Revista Oftalmonews mayo-junio 2024

Page 1

Estimados lectores,

Desde que las plataformas para exámenes de campo visual mediante Realidad Virtual llegaron a la Argentina, rápidamente fueron adoptadas por los profesionales de la visión. En este número contamos con un artículo de la Dra. Ana Sanseau en el que nos detalla las prestaciones de esta tecnología que llegó para quedarse.

Encontrarán nuestras secciones fijas con informes exclusivos y artículos originales: un resumen con las Novedades de la ASCRS 2024 del pasado mes de abril que nos brindan los Dres. y Dras. Ferroni y un tema del cual venimos hablando hace meses – años tal vez –: Dengue en la retina y su influencia; Además: ROP: si o no?. No se pierdan este caso en la Sección Oftalmopediatría; Inteligencia artificial abordada en la segunda parte del artículo de Óptica y oftalmología; Oftalmosolidaria y un anuncio disruptivo: se viene palpitando FacoeXtrema, te lo vas a perder?

Como en las ediciones anteriores, nos encontraremos nuevamente en agosto en el Congreso más importante del año; mientras tanto, los invitamos a seguirnos en Instagram: @oftalmo.news donde diariamente posteamos avances sobre este evento, Cursos de EduPoen, las novedades de la industria que nos acompaña y todo lo que tenés que saber para estar informado en el campo de la oftalmología.

Les recordamos que están invitados a enviarnos los artículos, casos, resúmenes así como Simposios, Cursos, Ateneos, etc., los cuales serán bienvenidos y publicados sin excepciones.

Esperamos disfruten de esta nueva edición.

Las Editoras

OFTALMONEWS · 1

Informe especial

Autores: Dres. Carlos Ferroni y Carlos Javier Ferroni y Dras. Lucía Ferroni y Valeria Ferroni.

Es una reunión centrada en temas terapéuticos, quirúrgicos y administrativos directamente relevantes para los miembros de la ASCRS y la ASOA.

Brinda simposios, conferencias, talleres, sesiones, cursos y laboratorios de transferencia de habilidades para ayudar a los cirujanos del segmento anterior, a los gerentes de práctica, a los administradores, a los técnicos y a las enfermeras a mantener y perfeccionar sus habilidades clínicas y administrativas.

Este año se llevó a cabo en la Ciudad de Boston, MA del 5 al 8 de abril. Se realizó en el Convention & Exhibition Center, uno de los lugares con mejor arquitectura y capacidad de Boston. Esta reunión anual nos permite a todos los oftalmólogos del mundo tener acceso a las actualizaciones. El ASCRS se divide en dos partes, el primer segmento se denomina Subspeciality day y se llevó a cabo el primer día del congreso, y la segunda parte, es decir el resto de los días se puede apreciar el congreso en general.

El Día de la Subespecialidad de ASCRS presenta tres programas distintos: Día de la Refractiva, Día de la Córnea y Día del Glaucoma , donde los asistentes pueden concentrarse específicamente en un área o mezclar y combinar según sus necesidades e intereses.

El Día del Glaucoma de la ASCRS exteriorizó una conferencia magistral sobre las tendencias futuras en la atención del glaucoma, la Conferencia de Honor del Dr. Stephen A. Obstbaum

El Día Refractivo de ASCRS se dividió en cuatro secciones: la evaluación preopera-

toria, la cirugía refractiva de la córnea, la cirugía refractiva de cataratas y las nuevas tecnologías. Además, en la última sesión destacó la Steinert Refractive Lecture presentada por el Dr. Vance Thompson.

El Día de la Córnea de la ASCRS se basó en dónde se encuentran actualmente los tratamientos de córnea y hacia dónde se dirigen los tratamientos en el futuro.

Se remarcó la superioridad del Natamycin (Natamicina) sobre el Voriconazol en los abscesos fúngicos. También la importancia en el diagnóstico diferencial entre escleritis, queratitis, uveítis e infección debido a que el abordaje de las mismas en algunos casos es diferente. Se insistió en el tratamiento, ya sea tópico u oral para algunos casos y asociado a antimicrobianos en otros, debido a que suelen ser en muchos casos patologías de origen mixto. Presenciamos también los avances significativos en la manufactura de la terapia con células endoteliales, los que fueron altamente satisfactorios. Los exámenes y los controles actuales demostraron la evolución de esta técnica, que

10 · OFTALMONEWS EVENTOS INTERNACIONALES
2024

ya no es el futuro sino el presente, y con muchos casos con buenos resultados en la actualidad. Asimismo, se remarcó la importancia de los trasplantes con Stem Cell . Cabe también mencionar la utilización de insulina tópica en el tratamiento de diferentes trastornos epiteliales, estudios a largo plazo y con resultados favorables. Así también el desbridamiento corneal como la mención del tratamiento con membrana amniótica para ciertos casos con eficientes resultados finales; el aporte de esta terapia de células madres en la restauración de la fisiología epitelial también fue demostrada. Pudimos asistir a un importante simposio sobre qué hay de nuevo en el cálculo de las lentes intraoculares, donde se mencionó la eficacia del Argos , tecnología de la empresa Alcon como un instrumento de gran ayuda en la optimización de los resultados a nivel biométrico. Se destaca con esta tecnología Argos la utilización en las cataratas hipermaduras que impedirían tomar mediciones en otros casos.

En lo que respecta a las cicatrizaciones patológicas corneales como el HAZE, post PRK O post LASEK observamos en varias presentaciones la eficiencia del Losartan tópico consiguiendo la regeneración miofibroblástica de la córnea; se ha hecho hincapié en esto y vimos fotografías antes y después del tratamiento con resultados altamente positivos.

Esta reunión de expertos cuenta con un salón de exposiciones que se subdivide en tres áreas más pequeñas con puentes peatonales y tabiques móviles que se desplazan detrás de ellas. En este salón se encuentran los laboratorios más importantes a nivel mundial como la empresa Alcon, MED, ZEISS y Johnson & Johnson Vision.

Dentro del salón comercial se encuentra un área de fotografías donde ASCRS y la Sociedad de Fotógrafos Oftálmicos (OPS) copatrocinan una convocatoria para la presentación de fotografías de Imágenes oftálmicas de alta calidad.

La imagen ganadora fue Síndrome de Wyburn-Manson , presentado por Stephanie Burke, MS, CRA, OCT-C.

La Reunión Anual de la ASCRS proporcionó a los inscriptos en las reuniones médicas un acceso digital sin precedentes a la Reunión Anual de la ASCRS de 2024 en Boston, MA.

Tuvieron acceso a casi 700 trabajos científicos presentados en la reunión. Los artículos se organizan en sesiones basadas en una de las más de 35 categorías clínicas

Exploraron más de 190 películas digitales que cubrieron técnicas quirúrgicas, avances en investigación, actualizaciones clínicas y más.

OFTALMONEWS · 11

Maculopatía por Dengue

Autores: Dr. Carlos Agüero, Dra. María Catalán y Dr. Alejandro Lavaqué. Centro de Especialidades Oftalmológicas - Tucumán

En el último tiempo se observó un incremento de la morbimortalidad debido a infecciones virales como ser Dengue, Zika y Chikungunya en áreas tropicales y subtropicales. Aproximadamente entre el 5 a 8% de los pacientes que presentan manifestaciones oculares secundarias al dengue tienen riesgo de desarrollar una pérdida permanente de la visión debido al compromiso del segmento posterior.

La fisiopatología de la retinopatía y maculopatía por dengue incluye la superposición de dos componentes: inflamatorio e isquémico, los cuales pueden llevar a afectación de la visión central. El componente inflamatorio se evidencia por la presencia de células inflamatorias en el vítreo y edema macular cistoide. En cuanto al componente isquémico, este se produce por el depósito de inmunocomplejos entre las capas de la retina que afectan al plexo capilar superficial y profundo. Estas lesiones vasculares pueden llevar a cambios como hemorragias, periflebitis macular, adelgazamiento de la retina externa y escotomas visuales persistentes. Se observó que el inicio temprano de la terapia con corticoides podría ser útil en la resolución del componente inflamatorio, sin embargo la isquemia de los plexos retinianos profundos puede persistir y ser la causa de los cambios estructurales y funcionales permanentes que se presentan en los pacientes que padecen la enfermedad.

Nuestro entendimiento de la Maculopatía por Dengue involucra un componente inflamatorio e isquémico con compromiso principalmente del plexo capilar profundo (PCP). Indudablemente la disfunción endotelial capilar o la oclusión precapilar de arteriolas debido a depósitos de inmunocomplejos (hipersensibilidad tipo III), puede ser el mecanismo de las presentaciones isquémicas capilares en la Maculopatía por Dengue. Tenemos que conocer que la va scularización retiniana comienza desde la cabeza del nervio óptico con la arteria

central de la retina. A partir de allí, varias ramas arteriales se bifurcan y viajan por la superficie de la retina. Luego cada rama arterial profundizará en el espesor de la retina interna y retina media, constituyendo tres plexos vasculares a nivel de la mácula. El drenaje de cada uno de estos plexos formará un extremo distal venoso que retornará a la superficie de la retina para formar vénulas, que luego drenan a venas de mayor calibre.

Estos tres plexos capilares retinianos serán el Plexo Capilar Superficial (PCS), el plexo capilar intermedio (PCI) y el Plexo Capilar Profundo (PCP). La ubicación histológica de cada uno de estos plexos es con la presencia de PCS a nivel de la capa de células ganglionares (CCG), el PCI a nivel del borde interno de la capa nuclear interna (CNI) y el PCP a nivel del borde externo de la Capa Nuclear Interna (CNI).

Es importante percatarse que los plexos capilares se encuentran ubicados intencionalmente para suplir las altas demandas metabólicas de las poblaciones celulares adyacentes a su aporte de oxígeno. La razón es que en la génesis vascular, la demanda de oxígeno marca el recorrido óptimo de los vasos.

La disposición anatómica de los plexos nos lleva a entender que el PCS al ser proximal a la irrigación arterial será el plexo con mayor concentración de oxígeno, con mayor componente arterial. En el extremo profundo, de esta retina interna vascular, el PCP se encuentra más distal y presenta menor oxigenación, por lo tanto un mayor componente venoso entre sus capilares. Aquí podemos advertir que el PCI, es un ple xo mixto entre capilares arteriales y venosos.

La retina externa es avascular, aquí se genera una frontera vascular que será irrigada por la vascularización retiniana anterior y la vascularización coroidea (coriocapilar) desde su borde posterior. Pudiendo notar de este modo, que compromisos retinovasculares desde la superficie de la retina que lleve a una disminución de flujo vascular, in -

12 · OFTALMONEWS RETINA

Maculopatía por Dengue.

dudablemente compromete ini cialmente el borde distal de la retina media por afectación del PCP. Siendo la maculopatía por dengue una causa de disfunción endotelial capilar o la oclusión precapilar de arteriolas, será la causante de una maculopatía por hipoflujo que dependiendo la severidad del cuadro afectará distalmente al PCP, al PCI y por último al PCS. Es a partir de esta introducción, que podemos comprender varias de las presentaciones que se dieron en nuestros pacientes con dengue. Nosotros entendemos que estamos frente a una maculopatía por hipoperfusión en un contexto de pacientes con Dengue. Los pacientes han sufrido compromiso de la retina externa, con una Neuroretinopatía Macular Aguda (AMN, por sus siglas en inglés); daño de la retina media, con una Maculopatía Media Paracentral Aguda (PAMM, por sus siglas en inglés) y afectación de su retina interna, con Desorganizaciones de la Retina Interna (DRIL, por sus siglas en inglés).

La bibliografía anteriormente publicada ha vinculado unidireccionalmente a la maculopatía con dengue con Neuroretinopatía Macular Aguda, pero las diferentes lesiones en todo el espesor de la retina nos plantea una expansión en el concepto de hipoperfusión, y posiblemente la asociación del daño en los tres plexos capilares.

La Neuroretinopatia Macular Aguda (AMN), comienza con el compromiso del PCP, el cual adyacentemente lleva a una hipoperfusión de la retina externa, puntualmente

de la Capa Plexiforme Externa (CPE). Inicialmente genera la hiperreflectividad de la capa de fibras de Henle (CFH), que puede tener una extensión retrógrada (en la vía visual) produciendo un deterioro asociado de la Zona Elipsoide (ZE) y la zona de interdigitación (ZI). En algunos de nuestros pacientes hemos notado afectación del EPR en el enFace del OCT y en la autofluorescencia por contigüidad de la zona de interdigitación.

La hiperreflectividad en la retina externa, denota el daño isquémico. Su disposición angulada nos demarca la continuidad de una isquemia en la conexión neuronal entre las células de Müller y los fo torreceptores, la cual tiene una disposición en forma de Z en la región perifoveal. Como consecuencia de esta isquemia externa, nos podemos encontrar con el adelgazamiento de la capa nuclear externa (CNE) posterior a la resolución del cuadro.

La Maculopatía Media Aguda Paracentral (PAMM), comienza con el compromiso del PCP, siendo probable la alteración del PCI por continuidad en una isquemia venosa profunda más severa. En esta entidad la presentación típica es con hiperreflectividad en banda de la Capa Nuclear Interna (CNI), produciendo infarto de la retina interna. La secuela de la PAMM es el adelgazamiento de la CNI. Si recordamos la disposición de estos dos plexos bordeando la CNI, y la alta demanda metabólica en este sector, podremos pensar en una progresión anterógrada vascular con afectación del PCS.

Foto 1. Abajo, B-Scan de OCT con compromiso de todo el espesor de la retina. enFace de retina interna y media con lesión hiperreflectiva. enFace de segmentos externos con sombra posterior de la lesión hiperreflectiva superficial.

OFTALMONEWS · 13

Maculopatía por Dengue.

La desorganización de la retina interna (DRIL), es frecuentemente encontrada en el contexto de pacientes con enfermedades retinovasculares como la retinopatía diabética u oclusiones vasculares por compromiso del PCS. El DRIL se caracteriza por la isquemia de la retina interna, lo que imposibilita ver los límites netos entre las líneas hipo e hiperreflectivas normales de la retina interna. Pensando nuevamente en un PCS, que está a nivel de la CCG y en un paciente con dengue con los depósitos de inmunocomplejos que llevan a oclusión precapilar de arteriolas. Comprendemos qu e las hiperreflectividades de la retina interna en los enFace OCT de nuestros pacientes tienen el origen de estas isquemias arteriolares localizadas. Y en una posible afectación que progresa de manera anterógrada de los plexos capilares profundos para luego comprometer el PCS.

La clave para entender que los plexos capilares están intervinculados está en las células de Müller. Son la única célula que se dispone en todo el espesor de la retina, teniendo su cuerpo neuronal en la CNI (retina media), extendiéndose anteriormente para formar la membrana

limitante interna (retina interna); así como también, prolongandose hacia posterior para constituir la membrana limitante externa en su adherencia con los segmentos internos de los fotorreceptores (retina externa).

Esto nos permite vincular los cambios en nuestros pacientes. Aquellos con AMN, compromiso de la retina externa por la disposición de las células de Müller y los fotorreceptores, pero que tienen focales DRIL en la retina interna. Así como un grupo de pacientes que comenzaron con compromisos de la retina media e interna (PAMM y DRIL), y luego se presentaron hiperreflectividades angulares en la retina externa.

Consideramos el entendimiento global de una Maculopatía por hipoperfusión, en el contexto de pacientes con Dengue, que pueden tener compromisos vasculares individuales como PCP con AMN, PCI con PAMM, PCS con DRIL; y a la apertura de pensar en la posibilidad de una extensión retrógrada por daño celular o la progresión anterógrada por afección de los otros plexos capilares adyacentes en aquellos donde los signos anatomopatológicos por OCT están vinculados.

Foto 2 - Neuroretinopatía Macular Aguda (AMN) Arriba, enFace de retina media con lesión hiperreflectiva. enFace de segmentos externos con sombra posterior de la lesión hiperreflectiva superficial. enFace de epitelio pigmentario de la retina con extensión de la lesión hiperreflectiva con compromiso interno. Abajo, B-Scan de OCT muestra el compromiso del Plexo Capilar Profundo (DCP, por siglas en inglés) y la hiperreflectividad de la capa de fibras de Henle por isquemia de la capa plexiforme externa. Se puede apreciar el afectación retrógrada de los segmentos externos, zona elipsoide y zona de interdigitación en la retina externa.

RETINA 14 · OFTALMONEWS

Maculopatía por Dengue.

Para concluir, con el incremento reciente del número de casos por dengue, es importante reconocer las manifestaciones del segmento posterior que pueden ser amenazantes para la visión de los pacientes. Una evaluación completa de los cambios vitreoretinianos usando tecnología cómo enFace OCT y OCT-A puede proporcionar in -

formación útil sobre la patogénesis de la enfermedad y profundidad del compromiso retiniano, resultados del tratamiento y morbilidad visual en estos pacientes. Se requieren investigaciones mayores para conocer en detalle los factores de riesgo, historia natural y pronóstico a largo plazo de esta condición. (1) (2) (3) (4) (5) (6)

Foto 3 - Maculopatía media aguda paracentral (PAMM) enFace de OCTA con compromiso del plexo capilar profundo y agrandamiento de la zona avascular foveal. enFace de OCT con lesión hiporeflectiva, por quiste de fluido en capa nuclear interna. También en este plano una lesión hiperreflectiva por isquemia de capa nuclear interna, que se extiende a retina interna. Abajo, B-Scan de OCT, nos muestra el compromiso del plexo capilar profundo con isquemia de la capa nuclear interna que genera un espacio quístico hiporreflectivo y lesión hiperreflectiva isquémica de la capa nuclear interna, con extensión interna por progresión vascular anterior del plexo capilar superficial.

Adjuntamos QR de Dengue CEO, para invitar a que vean nuestro video en Youtube con una explicación más amplia del tema.

Referencias bibliográficas:

1. Govinda Raju D, Ramli N, Ramayaj R. A Case Report of Dengue-Associated Maculopathy With Literature Review. Cureus [Internet]. 9 de marzo de 2023 [citado 23 de abril de 2024]; Disponible en: https://www.cureus.com/articles/140891-a-case-report-of-dengue-associated-maculopathy-with-literature-review

2. Akanda M, Gangaputra S, Kodati S, Melamud A, Sen HN. Multimodal Imaging in Dengue-Fever-Associated Maculopathy. Ocul Immunol Inflamm. 4 de julio de 2018;26(5):671-6.

3. Agarwal A, Aggarwal K, Dogra M, Kumar A, Akella M, Katoch D, et al. Dengue-Induced Inflammatory, Ischemic Foveolitis and Outer Maculopathy: A Swept-Source Imaging Evaluation. Ophthalmol Retina. febrero de 2019;3(2):170-7.

4. Laurence B, Harold M, Thierry D. Ocular Complications of Dengue Fever. Ophthalmology. junio de 2008;115(6):1100-1.

5. Aggarwal K, Agarwal A, Katoch D, Sharma M, Gupta V. Optical coherence tomography angiography features of acute macular neuroretinopathy in dengue fever. Indian J Ophthalmol. 2017;65(11):1235.

6. Rhee TK, Han JI. Use of Optical Coherence Tomography to Evaluate Visual Acuity and Visual Field Changes in Dengue Fever. Korean J Ophthalmol. 2014;28(1):96.

16 · OFTALMONEWS
RETINA

Retinopatía en Incontinentia Pigmenti

Autoras: Dras. Alejandra Holze y Gabriela Saidman Hospital Cuenca Alta de Cañuelas. Servicio de Oftalmología. Red ROP zona sur Regiones VI/XI

CASO CLÍNICO

Paciente de sexo femenino, de 13 días de vida, parto de término 41 Semanas, Pesó al nacer 3250 gramos. Internada en la UCIN por sospecha de sepsis y eritrodermia generalizada (lesiones verrugosas y escamosas en piel) y convulsiones.

Se realiza fondo de ojo. Ojo derecho normal pero con vascularización incompleta en periferia. Ojo izquierdo se evidencia exudado (localizado en sector temporal entre arcadas vasculares). Se solicita TORCH.

No tenemos novedades de la paciente y a los 15 días de verla en la UCIN concurre por consultorio externo para control de fondo de ojo con diagnóstico de IP confirmado por biosia cutánea. Se realiza oftalmoscopía binocular indirecta: ojo derecho normal (vascularización incompleta en periferia) y ojo izquierdo: retinopatía exudativa, hemorragia retiniana, shunts a-v, neovasos en polo posterior. (Fig.1 y 2)

Se indica tratamiento con inyección intravítrea de Avastin (Bevacizumab) 0,625 mg en ojo izquierdo en una semana.

Previo a la aplicación del antiangiogénico se realiza OBI, que evidencia progresión de la retinopatía. (Fig. 3, 4 y 5).

Se controló semanalmente; fueron desapareciendo los shunts y neovasos y persistiendo las hemorragias retinales y vítreas, continuando mucha zona avascular. (Fig. 6 y 7).

Se decide realizar láser, qu edando zonas sin fotocoagular por la presencia de hemorragias. (a los cinco meses postinyección de Avastín) (Fig. 8 y 9).

Continuamos con controles de fondo de ojo cada quince días con mejoría e involución de hemorragias, visualizando las zonas de retina avascular se realiza láser en dichas zonas

18 · OFTALMONEWS
OFTALMOPEDIATRÍA - REPORTE DE CASO
Figura 1 Figura 2

Retinopatía en Incontinentia Pigmenti.

(ojo izquierdo) y se fotocoagula la periferia de ojo derecho. (A los nueve meses de la inyección de Avastín). La niña continúa con los controles oftalmológicos, en ambos ojos retina aplicada, ortotropia, motilidad ocular conservada, fija y sigue con el ojo derecho y está realizando terapias de estimulación visual.

OFTALMONEWS · 19
Figura 5 Figura 6 Figura 7 Figura 3 Figura 4

Retinopatía en Incontinentia Pigmenti..

DISCUSIÓN

La Incontinentia Pigmenti (IP) es una genodermatosis del neuroectodermo, poco frecuente, 1 en 50000 nacidos vivos. Se produce por mutaciones en el gen NEMO localizado en el cromosoma Xq 28 y que interviene en la protección celular contra la apoptosis. La herencia de esta enfermedad es dominante ligada al X. En el 98 % de los casos afecta al sexo femenino ya que suele ser mortal en niños (1)(2)

La IP se asocia a manifestaciones dermatológicas y extradermatológicas en el 50 a 80% de los casos, y afectan predominantemente a tejidos derivados del neuroectodermo y de la cresta neural. Incluyen: afectación dentaria, defectos esqueléticos, alteraciones neurológicas y retinianas como desprendimiento de retina, proliferaciones fibrovasculares o cambios pigmentarios. (3)

OFTALMOPEDIATRÍA - REPORTE DE CASO 20 · OFTALMONEWS
Figura 8 Figura 11 Figura 9 Figura 12 Figura 10

Retinopatía en Incontinentia Pigmenti.

Se cree que el gen NEMO mutado induce una reacción inflamatoria en varias células del cuerpo, como la piel y las células endoteliales vasculares, que aumentan anormalmente su expresión de factores quimiotácticos que atraen y activan a los eosinófilos. La inflamación agresiva de las células endoteliales en los vaso s sanguíneos eventualmente conducirá a una oclusión vascular y a una isquemia tisular que se observa en el examen de la retina. (4)

Las manifestaciones oculares se pueden dividir en signos retinianos y no retinianos. Pueden variar desde trastornos corneales, microftalmia, estrabismo y catarata congénita hasta atrofia del nervio óptico.

Los hallazgos retinianos generalmente comienzan con áreas de vascularización retiniana incompleta que conduce a neovascularización , hemorragias retinianas y finalmente desprendimiento de retina, lo que conduce a la característica clásica de fibroplasia retrolental si no se trata. La IP debe considerarse en el diagnóstico diferencial de pa -

Referencias bibliográficas:

1. Rola M, Martins T, Melo MJ, Gomes R, Roseira J, Souto A. Incontinence of pigment. AN Pediatr( Barc). 2004;60:601-2.

2. Domínguez-Reyes A, Aznar- Martín T, Cabrera- Suarez E. General and dental characteristics of Bloch- Sulzberger Sindrome. Review of literatura and presentation of a case report. Med Oral.2002;7:293-7.

cientes con falta de perfusión vascular retiniana periférica o desprendimiento de retina: Retinopatía del prematuro (ROP), vitreorretinopatía exudativa familiar (FEVR) y enfermedad de Norrie. (5)

CONCLUSIONES

Es muy importante el diagnóstico de la retinopatía en las primeras etapas de la IP para un tratamiento oportuno. Los pacientes con IP necesitan un seguimiento de por vida oftalmológico y un enfoque multidisciplinario. Debido a la isquemia retiniana que aumenta los niveles del factor de crecimiento endotelial (VEGF) intraocular y como consecuencia la neovascularización, las opciones actuales de tratamiento para suprimir la neovascularización retiniana incluyen la fotocoagulación con láser o las inyecciones intravítreas de anti VEGF. (3)

3. Llano Rivas I, Soler Sanchez T, Málaga- Dieguez I, Fernández- Toral J. Incontinencia pigmenti. Cuatro pacientes con diferentes manifestaciones clínicas. AnPediatr (Barc).2012;76 (3):156-160

4. Al-Farsi N, Al Rashdi A. Incontinentia pigmenti: What we know and can we manage it is as retinopathy of prematurity? Oman J Ophthalmol. 2022 Nov2;15(3):263-265

5. Rishi P, Singh N, Rishi E. Retinopathy in Incontinentia pigmenti. Indian J Ophthalmol. 2019 Jun; 67 (6): 940-942

OFTALMOPEDIATRÍA
REPORTE DE CASO
-

Cuadro atípico de telangiectasia macular idiopática bilateral

Autores: Ernesto Alemañy, MD, Amy Pérez Camacho MD, Fermín Silva, MD, Ana Luisa González, MD, Robinson Barrientos, MD Department of

RESUMEN

La telangiectasia macular idiopática bilateral de la variante (MacTel 2), se considera una enfermedad neurodegenerativa que afecta a personas por encima de los 40 años de edad de forma mundial. Existen múltiples mecanismos o patogenias del porqué surge la enfermedad, pero el mecanismo neurodegenerativo es el más discutido a la actualidad. Presentamos el caso de una mujer de 52 años que acudió a nuestro centro de salud, por presentar desde hace 7 años mala visión cen-

PALABRAS CLAVE

Mactel, mácula, telangiectasias, neurodegenerativas, neovascularización, retina, células de müller.

ABSTRACT

Bilateral idiopathic macular telangiectasia of the variant (MacTel 2) is considered a neurodegenerative disease that affects people over 40 years of age worldwide. There are multiple mechanisms or pathogenesis why the disease arises, but the neurodeg enerative mechanism is the most discussed at present. We present the case of a 52year-old woman who came to our health center because she had had poor central vision in her right eye for 7 years and who a year ago began to present the same alteration in her left eye, during the ophthalmological exa -

tral del ojo derecho y que hace un año comenzó a presentar la misma alteración del ojo izquierdo, al examen oftalmológico y con la ayuda de estudios diagnósticos auxiliares se concluyó como MacTel 2.

La enfermedad de MacTel provoca pérdida limitada de la visión tanto lejana como cercana y es posible que después que se instaure no progrese en años. En la actualidad para la enfermedad base no existe un tratamiento oportuno.

mination and with The help of auxiliary diagnostic studies was concluded as MacTel 2.

MacTel disease causes limited loss of both distance and near vision and may not progress for years after it sets in. Currently there is no timely treatment for the underlying disease.

Key words : Mactel, macula, telangiectasias, neurodegenerative, neovascularization, retina, muller cells.

26 · OFTALMONEWS RETINA - REPORTE DE CASO

Cuadro atípico de telangiectasia macular idiopática bilateral.

La telangiectasia macular (MacTel) o perifoveal idiopática o telangiectasia yuxtafoveal, incluye varias, enfermedades vasculares diferentes que afectan los capilares del polo posterior. Si bien se han utilizado clasificaciones complejas, existen esencialmente dos formas básicas y distintas: 1) un desarrollo o congénita, usualmente una anomalía vascular unilateral, la cual puede ser parte de un largo espectro dentro de la enfermedad de Coats y ahora conocida como Mac Tel tipo 1. Y 2) una forma presumiblemente bilateral adquirida encontrada en personas de edad media y ancianas, la cual ha sido denominada telangiectasia macular, yuxtafoveal o perifoveal y es conocida como Mac Tel tipo 2. 1

Esta última la evidencia sugiere una etiología neurodegenerativa, con afectación de las células de Müller. La hiperplasia del epitelio pigmentario de la retina y la neovascularización subretiniana son responsables de la mayor parte de la pérdida de visión en casos avanzados. 1

Es una enfermedad asimétrica bilateral que afecta a pacientes mayores de 40 años, predilección por las mujeres. El Beaver Dam Eye Study informó una prevalencia del 0,1 % en 4.790 personas entre 43 y 86 años de edad, pero el Melbourne Collaborative Cohort estimó una prevalencia menor del 0,0045% en 22 punto cuarenta y uno participantes, enfermedad que preva-

INTRODUCCIÓN PRESENTACIÓN DE CASO

Paciente femenina de 52 años de edad referida al servicio de retina y vítreo en Clínica La Luz; Lima, Perú; el 18 de noviembre del año 2023; que presenta disminución de la visión del ojo derecho que comenzó en el 2018, es decir (7 años previos), sin percatarse de síntomas y signos del ojo

Examen Oftalmológico

A la biomicroscopia del ojo derecho párpados/pestañas buena arquitectura y apertura normal de los párpados, buena implantación y orientación de las pestañas. No anomalías asociadas, conjuntiva/esclera: irrigación acorde a la conjuntiva y esclera sin alteración, cámara anterior: formada, iris: redondo y plano, cristalino: transparente, vítreo anterior: no células, fundus: disco de bordes netos, anillo neurorretiniano (ANR) rosado, Copa/ Disco (C/D) 0.6. Mácula con reflejo atenuado (no depresión foveal) con imagen de aspecto quístico, pe -

lece en todo el mundo sin predilección racial.1

Los síntomas suelen comenzar en la quinta o sexta década de la vida. Debido a la baja conciencia sobre la enfermedad, para los médicos-retinólogos el diagnóstico de MacTel suele retrasarse y puede diagnosticarse de forma errónea como degeneración macular asociada a la edad en presencia de neovascularización. 2 Actualmente no está claro cuál es su patogenia.

Los signos más tempranos se caracterizan por una decoloración grisácea de la retina temporal, reducción de la transparencia retiniana en el área parafoveolar 1,2 . Múltiples depósitos cristalinos diminutos amarillos a nivel de la membrana limitante interna. Capilares ectásicos que afecta el plexo vascular profundo. Hiperplasia pigmentaria con vénulas romas y dilatadas. Atrofia foveal con pequeños quistes foveales no prominentes que simulan un “agujero macular lamelar”. Lesión viteliforme central alrededor de la mitad del diámetro del disco.1,2 Existen diferentes técnicas imagenológicas que nos ayudan a poder interpretar o diagnosticar MacTel. 1,2

El tratamiento del no proliferativo sigue siendo controvertido para tratarlo se utiliza fotocoagulación con láser focal y de rejilla, terapia fotodinámica, acetónido de triamcinolona intravítreo y fármacos anti-VEGF. Pero ninguno de estos presenta resultados eficaces. 1,2

izquierdo. Se le realiza agudeza visual sin corrección que reporta en el ojo derecho 20/400 que corregía 20/100 y ojo izquierdo una agudeza visual sin corrección 20/400 que corregía a 20/40 y otros estudios estructurales y funcionales que se exponen más adelante.

queño, que simula un agujero macular, reflejo foveal atenuado, retina periférica media y extrema aplicada, no alteraciones vasculares de la retina, vítreo transparente. Ojo izquierdo, sin alteraciones, se realiza fondo de ojo, disco de bordes netos, ANR rosado y conservado, C/D 0.6. Mácula con reflejo atenuado (no depresión foveal) con imagen de aspecto quístico, pequeño, que simula un agujero macular, reflejo foveal atenuado, retina periférica media y extrema aplicada, no alteraciones vasculares de la retina, vítreo transparente.

OFTALMONEWS · 27

Cuadro atípico de telangiectasia macular idiopática bilateral.

Estudios Auxiliares

• Tomografía de coherencia óptica (1era en el 2018)

Ojo derecho : el círculo rojo circunscribe la imagen de reflectancia (IR) muestra lesiones redondas, pequeñas hiporreflectividad en área foveal y la fecha roja la imagen de OCT revela presencia de un espacio ópticamente vacío de la fóvea externa asociado a disrupción del segmento elipsoide. Cortesía del autor .

Ojo izquierdo : etapa temprana con integridad de las capas de la retina sin alteración de la zona elipsoide. Cortesía del autor

• Angiografía con fluoresceína (1era en el 2018)

Ambos ojos : no muestran alteración en la vasculatura ni zonas de fuga. Cortesía del autor

• Angio-OCT

Ojo derecho : plexo superficial como plexo profundo se observan sin alteración. Cortesía del autor

Ojo izquierdo : plexo superficial y plexo profundo sin alteración. Cortesía del autor

RETINA - REPORTE DE CASO 28 · OFTALMONEWS

Cuadro atípico de telangiectasia macular idiopática bilateral.

• Auto-fluorescencia

Ambos ojos: No se observan cambios estructurales en el estudio, sugestivos a la enfermedad. Cortesía del autor

• Tomografía de coherencia óptica (OCT) 1/08/23

Ojo derecho: fecha roja; mácula con reflejo atenuado con imagen de aspecto quístico, pequeño, que simula un agujero macular, reflejo foveal atenuado. Cortesía del autor

• Tomografía de coherencia óptica (OCT) 1/08/23

Ojo izquierdo : fecha roja, se observa una zona hipore flectante, con pérdida de la zona elipsoide. Cortesía del autor

DISCUSIÓN

La telangiectasia macular tipo 2 (MacTel) es una enfermedad neurodegenerativa retiniana poco común que afecta a un área específica de la retina, el “área MacTel” y se asocia con cambios vasculares típicos. La pérdida de visión ocurre inicialmente en la mácula paracentral temporal, lo que conduce a escotomas binasales 3-5 . El concepto patogénico actual sugiere una disfunción en el metabolismo de la serina y los lípidos, lo que resulta en una pérdida de células de Müller y fotorreceptores, lo que conduce al fenotipo clínico característico de MacTel 2. 6,7 Se llega al diagnóstico en base a la clínica y hallazgos típicos en estudios auxiliares mencionados a continuación.

Las imágenes de tomografía de coherencia óptica de dominio espectral (SD-OCT) son muy cara cterísticos de esta enfermedad, incluyen adelgazamiento de la retina central y espacios poco reflectantes “cavidades” en la retina interna y externa (OR), pérdida focal de la zona elipsoide (EZ) o rotura del segmento interno (IS/OS) que comienza temporal al centro foveal, luego se extiende hasta la zona nasal y al centro foveal 8-10

Los signos distintivos de la Mactel2 que no están presentes en nuestro paciente son los "cristales" retinianos internos refringentes, los cuales se sospecha que son placas de células de Müller de base, similares a los puntos refringentes observados en la retinosquisis, así como grupos de puntos negros gruesos debido a la migración de pigmento intrarretiniano.

La angiografía con fluoresceína es la técnica estándar de oro para evaluar los cambios vasculares en MacTel. Los cambios vasculares son visibles en la fase temprana de la FA y afectan a la red capilar profunda de la retina. Se caracteriza por vasos telangiectásicos y venas dilatadas, embotadas o en ángulo recto en diferentes áreas durante la progresión de la enfermedad. En angiografía por tomografía de coherencia óptica, han demostrado que los primeros cambios vasculares en MacTel ocurren temporales a la fóvea en la red capilar profunda. 7,10

El tratamiento del MacT de ti po neovascular ha mejorado con fármacos antifactor de crecimiento endotelial vascular (anti-VEGF), pero el tratamiento del MacTel no proliferativo sigue siendo controvertido. 1 Se han utilizado fotocoagulación con láser focal y de rejilla, terapia fotodinámica (PDT), acetónido de triamcinolona intravítreo (IVTA) y fármacos anti-VEGF. 1,11 Los cuales no han sido efectivo para la enfermedad. Dado que el primer hallazgo en MacTel es la redistribución del pigmento carotenoide macular que comienza en la perifovea temporal, se ha estudiado la suplementación con luteína, xeazantina y mesozeaxantina. Sin embargo, esto no mostró ningún beneficio. 12,13

RETINA - REPORTE DE CASO 30 · OFTALMONEWS

Cuadro atípico de telangiectasia macular idiopática bilateral.

Aunque aún queda mucho por descubrir sobre los mecanismos subyacentes de la enfermedad y no se ha encontrado un tratamiento para abordar la directamente, los protocolos de tratamiento desarrolla dos para la degeneración macular relacionada con la edad han demostrado ser eficaces en el manejo exitoso de la neovasculariza ción macular.

Plantear el diagnóstico no es fácil por ende es ideal poder realizar diagnósticos diferenciales e ir descartando según su etiología, tiempo de aparición y comportamiento clínico con enfermedades que presentan lesiones idénticas estructurales. Existen diferentes patrones.

• Hereditarias: Acromatopsia14, Distrofia macular oculta15,16, Distrofia de conos17, Enfermedad de Stargardt.17

• Traumáticas : Retinopatía solar 18 , Retinopatía por puntero láser 19

• No hereditarias : Telangiectasia macular idiopática tipo 1 20 , Telangiectasia macular idiopática tipo 3 20

Referencias bibliográficas:

1. Kedarisetti KC, Narayanan R, Stewart MW, Reddy Gurram N, Khanani AM. Macular Telangiectasia Type 2: A Comprehensive Review. Clin Ophthalmol. 2022 Oct 10; 16:3297-3309. DOI: 10.2147/OPTH.S373538. PMID: 36237488; PMCID: PMC9553319.

2. Issa P, Gillies M, Chew E, Bird A, Heeren T, Peto F, et al. Macular telangiectasia type 2. Institutes nacional of health. Prog retin eye res. 2013 May;34-49-77. DOI: 10.1016/j.preteyeres.2012.11.002

3. Heeren TF, Clemons T., Scholl HP y col. Progresión de la pérdida de visión en telangiectasia macular tipo 2.  Invest Ophthalmol Vis Sci.  2015; 56: 3905–3912. Disponible en: https://pubmed.ncbi.nlm.nih.gov/26070062/

4. Heeren TFC, Chew EY, Clemons T., et al. Telangiectasia macular tipo 2: agudeza visual, grado final de la enfermedad y área de MacTel: Informe del Proyecto MacTel número 8.  Oftalmología.  2020; 127: 1539-1548. Disponible en: https://www.ncbi.nlm.nih.gov/pmc/articles/PMC8380038/

5. Tzaridis S., Herrmann P., Charbel Issa P., et al. Inhibición binocular de la lectura en telangiectasia macular tipo 2.  Invest Ophthalmol Vis Sci.  2019; 60: 3835–3841. Disponible en: https://pubmed.ncbi.nlm.nih.gov/31529080/

6. Gantner ML, Eade K, Wallace M, Handzlik MK, Fallon R, Trombley J, et al. Metabolismo de serina y lípidos en la enfermedad macular y la neuropatía periférica.  N Inglés J Med.  2019;  381 : 1422–33. Disponible en: https://www.ncbi.nlm.nih.gov/pmc/articles/PMC7685488/

7. Tzaridis S, Heeren TFC, Mai C, Thiele S, Holz FG, Charbel Issa P, et al. Vasos en ángulo recto en telangiectasia macular tipo 2. Br J Ophthalmol. 2019. DOI:10.1136/bjophthalmol-2018-313364.

8. Sallo FB, Peto T, Egan C, Wolf-Schnurrbusch UE, Clemons TE, Gillies MC, et al. La capa de unión IS/OS en la historia natural de la telangiectasia macular idiopática tipo 2. Investigación Ophthalmol Vis Sci. 2012; 53: 7889–95. Disponible en: 9. Charbel Issa P, Gillies MC, Chew EY, Bird AC, Heeren TF, Peto T, et al. Telangiectasia macular tipo 2.  Prog Retin Eye Res.  2013; 34: 49–77. Disponible en: https://www.ncbi.nlm.nih.gov/pmc/articles/PMC3638089/

10. Krivosic V, Lavia C, Aubineau A, Tadayoni R, Alain Gaudric A. OCT de hiperreflectividad retiniana externa, neovascularización y pigmento en telangiectasia macular tipo 2.  Ophthalmol Retina.  2020; 19: 2468–6530. Disponible en: https://pubmed.ncbi.nlm.nih.gov/32956858/

Cada una de estas patologías se descarta por diferentes razones: las de origen heredita rio muestran síntomas distintivos y están vinculadas a mu taciones genéticas; las de origen traumático están relacionadas con lesiones evidentes por accidentes; mientras que las de origen no hereditario, como las relacionadas con la mácula, se excluyen por el momento de presentación y por las causas subyacentes que las definen.

Agradecimientos

Los autores agradecen al paciente el consentimiento informado y todas las labores sani tarias implicadas en el cuidado de los pacientes.

Disclosure

Los autores declaran no tener ningún conflicto de intereses en éste trabajo.

11. Matsumoto Y, Yuzawa M. Terapia con bevacizumab intravítreo para la telangiectasia macular idiopática.  Jpn J Oftalmol. 2010;  54: 320–324. DOI: 10.1007/s10384-010-0810-4

12. Tan ACS, Balaratnasingam C, Yannuzzi LA. “Tratamiento de la telangiectasia macular tipo 2 con suplementos de carotenoides que contienen mesozeaxantina: un estudio piloto”. Cirugía Oftalmológica Láseres Imágenes de Retina. 2016; 47: 528–535. DOI: 10.3928/23258160-20160601-04

13. Choi RY, Gorusupudi A, Wegner K, Sharifzadeh M, Gellermann W, Bernstein PS. “Respuestas de la distribución del pigmento macular a la suplementación con altas dosis de zeaxantina en pacientes con telangiectasia macular tipo 2 “.  Retina. 2017; 37 (12): 2238–2247. DOI: 10.1097/IAE.0000000000001450

14. Michalakis s, gerhardt m, rudolph g, priglinger s, priglinger c. Achromatopsia: genetics and gene therapy. Mol diagn ther. 2022 jan;26(1):51-59. DOI: 10.1007/s40291-021-00565-z. Epub 2021 dec 3. Pmid: 34860352; pmcid: pmc8766373.

15. Fu y, chen kj, lai cc, wu wc, wang nk. Clinical features in a case of occult macular dystrophy with rp1l1 mutation. Retin cases brief rep. 2019 spring;13(2):158161. DOI: 10.1097/icb.0000000000000548. Pmid: 28195981.

16. Tsang sh, sharma t. Occult macular dystrophy. Adv exp med biol. 2018; 1085:103-104. DOI: 10.1007/978-3-319-95046-4_19. Pmid: 30578492.

17. Albornoz s, Gonzales m, Cespedes v. Retinal dystrophy family. Report of two cases. Servicio de oftalmología, fundación boliviana de oftalmología. Cochabamba, bolivia gac med bol 2013; 36 (1): 42-44. Enero-junio 2013. Disponible: http://www.scielo.org.bo/pdf/gmb/v36n1/v36n1a10.pdf

18. Drake-casanova, p. Et al. Retinopatía por eclipse: a propósito de tres casos. Arch soc esp oftalmol [online]. 2007, vol.82, n.9 [citado 2024-01-19], pp.575-577. Disponible en: https://scielo.isciii.es/scielo.php?script=sci_arttext&pid=s036566912007000900013

19. Clemente-tomás, r.; bayo-calduch, p.; neira-ibáñez, p.; gargallo-benedicto, a.; duch-samper, a.m. (2018). Maculopatía bilateral por exposición a puntero láser: hallazgos en la angiografía mediante tomografía de coherencia óptica. Archivos de la sociedad española de oftalmología, (), s0365669118300327. DOI: 10.1016/j.oftal.2017.12.020

20. Mozayan E, Shah V, Kim L, Mammo D, Bhagat N, Lim J. Telangiectasi macular. Actualizado 25 junio del 2023. Disponible en: https://eyewiki.aao.org/Macular_Telangiectasia

RETINA - REPORTE DE CASO 32 · OFTALMONEWS

Queratitis estromal con ulceración por HSV

Autores: Dra. Laura Muriel Deibe y Dra. Paula Daniela Andreotti Jefe de residentes: Dr. Andrés Leonel Acquaro. Jefe de docencia: Dr. Carlos Miguel Ortega. Centro de Ojos Lanús. Lanús Oeste, Buenos Aires, Argentina.

Introducción

La queratitis estromal herpética (HSK) es una causa infecciosa común de ceguera unilateral en todo el mundo. El desarrollo de ulceración y fusión del estroma es una complicación grave que puede provocar perforación y pérdida visual.

Presentamos el caso de una paciente femenina con antecedentes de herpes estromal que se presenta con una queratitis epitelial que a las 48hs intercurre con una queratitis herpética estromal con úlcera necrotizante que presentó una buena evolución respecto al tratamiento instaurado.

Caso clínico

Paciente femenina de 78 años, con antecedentes de Queratitis herpética estromal en ojo derecho, consulta por sensación de cuerpo extraño, visión borrosa y fotofobia.

Al examen oftalmológico se constata AVMC 20/100 (-0.75 X 149) en OD y 20/25 OI; PIO de 21mmhg y 15mmhg respectivamente; en la BMC: se observa la presencia de una dendrita con bulbo terminal de gran tamaño en la región central corneal (imagen 1) con anestesia de la misma, por lo que se decide instaurar tratamiento con Ganciclovir cinco veces por día.

A los 15 días la paciente acude refiriendo un aumento de los síntomas, dolor ocular y disminución de la AV siendo la misma de CD1 (-0.75 x 149) para OD y 20/25 para OI. Al examen se evidenció una úlcera necrotizante de 7x3 mm con una infiltración inflamatoria densa y blanquecina, asociada con edema estromal y con precipitados endoteliales queráticos confinados al área de afectación corneal (imagen 2); se realizó toma de muestra para cultivo y directo con antibiograma , se inició tratamiento con vancomicina y ceftazidima 0.5mg/ml cada una hora día y noche sumado a la administración de valaciclovir 1gr cada 8hs.

En el control a 72hs la paciente presenta una mejoría sintomática con resolución de la úlcera necrotizante pero con persistencia de la infiltración inflamatoria densa y blanqu ecina asociada al edema estromal con precipitados retroqueráticos, por lo que se suspende el tratamiento con fortificados y se continua valaciclovir 1g cada 8hs por un mínimo de 10 días y se agrega acetato de prednisolona 1% una gota cada 12hs.

Al cabo de un mes se evidencia buena respuesta al tratamiento, la paciente presenta una AVMC 20/30 (+1.75 -1.25 156) OD y 20/25 OI, acompañado de un defecto epitelial difuso, con precipitados retroqueráticos pigmentados finos, adelgazamiento corneal nasal, leucoma temporal y nasal (imagen 4), continúa actualmente con el mismo tratamiento a la espera del próximo control.

CÓRNEA - REPORTE DE CASO
34 · OFTALMONEWS

Queratitis estromal con ulceración por HSV.

Imagen 1: Dendrita epitelial con bulbo terminal de gran tamaño en la región central corneal.

Imagen 2: Úlcera necrotizante con una infiltración inflamatoria densa y blanquecina, asociada con edema estromal y con precipitados endoteliales queráticos confinados al área de afectación corneal.

OFTALMONEWS · 35

Queratitis estromal con ulceración por HSV.

Discusión

Recordemos que las queratitis herpéticas pueden tener distintos niveles de afectación corneal tanto epiteliales, estromales o endoteliales. Cuando hay afectación estromal la misma puede ser sin ulceración como en la mayoría de los casos representando el 91% y con ulceración como en la minoría representando el 9%; tengamos presentes que se pueden acompañar de vascularización corneal, ulceración y necros is del tejido corneal. Se destacan principalmente por ser infrecuentes pero rápidamente progresivas con riesgo de perforación corneal. Respecto a las recurrencias aquellas queratitis de tipo epitelial presentan un 37% de recurrencias mientras que las estromales representan un 46% de recurrencias según los ensayos HEDS. Además se detectó que la presencia de viriones intactos en los queratocitos estromales sugiere una posible necesidad de obtener niveles terapéuticos con terapia antiviral oral cuando el epitelio está ulcerado en la queratitis estromal por virus del herpes simple.

Imagen 3: Resolución de la ulcera necrotizante, defecto epitelial difuso, con precipitados retroqueráticos pigmentados finos, adelgazamiento corneal nasal, leucoma temporal y nasal

Conclusión

Debemos educar a los pacientes y a los proveedores de atención sobre la naturaleza destructiva de la queratitis por HSV y la necesidad de un estricto cumplimiento del régimen terapéutico. Se debe discutir además sobre la posibilidad de pérdida visual permanente y la necesidad de rehabilitación visual futura , como asi también sobre el riesgo de recurrencia (1).

Referencias bibliográficas:

1. Michelle Lee White, M.D.; M.P.H., and James Chodosh, M.D., M.P.H. Herpes simplex Virus Keratitis: A Treatment Guideline. Department of Oftalmology. Harvard Medical School. June 2014.

2. A Heiligenhaus, 1 H Li, 1 E E Hernández Galindo, 2 J M Koch , 1 K-P Steuhl 2 y D Meller 2. Manejo de la queratitis aguda ulcerosa y necrotizante por herpes simple y zoster con trasplante de membrana amniótica. Hno. J. Oftalmol. Octubre de 2003

CÓRNEA - REPORTE DE CASO 36 · OFTALMONEWS

Realidad Virtual: Sistemas para realización de estudios oftalmológicos

Autora: Dra. Ana Sanseau. Médica Oftalmóloga. Especialista en Glaucoma.

La realización de los estudios complentarios para la valoración oftalmológica de los pacientes es un desafío por lo que implica la vinculación del paciente con la aparatología a utilizar. Los errores relacionados con la técnica y con la confiabilidad del estudio son una constante que interfiere en la correcta interpretación de los mismos.

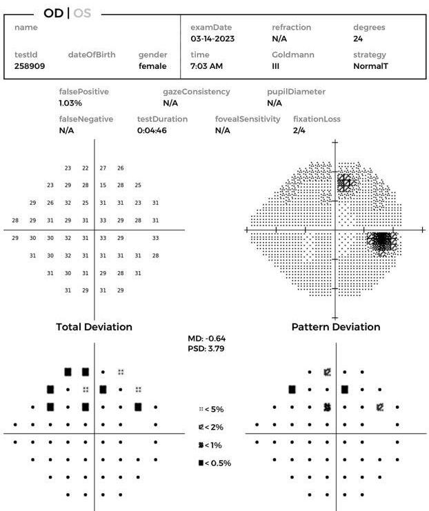
El estudio de campo visual computarizado (CVC) es una pieza central para diagnóstico, seguimiento y estadificación del Glaucoma. Es por ello que el adecuado conocimiento de los errores propios del método, de la tecnología y del paciente son claves para establecer el nivel de confiabilidad del estudio.

Los avances en la tecnología han permitido que los software actuales brinden mas información, en menos tiempo y de mejor calidad. Esto se acompaña de un cambio en la aparatología y en el diseño de los mismos. Los equipos son más pequeños, ergonómicos, facilitan la interacción del equipo con el paciente. El objetivo de esto es disminuir los defectos relacionados al paciente en su interacción con el equipo y corregir algunos de los defectos de técnica propios de la realización del método.

En los últimos años, la realidad virtual se está desplanzando desde los juegos hacia otras áreas como la medicina. En la oftalmología, se han podido adaptar programas de campimetría, visión de colores, test de contraste, entre otros para simplificar la interacción del paciente con el equipo.

Las ventajas de contar con un casco de realidad virtual permite que los pacientes puedan tener una mejor postura y posicionamiento al momento de realizar el test disminuyendo el factor ¨cansancio¨. En los CVC, la fatiga es una de las principales causas de artefactos de técnica. Permiten testear cada ojo de foma independiente sin necesidad de oclusión del ojo contralateral o realizar el estudio de campo visual binocular, útil en casos de baja visión, rehabilitación. Se utiliza la corrección de lejos del paciente (su propio anteojo), no hace falta poner probines. Algunos cuentan con sistema de tracking para disminuir la probabilidad de pérdidas de la fijación del paciente.

Estos equipos son de fácil traslado y limpieza y ocupan poco espacio para su guardado, lo que optimiza su uso en los consultorios modernos.

Sus requisitos de instalación son simples dado que se conectan a red de internet o WI FI, y cuentan con una batería recargable a la red eléctrica local. Se manejan con una computadora, tablet o dispositivo, conectado por internet, lo que permite trabajar a cierta distancia del paciente en condiciones normales. Cuenta con un asistente virtual que recuerda las instrucciones de realización del estudio al paciente, con la posibilidad de varios idiomas. El área de trabajo es cualquier espacio que se utilice para la atención de pacientes o se traslada el equipo hasta ellos cuando éstos no pueden movilizarse. El almacenamiento de los estudios se realiza en una nube. Los estudios pueden subirse como archivos PDF o JPG a las historias clínicas de los pacientes. Las actualizaciones del sistema se realizan de forma automática sin afectar los estudios previos realizados.

El equipo cuenta con varios programas para la realización de distintos test. Todos ellos se pueden manejar desde el software provisto.

Se han publicado varios artículos que comparan los resultados de campos visuales realizados a través de equipamiento tradicional vs la Perimetría con Realidad

38 · OFTALMONEWS NOTA DE TAPA: REALIDAD VIRTUAL

Realidad Virtual. Sistemas para

realización de estudios oftalmológicos.

Virtual. Los hallazgos fueron consistentes entre ambos métodos. No se encontraron inconsistencias cuando se compararon pacientes con distintos niveles de daño glaucomatoso. Cabe destacar que la plataformas en ambos equipos son provistas por empresas dedicadas hace años

al desarrollo de software para CVC (Humphrey), la modificación primaria consiste en la forma en la cual se realiza dicho estudio. En los estudios de preferencia tecnológica, la mayoria de los pacientes eligen los sistemas de Realidad Virtual por el confort que les brinda.

Ejemplo de CVC.

OFTALMONEWS · 39
Niño haciendo CVC.

Realidad Virtual. Sistemas para realización de estudios oftalmológicos.

Test de Esterman: campo visual binocular.

La realización de estudios complementarios en la población pediátrica suele ser complejo dado que los niños sanos presentan una gran fluctuación en su respuesta cuando se los estudia y esta variación es aún mayor si padecen alguna patología. La tecnología de Realidad Virtual se ha convertido en una herramienta fundamental que permite llegar a esta población a través del diseño de software que imita juegos a los cuales los niños están más familiarizados que los adultos.

Referencias bibliográficas:

Algunas empresas desarrollaron estrategias de campimetria para los niños basada en la identificación del estimulo visual a través de un juego de realidad virtual que simula una nave espacial. El niño tiene de esta forma una consigna sencilla y atractiva que permite captar su atención y ayudar en la realización del estudio.

Mi experiencia con esta tecnología comenzó en el año 2020. Durante la pandemia me permitió realizar estudios de CVC a mis pacientes glaucomatosos o estudiar pacientes con otras patologías cumpliendo con protocolo de distancia social. Poder trabajar en espacios ventilados, a distancia del paciente, con el barbijo, fueron entre otras, las ventajas por las cuales fui reemplazando la campimetría en su forma tradicional por el sistema de Realidad Virtual por la practicidad del método.

La innovación y el desarrollo es lo que nos permite ofrecer una mejor atención y cuidado de nuestros pacientes. El uso de la Realidad Virtual y los cascos brindan múltiples ventajas. Unificar equipamiento con múltiples softwares y acortar los tiempos de estudios, brindan confort al paciente mejorando la confiabilidad de sus resultados y la posibilidad de transportar e higienizar el equipo de manera adecuada.

Los estudios complementarios irán evolucionando en software y el hardware con el tiempo acompañado de la inteligencia artificial (IA). Como profesionales es nuestra función hacer un uso responsable de los mismos recordando que estas son herramientas de apoyo a nuestro conocimiento y establecer un diagnóstico o una progresión de daño sigue siendo un criterio clínico.

Stapelfeldt J, Kucur SS, Huber N, Höhn R, Sznitman R. Virtual Reality-Based and Conventional Visual Field Examination Comparison in Healthy and Glaucoma Patients. Transl Vis Sci Technol. 2021 Oct 4;10(12):10. doi: 10.1167/tvst.10.12.10. PMID: 34614166; PMCID: PMC8496417. Phu J, Wang H, Kalloniatis M. Comparing a head-mounted virtual reality perimeter and the Humphrey Field Analyzer for visual field testing in healthy and glaucoma patients. Ophthalmic Physiol Opt. 2024 Jan;44(1):83-95. doi: 10.1111/opo.13229. Epub 2023 Oct 6. PMID: 37803502; PMCID: PMC10952716. JAMA Ophthalmol. 2018 Feb; 136(2): 155–16. Published online 2017 Dec 28. doi: 10.1001/jamaophthalmol.2017.5898: 10.1001/jamaophthalmol.2017.5898 Comparison of Quality and Output of Different Optimal Perimetric Testing Approaches in Children With Glaucoma Optimal perimetric Testing in Children Miranda MA, Henson DB, Fenerty C, Biswas S, Aslam T. Development of a Pediatric Visual Field Test. Transl Vis Sci Technol. 2016 Dec 14;5(6):13. doi: 10.1167/tvst.5.6.13. PMID: 27980876; PMCID: PMC5156444

NOTA DE TAPA: REALIDAD VIRTUAL 40 · OFTALMONEWS
Cascos de Realidad Virtual.
EMPRESAS OFTALMONEWS · 41

Veinticuatro años con la misma misión

Campañas de prevención del glaucoma en Catamarca

Autor: Dr. Franco Hausberger. Médico Residente Oftalmología. Rio Cuarto, Córdoba. San Fernando del Valle, Catamarca.

En los años 90, el Dr. Lemuel Nazar visitaba Catamarca. Fue entonces que se realizó la primera campaña de prevención del glaucoma en nuestra provincia. El nos transmitió su convicción sobre la importancia de la detección temprana de esta silenciosa enfermedad para tratar la ceguera irreversible a la cual conduce si no hay tratamiento.

Con este impulso realizamos numerosas campañas de prevención en la capital e interior de la provincia, concientizando a los pacientes diagnosticados con glaucoma la importancia de realizar el tratamiento.

42 · OFTALMONEWS OFTALMOSOLIDARIA

Veinticuatro años con la misma misión.

–Al repetir la campaña en los mismos lugares, se detectó una grave problemática. El paciente de escasos recursos no podía realizar el tratamiento debido al alto costo de los medicamentos recetados, por lo cual decidimos implementar un programa que abarcaba la prevención, el diagnóstico, el seguimiento y el tratamiento gratuito para estos pacientes.

Para garantizar este programa, se gestionó la sanción de la Ley 5.106 llamada Banco de Medicamentos para el Glaucoma . De este modo los pacientes de escasos recursos diagnosticados con glaucoma pueden acceder de manera gratuita a su tratamiento.

El apoyo fue permanente por parte de la Dra. Cristina Nazar y el Dr. Alejo Peyret, quienes viajaron en reiteradas oportunidades a colaborar activamente en las campañas.

En las numerosas campañas realizadas, uno de los lugares a destacar por su difícil acceso fue la ciudad de Antofagasta de la Sierra llamada "La antesala del cielo", ubicada a 3323 metros de altura en plena Cordillera de los Andes, en la zona denominada Puna, donde se llevó a cabo el diagnóstico y tratamiento con láser a los pacientes con sospecha de cierre angular.

En la actualidad, continuamos con la misma misión después de 24 años del Programa Glaucoma , con el respaldo permanente de las autoridades de Salud Pública Municipal, el cual incluye estudios poblacionales, factores de riesgo, diagnóstico, seguimiento y tratamiento gratuito para los pacientes.

OFTALMONEWS · 43

IA en la búsqueda de la visión natural de la especie

ALGORRITMOS EVOLUTIVOS

LENTES PROGRESIVOS

PARTE 2

“Hablar de lentes progresivas optimizadas en sus distintas áreas de visión es comparable al abrigo que nos da una manta corta en una noche fría de invierno. Uno puede taparse los pies y destapar el torso, tapar el torso y destapar los pies, o posicionar la manta en la mitad y abrigar parcialmente ambas partes, pero siempre algo va a quedar afuera. Las distintas empresas de diseños progresivos, para dar prioridad a alguna zona de visión en particular, corren la manta. En cambio, AI-GET, llegó para agrandarla”.

Decía en algún párrafo de la edición pasada que hablar de algo no supervisado puede parecer hasta irresponsable para aquellos que ignoramos el tema de los algoritmos evolutivos. Instancias en los procesos que se conocen bajo los nombres de población ini cial, fenotipo, entrecruzamiento, mutación, selección de nueva población y descarte, vuelve incluso todo un tanto inquietante. También dije y me comprometí en contar para esta nota, con la participación de alguno de estos frikis y Nerds del equipo que pueda brindar una explicación más profesional de todo lo relacionado con algoritmos evolutivos o genéticos y esta nueva tecnología AI-GET. Paso la posta de la nota, para suerte de ustedes, no a uno más del equipo de I+D, sino que los dejo con quien lidera ese grupo y quien tuvo la ocurrencia de aplicar la teoría de la evolución de las especies a los diseños free form de lentes multifocales progresivos: El físico Gabriel Martin. Un Lente de Adición Progresiva (PAL, por sus siglas en inglés) producido con un generador de forma libre consiste principalmente en una superficie exterior esférica y una superficie interna completame nte asférica, es decir, con potencia y astigmatismo no constantes en toda su superficie. Es práctica común tener dos etapas distintas cuando se trata del proceso de diseño del lente: la primera etapa consiste en encontrar las propiedades geométricas de la superficie en un conjunto discreto de puntos, mientras

que la segunda etapa consiste en unir esos puntos usando interpolación (generalmente utilizando modelado de superficie B-Spline).

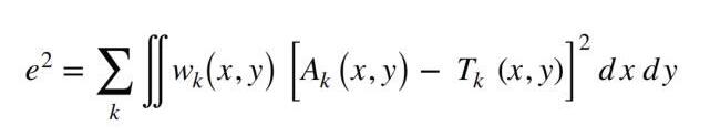
En 2010, se desarrolla un método variacional alternativo (conocido comercialmente como Tecnología de Diseño Continuo) que elimina el proceso de interpolación y los problemas derivados de él, ya que las condiciones ópticas de potencia y astigmatismo se imponen en los puntos infinitos de la superficie del lente progresivo simultáneamente. En caso de utilizar puntos discretos para el diseño del lente, es esencial minimizar una función de mérito del tipo descrito a continuación.

Donde k opera sobre las propiedades ópticas (potencia, astigmatismo, prisma) e i opera sobre cada punto en el lente. Del mismo modo, para la formulación continua, obtenemos:

44 · OFTALMONEWS ÓPTICA Y OFTALMOLOGÍA
Autores: Martín De Tomás, Product Manager Novar. Gabriel Martín, R&D Novar.
EN
IA en la búsqueda de la visión natural de la especie.

Donde nuevamente k opera sobre las propiedades ópticas del lente y la integral se calcula sobre toda el área superficial del lente. En ambas ecuaciones, Ak representa el rendimiento real de la propiedad óptica k en un punto dado, mientras que T k representa el rendimiento óptico deseado de esa propiedad en el mismo punto. Además, wk representa el peso asignado al punto i o, en el continuo, al punto (x, y). Esto significa que cuanto mayor sea el valor de w k en un punto dado, más exigente será la matemática para cumplir con las condiciones ópticas requeridas. Por ejemplo, dentro de los campos de visión de un lente progresivo, ya sea lejos, intermedia o cerca, los valores de w k serán más altos que en los lados del corredor donde se concentran la mayoría de las aberraciones. Entonces, el conjunto de valores de w k define principalmente un diseño progresivo dado. En resumen, dos lentes diseñados con diferentes pesos tendrán una distribución y magnitud de aberraciones diferentes. Para simplificar la explicación del nuevo algoritmo, utilizaremos en adelante la formulación discreta. Desde un punto de vista matemático, la superficie de la cara progresiva de los PALs es continua y derivable. Esto significa que no puede tener espacios vacíos o bordes afilados en ningún punto de su superficie. La consecuencia de esto es que al cambiar el valor de w k en un punto dado, este cambio se propaga, aunque en menor medida, a toda la superficie del lente. Es decir, con un aumento o disminución en el valor de w k en un punto en la zona de visión lejana, esto también tendrá un impacto en otras zonas que no necesariamente están tan cerca de esa, como las zonas intermedia, cercana y periférica de mayor aberración. Quizás una buena manera de ilustrar esto sea considerar la superficie de un lente como si fuera una cama de agua y el valor de w k como el orden de magnitud de la presión ejercida en un punto dado en ella. Por esta razón, el diseño de un lente progresivo debe considerarse no solo como ciencia sino también como un arte.

Dicho arte radica en encontrar la mejor combinación de valores de w k para el tipo de lente que deseas diseñar. Si tenemos en cuenta que los pesos toman valores reales, la combinación de todos los posibles valores es casi infinita y, aunque creas haber obtenido un buen conjunto de w k que satisfaga las condiciones del diseño que deseabas lograr, nunca estarás seguro de que sea la mejor combinación posible y, en consecuencia, el mejor diseño, en términos de la función de mérito, que el modelo matemático pueda proporcionar.

Esta es la principal razón por la que en 2017 comenzamos a desarrollar un algoritmo de optimización basado en lo que se conoce como Algoritmos Genéticos (AG), una rama de la inteligencia artificial. El AG desarrollado permite, de manera no supervisada, encontrar la mejor combinación de pesos w k , para cada punto y propiedad óptica, partiendo de condiciones de alto nivel sobre potencia y astigmatismo. Estas condiciones son tan simples como aperturas de zonas de visión, nivel máximo de aberraciones, etc. Cabe destacar que el modelo de AG propuesto se aplica tanto a técnicas de diseño discreto como a la técnica variacional mencionada.

¿Qué es el Algoritmo Genético (AG)?

Un Algoritmo Genético es una búsqueda heurística inspirada en la teoría de la evolución natural de Charles Darwin. Este algoritmo refleja el proceso de selección natural en el cual los individuos más adecuados son seleccionados para reproducirse con el fin de producir la descendencia de la siguiente generación. El proceso de selección natural comienza con la elección de los individuos más aptos en una población. Estos producen descendencia que hereda las características de sus padres y que también serán consideradas para la próxima generación.

Si los padres poseen características adaptativas mejores que el resto de la población, es probable que su descendencia herede estas cualidades y eventualmente adquiera nuevas que aseguren una mayor probabilidad de supervivencia. Este proceso se itera constantemente y se detiene cuando se encuentra una generación de individuos que son los más aptos. Este enfoque puede utilizarse para generar soluciones de alta calidad a problemas de optimización y búsqueda. Donde cada individuo es una solución potencial y su adaptabilidad se representa por lo eficiente que es esa solución. Algoritmos Genéticos en Lentes de Adición Progresiva (PALs) Como hemos visto, los AG se caracterizan por resolver problemas altamente complejos al evolucionar una población inicial mediante la aplicación de operadores que emulan la selección natural. Los operadores necesarios para lograr esta evolución son: selección, cruce y mutación.

La población inicial estará compuesta por individuos. Cada individuo corresponde a un diseño progresivo dado y debe estar representado por su genoma. Su genoma no es más que una cadena de 3000 genes donde cada gen es el valor de wk en un punto dado. Por razones operativas, el valor de cada gen se representa en términos de números binarios. Esto hace que las operaciones de cruce y mutación sean más naturales. Así, el genoma de un lente PAL se expresa mediante dos bases, los números 0 y 1, mientras que en el mundo natural las bases a partir de las cuales se construye nuestro genoma son cuatro: adenina, timina, citosina y guanina. El método de selección elige los genomas que tienen una función de aptitud más alta (mejor adaptados). Estos aparecen con mayor probabilidad en la próxima iteración o generación (es decir, los mejores diseños de calidad óptica en una población). Para cada par de padres, el cruce tiene lugar seleccionando un punto aleatorio en el genoma y intercambiando genes antes y después de dicho punto de sus padres. Luego, se aplica la mutación dinámica

OFTALMONEWS · 45
Matriz de Relajación. Los colores más cálidos indican valores más altos de wk.

IA en la búsqueda de la visión natural de la especie.

para hacer la similitud con el proceso de selección natural aún más fiel. El genoma resultante es la descendencia. Aquí, la regla de terminación puede definirse ya sea por un número limitado de iteraciones que se repita el algoritmo o si la población ha convergido, es decir, no produce descendencia que sea significativamente diferente de la generación anterior.

Se muestra a la izquierda un genoma binario del lente. A la derecha, un ejemplo de un genoma humano. A diferencia del genoma mostrado a la izquierda, se puede observar que el genoma natural es diploide y consta de cuatro bases

Resumiendo

Un Lente de Adición Progresiva (PAL) diseñado con el enfoque descrito anteriormente muestra una reducción significativa en la distorsión periférica (aberración) en comparación con los diseños digitales promedio, mientras mantiene campos visuales casi intactos, como podemos ver en el gráfico de astigmatismo y el mapa de potencia media. Las distorsiones se calcularon utilizando las formas gaussianas de 1er y 2do orden y restando la potencia en dos curvaturas principales, K1 y K2, mientras que la potencia promedio se calculó como el promedio de las curvaturas principales, multiplicado, en ambos casos, por el índice de refracción. Las proporciones de adición de aberración obtenidas fueron de 0.875 en la zona nasal y 0.675 en la zona temporal, en oposición a 1.0, como es la norma. Todos los valores se calcularon utilizando el diseño de lente MFH18 (Altura Mínima de Montura).

Otra ventaja del método analiz ado es que no tiene que lidiar con miles de grados de libertad, uno por cada w k , sino solo menos de diez para definir la función de aptitud. Además, los

campos de visión se optimizan al tener en cuenta simultáneamente las restricciones de potencia y aberración. Como resultado, el proceso de diseño es más simple y ágil.

Como se sabe, el Lente de Ad ición Progresiva (PAL) ideal es uno libre de aberraciones, pero esto no es matemáticamente factible. Sin embargo, este proceso de diseño innovador es la clave para encontrar los mejores lentes posibles dentro de los límites de las matemáticas. Es decir, lentes con campos de visión más amplios e incluso con aberraciones periféricas menores. Así, este nuevo avance allana el camino para diseñar y desarrollar Lentes de Adición Progresiva (PAL) totalmente optimizados utilizando inteligencia artificial.

se calcularon utilizando formas gaussianas

Agradeciendo a Martín por la invitación y principalmente a Oftalmonews por el espacio, cierro la nota compartiendo una reflexión que surgió luego de una larga charla sobre diseños progresivos con el dueño de un importante laboratorio óptico de Centro América que visite hace unos días: Hablar de lentes progresivas optimizadas en sus distintas áreas de visión es comparable al abrigo que nos da una manta corta en una noche fría de invierno. Uno puede taparse los pies y destapar el torso, tapar el torso y destapar los pies, o posicionar la manta en la mitad y abrigar parcialmente ambas partes, pero siempre algo va a quedar afuera. Las distintas empresas de diseños progresivos, para dar prioridad a alguna zona de visión en particular, corren la manta. En cambio, AI-GET, llego para agrandarla.

Referencias bibliográficas:

[1] Guilino, G.H. Design philosophy for progressive addition lenses. Appl. Opt. (1993), 32, 111 – 117.

[2] Meister D. Fundamentals of Progressive Lens Design. Vision Care Product News. (2006). 6(9), 5-9.

[3] Bennett A. Variable and Progressive power lenses (1973).

[4] Sheedy J., Campbell C., King-Smith E., and Hayes J. Progressive Powered Lenses: the Minkwitz Theorem. Optom. Vis. Sci. (2005). 82(10), 1-9.

[5] Sheedy J., Buri M., Bailey I., Azus J., and Borish I. The optics of progressive lenses. Am. J. Optom. Physiol. Opt. (1987) . 64, 90-99.

[6] Ophthalmic Optics Files. Progressive Addition Lens. Essilor. https://www.essiloracademy.eu/sites/default/files/7. Progressive_addition.pdf

[7] Meister D. and Fisher S. Progress in the spectacle correction of presbyopia. Clinical Exp Optom. (2008); Vol 91, Number 3, 240-250.

[8] Gaudet S. A Method for Designing a Customized Progressive Addition Lens. Journal of Engineering and Applied Sciences 3 (3). (2008). 266-270.

[9] J.R. Koza, Genetic programming: on the programming of computers by means of natural selection, MIT Press, Cambridge, Mass, 1992. [29] N. Chakraborti, Genetic algorithms in materials design and processing, International Materials Reviews. 49 (2004) 246–260. https://doi.org/10.1179/095066004225021909

[10] C.A. Coello Coello, Theoretical and numerical constraint-handling techniques used with evolutionary algorithms: a survey of the state of the art, Computer Methods in Applied Mechanics and Engineering. 191 (2002) 1245–1287. https://doi.org/10.1016/S0045-7825(01)00323-1.

[11] F.-A. Fortin, F.-M.D. Rainville, M.-A. Gardner, M. Parizeau, C. Gagné, DEAP: Evolutionary Algorithms Made Easy. Journal of Machine Learning Research. 13 (2012) 2171–2175.

[12] Lingaraj, Haldurai. A Study on Genetic Algorithm and its Applications. International Journal of Computer Sciences and Engineering. (2016). 4. 139-143.

46 · OFTALMONEWS
ÓPTICA Y OFTALMOLOGÍA
Los mapas muestran un lente con MFH 18, plano, +2.00 ADD. Las aberraciones se calcularon utilizando formas gaussianas Los mapas muestran un lente con MFH 18, plano, +2.00 ADD. Las aberraciones
ANUNCIO IMPORTANTE 48 · OFTALMONEWS
OFTALMONEWS · 49

Turn static files into dynamic content formats.

Create a flipbook
Issuu converts static files into: digital portfolios, online yearbooks, online catalogs, digital photo albums and more. Sign up and create your flipbook.
Revista Oftalmonews mayo-junio 2024 by fibertel23 - Issuu