25415 E Benson Hy, Pima County, AZ

Page 1

Subject Property 25415 E Benson Hwy Benson AZ 85602 APN: 306-19-0050 Data Provided By: First American Title Ins Co © 2022 CoreLogic. All rights reserved

LIMITATION OF LIABILITY FOR INFORMATIONAL REPORTS

IMPORTANT -- PLEASE READ CAREFULLY:

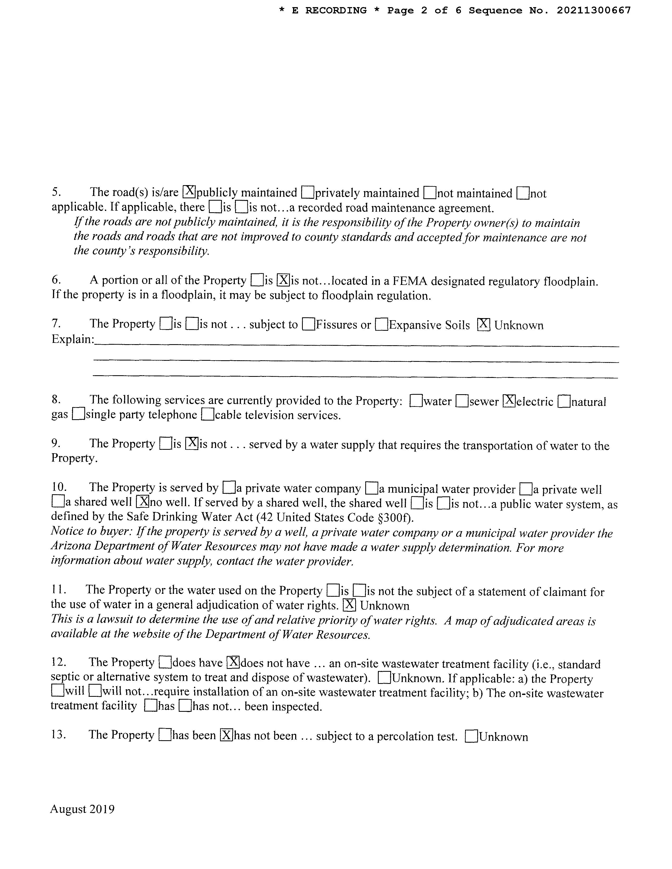
This report is not an insured product or service or a representation of the condition of title to real property. It is not an abst ract, legal opinion, opinion of title, title insurance commitment or preliminary report, or any form of Title Insurance or Guaranty. This report is issued exclusively for the benefit of the Applicant therefor and may not be used or relied upon by any other person. This report may not be reproduced in any manner without First American or Title Security's prior written consent. First American or Title Security does not represent or warrant that the information herein is complete or free from error, and the information herein is provided without any warranties of any kind, as-is, and with all faults. As a material part of the consideration given in exchange for the issuance of this report, recipient agrees that First American or Title Security's sole liability for any loss or damage caused by an error or omission due to inaccurate information or negligence in preparing this report shall be limited to the fee charged for the report. Recipient accepts this report with this limitation and agrees that First American or Title Security would not have issued this report but for the limitation of liability described above. First American or Title Security makes no representation or warranty as to the legality or propriety of recipient's use of the information herein.

Disclaimer

This REiSource report is provided "as is" without warranty of any kind, either express or implied, including without limitations any warrantees of merchantability or fitness for a particular purpose. There is no representation of warranty that this information is complete or free from error, and the provider does not assume, and expressly disclaims, any liability to any person or entity for loss or damage caused by errors or omissions in this REiSource report without a title insurance policy.

The information contained in the REiSource report is delivered from your Title Company, who reminds you that you have the right as a consumer to compare fees and serviced levels for Title, Escrow, and all other services associated with property ownership, and to select providers accordingly. Your home is the largest investment you will make in your lifetime and you should demand the very best.

Data Provided By: First American Title Ins Co
© 2022 CoreLogic. All rights reserved

Subject Property :   25415 E Benson Hwy Benson AZ 85602

Owner Information

Owner Name : Soto Robert

Mailing Address : 1540 S 10th Ave, Tucson AZ 85713-1526 C021

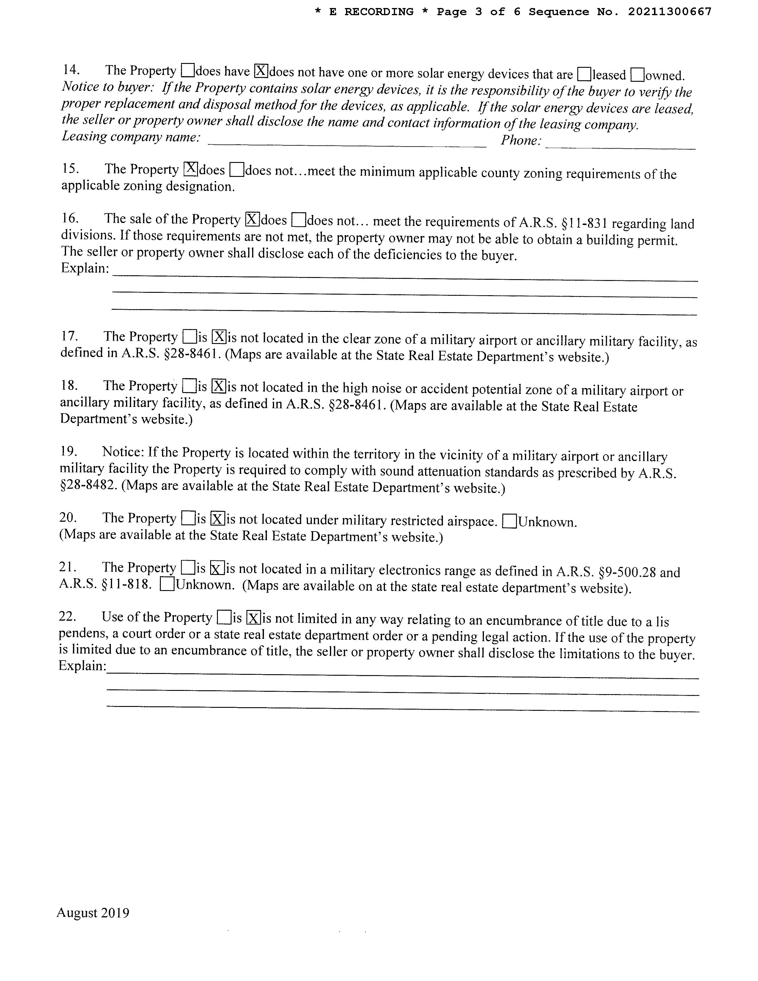
Owner Occupied Indicator : A

Location Information

Legal Description : Empire Acres Lot 1 Exc S60'

County : Pima, Az

Census Tract / Block : 40.61 / 4

Township-Range- Sect : 17S-18E-12

Legal Book/Page : 15-67

APN : 306-19-0050

Subdivision : Empire Acres

Map Reference : 12-17S-18E

School District : Vail

Munic/Township : Vail Market Area : 621

Legal Lot : 1

Owner Transfer Information

Recording/Sale Date : 05/10/2021 / 05/06/2021

Deed Type : Warranty Deed Document # : 1300666

Last Market Sale Information

Recording/Sale Date : 12/21/2020 / 12/16/2020

Sale Price : $7,372

Document # : 3560680

Title Company : Pioneer Title Agency

Seller Name : Peck Hank T

Prior Sale Information

Prior Rec/Sale Date : 03/21/1973

Prior Doc Number : 4469-546

Property Information

Land Use : Residential Lot Zoning : SR

County Use : Vac-res-rural Subd Lot Acres : 4.00

Deed Type : Warranty Deed

Price Per SqFt : $0.04

Prior Deed Type : Deed (reg)

Lot Size : 174,240

State Use : Vac-res-rural Subd

Customer Name : Jeremiah Stiffler

Customer Company Name : First American Prepared On : 12/06/2022

© 2022
All rights reserved
CoreLogic.

Tax Information

Total Value : $76,000 Property Tax : $819.32 Current Assessed Year : 2023

Total Taxable Value : $5,070 Tax Rate Area : 2006

Current Year Total Value : $12,150

Assessed Year : 2021 Market Value : $76,000 Current Year Land Value : $12,150

Tax Year : 2021

Customer Name : Jeremiah Stiffler

Customer Company Name : First American Prepared On : 12/06/2022

© 2022 CoreLogic. All rights reserved
Sales Analysis Criteria Subject Property Low High Average Sale Price
Bldg/Living Area Price Per Square Foot
Year Built Lot Size
Bedrooms Bathrooms Stories Total Assessed Value
Distance From Subject
Summary of Comparables # Address Sale Price Total Assessed Value Sale Date Bed Bath Living Area Lot Size Year Built Dist (Miles) Zoning
Customer
Customer
© 2022 CoreLogic. All rights reserved
$7,372 $20,000 $40,000 $30,000
$0.04 $0 $0 $0.31
174,240 43,279 261,360 152,320
$76,000 $15,000 $91,000 $53,000
0 0.84 1.17 1
S 25415 E Benson Hwy 7,372 76,000 12/21/2020 174,240 SR 1 25410 E Lori Rd 40,000 91,000 07/08/2022 261,360 0.84 SR 2 24605 E Shawnee Trl 20,000 15,000 04/29/2022 43,279 1.17 SH Distressed Sales =
Name : Jeremiah Stiffler
Company Name : First American Prepared On : 12/06/2022

Name : Jeremiah Stiffler

Company Name : First American Prepared On : 12/06/2022

Map
© 2022
All rights reserved
Customer
Customer
CoreLogic.
© 2022 CoreLogic. All rights reserved
Subject Property :   25415 E Benson Hwy Benson AZ 85602 Customer Name : Jeremiah Stiffler Customer Company Name : First American Prepared On : 12/06/2022

Customer Name : Jeremiah Stiffler Customer Company Name : First American Prepared On : 12/06/2022

©
All rights reserved
2022 CoreLogic.

Arizona Schools

For detailed information and statistics on Arizona schools please go to https://azreportcards.azed.gov/ First American Title Insurance Company, and the operating divisions thereof, make no express or implied warranty respecting the information presented and assume no responsibility for errors or omissions. First American, the eagle logo, First American Title, and firstam.com are registered trademarks or trademarks of First American Financial Corporation and/or its affiliates. ©2021 First American Financial Corporation and/or its affiliates. All rights reserved. NYSE: FAF 05117910421

520.625.3502

SUNNYSIDE UNIFIED 2238 E. Ginter Road, Tucson, AZ 85706 520.545.2000

TANQUE VERDE UNIFIED 2300 N. Tanque Verde Loop, Tucson, AZ 85749 520.749.5751 01 TUCSON UNIFIED 1010 E. 10th Street, Tucson, AZ 85717 520.225.6000

VAIL UNIFIED 10701 E. Mary Ann Cleveland Way, Tucson, AZ 85747 520.879.2000

05249570321 TUCSON INT'L AIRPORT Air Force WSilverbellRd SSantaRitaRd N M t L emmon Hwy ESascoRd NF 38 W Avra Valley Rd E Grand Va ey Dr NAguirre R d N L u c k e R d N W e n t z R d N Wa terman Mounta i n R d N Anway Rd W El Tiro Rd N Trico Rd W Tucker Rd W Rudas l Rd W Manvi e Rd SSanJoaquinRd WBopp Rd W Snyder H l Rd S M a r s e a r R d W Park Rd W Hermans Rd W Hermans Rd W Guy St W Bush Rd S G a v e y R d N C a e R i n c o n a d o S W m o R d S Shaw Rd S Sierrita Mountain Rd S K o b R d W TwinButtes Rd W Mcgee Ranch Rd S E s t a n c a D r EDesertDove E Hemlock Dr N Bea r C a n y o n R d W E Camino Del Cerro E Fairmount St S Swan Rd NFrontageRd W Emigh Rd W Fort Lowe Rd N P u m p S t a t ion dR E Nona Rd Ch efButteRd Lo al Ave N Trico Rd S Cattle Tank Rd Evalyn Rd SOwlHead R a n c h Rd GasLineRd S P ec a n R d N T r c o R d W Bayard Rd S S a n d a r o R d W i l l owSpri n gsRd N Dove Mountain Blvd SHelvetiaRd WAnamax Mine Rd W G a c i a R a n hc R d Road424 WRagged Top Rd W Ruby Star Dr WBritten RanchRd W Pima Mine Rd S Mcgee Ranch R d E Edw n Rd SGuildRd 8 0 NKINNEYRD S PICACHO HWY E BAUMGARTNER RD N S A N D A R I O R D N ANWAY RD W VALENCIA RD W MOORE RD W INA RD N 1 S T A V E E SUNRISE DR E SNYDER RD NSILVERBELLRD N S O L D I E R T R L E RIVER RD E PRINCE RD E SPEEDWAY BLVD S FREEMAN RD E 22ND ST E 22ND ST W IRVINGTON RD S N O G A L E S H W Y W VALENCIA RD SMISSIONRD W SPEEDWAY BLVD S O L D S P A N I S H T RL W NARANJA DR W TWIN PEAKS RD W PICTURE ROCKS RD W MANVILLE RD SKINNEYRD W MILE WIDE RD E SAHUARITA RD N TRICO RD S S A N D A R O R D PARK LINK DR S OLD N O G ALES HW Y S H O U G H T O N R D S L A C A N A D A DR W HELMET PEAK RD WAJOHWY N S W A N R D S KOLB RD S HOUGHTON RD W TANGERINE RD E GRANT RD S H O U G H T O N R D 9 5 WAJOHWY E VALENCIA RD NORACLE R D I10 I-19 77 77 77 86 86 286 10 19 10 10 Corona de Tucson Casas Adobes Catalina Green Valley Oracle Picture Rocks Three Points Vail Summit Tanque Verde Tucson Sahuarita Red Rock Saddlebrooke Marana Oro Valley Rillito Summerhaven Willow Canyon Oracle Junction Cortaro Continental Littletown 20 30 13 15 51 39 12 01 01 08 10 16 11 06 PIMA COUNTY School District Information This map is provided for general location only. Please contact school districts for actual street boundaries SCHOOL DISTRICTS 15 AJO UNIFIED 111 N. Well Road, Ajo, AZ 85321 520.387.5618 51 ALTAR VALLEY ELEMENTARY 10105 S. Sasabe Road, Tucson, AZ 85736 520.822.1484 10 AMPHITHEATER UNIFIED 701 W. Wetmore, Tucson, AZ 85705 520.696.5000 16 CATALINA FOOTHILS UNIFIED 2101 E. River Road, Tucson, AZ 85718 520.209.7500 39 CONTINENTAL ELEMENTARY 1991 E. Whitehouse Canyon, Green Valley, AZ 85614
08 FLOWING WELLS UNIFIED 1556 W. Prince Road, Tucson, AZ 85705 520.696.8800 06 MARANA UNIFIED 11279 W. Grier Road, Marana, AZ 85653
11 PIMA COUNTY JTED 2855 W. Master Pieces Dr, Tucson, AZ 85741
30 SAHUARITA UNIFIED 350 W. Sahuarita Road,
First American Title Insurance Company, and the operating divisions thereof, make no express or implied warranty respecting the information presented and assume no responsibility for errors or omissions. First American, the eagle logo, First American Title, and firstam.com are registered trademarks or trademarks of First American Financial Corporation and/or its affiliates. ©2021 First American Financial Corporation and/or its affiliates. All rights reserved. NYSE: FAF
520.625.4581
520.682.3243
520.352.5833
Sahuarita, AZ 85629
12
13
20

No local schools data for selected property.

Customer Name : Jeremiah Stiffler

Customer Company Name : First American Prepared On : 12/06/2022

© 2022 CoreLogic. All rights reserved

Local Business

Attractions / Recreation

Name Address

Telephone Distance (Miles)

L8ton Racing Llc 548 N Mescal Rd Benson Az (520) 903-7008 1.24

Banks / Financial

Name Address Telephone Distance (Miles)

Sundance Fire & Rescue Inc. 3225 W Navajo Trl Benson Az (520) 221-0174 0.95

Staging Results, Llc 920 N Broken Saddle Ln Benson Az (505) 350-9220 1.25

Eating / Drinking

Name Address

Telephone Distance (Miles)

James J Italiano 16310 S Maricopa Ave Benson Az (520) 720-8817 0.58

Mcfadden Enterprises, A Close Corporation 3142 W Meadowlark Ln Benson Az (520) 249-2838 1.21

Organizations / Associations

Name Address Telephone Distance (Miles)

Rags 2 Riches By Covenant Corp 590 N Cherokee Trl Benson Az (520) 586-7176 1.69

Peace In The Valley Lutheran Church 551 S J Six Ranch Rd Benson Az (520) 586-3171 2.18

J-6 Church Of Christ Corporation. 552 S J Six Ranch Rd Benson Az (520) 586-3423 2.19

Skyline Baptist Church 2858 W Skyline Rd Benson Az (520) 586-2973 2.63

Shopping

Name Address

Telephone Distance (Miles)

Dolgencorp, Llc 306 N Mescal Rd Benson Az (520) 442-2417 1.08

Quik Pic 62 N Oak Dr Benson Az (520) 586-2163 1.16

Ritual Majik 3184 W Robin Rd Benson Az (520) 743-6017 1.18

J-six Assisted Living Home Limited Liability Company 24580 E Shawnee Trl Benson Az (520) 219-8466 1.22

Customer Name : Jeremiah Stiffler Customer Company Name : First American Prepared On : 12/06/2022

© 2022
All rights reserved
CoreLogic.

25425 E SCHILLING PL

Owner Name : Anderson Danny O Trust

Sale Date : 04/00/1994

Distance 0.08 Miles

Subdivision : Empire Acres

Recording Date : 04/22/1994

Total Value : $121,892 Sale Price  : $69,000

Land Use : Mobile Home Property Tax : $1,766.08

Stories : 1 Lot Acres : 9.50

Yr Blt / Eff Yr Blt : 1991 / 1991

APN : 306-19-0060

25390 E PATAYAN TRL Distance 0.13 Miles

Owner Name : Munoz Alejandra

Sale Date : 02/25/2013

Subdivision : J 06 Ranchettes

Recording Date : 02/28/2013

Total Value : $26,554 Sale Price  : $56,000

Land Use : Manufactured Home Property Tax : $410.43 Stories : 1 Lot Acres : 1.06

Yr Blt / Eff Yr Blt : 1996 / 1996 APN : 306-20-4310

15911 S LOVELL RD Distance 0.13 Miles

Owner Name : Stewart Lance A

Recording Date : 04/13/2000

Total Value : $107,521 Sale Price  : $22,000

Land Use : Mobile Home Property Tax : $1,732.25

Stories : 1 Lot Acres : 6.18

Yr Blt / Eff Yr Blt : 2000 / 2000 APN : 306-19-0220

Subdivision  : Empire Acres

25370

E PATAYAN TRL Distance 0.13 Miles

Owner Name : Azernitsky Celsa

Recording Date : 02/28/2013

Sale Date : 02/25/2013 Sale Price  : $56,000

Total Value : $21,000 Property Tax : $280.52

Land Use : Residential Acreage Lot Acres : 1.10

Subdivision : J 06 Ranchettes

APN : 306-20-4300

Customer Name : Jeremiah Stiffler

Customer Company Name : First American Prepared On : 12/06/2022

©
All rights reserved
2022 CoreLogic.

25330 E PATAYAN

TRL

Owner Name : Hill Frank Terry

25395

Distance 0.16 Miles

Recording Date : 11/15/2016

Sale Date : 11/10/2016 Sale Price  : $51,693

Total Value : $21,000 Property Tax : $280.52

Land Use : Residential Acreage Lot Acres : 1.10

Subdivision : J-six Ranchettes APN : 306-20-4270

E NAVAJO TRL

Owner Name : Hazelwood Robert A

Sale Date : 05/04/2011

Distance 0.16 Miles

Subdivision : J 06 Ranchettes

Recording Date : 05/06/2011

Total Value : $51,912 Sale Price  : $58,000

Land Use : Manufactured Home Property Tax : $838.84

Stories : 1 Lot Acres : 1.22 Yr Blt / Eff Yr Blt : 1975 / 1975 APN : 306-20-4320

15885 S LOVELL RD

Owner Name : Swart Kent Lot Acres : 3.49

Distance 0.16 Miles

Land Use : Residential Acreage APN : 306-19-021E

25375 E NAVAJO TRL Distance 0.16 Miles

Owner Name : Elias Miriam G

Recording Date : 02/28/2013 Sale Date : 02/25/2013 Sale Price  : $56,000

Total Value : $21,000 Property Tax : $280.52

Land Use : Residential Acreage Lot Acres : 1.14

Subdivision : J 06 Ranchettes APN : 306-20-4290

25335 E NAVAJO TRL Distance 0.19 Miles

Owner Name : Hill Frank Terry

Recording Date : 11/15/2016

Sale Date : 11/10/2016 Sale Price  : $51,693

Total Value : $21,000 Property Tax : $280.52

Land Use : Residential Lot Lot Acres : 1.36

Subdivision : J-six Ranchettes APN : 306-20-4280

Customer Name : Jeremiah Stiffler

Customer Company Name : First American Prepared On : 12/06/2022

© 2022 CoreLogic. All rights reserved

25310 E PATAYAN TRL

Owner Name : Grigg Living Trust

Sale Date : 12/00/1994

Distance 0.2 Miles

Subdivision : J 06 Ranchettes

Recording Date : 12/29/1994

Total Value : $31,986 Sale Price  : $6,000

Bed / Bath : / 1 Lot Acres : 1.22

Land Use : Sfr Living Area : 460 Stories : 1 APN : 306-20-4260

Yr Blt / Eff Yr Blt  : 1999 /

Customer Name : Jeremiah Stiffler Customer Company Name : First American Prepared On : 12/06/2022

2022 CoreLogic.

©
All rights reserved

Census Tract / block: 40.61 / 4     Year: 2018

Household

Population Population by Age

Count: 5,087 0 - 11

Estimate Current Year: 5,227 12 - 17

Estimate in 5 Years: 5,825 18 - 24 7.86%

Growth Last 5 Years: 12.78% 25 - 64 48.54%

Growth Last 10 Years: -121.96% 65 - 74 13.98% 75+

Household Size Household Income

Current Year: 1,803 0 - $25,000 13.81%

Average Current Year: 2.82 $25,000 - $35,000 5.71%

Estimate in 5 Years: 1,833 $35,000 - $50,000 6.93%

Growth Last 5 Years: 6.88% $50,000 - $75,000 16.2%

Growth Last 10 Years: 21.33% $75,000 - $100,000 12.26%

Male Population: 48.79% Above $100,000 45.09%

Female Population: 51.21% Average Household Income: $90,066

Married People: 62.76%

Unmarried People: 37.24%

Housing

Median Mortgage Payments Home Values

Under $300: 10% Below $100,000: 19.82%

$300 - $799: 21.66% $100,000 - $150,000: 8.28%

$800 - $1,999: 38.64% $150,000 - $200,000: 10.41%

Over $2,000: 29.7% $200,000 - $300,000: 16.45%

Median Home Value: $262,200 $300,000 - $500,000: 31.42%

Unit Occupied Owner: 93.73% Above $500,000: 13.61%

Median Mortgage: $1,340

Customer Name : Jeremiah Stiffler Customer Company Name : First American Prepared On : 12/06/2022

© 2022 CoreLogic. All rights reserved

Rent Payments Year Built

Unit Occupied Renter: 6.27% 1999 - 2000

Median Gross Rent: $946 1995 - 1998

Less Than $499 12.05% 1990 - 1994

$500 - $749 0% 1980 - 1989 10.19%

$750 - $999 55.42% 1970 - 1979 2.71% $1000 and Over 32.53% 1900 - 1969 3.38%

Education

Enrollment

Public Pre-Primary School: 0.46% Not Enrolled in School: 72.73%

Private Pre-Primary School: 1.21% Not A High School Graduate: 6.21%

Public School: 24.08% Graduate Of High School: 19.31%

Private School: 3.19% Attended Some College: 24.38%

Public College: 7.32% College Graduate: 32.25%

Private College: 1.37% Graduate Degree: 17.84%

Workforce

Occupation:

Manager/Prof: 43.31% Private Worker: 58.78% Technical: Government Worker: 15.73% Sales: 26.56% Self Employed Worker: 5.5%

Administrative: Unpaid Family Worker: 14.2%

Private House Hold: Farming: 8.85% Service: 15.52% Skilled:

Protective Services: Blue-Collar: 14.61%

Commute Time

Less Than 15 Min: 3.08%

15 min - 28 min: 29.77%

30 min - 57 min: 57.02%

Over 60 min: 10.13%

Customer Name : Jeremiah Stiffler

Customer Company Name : First American Prepared On : 12/06/2022

© 2022 CoreLogic. All rights reserved

Customer Name : Jeremiah Stiffler

Customer Company Name : First American Prepared On : 12/06/2022

©
All rights reserved
2022 CoreLogic.

Customer Name : Jeremiah Stiffler Customer Company Name : First American Prepared On : 12/06/2022

©
All rights reserved
2022 CoreLogic.

Customer Name : Jeremiah Stiffler Customer Company Name : First American Prepared On : 12/06/2022

©
All rights reserved
2022 CoreLogic.

SEARCH PARAMETERS

+ FIRST AMERICAN TITLE, FC0, JSTI PIMA, AZ 12/06/2022  10:41AM  R9C8  INVESTIGATIVE SEARCH RESULTS PAGE 1 OF 1
PARCEL:  306-19-0050 PARCEL: 306-19-0050 INSTRUMENT REC DATE OWNER: SOTO ROBERT     2021 1300666 05/10/2021  SITUS: 25415 E BENSON HY PC  MAIL: 1540 S 10TH AVE  TUCSON, AZ 85713  PLAT: LOT 00001 BLOCK 0 LEGAL: EMPIRE ACRES LOT 1 EXC S60'  CURRENT TAXES INFORMATION THROUGH 11/25/2022 LAND IMPR EXEMPT RATE AREA SPECIAL DISTRICTS PRIMARY  4,200  0  0  8.8997  2006 SECONDARY  4,200  0  0  6.4883  2022 TOTAL TAX BILLED 646.28 2022  TAX AMT TAX DUE INTEREST DATE PAID TOTAL DUE
SALES SALE DATE SALE AMOUNT INSTRUMENT TYPE SELLER NAME VALIDITY 05/10/2021 20,000
WD
12/21/2020 7,372
WD
ADDITIONAL PROPERTY INFORMATION STANDARD LAND USE: RESIDENTIAL LOT END SEARCH
FIRST HALF  323.14  323.14  8.62  331.76  SECOND HALF  323.14  323.14  0.00  323.14  TOTAL CURRENT TAXES DUE 12/22 654.90 01/23 659.21 (ESTIMATED) IMPROVEMENTS BLDG SQFT  0 FULL CASH VALUE  28,000 YEAR BUILT  0 LAND USE  00 13 NUMBER OF STORIES LOT SIZE  4.000 ACRES STORIES HEIGHT  0 SCHOOL DISTRICT  2006 EXTERIOR WALLS LAND FULL CASH VALUE  28,000 GRADE MATERIALS IMPR FULL CASH VALUE  0
2021 1300666
INFINITE ACRES LLC
2020 3560680
PECK HANK T/BARBARA J /
Page 1 of 1 12/06/2022 11:42 AM
Page 1 of 6 12/06/2022 11:42 AM
Page 2 of 6 12/06/2022 11:42 AM
Page 3 of 6 12/06/2022 11:42 AM
Page 4 of 6 12/06/2022 11:42 AM
Page 5 of 6 12/06/2022 11:42 AM
Page 6 of 6 12/06/2022 11:42 AM

Turn static files into dynamic content formats.

Create a flipbook
Issuu converts static files into: digital portfolios, online yearbooks, online catalogs, digital photo albums and more. Sign up and create your flipbook.