14013 E Voss St

Page 1

©2021 First American Financial Corporation and/or its affiliates. All rights reserved. NYSE: FAF 05252610821 COVENANTS, CONDITIONS & RESTRICTIONS PREPARED FOR : First American Title Insurance Company, and the operating divisions thereof, make no express or implied warranty respecting the information presented and assume no responsibility for errors or omissions. First American, the eagle logo, First American Title, and firstam.com are registered trademarks or trademarks of First American Financial Corporation and/or its affiliates. 14013 East Voss Street Vail, AZ 85641

LIMITATION OF LIABILITY FOR INFORMATIONAL REPORTS

IMPORTANT -- PLEASE READ CAREFULLY:

This report is not an insured product or service or a representation of the condition of title to real property. It is not an abst ract, legal opinion, opinion of title, title insurance commitment or preliminary report, or any form of Title Insurance or Guaranty. This report is issued exclusively for the benefit of the Applicant therefor and may not be used or relied upon by any other person. This report may not be reproduced in any manner without First American or Title Security's prior written consent. First American or Title Security does not represent or warrant that the information herein is complete or free from error, and the information herein is provided without any warranties of any kind, as-is, and with all faults. As a material part of the consideration given in exchange for the issuance of this report, recipient agrees that First American or Title Security's sole liability for any loss or damage caused by an error or omission due to inaccurate information or negligence in preparing this report shall be limited to the fee charged for the report. Recipient accepts this report with this limitation and agrees that First American or Title Security would not have issued this report but for the limitation of liability described above. First American or Title Security makes no representation or warranty as to the legality or propriety of recipient's use of the information herein.

Description: Pima,AZ Document - Year.Day.DocID 2011.285.77 Page: 1 of 8 Order: 2 Comment:
Description: Pima,AZ Document - Year.Day.DocID 2011.285.77 Page: 2 of 8 Order: 2 Comment:
Description: Pima,AZ Document - Year.Day.DocID 2011.285.77 Page: 3 of 8 Order: 2 Comment:
Description: Pima,AZ Document - Year.Day.DocID 2011.285.77 Page: 4 of 8 Order: 2 Comment:
Description: Pima,AZ Document - Year.Day.DocID 2011.285.77 Page: 5 of 8 Order: 2 Comment:
Description: Pima,AZ Document - Year.Day.DocID 2011.285.77 Page: 6 of 8 Order: 2 Comment:
Description: Pima,AZ Document - Year.Day.DocID 2011.285.77 Page: 7 of 8 Order: 2 Comment:
Description: Pima,AZ Document - Year.Day.DocID 2011.285.77 Page: 8 of 8 Order: 2 Comment:
Page 1 of 4 03/27/2013 2:12 PM
Page 2 of 4 03/27/2013 2:12 PM
Page 3 of 4 03/27/2013 2:12 PM
Page 4 of 4 03/27/2013 2:12 PM
Page 1 of 61 03/27/2013 2:12 PM
Page 2 of 61 03/27/2013 2:12 PM
Page 3 of 61 03/27/2013 2:12 PM
Page 4 of 61 03/27/2013 2:12 PM
Page 5 of 61 03/27/2013 2:12 PM
Page 6 of 61 03/27/2013 2:12 PM
Page 7 of 61 03/27/2013 2:12 PM
Page 8 of 61 03/27/2013 2:12 PM
Page 9 of 61 03/27/2013 2:12 PM
Page 10 of 61 03/27/2013 2:12 PM
Page 11 of 61 03/27/2013 2:12 PM
Page 12 of 61 03/27/2013 2:12 PM
Page 13 of 61 03/27/2013 2:12 PM
Page 14 of 61 03/27/2013 2:12 PM
Page 15 of 61 03/27/2013 2:12 PM
Page 16 of 61 03/27/2013 2:12 PM
Page 17 of 61 03/27/2013 2:12 PM
Page 18 of 61 03/27/2013 2:12 PM
Page 19 of 61 03/27/2013 2:12 PM
Page 20 of 61 03/27/2013 2:12 PM
Page 21 of 61 03/27/2013 2:12 PM
Page 22 of 61 03/27/2013 2:12 PM
Page 23 of 61 03/27/2013 2:12 PM
Page 24 of 61 03/27/2013 2:12 PM
Page 25 of 61 03/27/2013 2:12 PM
Page 26 of 61 03/27/2013 2:12 PM
Page 27 of 61 03/27/2013 2:12 PM
Page 28 of 61 03/27/2013 2:12 PM
Page 29 of 61 03/27/2013 2:12 PM
Page 30 of 61 03/27/2013 2:12 PM
Page 31 of 61 03/27/2013 2:12 PM
Page 32 of 61 03/27/2013 2:12 PM
Page 33 of 61 03/27/2013 2:12 PM
Page 34 of 61 03/27/2013 2:12 PM
Page 35 of 61 03/27/2013 2:12 PM
Page 36 of 61 03/27/2013 2:12 PM
Page 37 of 61 03/27/2013 2:12 PM
Page 38 of 61 03/27/2013 2:12 PM
Page 39 of 61 03/27/2013 2:12 PM
Page 40 of 61 03/27/2013 2:12 PM
Page 41 of 61 03/27/2013 2:12 PM
Page 42 of 61 03/27/2013 2:12 PM
Page 43 of 61 03/27/2013 2:12 PM
Page 44 of 61 03/27/2013 2:12 PM
Page 45 of 61 03/27/2013 2:12 PM
Page 46 of 61 03/27/2013 2:12 PM
Page 47 of 61 03/27/2013 2:12 PM
Page 48 of 61 03/27/2013 2:12 PM
Page 49 of 61 03/27/2013 2:12 PM
Page 50 of 61 03/27/2013 2:12 PM
Page 51 of 61 03/27/2013 2:12 PM
Page 52 of 61 03/27/2013 2:12 PM
Page 53 of 61 03/27/2013 2:12 PM
Page 54 of 61 03/27/2013 2:12 PM
Page 55 of 61 03/27/2013 2:12 PM
Page 56 of 61 03/27/2013 2:12 PM
Page 57 of 61 03/27/2013 2:12 PM
Page 58 of 61 03/27/2013 2:12 PM
Page 59 of 61 03/27/2013 2:12 PM
Page 60 of 61 03/27/2013 2:12 PM
Page 61 of 61 03/27/2013 2:12 PM
Search Date and Time:
AM
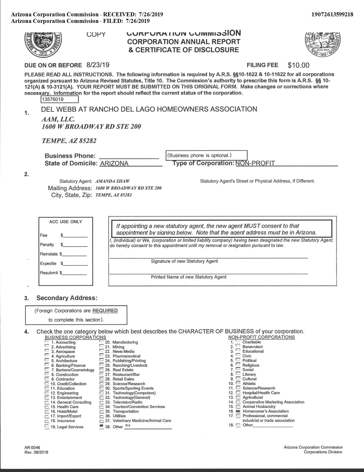
AM File Number: 13576019 13576019 13576019 13576019 Corporation Name: DEL WEBB AT RANCHO DEL LAGO HOMEOWNERS ASSOCIATION DEL WEBB AT DEL LAGO HOMEOWNERS ASSOCIATION Annual Report Email Reminders eFile Annual Report Print Annual Report Form Collapse| Expand Corporate Inquiry Domestic Address % AAM, LLC 1600 W BROADWAY RD #200 TEMPE, AZ 85282 Statutory Agent Information Agent Name: Agent CORPORATION SERVICE COMPANY Agent Mailing/Physical Address: Agent Mailing/Physical Address: 2338 W ROYAL PALM RD STE J PHOENIX, AZ 85021 A AA Ag gg ge ee en nn nt tt t S SS St tt ta aa at tt tu uu us ss s: :: : APPOINTED 03/16/2016 13576019 File Number File Number DEL WEBB AT RANCHO DEL LAGO HOMEOWNERS ASSOCIATION Corporation Name Corporation Name Corporation Corporation Check Corporate Status Standing
1/31/2017 10:39:27
1/31/2017 10:39:27

Entity Type: Entity Type: Entity Entity NON-PROFITBusiness Type: Business Type: Business HOMEOWNERS ASSOCIATION

Incorporation Date: Incorporation Date: Incorporation Date: Incorporation Date: 4/9/2007Corporation Life Period: Corporation Life Period: Corporation PERPETUAL

Domicile: Domicile: Domicile: ARIZONACounty: County: County: County: MARICOPA

Approval Date: Approval 5/8/2007Original Publish Date: Original Date: Original 8/15/2007

Officer Information

Name Name

Title Title

BRUCE FRIEDMAN

PRESIDENT

1600 W BROADWAY RD #200 TEMPE, AZ 85282 Address 06/18/2014

Last Updated Last Updated Updated Updated

Date of Taking Office Date of Office 03/18/2016

SAM MILLS Name SECRETARY Title

1600 W BROADWAY RD #200 TEMPE, AZ 85282 Address 09/19/2016

Last Updated Last Updated Updated Updated

Date of Taking Office Date of Taking Office Date of Office Date of Office 10/18/2016

Name Name

SAM MILLS

TREASURER Title

Address Address 09/19/2016

1600 W BROADWAY RD #200 TEMPE, AZ 85282

Date of Taking Office Date of Office 10/18/2016

Last Updated Updated

Last
Agent Last
Agent
Updated:
Updated: 03/18/2016
Additional Entity Information

Name Name

Title

ALBERT KINGSBURY

VICE-PRESIDENT

1600 W BROADWAY RD #200 TEMPE, AZ 85282 Address 06/18/2014

Last Updated Last Updated Updated Updated

Date of Taking Office Date of Taking Office Date of Office Date of Office 03/18/2016

Director Information

Name Name

BRUCE FRIEDMAN

DIRECTOR Title

1600 W BROADWAY RD #200 TEMPE, AZ 85282 Address 06/18/2014

Last Updated Last Updated Updated Updated

Date of Taking Office Date of Office 03/18/2016

ALBERT KINGSBURY Name

DIRECTOR Title

1600 W BROADWAY RD #200 TEMPE, AZ 85282 Address 06/18/2014

Last Updated Updated

Date of Taking Office Date of Taking Office Date of Office Date of Office 03/18/2016

Name Name

Title Title

MIKE GARDNER

DIRECTOR

Address Address 06/18/2014

1600 W BROADWAY RD #200 TEMPE, AZ 85282

Date of Taking Office Date of Taking Office Date of Office Date of Office 03/18/2016

Last Updated Updated

Annual Reports
Next Annual Report Due: Next Annual Report Due: Next Report Due: Next Report Due: 8/9/2017

Turn static files into dynamic content formats.

Create a flipbook
Issuu converts static files into: digital portfolios, online yearbooks, online catalogs, digital photo albums and more. Sign up and create your flipbook.