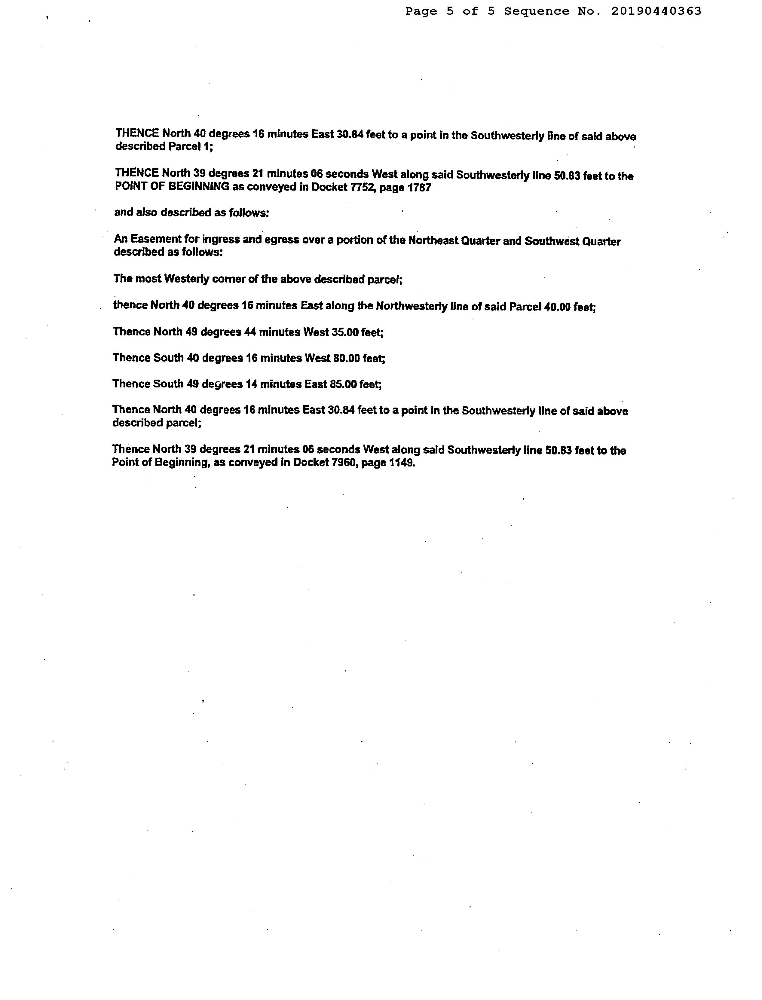
11446 E Catalina Hwy, Tucson, AZ 85749

Page 1

LIMITATION OF LIABILITY FOR INFORMATIONAL REPORTS

IMPORTANT -- PLEASE READ CAREFULLY:

This report is not an insured product or service or a representation of the condition of title to real property. It is not an abst ract, legal opinion, opinion of title, title insurance commitment or preliminary report, or any form of Title Insurance or Guaranty. This report is issued exclusively for the benefit of the Applicant therefor and may not be used or relied upon by any other person. This report may not be reproduced in any manner without First American or Title Security's prior written consent. First American or Title Security does not represent or warrant that the information herein is complete or free from error, and the information herein is provided without any warranties of any kind, as-is, and with all faults. As a material part of the consideration given in exchange for the issuance of this report, recipient agrees that First American or Title Security's sole liability for any loss or damage caused by an error or omission due to inaccurate information or negligence in preparing this report shall be limited to the fee charged for the report. Recipient accepts this report with this limitation and agrees that First American or Title Security would not have issued this report but for the limitation of liability described above. First American or Title Security makes no representation or warranty as to the legality or propriety of recipient's use of the information herein.

Data Provided By:

Subject Property 11446 E Catalina Hwy Tucson AZ 85749 APN: 205-32-005J
First American Title Ins Co © 2022 CoreLogic. All rights reserved

Disclaimer

This REiSource report is provided "as is" without warranty of any kind, either express or implied, including without limitations any warrantees of merchantability or fitness for a particular purpose. There is no representation of warranty that this information is complete or free from error, and the provider does not assume, and expressly disclaims, any liability to any person or entity for loss or damage caused by errors or omissions in this REiSource report without a title insurance policy.

The information contained in the REiSource report is delivered from your Title Company, who reminds you that you have the right as a consumer to compare fees and serviced levels for Title, Escrow, and all other services associated with property ownership, and to select providers accordingly. Your home is the largest investment you will make in your lifetime and you should demand the very best.

© 2022 CoreLogic. All rights reserved

Tucson AZ

Owner Information

Owner Name : Young Rowe A Mailing Address : 6524 Via Trento, Delray Beach FL 33446-3736 C058

Vesting Codes : / / Trust

Owner Occupied Indicator : A

Location Information

Legal Description : Irreg Pcl Adj To E Line Of Ne4 Sw4 H 3.562 Ac Sec 18-13-16

County : Pima, Az

Census Tract / Block : 40.51 / 3

Township-Range- Sect : 13S-16E-18

Legal Lot : 11

Market Area : 13

Owner Transfer Information

Recording/Sale Date : 02/13/2019 / 12/11/2018

Document # : 440363

Last Market Sale Information

Recording/Sale Date : 08/03/2016 / 07/25/2016

Sale Price : $530,000

Document # : 2160238

Title Company : Catalina Title

Seller Name : Hurst Jon C

Prior Sale Information

Prior Rec/Sale Date : 01/27/1987 / 01/00/1987

Prior Sale Price : $146,500

APN : 205-32-005J

Map Reference : 18-13S-16E

School District : Tanque Verde

Munic/Township : Tanque Verde

Deed Type : Rerecorded Deed

Deed Type : Warranty Deed

Price Per SqFt : $193.64

Prior Doc Number : 7960-1149

Prior Deed Type : Warranty Deed

Customer Name : Jeremiah Stiffler

Customer Company Name : First American Prepared On : 10/20/2022

Subject Property :   11446 E Catalina Hwy
85749
© 2022 CoreLogic. All rights reserved

Property Characteristics

Gross Area : 2,737

Living Area : 2,737

Total Rooms : 10

Year Built / Eff : 1980

# of Stories : 1

Roof Material : Built-up Air Cond : Evap Cooler

Heat Type : Forced Air Quality : Fair

Cooling Type : Forced Air Condition : Excellent

Exterior wall : Adobe Bath Fixtures : 7

Patio Type : Covered Patio Pool Size : 450

Parking Type : None Pool : Pool

Property Information

Land Use : Sfr

Zoning : SR Lot Size : 155,074

County Use : Single Fam Resurban Non Subd Lot Acres : 3.56

Tax Information

Total Value : $386,431

Total Taxable Value : $38,643

Property Tax : $4,190.68

Tax Rate Area : 1300

State Use : Single Fam Resurban Non Subd

Current Year Total Value : $47,519

Current Year Improvement Value :

$47,468

Assessed Year : 2021 Market Value : $386,431 Current Year Land Value : $50

Tax Year : 2021 Current Assessed Year : 2023

Customer Name : Jeremiah Stiffler

Customer Company Name : First American Prepared On : 10/20/2022

© 2022 CoreLogic. All rights reserved
Sales Analysis Criteria Subject Property Low High Average Sale Price $530,000 $630,000 $942,000 $717,429 Bldg/Living Area 2737 2494 2807 2639 Price Per Square Foot $193.64 $230 $365 $272.54 Year Built 1980 1981 2018 1996 Lot Size 155,074 7,176 146,293 79,265 Bedrooms Bathrooms 3 3 4 4 Stories 1 1 1 1 Total Assessed Value $386,431 $343,234 $571,948 $430,182 Distance From Subject 0 0.2 0.68 0.54 Summary of Comparables # Address Sale Price Total Assessed Value Sale Date Bed
Bath Living
Area Lot Size Year Built Dist (Miles)
Zoning
S 11446 E Catalina Hwy 530,000 386,431 08/03/2016 3 2,737 155,074 1980 SR 1 11370 E Camino Del Sahuaro 942,000 571,948 05/26/2022 4 2,583 139,109 1986 0.2 SR 2 4850 N Avenida De Franelah 775,000 497,023 12/01/2021 4 2,672 146,293 1993 0.49 SR 3 11025 E Snyder Rd 640,000 388,615 02/16/2022 2,600 143,748 2002 0.55 SR 4 4580 N Via Madre 645,000 375,624 01/19/2022 4 2,807 43,603 1981 0.59 CR-1 5 11077 E Carved Tree Ct 630,000 431,345 11/16/2021 3 2,657 7,176 2018 0.61 CB-1 6 11615 E Sneller Vista Dr 685,000 343,234 03/01/2022 3 2,494 66,865 1986 0.68 CR-1 7 11033 E Carved Tree Ct 705,000 403,486 03/16/2022 3 2,657 8,063 2008 0.68 CB-1 Distressed Sales = Customer Name : Jeremiah Stiffler Customer Company Name : First American Prepared On : 10/20/2022 © 2022 CoreLogic. All rights reserved
Map Customer Name : Jeremiah Stiffler Customer Company Name : First American Prepared On : 10/20/2022 © 2022 CoreLogic. All rights reserved

Details of Comparables

Subject Property: 11446 E Catalina Hwy Tucson Az 85749

Owner Name: Young Rowe A /

APN / Alternate APN: 205-32-005J / Deed Type: Warranty Deed

Land Use: Sfr Subdivision / Tract: / Lot Size: 155,074

Year Built / Eff: 1980 / Rec. Date / Price: 08/03/2016 / $530,000 Living Area: 2,737

Document #: 2160238

# of units:

Bedrooms: Pool: Pool

Total Tax Value: $386,431 Bath(F/H): /

#1   11370 E Camino Del Sahuaro Tucson Az 85749

Owner Name: Skwiot John /Skwiot Stacey

APN / Alternate APN: 205-32-0170 / Deed Type: Warranty Deed

Land Use: Sfr Subdivision / Tract: Homestead / Lot Size: 139,109

Year Built / Eff: 1986 / Rec. Date / Price: 05/26/2022 / $942,000 Living Area: 2,583

Document #: 1460684

# of units:

Bedrooms: Pool: Pool

Total Tax Value: $571,948 Bath(F/H): /

#2   4850 N Avenida De Franelah Tucson Az 85749

Owner Name: Garles Cesilie J /Garles Daniel E APN / Alternate APN: 205-32-0320 / Deed Type: Warranty Deed Land Use: Sfr Subdivision / Tract: Elin Ranch / Lot Size: 146,293

Year Built / Eff: 1993 / Rec. Date / Price: 12/01/2021 / $775,000 Living Area: 2,672

# of units:

Bedrooms: Pool: Total Tax Value: $497,023 Bath(F/H): /

Document #: 3350539

#3   11025 E Snyder Rd Tucson Az 85749

Owner Name: Acosta Clinton V / APN / Alternate APN: 114-06-011Z / Deed Type: Warranty Deed Land Use: Sfr Subdivision / Tract: / Lot Size: 143,748

Year Built / Eff: 2002 /2002 Rec. Date / Price: 02/16/2022 / $640,000 Living Area: 2,600 # of units: Document #: 470897

Bedrooms: Pool:

Total Tax Value: $388,615 Bath(F/H): /

#4   4580 N Via Madre Tucson Az 85749

Owner Name: Schwark Steven /Schwark Kristen

APN / Alternate APN: 205-33-1600 / Deed Type: Warranty Deed

Land Use: Sfr Subdivision / Tract: Catalina Madre / Lot Size: 43,603

Year Built / Eff: 1981 / Rec. Date / Price: 01/19/2022 / $645,000 Living Area: 2,807

# of units: Document #: 190458

Bedrooms: Pool: Pool

Total Tax Value: $375,624 Bath(F/H): /

Customer Name : Jeremiah Stiffler

Customer Company Name : First American Prepared On : 10/20/2022

© 2022 CoreLogic. All rights reserved

#5   11077 E Carved Tree Ct Tucson Az 85749

Owner Name: Edwards Suzanne / APN / Alternate APN: 114-23-5980 / Deed Type: Warranty Deed Land Use: Sfr

Subdivision / Tract: Outpost Preserve / Lot Size: 7,176

Year Built / Eff: 2018 / Rec. Date / Price: 11/16/2021 / $630,000 Living Area: 2,657

Document #: 3200271

# of units:

Bedrooms: Pool:

Total Tax Value: $431,345 Bath(F/H): /

#6   11615 E Sneller Vista Dr Tucson Az 85749

Owner Name: Pucillo John /Pucillo Pamela APN / Alternate APN: 205-33-1210 / Deed Type: Warranty Deed Land Use: Sfr

Subdivision / Tract: La Bella Vista / Lot Size: 66,865

Year Built / Eff: 1986 / Rec. Date / Price: 03/01/2022 / $685,000 Living Area: 2,494

# of units: Document #: 600133

Bedrooms: Pool: Pool

Total Tax Value: $343,234 Bath(F/H): /

#7   11033 E Carved Tree Ct Tucson Az 85749

Owner Name: Bump Daniel R / APN / Alternate APN: 114-23-5910 / Deed Type: Warranty Deed Land Use: Sfr

Subdivision / Tract: Outpost Preserve / Lot Size: 8,063

Year Built / Eff: 2008 / Rec. Date / Price: 03/16/2022 / $705,000 Living Area: 2,657

# of units: Document #: 750106

Bedrooms: Pool:

Total Tax Value: $403,486 Bath(F/H): /

Customer Name : Jeremiah Stiffler

Customer Company Name : First American Prepared On : 10/20/2022

© 2022 CoreLogic. All rights reserved
Subject Property :   11446 E Catalina Hwy Tucson AZ 85749 Customer Name : Jeremiah Stiffler Customer Company Name : First American Prepared On : 10/20/2022 © 2022 CoreLogic. All rights reserved

Company

Stiffler

American

Customer Name : Jeremiah
Customer
Name : First
Prepared On : 10/20/2022 © 2022 CoreLogic. All rights reserved

Arizona Schools

For detailed information and statistics on Arizona schools please go to

https://azreportcards.azed.gov/ First American Title Insurance Company, and the operating divisions thereof, make no express or implied warranty respecting the information presented and assume no responsibility for errors or omissions. First American, the eagle logo, First American Title, and firstam.com are registered trademarks or trademarks of First American Financial Corporation and/or its affiliates. ©2021 First American Financial Corporation and/or its affiliates. All rights reserved. NYSE: FAF 05117910421

WSilverbellRd

terman Moun

VERDE

TUCSON

efButteRd

EDesertDove

SGuildRd

GasLineRd

SOwlHead

NFrontageRd

NKINNEYRD

SSanJoaquinRd

NSILVERBELLRD

SKINNEYRD

SMISSIONRD

SSantaRitaRd

Road424

SHelvetiaRd

520.625.3502

E. Ginter Road, Tucson, AZ 85706 520.545.2000

N. Tanque Verde Loop, Tucson, AZ 85749 520.749.5751

E. 10th Street, Tucson, AZ 85717 520.225.6000

E. Mary Ann Cleveland Way, Tucson, AZ 85747 520.879.2000

05249570321 TUCSON INT'L AIRPORT Air Force
N M t L emmon Hwy ESascoRd NF 38 W Avra Valley Rd E Grand Va ey DrNAguirre R d N L u c k e R d N W e n t z R d N Wa
ta i n R d N Anway Rd W El Tiro Rd N Trico Rd W Tucker Rd W Rudas l Rd W Manvi e Rd
WBopp Rd W Snyder H l Rd S M a r s e a r R d W Park Rd W Hermans RdW Hermans Rd W Guy St W Bush Rd S G a v e y R d N C a e R i n c o n a d o S W m o R d S Shaw Rd S Sierrita Mountain Rd S K o b R d W TwinButtes Rd W Mcgee Ranch Rd S E s t a n c a D r
E Hemlock Dr N Bea r C a n y o n R d W E Camino Del Cerro E Fairmount St S Swan Rd
W Emigh Rd W Fort Lowe Rd N P u m p S t a t ion dR E Nona Rd Ch
Lo al Ave N Trico Rd S Cattle Tank Rd Evalyn Rd
R a n c h Rd
S P ec a n R d N T r c o R d W Bayard Rd S S a n d a r o R d W i l l owSpri n gsRd N Dove Mountain Blvd
WAnamax Mine Rd W G a c i a R a n hc R d
WRagged Top Rd W Ruby Star Dr WBritten RanchRd W Pima Mine Rd S Mcgee Ranch R d E Edw n Rd
8 0
S PICACHO HWY E BAUMGARTNER RD N S A N D A R I O R D N ANWAY RD W VALENCIA RD W MOORE RD W INA RD N 1 S T A V E E SUNRISE DR E SNYDER RD
N S O L D I E R T R L E RIVER RDE PRINCE RD E SPEEDWAY BLVD S FREEMAN RD E 22ND ST E 22ND ST W IRVINGTON RD S N O G A L E S H W Y W VALENCIA RD
W SPEEDWAY BLVD S O L D S P A N I S H T RL W NARANJA DR W TWIN PEAKS RD W PICTURE ROCKS RD W MANVILLE RD
W MILE WIDE RD E SAHUARITA RD N TRICO RD S S A N D A R O R D PARK LINK DR S OLD N O G ALES HW Y S H O U G H T O N R D S L A C A N A D A DRW HELMET PEAK RD WAJOHWY N S W A N R D S KOLB RD S HOUGHTON RD W TANGERINE RD E GRANT RD S H O U G H T O N R D 9 5 WAJOHWY E VALENCIA RD NORACLE R D I10 I-19 77 77 77 86 86 286 10 19 10 10 Corona de Tucson Casas Adobes Catalina Green Valley Oracle Picture Rocks Three Points VailSummit Tanque Verde Tucson Sahuarita Red Rock Saddlebrooke Marana Oro Valley Rillito Summerhaven Willow Canyon Oracle Junction Cortaro Continental Littletown 20 30 13 15 51 39 12 01 01 08 10 16 11 06 PIMA COUNTY School District Information This map is provided for general location only. Please contact school districts for actual street boundaries SCHOOL DISTRICTS 15 AJO UNIFIED 111 N. Well Road, Ajo, AZ 85321 520.387.5618 51 ALTAR VALLEY ELEMENTARY 10105 S. Sasabe Road, Tucson, AZ 85736 520.822.1484 10 AMPHITHEATER UNIFIED 701 W. Wetmore, Tucson, AZ 85705 520.696.5000 16 CATALINA FOOTHILS UNIFIED 2101 E. River Road, Tucson, AZ 85718 520.209.7500 39 CONTINENTAL ELEMENTARY 1991 E. Whitehouse Canyon, Green Valley, AZ 85614 520.625.4581 08 FLOWING WELLS UNIFIED 1556 W. Prince Road, Tucson, AZ 85705 520.696.8800 06 MARANA UNIFIED 11279 W. Grier Road, Marana, AZ 85653 520.682.3243 11 PIMA COUNTY JTED 2855 W. Master Pieces Dr, Tucson, AZ 85741 520.352.5833 30 SAHUARITA UNIFIED 350 W. Sahuarita Road, Sahuarita, AZ 85629
12 SUNNYSIDE UNIFIED 2238
13 TANQUE
UNIFIED 2300
01
UNIFIED 1010
20 VAIL UNIFIED 10701
First American Title Insurance Company, and the operating divisions thereof, make no express or implied warranty respecting the information presented and assume no responsibility for errors or omissions. First American, the eagle logo, First American Title, and firstam.com are registered trademarks or trademarks of First American Financial Corporation and/or its affiliates. ©2021 First American Financial Corporation and/or its affiliates. All rights reserved. NYSE: FAF

Public Schools :

Elementary Schools

Agua Caliente School

Distance 1.29 Miles 11420 E Limberlost Rd Tucson AZ 85749

Telephone : (520) 749-2235

Lowest Grade : Pre-K

School District : Tanque Verde Unified District (4408)

Highest Grade : 6th

Kindergarten : Yes School Enrollment :

Enrollment : 498

Total Expenditure/Student : 0

Distance 2.39 Miles 12051 E Fort Lowell Rd Tucson AZ 85749

Hermosa Montessori Charter

Telephone : (520) 749-5518

Lowest Grade : K

School District : Hermosa Montessori Charter School (4426)

Highest Grade : 8th

Kindergarten : Yes School Enrollment : Enrollment : 233

Total Expenditure/Student :

Distance 3.23 Miles 2600 N Fennimore Ave Tucson AZ 85749

Tanque Verde Elementary School

Telephone : (520) 749-4244

Lowest Grade : Pre-K

School District : Tanque Verde Unified District (4408)

Highest Grade : 6th

Kindergarten : Yes School Enrollment :

Enrollment : 712

Total Expenditure/Student : 0

Customer Name : Jeremiah Stiffler

Customer Company Name : First American Prepared On : 10/20/2022

© 2022 CoreLogic. All rights reserved

Collier Elementary School

Distance 3.43 Miles 3900 N Bear Canyon Rd Tucson AZ 85749

Telephone : (520) 584-4800

Lowest Grade : Pre-K

School District : Tucson Unified District (4403)

Highest Grade : 5th

Kindergarten : Yes School Enrollment :

Enrollment : 150

Total Expenditure/Student : 200

Middle Schools

Emily Gray Junior High School

Distance 3.45 Miles 11150 E Tanque Verde Rd Tucson AZ 85749

Telephone : (520) 749-3838

Lowest Grade : 7th

School District : Tanque Verde Unified District (4408)

Highest Grade : 8th Kindergarten : No School Enrollment :

Enrollment : 396

Total Expenditure/Student : 0

Distance 4.77 Miles 5801 N Sabino Canyon Rd Tucson AZ 85750

Esperero Canyon Middle School

Telephone : (520) 209-8100

Lowest Grade : 6th

School District : Catalina Foothills Unified District (4410)

Highest Grade : 8th

Kindergarten : No School Enrollment : Enrollment : 620

Total Expenditure/Student : 101

Customer Name : Jeremiah Stiffler

Customer Company Name : First American Prepared On : 10/20/2022

© 2022 CoreLogic. All rights reserved

High Schools

Pcjted - Tanque Verde High School

Distance 1.08 Miles 4201 N Melpomene Way Tucson AZ 85749

Telephone : (520) 760-0801

School District : Pima County Jted (89380)

Lowest Grade : 9th Highest Grade : 12th School Enrollment : Enrollment : 0

Total Expenditure/Student :

Advanced Placement : No

Distance 1.08 Miles 4201 N Melpomene Way Tucson AZ 85749

Tanque Verde High School

Telephone : (520) 760-0801

School District : Tanque Verde Unified District (4408)

Lowest Grade : 9th Highest Grade : 12th School Enrollment : Enrollment : 574

Total Expenditure/Student : 0

Advanced Placement : No

Distance 1.08 Miles 4201 N Melpomene Way Tucson AZ 85749

Pima County Jted Annex

Telephone : (520) 352-5833

School District : Pima County Jted (89380)

Lowest Grade : 9th Highest Grade : 12th School Enrollment : Enrollment : 4

Total Expenditure/Student :

Pcjted - Sabino High School

5000 N Bowes Rd Tucson AZ 85749

Telephone : (520) 584-7700

Advanced Placement : No

Distance 2.37 Miles

School District : Pima County Jted (89380)

Lowest Grade : 9th Highest Grade : 12th School Enrollment : Enrollment : 0

Total Expenditure/Student :

Advanced Placement : No

Customer Name : Jeremiah Stiffler Customer Company Name : First American Prepared On : 10/20/2022 © 2022 CoreLogic. All rights reserved

Local Business

Attractions / Recreation

Name Address

Telephone Distance (Miles)

Coyote Springs Sporting Clays, L.l.c. 11345 E Sunrise Ranch Pl Tucson Az (520) 235-5505 0.2

Americas Club Corporate 5250 N Mt Lemmon Shrt Rd Tucson Az (520) 326-4450 0.34

South West Aquatic Sports Llc 4184 N Soldier Trl Tucson Az (520) 488-8996 1.23

Redman's Power Chair Repair, Llc 4790 N Keet Seel Trl Tucson Az (520) 760-3206 1.33

Banks / Financial

Name Address

Telephone Distance (Miles)

Bank Of America, National Association 9015 E Tanque Verde Rd Tucson Az (520) 760-2121 4.21

Eating / Drinking

Name Address

Telephone Distance (Miles)

Red Wagon Steak And Sub, L.l.c. 11331 E Ammon Pl Tucson Az (520) 360-9049 1.03

World Famous Wild Boys Showclu 10850 E Camino Miramonte Tucson Az (520) 977-7599 1.12

Ken's Barbecue 11260 E Calle Vaqueros Tucson Az (520) 347-4869 1.55

Desertrain Cafe 10700 E Roger Rd Tucson Az (520) 383-4966 1.69

Health Care Services

Name Address

Telephone Distance (Miles)

Mike Noonan Physical Therapy, L.l.c. 4967 N Placita Borboa Tucson Az (520) 749-1137 0.13

Southwest Surgical Services 12125 E Quesada Pl Tucson Az (520) 664-6264 0.96

San Rafael Medical Center Association, Inc. 11743 E Limberlost Rd Tucson Az (520) 730-7853 1.27

Dempseys Adult Care Home 10561 E Roger Rd Tucson Az (800) 500-7522 1.76

Hospitality

Name Address

Telephone Distance (Miles)

Sargents Cabins 4850 N Ambermatt Pl Tucson Az (520) 749-3637 1.08

Mary Karrels 3930 N Smokey Topaz Tucson Az (520) 749-5345 1.7

Customer Name : Jeremiah Stiffler

Customer Company Name : First American Prepared On : 10/20/2022

© 2022 CoreLogic. All rights reserved

Rimrock West Hacienda 3450 N Drake Pl Tucson Az (520) 749-8774 2.17

Casitas At Sabino Springs 9690 E Sabino Greens Dr Tucson Az (520) 579-4345 2.25

Organizations / Associations

Name Address Telephone Distance (Miles)

Bethel In The Desert 4398 N Via Noriega Tucson Az (520) 749-0968 0.83

The Navigators 4300 N Windridge Loop Tucson Az (520) 749-5550 1.08

Cme Enterprises Llc 4521 N Avenida Del Conejo Tucson Az (520) 631-2943 1.19

Excelsior Home Sales, Llc 4721 N Rio Vista Dr Tucson Az (520) 437-2259 1.59

Personal Services

Name Address Telephone Distance (Miles)

Canyon Ranch Spa Club At Sea, Llc 8600 E Rockcliff Rd Tucson Az (520) 749-9655 3.75

Canyon Ranch Enterprises, Llc 8600 E Rockcliff Rd Tucson Az (520) 749-9655 3.75

La Mariposa Fitness And Sports Club 1501 N Houghton Rd Tucson Az (520) 749-1099 3.82

On The Move Home Fitness Llc 9055 E Catalina Hwy # 510 Tucson Az (832) 633-4462 4.03

Shopping

Name Address Telephone Distance (Miles)

Queen B's Royal Foods, L.l.c. 12230 E Quesada Pl Tucson Az (520) 237-8373 1.05

Cutting Board Gallery 11260 E Holster Dr Tucson Az (520) 609-7599 1.42

Defiant Candy Co., Llc 3191 N Spirit Dancer Trl Tucson Az (520) 979-2986 2.65

Southwest Seafood Shoppes Llc 4321 N Bear Claw Way Tucson Az (520) 790-7595 3.33

Customer Name : Jeremiah Stiffler

Customer Company Name : First American

On : 10/20/2022

Prepared
© 2022 CoreLogic. All rights reserved

4991 N PLACITA BORBOA

Owner Name : Schroeder Eric M

Sale Date : 04/11/2022

Total Value : $120,600

Distance 0.05 Miles

Recording Date : 04/12/2022

Sale Price  : $225,000

Property Tax : $2,242.67

Land Use : Residential Acreage Lot Acres : 3.69

Subdivision : Snyder Creek Canyon

11440 E CATALINA HWY

Owner Name : Kanis Jason

Sale Date : 06/05/2020

Total Value : $427,864

Bed / Bath : / 3

APN : 205-32-0770

Distance 0.07 Miles

Recording Date : 06/16/2020

Sale Price  : $555,000

Property Tax : $4,704.30

Lot Acres : 3.65

Land Use : Sfr Living Area : 2,590

Stories : 1 APN : 205-32-005H

Yr Blt / Eff Yr Blt  : 1993 /

11460 E CATALINA HWY

Owner Name : Rivera -lopez

Total Value : $491,844

Bed / Bath : / 5

Distance 0.07 Miles

Recording Date : 02/22/2000

Sale Price  : $100,000

Property Tax : $5,497.51

Land Use : Sfr Lot Acres : 3.49

Stories : 1 Living Area : 3,118

Yr Blt / Eff Yr Blt : 2001 /

APN : 205-32-005E

11400 E CATALINA HWY Distance 0.1 Miles

Owner Name : Elmer Charles D

Sale Date : 09/29/2010

Total Value : $393,532

Bed / Bath : / 2

Land Use : Sfr

Subdivision : Broadway East #4

Recording Date : 09/30/2010

Sale Price  : $260,000

Property Tax : $3,893.29

Lot Acres : 3.49

Stories : 1 Living Area : 2,217

Yr Blt / Eff Yr Blt : 1979 /

APN : 205-32-005F

Customer Name : Jeremiah Stiffler

Customer Company Name : First American Prepared On : 10/20/2022

© 2022 CoreLogic. All rights reserved

11490 E CATALINA HWY

Owner Name : Dohoney Richard F

Sale Date : 05/00/1995

Total Value : $455,791

Bed / Bath : / 3

Land Use : Sfr

Stories : 1

Yr Blt / Eff Yr Blt  : 1990 /

Distance 0.11 Miles

Recording Date : 05/09/1995

Sale Price  : $146,500

Property Tax : $5,050.58

Lot Acres : 3.47

Living Area : 3,594

APN : 205-32-005D

4992 N PLACITA BORBOA Distance 0.11 Miles

Owner Name : Liguori Edward B

Sale Date : 09/18/2019

Total Value : $107,200

Land Use : Residential Acreage

Recording Date : 09/26/2019

Sale Price  : $110,000

Property Tax : $1,993.51

Lot Acres : 3.67

Subdivision : Snyder Creek Canyon APN : 205-32-0780

4967 N PLACITA BORBOA

Owner Name : Noonan Michael R

Sale Date : 04/00/2005

Total Value : $478,524

Bed / Bath : / 5

Distance 0.11 Miles

Subdivision : Snyder Creek Canyon

Recording Date : 05/26/2006

Sale Price  : $826,097

Property Tax : $5,332.34

Land Use : Sfr Lot Acres : 3.32

Stories : 1

Living Area : 2,948

Yr Blt / Eff Yr Blt : 2006 / APN : 205-32-0760

4986 N PLACITA BORBOA Distance 0.12 Miles

Owner Name : Moeller M

Sale Date : 01/14/2008

Total Value : $656,997

Bed / Bath : / 5

Land Use : Sfr

Subdivision : Snyder Creek Canyon

Recording Date : 01/15/2008

Sale Price  : $373,000

Property Tax : $7,545.03

Lot Acres : 3.32

Stories : 1 Living Area : 3,550

Yr Blt / Eff Yr Blt : 2009 /

APN : 205-32-0790

Customer Name : Jeremiah Stiffler

Customer Company Name : First American Prepared On : 10/20/2022

© 2022 CoreLogic. All rights reserved

11500 E CATALINA HWY

Owner Name : Luquette Chawick

Sale Date : 04/24/2018

Total Value : $116,000

Distance 0.12 Miles

Sale Price  : $108,700

Property Tax : $2,157.11

Lot Acres : 3.32

Land Use : Residential Lot APN : 205-32-008H

Recording Date  : 06/29/2018

4974 N PLACITA BORBOA Distance 0.14 Miles

Owner Name : Bellino Victor P Tr & Bellino

Sale Date : 05/22/2018

Total Value : $531,978

Bed / Bath : / 4

Subdivision : Snyder Creek Canyon

Recording Date : 06/07/2018

Sale Price  : $695,000

Property Tax : $5,995.14

Land Use : Sfr Lot Acres : 3.32

Stories : 1 Living Area : 3,203

Yr Blt / Eff Yr Blt : 2006 / APN : 205-32-0800

Customer Name :

Customer Company

:

American

On : 10/20/2022

Jeremiah Stiffler
Name
First
Prepared
© 2022 CoreLogic. All rights reserved

Census Tract / block: 40.51 / 3     Year: 2018

Household

Population Population by Age

Count: 4,956 0 - 11

Estimate Current Year: 5,101 12 - 17

Estimate in 5 Years: 5,725 18 - 24 5.95%

Growth Last 5 Years: 0.3% 25 - 64 50.24%

Growth Last 10 Years: -155.75% 65 - 74 18.14% 75+

Household Size Household Income

Current Year: 1,948 0 - $25,000 11.91%

Average Current Year: 2.53 $25,000 - $35,000 4.93%

Estimate in 5 Years: 2,248 $35,000 - $50,000 5.85%

Growth Last 5 Years: 1.13% $50,000 - $75,000 15.55%

Growth Last 10 Years: -0.52% $75,000 - $100,000 10.73%

Male Population: 51.51% Above $100,000 51.03%

Female Population: 48.49% Average Household Income: $103,417

Married People: 74.42%

Unmarried People: 25.58%

Housing

Median Mortgage Payments

Home Values

Under $300: 2.06% Below $100,000: 2.01%

$300 - $799: 22.18% $100,000 - $150,000: 1.74%

$800 - $1,999: 37.59% $150,000 - $200,000: 1.48% Over $2,000: 38.17% $200,000 - $300,000: 14.31%

Median Home Value: $416,400 $300,000 - $500,000: 53.33%

Unit Occupied Owner: 97.23% Above $500,000: 27.14%

Median Mortgage: $1,509

Customer
Name :
Jeremiah Stiffler
Customer Company Name : First American Prepared On : 10/20/2022 © 2022 CoreLogic. All rights reserved

Rent Payments

Year Built

Unit Occupied Renter: 2.77% 1999 - 2000

Median Gross Rent: $2,155 1995 - 1998

Less Than $499 0% 1990 - 1994

$500 - $749 0% 1980 - 1989 19.24%

$750 - $999 0% 1970 - 1979 43.16%

$1000 and Over 100% 1900 - 1969 3.43%

Education

Enrollment

Public Pre-Primary School: 0% Not Enrolled in School: 78.99%

Private Pre-Primary School: 0.22% Not A High School Graduate: 2.33%

Public School: 18.32% Graduate Of High School: 12.03%

Private School: 2.7% Attended Some College: 20.44%

Public College: 4.47% College Graduate: 35.63%

Private College: 1.1% Graduate Degree: 29.57%

Workforce

Occupation:

Manager/Prof: 59.41% Private Worker: 59.27%

Technical: Government Worker: 19.69%

Sales: 18.45% Self Employed Worker: 5.78%

Administrative: Unpaid Family Worker: 8.41%

Private House Hold: Farming: 4.11%

Service: 8.46% Skilled:

Protective Services: Blue-Collar: 13.68%

Commute Time

Less Than 15 Min: 5.79%

15 min - 28 min: 42.72%

30 min - 57 min: 44.14%

Over 60 min: 7.36%

Customer Name : Jeremiah Stiffler

Company Name : First American Prepared On : 10/20/2022

Customer
© 2022 CoreLogic. All rights reserved
Customer Name : Jeremiah Stiffler Customer Company Name : First American Prepared On : 10/20/2022 © 2022 CoreLogic. All rights reserved
Customer Name : Jeremiah Stiffler Customer Company Name : First American Prepared On : 10/20/2022 © 2022 CoreLogic. All rights reserved

Company

Customer Name : Jeremiah Stiffler Customer
Name : First American Prepared On : 10/20/2022 © 2022 CoreLogic. All rights reserved

SEARCH PARAMETERS

INSTRUMENT REC DATE

CURRENT TAXES INFORMATION THROUGH 07/28/2022

LAND IMPR EXEMPT RATE AREA SPECIAL DISTRICTS

3,806.91

2022  TAX AMT TAX DUE INTEREST DATE PAID

TOTAL DUE FIRST HALF  1,903.46  1,903.46  0.00  1,903.46  SECOND HALF  1,903.45  1,903.45  0.00  1,903.45

10/22 3,806.91 11/22 3,832.29 (ESTIMATED)

+ FIRST AMERICAN TITLE, FC0, JSTI PIMA, AZ 10/20/2022  11:49AM  R9C8  INVESTIGATIVE SEARCH RESULTS PAGE 1 OF 1
PARCEL:  205-32-005J PARCEL: 205-32-005J
OWNER: ROWE A YOUNG TRUST  AFFIDAVIT    2016 2160238 08/03/2016  SITUS: 11446 E CATALINA HY PC  MAIL: 11446 E CATALINA HWY  TUCSON AZ 85749  LEGAL: IRREG PCL ADJ TO E LINE OF NE4 SW4 H 3.562 AC SEC 18-13-16
PRIMARY  37,906  0  0  8.5908  1300 SECONDARY  50  37,856  0  3.0351  2022 TOTAL TAX BILLED
TOTAL CURRENT TAXES DUE
IMPROVEMENTS BYPASS  BLDG SQFT  2,737 FULL CASH VALUE  379,061 YEAR BUILT  1980 LAND USE  01 42 NUMBER OF STORIES  1.0 LOT SIZE  3.560 ACRES STORIES HEIGHT  0 SCHOOL DISTRICT  1300 EXTERIOR WALLS  ADOBE LAND FULL CASH VALUE  502 GRADE MATERIALS IMPR FULL CASH VALUE  378,559 SALES SALE DATE SALE AMOUNT INSTRUMENT TYPE SELLER NAME VALIDITY 08/03/2016 530,000    2016 2160238 WD HURST JON C / ADDITIONAL PROPERTY INFORMATION STANDARD LAND USE: SFR END SEARCH
Page 1 of 3 10/20/2022 11:53 AM
Page 2 of 3 10/20/2022 11:53 AM
Page 3 of 3 10/20/2022 11:53 AM
Page 1 of 7 10/20/2022 11:53 AM
Page 2 of 7 10/20/2022 11:53 AM
Page 3 of 7 10/20/2022 11:53 AM
Page 4 of 7 10/20/2022 11:53 AM
Page 5 of 7 10/20/2022 11:53 AM
Page 6 of 7 10/20/2022 11:53 AM
Page 7 of 7 10/20/2022 11:53 AM
Page 1 of 7 10/20/2022 11:53 AM
Page 2 of 7 10/20/2022 11:53 AM
Page 3 of 7 10/20/2022 11:53 AM
Page 4 of 7 10/20/2022 11:53 AM
Page 5 of 7 10/20/2022 11:53 AM
Page 6 of 7 10/20/2022 11:53 AM
Page 7 of 7 10/20/2022 11:53 AM
Page 1 of 6 10/20/2022 11:53 AM
Page 2 of 6 10/20/2022 11:53 AM
Page 3 of 6 10/20/2022 11:53 AM
Page 4 of 6 10/20/2022 11:53 AM
Page 5 of 6 10/20/2022 11:53 AM
Page 6 of 6 10/20/2022 11:53 AM
Page 1 of 5 10/20/2022 11:53 AM
Page 2 of 5 10/20/2022 11:53 AM
Page 3 of 5 10/20/2022 11:53 AM
Page 4 of 5 10/20/2022 11:53 AM
Page 5 of 5 10/20/2022 11:53 AM

We are providing the requested information without CC&Rs.

Unfortunately, we are unable to confirm CC&Rs at this time, possibly because:

The property is too complex to obtain CC&Rs without a complete title examination

The property is sectional, whereas there are no “standard” subdivision

type restrictions

A recorded plat may not exist

The recorded plat may be older, with limited information available, or

Recorded CC&Rs may not exist.

Once escrow is opened, the property will be thoroughly examined. CC&Rs and other matters that may “run with the land” will be disclosed in Schedule B of the Commitment for Title Insurance.

If you have questions, or need additional information at this time, please contact your First American or Title Security Account Manager or Escrow Officer.

to the Title & Escrow Process in Arizona

Home Seller’s Guide

1.877.860.6020

Southwest Gas
www.swgas.com Cox 602.277.1000 www.cox.com Direct TV 1.888.777.2454 www.directv.com Dish Network 1.800.823.4929 www.dishnetwork.com CenturyLink 800.366.8201 www.centurylink.com AT&T 1.800.222.0300 www.att.com Verizon 1.877.300.4498 www.connecttoverizon.com Salt River Project 602.236.8888 www.srpnet.com APS 602.371.7171 www.aps.com Your Escrow Number Your New Address City/State/Zip Real Estate Agent Name Email Assistant Email Company Phone Address Fax Insurance Previous Company Phone Previous Agent Policy No. New Company Phone New Agent Policy No. Home Warranty Company Policy No. First American Title Escrow Officer Email Escrow Assistant Email Address Phone City/State/Zip Fax 02 Quick Reference 03 Welcome 04 Benefits of Using a REALTOR ® 05 Key Professionals 06 Preparing Your Home for Sale 07 Staging Your Home for Show 09 Terms You Should Know 10 The Life of an Escrow 11 Closing Costs: Who Pays What 12 The Escrow Process 14 Understanding Title Insurance 16 Consider This 17 Closing Your Escrow 18 Planning Your Move Q uick Reference Table of Contents Utilities and Services

Count on First American Title

Welcome to the home-selling process. Throughout this process, you can count on First American Title to guide you smoothly through your transaction and provide expert answers to your questions. We are happy to serve you.

Count On Us For Service

First American Title’s professionals are proud to provide the title insurance that assures people’s home ownership. Backed by First American Title Insurance Company, your transaction will be expertly completed in accordance with state-specific underwriting standards and state and federal regulatory requirements.

Count On Us For Stability

First American Title is the principal subsidiary of First American Financial Corporation, and one of the largest suppliers of title insurance services in the nation. With roots dating back to 1889, we’ve served families for generations.

Count On Us For Convenience

First American Title has a direct office or agent near you, offering convenient locations throughout Arizona. We also have an extensive network of offices and agents throughout the United States, and internationally.

Count On Us To Meet Your Needs

First American Financial Corporation offers more than title insurance and escrow services through its subsidiaries. Our subsidiaries also provide property data, title plant records and images, home warranties, property and casualty insurance, and banking, trust and advisory services.

AZ Sellers Guide | 3

Benefits of using a Professional REALTOR ®

Before you make the decision to try to sell your home alone, consider the benefits a REALTOR ® can provide that you may not be aware of.

A REALTOR ® :

› Understands market conditions and has access to information not available to the average homeowner.

› Can advertise effectively for the best results.

› Knows how to price your home realistically, to give you the highest price possible within your time frame.

› Is experienced in creating demand for homes and how to show them to advantage.

› Knows how to screen potential buyers and eliminate those who can’t qualify or are looking for bargain-basement prices.

› Knows how to go toe-to-toe in negotiations.

› Is always “on-call,” answering the phone at all hours, and showing homes evenings and weekends.

› Can remain objective when presenting offers and counter-offers on your behalf.

› Maintains errors-and-omissions insurance.

› Will listen to your needs, respect your opinions and allow you to make your own decisions.

› Can help protect your rights, particularly important with the increasingly complicated real estate laws and regulations.

› Is experienced with resolving problems to facilitate a successful closing on your home.

Only you can determine whether you should attempt to sell your home—probably your largest investment—all alone. Talk with a REALTOR® before you decide. You may find working with a professional is a lot less expensive and much more beneficial than you ever imagined!

FOR SALE BY OWNER

Many people believe they can save a considerable amount of money by selling their homes themselves. It may seem like a good idea at the time, but while you may be willing to take on the task, are you qualified? The following are some questions to help you realistically assess what’s involved.

Do you...

- have the knowledge, patience, and sales skills needed to sell your home?

- know how to determine your home’s current market value?

- know how to determine whether or not a buyer can qualify for a loan?

- understand the steps of an escrow and what’s required of you and the buyer?

- need to hire a real estate attorney? If so, do you know what the cost will be and how much liability they will assume in the transaction?

- know how to advertise effectively and what the costs will be?

- understand the various types of loans buyers may choose and the advantages and disadvantages for the seller?

- have arrangements with an escrow and title company, home warranty company, pest-control service and lender to assist you with the transaction?

Are you...

- aware of conditions in the marketplace today that affect value and length of time to sell?

- concerned about having strangers walking through your home?

- familiar enough with real estate regulations to prepare a binding sales contract? Counter-offers?

- aware that every time you leave your home, you are taking it off the market until you return?

- aware that prospective buyers and bargain hunters will expect you to lower your cost because there’s no REALTOR® involved?

- prepared to give up your evenings and weekends to show your home to potential buyers and “just-looking” time wasters?

AZ Sellers Guide | 4

Key Professionals Involved in Your Transaction

REALTOR ®

A REALTOR ® is a licensed real estate agent and a member of the National Association of REALTORS,® a real estate trade association. REALTORS ® also belong to their state and local Association of REALTORS.®

REAL ESTATE AGENT

A real estate agent is licensed by the state to represent parties in the transfer of property. Every REALTOR ® is a real estate agent, but not every real estate agent has the professional designation of a REALTOR.®

LISTING AGENT

A key role of the listing agent or broker is to form a legal relationship with the homeowner to sell the property and place the property in the Multiple Listing Service.

BUYER'S AGENT

A key role of the buyer’s agent or broker is to work with the buyer to locate a suitable property and negotiate a successful home purchase.

MULTIPLE LISTING SERVICE (MLS)

The MLS is a database of properties listed for sale by REALTORS ® who are members of the local Association of REALTORS.® Information on an MLS property is available to thousands of REALTORS ®

TITLE COMPANY

These are the people who carry out the title search and examination, work with you to eliminate the title exceptions you are not willing to take subject to, and provide the policy of title insurance regarding title to the real property.

ESCROW OFFICER

An escrow officer leads the facilitation of your escrow, including escrow instructions preparation, document preparation, funds disbursement, and more.

AZ Sellers Guide | 5

PREPARING FOR SALE YOUR HOME

Mow and edge the lawn regularly, and trim the shrubs.

Make your entry inviting: Paint your front door and buy a new front door mat.

Paint or replace the mailbox, if needed.

If screens or windows are damaged, replace or repair them.

Repair or replace worn shutters and other exterior trim.

Make sure the front steps are clear and hazard-free. Make sure the doorbell works properly and has a pleasant sound.

Ensure that all exterior lights are working.

Check stucco walls for cracks and discoloration.

Remove any oil and rust stains from the driveway and garage.

Clean and organize the garage, and ensure the door is in good working order. Shampoo carpeting or replace if worn. Clean tile floors, particularly the caulking.

Brighten the appearance inside by painting walls, cleaning windows and window coverings, and removing sunscreens.

Repair leaky faucets and caulking in bathtubs and showers.

Repair or replace loose knobs on doors and cabinets. If doors stick or squeak, fix them.

Make sure toilet seats look new and are firmly attached.

First impressions have a major impact on potential buyers. Try to imagine what potential buyers will see when they approach your house for the first time and walk through each room. Ask your REALTOR ® for advice; they know the marketplace and what helps a home sell. Here are some tips to present your home in a positive manner:

Repair or replace loud ventilating fans.

Replace worn shower curtains.

Rearrange furniture to make rooms appear larger. If possible, remove and/or store excess furniture, and avoid extension cords in plain view.

Remove clutter throughout the house. Organize and clean out closets.

Clean household appliances and make sure they work properly.

Air conditioners/heaters, evaporative coolers, hot water heater should be clean, working and inspected if necessary. Replace filters.

Check the pool and/or spa equipment and pumps. Make sure all are working properly and that the pool and/or spa are kept clean.

Inspect fences, gates and latches. Repair or replace as needed.

AZ Sellers Guide | 6

Staging your home for Show

To make the best impression, keep your home clean, neat, uncluttered and in good repair. Please review this list prior to each showing:

Keep everything clean. A messy or dirty home will cause prospective buyers to notice every flaw.

Clear all clutter from counter tops.

Let the light in. Raise shades, open blinds, pull back the curtains and turn on the lights.

Get rid of odors such as tobacco, pets, cooking, etc., but don’t overdo air fresheners or potpourri. Fresh baked bread and cinnamon can make a positive impact.

Send pets away or secure them away from the house, and be sure to clean up after them.

Close the windows to eliminate street noise.

If possible you, your pets, and your children should be gone while your home is being shown.

Clean trash cans and put them out of sight.

If you must be present while your home is shown, keep noise down. Turn off the TV and radio. Soft, instrumental music is fine, but avoid vocals.

Keep the garage door closed and the driveway clear. Park autos and campers away from your home during showings

Hang clean attractive guest towels in the bathrooms.

Check that sink and tub are scrubbed and unstained.

Make beds with attractive spreads.

Stash or throw out newspapers, magazines, junk mail.

AZ Sellers Guide | 7
AZ Sellers Guide | 8

Terms You Should Know

Appraisal

An estimate of value of property resulting from analysis of facts about the property; an opinion of value.

Annual Percentage Rate (APR)

The borrower’s costs of the loan term expressed as a rate. This is not their interest rate.

Beneficiary

The recipient of benefits, often from a deed of trust; usually the lender.

Closing Disclosure (CD)

Closing Disclosure form designed to provide disclosures that will be helpful to borrowers in understanding all of the costs of the transaction. This form will be given to the consumer three (3) business days before closing.

Close of Escrow

Generally the date the buyer becomes the legal owner and title insurance becomes effective.

Comparable Sales

Sales that have similar characteristics as the subject real property, used for analysis in the appraisal. Commonly called “comps.”

Consummation

Occurs when the borrower becomes contractually obligated to the creditor on the loan, not, for example, when the borrower becomes contractually obligated to a seller on a real estate transaction. The point in time when a borrower becomes contractually obligated to the creditor on the loan depends on applicable State law. Consummation is not the same as close of escrow or settlement.

Deed of Trust

An instrument used in many states in place of a mortgage.

Deed Restrictions

Limitations in the deed to a parcel of real property that dictate certain uses that may or may not be made of the real property.

Disbursement Date

The date the amounts are to be disbursed to a buyer and seller in a purchase transaction or the date funds are to be paid to the borrower or a third party in a transaction that is not a purchase transaction.

Earnest Money Deposit

Down payment made by a purchaser of real property as evidence of good faith; a deposit or partial payment.

Easement

A right, privilege or interest limited to a specific purpose that one party has in the land of another.

Endorsement

As to a title insurance policy, a rider or attachment forming a part of the insurance policy expanding or limiting coverage.

Hazard Insurance

Real estate insurance protecting against fire, some natural causes, vandalism, etc., depending upon the policy. Buyer often adds liability insurance and extended coverage for personal property.

Impounds

A trust type of account established by lenders for the accumulation of borrower’s funds to meet periodic payments of taxes, mortgage insurance premiums and/or future insurance policy premiums, required to protect their security.

Legal Description

A description of land recognized by law, based on government surveys, spelling out the exact boundaries of the entire parcel of land. It should so thoroughly identify a parcel of land that it cannot be confused with any other.

Lien

A form of encumbrance that usually makes a specific parcel of real property the security for the payment of a debt or discharge of an obligation. For example, judgments, taxes, mortgages, deeds of trust.

Loan Estimate (LE)

Form designed to provide disclosures that will be helpful to borrowers in understanding the key features, costs and risks of the mortgage loan for which they are applying. Initial disclosure to be given to the borrower three (3) business days after application.

Mortgage

The instrument by which real property is pledged as security for repayment of a loan.

PITI

A payment that includes Principal, Interest, Taxes, and Insurance.

Power of Attorney

A written instrument whereby a principal gives authority to an agent. The agent acting under such a grant is sometimes called an “Attorney-in-Fact.”

Recording

Filing documents affecting real property with the appropriate government agency as a matter of public record.

Settlement statement

Provides a complete breakdown of costs involved in a real estate transaction.

TRID

TILA-RESPA Integrated Disclosures

AZ Sellers Guide | 9

The Life Of An Escrow

THE BUYER

Chooses a Real Estate Agent

Gets pre-approval letter from Lender and provides to Real Estate Agent.

Makes offer to purchase. Upon acceptance, opens escrow and deposits earnest money.

Finalizes loan application with Lender. Receives a Loan Estimate from Lender.

Completes and returns opening package from First American Title.

Schedules inspections and evaluates findings. Reviews title commitment/ preliminary report.

Provides all requested paperwork to Lender (bank statements, tax returns, etc.) All invoices and final approvals should be to the lender no later than 10 days prior to loan consummation.

Lender (or Escrow Officer) prepares CD and delivers to Buyer at least 3 days prior to loan consummation.

Escrow officer or real estate agent contacts the buyer to schedule signing appointment.

Buyer consummates loan, executes settlement documents, & deposits funds via wire transfer.

Documents are recorded and the keys are delivered!

THE SELLER

Chooses a Real Estate Agent

Accepts Buyer’s offer to purchase.

Completes and returns opening package from First American Title, including information such as forwarding address, payoff lender contact information and loan numbers.

Orders any work for inspections and/or repairs to be done as required by the purchase agreement.

Escrow officer or real estate agent contacts the seller to schedule signing appointment.

Documents are recorded and all proceeds from sale are received.

THE ESCROW OFFICER

Upon receipt of order and earnest money deposit, orders title examination.

Requests necessary information from buyers and sellers via opening packages.

Reviews title commitment / preliminary report.

Upon receipt of opening packages, orders demands for payoffs. Contacts buyer or seller when additional information is required for the title commitment/ preliminary report.

All demands, invoices, and fees must be collected and sent to lender at least 10 days prior to loan consummation.

Coordinates with lender on the preparation of the CD.

Reviews all documents, demands, and instructions and prepares settlement statements and any other required documents.

Schedules signing appointment and informs buyer of funds due at settlement.

Once loan is consummated, sends funding package to lender for review.

Prepares recording instructions and submits docs for recording.

Documents are recorded and funds are disbursed. Issues final settlement statement.

Accepts Buyer’s application and begins the qualification process. Provides Buyer with Loan Estimate.

Orders and reviews title commitment / preliminary report, property appraisal, credit report, employment and funds verification.

Collects information such as title commitment / preliminary report, appraisal, credit report, employment and funds verification. Reviews and requests additional information for final loan approval.

Underwriting reviews loan package for approval.

Coordinates with Escrow Officer on the preparation of the Closing Disclosure, which is delivered to Buyer at least 3 days prior to loan consummation.

Delivers loan documents to escrow.

Upon review of signed loan documents, authorizes loan funding.

AZ Sellers Guide | 10

Closing

Pays What

CASH FHA VA CONV

AZ Sellers Guide | 11
1. Downpayment BUYER BUYER BUYER BUYER 2. Termite (Wood Infestation) Inspection (negotiable except on VA) SELLER 3. Property Inspection (if requested by buyer) BUYER BUYER BUYER BUYER 4. Property Repairs, if any (negotiable) SELLER SELLER SELLER SELLER 5. New Loan Origination Fee (negotiable) BUYER BUYER BUYER 6. Discount Points (negotiable) BUYER BUYER BUYER 7. Credit Report BUYER BUYER BUYER 8. Appraisal or Extension Fee (negotiable) BUYER BUYER BUYER 9. Existing Loan Payoff SELLER SELLER SELLER SELLER 10. Existing Loan Payoff Demand SELLER SELLER SELLER SELLER 11. Loan Prepayment Penalty (if any) SELLER SELLER SELLER SELLER 12. Next Month’s PITI Payment BUYER BUYER BUYER 13. Prepaid Interest (approx. 30 days) BUYER BUYER BUYER 14. Reserve Account Balance (Credit seller / Charge buyer) PRORATE PRORATE PRORATE 15. FHA MIP, VA Funding Fee, PMI Premium BUYER BUYER BUYER 16. Assessments payoff or proration (sewer, paving, etc.) SELLER 17. Taxes PRORATE PRORATE PRORATE PRORATE 18. Tax Impounds BUYER BUYER BUYER 19. Tax Service Contract SELLER SELLER BUYER 20. Fire/Hazard Insurance BUYER BUYER BUYER BUYER 21 Flood Insurance BUYER BUYER BUYER 22. Homeowners Association (HOA) Transfer Fee BUYER or SELLER BUYER or SELLER BUYER or SELLER BUYER or SELLER 23. HOA/Disclosure Fee SELLER SELLER SELLER SELLER 24 Current HOA Payment PRORATE PRORATE PRORATE PRORATE 25. Next Month’s HOA Payment BUYER BUYER BUYER BUYER 26. Home Warranty Premium (negotiable) BUYER or SELLER BUYER or SELLER BUYER or SELLER BUYER or SELLER 27. REALTORS®’ Commissions SELLER SELLER SELLER SELLER 28. EAGLE Homeowners Title Policy SELLER SELLER SELLER SELLER 29. Lenders Title Policy and Endorsements BUYER BUYER BUYER 30. Escrow Fee (NOTE: Charge seller on VA Loan) SPLIT SPLIT SELLER SPLIT 31. Recording Fees (Flat rate) SPLIT SPLIT SPLIT SPLIT 32. Reconveyance/Satisfaction Fee SELLER SELLER SELLER SPLIT 33. Courier/Express Mail Fees SPLIT SPLIT SELLER SPLIT THIS CHART INDICATES WHO CUSTOMARILY PAYS WHAT COSTS Note: Prorated items will appear on Closing Statement as charges for one and credits for the other.
Costs: Who

The Escrow Process

WHAT IS AN ESCROW?

The escrow is the process of having a neutral party manage the exchange of money for real property. The escrow holder is known as an escrow or settlement officer or agent. The buyer deposits funds and the seller deposits a deed with the escrow holder along with all of the other documents required to remove all "contingencies" (conditions and approvals) in the purchase agreement prior to closing.

HOW IS AN ESCROW OPENED?

Once a purchase agreement is signed by all necessary parties, the agent representing the party who will pay the fee selects an escrow holder and the buyer's earnest money deposit and contract are submitted to the escrow holder. From this point, the escrow holder will follow the mutual written instructions of the buyer and seller, maintaining a neutral stance to ensure that neither party has an unfair advantage over the other. The escrow holder also follows the instructions of the Buyer's new lender, the seller's existing lender, and both parties' agents. The escrow holder ensures the transparency of the transaction, while carefully maintaining the privacy of the consumers.

AZ Sellers Guide | 12

Your Escrow Professional May:

Open escrow and deposit good faith funds into an escrow account

Conduct a title search to determine the ownership and title status of the real property

Review the title commitment and begin the process of working with you and the title officer to eliminate the title exceptions the buyer and the buyer’s new lender are not willing to take subject to. This includes ordering a payoff demand from your existing lender.

Coordinate with the buyer’s lender on the preparation of the Closing Disclosure (CD)

Prorate fees, such as real property taxes, per the contract and prepare the settlement statement

Set separate appointments allowing the buyer and seller to sign documents and deposit funds

Review documents and ensure all conditions are fulfilled and certain legal requirements are met

Request funds from buyer and buyer’s new lender

When all funds are deposited and conditions met, record documents with the County Recorder to transfer the real property to the buyer

After recording is confirmed, close escrow and disburse funds, including proceeds, loan payoffs, tax payments, and more

Prepare and send final documents to all parties

AZ Sellers Guide | 13

Understanding Title Insurance

The Title Industry & Title Insurance in Brief

Prior to the development of the title industry in the late 1800s, a home-buyer received a grantor’s warranty, attorney’s title opinion, or abstractor’s certificate as assurance of home ownership. The buyer relied on the financial integrity of the grantor, attorney, or abstractor for protection. Today, home-buyers look primarily to title insurance to provide this protection. Title insurance companies are regulated by state statute. They are required to post financial guarantees to ensure that any claims will be paid in a timely fashion. They also must maintain their own “title plants” which house duplicates of recorded deeds, mortgages, plats, and other pertinent county property records.

WHAT IS TITLE INSURANCE?

Title insurance provides coverage for certain losses due to defects in the title that, for the most part, occurred prior to your ownership. Title insurance protects against defects such as prior fraud or forgery that might go undetected until after closing and possibly jeopardize your ownership and investment.

WHY IS TITLE INSURANCE NEEDED?

Title insurance insures buyers against the risk that they did not acquire marketable title from the seller. It is primarily designed to reduce risk or loss caused by defects in title from the past. A loan policy of title insurance protects the interest of the mortgage lender, while an owner’s policy protects the equity of you, the buyer, for as long as you or your heirs (in certain policies) own the real property.

WHEN IS THE PREMIUM DUE?

You pay for your owner’s title insurance policy only once, at the close of escrow. Who pays for the owner’s policy and loan policy varies depending on local customs.

AZ Sellers Guide | 14

Compare First American’s Eagle Policy® for Owners

Protection from:

else owns

fraud, duress in the chain of

recording of

There is a lien on your title because there is:

a deed of trust

a judgement, tax, or special assessment

a charge by a homeowner’s association

is unmarketable

Forced removal of a structure because it:

extends on another property and/or easement

violates a restriction in Schedule B

violates an existing zoning law*

use the land for a Single-Family Residence because the use violates a restriction in Schedule B or a

ordinance

by

Compare First American’s Eagle Policy® for Owners

violation resulting in your title

of building

covenants

rent for substitute land or facilities

to

language statements of

with Subdivision

for boundary wall or fence

coverage

ownership coverage leads to enhanced

coverage for a lifetime

inflation coverage with automatic increase in value up to 150% over five years

Living Trust coverage

Deductible and maximum limits apply. Not available to investors on 1- to 4-unit residential properties. Coverage may vary based on an individual policy.

with any insurance contract, the insuring provisions express the coverage afforded by the title insurance policy and there are exceptions, exclusions and conditions to coverage that limit or narrow the coverage afforded by the policy. Also, some cov erage may not be available in a particular area or transaction due to legal, regulatory, or underwriting considerations. Please contact a First American representative for further information. The services described above are typical basic services. The services provided to you may be different due to the specifics of your transaction or the location of the real property involved.

AZ Sellers Guide | 15
EAGLE ALTA Standard or CLTA
1 Someone
an interest in your title 2 A document is not properly signed 3 Forgery,
title 4 Defective
any document 5 There are restrictive covenants 6
a)
b)
c)
7 Title
8 Mechanics lien 9
a)
b)
c)
10 Cannot
zoning
11 Unrecorded lien
a homeowners association 12 Unrecorded easements 13 Building permit violations* 14 Restrictive covenant violations 15 Post-policy forgery 16 Post-policy encroachment 17 Post-policy damage from extraction of minerals or water 18 Lack of vehicular and pedestrian access 19 Map not consistent with legal description 20 Post-policy adverse possession
EAGLE ALTA Standard or CLTA
21 Post-policy prescriptive easement 22 Covenant
reverting
a previous owner 23 Violation
setback regulations 24 Discriminatory
Other benefits: 25 Pays
26 Rights under unrecorded leases 27 Plain
policy
and restrictions 28 Compliance
Map Act 29 Coverage
encroachment* 30 Added
marketability 31 Insurance
32 Post-policy
33 Post-policy
*
As

Consider This

One escrow transaction could involve more than 20 individuals, including real estate agents, buyers, sellers, attorneys, escrow officer, escrow technician, title officer, loan officer, loan processor, loan underwriter, home inspector, termite inspector, insurance agent, home warranty representative, contractor, roofer, plumber, pool service, and so on. And often, one transaction depends on another.

When you consider the number of people involved, you can imagine the opportunities for delays and mishaps. Your experienced escrow team can’t prevent unforeseen problems from arising; however, they can help smooth out the process.

AZ Sellers Guide | 16

Closing Your Escrow

THE CLOSING DISCLOSURE

Once the loan is approved and all invoices and paperwork have been provided, the lender and escrow officer will collaborate on the preparation of the Closing Disclosure (CD). In order to close on time, all paperwork and invoices should be submitted at least 10 days prior to the expected close of escrow date. The borrower must receive the CD at least three days* prior to consummation of the loan (typically the signing date). The escrow officer will also prepare an estimated settlement statement and inform the buyer of the balance of the down payment and closing costs needed to close escrow.

*For purposes of the Closing Disclosure“business day” is defined as every day except Sundays and Federal legal holidays.

THE CLOSING OR SIGNING APPOINTMENT

The escrow holder will contact you or your agent to schedule a closing or signing appointment. In some states, this is the "close of escrow." In some others, the close of escrow is either the day the documents record or that funds are disbursed. Ask your escrow holder if you would like clarification about your state's laws.

You will have a chance to review the settlement statement and supporting documentation. This is your opportunity to ask questions and clarify terms. You should review the settlement statement carefully and report discrepancies to the escrow officer. This includes any payments that may have been missed.

You are responsible for all charges incurred even if overlooked by the escrow holder, so it's better to bring these to their attention before closing.

The escrow holder is obligated by law to have the designated amount of money before releasing any funds. If you have questions or foresee a problem, let your escrow holder know immediately.

DON'T FORGET YOUR IDENTIFICATION

You will need valid identification with your photo I.D. on it when you sign documents that need to be notarized (such as a deed). A driver's license is preferred. You will also be asked to provide your social security number for tax reporting purposes, and a forwarding address.

WHAT HAPPENS NEXT?

If the buyer is obtaining a new loan, the buyer’s signed loan documents will be returned to the lender for review. The escrow holder will ensure that all contract conditions have been met and will ask the lender to "fund the loan." If the loan documents are satisfactory, the lender will send funds directly to the escrow holder. When the loan funds are received, the escrow holder will verify that all necessary funds are in. Escrow funds will be disbursed to the seller and other appropriate payees. Then, the REALTOR® will present the keys to the property to the buyer.

AZ Sellers Guide | 17

Planning your move

SIX WEEKS BEFORE:

Create an inventory sheet of items to move.

Research moving options You’ll need to decide if yours is a do-it-yourself move or if you’ll be using a moving company.

Request moving quotes Solicit moving quotes from as many moving companies and movers as possible. There can be a large difference between rates and services within moving companies.

Discard unnecessary items Moving is a great time for ridding yourself of unnecessary items. Have a yard sale or donate unnecessary items to charity.

Packing materials. Gather moving boxes and packing materials for your move.

Contact insurance companies. (Life, Health, Fire, Auto) You’ll need to contact your insurance agent to cancel/transfer your insurance policy. Do not cancel your insurance policy until you have and closed escrow on the sale.

Seek employer benefits. If your move is work-related, your employer may provide funding for moving expenses. Your human resources rep should have information on this policy.

Changing Schools. If changing schools, contact new school for registration process.

FOUR WEEKS BEFORE:

Contact utility companies Set utility turnoff date, seek refunds and deposits and notify them of your new address.

Obtain your medical records. Contact your doctors, physicians, dentists and other medical specialists who may currently be retaining any of your family’s medical records. obtain these records or make plans for them to be delivered to your new medical facilities.

Note food inventory levels Check your cupboards, refrigerator and freezer to use up as much of your perishable food as possible.

Service small engines for your move by extracting gas and oil from the machines. This will reduce the chance to catch fire during your move.

Protect jewelry and valuables. Transfer jewelry and valuables to safety deposit box so they can not be lost or stolen during your move.

Borrowed and rented items. Return items which you may have borrowed or rented. Collect items borrowed to others.

ONE WEEK BEFORE:

Plan your itinerary. Make plans to spend the entire day at the house or at least until the movers are on their way. Someone will need to be around to make decisions. Make plans for kids and pets to be at the sitters for the day.

Change of address. Visit USPS for change of address form.

Bank accounts Notify bank of address change. Make sure to have a money order for paying the moving company if you are transferring or closing accounts.

Service automobiles If automobiles will be driven long distances, you’ll want to have them serviced for a trouble-free drive.

Cancel services. Notify any remaining service providers (newspapers, lawn services, etc) of your move.

Start packing. Begin packing for your new location.

Travel items. Set aside items you’ll need while traveling and those needed until your new home is established. Make sure these are not packed in the moving truck!

Scan your furniture. Check furniture for scratches and dents before so you can compare notes with your mover on moving day.

Prepare Floor Plan. Prepare floor plan for your new home. This will help avoid confusion for you and your movers.

MOVING DAY:

Review the house. Once the house is empty, check the entire house (closets, the attic, basement, etc) to ensure no items are left or no home issues exist.

Sign the bill of lading. Once your satisfied with the mover’s packing your items into the truck, sign the bill of lading. If possible, accompany your mover while the moving truck is being weighed.

Double check with your mover. Make sure your mover has the new address and your contact information should they have any questions during your move.

Vacate your home. Make sure utilities are off, doors and windows are locked and notify your real estate agent you’ve left the property.

AZ Sellers Guide | 18

Your Notes:

AZ Sellers Guide | 19

Your Notes:

AZ Sellers Guide | 20

Your Notes:

AZ Sellers Guide | 21

OLDWESTHWY

Central Arizona

First American Title Branch Locator

1 SUN CITY WES T

623.299.3644

13940 W. Meeker Blvd., #119 Sun City West, AZ 85375 N of Meeker Blvd W of R.H. Johnson

2 GOODYEAR 623.936.8001

1626 N. Litchfield Rd. Ste. #170 Goodyear, AZ 85395

NW corner of McDowell & Litchfield

3 ARROWHEAD

623.487.0404

16165 N. 83rd Ave , #100 Peoria, AZ 85382

S of Bell/E side of 83rd Ave

4 THE LEGENDS

623.537.1608

20241 N. 67th Ave , #A-2 Glendale, AZ 85308

E side 67th Ave/N of 101

5 ANTHEM 623.551.3265 39508 N. Daisy Mountain Dr., #128 Anthem, AZ 85086 NE corner Daisy Mtn Dr/ Gavilan Peak Pkwy

6 BILTMORE 602.954.3644

3200 E Camelback Rd., #123 Phoenix, AZ 85018

NE Corner of Camelback/32nd Street

7 DESERT RIDGE 480.515 4369

20860 N. Tatum Blvd , #100 Phoenix, AZ 85050 NW corner of Tatum/Loop 101

8 CAREFREE 480.575.6609

7202 E. Carefree Dr , Bldg 1, #1 Carefree, AZ 85377

NE corner of Tom Darlington/ Carefree Dr.

9 KIERLAND COMMONS 480.948.6488

14648 N Scottsdale Rd., Ste. #100 Scottsdale, AZ 85254 W of Scottsdale Road, S side of Greenway

10 SCOTTSDALE FORUM 480.551.0480

6263 N. Scottsdale Rd., #110 Scottsdale, AZ 85250

E Side Scottsdale/S of Lincoln

11 DC CROSSING 480.563.9034

18291 N. Pima Rd , #145 Scottsdale, AZ 85255

SE corner of Pima/Legacy

12 AHWATUKEE

480.753.4424

4435 E. Chandler Blvd , #100 Phoenix, AZ 85048

SW corner Chandler/45th St.

13 CHANDLER PORTICO

480.777.0051

2121 W. Chandler Blvd., #215 Chandler, AZ 85224

SW Corner Chandler Blvd./ Dobson Rd.

14 GILBERT SAN TAN

480.777.0614

1528 E. Williams Field Rd., #101 Gilbert, AZ 85295

NW corner of Williams Field Rd./ Val Vista Rd.

15 MESA 480.401.3738

1630 S. Stapley Dr., #123 Mesa, AZ 85204

N of Baseline / W of Stapley

16 RED MOUNTAIN

480.534.3599

1135 N. Recker Rd , #103 Mesa, AZ 85205

SE corner of Recker & Brown

17 GOLD CANYON

480.288.0883

6877 South Kings Ranch Rd., #5 Gold Canyon, AZ 85118 E of 60/

South Side Kings Ranch Rd.

1 4 3 2 6 12 10 5 8 7 11 9 CRISMON SIGNAL BUTTE GOLDFIELD
SKINGSRANCH 14 17 15 13 16
AZ Sellers Guide | 22

For more information please contact your First American representative.

05110281121
www.firstam.com First American Title Insurance Company, and the operating divisions thereof, make no express or implied warranty respecting the information presented and assume no responsibility for errors or omissions. First American, the eagle logo, First American Title, and firstam.com are registered trademarks or trademarks of First American Financial Corporation and/or its affiliates. ©2021 First American Financial Corporation and/or its affiliates. All rights reserved. NYSE: FAF

Turn static files into dynamic content formats.

Create a flipbook
Issuu converts static files into: digital portfolios, online yearbooks, online catalogs, digital photo albums and more. Sign up and create your flipbook.