12382 Agua Verde Rd

Page 1

Subject Property

Data Provided By: First American Title Ins Co

12382 S Agua Verde Rd Vail AZ 85641 APN: 306-38-003C
© 2022 CoreLogic. All rights reserved

WIRE FRAUD ADVISORY

Criminals are targeting social media and email to steal information. This is particularly common in real estate transactions because sensitive data, including social security numbers, bank account numbers, and wire instructions are often sent by electronic means. We do not want you to be the next victim of wire fraud. Money wired to a fraudulent account is stolen money that typically cannot be recovered. Additionally, there is generally no insurance for this loss. You may never get the money back.

PROTECT YOURSELF VERIFY AND NOTIFY

DO NOT TRUST EMAILS CONTAINING WIRE INSTRUCTIONS

• If you receive an email containing wire transfer instructions, immediately call your escrow officer to ensure the validity of the instructions.

DO NOT TRUST EMAILS SEEKING PERSONAL/FINANCIAL INFORMATION

• If you receive an email requesting personal/financial information or asking you to download, click on a link, send, and/or do anything that may seem unusual to you, call your escrow officer immediately prior to acting on the suspicious email to verify the validity of the email.

TRUST YOUR SOURCE OF INFORMATION

• Never direct, accept or allow anyone in the transaction to consent to receiving transfer instructions without a direct personal telephone call to the individual allegedly providing the instructions.

• It is imperative that this call be made to a number obtained in person from the individual or through other reliable means, not from a number provided in the email or the wiring instructions

ONLINE RESOURCES:

There are many online sources that can provide useful information regarding similar topics including, but not limited to, the following sites:

The Federal Bureau of Investigation @ https://www.fbi.gov/scams and safety

The Internet Crime Complaint Center @ www.ic3.gov

The National White Collar Crime Center @ http://www.nw3c.org/research

On Guard Online @ www.onguardonline.gov

Before you wire funds to any party (including your lawyer, title agent, mortgage broker, or real estate agent) personally meet them or call a verified telephone number (not the telephone number in the email) to confirm before you act!

Immediately notify your banking institution and Settlement/Title Company if you are a victim of wire fraud.

The undersigned acknowledges receipt of this Wire Fraud Advisory.

Client Date Client Date

LIMITATION OF LIABILITY FOR INFORMATIONAL REPORTS

IMPORTANT -- PLEASE READ CAREFULLY:

This report is not an insured product or service or a representation of the condition of title to real property. It is not an abst ract, legal opinion, opinion of title, title insurance commitment or preliminary report, or any form of Title Insurance or Guaranty. This report is issued exclusively for the benefit of the Applicant therefor and may not be used or relied upon by any other person. This report may not be reproduced in any manner without First American or Title Security's prior written consent. First American or Title Security does not represent or warrant that the information herein is complete or free from error, and the information herein is provided without any warranties of any kind, as-is, and with all faults. As a material part of the consideration given in exchange for the issuance of this report, recipient agrees that First American or Title Security's sole liability for any loss or damage caused by an error or omission due to inaccurate information or negligence in preparing this report shall be limited to the fee charged for the report. Recipient accepts this report with this limitation and agrees that First American or Title Security would not have issued this report but for the limitation of liability described above. First American or Title Security makes no representation or warranty as to the legality or propriety of recipient's use of the information herein.

Data Provided By:

First American Title Ins Co

Disclaimer

This REiSource report is provided "as is" without warranty of any kind, either express or implied, including without limitations any warrantees of merchantability or fitness for a particular purpose. There is no representation of warranty that this information is complete or free from error, and the provider does not assume, and expressly disclaims, any liability to any person or entity for loss or damage caused by errors or omissions in this REiSource report without a title insurance policy.

The information contained in the REiSource report is delivered from your Title Company, who reminds you that you have the right as a consumer to compare fees and serviced levels for Title, Escrow, and all other services associated with property ownership, and to select providers accordingly. Your home is the largest investment you will make in your lifetime and you should demand the very best.

© 2022 CoreLogic. All rights reserved

Subject Property :   12382 S Agua Verde Rd Vail AZ 85641

Owner Information

Owner Name : Steffen Lora L

Mailing Address : Po Box 1328, Vail AZ 85641-1328 B013

Vesting Codes : Unmarried Woman / /

Owner Occupied Indicator : A

Location Information

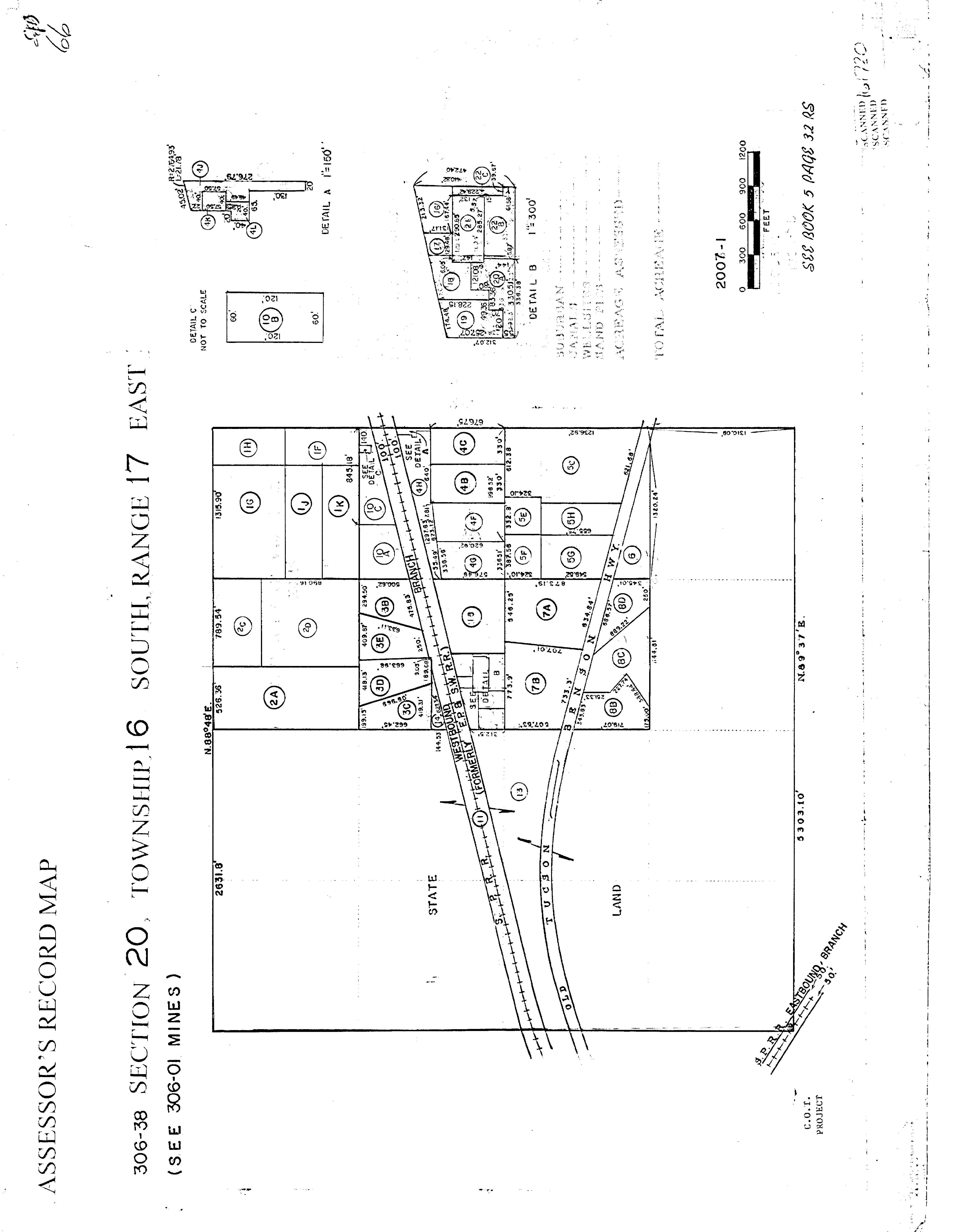
Legal Description : Ptn N662.45' W419.31' Sw4 Ne4 Lyg N & Adj Rr 4.71 Ac Sec 20-16-17 Being Ptn Dacite No 1 Placer Mining Claim

County : Pima, Az

Census Tract / Block : 40.61 / 4

Township-Range- Sect : 16S-17E-20

APN : 306-38-003C

Map Reference : 20-16S-17E

School District : Vail

Market Area : 610 Munic/Township : Vail

Last Market Sale Information

Recording/Sale Date : 06/07/2022 / 06/07/2022

Sale Price : $300,000

Document # : 1580770

1st Mtg Amount/Type : $240,000 / Cnv

1st Mtg Document # : 1580771

1st Mtg Term : 30

Deed Type : Warranty Deed Price Per SqFt : $1.46

Title Company : Pioneer Title Agency

Lender : Commerce Bk/az

Seller Name : Stahlkopff Carlos & Veronica

Prior Sale Information

Prior Rec/Sale Date : 09/07/2021 / 09/03/2021

Prior Sale Price : $46,000

Prior Doc Number : 2500549

Property Information

Land Use : Residential Acreage

County Use : Vac-res-rural Non Subd

Zoning : RH

Prior Deed Type : Warranty Deed

Prior Lender : Private Individual

Prior 1st Mtg Amt/Type : $41,000 / Private Party

Lot Size : 205,168

Lot Acres : 4.71

State Use : Vac-res-rural Non Subd

Customer Name : Lisa Mrazek

Customer Company Name : First American Title Insurance Company Prepared On : 09/29/2022

CoreLogic.

© 2022
All rights reserved

Tax Information

Total Value : $35,000

Property Tax : $749.44 Current Assessed Year : 2023

Total Taxable Value : $5,250 Tax Rate Area : 2000

Current Year Total Value : $9,300

Assessed Year : 2021 Market Value : $35,000 Current Year Land Value : $9,300

Tax Year : 2021

Customer Name : Lisa Mrazek

Customer Company Name : First American Title Insurance Company Prepared On : 09/29/2022

© 2022 CoreLogic. All rights reserved

Sales Analysis

Criteria

Sale

Price Per

Year

Subject Property Low High Average

$300,000 $335,000 $335,000 $335,000

$1.46 $2 $2 $1.63

205,168 205,168 205,168

Stories

Total Assessed Value $35,000 $35,000 $35,000 $35,000

Distance From Subject 0 0.06 0.12 0.09

Price
Bldg/Living Area
Square Foot
Built Lot Size 205,168
Bedrooms Bathrooms
Customer Name : Lisa Mrazek Customer Company Name : First American Title Insurance Company Prepared On : 09/29/2022 © 2022 CoreLogic. All rights reserved

Customer Name : Lisa Mrazek

Customer Company Name : First American Title Insurance Company Prepared On : 09/29/2022

CoreLogic.

Map
© 2022
All rights reserved

Details of Comparables

Subject Property: 12382 S Agua Verde Rd Vail Az 85641

Owner Name: Steffen Lora L / APN / Alternate APN: 306-38-003C / Deed Type: Warranty Deed

Land Use: Residential Acreage Subdivision / Tract: / Lot Size: 205,168

Rec. Date / Price: 06/07/2022 / $300,000 Living Area:

Year Built / Eff: /

# of units:

Document #: 1580770 Bedrooms: Pool:

Total Tax Value: $35,000 Bath(F/H): /

#1   12378 S Agua Verde Rd Vail Az 85641

Owner Name: Hanson Kelsea / APN / Alternate APN: 306-38-003D / Deed Type: Warranty Deed

Land Use: Residential Acreage Subdivision / Tract: / Lot Size: 205,168 Year Built / Eff: /

Rec. Date / Price: 08/03/2022 / $335,000 Living Area:

# of units: Document #: 2150396 Bedrooms: Pool:

Total Tax Value: $35,000 Bath(F/H): /

#2   12374 S Agua Verde Rd Vail Az 85641

Owner Name: Gale Jared M /Gale Caitlin

APN / Alternate APN: 306-38-003E / Deed Type: Warranty Deed

Land Use: Residential Acreage Subdivision / Tract: / Lot Size: 205,168 Year Built / Eff: / Rec. Date / Price: 06/03/2022 / $335,000 Living Area:

# of units: Document #: 1540205 Bedrooms: Pool:

Total Tax Value: $35,000 Bath(F/H): /

Customer Name : Lisa Mrazek

Customer Company Name : First American Title Insurance Company Prepared On : 09/29/2022

© 2022 CoreLogic. All rights reserved

Customer Name : Lisa Mrazek

Customer Company Name : First American Title Insurance Company Prepared On : 09/29/2022

2022 CoreLogic.

Subject Property :   12382 S Agua Verde Rd Vail AZ 85641
©
All rights reserved

Customer Name : Lisa Mrazek

Customer Company Name : First American Title Insurance Company Prepared On : 09/29/2022

CoreLogic.

© 2022
All rights reserved

and statistics on

schools please go

Arizona Schools For detailed information
Arizona
to https://azreportcards.azed.gov/ First American Title Insurance Company, and the operating divisions thereof, make no express or implied warranty respecting the information presented and assume no responsibility for errors or omissions. First American, the eagle logo, First American Title, and firstam.com are registered trademarks or trademarks of First American Financial Corporation and/or its affiliates. ©2021 First American Financial Corporation and/or its affiliates. All rights reserved. NYSE: FAF 05117910421

PIMA

EDesertDove

SGuildRd

This

WSilverbellRd

NKINNEYRD

NFrontageRd

NSILVERBELLRD

SSanJoaquinRd

SKINNEYRD

SMISSIONRD

W

WAnamax

SSantaRitaRd

SCHOOL DISTRICTS

15 AJO UNIFIED 111 N. Well Road, Ajo, AZ 85321

SHelvetiaRd

51 ALTAR VALLEY ELEMENTARY 10105 S. Sasabe Road, Tucson, AZ 85736 520.822.1484

10 AMPHITHEATER UNIFIED 701 W. Wetmore, Tucson, AZ 85705 520.696.5000

16 CATALINA FOOTHILS UNIFIED 2101 E. River Road, Tucson, AZ 85718 520.209.7500

39 CONTINENTAL ELEMENTARY 1991 E. Whitehouse Canyon, Green Valley, AZ 85614 520.625.4581

08 FLOWING WELLS UNIFIED 1556 W. Prince Road, Tucson, AZ 85705 520.696.8800

06 MARANA UNIFIED 11279 W. Grier Road, Marana, AZ 85653 520.682.3243

11 PIMA COUNTY JTED 2855 W. Master Pieces Dr, Tucson, AZ 85741 520.352.5833

30 SAHUARITA UNIFIED 350 W. Sahuarita Road, Sahuarita, AZ 85629 520.625.3502

12

SUNNYSIDE UNIFIED 2238 E. Ginter Road, Tucson, AZ 85706 520.545.2000

13 TANQUE VERDE UNIFIED 2300 N. Tanque Verde Loop, Tucson, AZ 85749 520.749.5751

01 TUCSON UNIFIED 1010 E. 10th Street, Tucson, AZ 85717 520.225.6000

20 VAIL UNIFIED 10701 E. Mary Ann Cleveland Way, Tucson, AZ 85747 520.879.2000

05249570321 TUCSON INT'L AIRPORT Air Force
N M t L emmon Hwy ESascoRd NF 38 W Avra Valley Rd E Grand Va ey DrNAguirre R d N L u c k e R d N W e n t z R d N Wa terman Mounta i n R d N Anway Rd W El Tiro Rd N Trico Rd W Tucker Rd W Rudas l Rd W Manvi e Rd
WBopp Rd W Snyder H l Rd S M a r s e a r R d W Park Rd W Hermans RdW Hermans Rd W Guy St W Bush Rd S G a v e y R d N C a e R i n c o n a d o S W m o R d S Shaw Rd S Sierrita Mountain Rd S K o b R d W TwinButtes Rd W Mcgee Ranch Rd S E s t a n c a D r
E Hemlock Dr N Bea r C a n y o n R d W E Camino Del Cerro E Fairmount St S Swan Rd
W Emigh Rd W Fort Lowe Rd N P u m p S t a t ion dR E Nona Rd Ch efButteRd Lo al Ave N Trico Rd S Cattle Tank Rd Evalyn Rd SOwlHead R a n c h Rd GasLineRd S P ec a n R d N T r c o R d W Bayard Rd S S a n d a r o R d W i l l owSpri n gsRd N Dove Mountain Blvd
Mine Rd W G a c i a R a n hc R d Road424 WRagged Top Rd W Ruby Star Dr WBritten RanchRd
Pima Mine Rd S Mcgee Ranch R d E Edw n Rd
8 0
S PICACHO HWY E BAUMGARTNER RD N S A N D A R I O R D N ANWAY RD W VALENCIA RD W MOORE RD W INA RD N 1 S T A V E E SUNRISE DR E SNYDER RD
N S O L D I E R T R L E RIVER RDE PRINCE RD E SPEEDWAY BLVD S FREEMAN RD E 22ND ST E 22ND ST W IRVINGTON RD S N O G A L E S H W Y W VALENCIA RD
W SPEEDWAY BLVD S O L D S P A N I S H T RL W NARANJA DR W TWIN PEAKS RD W PICTURE ROCKS RD W MANVILLE RD
W MILE WIDE RD E SAHUARITA RD N TRICO RD S S A N D A R O R D PARK LINK DR S OLD N O G ALES HW Y S H O U G H T O N R D S L A C A N A D A DRW HELMET PEAK RD WAJOHWY N S W A N R D S KOLB RD S HOUGHTON RD W TANGERINE RD E GRANT RD S H O U G H T O N R D 9 5 WAJOHWY E VALENCIA RD NORACLE R D I10 I-19 77 77 77 86 86 286 10 19 10 10 Corona de Tucson Casas Adobes Catalina Green Valley Oracle Picture Rocks Three Points VailSummit Tanque Verde Tucson Sahuarita Red Rock Saddlebrooke Marana Oro Valley Rillito Summerhaven Willow Canyon Oracle Junction Cortaro Continental Littletown 20 30 13 15 51 39 12 01 01 08 10 16 11 06
COUNTY School District Information
map is provided for general location only. Please contact school districts for actual street boundaries
520.387.5618
First American Title Insurance Company, and the operating divisions thereof, make no express or implied warranty respecting the information presented and assume no responsibility for errors or omissions. First American, the eagle logo, First American Title, and firstam.com are registered trademarks or trademarks of First American Financial Corporation and/or its affiliates. ©2021 First American Financial Corporation and/or its affiliates. All rights reserved. NYSE: FAF

No local schools data for selected property.

Customer Name : Lisa Mrazek

Customer Company Name : First American Title Insurance Company Prepared On : 09/29/2022

2022 CoreLogic.

©
All rights reserved

Local

Attractions / Recreation

Name Address

Telephone Distance (Miles)

Colossal Cave Mountain Park 16721 E Old Spanish Trl Vail Az (520) 647-3450 2.26

Del Lago Golf Llc 14155 E Via Rncho Del Lag Vail Az (520) 647-1100 4.09

Rincon Valley Ranch 8401 S Pistol Hill Rd Vail Az (520) 647-3343 4.76

Teach Me Pickleball 13805 E Carruthers St Vail Az (520) 390-0194 4.95

Banks / Financial

Name Address

Telephone Distance (Miles)

Johnny N Williams 4429 E Strawberry Dr Gilbert Az (520) 393-8201 5.5

Sunstreet Mortgage 341 N Suntan Dr Vail Az (520) 227-1445 5.61

Sunstreet Mortgage, Llc 9172 S Houghton Rd # 130 Tucson Az (520) 891-2733 9.28

Nfi Pyramid Credit Union 8235 S Houghton Rd # 100 Tucson Az (520) 574-4415 9.78

Eating / Drinking

Name Address

Telephone Distance (Miles)

Kl Mescal Bar & Grill Llc An A 18891 E Miller Ranch Rd Vail Az (520) 591-4536 2.28

Trolley Treats Llc 14715 E Crysmon Ln Vail Az (520) 275-2600 3.51

Custom Edibles By Jen 14343 E Madrona Stn Pl Vail Az (520) 975-5633 3.86

Church's Chicken 145 14485 E Yellow Sage Ln Vail Az (520) 663-4034 3.94

Health Care Services

Name Address

Telephone Distance (Miles)

Porterfield Bruce Office Of Dr Dr 13568 S Sundown Ranch Rd Vail Az (520) 647-9923 3.58

The Healing Heart Of Horsemanship Llc 12551 S Ox Cart Trl Vail Az (520) 664-5606 4.02

Milagro Behavioral Health Pll 13755 S Galloping Dee Ct Vail Az (325) 933-0454 4.18

Ohio Valley Dental Care 11487 S Cienega Dam Pl Vail Az (520) 762-8266 4.46

Customer Name : Lisa Mrazek

Customer Company Name : First American Title Insurance Company Prepared On : 09/29/2022

Business
© 2022 CoreLogic. All rights reserved

Hospitality

Name Address

Telephone Distance (Miles)

Four Paw Lodge, Llc 13610 E Sundown Blvd Vail Az (832) 626-2602 4.34

Riverside Suite 14068 E Huppenthal Blvd Vail Az (520) 202-2210 4.69

Rincon Valley Bed & Break 7080 S Camino Loma Alta Tucson Az (520) 647-3335 7.31

Organizations / Associations

Name Address

Telephone Distance (Miles)

Rincon Valley Cowboy Church 14600 E Colossal Cave Rd Vail Az (520) 404-3380 3.58

Southern Arizona Lutheran Camping Association 14600 E Colossal Cave Rd Vail Az (520) 647-3290 3.72

Bethel Tucson Church Of God 14076 E Wild Jesse Way Vail Az (520) 272-6006 4.26

Holy Spirit Speaks Ministry Llc 10889 S Arrowhead S Vail Az (520) 456-7443 4.95

Personal Services

Name Address

Telephone Distance (Miles)

Grizzle's Fitness 4 Life 14705 E Colossal Cave Rd Vail Az (520) 248-5469 3.49

Boxing Fitness Llc 14423 E Colossal Creek Pl Vail Az (520) 647-0084 3.65

Mcg Fast Fitness 10526 S Pregrine Ridge Ct Vail Az (520) 577-5750 4.56

Southwestern Fitness L.l.c. 10113 S Azure Surrey Dr Vail Az (520) 260-0278 4.81

Shopping

Name Address

Telephone Distance (Miles)

11 Quik Mart 13142 E Colossal Cave Rd Vail Az (520) 762-1009 5.09

Vitalabs 12885 E Red Iron Trl Vail Az (520) 663-3552 5.75

Kathryn R Williams 15750 E Colt Creek Pl Vail Az (520) 647-7672 5.76

A Chocolate Occasion 12556 E Red Canyon Pl Vail Az (520) 977-3178 6.11

Customer Name : Lisa Mrazek

Customer Company Name : First American Title Insurance Company Prepared On : 09/29/2022

© 2022 CoreLogic. All rights reserved

12378 S AGUA VERDE RD Distance 0.06 Miles

Owner Name : Hanson Kelsea

Sale Date : 08/01/2022

Sale Price  : $335,000

Property Tax : $749.44

Total Value : $35,000 Lot Acres : 4.71

Land Use : Residential Acreage APN : 306-38-003D

Recording Date  : 08/03/2022

17123 E MARSH STATION RD Distance 0.07 Miles

Owner Name : Cejudo Jose Angel Woo

Sale Date : 01/10/2000

Total Value : $28,681

Recording Date : 08/10/2000

Sale Price  : $10,000

Property Tax : $225.22

Land Use : Mobile Home Lot Acres : 1.01

Stories : 1 APN : 306-38-0140

Yr Blt / Eff Yr Blt  : 2002 / 2002

12374 S AGUA VERDE RD Distance 0.12 Miles

Owner Name : Gale Jared M

Sale Date : 06/01/2022

Sale Price  : $335,000

Property Tax : $749.44

Total Value : $35,000 Lot Acres : 4.71

Land Use : Residential Acreage APN : 306-38-003E

Recording Date  : 06/03/2022

17135 E ZOO STAGE RD Distance 0.13 Miles

Owner Name : Rumsey Nancy J & Robert J

Total Value : $20,437

Recording Date : 05/17/1996

Property Tax : $437.68

Land Use : Residential Lot Lot Acres : 0.25

Stories : 1 APN : 306-38-0170

Yr Blt / Eff Yr Blt  : 1999 / 1999

17121 E ZOO STAGE RD Distance 0.13 Miles

Owner Name : Rumsey Nancy J & Rumsey Robert

Total Value : $190,960

Bed / Bath : / 3

Land Use : Sfr

Recording Date : 05/17/1996

Property Tax : $2,118.19

Lot Acres : 0.83

Living Area : 2,456

Stories : 1 APN : 306-38-0180

Yr Blt / Eff Yr Blt  : 1985 /

Customer Name : Lisa Mrazek

Customer Company Name : First American Title Insurance Company Prepared On : 09/29/2022

© 2022 CoreLogic. All rights reserved

17115 E ZOO STAGE RD Distance 0.15 Miles

Owner Name : Hinkley Tr

Total Value : $17,000

Property Tax : $286.33

Lot Acres : 1.00

Land Use : Residential Lot APN : 306-38-0190

Recording Date  : 07/10/2000

17191 E ZOO STAGE RD Distance 0.16 Miles

Owner Name : Hinkley Tr

Total Value : $63,505

Bed / Bath : / 4

Land Use : Sfr

Yr Blt / Eff Yr Blt : 1986 /

Property Tax : $800.46

Lot Acres : 1.00

Living Area : 1,429

Stories : 1.5 APN : 306-38-0210

17175 E ZOO STAGE RD Distance 0.17 Miles

Owner Name : Handler David

Sale Date : 08/05/2021

Total Value : $75,626

Bed / Bath : / 2

Land Use : Sfr

Recording Date : 08/06/2021

Sale Price  : $190,000

Property Tax : $897.52

Lot Acres : 1.00

Living Area : 1,019

Stories : 1 APN : 306-38-020A

Yr Blt / Eff Yr Blt  : 1998 /

Customer Name : Lisa Mrazek

Customer Company Name : First American Title Insurance Company Prepared On : 09/29/2022

CoreLogic.

© 2022
All rights reserved

Census Tract / block: 40.61 / 4     Year: 2018

Household

Population Population by Age

Count: 5,087 0 - 11

Estimate Current Year: 5,227 12 - 17

Estimate in 5 Years: 5,825 18 - 24 7.86%

Growth Last 5 Years: 12.78% 25 - 64 48.54%

Growth Last 10 Years: -121.96% 65 - 74 13.98% 75+

Household Size

Household Income

Current Year: 1,803 0 - $25,000 13.81%

Average Current Year: 2.82 $25,000 - $35,000 5.71%

Estimate in 5 Years: 1,833 $35,000 - $50,000 6.93%

Growth Last 5 Years: 6.88% $50,000 - $75,000 16.2%

Growth Last 10 Years: 21.33% $75,000 - $100,000 12.26%

Male Population: 48.79% Above $100,000 45.09%

Female Population: 51.21% Average Household Income: $90,066

Married People: 62.76%

Unmarried People: 37.24%

Housing

Median Mortgage Payments Home Values

Under $300: 10% Below $100,000: 19.82%

$300 - $799: 21.66% $100,000 - $150,000: 8.28%

$800 - $1,999: 38.64% $150,000 - $200,000: 10.41%

Over $2,000: 29.7% $200,000 - $300,000: 16.45%

Median Home Value: $262,200 $300,000 - $500,000: 31.42%

Unit Occupied Owner: 93.73% Above $500,000: 13.61%

Median Mortgage: $1,340

Customer Name : Lisa Mrazek

Customer Company Name : First American Title Insurance Company Prepared On : 09/29/2022

© 2022 CoreLogic. All rights reserved

Rent Payments Year Built

Unit Occupied Renter: 6.27% 1999 - 2000

Median Gross Rent: $946 1995 - 1998

Less Than $499 12.05% 1990 - 1994

$500 - $749 0% 1980 - 1989 10.19%

$750 - $999 55.42% 1970 - 1979 2.71%

$1000 and Over 32.53% 1900 - 1969 3.38%

Education

Enrollment

Public Pre-Primary School: 0.46%

Not Enrolled in School: 72.73%

Private Pre-Primary School: 1.21% Not A High School Graduate: 6.21%

Public School: 24.08% Graduate Of High School: 19.31%

Private School: 3.19% Attended Some College: 24.38%

Public College: 7.32% College Graduate: 32.25%

Private College: 1.37% Graduate Degree: 17.84% Workforce

Occupation:

Manager/Prof: 43.31% Private Worker: 58.78% Technical: Government Worker: 15.73%

Sales: 26.56% Self Employed Worker: 5.5%

Administrative: Unpaid Family Worker: 14.2%

Private House Hold: Farming: 8.85%

Service: 15.52% Skilled:

Protective Services: Blue-Collar: 14.61%

Commute Time

Less Than 15 Min: 3.08%

15 min - 28 min: 29.77%

30 min - 57 min: 57.02%

Over 60 min: 10.13%

Customer Name : Lisa Mrazek

Customer Company Name : First American Title Insurance Company Prepared On : 09/29/2022

© 2022 CoreLogic. All rights reserved

Customer Name : Lisa Mrazek

Customer Company Name : First American Title Insurance Company Prepared On : 09/29/2022

CoreLogic.

© 2022
All rights reserved

Customer Name : Lisa Mrazek

Customer Company Name : First American Title Insurance Company

Prepared On : 09/29/2022

CoreLogic.

© 2022
All rights reserved

Customer Name : Lisa Mrazek

Customer Company Name : First American Title Insurance Company

Prepared On : 09/29/2022

CoreLogic.

© 2022
All rights reserved

PARCEL:  306-38-003C

PARCEL: 306-38-003C

AFFIDAVIT    2022 770 06/07/2022

RATE

PRIMARY  5,250  0  0  9.6792  2000

SECONDARY  5,250

0  4.5947

2021 TOTAL TAX BILLED 749.44

2021  TAX AMT TAX DUE INTEREST DATE PAID

TOTAL DUE

FIRST HALF  374.72  0.00  0.00  09/08/2021  0.00

SECOND HALF  374.72  0.00  0.00  09/08/2021  0.00

TOTAL CURRENT TAXES DUE 09/22 0.00 10/22 0.00

BLDG SQFT

EXTERIOR WALLS

FULL CASH VALUE  35,000

LAND USE  00 14

LOT SIZE  4.710 ACRES

SCHOOL DISTRICT  2000

LAND FULL CASH VALUE  35,000

IMPR FULL CASH VALUE

STAHLKOPFF CARLOS & VERONI

REISCH MARILYN WINER & JOH

+ FIRST AMERICAN TITLE, FC0, LMRA PIMA, AZ 09/29/2022  05:06PM  RL13  INVESTIGATIVE SEARCH RESULTS PAGE 1 OF 1 SEARCH PARAMETERS
INSTRUMENT REC DATE OWNER: STEFFEN LORA
SITUS: 12382 S AGUA VERDE RD VAIL  MAIL: PO BOX 1328   LEGAL: PTN N662.45' W419.31' SW4 NE4 LYG N & ADJ RR 4.71 AC SEC 20-16-17 BEING PTN DACITE NO 1 PLACER MINING CLAIM  CURRENT TAXES INFORMATION THROUGH 07/28/2022 LAND IMPR EXEMPT
AREA SPECIAL DISTRICTS
0
IMPROVEMENTS
0
YEAR BUILT  0
NUMBER OF STORIES
STORIES HEIGHT  0
GRADE MATERIALS
0 SALES SALE DATE SALE AMOUNT INSTRUMENT TYPE SELLER NAME VALIDITY 06/07/2022 300,000    2022 770 WD
09/07/2021 46,000    2021 2500549 WD
ADDITIONAL PROPERTY INFORMATION STANDARD LAND USE: RESIDENTIAL LOT END SEARCH

Turn static files into dynamic content formats.

Create a flipbook
Issuu converts static files into: digital portfolios, online yearbooks, online catalogs, digital photo albums and more. Sign up and create your flipbook.