1442 W Sunridge Dr

Page 1

1442SunridgeDrive Tucson,AZ85704

• Never direct, accept or allow anyone in the transaction to consent to receiving transfer instructions without a direct personal telephone call to the individual allegedly providing the instructions.

• If you receive an email containing wire transfer instructions, immediately call your escrow officer to ensure the validity of the instructions.

• If you receive an email requesting personal/financial information or asking you to download, click on a link, send, and/or do anything that may seem unusual to you, call your escrow officer immediately prior to acting on the suspicious email to verify the validity of the email.

TRUST YOUR SOURCE OF INFORMATION

DO NOT TRUST EMAILS CONTAINING WIRE INSTRUCTIONS

The undersigned acknowledges receipt of this Wire Fraud Advisory.

The Federal Bureau of Investigation @ https://www.fbi.gov/scams and safety

The National White Collar Crime Center @ http://www.nw3c.org/research

• It is imperative that this call be made to a number obtained in person from the individual or through other reliable means, not from a number provided in the email or the wiring instructions

PROTECT YOURSELF VERIFY AND NOTIFY

DO NOT TRUST EMAILS SEEKING PERSONAL/FINANCIAL INFORMATION

Immediately notify your banking institution and Settlement/Title Company if you are a victim of wire fraud.

Client Date Client Date

ONLINE RESOURCES:

WIRE FRAUD ADVISORY

The Internet Crime Complaint Center @ www.ic3.gov

On Guard Online @ www.onguardonline.gov

Criminals are targeting social media and email to steal information. This is particularly common in real estate transactions because sensitive data, including social security numbers, bank account numbers, and wire instructions are often sent by electronic means. We do not want you to be the next victim of wire fraud. Money wired to a fraudulent account is stolen money that typically cannot be recovered. Additionally, there is generally no insurance for this loss. You may never get the money back.

There are many online sources that can provide useful information regarding similar topics including, but not limited to, the following sites:

Before you wire funds to any party (including your lawyer, title agent, mortgage broker, or real estate agent) personally meet them or call a verified telephone number (not the telephone number in the email) to confirm before you act!

This report is not an insured product or service or a representation of the condition of title to real property. It is not an abst ract, legal opinion, opinion of title, title insurance commitment or preliminary report, or any form of Title Insurance or Guaranty. This report is issued exclusively for the benefit of the Applicant therefor and may not be used or relied upon by any other person. This report may not be reproduced in any manner without First American or Title Security's prior written consent. First American or Title Security does not represent or warrant that the information herein is complete or free from error, and the information herein is provided without any warranties of any kind, as-is, and with all faults. As a material part of the consideration given in exchange for the issuance of this report, recipient agrees that First American or Title Security's sole liability for any loss or damage caused by an error or omission due to inaccurate information or negligence in preparing this report shall be limited to the fee charged for the report. Recipient accepts this report with this limitation and agrees that First American or Title Security would not have issued this report but for the limitation of liability described above. First American or Title Security makes no representation or warranty as to the legality or propriety of recipient's use of the information herein.

LIMITATION OF LIABILITY FOR INFORMATIONAL REPORTS

IMPORTANT -- PLEASE READ CAREFULLY:

Subject Property 1442 W Sunridge Dr APN:AZTucson85704225-06-0820

Ins Co © 2022 CoreLogic. All rights reserved

Data Provided By: Title

First American

© 2022 CoreLogic. All rights reserved

Disclaimer

This REiSource report is provided "as is" without warranty of any kind, either express or implied, including without limitations any warrantees of merchantability or fitness for a particular purpose. There is no representation of warranty that this information is complete or free from error, and the provider does not assume, and expressly disclaims, any liability to any person or entity for loss or damage caused by errors or omissions in this REiSource report without a title insurance policy.

The information contained in the REiSource report is delivered from your Title Company, who reminds you that you have the right as a consumer to compare fees and serviced levels for Title, Escrow, and all other services associated with property ownership, and to select providers accordingly. Your home is the largest investment you will make in your lifetime and you should demand the very best.

Data Provided By: First American Title Ins Co

Customer Name : Lisa Mrazek

Owner OccupiedIndicator : O

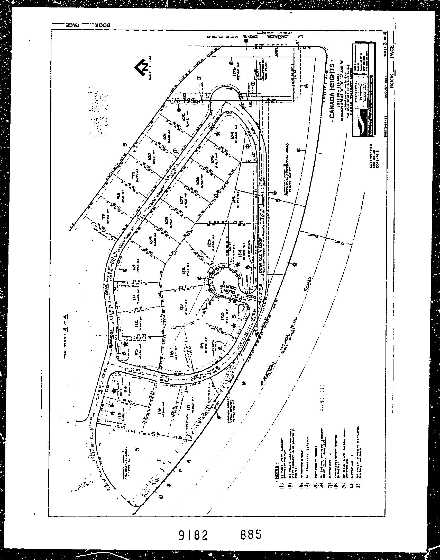
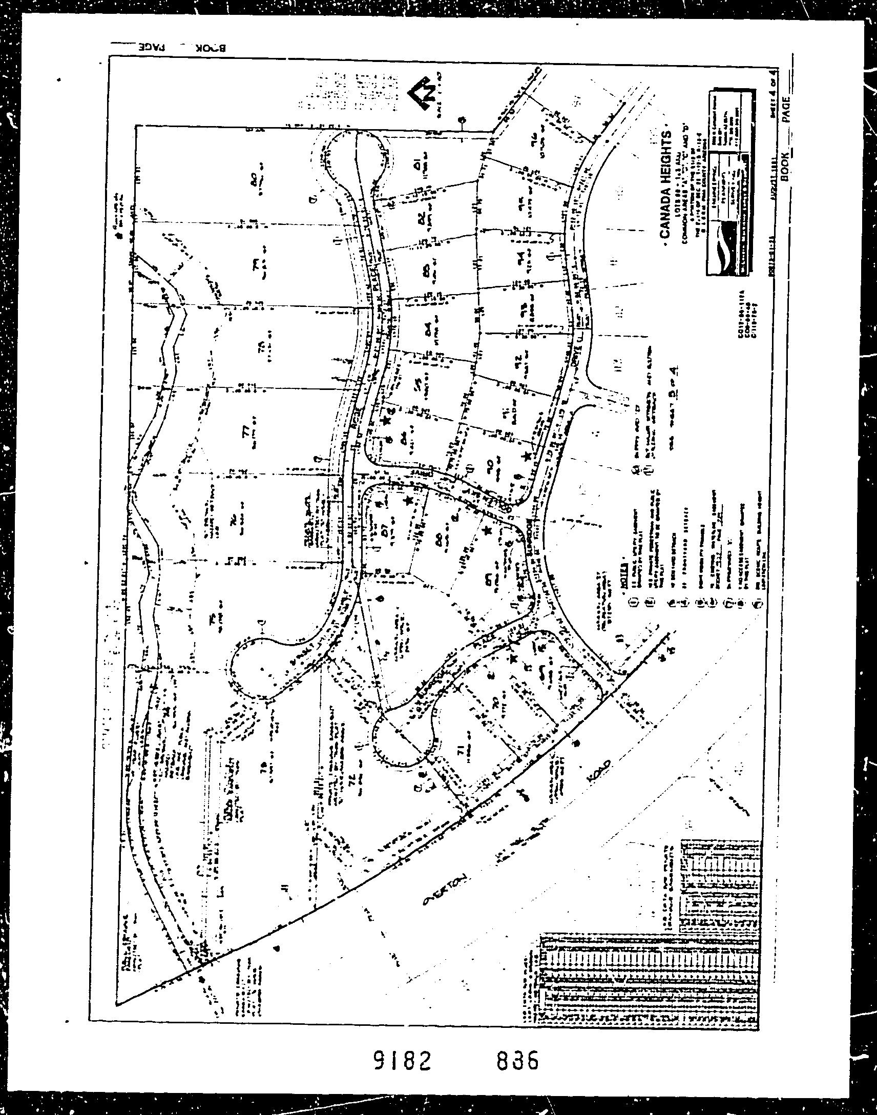
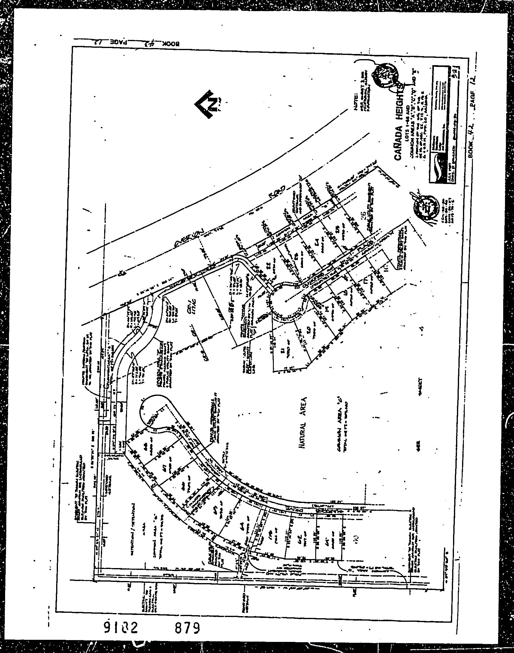
Legal Description : Canada Heights Lot 100

Munic/Township : Amphitheater

Market Area : 11

Document # : 1110634 Sale Price : $334,004 Deed Type : Trustee's (foreclosure)Deed

Sale Price : $258,000

Census Tract / Block : 46.19 / 1

1st Mtg Int. Rate/Type : / Fixed Rate Loan Document # : 12407-4892

© 2022 CoreLogic. All rights reserved

Deed Type : Warranty Deed

APN : 225-06-0820

Owner Transfer Information

Recording/Sale Date : 10/14/2004 / 08/00/2004

Seller Name : High Roads Ventures Llc

Map Reference : 22-12S-13E

Prior Rec/Sale Date : 04/16/2004 / 04/00/2004

Title Company : First American Title

Price Per SqFt : $93.14

Recording/Sale Date : 04/21/2011 / 04/11/2011

Owner Name : Davis Brian D / Boaz Jill

County : Pima, Az

Lender : * Other Institutional Lenders

Vesting Codes : / / Joint Tenants

Prior Sale Price : $222,000

Prior Doc Number : 12282-4701

Township-Range- Sect : 12S-13E-22

Legal Book/Page : 44-17

Location Information

Subject Property :   1442 W Sunridge Dr Tucson AZ 85704

Customer Company Name : First American Title Insurance Company Prepared On : 09/12/2022

1st Mtg Document # : 12407-4894

Prior Deed Type : Warranty Deed

Legal Lot : 100

School District : Amphitheater

Owner Information

Mailing Address : 1442 W Sunridge Dr, Tucson AZ 85704-8379 C043

Last Market Sale Information

Prior Sale Information

1st Mtg Amount/Type : $221,500 / Cnv

Subdivision : Canada Heights

Total Value : $289,556

Patio Type : Covered Patio Pool Size : 450

Total TaxableValue : $28,956

Tax Rate Area : 1064 Current ImprovementYearValue : $35,357

Property Characteristics

Property Tax : $4,267.43 Current YearValue :Total $35,408

Exterior wall : Frame Wood Bath Fixtures : 10

Land Use : Sfr

# of Stories : 1

Zoning : CR-5 Lot Size : 8,286

Gross Area : 2,770

Property Information

Customer Company Name : First American Title Insurance Company Prepared On : 09/12/2022

© 2022 CoreLogic. All rights reserved

Customer Name : Lisa Mrazek

Heat Type : Forced Air Quality : Fair

Tax Year : 2021 Current AssessedYear : 2023

Assessed Year : 2021 Market Value : $289,556 Current YearValue :Land $50

Cooling Type : Forced Air Condition : Excellent

County Use : Single Fam Resurban Subd

Parking Type : Garage

Living Area : 2,770 Roof Material : Asphalt Air Cond : Refrigeration

Year Built / Eff : 1992

Capacity :Garage 2 Pool : Pool

State Use : Single Fam Resurban Subd

Tax Information

Total Rooms : 8

Lot Acres : 0.19

© 2022 CoreLogic. All rights reserved

Criteria Subject Property Low High Average

Sale Price $258,000 $475,000 $935,000 $643,346

Bldg/Living Area 2770 2384 3045 2686

Year Built 1992 1971 2020 1996 Lot Size 8,286 9,057 67,880 31,434 BathroomsBedrooms 2 4 3 Stories

Total Assessed Value $289,556 $55,901 $438,114 $312,582

Distance From Subject 0 0.12 0.94 0.46

1 1 1 1

Customer Name : Lisa Mrazek

Sales Analysis

4

Prepared On : 09/12/2022

Customer Company Name : First American Title Insurance Company

Price Per Square Foot $93.14 $191 $308 $238.55

Prepared On

Customer

Customer

Map

: 09/12/2022 © 2022 CoreLogic. All rights reserved

Name : Lisa Mrazek

Company Name : First American Title Insurance Company

#2   1420 W Canada Verde Dr Tucson Az 85704

Year Built / Eff: 1993 / Rec. Date / Price: 08/01/2022 / $500,000 Living Area: 2,384 # of units: Document #: 2130747 Bedrooms: Pool: Total Tax Value: $259,233 Bath(F/H): /

#1   1486 W Sunset Ridge Pl Tucson Az 85704

Total Tax Value: $394,279 Bath(F/H): /

#3   1531 W Lemon St Tucson Az 85704

# of units: Document #: 12407-4892 Bedrooms: Pool: Pool Total Tax Value: $289,556 Bath(F/H): /

Year Built / Eff: 1992 / Rec. Date / Price: 10/14/2004 / $258,000 Living Area: 2,770

Deed Type: Warranty Deed

Owner Name: Smith Travis /

Customer Company Name : First American Title Insurance Company

APN / Alternate APN: 225-22-012A / Deed Type: Warranty Deed

Details of Comparables

Year Built / Eff: 1989 / Rec. Date / Price: 11/30/2021 / $650,000 Living Area: 2,706 # of units: Document #: 3340485 Bedrooms: Pool: Pool

APN / Alternate APN: 225-09-0660 / Deed Type: Warranty Deed Land Use: Sfr Subdivision / Tract: Rancho Verde / Lot Size: 47,695

Prepared On : 09/12/2022

Customer Name : Lisa Mrazek

Land Use: Sfr Subdivision / Tract: Canada Heights / Lot Size: 39,057

APN / Alternate APN: 225-07-0730 / Deed Type: Warranty Deed Land Use: Sfr Subdivision / Tract: Canada Verde / Lot Size: 41,584 Year Built / Eff: 1979 / Rec. Date / Price: 04/01/2022 / $750,000 Living Area: 2,432 # of units: Document #: 910706 Bedrooms: Pool: Pool

Total Tax Value: $406,291 Bath(F/H): /

Land Use: Sfr Subdivision / Tract: Canada Heights / Lot Size: 8,286

#4   8905 N Marathon Dr Tucson Az 85704

Owner Name: Mishkind Barry E /

Owner Name: Rimer John / APN / Alternate APN: 225-06-0620 /

Year Built / Eff: 1981 / Rec. Date / Price: 10/05/2021 / $640,000 Living Area: 2,754 # of units: Document #: 2780473 Bedrooms: Pool: Pool

Owner Name: Davis Brian D /Boaz Jill

Owner Name: Delperdang Chase A /Delperdang Jennifer

APN / Alternate APN: 225-06-0820 / Deed Type: Warranty Deed

Land Use: Sfr Subdivision / Tract: Mesaland / Lot Size: 36,590

Subject Property: 1442 W Sunridge Dr Tucson Az 85704

Total Tax Value: $272,940 Bath(F/H): /

© 2022 CoreLogic. All rights reserved

Customer Company Name : First American Title Insurance Company Prepared On : 09/12/2022

Land Use: Sfr Subdivision / Tract: Overton Reserve / Lot Size: 9,175

Total Tax Value: $383,708 Bath(F/H): /

Year Built / Eff: 2020 / Rec. Date / Price: 11/02/2021 / $595,000 Living Area: 2,856

Year Built / Eff: 1972 / Rec. Date / Price: 10/05/2021 / $475,000 Living Area: 2,485 # of units: Document #: 2780542 Bedrooms: Pool: Pool

# of units: Document #: 130504 Bedrooms: Pool: Pool

© 2022 CoreLogic. All rights reserved

Owner Name: Hurd Donald R /Hurd Barbara L APN / Alternate APN: 225-20-2130 / Deed Type: Warranty Deed Land Use: Sfr Subdivision / Tract: Ranchos De La Canada / Lot Size: 39,749

#9   1653 W Hyperion St Tucson Az 85704

Land Use: Sfr Subdivision / Tract: Overton Reserve / Lot Size: 9,057

Year Built / Eff: 2020 / Rec. Date / Price: 02/24/2022 / $600,000 Living Area: 2,587 # of units: Document #: 550174 Bedrooms: Pool: Total Tax Value: $55,901 Bath(F/H): /

#8   8580 N Mulberry Dr Tucson Az 85704

#7   1610 W Hyperion St Tucson Az 85704

Rec. Date / Price: 01/13/2022 / $494,000 Living Area: 2,525

Owner Name: Hetz John M & Janet S /

# of units: Document #: 3060340 Bedrooms: Pool: Total Tax Value: $55,901 Bath(F/H): /

#6   1221 W Fir Dr Tucson Az 85704

APN / Alternate APN: 225-21-2450 / Deed Type: Warranty Deed

#5   1611 W Seabiscuit St Tucson Az 85704

Year Built / Eff: 1977 /

Land Use: Sfr Subdivision / Tract: Overton Reserve / Lot Size: 9,348

Year Built / Eff: 2019 / Rec. Date / Price: 01/18/2022 / $590,000 Living Area: 2,594 # of units: Document #: 180422 Bedrooms: Pool:

Customer Name : Lisa Mrazek

Owner Name: Yozwiak Stephen T / APN / Alternate APN: 225-21-2480 / Deed Type: Warranty Deed

Total Tax Value: $342,748 Bath(F/H): /

Total Tax Value: $304,144 Bath(F/H): /

Owner Name: Idris Shadi /Kaloul Rahaf

APN / Alternate APN: 225-21-2600 / Deed Type: Warranty Deed

Owner Name: Jensen Erin Joy /Jensen Jonathan APN / Alternate APN: 225-22-0930 / Deed Type: Warranty Deed Land Use: Sfr Subdivision / Tract: Mesaland Annex / Lot Size: 42,433

Total Tax Value: $438,114 Bath(F/H): /

#13   1313 W Saddlehorn Dr Tucson Az 85704

Customer Name : Lisa Mrazek

© 2022 CoreLogic. All rights reserved

Owner Name: Yusufov German /Starobinska Ella I APN / Alternate APN: 225-21-2960 / Deed Type: Warranty Deed Land Use: Sfr Subdivision / Tract: Overton Reserve / Lot Size: 10,342 Year Built / Eff: 2019 / Rec. Date / Price: 11/04/2021 / $695,000 Living Area: 2,856

Total Tax Value: $357,061 Bath(F/H): /

Year Built / Eff: 2019 / Rec. Date / Price: 12/09/2021 / $695,000 Living Area: 2,856 # of units: Document #: 3430505

Prepared On : 09/12/2022

# of units: Document #: 3080344 Bedrooms: Pool: Pool

#12   8497 N Gallant Fox Dr Tucson Az 85704

Total Tax Value: $383,823 Bath(F/H): /

#10   1611 W Pine St Tucson Az 85704

Bedrooms: Pool:

Year Built / Eff: 1971 / Rec. Date / Price: 06/15/2022 / $744,500 Living Area: 2,840

Customer Company Name : First American Title Insurance Company

Owner Name: Field Adam / APN / Alternate APN: 224-38-6170 / Deed Type: Warranty Deed Land Use: Sfr Subdivision / Tract: Saddle Valley 02 / Lot Size: 45,389 Year Built / Eff: 1995 / Rec. Date / Price: 03/29/2022 / $935,000 Living Area: 3,045 # of units: Document #: 880250 Bedrooms: Pool:

Total Tax Value: $409,418 Bath(F/H): /

# of units: Document #: 1660696 Bedrooms: Pool: Pool

#11   8476 N Gallant Fox Dr Tucson Az 85704

Owner Name: Carpenter Family Trust / APN / Alternate APN: 225-21-2870 / Deed Type: Warranty Deed Land Use: Sfr Subdivision / Tract: Overton Reserve / Lot Size: 10,347

Owner Name: Michalak Peter P /Michalak Julia C

APN / Alternate APN: 225-22-0180 / Deed Type: Warranty Deed Land Use: Sfr Subdivision / Tract: Mesaland / Lot Size: 67,880

Subject Property :   1442 W Sunridge Dr Tucson AZ 85704 Customer Name : Lisa Mrazek Customer Company Name : First American Title Insurance Company Prepared On : 09/12/2022 © 2022 CoreLogic. All rights reserved

© 2022 CoreLogic. All rights reserved

Customer Company Name : First American Title Insurance Company

Prepared On : 09/12/2022

Customer Name : Lisa Mrazek

SchoolsArizona For detailed information and statistics on Arizona schools please go ©2021FirstFirsthttps://azreportcards.azed.gov/toAmericanTitleInsuranceCompany,andtheoperatingdivisionsthereof,makenoexpressorimpliedwarrantyrespectingtheinformationpresentedandassumenoresponsibilityforerrorsoromissions.American,theeaglelogo,FirstAmericanTitle,andfirstam.comareregisteredtrademarksortrademarksofFirstAmericanFinancialCorporationand/oritsaffiliates.FirstAmericanFinancialCorporationand/oritsaffiliates.Allrightsreserved.NYSE:FAF05117910421

08

UNIFIED 2101

350

E Hemlock Dr BNearCanyonRdW E Camino Del Cerro E Fairmount St SSwanRd NFrontageRd W Emigh Rd W Fort Lowe Rd dSPNumptationR E Nona Rd Ch efButteRd Lo al Ave NTricoRd SCattleTankRd Evalyn Rd SOwlHeadRanchRdGasLineRd PSecanRd NTrcoRd W Bayard Rd dRSSandaro WillowSpringsRd N Dove Mountain Blvd

11

06

111

ELEMENTARY 10105

10 AMPHITHEATER UNIFIED 701

SHelvetiaRdUNIFIED N. Well Road, Ajo, AZ 85321 520.387.5618 VALLEY S. Sasabe Road, Tucson, AZ 85736 520.822.1484 W. Wetmore, Tucson, AZ 85705 520.696.5000 FOOTHILS E. River Road, Tucson, AZ 85718 520.209.7500 CONTINENTAL ELEMENTARY 1991 E. Whitehouse Canyon, Green Valley, AZ 85614 520.625.4581 FLOWING WELLS UNIFIED 1556 W. Prince Road, Tucson, AZ 85705 520.696.8800 MARANA UNIFIED 11279 W. Grier Road, Marana, AZ 85653 520.682.3243 PIMA COUNTY JTED 2855 W. Master Pieces Dr, Tucson, AZ 85741 520.352.5833 SAHUARITA UNIFIED W. Sahuarita Road, Sahuarita, AZ 85629 520.625.3502 SUNNYSIDE UNIFIED 2238 E. Ginter Road, Tucson, AZ 85706 520.545.2000

EDesertDove

16 CATALINA

20

30

12

13

39

51 ALTAR

WAnamax Mine Rd dRhRiGWacaanc Road424 WRagged Top Rd W Ruby Star Dr WBritten RanchRd W Pima Mine Rd S Mcgee RanchRd E Edw n Rd SGuildRd 80 NKINNEYRD SPICACHOHWYE BAUMGARTNER RD SNANDARIORDNANWAYRD W VALENCIA RD W MOORE RD W INA RD ESN1TAV E SUNRISE DR E SNYDER RDNSILVERBELLRD TRSNOLDIERLE RIVER RDE PRINCE RD E SPEEDWAY BLVD SFREEMANRDE 22ND ST E 22ND ST W IRVINGTON RD SNOGALESHWY W VALENCIA RDSMISSIONRDWSPEEDWAY BLVD SOLDSPANISHTRL W NARANJA DR W TWIN PEAKS RD W PICTURE ROCKS RD W MANVILLE RD SKINNEYRD W MILE WIDE RD E SAHUARITA RD NTRICORD OSSANDARRD PARK LINK DR SOLDNOGALESHWY GUOSHHTONRD ADCSLAANADRW HELMET PEAK RD WAJOHWY RNASNWD RDKOLBS SHOUGHTONRD W TANGERINE RD E GRANT RD SHOUGHTONRD 95 WAJOHWY E VALENCIA RD NORACLERD I-10 I-19 77 77 77 86 86 286 10 19 10 10 Corona de Tucson AdobesCasas Catalina Green Valley Oracle Picture Rocks Three Points VailSummit TanqueVerde SahuaritaTucson Red Rock Saddlebrooke Marana Oro Valley Rillito SummerhavenWillow Canyon Oracle Junction Cortaro Continental Littletown 20 30 13 15 51 39 12 01 01 08 10 16 11 06 PIMA COUNTY School District Information This map is provided for general location only. Please contact school districts for actual street boundaries SCHOOL DISTRICTS 15 AJO

TANQUE VERDE UNIFIED 2300 N. Tanque Verde Loop, Tucson, AZ 85749 520.749.5751 TUCSON UNIFIED 1010 E. 10th Street, Tucson, AZ 85717 520.225.6000 VAIL UNIFIED 10701 E. Mary Ann Cleveland Way, Tucson, AZ 85747 520.879.2000

01

First American Title Insurance Company, and the operating divisions thereof, make no express or implied warranty respecting the information presented and assume no responsibility for errors or omissions. First American, the eagle logo, First American Title, and firstam.com are registered trademarks or trademarks of First American Financial Corporation and/or its affiliates. ©2021 First American Financial Corporation and/or its affiliates. All rights reserved. NYSE: FAF

05249570321 AIRPORTINT'LTUCSON Air Force WSilverbellRd SSantaRitaRd NMtLemmon Hwy ESascoRd NF38 W Avra Valley Rd E Grand Va ey DrNAguirreRd dRkLNuce dRWNentzNWatermanMountainRd RdAnwayN W El Tiro Rd NTricoRd W Tucker Rd W Rudas l Rd W Manvi e Rd SSanJoaquinRdWBopp Rd W Snyder H l RddRSMarsear W Park Rd W Hermans RdW Hermans Rd W Guy St W Bush Rd SGaveyRd eaCNRinconado SWmoRd SShawRd SSierritaMountainRd SKobRdW TwinButtes Rd W Mcgee Ranch Rd ESstancaDr

School District : Amphitheater Unified District (4406)

Highest Grade : 5th Kindergarten : Yes School Enrollment : Enrollment : 373

School District : Amphitheater Unified District (4406)

Ironwood Elementary School

Distance 2.47 Miles 3300 W Freer Dr Tucson AZ Telephone :85742(520) 579-5150

Public Schools :

Lowest Grade : Pre-K Highest Grade : 6th Kindergarten : Yes School Enrollment : Enrollment : 399 Total Expenditure/Student : 269

Elementary Schools

Distance 1.76 Miles 826 W Chapala Dr Tucson AZ 85704

© 2022 CoreLogic. All rights reserved

Mesa Verde Elementary School

Lowest Grade : Pre-K

Distance 0.76 Miles 1661 W Sage St Tucson AZ Telephone :85704(520) 696-6090

Telephone : (520) 696-6020

Lowest Grade : Pre-K

Winifred Harelson Elementary School

Customer Name : Lisa Mrazek

Total Expenditure/Student : 132

Highest Grade : 6th Kindergarten : Yes School Enrollment : Enrollment : 509

School District : Marana Unified District (4404)

Prepared On : 09/12/2022

Total Expenditure/Student : 132

Customer Company Name : First American Title Insurance Company

Total Expenditure/Student : 132

Distance 1.67 Miles

Telephone : (520) 696-5560

Distance 2.52 Miles

25 W Calle Concordia Oro Valley AZ 85704

Lowest Grade : Pre-K Highest Grade : 5th Kindergarten : Yes School Enrollment : Enrollment : 332

Distance 1.49 Miles

High CanyonSchoolsDelOro

1000 W Chapala Dr Tucson AZ 85704

2040 W Omar Dr Tucson AZ Telephone :85704(520) 696-6160

Middle School

Customer Company Name : First American Title Insurance Company

Telephone : (520) 696-5920

Customer Name : Lisa Mrazek

School District : Amphitheater Unified District (4406)

High School

Advanced Placement : No

School District : Amphitheater Unified District (4406)

Total Expenditure/Student : 132

School District : Amphitheater Unified District (4406)

Marion Donaldson Elementary School

Middle LawrenceSchoolsWCross

Lowest Grade : 6th Highest Grade : 8th Kindergarten : No School Enrollment : Enrollment : 793

Total Expenditure/Student : 132

Prepared On : 09/12/2022

© 2022 CoreLogic. All rights reserved

Lowest Grade : 9th Highest Grade : 12th School Enrollment : Enrollment : 1580

Edge High School - Northwest Distance 2.63 Miles

7600 N Shannon Rd Bldg D103 Tucson AZ 85709

Lowest Grade : 9th Highest Grade : 12th School Enrollment : Enrollment : 0

Telephone : (520) 696-5560

Total Expenditure/Student : Advanced Placement : No

231 W Giaconda Way Ste 113 Tucson AZ 85704

Pcjted - Aztec Middle College North West Distance 2.46 Miles

Total Expenditure/Student : Advanced Placement : No

School District : Pima County Jted (89380)

Lowest Grade : 9th Highest Grade : 12th School Enrollment : Enrollment : 70

Customer Name : Lisa Mrazek

Customer Company Name : First American Title Insurance Company

Telephone : (520) 877-9179

© 2022 CoreLogic. All rights reserved

Pcjted - Canyon Del Oro High School Distance 1.49 Miles

School District : Pima County Jted (89380)

25 W Calle Concordia Tucson AZ 85704

Telephone : (520) 745-4588

Total Expenditure/Student : Advanced Placement : No

School District : Edge School Inc. The (4421)

Lowest Grade : 9th Highest Grade : 12th School Enrollment : Enrollment : 0

Prepared On : 09/12/2022

Health Care Services

Laughing Head Entertainment, L.l.c. 1829 W Dawn Dr Tucson Az (520) 797-1069 0.95

Aala Healthcare Pllc 1680 W Jagged Rock Rd Tucson Az (520) 904-1539 0.39

Name Address Telephone Distance (Miles)

Name Address Telephone Distance (Miles)

Meyers Funding, Inc. 1205 W Samalayuca Dr Tucson Az (720) 298-1857 1.33

Eating / Drinking

Name Address Telephone Distance (Miles)

Banks / Financial

Bluesky Matrix Products Llc 1545 W Sage St Tucson Az (520) 623-2099 0.63

Tbm Equities, Llc 1005 W Emerine Dr Tucson Az (520) 622-4102 0.95

Bennett Barn's Inc 1955 W Birch Way Tucson Az (520) 297-6356 0.76

Blarney Stone General Contract 1121 W Calle Concordia Oro Valley Az (520) 505-8822 0.55

Palo Alto Adult Care Home, Llc 1164 W Oleta Dr Tucson Az (520) 404-1492 0.7

Customer Company Name : First American Title Insurance Company Prepared On : 09/12/2022

© 2022 CoreLogic. All rights reserved

Customer Name : Lisa Mrazek

Orange Grove Optical 8900 N Golden Sky Dr Tucson Az (520) 797-0155 0.15

Local

Name Address Telephone Distance (Miles)

El Conquistador Mortgage, Inc 170 E Mountain Morning Dr Tucson Az (520) 878-0202 1.65

Mortgage Lender And Mortgage Broker 8950 N Oracle Rd Tucson Az (520) 229-6003 1.69

Carriesmatic Cakes, L.l.c. 8601 N Morning View Dr Tucson Az (520) 419-4370 0.55

Hot Rod Cafe Llc 1160 W Fern Dr Tucson Az (520) 891-0414 0.87

Dont Delay Dance Today 1360 W Morning View Dr Tucson Az (520) 271-7099 0.42

Lokey Dj Entertainment, Llc 9090 N Sweet Acacia Pl Tucson Az (520) 982-3565 1.0

AttractionsBusiness/Recreation

Rosati's Pizza 9701 N Paseo Corona Tucson Az (520) 307-4699 1.21

Name Address Telephone Distance (Miles)

Judy Wasley Feng Shui 8904 N Trtolita Bluffs Pl Tucson Az (520) 743-7410 1.09

Organizations / Associations

The Ridge Christian Fellowship Church 1381 W Liddell Pl Tucson Az (520) 256-7764 0.98

Wild Goose Glass 9525 N Preakness Pl Tucson Az (520) 297-4704 0.86

Antioch Landmark Missionary Baptist Church 900 W Placita Camillia Tucson Az (520) 742-3231 0.65

Hospitality

Desert Springs Presbyterian Church Pca 1555 W Overton Rd Tucson Az (520) 742-8990 0.17

Personal Services

Refine Pilates 1133 W Saddlehorn Dr Tucson Az (520) 219-9231 1.11

Name Address Telephone Distance (Miles)

Casas Adobes Bed & Breakf 1610 W Avocado St Tucson Az (520) 575-5571 0.54

Civana, Llc 1270 W Linda Vista Blvd Oro Valley Az (480) 653-9000 0.93

Name Address Telephone Distance (Miles)

Elen Zank 9455 N Camino Del Plata Tucson Az (520) 742-3969 1.6

Name Address Telephone Distance (Miles)

Richard W Davis 8700 N La Cholla Blvd # 3 Tucson Az (520) 204-1428 0.91

Jw Health And Fitness Llc 8593 N Johnny Miller Dr Tucson Az (520) 395-1324 1.34

Pete Francis Fitness, Llc 8501 N Yellowstone Ave Tucson Az (520) 661-5215 1.38

La Fitness 8850 N Oracle Rd Oro Valley Az (520) 918-4386 1.63

Adobe Homes Llc 1695 W Sunridge Dr Tucson Az (520) 742-7355 0.39

T N R & S Acquisition, Inc. 2727 W Club Dr Tucson Az (520) 297-2271 1.8

A Better U Nutrition Llc 831 W Calle Ranunculo Tucson Az (520) 404-3350 1.0

Customer Company Name : First American Title Insurance Company Prepared On : 09/12/2022

© 2022 CoreLogic. All rights reserved

Shopping

Customer Name : Lisa Mrazek

Bed / Bath : / 3 Property Tax : $3,475.86

Sale Date : 11/02/2018

Yr Blt / Eff Yr Blt : 1993 / APN : 225-06-0800

1452 W SUNRIDGE DR

Subdivision : Canada Heights

Land Use : Sfr Lot Acres : 0.19

Sale Date : 06/00/1993

Stories : 1 Living Area : 2,293

Customer Name : Lisa Mrazek

1462 W SUNRIDGE DR Distance 0.03 Miles

Land Use : Sfr Lot Acres : 0.22

Yr Blt / Eff Yr Blt : 1993 /

Subdivision : Canada Heights Sale Date : 06/07/2000

Sale Price  : $270,000

Stories : 1 Living Area : 2,271

Recording Date : 06/20/2000

Sale Price  : $193,500

Bed / Bath : / 3 Property Tax : $3,087.64

© 2022 CoreLogic. All rights reserved

Yr Blt / Eff Yr Blt : 1992 / APN : 225-06-0840

Total Value : $236,278

Customer Company Name : First American Title Insurance Company Prepared On : 09/12/2022

Bed / Bath : / 3 Property Tax : $3,078.62

Total Value : $265,994

1422 W SUNRIDGE DR Distance 0.03 Miles

Recording Date : 11/16/2018

Total Value : $287,361 Sale Price  : $279,000

Sale Price  : $145,505

Bed / Bath : / 4 Property Tax : $4,234.99

Owner Name : Jacobs Jessica S

Stories : 1 Living Area : 2,576

Subdivision : Canada Heights

Owner Name : Anderson Benny P

APN : 225-06-0810

Owner Name : Mariscal Andres

Stories : 1 Living Area : 2,622

Yr Blt / Eff Yr Blt : 1992 / APN : 225-06-0830

Sale Date : 11/27/2019

Recording Date : 12/03/2019

Owner Name : Freeman Don W

Subdivision : Canada Heights

Recording Date : 06/28/1993

1432 W SUNRIDGE DR Distance 0.01 Miles

Total Value : $235,592

Land Use : Sfr Lot Acres : 0.20

Land Use : Sfr Lot Acres : 0.19

Distance 0.01 Miles

Sale Date : 07/00/2004

Bed / Bath : / 3 Property Tax : $3,493.64

Yr Blt / Eff Yr Blt : 1994 / APN : 225-06-0900

1461 W SUNRIDGE DR Distance 0.04 Miles

1441 W SUNRIDGE DR

Owner Name : Bechtel Richard A

Sale Date : 11/26/2001

1431 W SUNRIDGE DR Distance 0.03 Miles

Distance 0.03 Miles

Sale Date : 12/19/2013

Total Value : $248,142 Sale Price  : $199,000

Recording Date : 11/24/1993

Owner Name : Westover Lewis R

Recording Date : 12/31/2013

Stories : 1 Living Area : 2,382

Customer Name : Lisa Mrazek

Total Value : $268,120 Sale Price  : $134,350

Total Value : $267,345 Sale Price  : $259,900

Land Use : Sfr Lot Acres : 0.19

Land Use : Sfr Lot Acres : 0.19

Yr Blt / Eff Yr Blt : 1994 /

Bed / Bath : / 3 Property Tax : $3,503.66

Total Value : $263,827

Recording Date : 11/29/2001

Recording Date : 08/04/2004

Owner Name : Owsowitz Sidney E

Stories : 1 Living Area : 2,328

Stories : 1 Living Area : 2,324

1451 W SUNRIDGE DR Distance 0.03 Miles

Subdivision : Canada Heights

Sale Price  : $275,000

Land Use : Sfr Lot Acres : 0.18

Yr Blt / Eff Yr Blt : 1993 / APN : 225-06-0870

Subdivision : Canada Heights

Bed / Bath : / 3 Property Tax : $3,447.60

Customer Company Name : First American Title Insurance Company Prepared On : 09/12/2022

© 2022 CoreLogic. All rights reserved

Yr Blt / Eff Yr Blt : 1993 / APN : 225-06-0890

Sale Date : 07/00/1993

Owner Name : Oldendorph Scott C

Bed / Bath : / 3 Property Tax : $3,242.59

Stories : 1 Living Area : 2,328

Subdivision : Canada Heights

Land Use : Sfr Lot Acres : 0.19

APN : 225-06-0880

Subdivision : Canada Heights

1472 W SUNRIDGE DR

Sale Price  : $151,933

Subdivision : Canada Heights

Total Value : $237,320

Customer Name : Lisa Mrazek

Customer Company Name : First American Title Insurance Company

Prepared On : 09/12/2022

Stories : 1 Living Area : 2,295

Sale Date : 02/00/1993

Land Use : Sfr Lot Acres : 0.19

1421 W SUNRIDGE DR Distance 0.04 Miles

Owner Name : Ward James

Recording Date : 02/26/1993

Sale Date : 07/25/2011

Bed / Bath : / 3 Property Tax : $3,293.41

Owner Name : Plimpton John R

Land Use : Sfr Lot Acres : 0.27

Stories : 1 Living Area : 2,382

Total Value : $252,029

Yr Blt / Eff Yr Blt : 1993 / APN : 225-06-0860

Distance 0.04 Miles

© 2022 CoreLogic. All rights reserved

Subdivision : Canada Heights

Bed / Bath : / 3 Property Tax : $3,101.20

Recording Date : 08/19/2011

Sale Price  : $233,000

Yr Blt / Eff Yr Blt : 1993 / APN : 225-06-0790

Customer Name : Lisa Mrazek

Growth Last 10 Years: -126.09% 65 - 74 23.1% 75+

Growth Last 5 Years: -6.51% 25 - 64 46.41%

Estimate in 5 Years: 2,083 $35,000 - $50,000 12.67%

Growth Last 10 Years: -7.65% $75,000 - $100,000 13.3%

$300 - $799: 29.01% $100,000 - $150,000: 0.55%

Count: 3,333 0 - 11

Unit Occupied Owner: 57.78% Above $500,000: 20.28%

Average Current Year: 2.1 $25,000 - $35,000 6.43%

Median Mortgage Payments Home Values

Under $300: 2.07% Below $100,000: 1.64%

Estimate Current Year: 3,668 12 - 17

Housing

Estimate in 5 Years: 5,377 18 - 24 8.34%

Married People: 54.65%

Current Year: 1,587 0 - $25,000 13.23%

Female Population: 51.46% Average Household Income: $71,189

Household Size Household Income

Unmarried People: 45.35%

Population Population by Age

Male Population: 48.54% Above $100,000 33.14%

Median Home Value: $341,500 $300,000 - $500,000: 42.53%

© 2022 CoreLogic. All rights reserved

Median Mortgage: $1,056

$800 - $1,999: 45.15% $150,000 - $200,000: 10.58% Over $2,000: 23.77% $200,000 - $300,000: 24.43%

Growth Last 5 Years: 2.9% $50,000 - $75,000 21.24%

Census Tract / block: 46.19 / 1     Year: 2018

Household

Customer Company Name : First American Title Insurance Company Prepared On : 09/12/2022

15 min - 28 min: 27.89%

Administrative: Unpaid Family Worker: 9.73%

Customer Company Name : First American Title Insurance Company Prepared On : 09/12/2022

Private House Hold: Farming: 7.38%

Education

Private Pre-Primary School: 0.52% Not A High School Graduate: 1.45%

Commute Time

Median Gross Rent: $1,061 1995 - 1998

Protective Services: Blue-Collar: 10.38%

Over 60 min: 3.22%

30 min - 57 min: 43.85%

Customer Name : Lisa Mrazek

Enrollment

Manager/Prof: 47.72% Private Worker: 65.47%

$750 - $999 38.4% 1970 - 1979 21.49%

Private College: 1.85% Graduate Degree: 25.34%

Less Than $499 1.25% 1990 - 1994

Sales: 25.46% Self Employed Worker: 2.81%

Technical: Government Worker: 15.01%

Workforce

$1000 and Over 58.78% 1900 - 1969 4.66%

© 2022 CoreLogic. All rights reserved

Public School: 13.41% Graduate Of High School: 22.86%

Less Than 15 Min: 25.04%

$500 - $749 1.57% 1980 - 1989 17.11%

Public College: 4.46% College Graduate: 31.11%

Public Pre-Primary School: 0% Not Enrolled in School: 81.52%

Occupation:

Service: 16.45% Skilled:

Unit Occupied Renter: 42.22% 1999 - 2000

Private School: 5.07% Attended Some College: 19.24%

Year Built

Rent Payments

Customer Company Name : First American Title Insurance Company

© 2022 CoreLogic. All rights reserved

Prepared On : 09/12/2022

Customer Name : Lisa Mrazek

Customer Company Name : First American Title Insurance Company

Customer Name : Lisa Mrazek

© 2022 CoreLogic. All rights reserved

Prepared On : 09/12/2022

Prepared On : 09/12/2022

© 2022 CoreLogic. All rights reserved

Customer Name : Lisa Mrazek

Customer Company Name : First American Title Insurance Company

04/16/2004 222,000

SITUS: 1442 W SUNRIDGE DR PC

CURRENT TAXES

SEARCH PARAMETERS

PARCEL: 225-06-0820

1992

04/29/1994 168,000

PRIMARY  28,956  0  0  9.4097  1064 SECONDARY  50  28,905  0  5.3279  2021 TOTAL TAX BILLED 4,267.43

289,556

OWNER: DAVIS BRIAN D & BOAZ JILL JT/RS     12814 584 05/30/2006

FULL CASH VALUE YEAR BUILT LAND USE LOT SIZE SCHOOL DISTRICT  1064 LAND FULL CASH VALUE  502 IMPR FULL CASH VALUE    12407 4892 HIGH ROADS VENTURES L L C    12282 4701 ULLOA FRANK M    12246 3006 BANGERT-SAMPLES JOHN H    9782 4688 ELDREDGE JOSEPH L    9605 3035 HUNTER DEVELOPMENT CORPORA

JD

PLAT: LOT 00100 BLOCK LEGAL: CANADA HEIGHTS LOT 100

08/13/1993 159,900

IMPROVEMENTS

EXTERIOR WALLS  FRAME WOOD

MAIL: 1442 W SUNRIDGE DR  TUCSON AZ 85704-8379

GRADE MATERIALS

INFORMATION THROUGH 07/28/2022 LAND IMPR EXEMPT RATE AREA SPECIAL DISTRICTS

WD

02/26/2004 182,000

+ FIRST AMERICAN TITLE, FC0, LMRA PIMA, AZ 09/12/2022  01:28PM  RL13  INVESTIGATIVE SEARCH RESULTS PAGE 1 OF 1

WD

JD

TOTAL CURRENT TAXES DUE 09/22 0.00 10/22 0.00

2021  TAX AMT TAX DUE INTEREST DATE PAID TOTAL DUE FIRST HALF  2,133.72  0.00  0.00  10/31/2021  0.00  SECOND HALF  2,133.71  0.00  0.00  05/28/2022  0.00

WD

BYPASS  BLDG SQFT

2,770

PARCEL:  225-06-0820

INSTRUMENT REC DATE

289,054 SALES SALE DATE SALE AMOUNT INSTRUMENT TYPE SELLER NAME VALIDITY 10/14/2004 258,000

1 STDLT STORIES HEIGHT  0

ADDITIONAL PROPERTY INFORMATION STANDARD LAND USE: SFR END SEARCH

01 41 NUMBER OF STORIES  1.0

Thank you for the opportunity to be of service.

This information is furnished without fee and without benefit of a complete title search. No liability is assumed by First American Title or Title Security. If it is desired that liability be assumed, you may apply for a policy of title insurance with First American Title Insurance Company.

Restrictions indicating a preference, limitation or discrimination based on race, color, religion, sex, handicap, familial status, or national origin are hereby deleted to the extent such restrictions violate 42 USC 3604(c).

ConditionsCovenants,&Restrictions

Branch:FC0,User:LMRAComment:StationId:RL13 PIMA,AZPage1of4Printedon9/12/20221:31:46PM Document:SUBDIVISION_MAP44.17

Branch:FC0,User:LMRAComment:StationId:RL13 PIMA,AZPage2of4Printedon9/12/20221:31:47PM Document:SUBDIVISION_MAP44.17

Branch:FC0,User:LMRAComment:StationId:RL13 PIMA,AZPage3of4Printedon9/12/20221:31:47PM Document:SUBDIVISION_MAP44.17

Branch:FC0,User:LMRAComment:StationId:RL13 PIMA,AZPage4of4Printedon9/12/20221:31:48PM Document:SUBDIVISION_MAP44.17

Page 1 of 12 06/06/2011 2:37 PM

Page 2 of 12 06/06/2011 2:37 PM

Page 3 of 12 06/06/2011 2:37 PM

Page 4 of 12 06/06/2011 2:37 PM

Page 5 of 12 06/06/2011 2:37 PM

Page 6 of 12 06/06/2011 2:37 PM

Page 7 of 12 06/06/2011 2:37 PM

Page 8 of 12 06/06/2011 2:37 PM

Page 9 of 12 06/06/2011 2:37 PM

Page 10 of 12 06/06/2011 2:37 PM

Page 11 of 12 06/06/2011 2:37 PM

Page 12 of 12 06/06/2011 2:37 PM

Page 1 of 14 06/06/2011 2:37 PM

Page 2 of 14 06/06/2011 2:37 PM

Page 3 of 14 06/06/2011 2:37 PM

Page 4 of 14 06/06/2011 2:37 PM

Page 5 of 14 06/06/2011 2:37 PM

Page 6 of 14 06/06/2011 2:37 PM

Page 7 of 14 06/06/2011 2:37 PM

Page 8 of 14 06/06/2011 2:37 PM

Page 9 of 14 06/06/2011 2:37 PM

Page 10 of 14 06/06/2011 2:37 PM

Page 11 of 14 06/06/2011 2:37 PM

Page 12 of 14 06/06/2011 2:37 PM

Page 13 of 14 06/06/2011 2:37 PM

Page 14 of 14 06/06/2011 2:37 PM

Page 1 of 40 06/06/2011 2:37 PM

Page 2 of 40 06/06/2011 2:37 PM

Page 3 of 40 06/06/2011 2:37 PM

Page 4 of 40 06/06/2011 2:37 PM

Page 5 of 40 06/06/2011 2:37 PM

Page 6 of 40 06/06/2011 2:37 PM

Page 7 of 40 06/06/2011 2:37 PM

Page 8 of 40 06/06/2011 2:37 PM

Page 9 of 40 06/06/2011 2:37 PM

Page 10 of 40 06/06/2011 2:37 PM

Page 11 of 40 06/06/2011 2:37 PM

Page 12 of 40 06/06/2011 2:37 PM

Page 13 of 40 06/06/2011 2:37 PM

Page 14 of 40 06/06/2011 2:37 PM

Page 15 of 40 06/06/2011 2:37 PM

Page 16 of 40 06/06/2011 2:37 PM

Page 17 of 40 06/06/2011 2:37 PM

Page 18 of 40 06/06/2011 2:37 PM

Page 19 of 40 06/06/2011 2:37 PM

Page 20 of 40 06/06/2011 2:37 PM

Page 21 of 40 06/06/2011 2:37 PM

Page 22 of 40 06/06/2011 2:37 PM

Page 23 of 40 06/06/2011 2:37 PM

Page 24 of 40 06/06/2011 2:37 PM

Page 25 of 40 06/06/2011 2:37 PM

Page 26 of 40 06/06/2011 2:37 PM

Page 27 of 40 06/06/2011 2:37 PM

Page 28 of 40 06/06/2011 2:37 PM

Page 29 of 40 06/06/2011 2:37 PM

Page 30 of 40 06/06/2011 2:37 PM

Page 31 of 40 06/06/2011 2:37 PM

Page 32 of 40 06/06/2011 2:37 PM

Page 33 of 40 06/06/2011 2:37 PM

Page 34 of 40 06/06/2011 2:37 PM

Page 35 of 40 06/06/2011 2:37 PM

Page 36 of 40 06/06/2011 2:37 PM

Page 37 of 40 06/06/2011 2:37 PM

Page 38 of 40 06/06/2011 2:37 PM

Page 39 of 40 06/06/2011 2:37 PM

Page 40 of 40 06/06/2011 2:37 PM

to the Title & Escrow Process in Arizona Home Seller’s Guide

Southwest Gas www.swgas.com1.877.860.6020 Cox www.cox.com602.277.1000 Direct TV www.directv.com1.888.777.2454 Dish Network www.dishnetwork.com1.800.823.4929 CenturyLink www.centurylink.com800.366.8201 AT&T www.att.com1.800.222.0300 Verizon www.connecttoverizon.com1.877.300.4498 Salt River Project www.srpnet.com602.236.8888 APS www.aps.com602.371.7171 Your Escrow Number Your New City/State/ZipAddress Real Estate Agent Name Email Assistant Email Company Phone Address Fax Insurance CompanyPrevious Phone Previous Agent No.Policy New Company Phone New Agent No.Policy Home CompanyWarranty No.Policy First American Title Escrow Officer Email Escrow Assistant Email Address Phone City/State/Zip Fax 02 Quick Reference 03 Welcome 04 Benefits of Using a REALTOR ® 05 Key Professionals 06 Preparing Your Home for Sale 07 Staging Your Home for Show 09 Terms You Should Know 10 The Life of an Escrow 11 Closing Costs: Who Pays What 12 The Escrow Process 14 Understanding Title Insurance 16 Consider This 17 Closing Your Escrow 18 Planning Your Move Q uick Reference Table of Contents Utilities and Services

First American Title has a direct office or agent near you, offering convenient locations throughout Arizona. We also have an extensive network of offices and agents throughout the United States, and internationally.

Count On Us For Convenience

First American Title is the principal subsidiary of First American Financial Corporation, and one of the largest suppliers of title insurance services in the nation. With roots dating back to 1889, we’ve served families for generations.

Welcome to the home-selling process. Throughout this process, you can count on First American Title to guide you smoothly through your transaction and provide expert answers to your questions. We are happy to serve you.

AZ Sellers Guide | 3

Count On Us For Stability

First American Financial Corporation offers more than title insurance and escrow services through its subsidiaries. Our subsidiaries also provide property data, title plant records and images, home warranties, property and casualty insurance, and banking, trust and advisory services.

First American Title’s professionals are proud to provide the title insurance that assures people’s home ownership. Backed by First American Title Insurance Company, your transaction will be expertly completed in accordance with state-specific underwriting standards and state and federal regulatory requirements.

Count on First American Title

Count On Us To Meet Your Needs

Count On Us For Service

- have the knowledge, patience, and sales skills needed to sell your home?

- aware that prospective buyers and bargain hunters will expect you to lower your cost because there’s no REALTOR® involved?

- prepared to give up your evenings and weekends to show your home to potential buyers and “just-looking” time wasters?

› Understands market conditions and has access to information not available to the average homeowner.

› Will listen to your needs, respect your opinions and allow you to make your own decisions.

- understand the various types of loans buyers may choose and the advantages and disadvantages for the seller?

- need to hire a real estate attorney? If so, do you know what the cost will be and how much liability they will assume in the transaction?

Before you make the decision to try to sell your home alone, consider the benefits a REALTOR ® can provide that you may not be aware of.

› Can remain objective when presenting offers and counter-offers on your behalf.

- know how to determine whether or not a buyer can qualify for a loan?

Many people believe they can save a considerable amount of money by selling their homes themselves. It may seem like a good idea at the time, but while you may be willing to take on the task, are you qualified? The following are some questions to help you realistically assess what’s involved.

Only you can determine whether you should attempt to sell your home—probably your largest investment—all alone. Talk with a REALTOR® before you decide. You may find working with a professional is a lot less expensive and much more beneficial than you ever imagined!

› Knows how to price your home realistically, to give you the highest price possible within your time frame.

› Can advertise effectively for the best results.

- understand the steps of an escrow and what’s required of you and the buyer?

› Knows how to screen potential buyers and eliminate those who can’t qualify or are looking for bargain-basement prices.

› Maintains errors-and-omissions insurance.

Are you...

- concerned about having strangers walking through your home?

› Can help protect your rights, particularly important with the increasingly complicated real estate laws and regulations.

- know how to determine your home’s current market value?

A REALTOR ® :

› Is experienced with resolving problems to facilitate a successful closing on your home.

› Is experienced in creating demand for homes and how to show them to advantage.

Do you...

- know how to advertise effectively and what the costs will be?

AZ Sellers Guide |

› Knows how to go toe-to-toe in negotiations.

FOR SALE BY OWNER

- aware of conditions in the marketplace today that affect value and length of time to sell?

- have arrangements with an escrow and title company, home warranty company, pest-control service and lender to assist you with the transaction?

- aware that every time you leave your home, you are taking it off the market until you return?

Benefits4 of using a Professional REALTOR ®

› Is always “on-call,” answering the phone at all hours, and showing homes evenings and weekends.

- familiar enough with real estate regulations to prepare a binding sales contract? Counter-offers?

Key Professionals Involved in Your Transaction

ESCROW OFFICER

An escrow officer leads the facilitation of your escrow, including escrow instructions preparation, document preparation, funds disbursement, and more.

A REALTOR ® is a licensed real estate agent and a member of the National Association of REALTORS,® a real estate trade association. REALTORS ® also belong to their state and local Association of REALTORS.®

A real estate agent is licensed by the state to represent parties in the transfer of property. Every REALTOR ® is a real estate agent, but not every real estate agent has the professional designation of a REALTOR.®

LISTING AGENT

A key role of the listing agent or broker is to form a legal relationship with the homeowner to sell the property and place the property in the Multiple Listing Service.

REALTOR ®

AZ Sellers Guide | 5

The MLS is a database of properties listed for sale by REALTORS ® who are members of the local Association of REALTORS.® Information on an MLS property is available to thousands of REALTORS ®

These are the people who carry out the title search and examination, work with you to eliminate the title exceptions you are not willing to take subject to, and provide the policy of title insurance regarding title to the real property.

A key role of the buyer’s agent or broker is to work with the buyer to locate a suitable property and negotiate a successful home purchase.

BUYER'S AGENT

TITLE COMPANY

MULTIPLE LISTING SERVICE (MLS)

REAL ESTATE AGENT

Make sure the front steps are clear and hazard-free. Make sure the doorbell works properly and has a pleasant sound.

Repair or replace worn shutters and other exterior trim.

Brighten the appearance inside by painting walls, cleaning windows and window coverings, and removing sunscreens.

Repair or replace loud ventilating fans. Replace worn shower curtains.

Clean household appliances and make sure they work properly.

If screens or windows are damaged, replace or repair them.

Repair leaky faucets and caulking in bathtubs and showers.

YOURFORPREPARINGSALEHOME

Air conditioners/heaters, evaporative coolers, hot water heater should be clean, working and inspected if necessary. Replace filters.

Remove any oil and rust stains from the driveway and garage.

Mow and edge the lawn regularly, and trim the shrubs.

Check the pool and/or spa equipment and pumps. Make sure all are working properly and that the pool and/or spa are kept clean.

AZ Sellers Guide | 6

Ensure that all exterior lights are working.

Shampoo carpeting or replace if worn. Clean tile floors, particularly the caulking.

First impressions have a major impact on potential buyers. Try to imagine what potential buyers will see when they approach your house for the first time and walk through each room. Ask your REALTOR ® for advice; they know the marketplace and what helps a home sell. Here are some tips to present your home in a positive manner:

Inspect fences, gates and latches. Repair or replace as needed.

Paint or replace the mailbox, if needed.

Rearrange furniture to make rooms appear larger. If possible, remove and/or store excess furniture, and avoid extension cords in plain view.

Remove clutter throughout the house. Organize and clean out closets.

Make your entry inviting: Paint your front door and buy a new front door mat.

Check stucco walls for cracks and discoloration.

Clean and organize the garage, and ensure the door is in good working order.

Repair or replace loose knobs on doors and cabinets. If doors stick or squeak, fix them.

Make sure toilet seats look new and are firmly attached.

Get rid of odors such as tobacco, pets, cooking, etc., but don’t overdo air fresheners or potpourri. Fresh baked bread and cinnamon can make a positive impact.

Clear all clutter from counter tops.

cans and put them out of sight.

Keep everything clean. A messy or dirty home will cause prospective buyers to notice every flaw.

Hang clean attractive guest towels in the bathrooms.

To make the best impression, keep your home clean, neat, uncluttered and in good repair. Please review this list prior to each showing:

Stash or throw out newspapers, magazines, junk mail.

Staging your home for Show

Make beds with attractive spreads.

AZ Sellers Guide | 7

If you must be present while your home is shown, keep noise down. Turn off the TV and radio. Soft, instrumental music is fine, but avoid vocals.

Send pets away or secure them away from the house, and be sure to clean up after them.

If possible you, your pets, and your children should be gone while your home is being Cleanshown.trash

Close the windows to eliminate street noise.

Let the light in. Raise shades, open blinds, pull back the curtains and turn on the lights.

Check that sink and tub are scrubbed and unstained.

Keep the garage door closed and the driveway clear. Park autos and campers away from your home during showings

AZ Sellers Guide | 8

Recording

Settlement statement

Endorsement

Provides a complete breakdown of costs involved in a real estate transaction.

Mortgage

TRID

Earnest Money Deposit

Down payment made by a purchaser of real property as evidence of good faith; a deposit or partial payment.

Real estate insurance protecting against fire, some natural causes, vandalism, etc., depending upon the policy. Buyer often adds liability insurance and extended coverage for personal property.

Legal Description

Impounds

Sales that have similar characteristics as the subject real property, used for analysis in the appraisal. Commonly called “comps.”

An estimate of value of property resulting from analysis of facts about the property; an opinion of value.

TILA-RESPA Integrated Disclosures

Appraisal

Generally the date the buyer becomes the legal owner and title insurance becomes effective.

A right, privilege or interest limited to a specific purpose that one party has in the land of another.

Lien

A description of land recognized by law, based on government surveys, spelling out the exact boundaries of the entire parcel of land. It should so thoroughly identify a parcel of land that it cannot be confused with any other.

Loan Estimate (LE)

Closing Disclosure form designed to provide disclosures that will be helpful to borrowers in understanding all of the costs of the transaction. This form will be given to the consumer three (3) business days before closing.

Form designed to provide disclosures that will be helpful to borrowers in understanding the key features, costs and risks of the mortgage loan for which they are applying. Initial disclosure to be given to the borrower three (3) business days after application.

Filing documents affecting real property with the appropriate government agency as a matter of public record.

The borrower’s costs of the loan term expressed as a rate. This is not their interest rate.

A form of encumbrance that usually makes a specific parcel of real property the security for the payment of a debt or discharge of an obligation. For example, judgments, taxes, mortgages, deeds of trust.

The recipient of benefits, often from a deed of trust; usually the lender.

AZ Sellers Guide | 9

Close of Escrow

Occurs when the borrower becomes contractually obligated to the creditor on the loan, not, for example, when the borrower becomes contractually obligated to a seller on a real estate transaction. The point in time when a borrower becomes contractually obligated to the creditor on the loan depends on applicable State law. Consummation is not the same as close of escrow or settlement.

Comparable Sales

Closing Disclosure (CD)

The date the amounts are to be disbursed to a buyer and seller in a purchase transaction or the date funds are to be paid to the borrower or a third party in a transaction that is not a purchase transaction.

Beneficiary

Disbursement Date

An instrument used in many states in place of a mortgage.

Terms You Should Know

Consummation

Limitations in the deed to a parcel of real property that dictate certain uses that may or may not be made of the real property.

Deed of Trust

Easement

Deed Restrictions

Hazard Insurance

A trust type of account established by lenders for the accumulation of borrower’s funds to meet periodic payments of taxes, mortgage insurance premiums and/or future insurance policy premiums, required to protect their security.

Annual Percentage Rate (APR)

As to a title insurance policy, a rider or attachment forming a part of the insurance policy expanding or limiting coverage.

The instrument by which real property is pledged as security for repayment of a loan.

A payment that includes Principal, Interest, Taxes, and Insurance.

Power of Attorney

PITI

A written instrument whereby a principal gives authority to an agent. The agent acting under such a grant is sometimes called an “Attorney-in-Fact.”

All demands, invoices, and fees must be collected and sent to lender at least 10 days prior to loan

Requests necessary information from buyers and sellers via opening packages.

Documents are recorded and funds are disbursed. Issues final settlement statement.

Gets pre-approval letter from Lender and provides to Real Estate Agent.

Chooses a Real Estate Agent

Coordinatesconsummation.withlender on the preparation of the CD.

THE BUYER

Prepares recording instructions and submits docs for recording.

Coordinates with Escrow Officer on the preparation of the Closing Disclosure, which is delivered to Buyer at least 3 days prior to loan documents,UponDeliversconsummation.loandocumentstoescrow.reviewofsignedloanauthorizesloanfunding.

Reviews title commitment / preliminary report.

THE SELLER

Orders and reviews title commitment / preliminary report, property appraisal, credit report, employment and funds verification.

THE ESCROW OFFICER

Underwritingapproval.reviews loan package for approval.

Finalizes loan application with Lender. Receives a Loan Estimate from Lender.

The Life Of An Escrow

Reviews all documents, demands, and instructions and prepares settlement statements and any other required documents.

AZ Sellers Guide | 10

Accepts Buyer’s application and begins the qualification process. Provides Buyer with Loan Estimate.

Collects information such as title commitment / preliminary report, appraisal, credit report, employment and funds verification. Reviews and requests additional information for final loan

Makes offer to purchase. Upon acceptance, opens escrow and deposits earnest money.

Accepts Buyer’s offer to openingCompletespurchase.andreturnspackagefromFirstAmericanTitle,includinginformationsuchasforwardingaddress,payofflendercontactinformationandloannumbers.Ordersanyworkforinspectionsand/orrepairstobedoneasrequiredbythepurchaseagreement.Escrowofficerorrealestateagentcontactsthesellertoschedulesigningappointment.Documentsarerecordedandallproceedsfromsalearereceived.

Upon receipt of opening packages, orders demands for payoffs. Contacts buyer or seller when additional information is required for the title preliminarycommitment/report.

Completes and returns opening package from First American Title.

Schedules signing appointment and informs buyer of funds due at settlement.

Once loan is consummated, sends funding package to lender for review.

Schedules inspections and evaluates findings. Reviews title BuyerpriorlenderpaperworkProvidespreliminarycommitment/report.allrequestedtoLender(bankstatements,taxreturns,etc.)Allinvoicesandfinalapprovalsshouldbetothenolaterthan10daystoloanconsummation.Lender(orEscrowOfficer)preparesCDanddeliverstoatleast3dayspriortoloanconsummation.Escrowofficerorrealestateagentcontactsthebuyertoschedulesigningappointment.Buyerconsummatesloan,executessettlementdocuments,&depositsfundsviawiretransfer.Documentsarerecordedandthekeysaredelivered!

Upon receipt of order and earnest money deposit, orders title examination.

Chooses a Real Estate Agent

THE LENDER

AZ Sellers Guide | 11 CASH FHA VA CONV 1. Downpayment BUYER BUYER BUYER BUYER 2. Termite (Wood Infestation) Inspection (negotiable except on VA) SELLER 3. Property Inspection (if requested by buyer) BUYER BUYER BUYER BUYER 4. Property Repairs, if any (negotiable) SELLER SELLER SELLER SELLER 5. New Loan Origination Fee (negotiable) BUYER BUYER BUYER 6. Discount Points (negotiable) BUYER BUYER BUYER 7. Credit Report BUYER BUYER BUYER 8. Appraisal or Extension Fee (negotiable) BUYER BUYER BUYER 9. Existing Loan Payoff SELLER SELLER SELLER SELLER 10. Existing Loan Payoff Demand SELLER SELLER SELLER SELLER 11. Loan Prepayment Penalty (if any) SELLER SELLER SELLER SELLER 12. Next Month’s PITI Payment BUYER BUYER BUYER 13. Prepaid Interest (approx. 30 days) BUYER BUYER BUYER 14. Reserve Account Balance (Credit seller / Charge buyer) PRORATE PRORATE PRORATE 15. FHA MIP, VA Funding Fee, PMI Premium BUYER BUYER BUYER 16. Assessments payoff or proration (sewer, paving, etc.) SELLER 17. Taxes PRORATE PRORATE PRORATE PRORATE 18. Tax Impounds BUYER BUYER BUYER 19. Tax Service Contract SELLER SELLER BUYER 20. Fire/Hazard Insurance BUYER BUYER BUYER BUYER 21 Flood Insurance BUYER BUYER BUYER 22. Homeowners Association (HOA) Transfer Fee BUYER or SELLER BUYER or SELLER BUYER or SELLER BUYER or SELLER 23. HOA/Disclosure Fee SELLER SELLER SELLER SELLER 24 Current HOA Payment PRORATE PRORATE PRORATE PRORATE 25. Next Month’s HOA Payment BUYER BUYER BUYER BUYER 26. Home Warranty Premium (negotiable) BUYER or SELLER BUYER or SELLER BUYER or SELLER BUYER or SELLER 27. REALTORS®’ Commissions SELLER SELLER SELLER SELLER 28. EAGLE Homeowners Title Policy SELLER SELLER SELLER SELLER 29. Lenders Title Policy and Endorsements BUYER BUYER BUYER 30. Escrow Fee (NOTE: Charge seller on VA Loan) SPLIT SPLIT SELLER SPLIT 31. Recording Fees (Flat rate) SPLIT SPLIT SPLIT SPLIT 32. Reconveyance/Satisfaction Fee SELLER SELLER SELLER SPLIT 33. Courier/Express Mail Fees SPLIT SPLIT SELLER SPLIT THIS CHART INDICATES WHO CUSTOMARILY PAYS WHAT COSTS Note: Prorated items will appear on Closing Statement as charges for one and credits for the other. Closing Costs: Who Pays What

The escrow is the process of having a neutral party manage the exchange of money for real property. The escrow holder is known as an escrow or settlement officer or agent. The buyer deposits funds and the seller deposits a deed with the escrow holder along with all of the other documents required to remove all "contingencies" (conditions and approvals) in the purchase agreement prior to closing.

WHAT IS AN ESCROW?

HOW IS AN ESCROW OPENED?

AZ Sellers Guide | 12

Once a purchase agreement is signed by all necessary parties, the agent representing the party who will pay the fee selects an escrow holder and the buyer's earnest money deposit and contract are submitted to the escrow holder. From this point, the escrow holder will follow the mutual written instructions of the buyer and seller, maintaining a neutral stance to ensure that neither party has an unfair advantage over the other. The escrow holder also follows the instructions of the Buyer's new lender, the seller's existing lender, and both parties' agents. The escrow holder ensures the transparency of the transaction, while carefully maintaining the privacy of the consumers.

The Escrow Process

After recording is confirmed, close escrow and disburse funds, including proceeds, loan payoffs, tax payments, and more

Conduct a title search to determine the ownership and title status of the real Reviewpropertythetitle

Prepare and send final documents to all parties

Review documents and ensure all conditions are fulfilled and certain legal requirements are met

Set separate appointments allowing the buyer and seller to sign documents and deposit funds

Prorate fees, such as real property taxes, per the contract and prepare the settlement statement

AZ Sellers Guide | 13

Your Escrow Professional May:

Coordinate with the buyer’s lender on the preparation of the Closing Disclosure (CD)

Open escrow and deposit good faith funds into an escrow account

commitment and begin the process of working with you and the title officer to eliminate the title exceptions the buyer and the buyer’s new lender are not willing to take subject to. This includes ordering a payoff demand from your existing lender.

Request funds from buyer and buyer’s new lender

When all funds are deposited and conditions met, record documents with the County Recorder to transfer the real property to the buyer

Title insurance insures buyers against the risk that they did not acquire marketable title from the seller. It is primarily designed to reduce risk or loss caused by defects in title from the past. A loan policy of title insurance protects the interest of the mortgage lender, while an owner’s policy protects the equity of you, the buyer, for as long as you or your heirs (in certain policies) own the real property.

Prior to the development of the title industry in the late 1800s, a home-buyer received a grantor’s warranty, attorney’s title opinion, or abstractor’s certificate as assurance of home ownership. The buyer relied on the financial integrity of the grantor, attorney, or abstractor for protection. Today, home-buyers look primarily to title insurance to provide this protection. Title insurance companies are regulated by state statute. They are required to post financial guarantees to ensure that any claims will be paid in a timely fashion. They also must maintain their own “title plants” which house duplicates of recorded deeds, mortgages, plats, and other pertinent county property Understandingrecords.

Title Insurance

AZ Sellers Guide | 14

WHAT IS TITLE INSURANCE?

Title insurance provides coverage for certain losses due to defects in the title that, for the most part, occurred prior to your ownership. Title insurance protects against defects such as prior fraud or forgery that might go undetected until after closing and possibly jeopardize your ownership and investment.

WHY IS TITLE INSURANCE NEEDED?

The Title Industry & Title Insurance in Brief

You pay for your owner’s title insurance policy only once, at the close of escrow. Who pays for the owner’s policy and loan policy varies depending on local customs.

WHEN IS THE PREMIUM DUE?

26 Rights under unrecorded leases Plain language statements of policy coverage and restrictions

17 Post-policy damage from extraction of minerals or water

a) extends on another property and/or easement

15 Post-policy forgery

c) violates an existing zoning law*

Compare First American’s Eagle Policy® for Owners EAGLE StandardALTAorCLTA

10 Cannot use the land for a Single-Family Residence because the use violates a restriction in Schedule B or a zoning ordinance

23 Violation of building setback regulations

33 Post-policy Living Trust coverage

16 Post-policy encroachment

2 A document is not properly signed

24 Discriminatory covenants

25 Pays rent for substitute land or facilities

6 There is a lien on your title because there is:

Other benefits:

32 Post-policy inflation coverage with automatic increase in value up to 150% over five years

22 Covenant violation resulting in your title reverting to a previous owner

Protection from:

14 Restrictive covenant violations

13 Building permit violations*

StandardALTAorCLTA

c) a charge by a homeowner’s association

21 Post-policy prescriptive easement

5 There are restrictive covenants

11 Unrecorded lien by a homeowners association

27

28 Compliance with Subdivision Map Act Coverage for boundary wall or fence encroachment*

EAGLE

4 Defective recording of any document

9 Forced removal of a structure because it:

30 Added ownership coverage leads to enhanced marketability

19 Map not consistent with legal description

18 Lack of vehicular and pedestrian access

b) a judgement, tax, or special assessment

b) violates a restriction in Schedule B

Compare First American’s Eagle Policy® for Owners

a) a deed of trust

3 Forgery, fraud, duress in the chain of title

1 Someone else owns an interest in your title

12 Unrecorded easements

AZ Sellers Guide | 15

7 Title is unmarketable

8 Mechanics lien

20 Post-policy adverse possession

29

* Deductible and maximum limits apply. Not available to investors on 1- to 4-unit residential properties. Coverage may vary based on an individual policy.

As with any insurance contract, the insuring provisions express the coverage afforded by the title insurance policy and there are exceptions, exclusions and conditions to coverage that limit or narrow the coverage afforded by the policy. Also, some cov erage may not be available in a particular area or transaction due to legal, regulatory, or underwriting considerations. Please contact a First American representative for further information. The services described above are typical basic services. The services provided to you may be different due to the specifics of your transaction or the location of the real property involved.

31 Insurance coverage for a lifetime

Consider This

When you consider the number of people involved, you can imagine the opportunities for delays and mishaps. Your experienced escrow team can’t prevent unforeseen problems from arising; however, they can help smooth out the process.

AZ Sellers Guide | 16

One escrow transaction could involve more than 20 individuals, including real estate agents, buyers, sellers, attorneys, escrow officer, escrow technician, title officer, loan officer, loan processor, loan underwriter, home inspector, termite inspector, insurance agent, home warranty representative, contractor, roofer, plumber, pool service, and so on. And often, one transaction depends on another.

Closing Your Escrow

DON'T FORGET YOUR IDENTIFICATION

The escrow holder will contact you or your agent to schedule a closing or signing appointment. In some states, this is the "close of escrow." In some others, the close of escrow is either the day the documents record or that funds are disbursed. Ask your escrow holder if you would like clarification about your state's laws.

*For purposes of the Closing Disclosure“business day” is defined as every day except Sundays and Federal legal holidays.

The escrow holder is obligated by law to have the designated amount of money before releasing any funds. If you have questions or foresee a problem, let your escrow holder know immediately.

Once the loan is approved and all invoices and paperwork have been provided, the lender and escrow officer will collaborate on the preparation of the Closing Disclosure (CD). In order to close on time, all paperwork and invoices should be submitted at least 10 days prior to the expected close of escrow date. The borrower must receive the CD at least three days* prior to consummation of the loan (typically the signing date). The escrow officer will also prepare an estimated settlement statement and inform the buyer of the balance of the down payment and closing costs needed to close escrow.

AZ Sellers Guide | 17

You will need valid identification with your photo I.D. on it when you sign documents that need to be notarized (such as a deed). A driver's license is preferred. You will also be asked to provide your social security number for tax reporting purposes, and a forwarding address.

THE CLOSING OR SIGNING APPOINTMENT

If the loan documents are satisfactory, the lender will send funds directly to the escrow holder. When the loan funds are received, the escrow holder will verify that all necessary funds are in. Escrow funds will be disbursed to the seller and other appropriate payees. Then, the REALTOR® will present the keys to the property to the buyer.

THE CLOSING DISCLOSURE

WHAT HAPPENS NEXT?

You will have a chance to review the settlement statement and supporting documentation. This is your opportunity to ask questions and clarify terms. You should review the settlement statement carefully and report discrepancies to the escrow officer. This includes any payments that may have been missed. You are responsible for all charges incurred even if overlooked by the escrow holder, so it's better to bring these to their attention before closing.

If the buyer is obtaining a new loan, the buyer’s signed loan documents will be returned to the lender for review. The escrow holder will ensure that all contract conditions have been met and will ask the lender to "fund the loan."

Research moving options You’ll need to decide if yours is a do-it-yourself move or if you’ll be using a moving company.

Note food inventory levels Check your cupboards, refrigerator and freezer to use up as much of your perishable food as possible.

Request moving quotes Solicit moving quotes from as many moving companies and movers as possible. There can be a large difference between rates and services within moving companies.

Plan your itinerary. Make plans to spend the entire day at the house or at least until the movers are on their way. Someone will need to be around to make decisions. Make plans for kids and pets to be at the sitters for the day.

Scan your furniture. Check furniture for scratches and dents before so you can compare notes with your mover on moving day.

Contact utility companies Set utility turnoff date, seek refunds and deposits and notify them of your new address.

Service automobiles If automobiles will be driven long distances, you’ll want to have them serviced for a trouble-free drive.

Service small engines for your move by extracting gas and oil from the machines. This will reduce the chance to catch fire during your move.

ReviewDAY:thehouse

Protect jewelry and valuables. Transfer jewelry and valuables to safety deposit box so they can not be lost or stolen during your move.

SIX WEEKS BEFORE:

ONE WEEK BEFORE:

Seek employer benefits. If your move is work-related, your employer may provide funding for moving expenses. Your human resources rep should have information on this policy.

Sign the bill of lading. Once your satisfied with the mover’s packing your items into the truck, sign the bill of lading. If possible, accompany your mover while the moving truck is being weighed.

Vacate your home. Make sure utilities are off, doors and windows are locked and notify your real estate agent you’ve left the property.

Double check with your mover. Make sure your mover has the new address and your contact information should they have any questions during your move.

. Once the house is empty, check the entire house (closets, the attic, basement, etc) to ensure no items are left or no home issues exist.

Changing Schools. If changing schools, contact new school for registration process.

Packing materials. Gather moving boxes and packing materials for your move.

Borrowed and rented items. Return items which you may have borrowed or rented. Collect items borrowed to others.

Planning your move

FOUR WEEKS BEFORE:

AZ Sellers Guide | 18

Start packing. Begin packing for your new location.

Create an inventory sheet of items to move.

Bank accounts Notify bank of address change. Make sure to have a money order for paying the moving company if you are transferring or closing accounts.

Change of address. Visit USPS for change of address form.

Obtain your medical records. Contact your doctors, physicians, dentists and other medical specialists who may currently be retaining any of your family’s medical records. obtain these records or make plans for them to be delivered to your new medical facilities.

Cancel services. Notify any remaining service providers (newspapers, lawn services, etc) of your move.

Travel items. Set aside items you’ll need while traveling and those needed until your new home is established. Make sure these are not packed in the moving truck!

MOVING

Discard unnecessary items Moving is a great time for ridding yourself of unnecessary items. Have a yard sale or donate unnecessary items to charity.

Contact insurance companies. (Life, Health, Fire, Auto) You’ll need to contact your insurance agent to cancel/transfer your insurance policy. Do not cancel your insurance policy until you have and closed escrow on the sale.

Prepare Floor Plan. Prepare floor plan for your new home. This will help avoid confusion for you and your movers.

Your Notes:

AZ Sellers Guide | 19

AZ Sellers Guide | 20

Your Notes:

AZ Sellers Guide | 21

Your Notes:

2 GOODYEAR

14648480.948.6488NScottsdale Rd., Ste. #100 Scottsdale, AZ 85254

SW Corner Chandler Blvd./ Dobson Rd.

1 4 3 2 6 12 10 5 8 7 11 9 CRISMON BUTTESIGNAL GOLDFIELD OLDWESTHWY SKINGSRANCH 14 17 15 13 16 ArizonaCentral First American Title Branch Locator

4 THE LEGENDS

7 TATUM RIDGE 480.515 4369 11211 N Tatum Blvd, #A150 Phoenix, AZ 85028

S of Bell/E side of 83rd Ave

W of Scottsdale Road, S side of Greenway

16 RED MOUNTAIN 1135480.534.3599N.Recker Rd., #103 Mesa, AZ 85205

17 GOLD CANYON 6877480.288.0883SouthKings Ranch Rd., #5 Gold Canyon, AZ 85118 E of South60/Side Kings Ranch Rd.

N of Meeker Blvd

1626623.936.8001N.Litchfield Rd. Ste. #170 Goodyear, AZ 85395

NE corner Daisy Mtn Dr/ Gavilan Peak Pkwy

W of R.H. Johnson

8 CAREFREE 7202480.575.6609E.Carefree Dr , Bldg 1, #1 Carefree, AZ 85377

N of Baseline / W of Stapley

6 BILTMORE 3200602.954.3644ECamelback Rd., #123 Phoenix, AZ 85018

AZ Sellers Guide | 22

12 AHWATUKEE 4435480.753.4424E.Chandler Blvd , #100 Phoenix, AZ 85048

SW corner Chandler/45th St.

13 CHANDLER PORTICO 2121480.777.0051W.Chandler Blvd., #215 Chandler, AZ 85224

15 MESA 1630480.401.3738S.Stapley Dr., #123 Mesa, AZ 85204

NE Corner of Camelback/32nd Street

16165623.487.0404N.83rd Ave , #100 Peoria, AZ 85382

1 SUN CITY WES T

NW corner of McDowell & Litchfield

Sun City West, AZ 85375

3 ARROWHEAD

10 SCOTTSDALE FORUM 6263480.551.0480N.Scottsdale Rd., #110 Scottsdale, AZ 85250

E Side Scottsdale/S of Lincoln

SE corner of Pima/Legacy

NW corner of Williams Field Rd./ Val Vista Rd.

13940623.299.3644W.Meeker Blvd., #119

E side 67th Ave/N of 101

11 DC CROSSING 18291480.563.9034N.Pima Rd , #145 Scottsdale, AZ 85255

20241623.537.1608N.67th Ave , #A-2 Glendale, AZ 85308

5 ANTHEM 39508623.551.3265N.Daisy Mountain Dr., #128 Anthem, AZ 85086

14 GILBERT SAN TAN 1528480.777.0614E.Williams Field Rd., #101 Gilbert, AZ 85295

SE corner of Recker & Brown

NE corner of Tom Darlington/ Carefree Dr.

N of Shea, E side of Tatum

9 KIERLAND COMMONS

WBritten

520.229.9194 | 520.297.2576 Fax 520.229.9210 | 520.742.5866 8500 N. Oracle Rd., Ste 100 Oro Valley, AZ 85704

8 ORO VALLEY/LA CANADA 520.877.9200 | Fax 520.202.6348 11165 N. La Canada Dr., Ste. 143 Oro Valley, AZ 85737

3 CAMBRIC 520.577.8707 | Fax 520.529.5034 1840 E. River Rd., Ste. 200 Tucson, AZ 85718

ellRdS Mcgee RanchRd 80

NFrontageRd Emigh Rd

W Se ma Hwy

W VALENCIA RD

520.575.1900 | Fax 520.432.0168 6760 N. Oracle Rd., Ste. 100B Tucson, AZ 85704

WAnamax Mine Rd

Pretzer

ESsancaDr

11 RIVER 520.529.1944 | Fax 520.615.2945 1650 E. River Rd., Ste. 105 Tucson, AZ 85718

W MOORE RD

10 RITA ROAD 520.618.7790 | Fax 520.901.1720 10222 East Rita Rd., Ste. 190 Tucson, AZ 85747

12 SKYLINE 520.529.0506 | Fax 520.529.8998 2890 E. Skyline Dr., Ste. 200 Tucson, AZ 85718

dRhRiGWarcaanc Road424

SLaPalmaRd

W INA RD

AIRPORTINT'LTUCSON Rd

W es Curtis Rd

SSwanRd

W

W Bayard Rd

2 BROADWAY 520.747.1644 | Fax 520.747.1403

SLambRd

SHelvetiaRd

BNearCanyonRd

W

dSPNumptationR Cont nental Ave NTricoRd SOwlHeadGasLineRd NTricoRd

7 GREEN VALLEY 520.625.1095 | Fax 520.958.9663 190 W. Continental Rd., Ste. 226 Green Valley, AZ 85622

HearthRd

W INA RD ESN1TAV SUNR SE DR E SNYDER RD

W IRV

W

9 ORO VALLEY/ORACLE

W

Dr E

NANWAYRD

A

SNANDARIORDNANWAYRD

SHennessRd Selma Hwy Co nman Rd

1 MAIN OFFICE

4 CASA GRANDE 520.426.4600 | Fax 520.426.4699 421 E. Cottonwood Ln. Casa Grande, AZ 85122

EDesertDove

E

E SUNRISE DR E SNYDER RDNSILVERBELLRD TRSNOLDIERLE RIVER RDE PRINCE RD E SPEEDWAY BLVD SFREEMANRDE 22ND ST E 22ND ST W IRVINGTON RD SNOGALESHWY W VALENCIA RDSMISSIONRDWSPEEDWAY BLVD SOLDSPANISHTRL W NARANJA DR W TWIN PEAKS RD W PICTURE ROCKS RD W MANVILLE RD SKINNEYRD W MILE WIDE RD E SAHUARITA RD NTRICORD OSSANDARIRD SOLDNOGALESHWY GUOSHHTONRD ADCSLAANADRW HELMET PEAK RD WAJOHWY RNASNWD RDKOLBS SHOUGHTONRD W TANGERINE RD E GRANT RD SHOUGHTONRD 95 WAJOHWY E VALENCIA RD NORACLERD I-10 I-19 77 77 86 86 286 19 10 10 Corona de Tucson AdobesCasas Catalina Green Valley Picture Rocks Three Points VailSummit TanqueVerde SahuaritaTucson Saddlebrooke Marana Oro Valley Rillito SummerhavenWillow Canyon Oracle Junction Cortaro Continental Littletown 2 3758 9 10 11 13 12 6 1 SouthernArizona First American Title Branch Locator AIRPORTINT'LTUCSON Air Force FreemanRd WSilverbellRd NMtLemmon Hwy ESascoRd NF38 W Avra Val ey Rd WSCuryRdHanna Rd E Grand Va ey D W Houser Rd W Ph ps Rd E Co nman Rd NAguirreRd dRkLNucet dRWNentzNWatermanMountainRd RdAnwayN W El Tiro Rd NTricoRd W Tucke Rd W Rudas Rd W Manv e Rd SSanJoaquinRdWBopp Rd W Snyde H RddRlSMarsear W Pa k Rd W He mans RdW Hermans Rd W Guy St W Bush Rd SGaveyRd eaCNllRinconado SWimotRd SShawRd SSierritaMountainRd boRdRd W Woodru Rd ONveriedRd W Rando ph Rd W BartlettNRdLaPamaRdNTweedyRd E Randolph Rd W Kleck Rd E K eck Rd

dRhRiGWacaanc

E M gan Rd gan Rd

W Rd

E Hemlock Dr

E M

GoffRanchRd

W VALENC A RD

ed Top Rd W

NBarkervilleRd W Fort Lowe Rd dSPNumpationR E Nona Rd Ch efButteRd LovettaRd E Hanna Rd TecoloteRanchRd FlorenceRdRomeroRd Con nenta Ave BIA 30 NTricoRd SSunandGnRd SCattleTankRd E E s Rd E Hotts Rd E Nutt Rd Evalyn Rd SOwlHeadRanchRdGasLineRd PSecanRd I on Va ey RdEDeepWellRanchRd SNighSkySt SBadyPumpRdE Houser Rd E Ar ca Rd W Ea ey Rd NTrcoRd W Baya d Rd dRSSandario WillowSpringsRd EHelmwheel Ranch Rd N Dove Mounta n Blvd BIA-35 dRhRiGWarcaanc E Dese H s Rd WRagged Top Rd W Pima Mine Rd WSilverbellRdS E Edw n Rd BIA34 SGuildRd 80 NKINNEYRD SPICACHOHWYE GREENE RESERVOIR RD SSUNLANDGINRD W BATTAGLIA DR AZ-84 E BAUMGARTNER RD SSUNSHINEBLVD SNANDARIORDNANWAYRD E HARMON RD W VALENCIA RD E RODEO RD W MOORE RD W INA RD ESN1TAV E SUNRISE DR E SNYDER RDNSILVERBELLRD TRSNOLDIERLE RIVER RDE PRINCE RD E SPEEDWAY BLVD SFREEMANRDE 22ND ST E 22ND ST W IRV NGTON RD SNOGALESHWY W VALENC A RDSMISSIONRDWSPEEDWAY BLVD SOLDSPANISHTRL W NARANJA DR W TW N PEAKS RD W P CTURE ROCKS RD W MANVILLE RD SKINNEYRD W MILE WIDE RD E SAHUAR TA RD W HARMON RD W MCCARTNEY RD NTRICORD OSSANDARRD PARK LINK DR GUOSHHTONRD ADDR E MART N RD STHORNTONRD W HELMET PEAK RD SCHUICHURD WAJOHWY RNASNWD RDKOLBS SHOUGHTONRD W TANGER NE RD E GRANT RD SHOUGHTONRD NPINALAVE 95 WAJOHWY E VALENCIA RD NORACLERD I10 I-19 I8 77 77 79 77 77 87 86 86 387 287 86 10 19 8 10 10 10 La Palma Chuichu Arizona City Corona de Tucson AdobesCasas Catalina OracleDudleyvilleGrandeCasa Picture Rocks Three Points VailSummit TanqueVerde Eloy SahuaritaTucson Cactus Forest Picacho Red Rock Saddlebrooke Marana Oro Valley HaivanaNakya Rillito SummerhavenWillow Canyon Randolph Toltec Oracle Junction Cortaro Schuchk Littletown 2 4 385 9 10 11 13 12 6 1 AIRPORTINT'LTUCSON Air Force WSilverbellRd SSantaRitaRd NMtLemmon Hwy W Avra Valley Rd guirreRd dRkLNucet dRWNenzNWatermanMountainRd RdAnwayN W El Tiro Rd NTricoRd W Tucke Rd W Rudas Rd W Manv e Rd SSanJoaquinRdWBopp Rd W Snyder H RddRlSMarsear W Park Rd W Hermans RdW He mans Rd W Guy St W Bush Rd SGarveyRd eaCNlRnconado SWmoRd SShawRd SSierritaMountainRd SKobRdW TwinButtes Rd W Mcgee Ranch Rd BNearCanyonRdW E Cam no De Cerro E Fairmount St SSwanRd NFrontageRd W Emigh Rd W Fort Lowel Rd dSPNumptationR NNTricoRdTcoRd W Baya d Rd dRSSandaro N Dove Mountain Blvd SHelvetiaRd

E

13 TANQUE VERDE 520.202.2626 | Fax 520.495.6151 7479 E. Tanque Verde Tucson, AZ 85715

520.885.1600 | Fax 520.885.2309 6390 E. Tanque Verde Rd. Tucson, AZ 85715

Top Rd W

NKINNEYRD

W E Cam no De Cerro Fairmount St

Air Force WSilverbellRd SSantaRitaRd NMtLemmon Hwy ESascoRd W Avra Valley Rd E G and Va ey DrNAguirreRd dRkLNucet dRWNentzNWatermanMountainRd RdAnwayN W El Tiro Rd NTricoRd W Tucke Rd W Rudasi Rd W Manv l e Rd SSanJoaquinRdWBopp Rd W Snyder H RddRSMarstear W Park Rd W Hermans RdW He mans Rd W Guy St W Bush Rd SGarveyRd eaCNlRinconado SWimotRd SShawRd SSierritaMountainRd SKobRdW Tw nButtes Rd W Mcgee Ranch Rd ESstanca BNearCanyonRdW E Cam no De Cerro E Fairmount St SSwanRd NFrontageRd W Emigh Rd W Fort Lowe

dRSSandaro N Dove Mountain Blvd

S

SNANDARIORD

S

3777 E. Broadway Blvd., Ste. 220 Tucson, AZ 85716

NKINNEYRD

E

NSILVERBELLRD E RIVER RDE PRINCE RD

TRSNOLDIERL

6 FOOTHILLS 520.299.4606 | Fax 520.577.6993 6262 N Swan Road, Suite 205 Tucson, AZ 85718

5 CASAS ADOBES

WRagged Ruby S a Dr RanchRd Pima Mine Rd

E SPEEDWAY BLVD SFREEMANRDE 22ND ST E 22ND ST

E Edw n Rd

STrekellRd

WAnamax M ne Rd Road424 Ruby S ar D WBritten RanchRd Pima Mine Rd Mcgee RanchRd 80

NGTON RD SNOGALESHWY W VALENCIA RDSMISSIONRDWSPEEDWAY BLVD SOLDSPANISHTRL W NARANJA DR W TW N PEAKS RD W P CTURE ROCKS RD W MANVILLE RD SKINNEYRD W MILE WIDE RD E SAHUARITA RD NTRICORD OSSANDARIRD SOLDNOGALESHWY GUOSHHTONRD ADCSLAANADRW HELMET PEAK RD WAJOHWY RNASNWD RDKOLBS SHOUGHTONRD W TANGERINE RD E GRANT RD SHOUGHTONRD 95 WAJOHWY E VALENCIA RD NORACLERD I-19 77 77 86 86 286 19 10 10 Corona de Tucson AdobesCasas Catalina Green Valley Picture Rocks Three Points VailSummit TanqueVerde SahuaritaTucson Marana Oro Valley Rillito SummerhavenWillow Canyon Cortaro Continental Littletown 2 3758 9 10 11 13 12 6 1 AZ Sellers Guide | 23

ESN1TAV

W MOORE RD

05110280522

For more information please contact your First American representative. www.firstam.com

First American Title Insurance Company, and the operating divisions thereof, make no express or implied warranty respecting the information presented and assume no responsibility for errors or omissions. First American, the eagle logo, First American Title, and firstam.com are registered trademarks or trademarks of First American Financial Corporation and/or its affiliates.

©2022 First American Financial Corporation and/or its affiliates. All rights reserved. NYSE: FAF

Turn static files into dynamic content formats.

Create a flipbook
Issuu converts static files into: digital portfolios, online yearbooks, online catalogs, digital photo albums and more. Sign up and create your flipbook.