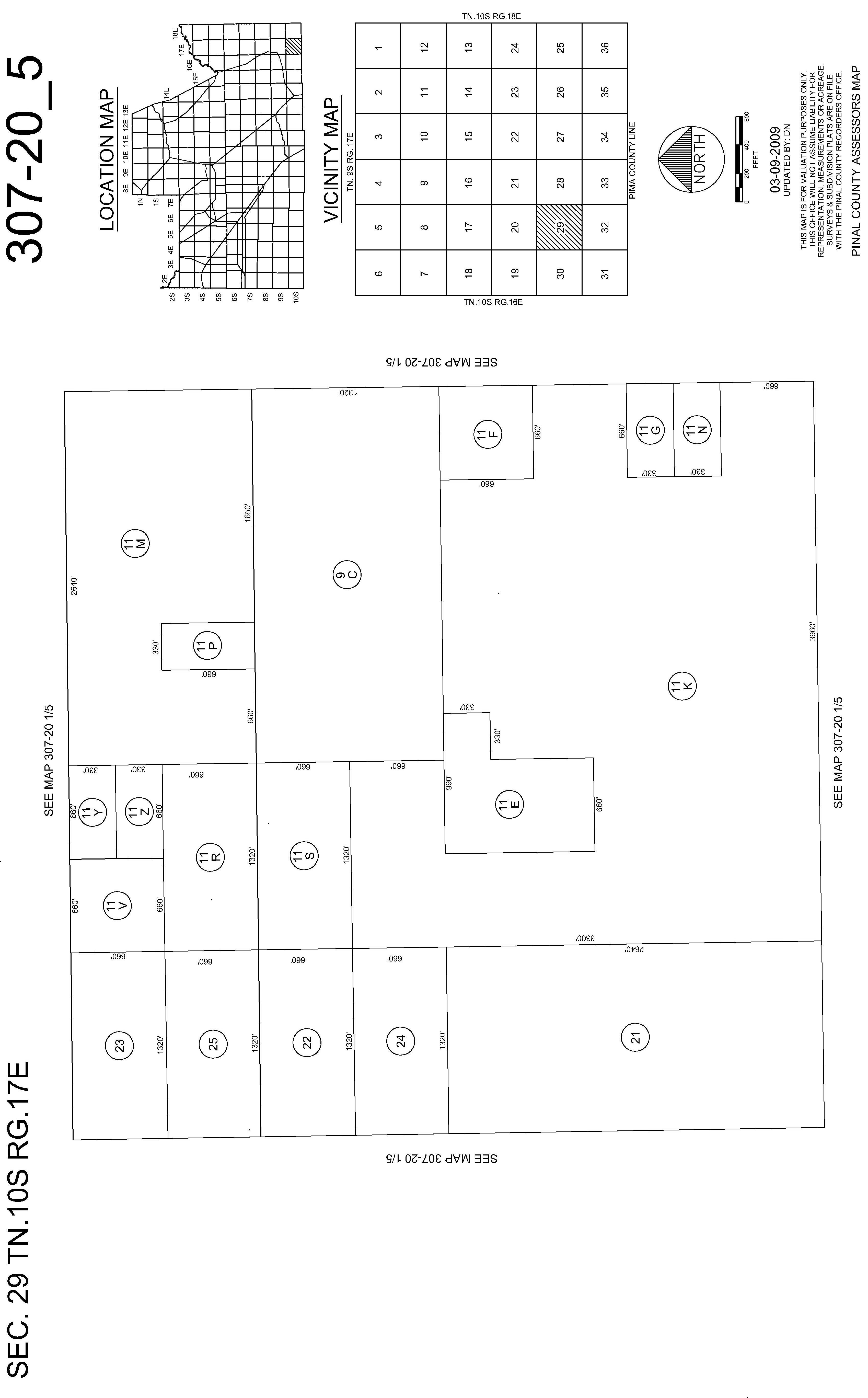
Legal Description : W1/2 N1/2 Ne Nw Of Sec 29-10s-17e 435600 Sq Ft 10.00 Ac

County : Pinal, Az

Census Tract / Block : 22.00

Township-Range- Sect : 10S-17E-29

Last Market Sale Information

Recording/Sale Date : 08/24/2018 / 07/30/2018

APN : 307-20-011V

Map Reference : 2910S17E

Deed Type : Warranty Deed

Sale Price : $250,000 1st Mtg Amount/Type : $249,500 / Pp Document # : 64187 1st Mtg Document # : 64188

Title Company : Stewart Title & Tr/tucson

Seller Name : Fox Hugh & Ardith E

Property Information

Land Use : Vacant Land (nec)

Zoning : GENERAL RURAL ZONE

Tax Information

Total Value : $17,621

Land Value : $17,621

Total Taxable Value : $2,332

Assessed Year : 2021

Lot Acres : 10.00

Lot Size : 435,600

State Use : Vacundeterminedrur Non Subd

Tax Year : 2022

Property Tax : $294.60

Tax Rate Area : 0803

Market Value : $17,621

Current Assessed Year : 2023

Current Year Total Value : $2,643

Current Year Land Value : $2,643

Customer Name : Jeremiah Stiffler

Customer Company Name : First American Prepared On : 11/10/2022

2022 CoreLogic.

©
All rights reserved

No comparables data for selected property.

Customer Name : Jeremiah Stiffler

Customer Company Name : First American Prepared On : 11/10/2022

© 2022
All rights reserved
CoreLogic.

No street map for selected property.

Customer Name : Jeremiah Stiffler Customer Company Name : First American Prepared On : 11/10/2022

©
All rights reserved
2022 CoreLogic.

Customer Name : Jeremiah Stiffler Customer Company Name : First American Prepared On : 11/10/2022

©
All rights reserved
2022 CoreLogic.

Arizona Schools

For detailed information and statistics on Arizona schools please go to https://azreportcards.azed.gov/ First American Title Insurance Company, and the operating divisions thereof, make no express or implied warranty respecting the information presented and assume no responsibility for errors or omissions. First American, the eagle logo, First American Title, and firstam.com are registered trademarks or trademarks of First American Financial Corporation and/or its affiliates. ©2021 First American Financial Corporation and/or its affiliates. All rights reserved. NYSE: FAF 05117910421

520.625.3502

SUNNYSIDE UNIFIED 2238 E. Ginter Road, Tucson, AZ 85706 520.545.2000

TANQUE VERDE UNIFIED 2300 N. Tanque Verde Loop, Tucson, AZ 85749 520.749.5751 01 TUCSON UNIFIED 1010 E. 10th Street, Tucson, AZ 85717 520.225.6000

VAIL UNIFIED 10701 E. Mary Ann Cleveland Way, Tucson, AZ 85747 520.879.2000

05249570321 TUCSON INT'L AIRPORT Air Force WSilverbellRd SSantaRitaRd N M t L emmon Hwy ESascoRd NF 38 W Avra Valley Rd E Grand Va ey DrNAguirre R d N L u c k e R d N W e n t z R d N Wa terman Mounta i n R d N Anway Rd W El Tiro Rd N Trico Rd W Tucker Rd W Rudas l Rd W Manvi e Rd SSanJoaquinRdWBopp Rd W Snyder H l Rd S M a r s e a r R d W Park Rd W Hermans RdW Hermans Rd W Guy St W Bush Rd S G a v e y R d N C a e R i n c o n a d o S W m o R d S Shaw Rd S Sierrita Mountain Rd S K o b R d W TwinButtes Rd W Mcgee Ranch Rd S E s t a n c a D r EDesertDove E Hemlock Dr N Bea r C a n y o n R d W E Camino Del Cerro E Fairmount St S Swan Rd NFrontageRd W Emigh Rd W Fort Lowe Rd N P u m p S t a t ion dR E Nona Rd Ch efButteRd Lo al Ave N Trico Rd S Cattle Tank Rd Evalyn Rd SOwlHead R a n c h Rd GasLineRd S P ec a n R d N T r c o R d W Bayard Rd S S a n d a r o R d W i l l owSpri n gsRd N Dove Mountain Blvd SHelvetiaRd WAnamax Mine Rd W G a c i a R a n hc R d Road424 WRagged Top Rd W Ruby Star Dr WBritten RanchRd W Pima Mine Rd S Mcgee Ranch R d E Edw n Rd SGuildRd 8 0 NKINNEYRD S PICACHO HWY E BAUMGARTNER RD N S A N D A R I O R D N ANWAY RD W VALENCIA RD W MOORE RD W INA RD N 1 S T A V E E SUNRISE DR E SNYDER RDNSILVERBELLRD N S O L D I E R T R L E RIVER RDE PRINCE RD E SPEEDWAY BLVD S FREEMAN RD E 22ND ST E 22ND ST W IRVINGTON RD S N O G A L E S H W Y W VALENCIA RD SMISSIONRD W SPEEDWAY BLVD S O L D S P A N I S H T RL W NARANJA DR W TWIN PEAKS RD W PICTURE ROCKS RD W MANVILLE RD SKINNEYRD W MILE WIDE RD E SAHUARITA RD N TRICO RD S S A N D A R O R D PARK LINK DR S OLD N O G ALES HW Y S H O U G H T O N R D S L A C A N A D A DRW HELMET PEAK RD WAJOHWY N S W A N R D S KOLB RD S HOUGHTON RD W TANGERINE RD E GRANT RD S H O U G H T O N R D 9 5 WAJOHWY E VALENCIA RD NORACLE R D I10 I-19 77 77 77 86 86 286 10 19 10 10 Corona de Tucson Casas Adobes Catalina Green Valley Oracle Picture Rocks Three Points VailSummit Tanque Verde Tucson Sahuarita Red Rock Saddlebrooke Marana Oro Valley Rillito Summerhaven Willow Canyon Oracle Junction Cortaro Continental Littletown 20 30 13 15 51 39 12 01 01 08 10 16 11 06 PIMA COUNTY School District Information This map is provided for general location only. Please contact school districts for actual street boundaries SCHOOL DISTRICTS 15 AJO UNIFIED 111 N. Well Road, Ajo, AZ 85321 520.387.5618 51 ALTAR VALLEY ELEMENTARY 10105 S. Sasabe Road, Tucson, AZ 85736 520.822.1484 10 AMPHITHEATER UNIFIED 701 W. Wetmore, Tucson, AZ 85705 520.696.5000 16 CATALINA FOOTHILS UNIFIED 2101 E. River Road, Tucson, AZ 85718 520.209.7500 39 CONTINENTAL ELEMENTARY 1991 E. Whitehouse Canyon, Green Valley, AZ 85614
08 FLOWING WELLS UNIFIED 1556 W. Prince Road, Tucson, AZ 85705 520.696.8800 06 MARANA UNIFIED 11279 W. Grier Road, Marana, AZ 85653
11 PIMA COUNTY JTED 2855 W. Master Pieces Dr, Tucson, AZ 85741
30 SAHUARITA UNIFIED 350 W. Sahuarita Road,
First American Title Insurance Company, and the operating divisions thereof, make no express or implied warranty respecting the information presented and assume no responsibility for errors or omissions. First American, the eagle logo, First American Title, and firstam.com are registered trademarks or trademarks of First American Financial Corporation and/or its affiliates. ©2021 First American Financial Corporation and/or its affiliates. All rights reserved. NYSE: FAF
520.625.4581
520.682.3243
520.352.5833
Sahuarita, AZ 85629
12
13
20

Public Schools : Elementary Schools

First Avenue Elementary School Distance 3.81 Miles 914 W 1st Ave San Manuel AZ 85631

Telephone : (520) 385-2336

School District : Mammoth-san Manuel Unified District (4439)

Lowest Grade : Pre-K Highest Grade : 6th Kindergarten : Yes School Enrollment : Enrollment : 272 Total Expenditure/Student : 245

Middle Schools

San Manuel Junior High School Distance 3.86 Miles 711 S Mcnab Pkwy San Manuel AZ 85631

Telephone : (520) 385-2336

School District : Mammoth-san Manuel Unified District (4439)

Lowest Grade : 6th Highest Grade : 8th Kindergarten : No School Enrollment : Enrollment : 140 Total Expenditure/Student : 245

Customer Name : Jeremiah Stiffler

Customer Company Name : First American Prepared On : 11/10/2022

© 2022 CoreLogic. All rights reserved

High Schools

San Manuel High School

711 S Mcnab Pkwy San Manuel AZ 85631

Telephone : (520) 385-2336

Distance 3.86 Miles

School District : Mammoth-san Manuel Unified District (4439)

Lowest Grade : 9th Highest Grade : 12th School Enrollment : Enrollment : 192

Total Expenditure/Student : 245 Advanced Placement : No

Pcjted - San Manuel High School

711 S Mcnab Pkwy San Manuel AZ 85631

Telephone : (520) 385-2336

Distance 3.86 Miles

School District : Pima County Jted (89380)

Highest Grade : 12th School Enrollment : Enrollment : 0

Lowest Grade : 9th

Total Expenditure/Student : Advanced Placement : No

Customer Name : Jeremiah Stiffler

Customer Company Name : First American Prepared On : 11/10/2022

© 2022
All rights reserved
CoreLogic.

Local Business

Attractions / Recreation

Name Address

Telephone Distance (Miles)

Kjdj Entertainment 614 W 5th Ave San Manuel Az (520) 858-4830 4.44

Banks / Financial

Name Address Telephone Distance (Miles)

Vantage West Credit Union 141 W 8th Ave San Manuel Az (520) 298-7882 4.99

Eating / Drinking

Name Address Telephone Distance (Miles)

Melvin W Childers 1034 W 3rd Ave San Manuel Az (520) 385-4212 3.75

La Casita 570 S Avenue A San Manuel Az (520) 385-3025 4.04

Romos Mexican Food 501 S Mcnab Pkwy San Manuel Az (520) 385-4355 4.06

San Pedro Valley Pizza Co 326 S Alta Vista St San Manuel Az (520) 385-2041 4.23

Health Care Services

Name Address Telephone Distance (Miles)

The Desert Palms Physical Therapy 23 S Mcnab Pkwy San Manuel Az (520) 385-4066 4.93

Tucson Medical Center 23 S Mcnab Pkwy San Manuel Az (520) 385-2234 4.93

Organizations / Associations

Name Address Telephone Distance (Miles)

First Baptist Church Of San Manuel 1 S Nichols Ave San Manuel Az (520) 385-4655 3.58

The Church Of Jesus Christ Of Latterday Saints 101 N Giffen Ave San Manuel Az (520) 385-4866 3.75

San Manuel First Assembly Of God Church 201 E Main St San Manuel Az (520) 385-4353 4.04

The Roman Catholic Church Of The Diocese Of Tucson 609 W Park Pl San Manuel Az (520) 385-4156 4.06

Customer Name : Jeremiah Stiffler

Customer Company Name : First American Prepared On : 11/10/2022

© 2022 CoreLogic. All rights reserved

Shopping

Name Address Telephone Distance (Miles)

Family Dollar Stores, Inc. 440 S Avenue A San Manuel Az (520) 385-4911 4.24

Thurland Reay Family Investment Company 400 S Avenue A San Manuel Az (520) 385-2813 4.27

Rachels Amazing Spices & More 123 W 4th Ave San Manuel Az (520) 490-2020 4.48

Customer Name : Jeremiah Stiffler

Customer Company Name : First American Prepared On : 11/10/2022

© 2022 CoreLogic. All rights reserved

E UNDETERMINED RD Distance 0.13 Miles

Owner Name : Hansi L Braddock

Total Value : $10,883

Land Use : Vacant Land (nec)

Property Tax : $190.44

Lot Acres : 5.00

APN : 307-20-011Y

E UNDETERMINED RD Distance 0.13 Miles

Owner Name : Hansi L Braddock

Total Value : $10,883

Land Use : Vacant Land (nec)

Property Tax : $190.44

Lot Acres : 5.00

APN : 307-20-011Z

Customer Name : Jeremiah Stiffler
© 2022 CoreLogic. All rights reserved
Customer Company Name : First American Prepared On : 11/10/2022

Census Tract / block: 22.00     Year: 2018

Household

Population Population by Age

Count: 5,140 0 - 11

Estimate Current Year: 5,325 12 - 17

Estimate in 5 Years: 6,137 18 - 24 0.82%

Growth Last 5 Years: -2.08% 25 - 64 43.56%

Growth Last 10 Years: -153.43% 65 - 74 18.91% 75+

Household Size Household Income

Current Year: 1,941 0 - $25,000 14.94%

Average Current Year: 2.65 $25,000 - $35,000 22.31%

Estimate in 5 Years: 1,951 $35,000 - $50,000 17.41%

Growth Last 5 Years: -15.82% $50,000 - $75,000 25.09%

Growth Last 10 Years: 4.3% $75,000 - $100,000 15.25%

Male Population: 50.16% Above $100,000 5%

Female Population: 49.84% Average Household Income: $45,375

Married People: 64.51%

Unmarried People: 35.49%

Housing

Median Mortgage Payments Home Values

Under $300: 16.71% Below $100,000: 18.33%

$300 - $799: 44.08% $100,000 - $150,000: 23.38%

$800 - $1,999: 37.66% $150,000 - $200,000: 16.71%

Over $2,000: 1.56% $200,000 - $300,000: 26.81%

Median Home Value: $173,100 $300,000 - $500,000: 9.04%

Unit Occupied Owner: 82.64% Above $500,000: 5.74%

Median Mortgage: $814

Customer Name : Jeremiah Stiffler Customer Company Name : First American Prepared On : 11/10/2022

© 2022 CoreLogic. All rights reserved

Rent Payments Year Built

Unit Occupied Renter: 17.36% 1999 - 2000

Median Gross Rent: $744 1995 - 1998

Less Than $499 15.19% 1990 - 1994

$500 - $749 35.13% 1980 - 1989 21.4%

$750 - $999 38.61% 1970 - 1979 19.42%

$1000 and Over 11.08% 1900 - 1969 21.32%

Education

Enrollment

Public Pre-Primary School: 0% Not Enrolled in School: 77.87%

Private Pre-Primary School: 0% Not A High School Graduate: 13.6%

Public School: 22.13% Graduate Of High School: 31.54%

Private School: 0% Attended Some College: 30.11%

Public College: 0.51% College Graduate: 17.8%

Private College: 0% Graduate Degree: 6.95%

Workforce

Occupation:

Manager/Prof: 22.5% Private Worker: 60.04%

Technical: Government Worker: 7.98%

Sales: 18.12% Self Employed Worker: 0.78%

Administrative: Unpaid Family Worker: 16.81%

Private House Hold: Farming: 22.3%

Service: 24.59% Skilled:

Protective Services: Blue-Collar: 34.79%

Commute Time

Less Than 15 Min: 24.61%

15 min - 28 min: 21.73%

30 min - 57 min: 31.22%

Over 60 min: 22.43%

Customer Name : Jeremiah Stiffler

Customer Company Name : First American Prepared On : 11/10/2022

© 2022 CoreLogic. All rights reserved

Customer Name : Jeremiah Stiffler

Customer Company Name : First American Prepared On : 11/10/2022

©
All rights reserved
2022 CoreLogic.

Customer Name : Jeremiah Stiffler Customer Company Name : First American Prepared On : 11/10/2022

©
All rights reserved
2022 CoreLogic.

Customer Name : Jeremiah Stiffler Customer Company Name : First American Prepared On : 11/10/2022

©
All rights reserved
2022 CoreLogic.
+ FIRST AMERICAN TITLE, FC0, JSTI PINAL (PL), AZ 11/10/2022  11:14AM  R9C8  INVESTIGATIVE SEARCH RESULTS PAGE 1 OF 1
0
SALES SALE DATE SALE AMOUNT INSTRUMENT TYPE SELLER NAME VALIDITY 08/24/2018 250,000    2018 64187 WD FOX HUGH & ARDITH E M ADDITIONAL PROPERTY INFORMATION STANDARD LAND USE: VACANT LAND (NEC) END SEARCH
SEARCH PARAMETERS PARCEL:  307-20-011V PARCEL: 307-20-011V 3 INSTRUMENT REC DATE OWNER: BARTHOLOMEW GEORGE E & BART  AFFIDAVIT    2018 64187 08/24/2018  MAIL: 6122 N CAMINO ARTURO  TUCSON AZ 85718  LEGAL: W1/2 N1/2 NE NW OF SEC 29-10S-17E 435600 SQ FT 10.00 AC  CURRENT TAXES INFORMATION THROUGH 11/01/2022 LAND IMPR EXEMPT RATE AREA SPECIAL DISTRICTS PRIMARY  2,449  0  0  11.3320  0803  11900 14613 14900 15625 30004  SECONDARY  2,643  0  0  .6987  2022 TOTAL TAX BILLED 294.60 2022  TAX AMT TAX DUE INTEREST DATE PAID TOTAL DUE FIRST HALF  147.30  147.30  1.96  149.26  SECOND HALF  147.30  147.30  0.00  147.30  TOTAL CURRENT TAXES DUE 11/22 296.56 12/22 298.53 (ESTIMATED) IMPROVEMENTS BLDG SQFT  0 FULL CASH VALUE  17,621 YEAR BUILT  0 LAND USE  00 04 NUMBER OF STORIES LOT SIZE  10.000 ACRES STORIES HEIGHT
SCHOOL DISTRICT  0803 EXTERIOR WALLS LAND FULL CASH VALUE  17,621 GRADE MATERIALS IMPR FULL CASH VALUE  0
PINAL (PL), AZ Document:DED WAR 2018.64187 Page:1 of 4 Printed on:11/10/2022 12:17 PM Branch :FC0 User :JSTI
PINAL (PL), AZ Document:DED WAR 2018.64187 Page:2 of 4 Printed on:11/10/2022 12:17 PM Branch :FC0 User :JSTI
PINAL (PL), AZ Document:DED WAR 2018.64187 Page:3 of 4 Printed on:11/10/2022 12:17 PM Branch :FC0 User :JSTI
PINAL (PL), AZ Document:DED WAR 2018.64187 Page:4 of 4 Printed on:11/10/2022 12:17 PM Branch :FC0 User :JSTI
PINAL (PL), AZ Document:DOT 2018.64188 Page:1 of 10 Printed on:11/10/2022 12:17 PM Branch :FC0 User :JSTI
PINAL (PL), AZ Document:DOT 2018.64188 Page:2 of 10 Printed on:11/10/2022 12:17 PM Branch :FC0 User :JSTI
PINAL (PL), AZ Document:DOT 2018.64188 Page:3 of 10 Printed on:11/10/2022 12:17 PM Branch :FC0 User :JSTI
PINAL (PL), AZ Document:DOT 2018.64188 Page:4 of 10 Printed on:11/10/2022 12:17 PM Branch :FC0 User :JSTI
PINAL (PL), AZ Document:DOT 2018.64188 Page:5 of 10 Printed on:11/10/2022 12:17 PM Branch :FC0 User :JSTI
PINAL (PL), AZ Document:DOT 2018.64188 Page:6 of 10 Printed on:11/10/2022 12:17 PM Branch :FC0 User :JSTI
PINAL (PL), AZ Document:DOT 2018.64188 Page:7 of 10 Printed on:11/10/2022 12:17 PM Branch :FC0 User :JSTI
PINAL (PL), AZ Document:DOT 2018.64188 Page:8 of 10 Printed on:11/10/2022 12:17 PM Branch :FC0 User :JSTI
PINAL (PL), AZ Document:DOT 2018.64188 Page:9 of 10 Printed on:11/10/2022 12:17 PM Branch :FC0 User :JSTI
PINAL (PL), AZ Document:DOT 2018.64188 Page:10 of 10 Printed on:11/10/2022 12:17 PM Branch :FC0 User :JSTI
PINAL (PL), AZ Document:EAS ASN 2018.64189 Page:1 of 32 Printed on:11/10/2022 12:17 PM Branch :FC0 User :JSTI
PINAL (PL), AZ Document:EAS ASN 2018.64189 Page:2 of 32 Printed on:11/10/2022 12:17 PM Branch :FC0 User :JSTI
PINAL (PL), AZ Document:EAS ASN 2018.64189 Page:3 of 32 Printed on:11/10/2022 12:17 PM Branch :FC0 User :JSTI
PINAL (PL), AZ Document:EAS ASN 2018.64189 Page:4 of 32 Printed on:11/10/2022 12:17 PM Branch :FC0 User :JSTI
PINAL (PL), AZ Document:EAS ASN 2018.64189 Page:5 of 32 Printed on:11/10/2022 12:17 PM Branch :FC0 User :JSTI
PINAL (PL), AZ Document:EAS ASN 2018.64189 Page:6 of 32 Printed on:11/10/2022 12:17 PM Branch :FC0 User :JSTI
PINAL (PL), AZ Document:EAS ASN 2018.64189 Page:7 of 32 Printed on:11/10/2022 12:17 PM Branch :FC0 User :JSTI
PINAL (PL), AZ Document:EAS ASN 2018.64189 Page:8 of 32 Printed on:11/10/2022 12:17 PM Branch :FC0 User :JSTI
PINAL (PL), AZ Document:EAS ASN 2018.64189 Page:9 of 32 Printed on:11/10/2022 12:17 PM Branch :FC0 User :JSTI
PINAL (PL), AZ Document:EAS ASN 2018.64189 Page:10 of 32 Printed on:11/10/2022 12:17 PM Branch :FC0 User :JSTI
PINAL (PL), AZ Document:EAS ASN 2018.64189 Page:11 of 32 Printed on:11/10/2022 12:17 PM Branch :FC0 User :JSTI
PINAL (PL), AZ Document:EAS ASN 2018.64189 Page:12 of 32 Printed on:11/10/2022 12:17 PM Branch :FC0 User :JSTI
PINAL (PL), AZ Document:EAS ASN 2018.64189 Page:13 of 32 Printed on:11/10/2022 12:17 PM Branch :FC0 User :JSTI
PINAL (PL), AZ Document:EAS ASN 2018.64189 Page:14 of 32 Printed on:11/10/2022 12:17 PM Branch :FC0 User :JSTI
PINAL (PL), AZ Document:EAS ASN 2018.64189 Page:15 of 32 Printed on:11/10/2022 12:17 PM Branch :FC0 User :JSTI
PINAL (PL), AZ Document:EAS ASN 2018.64189 Page:16 of 32 Printed on:11/10/2022 12:17 PM Branch :FC0 User :JSTI
PINAL (PL), AZ Document:EAS ASN 2018.64189 Page:17 of 32 Printed on:11/10/2022 12:17 PM Branch :FC0 User :JSTI
PINAL (PL), AZ Document:EAS ASN 2018.64189 Page:18 of 32 Printed on:11/10/2022 12:17 PM Branch :FC0 User :JSTI
PINAL (PL), AZ Document:EAS ASN 2018.64189 Page:19 of 32 Printed on:11/10/2022 12:17 PM Branch :FC0 User :JSTI
PINAL (PL), AZ Document:EAS ASN 2018.64189 Page:20 of 32 Printed on:11/10/2022 12:17 PM Branch :FC0 User :JSTI
PINAL (PL), AZ Document:EAS ASN 2018.64189 Page:21 of 32 Printed on:11/10/2022 12:17 PM Branch :FC0 User :JSTI
PINAL (PL), AZ Document:EAS ASN 2018.64189 Page:22 of 32 Printed on:11/10/2022 12:17 PM Branch :FC0 User :JSTI
PINAL (PL), AZ Document:EAS ASN 2018.64189 Page:23 of 32 Printed on:11/10/2022 12:17 PM Branch :FC0 User :JSTI
PINAL (PL), AZ Document:EAS ASN 2018.64189 Page:24 of 32 Printed on:11/10/2022 12:17 PM Branch :FC0 User :JSTI
PINAL (PL), AZ Document:EAS ASN 2018.64189 Page:25 of 32 Printed on:11/10/2022 12:17 PM Branch :FC0 User :JSTI
PINAL (PL), AZ Document:EAS ASN 2018.64189 Page:26 of 32 Printed on:11/10/2022 12:17 PM Branch :FC0 User :JSTI
PINAL (PL), AZ Document:EAS ASN 2018.64189 Page:27 of 32 Printed on:11/10/2022 12:17 PM Branch :FC0 User :JSTI
PINAL (PL), AZ Document:EAS ASN 2018.64189 Page:28 of 32 Printed on:11/10/2022 12:17 PM Branch :FC0 User :JSTI
PINAL (PL), AZ Document:EAS ASN 2018.64189 Page:29 of 32 Printed on:11/10/2022 12:17 PM Branch :FC0 User :JSTI
PINAL (PL), AZ Document:EAS ASN 2018.64189 Page:30 of 32 Printed on:11/10/2022 12:17 PM Branch :FC0 User :JSTI
PINAL (PL), AZ Document:EAS ASN 2018.64189 Page:31 of 32 Printed on:11/10/2022 12:17 PM Branch :FC0 User :JSTI
PINAL (PL), AZ Document:EAS ASN 2018.64189 Page:32 of 32 Printed on:11/10/2022 12:17 PM Branch :FC0 User :JSTI

We are providing the requested information without CC&Rs. Unfortunately, we are unable to confirm CC&Rs at this time, possibly because:

 The property is too complex to obtain CC&Rs without a complete title examination

 The property is sectional, whereas there are no “standard” subdivision‐type restrictions

 A recorded plat may not exist

 The recorded plat may be older, with limited information available, or

 Recorded CC&Rs may not exist.

Once escrow is opened, the property will be thoroughly examined. CC&Rs and other matters that may “run with the land” will be disclosed in Schedule B of the Commitment for Title Insurance.

If you have questions, or need additional information at this time, please contact your First American or Title Security Account Manager or Escrow Officer.

Turn static files into dynamic content formats.

Create a flipbook
Issuu converts static files into: digital portfolios, online yearbooks, online catalogs, digital photo albums and more. Sign up and create your flipbook.