0 S Muledeer Road, Marana, AZ 85658

Page 1

0SMuledeerRoad,Marana,AZ85658 Parcel304-08-005H

LIMITATION OF LIABILITY FOR INFORMATIONAL REPORTS

IMPORTANT -- PLEASE READ CAREFULLY:

This report is not an insured product or service or a representation of the condition of title to real property. It is not an abst ract, legal opinion, opinion of title, title insurance commitment or preliminary report, or any form of Title Insurance or Guaranty. This report is issued exclusively for the benefit of the Applicant therefor and may not be used or relied upon by any other person. This report may not be reproduced in any manner without First American or Title Security's prior written consent. First American or Title Security does not represent or warrant that the information herein is complete or free from error, and the information herein is provided without any warranties of any kind, as-is, and with all faults. As a material part of the consideration given in exchange for the issuance of this report, recipient agrees that First American or Title Security's sole liability for any loss or damage caused by an error or omission due to inaccurate information or negligence in preparing this report shall be limited to the fee charged for the report. Recipient accepts this report with this limitation and agrees that First American or Title Security would not have issued this report but for the limitation of liability described above. First American or Title Security makes no representation or warranty as to the legality or propriety of recipient's use of the information herein.

SEARCH PARAMETERS

+ FIRST AMERICAN TITLE, FC0, JSTI PINAL (PL), AZ 11/15/2022  03:49PM  R9C8  INVESTIGATIVE SEARCH RESULTS PAGE 1 OF 1
SALES NO SALES ADDITIONAL PROPERTY INFORMATION STANDARD LAND USE: VACANT LAND (NEC) END SEARCH
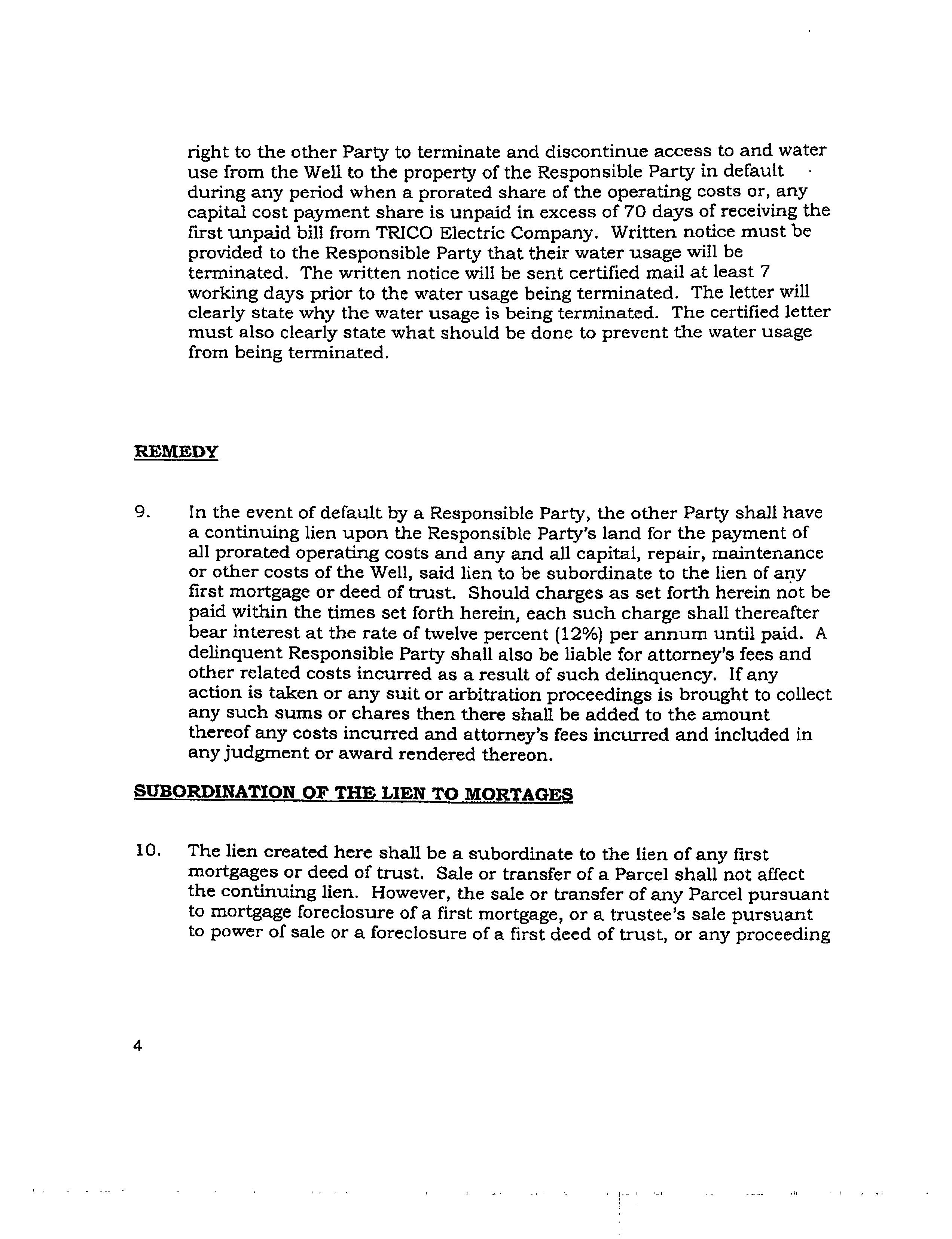
PARCEL:  304-08-005H PARCEL: 304-08-005H 7 INSTRUMENT REC DATE OWNER: ROMERO ROBERT A     2005 168340 12/05/2005  MAIL: 3760 W SUNBRIGHT DR  TUCSON AZ 85742  LEGAL: COM @ NE COR OF SEC 30-10S-12E TH S-1633.77 TO POB CONT S-285.67 TH N-85D W-1164.52 TH N-59D E-47.26 TH N-41D E-224.19 TH E-971.95TO POB. 5.91 AC, AKA PCL: 2, BK-15 OF SURVEYS PG-294  CURRENT TAXES INFORMATION THROUGH 11/01/2022 LAND IMPR EXEMPT RATE AREA SPECIAL DISTRICTS PRIMARY  2,163  0  0  9.4561  0500  11900 14613 14900 15625 24003  SECONDARY  3,392  0  0  1.1696   30002  2022 TOTAL TAX BILLED 229.84 2022  TAX AMT TAX DUE INTEREST DATE PAID TOTAL DUE FIRST HALF  114.92  114.92  1.53  116.45  SECOND HALF  114.92  114.92  0.00  114.92  TOTAL CURRENT TAXES DUE 11/22 231.37 12/22 232.90 (ESTIMATED) IMPROVEMENTS BLDG SQFT  0 FULL CASH VALUE  22,613 YEAR BUILT  0 LAND USE  00 04 NUMBER OF STORIES LOT SIZE  5.910 ACRES STORIES HEIGHT  0 SCHOOL DISTRICT  0500 EXTERIOR WALLS LAND FULL CASH VALUE  22,613 GRADE MATERIALS IMPR FULL CASH VALUE  0
PINAL (PL), AZ Document:DED JTN 2005.168340 Page:1 of 8 Printed on:11/15/2022 5:04 PM Branch :FC0 User :JSTI
PINAL (PL), AZ Document:DED JTN 2005.168340 Page:2 of 8 Printed on:11/15/2022 5:04 PM Branch :FC0 User :JSTI
PINAL (PL), AZ Document:DED JTN 2005.168340 Page:3 of 8 Printed on:11/15/2022 5:04 PM Branch :FC0 User :JSTI
PINAL (PL), AZ Document:DED JTN 2005.168340 Page:4 of 8 Printed on:11/15/2022 5:04 PM Branch :FC0 User :JSTI
PINAL (PL), AZ Document:DED JTN 2005.168340 Page:5 of 8 Printed on:11/15/2022 5:04 PM Branch :FC0 User :JSTI
PINAL (PL), AZ Document:DED JTN 2005.168340 Page:6 of 8 Printed on:11/15/2022 5:04 PM Branch :FC0 User :JSTI
PINAL (PL), AZ Document:DED JTN 2005.168340 Page:7 of 8 Printed on:11/15/2022 5:04 PM Branch :FC0 User :JSTI
PINAL (PL), AZ Document:DED JTN 2005.168340 Page:8 of 8 Printed on:11/15/2022 5:04 PM Branch :FC0 User :JSTI
PINAL (PL), AZ Document:MIS 2005.168335 Page:1 of 3 Printed on:11/15/2022 5:04 PM Branch :FC0 User :JSTI
PINAL (PL), AZ Document:MIS 2005.168335 Page:2 of 3 Printed on:11/15/2022 5:04 PM Branch :FC0 User :JSTI
PINAL (PL), AZ Document:MIS 2005.168335 Page:3 of 3 Printed on:11/15/2022 5:04 PM Branch :FC0 User :JSTI
PINAL (PL), AZ Document:MIS 2005.168338 Page:1 of 2 Printed on:11/15/2022 5:04 PM Branch :FC0 User :JSTI
PINAL (PL), AZ Document:MIS 2005.168338 Page:2 of 2 Printed on:11/15/2022 5:04 PM Branch :FC0 User :JSTI
PINAL (PL), AZ Document:RES MOD 2005.168339 Page:1 of 5 Printed on:11/15/2022 5:04 PM Branch :FC0 User :JSTI
PINAL (PL), AZ Document:RES MOD 2005.168339 Page:2 of 5 Printed on:11/15/2022 5:04 PM Branch :FC0 User :JSTI
PINAL (PL), AZ Document:RES MOD 2005.168339 Page:3 of 5 Printed on:11/15/2022 5:04 PM Branch :FC0 User :JSTI
PINAL (PL), AZ Document:RES MOD 2005.168339 Page:4 of 5 Printed on:11/15/2022 5:04 PM Branch :FC0 User :JSTI
PINAL (PL), AZ Document:RES MOD 2005.168339 Page:5 of 5 Printed on:11/15/2022 5:04 PM Branch :FC0 User :JSTI
PINAL (PL), AZ Document:XGR 2010.88908 Page:1 of 30 Printed on:11/15/2022 5:04 PM Branch :FC0 User :JSTI
PINAL (PL), AZ Document:XGR 2010.88908 Page:2 of 30 Printed on:11/15/2022 5:04 PM Branch :FC0 User :JSTI
PINAL (PL), AZ Document:XGR 2010.88908 Page:3 of 30 Printed on:11/15/2022 5:04 PM Branch :FC0 User :JSTI
PINAL (PL), AZ Document:XGR 2010.88908 Page:4 of 30 Printed on:11/15/2022 5:04 PM Branch :FC0 User :JSTI
PINAL (PL), AZ Document:XGR 2010.88908 Page:5 of 30 Printed on:11/15/2022 5:04 PM Branch :FC0 User :JSTI
PINAL (PL), AZ Document:XGR 2010.88908 Page:6 of 30 Printed on:11/15/2022 5:04 PM Branch :FC0 User :JSTI
PINAL (PL), AZ Document:XGR 2010.88908 Page:7 of 30 Printed on:11/15/2022 5:04 PM Branch :FC0 User :JSTI
PINAL (PL), AZ Document:XGR 2010.88908 Page:8 of 30 Printed on:11/15/2022 5:04 PM Branch :FC0 User :JSTI
PINAL (PL), AZ Document:XGR 2010.88908 Page:9 of 30 Printed on:11/15/2022 5:04 PM Branch :FC0 User :JSTI
PINAL (PL), AZ Document:XGR 2010.88908 Page:10 of 30 Printed on:11/15/2022 5:04 PM Branch :FC0 User :JSTI
PINAL (PL), AZ Document:XGR 2010.88908 Page:11 of 30 Printed on:11/15/2022 5:04 PM Branch :FC0 User :JSTI
PINAL (PL), AZ Document:XGR 2010.88908 Page:12 of 30 Printed on:11/15/2022 5:04 PM Branch :FC0 User :JSTI
PINAL (PL), AZ Document:XGR 2010.88908 Page:13 of 30 Printed on:11/15/2022 5:04 PM Branch :FC0 User :JSTI
PINAL (PL), AZ Document:XGR 2010.88908 Page:14 of 30 Printed on:11/15/2022 5:04 PM Branch :FC0 User :JSTI
PINAL (PL), AZ Document:XGR 2010.88908 Page:15 of 30 Printed on:11/15/2022 5:04 PM Branch :FC0 User :JSTI
PINAL (PL), AZ Document:XGR 2010.88908 Page:16 of 30 Printed on:11/15/2022 5:04 PM Branch :FC0 User :JSTI
PINAL (PL), AZ Document:XGR 2010.88908 Page:17 of 30 Printed on:11/15/2022 5:04 PM Branch :FC0 User :JSTI
PINAL (PL), AZ Document:XGR 2010.88908 Page:18 of 30 Printed on:11/15/2022 5:04 PM Branch :FC0 User :JSTI
PINAL (PL), AZ Document:XGR 2010.88908 Page:19 of 30 Printed on:11/15/2022 5:04 PM Branch :FC0 User :JSTI
PINAL (PL), AZ Document:XGR 2010.88908 Page:20 of 30 Printed on:11/15/2022 5:04 PM Branch :FC0 User :JSTI
PINAL (PL), AZ Document:XGR 2010.88908 Page:21 of 30 Printed on:11/15/2022 5:04 PM Branch :FC0 User :JSTI
PINAL (PL), AZ Document:XGR 2010.88908 Page:22 of 30 Printed on:11/15/2022 5:04 PM Branch :FC0 User :JSTI
PINAL (PL), AZ Document:XGR 2010.88908 Page:23 of 30 Printed on:11/15/2022 5:04 PM Branch :FC0 User :JSTI
PINAL (PL), AZ Document:XGR 2010.88908 Page:24 of 30 Printed on:11/15/2022 5:04 PM Branch :FC0 User :JSTI
PINAL (PL), AZ Document:XGR 2010.88908 Page:25 of 30 Printed on:11/15/2022 5:04 PM Branch :FC0 User :JSTI
PINAL (PL), AZ Document:XGR 2010.88908 Page:26 of 30 Printed on:11/15/2022 5:04 PM Branch :FC0 User :JSTI
PINAL (PL), AZ Document:XGR 2010.88908 Page:27 of 30 Printed on:11/15/2022 5:04 PM Branch :FC0 User :JSTI
PINAL (PL), AZ Document:XGR 2010.88908 Page:28 of 30 Printed on:11/15/2022 5:04 PM Branch :FC0 User :JSTI
PINAL (PL), AZ Document:XGR 2010.88908 Page:29 of 30 Printed on:11/15/2022 5:04 PM Branch :FC0 User :JSTI
PINAL (PL), AZ Document:XGR 2010.88908 Page:30 of 30 Printed on:11/15/2022 5:04 PM Branch :FC0 User :JSTI

Turn static files into dynamic content formats.

Create a flipbook
Issuu converts static files into: digital portfolios, online yearbooks, online catalogs, digital photo albums and more. Sign up and create your flipbook.