210 N Brahma Rd, Vail, AZ 85641

Page 1

210NBrahmaRd,Vail,AZ85641

LIMITATION OF LIABILITY FOR INFORMATIONAL REPORTS

IMPORTANT -- PLEASE READ CAREFULLY:

This report is not an insured product or service or a representation of the condition of title to real property. It is not an abst ract, legal opinion, opinion of title, title insurance commitment or preliminary report, or any form of Title Insurance or Guaranty. This report is issued exclusively for the benefit of the Applicant therefor and may not be used or relied upon by any other person. This report may not be reproduced in any manner without First American or Title Security's prior written consent. First American or Title Security does not represent or warrant that the information herein is complete or free from error, and the information herein is provided without any warranties of any kind, as-is, and with all faults. As a material part of the consideration given in exchange for the issuance of this report, recipient agrees that First American or Title Security's sole liability for any loss or damage caused by an error or omission due to inaccurate information or negligence in preparing this report shall be limited to the fee charged for the report. Recipient accepts this report with this limitation and agrees that First American or Title Security would not have issued this report but for the limitation of liability described above. First American or Title Security makes no representation or warranty as to the legality or propriety of recipient's use of the information herein.

SEARCH PARAMETERS

DATE PAID

TOTAL DUE

IMPROVEMENTS

+ FIRST AMERICAN TITLE, FC0, JSTI PIMA, AZ 10/19/2022  12:49PM  R9C8  INVESTIGATIVE SEARCH RESULTS PAGE 1 OF 1
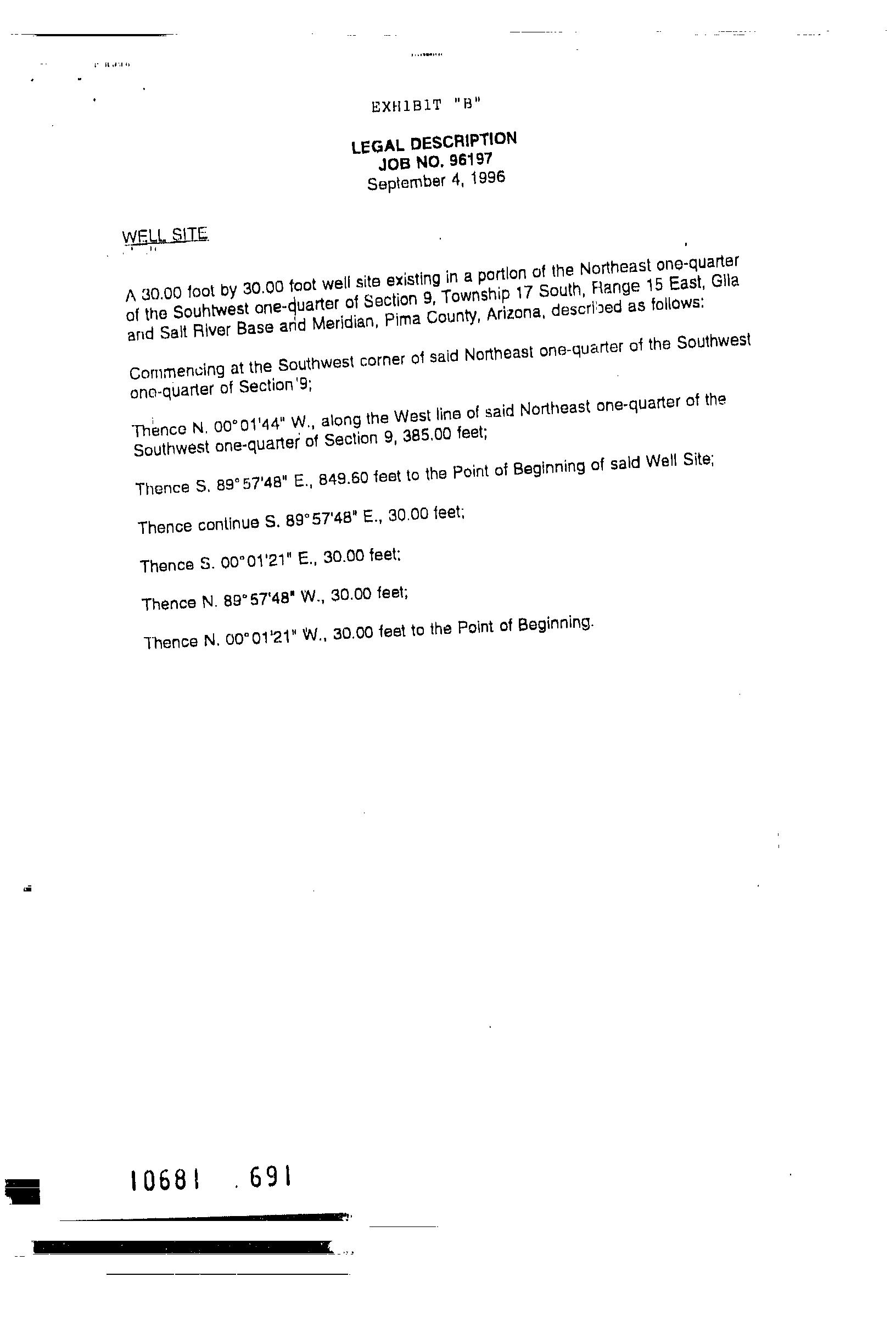
PARCEL:  305-22-219J PARCEL: 305-22-219J INSTRUMENT REC DATE OWNER: PALOMARES TINA  AFFIDAVIT    2017 2360279 08/24/2017  SITUS: 210 N BRAHMA RD PC  MAIL: 210 N BRAHMA RD  VAIL AZ 85641  LEGAL: S410' W439.78' NE4 SW4 4.14 AC SEC 9-17-15  CURRENT TAXES INFORMATION THROUGH 07/28/2022 LAND IMPR EXEMPT RATE AREA SPECIAL DISTRICTS PRIMARY  6,304  0  0  8.8997  2000 SECONDARY  4,800  2,266  0  4.4904  2022 TOTAL TAX BILLED 736.13 2022  TAX AMT TAX DUE INTEREST
FIRST HALF  368.07  368.07  0.00  368.07  SECOND HALF  368.06  368.06  0.00  368.06  TOTAL CURRENT TAXES DUE 10/22 736.13 11/22 741.04 (ESTIMATED)
MOBILE HOME  BLDG SQFT  0 FULL CASH VALUE  70,657 YEAR BUILT  1999 LAND USE  08 39 NUMBER OF STORIES  1.0 LOT SIZE  4.140 ACRES STORIES HEIGHT  0 SCHOOL DISTRICT  2000 EXTERIOR WALLS LAND FULL CASH VALUE  48,000 GRADE MATERIALS IMPR FULL CASH VALUE  22,657 SALES SALE DATE SALE AMOUNT INSTRUMENT TYPE SELLER NAME VALIDITY 08/24/2017 46,000    2017 2360279 WD GONZALEZ ANTHONY S 11/24/2009 46,550    13691 1143 SW FEDERAL HOME LOAN MORTGAGE 12/07/2005 12,000    12695 4039 WD FROGGATT MARY ADDITIONAL PROPERTY INFORMATION STANDARD LAND USE: MOBILE HOME LOT END SEARCH
Page 1 of 6 10/19/2022 1:17 PM
Page 2 of 6 10/19/2022 1:17 PM
Page 3 of 6 10/19/2022 1:17 PM
Page 4 of 6 10/19/2022 1:17 PM
Page 5 of 6 10/19/2022 1:17 PM
Page 6 of 6 10/19/2022 1:17 PM
PIMA, AZ Document:AFF DSC 2017.236.0280 Page:1 of 6 Printed on:10/19/2022 12:51 PM Branch :FC0 User :JSTI
PIMA, AZ Document:AFF DSC 2017.236.0280 Page:2 of 6 Printed on:10/19/2022 12:51 PM Branch :FC0 User :JSTI
PIMA, AZ Document:AFF DSC 2017.236.0280 Page:3 of 6 Printed on:10/19/2022 12:51 PM Branch :FC0 User :JSTI
PIMA, AZ Document:AFF DSC 2017.236.0280 Page:4 of 6 Printed on:10/19/2022 12:51 PM Branch :FC0 User :JSTI
PIMA, AZ Document:AFF DSC 2017.236.0280 Page:5 of 6 Printed on:10/19/2022 12:51 PM Branch :FC0 User :JSTI
PIMA, AZ Document:AFF DSC 2017.236.0280 Page:6 of 6 Printed on:10/19/2022 12:51 PM Branch :FC0 User :JSTI
Page 1 of 3 10/19/2022 1:06 PM
Page 2 of 3 10/19/2022 1:06 PM
Page 3 of 3 10/19/2022 1:06 PM
Page 1 of 2 10/19/2022 1:05 PM
Page 2 of 2 10/19/2022 1:05 PM

Turn static files into dynamic content formats.

Create a flipbook
Issuu converts static files into: digital portfolios, online yearbooks, online catalogs, digital photo albums and more. Sign up and create your flipbook.