10029 N Bighorn Butte Dr

Page 1

©2021 First American Financial Corporation and/or its affiliates. All rights reserved. NYSE: FAF 05252610821 COVENANTS, CONDITIONS & RESTRICTIONS PREPARED FOR : First American Title Insurance Company, and the operating divisions thereof, make no express or implied warranty respecting the information presented and assume no responsibility for errors or omissions. First American, the eagle logo, First American Title, and firstam.com are registered trademarks or trademarks of First American Financial Corporation and/or its affiliates. 10029 North Bighorn Butte Drive Oro Valley, AZ 85737

• If you receive an email containing wire transfer instructions, immediately call your escrow officer to ensure the validity of the instructions.

The National White Collar Crime Center @ http://www.nw3c.org/research

The Federal Bureau of Investigation @ https://www.fbi.gov/scams and safety

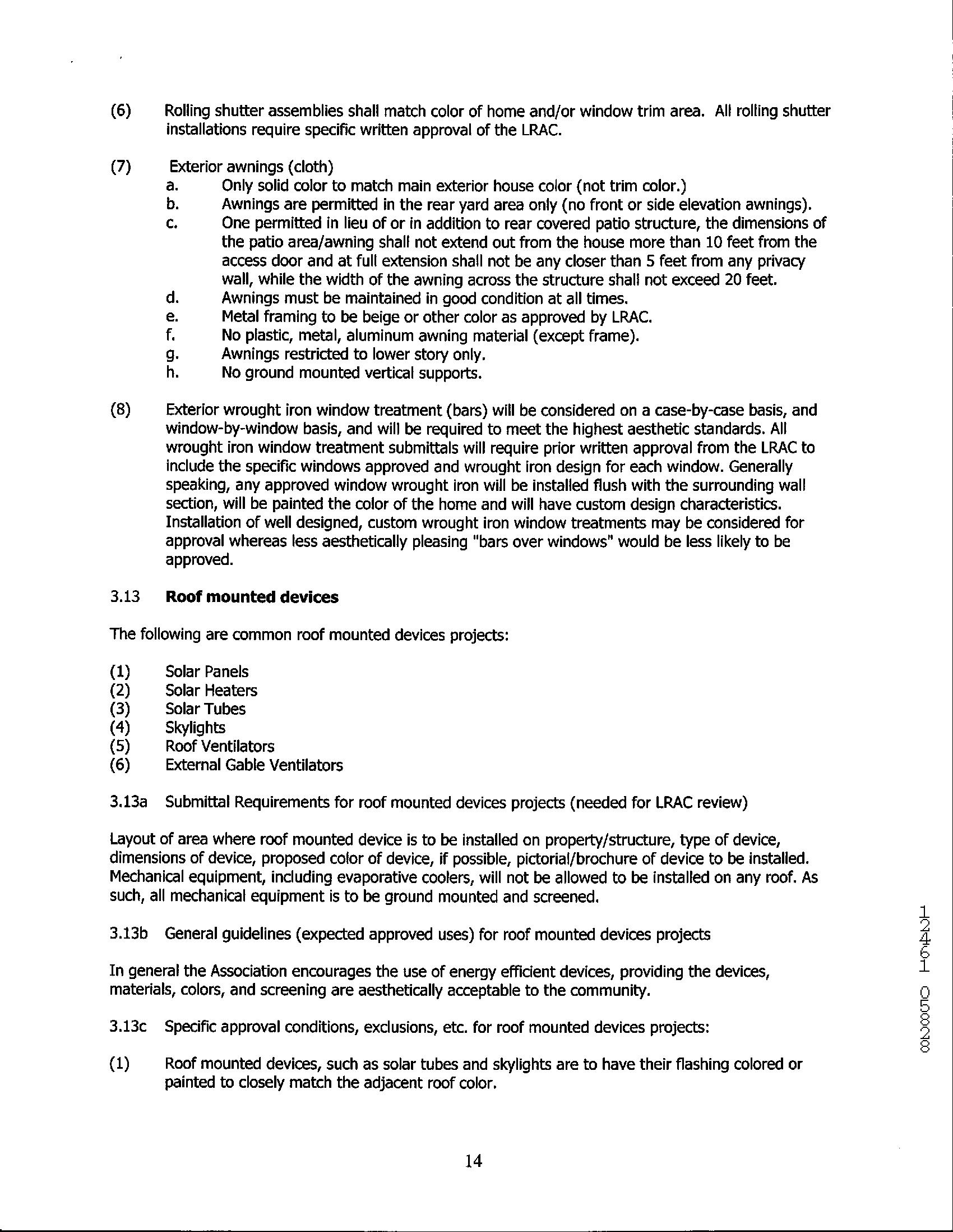
PROTECT YOURSELF VERIFY AND NOTIFY

The Internet Crime Complaint Center @ www.ic3.gov

Before you wire funds to any party (including your lawyer, title agent, mortgage broker, or real estate agent) personally meet them or call a verified telephone number (not the telephone number in the email) to confirm before you act!

The undersigned acknowledges receipt of this Wire Fraud Advisory.

• Never direct, accept or allow anyone in the transaction to consent to receiving transfer instructions without a direct personal telephone call to the individual allegedly providing the instructions.

There are many online sources that can provide useful information regarding similar topics including, but not limited to, the following sites:

DO NOT TRUST EMAILS CONTAINING WIRE INSTRUCTIONS

TRUST YOUR SOURCE OF INFORMATION

DO NOT TRUST EMAILS SEEKING PERSONAL/FINANCIAL INFORMATION

• If you receive an email requesting personal/financial information or asking you to download, click on a link, send, and/or do anything that may seem unusual to you, call your escrow officer immediately prior to acting on the suspicious email to verify the validity of the email.

Client Date Client Date

Criminals are targeting social media and email to steal information. This is particularly common in real estate transactions because sensitive data, including social security numbers, bank account numbers, and wire instructions are often sent by electronic means. We do not want you to be the next victim of wire fraud. Money wired to a fraudulent account is stolen money that typically cannot be recovered. Additionally, there is generally no insurance for this loss. You may never get the money back.

ONLINE RESOURCES:

Immediately notify your banking institution and Settlement/Title Company if you are a victim of wire fraud.

On Guard Online @ www.onguardonline.gov

WIRE FRAUD ADVISORY

• It is imperative that this call be made to a number obtained in person from the individual or through other reliable means, not from a number provided in the email or the wiring instructions

LIMITATION OF LIABILITY FOR INFORMATIONAL REPORTS

IMPORTANT -- PLEASE READ CAREFULLY:

This report is not an insured product or service or a representation of the condition of title to real property. It is not an abst ract, legal opinion, opinion of title, title insurance commitment or preliminary report, or any form of Title Insurance or Guaranty. This report is issued exclusively for the benefit of the Applicant therefor and may not be used or relied upon by any other person. This report may not be reproduced in any manner without First American or Title Security's prior written consent. First American or Title Security does not represent or warrant that the information herein is complete or free from error, and the information herein is provided without any warranties of any kind, as-is, and with all faults. As a material part of the consideration given in exchange for the issuance of this report, recipient agrees that First American or Title Security's sole liability for any loss or damage caused by an error or omission due to inaccurate information or negligence in preparing this report shall be limited to the fee charged for the report. Recipient accepts this report with this limitation and agrees that First American or Title Security would not have issued this report but for the limitation of liability described above. First American or Title Security makes no representation or warranty as to the legality or propriety of recipient's use of the information herein.

Branch:FC0,User:LMRAComment:StationId:RL13 PIMA,AZPage1of4Printedon9/12/20225:13:45PM Document:SUBDIVISION_MAP41.71

Branch:FC0,User:LMRAComment:StationId:RL13 PIMA,AZPage2of4Printedon9/12/20225:13:45PM Document:SUBDIVISION_MAP41.71

Branch:FC0,User:LMRAComment:StationId:RL13 PIMA,AZPage3of4Printedon9/12/20225:13:45PM Document:SUBDIVISION_MAP41.71

Branch:FC0,User:LMRAComment:StationId:RL13 PIMA,AZPage4of4Printedon9/12/20225:13:46PM Document:SUBDIVISION_MAP41.71

Page 1 of 2 10/18/2011 10:44 AM

Page 2 of 2 10/18/2011 10:44 AM

Page 1 of 53 10/18/2011 10:44 AM

Page 2 of 53 10/18/2011 10:44 AM

Page 3 of 53 10/18/2011 10:44 AM

Page 4 of 53 10/18/2011 10:44 AM

Page 5 of 53 10/18/2011 10:44 AM

Page 6 of 53 10/18/2011 10:44 AM

Page 7 of 53 10/18/2011 10:44 AM

Page 8 of 53 10/18/2011 10:44 AM

Page 9 of 53 10/18/2011 10:44 AM

Page 10 of 53 10/18/2011 10:44 AM

Page 11 of 53 10/18/2011 10:44 AM

Page 12 of 53 10/18/2011 10:44 AM

Page 13 of 53 10/18/2011 10:44 AM

Page 14 of 53 10/18/2011 10:44 AM

Page 15 of 53 10/18/2011 10:44 AM

Page 16 of 53 10/18/2011 10:44 AM

Page 17 of 53 10/18/2011 10:44 AM

Page 18 of 53 10/18/2011 10:44 AM

Page 19 of 53 10/18/2011 10:44 AM

Page 20 of 53 10/18/2011 10:44 AM

Page 21 of 53 10/18/2011 10:44 AM

Page 22 of 53 10/18/2011 10:44 AM

Page 23 of 53 10/18/2011 10:44 AM

Page 24 of 53 10/18/2011 10:44 AM

Page 25 of 53 10/18/2011 10:44 AM

Page 26 of 53 10/18/2011 10:44 AM

Page 27 of 53 10/18/2011 10:44 AM

Page 28 of 53 10/18/2011 10:44 AM

Page 29 of 53 10/18/2011 10:44 AM

Page 30 of 53 10/18/2011 10:44 AM

Page 31 of 53 10/18/2011 10:44 AM

Page 32 of 53 10/18/2011 10:44 AM

Page 33 of 53 10/18/2011 10:44 AM

Page 34 of 53 10/18/2011 10:44 AM

Page 35 of 53 10/18/2011 10:44 AM

Page 36 of 53 10/18/2011 10:44 AM

Page 37 of 53 10/18/2011 10:44 AM

Page 38 of 53 10/18/2011 10:44 AM

Page 39 of 53 10/18/2011 10:44 AM

Page 40 of 53 10/18/2011 10:44 AM

Page 41 of 53 10/18/2011 10:44 AM

Page 42 of 53 10/18/2011 10:44 AM

Page 43 of 53 10/18/2011 10:44 AM

Page 44 of 53 10/18/2011 10:44 AM

Page 45 of 53 10/18/2011 10:44 AM

Page 46 of 53 10/18/2011 10:44 AM

Page 47 of 53 10/18/2011 10:44 AM

Page 48 of 53 10/18/2011 10:44 AM

Page 49 of 53 10/18/2011 10:44 AM

Page 50 of 53 10/18/2011 10:44 AM

Page 51 of 53 10/18/2011 10:44 AM

Page 52 of 53 10/18/2011 10:44 AM

Page 53 of 53 10/18/2011 10:44 AM

Page 1 of 2 10/18/2011 10:44 AM

Page 2 of 2 10/18/2011 10:44 AM

Page 1 of 12 10/18/2011 10:44 AM

Page 2 of 12 10/18/2011 10:44 AM

Page 3 of 12 10/18/2011 10:44 AM

Page 4 of 12 10/18/2011 10:44 AM

Page 5 of 12 10/18/2011 10:44 AM

Page 6 of 12 10/18/2011 10:44 AM

Page 7 of 12 10/18/2011 10:44 AM

Page 8 of 12 10/18/2011 10:44 AM

Page 9 of 12 10/18/2011 10:44 AM

Page 10 of 12 10/18/2011 10:44 AM

Page 11 of 12 10/18/2011 10:44 AM

Page 12 of 12 10/18/2011 10:44 AM

Page 1 of 20 10/18/2011 10:44 AM

Page 2 of 20 10/18/2011 10:44 AM

Page 3 of 20 10/18/2011 10:44 AM

Page 4 of 20 10/18/2011 10:44 AM

Page 5 of 20 10/18/2011 10:44 AM

Page 6 of 20 10/18/2011 10:44 AM

Page 7 of 20 10/18/2011 10:44 AM

Page 8 of 20 10/18/2011 10:44 AM

Page 9 of 20 10/18/2011 10:44 AM

Page 10 of 20 10/18/2011 10:44 AM

Page 11 of 20 10/18/2011 10:44 AM

Page 12 of 20 10/18/2011 10:44 AM

Page 13 of 20 10/18/2011 10:44 AM

Page 14 of 20 10/18/2011 10:44 AM

Page 15 of 20 10/18/2011 10:44 AM

Page 16 of 20 10/18/2011 10:44 AM

Page 17 of 20 10/18/2011 10:44 AM

Page 18 of 20 10/18/2011 10:44 AM

Page 19 of 20 10/18/2011 10:44 AM

Page 20 of 20 10/18/2011 10:44 AM

Page 1 of 18 10/18/2011 10:44 AM

Page 2 of 18 10/18/2011 10:44 AM

Page 3 of 18 10/18/2011 10:44 AM

Page 4 of 18 10/18/2011 10:44 AM

Page 5 of 18 10/18/2011 10:44 AM

Page 6 of 18 10/18/2011 10:44 AM

Page 7 of 18 10/18/2011 10:44 AM

Page 8 of 18 10/18/2011 10:44 AM

Page 9 of 18 10/18/2011 10:44 AM

Page 10 of 18 10/18/2011 10:44 AM

Page 11 of 18 10/18/2011 10:44 AM

Page 12 of 18 10/18/2011 10:44 AM

Page 13 of 18 10/18/2011 10:44 AM

Page 14 of 18 10/18/2011 10:44 AM

Page 15 of 18 10/18/2011 10:44 AM

Page 16 of 18 10/18/2011 10:44 AM

Page 17 of 18 10/18/2011 10:44 AM

Page 18 of 18 10/18/2011 10:44 AM

Page 1 of 13 10/18/2011 10:44 AM

Page 2 of 13 10/18/2011 10:44 AM

Page 3 of 13 10/18/2011 10:44 AM

Page 4 of 13 10/18/2011 10:44 AM

Page 5 of 13 10/18/2011 10:44 AM

Page 6 of 13 10/18/2011 10:44 AM

Page 7 of 13 10/18/2011 10:44 AM

Page 8 of 13 10/18/2011 10:44 AM

Page 9 of 13 10/18/2011 10:44 AM

Page 10 of 13 10/18/2011 10:44 AM

Page 11 of 13 10/18/2011 10:44 AM

Page 12 of 13 10/18/2011 10:44 AM

Page 13 of 13 10/18/2011 10:44 AM

Page 1 of 12 10/18/2011 10:44 AM

Page 2 of 12 10/18/2011 10:44 AM

Page 3 of 12 10/18/2011 10:44 AM

Page 4 of 12 10/18/2011 10:44 AM

Page 5 of 12 10/18/2011 10:44 AM

Page 6 of 12 10/18/2011 10:44 AM

Page 7 of 12 10/18/2011 10:44 AM

Page 8 of 12 10/18/2011 10:44 AM

Page 9 of 12 10/18/2011 10:44 AM

Page 10 of 12 10/18/2011 10:44 AM

Page 11 of 12 10/18/2011 10:44 AM

Page 12 of 12 10/18/2011 10:44 AM

Page 1 of 22 10/18/2011 10:44 AM

Page 2 of 22 10/18/2011 10:44 AM

Page 3 of 22 10/18/2011 10:44 AM

Page 4 of 22 10/18/2011 10:44 AM

Page 5 of 22 10/18/2011 10:44 AM

Page 6 of 22 10/18/2011 10:44 AM

Page 7 of 22 10/18/2011 10:44 AM

Page 8 of 22 10/18/2011 10:44 AM

Page 9 of 22 10/18/2011 10:44 AM

Page 10 of 22 10/18/2011 10:44 AM

Page 11 of 22 10/18/2011 10:44 AM

Page 12 of 22 10/18/2011 10:44 AM

Page 13 of 22 10/18/2011 10:44 AM

Page 14 of 22 10/18/2011 10:44 AM

Page 15 of 22 10/18/2011 10:44 AM

Page 16 of 22 10/18/2011 10:44 AM

Page 17 of 22 10/18/2011 10:44 AM

Page 18 of 22 10/18/2011 10:44 AM

Page 19 of 22 10/18/2011 10:44 AM

Page 20 of 22 10/18/2011 10:44 AM

Page 21 of 22 10/18/2011 10:44 AM

Page 22 of 22 10/18/2011 10:44 AM

Page 1 of 20 10/18/2011 10:44 AM

Page 2 of 20 10/18/2011 10:44 AM

Page 3 of 20 10/18/2011 10:44 AM

Page 4 of 20 10/18/2011 10:44 AM

Page 5 of 20 10/18/2011 10:44 AM

Page 6 of 20 10/18/2011 10:44 AM

Page 7 of 20 10/18/2011 10:44 AM

Page 8 of 20 10/18/2011 10:44 AM

Page 9 of 20 10/18/2011 10:44 AM

Page 10 of 20 10/18/2011 10:44 AM

Page 11 of 20 10/18/2011 10:44 AM

Page 12 of 20 10/18/2011 10:44 AM

Page 13 of 20 10/18/2011 10:44 AM

Page 14 of 20 10/18/2011 10:44 AM

Page 15 of 20 10/18/2011 10:44 AM

Page 16 of 20 10/18/2011 10:44 AM

Page 17 of 20 10/18/2011 10:44 AM

Page 18 of 20 10/18/2011 10:44 AM

Page 19 of 20 10/18/2011 10:44 AM

Page 20 of 20 10/18/2011 10:44 AM

Turn static files into dynamic content formats.

Create a flipbook
Issuu converts static files into: digital portfolios, online yearbooks, online catalogs, digital photo albums and more. Sign up and create your flipbook.