14245 S Overfield Rd, Arizona City, AZ 85123

Page 1

The Internet Crime Complaint Center @ www.ic3.gov

The Federal Bureau of Investigation @ https://www.fbi.gov/scams and safety

• Never direct, accept or allow anyone in the transaction to consent to receiving transfer instructions without a direct personal telephone call to the individual allegedly providing the instructions.

DO NOT TRUST EMAILS CONTAINING WIRE INSTRUCTIONS

DO NOT TRUST EMAILS SEEKING PERSONAL/FINANCIAL INFORMATION

• If you receive an email containing wire transfer instructions, immediately call your escrow officer to ensure the validity of the instructions.

On Guard Online @ www.onguardonline.gov

PROTECT YOURSELF VERIFY AND NOTIFY

• If you receive an email requesting personal/financial information or asking you to download, click on a link, send, and/or do anything that may seem unusual to you, call your escrow officer immediately prior to acting on the suspicious email to verify the validity of the email.

There are many online sources that can provide useful information regarding similar topics including, but not limited to, the following sites:

Criminals are targeting social media and email to steal information. This is particularly common in real estate transactions because sensitive data, including social security numbers, bank account numbers, and wire instructions are often sent by electronic means. We do not want you to be the next victim of wire fraud. Money wired to a fraudulent account is stolen money that typically cannot be recovered. Additionally, there is generally no insurance for this loss. You may never get the money back.

Immediately notify your banking institution and Settlement/Title Company if you are a victim of wire fraud.

ONLINE RESOURCES:

TRUST YOUR SOURCE OF INFORMATION

WIRE FRAUD ADVISORY

• It is imperative that this call be made to a number obtained in person from the individual or through other reliable means, not from a number provided in the email or the wiring instructions

The undersigned acknowledges receipt of this Wire Fraud Advisory.

Client Date Client Date

Before you wire funds to any party (including your lawyer, title agent, mortgage broker, or real estate agent) personally meet them or call a verified telephone number (not the telephone number in the email) to confirm before you act!

The National White Collar Crime Center @ http://www.nw3c.org/research

This report is not an insured product or service or a representation of the condition of title to real property. It is not an abst ract, legal opinion, opinion of title, title insurance commitment or preliminary report, or any form of Title Insurance or Guaranty. This report is issued exclusively for the benefit of the Applicant therefor and may not be used or relied upon by any other person. This report may not be reproduced in any manner without First American or Title Security's prior written consent. First American or Title Security does not represent or warrant that the information herein is complete or free from error, and the information herein is provided without any warranties of any kind, as-is, and with all faults. As a material part of the consideration given in exchange for the issuance of this report, recipient agrees that First American or Title Security's sole liability for any loss or damage caused by an error or omission due to inaccurate information or negligence in preparing this report shall be limited to the fee charged for the report. Recipient accepts this report with this limitation and agrees that First American or Title Security would not have issued this report but for the limitation of liability described above. First American or Title Security makes no representation or warranty as to the legality or propriety of recipient's use of the information herein.

IMPORTANT -- PLEASE READ CAREFULLY:

LIMITATION OF LIABILITY FOR INFORMATIONAL REPORTS

Co © 2022 CoreLogic. All rights reserved

Subject Property 14245 S Overfield Rd Arizona City AZ APN:85123408-04-050B

Data Provided By: Title Ins

First American

Data Provided By: First American Title Ins Co

© 2022 CoreLogic. All rights reserved

The information contained in the REiSource report is delivered from your Title Company, who reminds you that you have the right as a consumer to compare fees and serviced levels for Title, Escrow, and all other services associated with property ownership, and to select providers accordingly. Your home is the largest investment you will make in your lifetime and you should demand the very best.

This REiSource report is provided "as is" without warranty of any kind, either express or implied, including without limitations any warrantees of merchantability or fitness for a particular purpose. There is no representation of warranty that this information is complete or free from error, and the provider does not assume, and expressly disclaims, any liability to any person or entity for loss or damage caused by errors or omissions in this REiSource report without a title insurance policy.

Disclaimer

Zoning : GENERAL RURAL ZONE Lot Size : 54,450

Subdivision : Arizona City 09a

Recording/Sale Date : 04/16/2020 / 03/30/2020

Owner Name : Sherwood Dale C / Sherwood Deena M Mailing Address : Po Box 3969, Arizona City AZ 85123-2547 B042

Census Tract / Block : 21.06 / 1

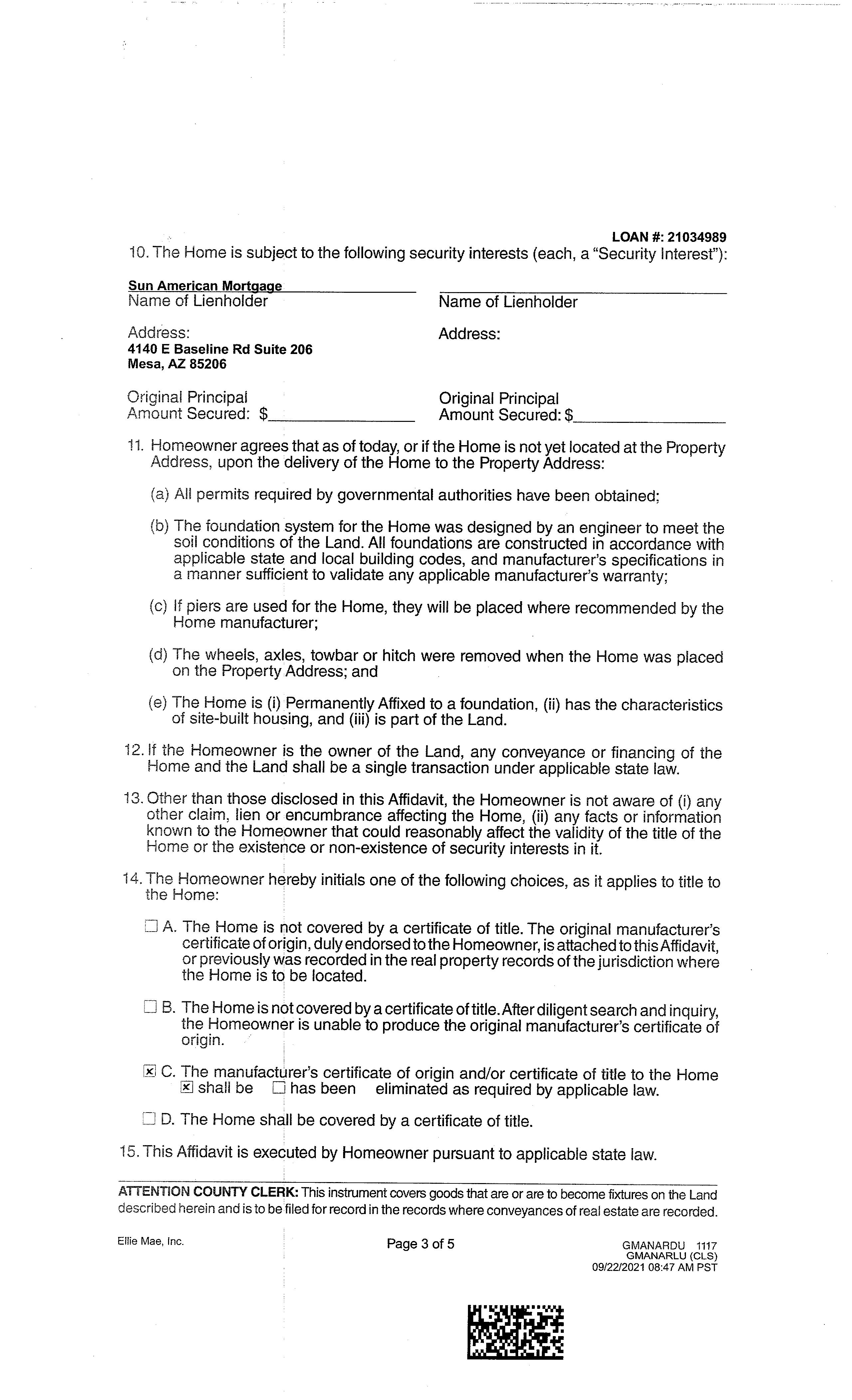
1st Mtg Document # : 36007

Land Use : HomeManufactured Lot Acres : 1.25

Seller Name : Courtright C & P Jr F/tr

Property Information

1st Mtg Amount/Type : $149,148 / Fha

Customer Company Name : First American Prepared On : 09/14/2022

Map Reference : 0508S07E

Year Built / Eff : 1998

© 2022 CoreLogic. All rights reserved

Subject Property :   14245 S Overfield Rd Arizona City AZ 85123

APN : 408-04-050B

Prior Rec/Sale Date : 03/13/2019 / 03/08/2019

Owner Information

Prior Sale Information

Title Company : Title Sec Agcy Llc

Township-Range- Sect : 08S-07E-05

State Use : Mh Subd Lotaffixed Mf Home

Legal Description : Arizona City Ests S-167.48' Of Lt 49

Above Grade : 2052 Construction : Steel/wood

Document # : 36006

Lender : Sun American Mtg

Customer Name : Jeremiah Stiffler

Prior Doc Number : 17538

Gross Area : 2,052

Exterior wall : Hardboard

Prior Deed Type : Warranty Deed Property Characteristics

Living Area : 2,052 # of Stories : 2 Quality : Average

1st Mtg Term : 30

County : Pinal, Az

Prior Sale Price : $126,500

Deed Type : Warranty Deed Price Per SqFt : $74.03

Last Market Sale Information

Sale Price : $151,900

Legal Lot : 49

Location Information

ImprovementValue : $50,969

Tax Rate Area : 2244

Total TaxableValue : $3,834

Current YearValue :Land $544

Customer Name : Jeremiah Stiffler

Total Value : $56,405

Tax Year : 2021

Property Tax : $408.52

Current ImprovementYearValue : $4,990

Current AssessedYear : 2023

© 2022 CoreLogic. All rights reserved

Tax Information

Assessed Year : 2021 Market Value : $56,405

Land Value : $5,436

Customer Company Name : First American Prepared On : 09/14/2022

Current YearValue :Total $5,534

Improve % : 90%

Distressed Sales =

Distance From Subject 0 0.43 2.53 1.46

1 14806 S Remuda Dr 300,000 114,861 09/30/2021 1,820 44,431 1999 0.43

Subject Property Low High Average

2

Sales Analysis

ZONERURALGENERAL

Customer Name : Jeremiah Stiffler Company Name : First American Prepared On : 09/14/2022

Customer

S 14245 S Overfield Rd 151,900 56,405 04/16/2020 2,052 54,450 1998

3 8301 W Milligan Rd 260,000 44,520 02/25/2022 2,334 44,108 1996 1.2 10440 EquestrianW Dr 339,000 46,887 03/15/2022 2,280 144,184 2004 2.5 11427 StagecoachW Rd 290,000 62,582 08/17/2022 2,052 7,841 2001 2.53

4

5

© 2022 CoreLogic. All rights reserved

Price Per Square Foot $74.03 $59 $165 $125.11

StoriesBathroomsBedrooms 2 2 2

2 14917 S Vaquero Cir 115,250 83,415 07/06/2022 1,944 52,272 1998 0.61

Sale Price $151,900 $115,250 $339,000 $260,850

Summary

Criteria

Year Built 1998 1996 2004 2000 Lot Size 54,450 7,841 144,184 58,567

Bldg/Living Area 2052 1820 2334 2086

of Comparables # Address Sale Price TotalValueAssessed Sale Date Bed Bath Living Area Lot Size YearBuilt (Miles)Dist Zoning

Total Assessed Value $56,405 $44,520 $114,861 $70,453

Customer Name : Jeremiah Stiffler

Customer Company Name : First American Prepared On : 09/14/2022

Map

© 2022 CoreLogic. All rights reserved

Customer Name : Jeremiah Stiffler

Subject Property :   14245 S Overfield Rd Arizona City AZ 85123

© 2022 CoreLogic. All rights reserved

Customer Company Name : First American Prepared On : 09/14/2022

© 2022 CoreLogic. All rights reserved

Customer Company Name : First American Prepared On : 09/14/2022

Customer Name : Jeremiah Stiffler

SchoolsArizona For detailed information and statistics on Arizona schools please go ©2021FirstFirsthttps://azreportcards.azed.gov/toAmericanTitleInsuranceCompany,andtheoperatingdivisionsthereof,makenoexpressorimpliedwarrantyrespectingtheinformationpresentedandassumenoresponsibilityforerrorsoromissions.American,theeaglelogo,FirstAmericanTitle,andfirstam.comareregisteredtrademarksortrademarksofFirstAmericanFinancialCorporationand/oritsaffiliates.FirstAmericanFinancialCorporationand/oritsaffiliates.Allrightsreserved.NYSE:FAF05117910421

11

First American Title Insurance Company, and the operating divisions thereof, make no express or implied warranty respecting the information presented and assume no responsibility for errors or omissions. First American, the eagle logo, First American Title, and firstam.com are registered trademarks or trademarks of First American Financial Corporation and/or its affiliates. ©2021 First American Financial Corporation and/or its affiliates. All rights reserved. NYSE: FAF

350

WAnamax Mine Rd dRhRiGWacaanc Road424 WRagged Top Rd W Ruby Star Dr WBritten RanchRd W Pima Mine Rd S Mcgee RanchRd E Edw n Rd SGuildRd 80 NKINNEYRD SPICACHOHWYE BAUMGARTNER RD SNANDARIORDNANWAYRD W VALENCIA RD W MOORE RD W INA RD ESN1TAV E SUNRISE DR E SNYDER RDNSILVERBELLRD TRSNOLDIERLE RIVER RDE PRINCE RD E SPEEDWAY BLVD SFREEMANRDE 22ND ST E 22ND ST W IRVINGTON RD SNOGALESHWY W VALENCIA RDSMISSIONRDWSPEEDWAY BLVD SOLDSPANISHTRL W NARANJA DR W TWIN PEAKS RD W PICTURE ROCKS RD W MANVILLE RD SKINNEYRD W MILE WIDE RD E SAHUARITA RD NTRICORD OSSANDARRD PARK LINK DR SOLDNOGALESHWY GUOSHHTONRD ADCSLAANADRW HELMET PEAK RD WAJOHWY RNASNWD RDKOLBS SHOUGHTONRD W TANGERINE RD E GRANT RD SHOUGHTONRD 95 WAJOHWY E VALENCIA RD NORACLERD I-10 I-19 77 77 77 86 86 286 10 19 10 10 Corona de Tucson AdobesCasas Catalina Green Valley Oracle Picture Rocks Three Points VailSummit TanqueVerde SahuaritaTucson Red Rock Saddlebrooke Marana Oro Valley Rillito SummerhavenWillow Canyon Oracle Junction Cortaro Continental Littletown 20 30 13 15 51 39 12 01 01 08 10 16 11 06 PIMA COUNTY School District Information This map is provided for general location only. Please contact school districts for actual street boundaries SCHOOL DISTRICTS 15 AJO

01

06

UNIFIED 2101

10 AMPHITHEATER UNIFIED 701

05249570321 AIRPORTINT'LTUCSON Air Force WSilverbellRd SSantaRitaRd NMtLemmon Hwy ESascoRd NF38 W Avra Valley Rd E Grand Va ey DrNAguirreRd dRkLNuce dRWNentzNWatermanMountainRd RdAnwayN W El Tiro Rd NTricoRd W Tucker Rd W Rudas l Rd W Manvi e Rd SSanJoaquinRdWBopp Rd W Snyder H l RddRSMarsear W Park Rd W Hermans RdW Hermans Rd W Guy St W Bush Rd SGaveyRd eaCNRinconado SWmoRd SShawRd SSierritaMountainRd SKobRdW TwinButtes Rd W Mcgee Ranch Rd ESstancaDr

51 ALTAR

12

13

30

EDesertDove

20

16 CATALINA

SHelvetiaRdUNIFIED N. Well Road, Ajo, AZ 85321 520.387.5618 VALLEY S. Sasabe Road, Tucson, AZ 85736 520.822.1484 W. Wetmore, Tucson, AZ 85705 520.696.5000 FOOTHILS E. River Road, Tucson, AZ 85718 520.209.7500 CONTINENTAL ELEMENTARY 1991 E. Whitehouse Canyon, Green Valley, AZ 85614 520.625.4581 FLOWING WELLS UNIFIED 1556 W. Prince Road, Tucson, AZ 85705 520.696.8800 MARANA UNIFIED 11279 W. Grier Road, Marana, AZ 85653 520.682.3243 PIMA COUNTY JTED 2855 W. Master Pieces Dr, Tucson, AZ 85741 520.352.5833 SAHUARITA UNIFIED W. Sahuarita Road, Sahuarita, AZ 85629 520.625.3502 SUNNYSIDE UNIFIED 2238 E. Ginter Road, Tucson, AZ 85706 520.545.2000

TANQUE VERDE UNIFIED 2300 N. Tanque Verde Loop, Tucson, AZ 85749 520.749.5751 TUCSON UNIFIED 1010 E. 10th Street, Tucson, AZ 85717 520.225.6000 VAIL UNIFIED 10701 E. Mary Ann Cleveland Way, Tucson, AZ 85747 520.879.2000

111

08

ELEMENTARY 10105

39

E Hemlock Dr BNearCanyonRdW E Camino Del Cerro E Fairmount St SSwanRd NFrontageRd W Emigh Rd W Fort Lowe Rd dSPNumptationR E Nona Rd Ch efButteRd Lo al Ave NTricoRd SCattleTankRd Evalyn Rd SOwlHeadRanchRdGasLineRd PSecanRd NTrcoRd W Bayard Rd dRSSandaro WillowSpringsRd N Dove Mountain Blvd

Customer Name : Jeremiah Stiffler

© 2022 CoreLogic. All rights reserved

School District : Toltec School District (4450)

High Schools

Villa Oasis Interscholastic Center For Education (voice)

Customer Company Name : First American Prepared On : 09/14/2022

Distance 3.32 Miles 3740 N Toltec Rd Eloy AZ Telephone :85131(520) 450-4500

Elementary Schools

Lowest Grade : 9th Highest Grade : 12th School Enrollment : Enrollment : 89

Total Expenditure/Student : 1

Distance 2.58 Miles 12115 W Benito Dr Arizona City AZ 85123 Telephone : (520) 466-2450

Lowest Grade : Pre-K Highest Grade : 8th Kindergarten : Yes School Enrollment : Enrollment : 666

Arizona City Elementary School

Public Schools :

School District : Mary C AccommodationO'brien District (4435)

Total Expenditure/Student : 340 Advanced Placement : No

Ohm Shivam Hospitality, L.l.c. 3945 W Houser Rd Eloy Az (520) 466-7804 2.84

Customer Name : Jeremiah Stiffler

Name Address Telephone Distance (Miles)

Taco Bell 2949 N Toltec Rd Eloy Az (520) 466-7363 2.56

Name Address Telephone Distance (Miles)

Arizona City Health Associates Inc 13060 S Sunland Gin Rd Arizona City Az (520) 466-5774 1.24

Eloy Hospitality Inc 5540 N Sunland Gin Rd Eloy Az (520) 836-5000 4.03

Local

All Seasons Guides And Outfitters, Llc 8673 W Teresita Dr Arizona City Az (313) 350-6554 1.11

Travelodge Casa Grande 5540 N Sunland Gin Rd Eloy Az (520) 836-5000 4.03

AttractionsBusiness/Recreation

Health Care Services

Park Place Hacienda De Deserto 13626 S Del Rio Rd Arizona City Az (520) 466-8850 1.51

Name Address Telephone Distance (Miles)

Quail Run Rv Park Inc 14010 S Amado Blvd Arizona City Az (520) 466-6000 1.64

Eating / Drinking

Eva's Mexican Food Restaurant 7087 S Sunland Gin Rd Casa Grande Az (520) 836-7944 1.67

Integrity Medical Waste, Inc. "" Arizona City Az (619) 787-2221 1.36

Arizona City Family Chiropractic 13350 S Sunland Gin Rd Arizona City Az (520) 494-1000 1.14

Customer Company Name : First American Prepared On : 09/14/2022

© 2022 CoreLogic. All rights reserved

Bob Smith 5310 S Sunland Gin Rd Casa Grande Az (520) 421-0820 1.67

Name Address Telephone Distance (Miles)

Severin's Skydiving Service Llc 9846 W Camelia Dr Arizona City Az (724) 875-3433 1.22

Nikhklanth Corporation 5300 S Sunland Gin Rd Casa Grande Az (520) 426-9240 1.67

Ok Bo Bo Inc 9674 W Monaco Blvd Arizona City Az (520) 466-9239 1.27

Las Colinas Rv Park 7136 S Sunland Gin Rd Casa Grande Az (520) 836-5050 1.67

Hospitality

Organizations / Associations

Arizona City Evangelical Methodist Church 14350 S Overfield Rd Arizona City Az (520) 705-8220 0.12

Name Address Telephone Distance (Miles)

Name Address Telephone Distance (Miles)

Mia's Ok Market 9674 W Monaco Blvd Arizona City Az (520) 466-9239 1.27

Healing Spirit Massage & Spa Llc 10241 W Carousel Dr Arizona City Az (520) 705-9477 1.48

Good 2 Go Stores Llc 3160 N Toltec Rd Eloy Az (520) 466-1313 2.87

Name Address Telephone Distance (Miles)

Circle K Stores Inc. 3125 N Toltec Rd Eloy Az (520) 466-7361 2.95

Customer Name : Jeremiah Stiffler

Customer Company Name : First American Prepared On : 09/14/2022

Golden Harvest Community Church 13060 S Sunland Gin Rd Arizona City Az (602) 361-4342 1.24

© 2022 CoreLogic. All rights reserved

Freedom Church 13060 S Sunland Gin Rd Arizona City Az (520) 494-8292 1.24

Shopping

Personal Services

Central Lutheran Church 12921 S Sunland Gin Rd Arizona City Az (520) 466-5024 1.3

Family Dollar Stores, Inc. 3803 W Shira St Eloy Az (520) 509-4067 3.66

Total Value : $5,000

Property Tax : $100.70

Distance 0.04 Miles

Recording Date : 12/17/1990

14275 S OVERFIELD RD

Yr Blt / Eff Yr Blt : 1989 / APN : 408-04-050C

14310 S CIENEGA LN

Lot Acres : 0.20

Total Value : $5,000

Subdivision : Arizona City 02b

Property Tax : $105.16

APN : 406-05-202

Land Use : Mobile Home APN : 408-04-065A

Property Tax : $1,479.70

Land Use : Mobile Home Lot Acres : 2.17

Subdivision : Arizona 10

Customer Company Name : First American Prepared On : 09/14/2022

Sale Date : 12/17/1990

Sale Date : 09/29/2015

Owner Name : Oursland David Alan

Distance 0.04 Miles

Owner Name : Larios Steve

Owner Name : Arizona City Evangelical Metho

Land Use : Residential (nec) Lot Acres : 0.20

14185 S OVERFIELD RD

Distance 0.06 Miles

7869 W SILVERBELL DR Distance 0.06 Miles

14240 S OVERFIELD RD Distance 0.06 Miles

Owner Name : Roberson Chris J

Sale Price  : $80,000

Owner Name : Feldmeier Brian

Subdivision : Arizona City 03

Customer Name : Jeremiah Stiffler

Total Value : $8,172 Lot Acres : 1.56

© 2022 CoreLogic. All rights reserved

Recording Date : 01/16/1997

Recording Date : 01/06/2006

Total Value : $168,270

Land Use : Religious APN : 406-05-204

APN : 408-04-051D

Property Tax : $144.64

Sale Price  : $41,400

Sale Date : 12/16/2005

Stories : 1 Living Area : 3,126

Land Use : Sfr Lot Acres : 2.18

Total Value : $11,737

Recording Date  : 10/05/2015

Subdivision : Arizona City Estates

14220 S OVERFIELD RD

Total Value : $95,848

14349 S OVERFIELD RD Distance 0.08 Miles

Recording Date : 07/08/1998

Land Use : Mobile Home Lot Acres : 1.25 Subdivision : Arizona 10

Stories : 1

Recording Date : 10/27/2005

Total Value : $8,172 Property Tax : $100.70

Sale Price  : $19,900

Land Use : Residential (nec) Lot Acres : 0.21 Subdivision : Arizona City 03

Total Value : $5,000 Property Tax : $105.16

14198 S OVERFIELD RD

Sale Date : 07/00/2005

Property Tax : $81.28

Recording Date : 07/06/2007

Owner Name : Petersen Julie Kristine

Sale Price  : $19,215

Sale Date : 05/00/1999

Owner Name : Poulos William J

Sale Price  : $148,000

Owner Name : Garcia Rafael G

Sale Price  : $57,000

Total Value : $6,598

Owner Name : Smith Scott

Owner Name : Roberson Chris J

Distance 0.07 Miles

APN : 408-04-051E

Land Use : Mobile Home Lot Acres : 1.56 Subdivision : Arizona 10 APN : 408-04-065B

Recording Date : 05/01/2013

14176 S OVERFIELD RD Distance 0.08 Miles

Property Tax : $656.20

APN : 406-05-201

Yr Blt / Eff Yr Blt : 1986 / APN : 406-05-199 Subdivision  : Arizona City 02

Recording Date : 06/07/1999

Land Use : Sfr Lot Acres : 0.22

Living Area : 1,809

7821 E SILVERBELL DR Distance 0.08 Miles

Land Use : Residential (nec) Lot Acres : 0.21 Subdivision : Arizona City 02b APN : 406-05-200

Customer Name : Jeremiah Stiffler

Sale Date : 02/28/2007

Distance 0.07 Miles

Customer Company Name : First American Prepared On : 09/14/2022

Sale Date : 04/25/2013

Total Value : $5,000 Property Tax : $105.16

© 2022 CoreLogic. All rights reserved

No demographics data for selected property.

Customer Company Name : First American Prepared On : 09/14/2022

© 2022 CoreLogic. All rights reserved

Customer Name : Jeremiah Stiffler

+ FIRST AMERICAN TITLE, FC0, JSTI PINAL (PL), AZ 09/14/2022  01:53PM  R9C8  INVESTIGATIVE SEARCH RESULTS PAGE 1 OF 1

PARCEL: 408-04-050B 2

2021  TAX AMT DATE PAID TOTAL DUE FIRST HALF  204.26  0.00  0.00  10/29/2021  0.00  SECOND HALF  204.26  0.00  0.00  04/29/2022  0.00

IMPR EXEMPT

MOBILE HOME  BLDG SQFT  2,052 FULL CASH VALUE  56,405 YEAR BUILT  1998 LAND USE  08 29 NUMBER OF STORIES  2.0 LOT SIZE  1.260 ACRES STORIES HEIGHT  0 SCHOOL DISTRICT  2244 EXTERIOR WALLS  OTHER LAND FULL CASH VALUE  5,436 GRADE MATERIALS IMPR FULL CASH VALUE  50,969 SALES SALE DATE SALE AMOUNT INSTRUMENT TYPE SELLER NAME VALIDITY 04/16/2020 151,900    2020 36006 WD COURTRIGHT JR CARL A & COU 03/13/2019 126,500    2019 17538 WD ROJAS XAVIER M & SANDRA L 12/05/2008 103,179    2008 115882 D DIAZ LUIS F 01/17/2007 110,000    2007 7576 JD ROJAS XAVIER M/SANDRA L 08/18/1995 30,860    1995 25720 JD TRANSAMERICA FINANCIAL COR ADDITIONAL PROPERTY INFORMATION STANDARD LAND USE: MOBILE HOME LOT END SEARCH

LEGAL: ARIZONA CITY ESTS S-167.48' OF LT 49

IMPROVEMENTS

INFORMATION THROUGH 08/12/2022 LAND RATE AREA SPECIAL DISTRICTS PRIMARY  3,834  0  0  10.3629  2244  11900 14613 14900 15625 24001  SECONDARY  544  5,097  0  1.9650   30002

SEARCH PARAMETERS

OWNER: SHERWOOD DALE C & DEENA M

TAX DUE INTEREST

AFFIDAVIT    2020 36006 04/16/2020  SITUS: 14245 S OVERFIELD RD ARIZONA CITY  MAIL: 1392 E 11TH ST  CASA GRANDE AZ 85122

2021 TOTAL TAX BILLED 408.52

TOTAL CURRENT TAXES DUE 09/22 0.00 10/22 0.00

INSTRUMENT REC DATE

CURRENT TAXES

PARCEL:  408-04-050B

PINAL (PL), AZ Document:AFF AFX 2013.74921 Page:1 of 2 Printed on:9/14/2022 2:01 PM Branch :FC0 User :JSTI

PINAL (PL), AZ Document:AFF AFX 2013.74921 Page:2 of 2 Printed on:9/14/2022 2:01 PM Branch :FC0 User :JSTI

PINAL (PL), AZ Document:DED WAR 2020.36006 Page:1 of 4 Printed on:9/14/2022 2:01 PM Branch :FC0 User :JSTI

PINAL (PL), AZ Document:DED WAR 2020.36006 Page:2 of 4 Printed on:9/14/2022 2:01 PM Branch :FC0 User :JSTI

PINAL (PL), AZ Document:DED WAR 2020.36006 Page:3 of 4 Printed on:9/14/2022 2:01 PM Branch :FC0 User :JSTI

PINAL (PL), AZ Document:DED WAR 2020.36006 Page:4 of 4 Printed on:9/14/2022 2:01 PM Branch :FC0 User :JSTI

PINAL (PL), AZ Document:DOT 2021.123333 Page:1 of 17 Printed on:9/14/2022 2:01 PM Branch :FC0 User :JSTI

PINAL (PL), AZ Document:DOT 2021.123333 Page:2 of 17 Printed on:9/14/2022 2:01 PM Branch :FC0 User :JSTI

PINAL (PL), AZ Document:DOT 2021.123333 Page:3 of 17 Printed on:9/14/2022 2:01 PM Branch :FC0 User :JSTI

PINAL (PL), AZ Document:DOT 2021.123333 Page:4 of 17 Printed on:9/14/2022 2:01 PM Branch :FC0 User :JSTI

PINAL (PL), AZ Document:DOT 2021.123333 Page:5 of 17 Printed on:9/14/2022 2:01 PM Branch :FC0 User :JSTI

PINAL (PL), AZ Document:DOT 2021.123333 Page:6 of 17 Printed on:9/14/2022 2:01 PM Branch :FC0 User :JSTI

PINAL (PL), AZ Document:DOT 2021.123333 Page:7 of 17 Printed on:9/14/2022 2:01 PM Branch :FC0 User :JSTI

PINAL (PL), AZ Document:DOT 2021.123333 Page:8 of 17 Printed on:9/14/2022 2:01 PM Branch :FC0 User :JSTI

PINAL (PL), AZ Document:DOT 2021.123333 Page:9 of 17 Printed on:9/14/2022 2:01 PM Branch :FC0 User :JSTI

PINAL (PL), AZ Document:DOT 2021.123333 Page:10 of 17 Printed on:9/14/2022 2:01 PM Branch :FC0 User :JSTI

PINAL (PL), AZ Document:DOT 2021.123333 Page:11 of 17 Printed on:9/14/2022 2:01 PM Branch :FC0 User :JSTI

PINAL (PL), AZ Document:DOT 2021.123333 Page:12 of 17 Printed on:9/14/2022 2:01 PM Branch :FC0 User :JSTI

PINAL (PL), AZ Document:DOT 2021.123333 Page:13 of 17 Printed on:9/14/2022 2:01 PM Branch :FC0 User :JSTI

PINAL (PL), AZ Document:DOT 2021.123333 Page:14 of 17 Printed on:9/14/2022 2:01 PM Branch :FC0 User :JSTI

PINAL (PL), AZ Document:DOT 2021.123333 Page:15 of 17 Printed on:9/14/2022 2:01 PM Branch :FC0 User :JSTI

PINAL (PL), AZ Document:DOT 2021.123333 Page:16 of 17 Printed on:9/14/2022 2:01 PM Branch :FC0 User :JSTI

PINAL (PL), AZ Document:DOT 2021.123333 Page:17 of 17 Printed on:9/14/2022 2:01 PM Branch :FC0 User :JSTI

Thank you for the opportunity to be of service.

ConditionsCovenants,&Restrictions

Restrictions indicating a preference, limitation or discrimination based on race, color, religion, sex, handicap, familial status, or national origin are hereby deleted to the extent such restrictions violate 42 USC 3604(c).

This information is furnished without fee and without benefit of a complete title search. No liability is assumed by First American Title or Title Security. If it is desired that liability be assumed, you may apply for a policy of title insurance with First American Title Insurance Company.

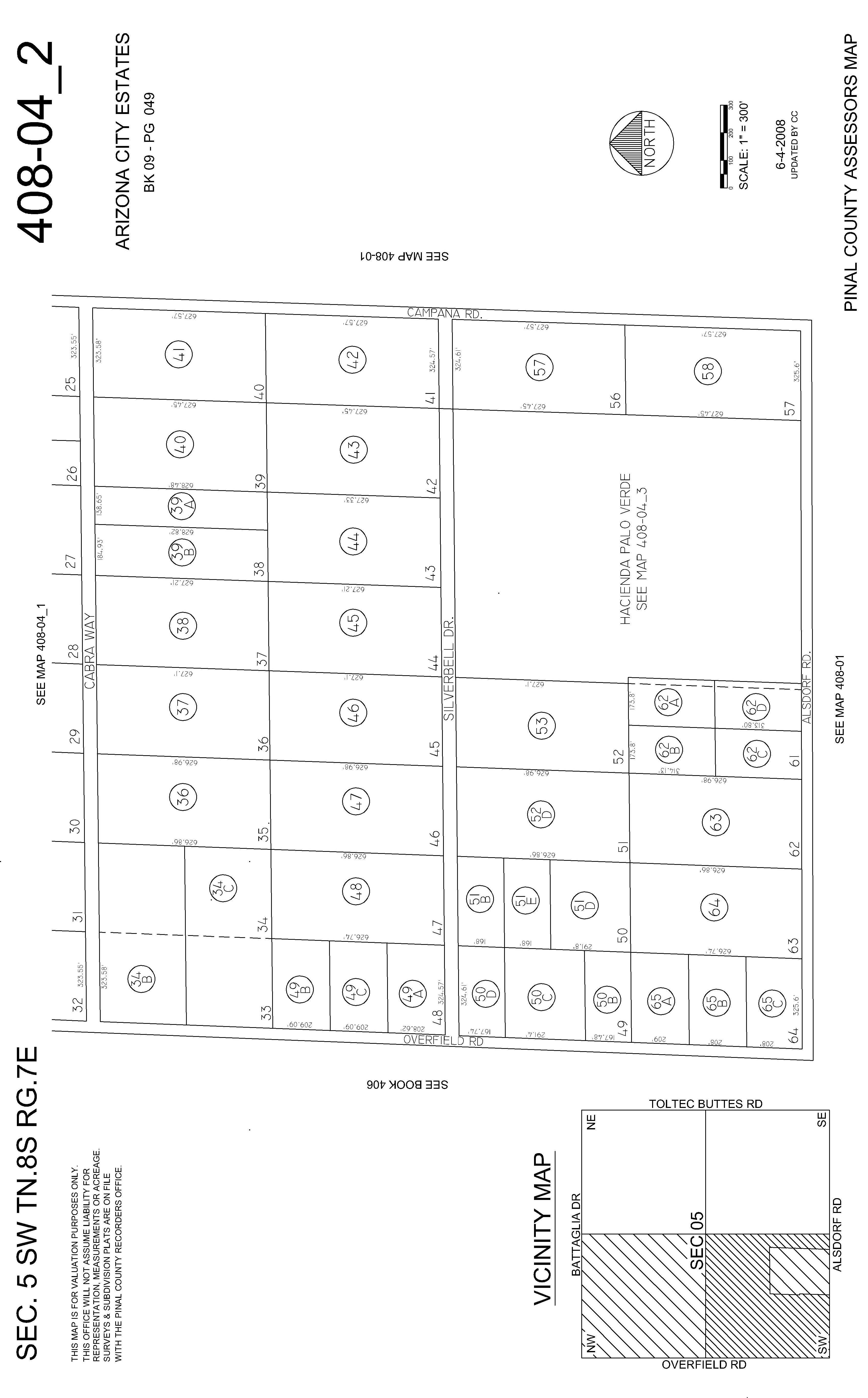
PINAL (PL), AZ Document:TRACT_MAP 9.9 Page:1 of 1 Printed on:9/14/2022 2:10 PM Branch :FC0 User :JSTI

If you have questions, or need additional information at this time, please contact your First American or Title Security Account Manager or Escrow Officer.

 The property is sectional, whereas there are no “standard” subdivision‐type restrictions

 The recorded plat may be older, with limited information available, or

 A recorded plat may not exist

Unfortunately, we are unable to confirm CC&Rs at this time, possibly because:

Once escrow is opened, the property will be thoroughly examined. CC&Rs and other matters that may “run with the land” will be disclosed in Schedule B of the Commitment for Title Insurance.

 Recorded CC&Rs may not exist.

The property is too complex to obtain CC&Rs without a complete title examination

We are providing the requested information without CC&Rs.

to the Title & Escrow Process in Arizona Home Seller’s Guide

Southwest Gas www.swgas.com1.877.860.6020 Cox www.cox.com602.277.1000 Direct TV www.directv.com1.888.777.2454 Dish Network www.dishnetwork.com1.800.823.4929 CenturyLink www.centurylink.com800.366.8201 AT&T www.att.com1.800.222.0300 Verizon www.connecttoverizon.com1.877.300.4498 Salt River Project www.srpnet.com602.236.8888 APS www.aps.com602.371.7171 Your Escrow Number Your New City/State/ZipAddress Real Estate Agent Name Email Assistant Email Company Phone Address Fax Insurance CompanyPrevious Phone Previous Agent No.Policy New Company Phone New Agent No.Policy Home CompanyWarranty No.Policy First American Title Escrow Officer Email Escrow Assistant Email Address Phone City/State/Zip Fax 02 Quick Reference 03 Welcome 04 Benefits of Using a REALTOR ® 05 Key Professionals 06 Preparing Your Home for Sale 07 Staging Your Home for Show 09 Terms You Should Know 10 The Life of an Escrow 11 Closing Costs: Who Pays What 12 The Escrow Process 14 Understanding Title Insurance 16 Consider This 17 Closing Your Escrow 18 Planning Your Move Q uick Reference Table of Contents Utilities and Services

Count On Us For Stability

Count on First American Title

First American Title has a direct office or agent near you, offering convenient locations throughout Arizona. We also have an extensive network of offices and agents throughout the United States, and internationally.

Count On Us To Meet Your Needs

First American Title is the principal subsidiary of First American Financial Corporation, and one of the largest suppliers of title insurance services in the nation. With roots dating back to 1889, we’ve served families for generations.

Count On Us For Convenience

Count On Us For Service

First American Title’s professionals are proud to provide the title insurance that assures people’s home ownership. Backed by First American Title Insurance Company, your transaction will be expertly completed in accordance with state-specific underwriting standards and state and federal regulatory requirements.

AZ Sellers Guide | 3

First American Financial Corporation offers more than title insurance and escrow services through its subsidiaries. Our subsidiaries also provide property data, title plant records and images, home warranties, property and casualty insurance, and banking, trust and advisory services.

Welcome to the home-selling process. Throughout this process, you can count on First American Title to guide you smoothly through your transaction and provide expert answers to your questions. We are happy to serve you.

- familiar enough with real estate regulations to prepare a binding sales contract? Counter-offers?

› Knows how to screen potential buyers and eliminate those who can’t qualify or are looking for bargain-basement prices.

- know how to advertise effectively and what the costs will be?

- have arrangements with an escrow and title company, home warranty company, pest-control service and lender to assist you with the transaction?

› Is experienced in creating demand for homes and how to show them to advantage.

- know how to determine your home’s current market value?

- need to hire a real estate attorney? If so, do you know what the cost will be and how much liability they will assume in the transaction?

› Understands market conditions and has access to information not available to the average homeowner.

- know how to determine whether or not a buyer can qualify for a loan?

A REALTOR ® :

› Can remain objective when presenting offers and counter-offers on your behalf.

Are you...

- concerned about having strangers walking through your home?

› Maintains errors-and-omissions insurance.

- understand the various types of loans buyers may choose and the advantages and disadvantages for the seller?

Many people believe they can save a considerable amount of money by selling their homes themselves. It may seem like a good idea at the time, but while you may be willing to take on the task, are you qualified? The following are some questions to help you realistically assess what’s involved.

› Knows how to price your home realistically, to give you the highest price possible within your time frame.

› Will listen to your needs, respect your opinions and allow you to make your own decisions.

› Is always “on-call,” answering the phone at all hours, and showing homes evenings and weekends.

› Can advertise effectively for the best results.

- have the knowledge, patience, and sales skills needed to sell your home?

- prepared to give up your evenings and weekends to show your home to potential buyers and “just-looking” time wasters?

- understand the steps of an escrow and what’s required of you and the buyer?

› Is experienced with resolving problems to facilitate a successful closing on your home.

Only you can determine whether you should attempt to sell your home—probably your largest investment—all alone. Talk with a REALTOR® before you decide. You may find working with a professional is a lot less expensive and much more beneficial than you ever imagined!

Benefits4 of using a Professional REALTOR ®

- aware of conditions in the marketplace today that affect value and length of time to sell?

› Knows how to go toe-to-toe in negotiations.

FOR SALE BY OWNER

- aware that prospective buyers and bargain hunters will expect you to lower your cost because there’s no REALTOR® involved?

AZ Sellers Guide |

Before you make the decision to try to sell your home alone, consider the benefits a REALTOR ® can provide that you may not be aware of.

- aware that every time you leave your home, you are taking it off the market until you return?

Do you...

› Can help protect your rights, particularly important with the increasingly complicated real estate laws and regulations.

Key Professionals Involved in Your Transaction

ESCROW OFFICER

A key role of the buyer’s agent or broker is to work with the buyer to locate a suitable property and negotiate a successful home purchase.

REALTOR ®

MULTIPLE LISTING SERVICE (MLS)

An escrow officer leads the facilitation of your escrow, including escrow instructions preparation, document preparation, funds disbursement, and more.

A REALTOR ® is a licensed real estate agent and a member of the National Association of REALTORS,® a real estate trade association. REALTORS ® also belong to their state and local Association of REALTORS.®

BUYER'S AGENT

LISTING AGENT

The MLS is a database of properties listed for sale by REALTORS ® who are members of the local Association of REALTORS.® Information on an MLS property is available to thousands of REALTORS ®

REAL ESTATE AGENT

These are the people who carry out the title search and examination, work with you to eliminate the title exceptions you are not willing to take subject to, and provide the policy of title insurance regarding title to the real property.

AZ Sellers Guide | 5

A key role of the listing agent or broker is to form a legal relationship with the homeowner to sell the property and place the property in the Multiple Listing Service.

A real estate agent is licensed by the state to represent parties in the transfer of property. Every REALTOR ® is a real estate agent, but not every real estate agent has the professional designation of a REALTOR.®

TITLE COMPANY

Paint or replace the mailbox, if needed.

AZ Sellers Guide | 6

Make your entry inviting: Paint your front door and buy a new front door mat.

Ensure that all exterior lights are working.

Repair or replace worn shutters and other exterior trim.

Remove any oil and rust stains from the driveway and garage.

Make sure toilet seats look new and are firmly attached.

Rearrange furniture to make rooms appear larger. If possible, remove and/or store excess furniture, and avoid extension cords in plain view.

Shampoo carpeting or replace if worn. Clean tile floors, particularly the caulking.

Repair or replace loud ventilating fans. Replace worn shower curtains.

Air conditioners/heaters, evaporative coolers, hot water heater should be clean, working and inspected if necessary. Replace filters.

Inspect fences, gates and latches. Repair or replace as needed.

First impressions have a major impact on potential buyers. Try to imagine what potential buyers will see when they approach your house for the first time and walk through each room. Ask your REALTOR ® for advice; they know the marketplace and what helps a home sell. Here are some tips to present your home in a positive manner:

Repair or replace loose knobs on doors and cabinets. If doors stick or squeak, fix them.

Make sure the front steps are clear and hazard-free. Make sure the doorbell works properly and has a pleasant sound.

Clean and organize the garage, and ensure the door is in good working order.

YOURFORPREPARINGSALEHOME

Check stucco walls for cracks and discoloration.

Repair leaky faucets and caulking in bathtubs and showers.

If screens or windows are damaged, replace or repair them.

Check the pool and/or spa equipment and pumps. Make sure all are working properly and that the pool and/or spa are kept clean.

Remove clutter throughout the house. Organize and clean out closets.

Clean household appliances and make sure they work properly.

Mow and edge the lawn regularly, and trim the shrubs.

Brighten the appearance inside by painting walls, cleaning windows and window coverings, and removing sunscreens.

Close the windows to eliminate street noise.

Let the light in. Raise shades, open blinds, pull back the curtains and turn on the lights.

Check that sink and tub are scrubbed and unstained.

Hang clean attractive guest towels in the bathrooms.

Make beds with attractive spreads.

Keep everything clean. A messy or dirty home will cause prospective buyers to notice every flaw.

Clear all clutter from counter tops.

If possible you, your pets, and your children should be gone while your home is being Cleanshown.trash

cans and put them out of sight.

Keep the garage door closed and the driveway clear. Park autos and campers away from your home during showings

Get rid of odors such as tobacco, pets, cooking, etc., but don’t overdo air fresheners or potpourri. Fresh baked bread and cinnamon can make a positive impact.

Stash or throw out newspapers, magazines, junk mail.

Staging your home for Show

To make the best impression, keep your home clean, neat, uncluttered and in good repair. Please review this list prior to each showing:

Send pets away or secure them away from the house, and be sure to clean up after them.

If you must be present while your home is shown, keep noise down. Turn off the TV and radio. Soft, instrumental music is fine, but avoid vocals.

AZ Sellers Guide | 7

AZ Sellers Guide | 8

Closing Disclosure form designed to provide disclosures that will be helpful to borrowers in understanding all of the costs of the transaction. This form will be given to the consumer three (3) business days before closing.

Occurs when the borrower becomes contractually obligated to the creditor on the loan, not, for example, when the borrower becomes contractually obligated to a seller on a real estate transaction. The point in time when a borrower becomes contractually obligated to the creditor on the loan depends on applicable State law. Consummation is not the same as close of escrow or settlement.

An estimate of value of property resulting from analysis of facts about the property; an opinion of value.

A trust type of account established by lenders for the accumulation of borrower’s funds to meet periodic payments of taxes, mortgage insurance premiums and/or future insurance policy premiums, required to protect their security.

Beneficiary

An instrument used in many states in place of a mortgage.

Down payment made by a purchaser of real property as evidence of good faith; a deposit or partial payment.

Comparable Sales

Endorsement

Hazard Insurance

Easement

Power of Attorney

Recording

Settlement statement

Deed Restrictions

Terms You Should Know

A right, privilege or interest limited to a specific purpose that one party has in the land of another.

Deed of Trust

Real estate insurance protecting against fire, some natural causes, vandalism, etc., depending upon the policy. Buyer often adds liability insurance and extended coverage for personal property.

A form of encumbrance that usually makes a specific parcel of real property the security for the payment of a debt or discharge of an obligation. For example, judgments, taxes, mortgages, deeds of trust.

Mortgage

Appraisal

Form designed to provide disclosures that will be helpful to borrowers in understanding the key features, costs and risks of the mortgage loan for which they are applying. Initial disclosure to be given to the borrower three (3) business days after application.

PITI

The date the amounts are to be disbursed to a buyer and seller in a purchase transaction or the date funds are to be paid to the borrower or a third party in a transaction that is not a purchase transaction.

A written instrument whereby a principal gives authority to an agent. The agent acting under such a grant is sometimes called an “Attorney-in-Fact.”

Lien

The borrower’s costs of the loan term expressed as a rate. This is not their interest rate.

Sales that have similar characteristics as the subject real property, used for analysis in the appraisal. Commonly called “comps.”

Closing Disclosure (CD)

Impounds

TRID

Generally the date the buyer becomes the legal owner and title insurance becomes effective.

A description of land recognized by law, based on government surveys, spelling out the exact boundaries of the entire parcel of land. It should so thoroughly identify a parcel of land that it cannot be confused with any other.

Consummation

A payment that includes Principal, Interest, Taxes, and Insurance.

Disbursement Date

Filing documents affecting real property with the appropriate government agency as a matter of public record.

Provides a complete breakdown of costs involved in a real estate transaction.

Annual Percentage Rate (APR)

The instrument by which real property is pledged as security for repayment of a loan.

The recipient of benefits, often from a deed of trust; usually the lender.

Legal Description

As to a title insurance policy, a rider or attachment forming a part of the insurance policy expanding or limiting coverage.

Loan Estimate (LE)

Close of Escrow

Earnest Money Deposit

AZ Sellers Guide | 9

TILA-RESPA Integrated Disclosures

Limitations in the deed to a parcel of real property that dictate certain uses that may or may not be made of the real property.

AZ Sellers Guide | 10

Upon receipt of order and earnest money deposit, orders title examination.

Upon receipt of opening packages, orders demands for payoffs. Contacts buyer or seller when additional information is required for the title preliminarycommitment/report.

Reviews all documents, demands, and instructions and prepares settlement statements and any other required documents.

Finalizes loan application with Lender. Receives a Loan Estimate from Lender.

Makes offer to purchase. Upon acceptance, opens escrow and deposits earnest money.

THE BUYER

Requests necessary information from buyers and sellers via opening packages.

Schedules signing appointment and informs buyer of funds due at settlement.

THE LENDER

All demands, invoices, and fees must be collected and sent to lender at least 10 days prior to loan

Chooses a Real Estate Agent

Prepares recording instructions and submits docs for recording.

Schedules inspections and evaluates findings. Reviews title BuyerpriorlenderpaperworkProvidespreliminarycommitment/report.allrequestedtoLender(bankstatements,taxreturns,etc.)Allinvoicesandfinalapprovalsshouldbetothenolaterthan10daystoloanconsummation.Lender(orEscrowOfficer)preparesCDanddeliverstoatleast3dayspriortoloanconsummation.Escrowofficerorrealestateagentcontactsthebuyertoschedulesigningappointment.Buyerconsummatesloan,executessettlementdocuments,&depositsfundsviawiretransfer.Documentsarerecordedandthekeysaredelivered!

Coordinatesconsummation.withlender on the preparation of the CD.

Orders and reviews title commitment / preliminary report, property appraisal, credit report, employment and funds verification.

Reviews title commitment / preliminary report.

Once loan is consummated, sends funding package to lender for review.

Accepts Buyer’s offer to openingCompletespurchase.andreturnspackagefromFirstAmericanTitle,includinginformationsuchasforwardingaddress,payofflendercontactinformationandloannumbers.Ordersanyworkforinspectionsand/orrepairstobedoneasrequiredbythepurchaseagreement.Escrowofficerorrealestateagentcontactsthesellertoschedulesigningappointment.Documentsarerecordedandallproceedsfromsalearereceived.

Underwritingapproval.reviews loan package for approval.

Gets pre-approval letter from Lender and provides to Real Estate Agent.

Coordinates with Escrow Officer on the preparation of the Closing Disclosure, which is delivered to Buyer at least 3 days prior to loan documents,UponDeliversconsummation.loandocumentstoescrow.reviewofsignedloanauthorizesloanfunding.

Completes and returns opening package from First American Title.

THE ESCROW OFFICER

The Life Of An Escrow

Accepts Buyer’s application and begins the qualification process. Provides Buyer with Loan Estimate.

Documents are recorded and funds are disbursed. Issues final settlement statement.

THE SELLER

Collects information such as title commitment / preliminary report, appraisal, credit report, employment and funds verification. Reviews and requests additional information for final loan

Chooses a Real Estate Agent

AZ Sellers Guide | 11 CASH FHA VA CONV 1. Downpayment BUYER BUYER BUYER BUYER 2. Termite (Wood Infestation) Inspection (negotiable except on VA) SELLER 3. Property Inspection (if requested by buyer) BUYER BUYER BUYER BUYER 4. Property Repairs, if any (negotiable) SELLER SELLER SELLER SELLER 5. New Loan Origination Fee (negotiable) BUYER BUYER BUYER 6. Discount Points (negotiable) BUYER BUYER BUYER 7. Credit Report BUYER BUYER BUYER 8. Appraisal or Extension Fee (negotiable) BUYER BUYER BUYER 9. Existing Loan Payoff SELLER SELLER SELLER SELLER 10. Existing Loan Payoff Demand SELLER SELLER SELLER SELLER 11. Loan Prepayment Penalty (if any) SELLER SELLER SELLER SELLER 12. Next Month’s PITI Payment BUYER BUYER BUYER 13. Prepaid Interest (approx. 30 days) BUYER BUYER BUYER 14. Reserve Account Balance (Credit seller / Charge buyer) PRORATE PRORATE PRORATE 15. FHA MIP, VA Funding Fee, PMI Premium BUYER BUYER BUYER 16. Assessments payoff or proration (sewer, paving, etc.) SELLER 17. Taxes PRORATE PRORATE PRORATE PRORATE 18. Tax Impounds BUYER BUYER BUYER 19. Tax Service Contract SELLER SELLER BUYER 20. Fire/Hazard Insurance BUYER BUYER BUYER BUYER 21 Flood Insurance BUYER BUYER BUYER 22. Homeowners Association (HOA) Transfer Fee BUYER or SELLER BUYER or SELLER BUYER or SELLER BUYER or SELLER 23. HOA/Disclosure Fee SELLER SELLER SELLER SELLER 24 Current HOA Payment PRORATE PRORATE PRORATE PRORATE 25. Next Month’s HOA Payment BUYER BUYER BUYER BUYER 26. Home Warranty Premium (negotiable) BUYER or SELLER BUYER or SELLER BUYER or SELLER BUYER or SELLER 27. REALTORS®’ Commissions SELLER SELLER SELLER SELLER 28. EAGLE Homeowners Title Policy SELLER SELLER SELLER SELLER 29. Lenders Title Policy and Endorsements BUYER BUYER BUYER 30. Escrow Fee (NOTE: Charge seller on VA Loan) SPLIT SPLIT SELLER SPLIT 31. Recording Fees (Flat rate) SPLIT SPLIT SPLIT SPLIT 32. Reconveyance/Satisfaction Fee SELLER SELLER SELLER SPLIT 33. Courier/Express Mail Fees SPLIT SPLIT SELLER SPLIT THIS CHART INDICATES WHO CUSTOMARILY PAYS WHAT COSTS Note: Prorated items will appear on Closing Statement as charges for one and credits for the other. Closing Costs: Who Pays What

Once a purchase agreement is signed by all necessary parties, the agent representing the party who will pay the fee selects an escrow holder and the buyer's earnest money deposit and contract are submitted to the escrow holder. From this point, the escrow holder will follow the mutual written instructions of the buyer and seller, maintaining a neutral stance to ensure that neither party has an unfair advantage over the other. The escrow holder also follows the instructions of the Buyer's new lender, the seller's existing lender, and both parties' agents. The escrow holder ensures the transparency of the transaction, while carefully maintaining the privacy of the consumers.

The Escrow Process

The escrow is the process of having a neutral party manage the exchange of money for real property. The escrow holder is known as an escrow or settlement officer or agent. The buyer deposits funds and the seller deposits a deed with the escrow holder along with all of the other documents required to remove all "contingencies" (conditions and approvals) in the purchase agreement prior to closing.

HOW IS AN ESCROW OPENED?

WHAT IS AN ESCROW?

AZ Sellers Guide | 12

Coordinate with the buyer’s lender on the preparation of the Closing Disclosure (CD)

Review documents and ensure all conditions are fulfilled and certain legal requirements are met

Your Escrow Professional May:

Prorate fees, such as real property taxes, per the contract and prepare the settlement statement

When all funds are deposited and conditions met, record documents with the County Recorder to transfer the real property to the buyer

AZ Sellers Guide | 13

commitment and begin the process of working with you and the title officer to eliminate the title exceptions the buyer and the buyer’s new lender are not willing to take subject to. This includes ordering a payoff demand from your existing lender.

Request funds from buyer and buyer’s new lender

Open escrow and deposit good faith funds into an escrow account

Conduct a title search to determine the ownership and title status of the real Reviewpropertythetitle

After recording is confirmed, close escrow and disburse funds, including proceeds, loan payoffs, tax payments, and more

Set separate appointments allowing the buyer and seller to sign documents and deposit funds

Prepare and send final documents to all parties

WHAT IS TITLE INSURANCE?

Title Insurance

Prior to the development of the title industry in the late 1800s, a home-buyer received a grantor’s warranty, attorney’s title opinion, or abstractor’s certificate as assurance of home ownership. The buyer relied on the financial integrity of the grantor, attorney, or abstractor for protection. Today, home-buyers look primarily to title insurance to provide this protection. Title insurance companies are regulated by state statute. They are required to post financial guarantees to ensure that any claims will be paid in a timely fashion. They also must maintain their own “title plants” which house duplicates of recorded deeds, mortgages, plats, and other pertinent county property Understandingrecords.

AZ Sellers Guide | 14

The Title Industry & Title Insurance in Brief

Title insurance provides coverage for certain losses due to defects in the title that, for the most part, occurred prior to your ownership. Title insurance protects against defects such as prior fraud or forgery that might go undetected until after closing and possibly jeopardize your ownership and investment.

Title insurance insures buyers against the risk that they did not acquire marketable title from the seller. It is primarily designed to reduce risk or loss caused by defects in title from the past. A loan policy of title insurance protects the interest of the mortgage lender, while an owner’s policy protects the equity of you, the buyer, for as long as you or your heirs (in certain policies) own the real property.

WHEN IS THE PREMIUM DUE?

WHY IS TITLE INSURANCE NEEDED?

You pay for your owner’s title insurance policy only once, at the close of escrow. Who pays for the owner’s policy and loan policy varies depending on local customs.

26 Rights under unrecorded leases Plain language statements of policy coverage and restrictions

30 Added ownership coverage leads to enhanced marketability

As with any insurance contract, the insuring provisions express the coverage afforded by the title insurance policy and there are exceptions, exclusions and conditions to coverage that limit or narrow the coverage afforded by the policy. Also, some cov erage may not be available in a particular area or transaction due to legal, regulatory, or underwriting considerations. Please contact a First American representative for further information. The services described above are typical basic services. The services provided to you may be different due to the specifics of your transaction or the location of the real property involved.

a) extends on another property and/or easement

AZ Sellers Guide | 15

Protection from:

6 There is a lien on your title because there is:

13 Building permit violations*

17 Post-policy damage from extraction of minerals or water

18 Lack of vehicular and pedestrian access

25 Pays rent for substitute land or facilities

4 Defective recording of any document

2 A document is not properly signed

16 Post-policy encroachment

a) a deed of trust

14 Restrictive covenant violations

20 Post-policy adverse possession

21 Post-policy prescriptive easement

StandardALTAorCLTA

31 Insurance coverage for a lifetime

c) violates an existing zoning law*

22 Covenant violation resulting in your title reverting to a previous owner

28 Compliance with Subdivision Map Act Coverage for boundary wall or fence encroachment*

10 Cannot use the land for a Single-Family Residence because the use violates a restriction in Schedule B or a zoning ordinance

b) violates a restriction in Schedule B

1 Someone else owns an interest in your title

Compare First American’s Eagle Policy® for Owners EAGLE StandardALTAorCLTA

EAGLE

15 Post-policy forgery

9 Forced removal of a structure because it:

c) a charge by a homeowner’s association

Compare First American’s Eagle Policy® for Owners

24 Discriminatory covenants

27

8 Mechanics lien

19 Map not consistent with legal description

b) a judgement, tax, or special assessment

23 Violation of building setback regulations

32 Post-policy inflation coverage with automatic increase in value up to 150% over five years

33 Post-policy Living Trust coverage

3 Forgery, fraud, duress in the chain of title

11 Unrecorded lien by a homeowners association

* Deductible and maximum limits apply. Not available to investors on 1- to 4-unit residential properties. Coverage may vary based on an individual policy.

7 Title is unmarketable

12 Unrecorded easements

Other benefits:

29

5 There are restrictive covenants

When you consider the number of people involved, you can imagine the opportunities for delays and mishaps. Your experienced escrow team can’t prevent unforeseen problems from arising; however, they can help smooth out the process.

Consider This

One escrow transaction could involve more than 20 individuals, including real estate agents, buyers, sellers, attorneys, escrow officer, escrow technician, title officer, loan officer, loan processor, loan underwriter, home inspector, termite inspector, insurance agent, home warranty representative, contractor, roofer, plumber, pool service, and so on. And often, one transaction depends on another.

AZ Sellers Guide | 16

Once the loan is approved and all invoices and paperwork have been provided, the lender and escrow officer will collaborate on the preparation of the Closing Disclosure (CD). In order to close on time, all paperwork and invoices should be submitted at least 10 days prior to the expected close of escrow date. The borrower must receive the CD at least three days* prior to consummation of the loan (typically the signing date). The escrow officer will also prepare an estimated settlement statement and inform the buyer of the balance of the down payment and closing costs needed to close escrow.

The escrow holder will contact you or your agent to schedule a closing or signing appointment. In some states, this is the "close of escrow." In some others, the close of escrow is either the day the documents record or that funds are disbursed. Ask your escrow holder if you would like clarification about your state's laws.

You will need valid identification with your photo I.D. on it when you sign documents that need to be notarized (such as a deed). A driver's license is preferred. You will also be asked to provide your social security number for tax reporting purposes, and a forwarding address.

THE CLOSING DISCLOSURE

THE CLOSING OR SIGNING APPOINTMENT

AZ Sellers Guide | 17

The escrow holder is obligated by law to have the designated amount of money before releasing any funds. If you have questions or foresee a problem, let your escrow holder know immediately.

WHAT HAPPENS NEXT?

If the loan documents are satisfactory, the lender will send funds directly to the escrow holder. When the loan funds are received, the escrow holder will verify that all necessary funds are in. Escrow funds will be disbursed to the seller and other appropriate payees. Then, the REALTOR® will present the keys to the property to the buyer.

*For purposes of the Closing Disclosure“business day” is defined as every day except Sundays and Federal legal holidays.

You will have a chance to review the settlement statement and supporting documentation. This is your opportunity to ask questions and clarify terms. You should review the settlement statement carefully and report discrepancies to the escrow officer. This includes any payments that may have been missed. You are responsible for all charges incurred even if overlooked by the escrow holder, so it's better to bring these to their attention before closing.

If the buyer is obtaining a new loan, the buyer’s signed loan documents will be returned to the lender for review. The escrow holder will ensure that all contract conditions have been met and will ask the lender to "fund the loan."

Closing Your Escrow

DON'T FORGET YOUR IDENTIFICATION

Service automobiles If automobiles will be driven long distances, you’ll want to have them serviced for a trouble-free drive.

Service small engines for your move by extracting gas and oil from the machines. This will reduce the chance to catch fire during your move.

Borrowed and rented items. Return items which you may have borrowed or rented. Collect items borrowed to others.

Protect jewelry and valuables. Transfer jewelry and valuables to safety deposit box so they can not be lost or stolen during your move.

Bank accounts Notify bank of address change. Make sure to have a money order for paying the moving company if you are transferring or closing accounts.

Contact insurance companies. (Life, Health, Fire, Auto) You’ll need to contact your insurance agent to cancel/transfer your insurance policy. Do not cancel your insurance policy until you have and closed escrow on the sale.

Contact utility companies Set utility turnoff date, seek refunds and deposits and notify them of your new address.

FOUR WEEKS BEFORE:

Changing Schools. If changing schools, contact new school for registration process.

Research moving options You’ll need to decide if yours is a do-it-yourself move or if you’ll be using a moving company.

Request moving quotes Solicit moving quotes from as many moving companies and movers as possible. There can be a large difference between rates and services within moving companies.

Planning your move

MOVING

Plan your itinerary. Make plans to spend the entire day at the house or at least until the movers are on their way. Someone will need to be around to make decisions. Make plans for kids and pets to be at the sitters for the day.

Discard unnecessary items Moving is a great time for ridding yourself of unnecessary items. Have a yard sale or donate unnecessary items to charity.

ReviewDAY:thehouse

Create an inventory sheet of items to move.

Obtain your medical records. Contact your doctors, physicians, dentists and other medical specialists who may currently be retaining any of your family’s medical records. obtain these records or make plans for them to be delivered to your new medical facilities.

Vacate your home. Make sure utilities are off, doors and windows are locked and notify your real estate agent you’ve left the property.

Change of address. Visit USPS for change of address form.

Seek employer benefits. If your move is work-related, your employer may provide funding for moving expenses. Your human resources rep should have information on this policy.

Scan your furniture. Check furniture for scratches and dents before so you can compare notes with your mover on moving day.

Cancel services. Notify any remaining service providers (newspapers, lawn services, etc) of your move.

Note food inventory levels Check your cupboards, refrigerator and freezer to use up as much of your perishable food as possible.

Start packing. Begin packing for your new location.

Packing materials. Gather moving boxes and packing materials for your move.

SIX WEEKS BEFORE:

Prepare Floor Plan. Prepare floor plan for your new home. This will help avoid confusion for you and your movers.

. Once the house is empty, check the entire house (closets, the attic, basement, etc) to ensure no items are left or no home issues exist.

Sign the bill of lading. Once your satisfied with the mover’s packing your items into the truck, sign the bill of lading. If possible, accompany your mover while the moving truck is being weighed.

AZ Sellers Guide | 18

ONE WEEK BEFORE:

Double check with your mover. Make sure your mover has the new address and your contact information should they have any questions during your move.

Travel items. Set aside items you’ll need while traveling and those needed until your new home is established. Make sure these are not packed in the moving truck!

AZ Sellers Guide | 19

Your Notes:

AZ Sellers Guide | 20

Your Notes:

Your Notes:

AZ Sellers Guide | 21

17 GOLD CANYON 6877480.288.0883SouthKings Ranch Rd., #5 Gold Canyon, AZ 85118 E of South60/Side Kings Ranch Rd.

E side 67th Ave/N of 101

1 SUN CITY WES T

NW corner of Tatum/Loop 101

NE corner of Tom Darlington/ Carefree Dr.

SW corner Chandler/45th St.

AZ Sellers Guide | 22

1 4 3 2 6 12 10 5 8 7 11 9 CRISMON BUTTESIGNAL GOLDFIELD OLDWESTHWY SKINGSRANCH 14 17 15 13 16 ArizonaCentral First American Title Branch Locator

E Side Scottsdale/S of Lincoln

6 BILTMORE 3200602.954.3644ECamelback Rd., #123 Phoenix, AZ 85018

Sun City West, AZ 85375

1626623.936.8001N.Litchfield Rd. Ste. #170 Goodyear, AZ 85395

13940623.299.3644W.Meeker Blvd., #119

12 AHWATUKEE 4435480.753.4424E.Chandler Blvd , #100 Phoenix, AZ 85048

10 SCOTTSDALE FORUM 6263480.551.0480N.Scottsdale Rd., #110 Scottsdale, AZ 85250

N of Meeker Blvd

2 GOODYEAR

20241623.537.1608N.67th Ave , #A-2 Glendale, AZ 85308

NW corner of McDowell & Litchfield

NE Corner of Camelback/32nd Street

7 DESERT RIDGE 480.515 4369 20860 N. Tatum Blvd , #100 Phoenix, AZ 85050

SE corner of Recker & Brown

15 MESA 1630480.401.3738S.Stapley Dr., #123 Mesa, AZ 85204

NW corner of Williams Field Rd./ Val Vista Rd.

3 ARROWHEAD

5 ANTHEM 39508623.551.3265N.Daisy Mountain Dr., #128 Anthem, AZ 85086

S of Bell/E side of 83rd Ave

4 THE LEGENDS

9 KIERLAND COMMONS 14648480.948.6488NScottsdale Rd., Ste. #100 Scottsdale, AZ 85254

SE corner of Pima/Legacy

SW Corner Chandler Blvd./ Dobson Rd.

16 RED MOUNTAIN 1135480.534.3599N.Recker Rd , #103 Mesa, AZ 85205

N of Baseline / W of Stapley

14 GILBERT SAN TAN 1528480.777.0614E.Williams Field Rd., #101 Gilbert, AZ 85295

W of Scottsdale Road, S side of Greenway

16165623.487.0404N.83rd Ave , #100 Peoria, AZ 85382

8 CAREFREE 7202480.575.6609E.Carefree Dr , Bldg 1, #1 Carefree, AZ 85377

NE corner Daisy Mtn Dr/ Gavilan Peak Pkwy

W of R.H. Johnson

11 DC CROSSING 18291480.563.9034N.Pima Rd , #145 Scottsdale, AZ 85255

13 CHANDLER PORTICO 2121480.777.0051W.Chandler Blvd., #215 Chandler, AZ 85224

W

12 RITA ROAD 520.618.7790 | Fax 520.901.1720 10222 East Rita Rd., Ste. 190 Tucson, AZ 85747

ESN1TAV SUNRISE DR E SNYDER RD

1 S. Church Ave., Ste. 1610 Tucson, AZ 85701

E

Edw n Rd SGu

HearthRd E Hemlock Dr

W NARANJA DR

BNearCanyonRd

E SPEEDWAY BLVD E 22ND ST E 22ND ST

9 GREEN VALLEY 520.625.1095 | Fax 520.958.9663 190 W. Continental Rd., Ste. 226 Green Valley, AZ 85622

SNANDARIORD

SOLDSPANISHTRL

RD W MANVILLE RD SKINNEYRD W MILE WIDE RD E SAHUARITA RD NTRICORD OSSANDARRD SOLDNOGALESHWY GUOSHHTONRD ADCSLAANADRW HELMET PEAK RD WAJOHWY RNASNWD RDKOLBS SHOUGHTONRD W TANGERINE RD E GRANT RD SHOUGHTONRD 95 WAJOHWY E VALENCIA RD NORACLERD I-10 I-19 77 77 86 86 286 19 10 10 Corona de Tucson AdobesCasas Catalina Green Valley Picture Rocks Three Points VailSummit TanqueVerde SahuaritaTucson Saddlebrooke Marana Oro Valley Rillito SummerhavenWillow Canyon Cortaro Continental Littletown 2 3 5 6 7910 11 12 13 15 14 8 1 AZ Sellers Guide | 23

5 CASAS ADOBES

11 ORO VALLEY/ORACLE 520.229.9194 | 520.297.2576 Fax 520.229.9210 | 520.742.5866 8500 N. Oracle Rd., Ste 100 Oro Valley, AZ 85704

3777 E. Broadway Blvd., Ste. 102 Tucson, AZ 85716

Rd W

1840 E. River Rd., Ste. 200 Tucson, AZ 85718

3 CAMBRIC 520.577.8707 | Fax 520.529.5034

13 RIVER 520.529.1944 | Fax 520.615.2945 1650 E. River Rd., Ste. 105 Tucson, AZ 85718

4 CASA GRANDE 520.426.4600 | Fax 520.426.4699

NBarkervilleRd

6 CENTRAL 520.319.9207 | Fax 520.319.1468

GoffRanchRd

W MOORE RD INA RD

SHelvetiaRd

6390 E. Tanque Verde Rd. Tucson, AZ 85715

WRagged Top Ruby S a Dr WBritten RanchRd Pima Mine Rd

WBritten RanchRd RanchRd

Con nenta Ave BIA 30 NTricoRd SSunandGinRd SCattleTankRd E E s Rd E Hotts Rd E Nutt Rd Evalyn Rd SOwlHeadRanchRdGasLineRd PSecanRd I on Va ey RdEDeepWellRanchRd SNghtSkySt SBradyPumpRdE Houser Rd E Ar ca Rd W Ea ey Rd NTrcoRd W Baya d Rd dRSSandaro WillowSpringsRd EHelmwheel Ranch Rd N Dove Mounta n Blvd BIA-35 dRhRiGWarcaanc E Dese H s Rd WRagged Top Rd W Pima Mine Rd WSilverbellRdS E Edw n Rd BIA34 SGuildRd 80 NKINNEYRD SPICACHOHWYE GREENE RESERVOIR RD SSUNLANDGINRD W BATTAGLIA DR AZ-84 E BAUMGARTNER RD SSUNSHINEBLVD SNANDARORDNANWAYRD E HARMON RD W VALENCIA RD E RODEO RD W MOORE RD W INA RD ESN1TAV E SUNRISE DR E SNYDER RDNSILVERBELLRD TRSNOLDIERLE RIVER RDE PRINCE RD E SPEEDWAY BLVD SFREEMANRDE 22ND ST E 22ND ST W IRV NGTON RD SNOGALESHWY W VALENC A RDSMISSIONRDWSPEEDWAY BLVD SOLDSPANISHTRL W NARANJA DR W TW N PEAKS RD W P CTURE ROCKS RD W MANVILLE RD SKINNEYRD W MILE WIDE RD W HARMON RD W MCCARTNEY RD NTRICORD OSSANDARIRD PARK LINK DR GUOSHHTONRD E MART N RD STHORNTONRD SCHUICHURD WAJOHWY RNASNWD RDKOLBS SHOUGHTONRD W TANGER NE RD E GRANT RD SHOUGHTONRD NPNALAVE 95 WAJOHWY E VALENCIA RD NORACLERD I10 I-19 I-8 77 77 79 77 77 87 86 86 387 287 86 10 19 8 10 10 10 La Palma Chuichu Arizona City AdobesCasas Catalina OracleDudleyvilleGrandeCasa Picture Rocks Three Points VailSummit TanqueVerde Eloy Tucson Cactus Forest Picacho Red Rock Saddlebrooke Marana Oro Valley HaivanaNakya Rillito SummerhavenWillow Canyon Randolph Toltec Oracle Junction Cortaro Schuchk Littletown 2 4 3 5 6 7 10 11 12 13 15 14 8 1 AIRPORTINT'LTUCSON Air Force WSilverbellRd SSantaRitaRd NMtLemmon Hwy ESas W Avra Valley Rd E G and Va ey DNAguirreRd dRkLNucet dRWNentzNWatermanMountanRd RdAnwayN W El Tiro Rd NTricoRd W Tucke Rd W Rudas Rd W Manv e Rd SSanJoaquinRdWBopp Rd W Snyder H RddRSMarstear W Park Rd W Hermans RdW He mans Rd W Guy St W Bush Rd SGaveyRd eaCNRinconado SWlmotRd SShawRd SSierritaMountainRd SKobRdW TwinButtes Rd W Mcgee Ranch Rd ESs BNearCanyonRdW E Cam no De Cerro E Fairmount St SSwanRd

TecoloteRanchRd RomeroRd

7 DOWNTOWN 520.740.0424 | Fax 520.740.0436

EDesertDove

W Emigh Rd W Fort Lowel Rd dSPNumpationR NTricoRd SOwGas NTrcoRd

W Pima Mine Rd S Mcgee

Baya d Rd dRSSandaro N Dove Mountain Blvd

NSILVERBELLRD E RIVER RDE PRINCE RD

Rd ESstanciaDr E Hemlock Dr BNearCanyonRd

dRhRiGWarcaanc

W

NKINNEYRD NANWAYRD

SFREEMANRD

W VALENC A RD

E SPEEDWAY BLVD

W E Cam no De Cerro E Fairmount St SSwanRd NFrontageRd W Emigh Rd

E Cam no De Cerro E Fairmount St SSwanRd

WAnamax

SMISSIONRDWSPEEDWAY

S

E

15 TANQUE VERDE 520.202.2626 | Fax 520.495.6151 7479 E. Tanque Verde Tucson, AZ 85715

8 FOOTHILLS 520.299.4606 | Fax 520.577.6993 4051 E Sunrise Dr., Ste. 155 Tucson, AZ 85718

FlorenceRd

W TW N PEAKS RD P CTURE ROCKS

Air Force WSilverbellRd SSantaRitaRd NMtLemmon Hwy ESascoRd NF-38 W Avra Valley Rd E G and Va ey DrNAguirreRd dRkLNucett dRWNentzNWatermanMountainRd RdAnwayN W El Tiro Rd NTricoRd W Tucke Rd W Rudasi Rd W Manv l e Rd SSanJoaquinRdWBopp Rd W Snyder H RddRllSMarstear W Park Rd W Hermans RdW He mans Rd W Guy St W Bush Rd SGarveyRd eaCNRinconado SWmotRd SShawRd SSierritaMountainRd SKolbRdW Tw nButtes Rd W Mcgee

W VALENCIA RD

14 SKYLINE 520.529.0506 | Fax 520.529.8998 2890 E. Skyline Dr., Ste. 200 Tucson, AZ 85718

2 BROADWAY 520.747.1644 | Fax 520.747.1403

W Fort Lowe Rd dSPNumptationR E Nona Rd Ch efButteRd LovettaRd E Hanna Rd

W

421 E. Cottonwood Ln Casa Grande, AZ 85122

W

SFREEMANRDE 22ND ST E 22ND ST W IRVINGTON RD SNOGALESHWY W VALENCIA RDSMISSIONRDWSPEEDWAY BLVD SOLDSPANISHTRL W NARANJA DR W TWIN PEAKS RD W PICTURE ROCKS RD W MANVILLE RD SKINNEYRD W MILE WIDE RD E SAHUARITA RD NTRICORD OSSANDARIRD SOLDNOGALESHWY GUOSHHTONRD ADCSLAANADRW HELMET PEAK RD WAJOHWY RNASNWD RDKOLBS SHOUGHTONRD W TANGERINE RD E GRANT RD SHOUGHTONRD 95 WAJOHWY E VALENCIA RD NORACLERD I-10 I-19 77 77 86 86 286 19 10 10 Corona de Tucson AdobesCasas Catalina Green Valley Picture Rocks Three Points VailSummit TanqueVerde SahuaritaTucson Red Rock Saddlebrooke Marana Oro Valley Rillito SummerhavenWillow Canyon Oracle Junction Cortaro Continental Littletown 2 3 5 6 7910 11 12 13 15 14 8 1 SouthernArizona First American Title Branch Locator AIRPORTINT'LTUCSON Air Force FreemanRd WSilverbellRd NMtLemmon Hwy ESascoRd NF38 W Avra Val ey Rd WSCurryRdHanna Rd E Grand Va ey D W Houser Rd W Ph ps Rd E Co nman Rd NAguirreRd dRkLNucet dRWNenzNWatermanMountainRd RdAnwayN W El Tiro Rd NTricoRd W Tucke Rd W Rudas Rd W Manv e Rd SSanJoaquinRdWBopp Rd W Snyde H RddRSMarstear W Pa k Rd W He mans RdW Hermans Rd W Guy St W Bush Rd dRearvy eaCNRinco SWmoRd ShawRd SSierrita W Woodru Rd ONverfedRd W Rando ph Rd W BartlettNRdLaPamaRdNTweedyRd E Randolph Rd W Kleck Rd E K eck Rd W Se ma Hwy STrekellRd SHennessRd E Selma Hwy W Co nman Rd W Pretzer Rd SLambRd SLaPalmaRd E M gan Rd E M gan Rd W A es Dr E Curtis Rd ESstancaDr

SHelvetiaRd

SNANDARORDNANWAYRD

520.575.1900 | Fax 520.432.0168 6760 N. Oracle Rd., Ste. 100B Tucson, AZ 85704

W MOORE RD INA RD ESN1TAV SUNR SE DR E SNYDER RD

W IRV NGTON RD

dRhRiGWarcaanc

W

Road424 ed Top Rd W Ruby S ar D

E Edw n Rd 80

1 MAIN OFFICE

ellRdS Mcgee RanchRd

SNOGALESHWY

M ne Rd

W VALENCIA RD BLVD

W

TRSNOLDIERLE RIVER RDE PRINCE RD

NFrontageRd

NSILVERBELLRD

NFrontageRd Mountain Blvd

520.885.1600 | Fax 520.885.2309

W Emigh Rd W Fort Lowe Rd dSPNumptationR Cont nental Ave NTricoRd SCattle SOwlHeadRanchRdGasLineRd NTrcoRd W Bayard Rd dRSSandario N Dove

3777 E. Broadway Blvd., Ste. 220 Tucson, AZ 85716

10 ORO CANADAVALLEY/LA 520.877.9200 | Fax 520.202.6348 11165 N. La Canada Dr., Ste. 143 Oro Valley, AZ 85737

WAnamax Mine Rd Road424

E 80

AIRPORTINT'LTUCSON Ranch

NKINNEYRD

TRSNOLDERL

05110281121

For more information please contact your First American representative. www.firstam.com

First American Title Insurance Company, and the operating divisions thereof, make no express or implied warranty respecting the information presented and assume no responsibility for errors or omissions. First American, the eagle logo, First American Title, and firstam.com are registered trademarks or trademarks of First American Financial Corporation and/or its affiliates.

©2021 First American Financial Corporation and/or its affiliates. All rights reserved. NYSE: FAF

Turn static files into dynamic content formats.

Create a flipbook
Issuu converts static files into: digital portfolios, online yearbooks, online catalogs, digital photo albums and more. Sign up and create your flipbook.