Vector 21

Page 1


VECTOR

OKTOBER 2024 - nummer 21

TIJDSCHRIFT

voor wiskundeonderwijs

MET VERSCHILGRAFIEKEN DE SPORTZOMER DOOR 3

LEGPUZZELS EN TAFELS 24

ORIGAMI EN WISKUNDE 30

Met medewerking van Uitwiskeling, VVWL (Vlaamse Vereniging van Wiskundeleraars), GeoGebra Instituut, Vlaamse Wiskunde Olympiade, Ars et Mathesis en Pythagoras

3 MET VERSCHILGRAFIEKEN DE SPORTZOMER DOOR

DE LAPLACETRANSFORMATIE

ALS HULP BIJ HET OPLOSSEN

VAN DIFFERENTIAALVERGELIJKINGEN 7

13 DEELNEMEN IS EEN LEERMOMENT VOOR IEDEREEN

WISKUNDECRYPTO 22

24 LEGPUZZELS EN TAFELS

TEKENEN IN BILDTSE GRAANAKKERS DEEL 3 25

30 ORIGAMI EN WISKUNDE

DE JAARLIJKSE

EUROPESE STATISTIEKOLYMPIADE

SCHOOLJAAR 2024-2025 43

VECTOR

6e jaargang - nummer 21

REDACTIE Bart Delepierre, Daphné Depape, Anke Oderij, Karel Sierens, Joke Wouters - die Keure, Kleine Pathoekeweg 3, 8000 Brugge, educatief@diekeure.be

EXTERNE AUTEURS die occasioneel of op geregelde basis een bijdrage willen leveren, kunnen contact opnemen met educatief@diekeure.be.

VECTOR is gratis voor alle leerkrachten wiskunde in België.

VERANTWOORDELIJKE UITGEVER die Keure, Kleine Pathoekeweg 3, 8000 Brugge

VORMGEVING EN DRUK Isabelle Tilleman - die Keure, Brugge

REACTIES Al je reacties, suggesties en opmerkingen zijn welkom op educatief@diekeure.be

MET VERSCHILGRAFIEKEN

DE SPORTZOMER DOOR

AFGELOPEN ZOMER WAS ER EENTJE MET VEEL SPORT! DE OLYMPISCHE

SPELEN IN PARIJS, DE TOUR DE FRANCE… EN DUS OOK HEEL VEEL

CIJFERMATERIAAL. DE VERSCHILGRAFIEK LEENT ZICH ER BIJ UITSTEK

VOOR OM DIE CIJFERBREI TE VISUALISEREN.

SJOERD MARBUS

In Pythagoras 61 – 4 (februari 20221) werd uitgelegd hoe je een schaatswedstrijd inzichtelijk kunt maken met een verschilgrafiek. Je maakt op een handige manier gebruik van de tussentijden en rondetijden. Tussentijden van meerdere sporters één-op-éen in een grafiek zetten heeft geen zin omdat je dan nauwelijks verschillen ziet. Alleen rondetijden weergeven is ook niet zo zinvol omdat je daarmee niet ziet wanneer welke sporter de andere inhaalt en wie de uiteindelijke winnaar is.

REFERENTIETUSSENTIJDEN

Hoe kan het wel? Je neemt ‘referentietussentijden’ en daar vergelijk je de tussentijden van de sporters mee. In dit artikel gaan we vooral kijken naar hoe je de referentietussentijden kunt kiezen, bijvoorbeeld als de rondetijden sterk verschillend zijn.

We nemen als voorbeeld de finale 200 m vrije slag voor heren, gezwommen tijdens de WK 2023 in Fukuoka. Er worden 4 baantjes van 50 m gezwommen, waarbij de tussentijden van de 8 zwemmers op internet te vinden zijn. Door 2 opeenvolgende tussentijden van

elkaar af te trekken, weet je ook hoelang een zwemmer over een baantje doet. Dit worden ook wel ‘splittijden’ genoemd. In de grafiek zie je langs de horizontale as de referentietussentijden uitgezet en zijn ook de splittijden vermeld in de zwarte bolletjes. De tussentijden van

de 8 zwemmers worden vergeleken met de referentietussentijden.

Langs de verticale as staat het verschil ten opzichte van de referentietussentijden uitgezet.

Bekijk je grafiek van Hojoon Lee, dan levert dit een vrijwel horizontale lijn op omdat zijn splittijden van de baantjes 2, 3 en 4 vrijwel gelijk zijn met die van de gekozen referentie. Bekijk je de grafiek van David Popovici, dan zie je dat hij met zijn baantjes 2 en 3 wint op de referentietussentijden met lagere splittijden, maar juist in baan 4 veel verliest. Je kunt ook de tussentijden op de grafiek aflezen. David Popovici komt na 150 m door in 1:16,8 s. De eindtijd van de zwemmer staat in honderdsten van seconden nauwkeurig ook vermeld in de legenda.

Ook als je deze wedstijd niet hebt gezien, kun je uit de grafiek goed het wedstrijdverloop aflezen. Popovici gaat er als een raket vandoor, maar kan zijn snelheid in de laatste baan niet vasthouden. Richards (goud) en Dean (zilver) weten in hun laatste baantje juist wel te versnellen en verzekeren zich zo van eremetaal. Hwang (brons) zwemt met een stabiele race ook naar het podium.

Merk op dat het verschil in eindtijd tussen Richards en Dean klein is (slechts 0,02 s), maar in de grafiek toch nog afleesbaar.

Hoe zijn de refentietussentijden in dit geval gekozen? De eerste baan gaat gemiddeld in ca. 24 s, de overige baantjes in ca. 27 s. De eerste baan

gaat in dit geval 3 s sneller omdat bij de start van de kant gedoken wordt. Van de splittijden van de banen 2, 3 en 4 is van alle zwemmers het gemiddelde genomen. Dit is op een geheel aantal seconden afgerond, zodat dit referentietussentijden in hele seconden oplevert. Het gemiddelde van baan 1 is bewust 2 seconden lager dan het gemiddelde van de zwemmers. Zo blijven alle grafieken van de zwemmers boven de horizontale as; er zijn dus alleen maar positieve verschillen. Dit laatste is vooral om vormgevingstechnische redenen: de bijschriften van de as en de bolletjes blijven zo bij elkaar uit de buurt, waarmee afleesproblemen worden voorkomen.

WISSELENDE SPLITTIJDEN

We nemen een ander voorbeeld van dezelfde WK: de 200 m wisselslag voor vrouwen. De zwemmers zwemmen achtereenvolgens een

baan vlinderslag, rugslag, schoolslag en vrije slag.

Ook uit deze grafiek (zie grafiek 2) is weer prima het wedstrijdverloop afleesbaar. Kijk bijvoorbeeld naar de grafiek van winnares Kate Douglass. Na 100 m ligt ze in 5e positie, maar dan haalt ze tijdens haar baantje schoolslag 3 zwemsters in en in de laatste baan ook nog eens haar laatste concurrente. De splittijd (29,8 s) van haar laatste baantje is ook veruit het laagst van allemaal.

De referentietussentijden zijn op dezelfde manier gekozen als bij figuur 1. Hoewel de grafiek goed afleesbaar is, kan het beter. De baantjes 2, 3 en 4 gaan gemiddeld in 34 seconden, de gemiddelden van de afzonderlijke banen 2, 3 en 4 zijn echter 33, 38 en 31 seconden. Je kunt ook vergelijken met deze waarden en krijgt dan de rechtergrafiek. Bekijk je nu de grafiek

Grafiek 2

van Kate Douglass, dan zie je nog beter hoe sterk haar laatste twee baantjes zijn. Omdat telkens met het gemiddelde wordt vergeleken, zie je ook per baantje of een zwemster sneller (dalend lijnstuk) of langzamer (stijgend lijnstuk) zwemt dan gemiddeld. Een ander voordeel is dat de verschillen beter afleesbaar zijn. De verticale as loopt links tot 10 s, terwijl het maximale verschil tussen de langzaamste en snelste zwemster iets meer dan 7 s is. In de rechtergrafiek loopt de as ook maar tot 8 s. Je zou kunnen zeggen dat de as bij de rechtergrafiek efficiënter wordt gebruikt.

FORMULE 1

Ook bij de Formule 1 worden rondjes gereden. Al heb je hier wel met een heel andere wedstrijddynamiek te maken dan bij schaatsen of zwemmen. Ten eerste moeten de banden zo nu en dan worden gewisseld waardoor incidenteel

afwijkende rondetijden ontstaan. Ten tweede kan bij onveilige situaties de race worden getemporiseerd of zelfs helemaal stilgelegd. Toch zijn ook hier verschilgrafieken van te maken, als je de referentierondetijd goed kiest (zie ook het kader op p. 6).

In figuur 3 zie je de grafieken van de uiteindelijke top 6 van de GP van Japan, verreden op 7 april 2024. In de eerste ronde gaat het al meteen mis. De race wordt een half uur stilgelegd (referentierondetijd: 1711 s).

Daarna gaat de race opnieuw van start. In de grafiek wordt vergeleken met referentierondetijden van 97 s.

Je ziet dat alle grafieken ‘sprongen’ naar boven maken: dat zijn de bandenwissels. Een bezoek aan de pit levert al gauw 20 s tijdsverlies op, lees je uit de grafiek af. Als je goed kijkt zie je dat één van de zes coureurs – Charles Leclerc – slechts één keer de pit bezoekt, de andere vijf doen het allemaal 2 keer. Je ziet ook dat het hem uiteindelijk geen voordeel oplevert ten opzichte van zijn teamgenoot Carlos Sainz. De race wordt afgetekend gewonnen door Max Verstappen, die ook nog eens in ronde 50 (het gouden bolletje) de snelste ronde van het hele veld rijdt.

Grafiek 3

LIVE-VERSCHILGRAFIEKEN VAN

SCHAATSEN EN AUTORACES

Ook Luc Vinkenvleugel is enthousiast aan de slag gegaan met verschilgrafieken. Hij maakt gebruik van de data van Formule 1 en internationale schaatswedstrijden. Op vinksite.com zijn alle wedstrijden van de afgelopen 20 jaar als verschilgrafiek te bekijken. Je kunt de grafiek ook zelf verder instellen, zoals bijvoorbeeld het aantal deelnemers waarvan je de grafiek wilt zien. Ook geven de grafieken extra info, bij Formule 1 kun je ook zien met welk type banden de auto rijdt.

Bovendien zijn races van de Formule 1 en schaatswedstrijden live te volgen: bij elke finishlijnpassage van schaatser of auto wordt de verschilgrafiek geüpdatet. Bij schaatswedstrijden kun je ook een vertraging instellen zodat je de grafieken kunt synchroniseren met tv-beelden of internetstream.

De grafieken worden volledig automatisch gegenereerd. Via een ‘Application Programming Interface’ (API) is de data uit de databases opvraagbaar. De vormgeving op vinksite.com (zie figuur 3) is iets anders dan de andere grafieken in dit artikel. De referentierondetijden staan niet bij de 0-lijn, maar onder de grafiek. Daardoor kunnen negatieve verschillen ook worden weergegeven.

Zoals al aangegeven in het artikel, zijn de rondetijden bij Formule 1 door mogelijke incidenten niet goed voorspelbaar. Op vinksite. com is de gemiddelde rondetijd van de racers het uitgangspunt. De referentierondetijd wordt echter alleen aangepast als deze meer dan 7% afwijkt van de voorgaande ronde. Zo hebben pitstops geen invloed op de referentierondetijd, maar andere oorzaken wel.

Schaatsgrafieken: https://www.vinksite.com/ISU/ SpeedskatingViewer.htm

Formule-1 grafieken: https://www.vinksite.com/F1/ F1Viewer.htm

DE LAPLACETRANSFORMATIE ALS HULP BIJ HET OPLOSSEN VAN

DIFFERENTIAALVERGELIJKINGEN

INLEIDING

Een van de meest krachtige wiskundige tools voor het oplossen van een aantal ‘praktische’ problemen in de wiskunde, is de Laplacetransformatie. Vreemd genoeg ben je in Vlaanderen absoluut niet zeker dat je dit onderwerp tegenkomt in je opleiding tot master wiskunde. Maar als je voor ingenieur studeert, dan mag je aannemen dat de Laplacetransformatie tot de leerstof behoort: de Laplacetransformatie is standard equipment voor elke ingenieur.

Voor wiskundeleraars van de hogere jaren in het SO is de Laplacetransformatie een leuk onderwerp om mee te geven aan leerlingen die goed zijn in wiskunde en graag wat uitgedaagd worden.

Vanuit dit standpunt is dit artikel geschreven.

Let wel: de definitie van de Laplacegetransformeerde van een functie is een moeilijke zaak. Het gaat om een oneigenlijke integraal met een complexe parameter in. Om die reden stellen we die definitie uit tot op het einde.

DIFFERENTIAAL-

VERGELIJKINGEN MET DE LAPLACETRANSFORMATIE

De Laplacetransformatie is uitermate geschikt om bepaalde types differentiaalvergelijkingen op te lossen. Differentiaalvergelijkingen worden gebruikt om allerlei zaken te modelleren. Het zijn vergelijkingen die informatie bevatten over een onbekende functie van de veranderlijke , meestal de tijd, en over de afgeleide(n) van deze onbekende functie.

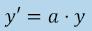
Een bekend voorbeeld dat ook in het SO wordt behandeld is de differentiaalvergelijking voor de exponentiële groei:

waarbij een onbekende functie is van is de afgeleide van naar en is een constante. Het is bekend dat de volgende uitdrukking voor voldoet aan deze vergelijking:

voor een willekeurige constante

Een berucht voorbeeld van een differentiaalvergelijking sinds corona is de logistische vergelijking waarvan de oplossing het aantal besmettingen op het ogenblik geeft. Als het aantal besmette personen voorstelt op het ogenblik , dan zegt die vergelijking dat de toename van dat aantal besmettingen in de tijd ( , de afgeleide van (of ) naar )

PAUL LEVRIE, KU LEUVEN, UANTWERPEN

gegeven is door:

lees:

voor zekere constanten en Beide zijn voorbeelden van differentiaalvergelijkingen, en omdat de hoogste afgeleide die voorkomt in deze vergelijkingen de eerste afgeleide is, spreken we van differentiaalvergelijkingen van de eerste orde.

De Laplacetransformatie wordt typisch gebruikt om iets eenvoudigere differentiaalvergelijkingen op te lossen. Met oplossen wordt bedoeld dat we op zoek gaan naar een expliciet functievoorschrift voor de onbekende functie die voldoet aan de gegeven differentiaalvergelijking.

Een voorbeeld maakt dit duidelijk:

is een voorbeeld van een eerste orde dv (differentiaalvergelijking).

Het is duidelijk dat als we invullen in het linkerlid, dat we het rechterlid uitkomen: voor hebben we dat en dus . We noemen een oplossing van de gegeven dv. Er zijn meer oplossingen dan deze ene. Een voorbeeld: is ook een oplossing. En ook: . Ga dit zelf maar even na door in te vullen. Daarom wordt vaak extra informatie gegeven over welke oplossing je precies wil hebben in de vorm van beginvoorwaarden of randvoorwaarden. Bijvoorbeeld: ,

we zoeken de oplossing met

Zo is er maar één, nl.

Maar hoe vinden we nu die oplossing?

En wat is de Laplacetransformatie?

De Laplacetransformatie is een operatie die een functie van de veranderlijke omzet naar een functie van een andere veranderlijke, typisch .

De Laplacegetransformeerde van een functie is dus een nieuwe functie . We noteren dat als volgt:

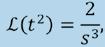
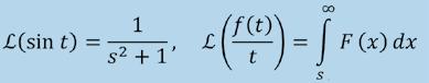
Hoe die omzetting wiskundig precies gebeurt, is op dit ogenblik niet belangrijk. Voor een aantal functies staat op het formularium (zie tabel 2 achteraan) wat de Laplacetransformatie ermee doet. We hebben bijvoorbeeld deze: ,

De Laplacegetransformeerde is eigenlijk een integraal, dus is een lineaire transformatie. Zoals een integraal van een som de som is van de integralen en je een constante factor die achter het integraalteken staat naar ervoor mag schuiven, zo is dat ook bij :

waarbij we de 2 formules hierboven gebruikt hebben.

De Laplacegetransformeerde heeft ook nog andere eigenschappen

(zie tabel 1 achteraan), bijvoorbeeld deze: als dan is

Deze formule laat je toe om uit de Laplacegetransformeerde van een functie de Laplacegetransformeerde van de afgeleide van , namelijk , te halen!

Nu we dit weten, kunnen we de bovenstaande dv oplossen. , we zoeken de oplossing met ,

We werken als volgt. is een onbekende functie van die we zoeken. We stellen

Hierin is dan natuurlijk ook een onbekende functie, deze keer van . De truc is dan om van zowel linker- als rechterlid van de dv de Laplacegetransformeerde te bepalen: of nog

We weten: ,

zie boven. Merk op dat gegeven is in de opgave. We vinden dus na uitwerking een nieuwe vergelijking:

Deze laatste vergelijking is een vergelijking voor de onbekende functie die heel gemakkelijk op te lossen is, door te delen:

Dit laatste kunnen we vereenvoudigen:

Maar we zijn eigenlijk op zoek naar , en we hebben nu gevonden, met Maar we weten ook dit:

Dan volgt hieruit dat

Dit is in een notendop de methode om differentiaalvergelijkingen op te lossen met de Laplacetransformatie.

Samengevat

Gegeven een dv van de vorm: ,

een eerste orde dv waarvan een unieke oplossing bepaald is indien gegeven is, of een tweede orde dv waarvan een unieke oplossing bepaald is indien en gegeven zijn. (In het algemeen heb je voor een dv van -de orde precies beginvoorwaarden nodig om een unieke oplossing te hebben.) In bovenstaande is een onbekende functie van zijn gegeven constanten en is een gegeven functie van

DE METHODE

(toegepast op de tweede orde dv)

STAP 1

We passen op beide leden de Laplacetransformatie toe en gebruiken de lineariteit om door te schuiven:

STAP 2

We stellen en gebruiken dit in het linkerlid, samen met de volgende twee eigenschappen:

STAP 5

(De eerste eigenschap twee keer na elkaar toepassen resulteert in de tweede.)

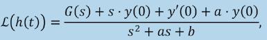
STAP 3 We rekenen het rechterlid uit, gebruikmakend van het formularium (zie tabel 1 en 2 achteraan). Stel dat we vinden dat , dan wordt de vergelijking:

STAP 4

Maak gebruik van het formularium om te bepalen van welke functie van het rechterlid de Laplacegetransformeerde is. Stel dat dit is, dus: dan hebben we dus alles tesamen , en is de oplossing van de dv dus gegeven door .

EEN VOORBEELD

Los op

STAPPEN 1, 2 EN 3:

STAP 4: STAP 5:

Merk op dat de tweede term in het rechterlid terug te vinden is in tabel 2, maar de eerste niet. Een van de competenties die je moet bezitten om deze laatste stap te zetten is het splitsen in partieelbreuken. We doen dit even voor de eerste term rechts.

voor nog te bepalen constanten en .

Neem in het linkerlid de termen die bevatten samen, en verplaats de termen uit het linkerlid die niet bevatten naar het andere lid. Los daarna deze vergelijking op naar :

Door de termen in het rechterlid op dezelfde noemer te zetten (nl. die van het linkerlid), vinden we dat moet gelden:

voor elke waarde van . Dit kan enkel indien en (kies respectievelijk 2 en 3). We kunnen dus nu herschrijven:

Gebruikmakend van tabel 2 vinden we dan onmiddellijk de gezochte oplossing van de gegeven dv:

Nog een voorbeeld Los op

STAPPEN 1, 2 EN 3:

STAP 4:

STAP 5:

Ook hier vinden we de tweede term terug in tabel 2, maar de eerste niet. We moeten ook hier een partieelbreuksplitsing doen:

Via het formularium vinden we dus:

DE LAPLACETRANSFORMATIE ZELF

Voor een gegeven functie van , die voldoet aan bepaalde voorwaarden, is de Laplacegetransformeerde als volgt gedefinieerd:

Hierin is een complexe parameter. De Laplacetransformatie is genoemd naar Pierre Simon Laplace (1749-1827) omdat hij de eerste was die integralen van deze vorm uitgebreid bestudeerde (1810-1811). De Laplacegetransformeerde zoals we die nu kennen, is voor het eerst gebruikt in 1910, en het eerste boek volledig gewijd aan de Laplacetransformatie dateert van 1937.

Omdat de Laplacegetransformeerde een integraal is over een oneindig lang interval, zijn er sowieso problemen met convergentie, dus zelfs voor een functie die overal continu is, bestaat de Laplacegetransformeerde niet noodzakelijk. Bijkomend speelt ook de waarde van de parameter een rol, maar zoals gezien in de voorbeelden heeft dit geen effect op het praktisch nut ervan.

BEPAALDE INTEGRALEN MET LAPLACE

waarvoor geen primitieve functie bestaat in termen van bekende functies.

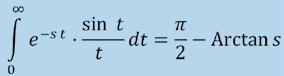
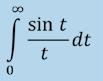
Een voorbeeld

We berekenen de volgende integraal: die gebruikt wordt in de toegepaste wetenschappen.

STAP 1.

Merk op dat deze integraal de vorm heeft van een Laplacegetransformeerde, voor een welbepaalde waarde van . Stellen we

dan is de waarde van de gezochte integraal gelijk aan

STAP 2.

Uit de definitie van de Laplacetransformatie volgt dat: bestudeerde

STAP 3.

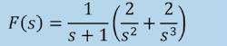
met, na uitwerking, . Dus

De definitie van de Laplacetransformatie en de eigenschappen ervan maken het mogelijk om een aantal bepaalde integralen te berekenen

We kunnen deze Laplacegetransformeerde berekenen met behulp van het formularium, meer bepaald met deze formule en eigenschap: waarbij en dus . Uit de eigenschap volgt dan onmiddellijk dat

STAP 4.

We kunnen de integraal voor berekenen m.b.v. een primitieve functie:

STAP 5.

Door in dit resultaat te vervangen door , krijgen we de waarde van de gegeven integraal:

Merk op dat we nu als bijverschijnsel de waarde kennen van deze volledige klasse oneigenlijke integralen:

TOT SLOT NOG DIT

De Laplacetransformatie is uitermate geschikt voor het oplossen van een lineaire differentiaalvergelijking met constante coëfficiënten en voor het berekenen van de exacte waarde van een bepaald type oneigenlijke integraal. Maar ze kent in de toegepaste wetenschappen nog andere toepassingen, die minder wiskundig zijn, bijvoorbeeld in de meet- en regeltechniek. Waarom er niet over gepraat wordt in de wiskunde-opleidingen, dat is niet zo duidelijk. Het is wel zo dat er wiskundig gezien wat problemen zitten in de theorie van de Laplacetransformatie, waardoor je bij het gebruik ervan soms wel eens stuit op een tegenspraak.

Tabel 2. voor enkele functies, is een natuurlijk getal, zijn constanten

Tabel 1. Enkele eigenschappen i.v.m. zijn constanten is de functie van Heaviside: voor voor

40 JAAR VLAAMSE WISKUNDE OLYMPIADE: DEELNEMEN IS EEN LEERMOMENT VOOR IEDEREEN

DIT SCHOOLJAAR BELEVEN WE DE 40STE EDITIE VAN DE VLAAMSE WISKUNDE OLYMPIADE, INMIDDELS OPGEDEELD IN EEN EDITIE VWO VOOR

LEERLINGEN VAN DE DERDE GRAAD EN EEN JUNIOR EDITIE JWO VOOR LEERLINGEN VAN DE TWEEDE GRAAD. DE NIEUWSTE POSTER VAN DE OLYMPIADE IS EEN BLIKVANGER VAN JEWELSTE EN WORDT GEKOPPELD

AAN EEN WEDSTRIJD VOOR IEDEREEN DIE ZICH GEROEPEN VOELT. DAT UITSLUITEND MET EEN BIJZONDERE SET OLYMPISCHE OEFENINGEN UIT HET VERLEDEN. MEER DAAROVER OP WWW.VWO.BE/POSTERWEDSTRIJD.

DR. LUC GHEYSENS, WISKUNSTENAAR

PROF. PAUL IGODT, KU LEUVEN KULAK

PROF. JORIS VAN DER JEUGT, UNIVERSITEIT GENT

In elke editie van Vector bieden wij typisch een 8-tal olympiadevraagstukjes of oefeningen uit de Wallabieeditie van Kangoeroe aan. Het bijzondere editiejaar moedigt ons aan tot deze extra inbreng.

De Vlaamse Wiskunde Olympiade streeft er in de allereerste plaats naar élke leerling te laten kennismaken met aansprekende wiskundezoekertjes; niet zeer leerplangebonden, vaak evenmin zeer schools, maar zonder uitzondering een goed potentieel voor een leermoment voor élke jongere. Niet deelnemen is een verkeerde inschatting.

Het louter competitieve element mag niet de bovenhand halen in de eerste ronde. Het van elkaar samen leren en het komen tot een nieuw inzicht is belangrijker. Het zorgt voor leermomenten die generiek belangrijk zijn. En natuurlijk hopen wij dat vele jongeren op die manier ook een zekere plezierervaring beleven.

Speciaal voor dit Vectornummer willen wij aan de hand van enkele goed gekozen instapoefeningen uit meer dan 10 jaar oude edities van JWO en VWO wijzen op dat leerpotentieel. Olympische wiskunde bestaat niet zozeer uit het steeds weer kennen van sterk leerplangebonden wiskundeformules. Zonder die meer schoolse basiskennis en -vaardigheid kan het soms wel moeilijker worden natuurlijk.

Deelnemen aan de olympiade betekent méér: zelf creatief zijn met vraagstukjes die regelmatig eenvoudig lijken. Ervaring opdoen met diverse strategieën om dergelijke oefeningen op te lossen maakt élke leerling sterker, ook voor andere vakken en situaties.

“Iets doen” en daarvoor over een geoefend arsenaal beschikken is vaak van vitaal belang bij “problem solving”. Deelnemen maakt je op die manier sterker en dat geldt niet enkel voor wiskundig getinte situaties.

We hebben het hier zelfs over instapoefeningen: alle onderstaande oefeningen uit de eerste ronde (hetzij JWO, hetzij VWO) werden door minstens 70 % van de deelnemers destijds correct beantwoord. Toch illustreren en leren deze oefeningen reeds hoe je beter meer dan één aanpak in je rugzak hebt. We geven ze weer, telkens als illustratie van een strategie die regelmatig van belang is bij het oplossen van problemen.

1 ONMISBAAR: CORRECT DE GEZIENE REKENREGELS KUNNEN TOEPASSEN.

Welke van volgende uitdrukkingen is niet gelijk aan de overige vier?

De som van 5 % van 25 en 25 % van 5 is gelijk

Siham begint met de veelterm en telt er een aantal keer eenzelfde veelterm bij op.

Welke veelterm schrijft ze in het vijfde vakje?

2 ONMISBAAR: AANDACHTIG DE OPGAVE

LEZEN EN JUIST BEGRIJPEN WAT ER GEGEVEN

IS EN WAT ER GEVRAAGD WORDT.

Jan fietst 80 minuten aan een constante snelheid van 24 kilometer per uur. Hoeveel kilometer legt hij af in de periode na het eerste uur?

Hans heeft 3 zussen en 4 broers. Zijn zus Grietje heeft z zussen en b broers. Wat is de waarde van het product z · b?

Editie 2014

Editie 2013

Jan fietst 80 minuten aan een constante snelheid van

Dylan heeft een getal x in zijn hoofd. Hij deelt dit getal door 3 en vermenigvuldigt het resultaat met 7. Van deze uitkomst trekt hij het oorspronkelijke getal af en vermenigvuldigt daarna het resultaat met 3. Ten slotte telt hij 10 bij dit getal op en trekt hij er het oorspronkelijke getal van af. Wat is het resultaat?

Marie vertrekt om 20 voor 8 op de fiets naar school en rijdt aan een constante snelheid van 12 km/u. Vader brengt met de auto haar vergeten boterhammetjes na. Zodra hij Marie onderweg ontmoet, geeft hij de boterhammetjes en keert onmiddellijk terug naar huis. Hij vertrekt om 5 voor 8 en is na 10 minuten weer thuis. Hoe groot is zijn snelheid in km/u als je aanneemt dat deze constant is?

Editie 2010

EEN MOGELIJKE AANPAK: VUL ALLE

VOORGESTELDE ANTWOORDALTERNATIEVEN

IN EN KIJK WAT ER WERKT.

Welk getal in onderstaande tabel is zowel het grootste in zijn rij als het kleinste in zijn kolom?

Welk van volgende getallen p kan worden gebruikt als tegenvoorbeeld om de uitspraak “Als p een priemgetal is, dan is p + 3 een viervoud.” te weerleggen?

Van een rechthoek is de lengte het dubbel van de breedte. Als de oppervlakte 32 cm2 bedraagt, hoe lang is dan de langste zijde?

Een rooster met 13 × 13 vakjes wordt opgevuld zoals in de figuur.

Editie 2008
Editie 2014
Editie 2010
Editie 2013

4

EEN MOGELIJKE AANPAK: SOMS IS HET MAKKELIJKER OM TE BESLISSEN DAT EEN ANTWOORDMOGELIJKHEID FOUT IS. ELIMINEER FOUTE ANTWOORDEN, EN ALLICHT VIND JE ZO HET ENIGE CORRECTE ANTWOORD.

Welk van volgende getallen verandert niet als het maalteken vervangen wordt door een plusteken?

Welke van volgende ongelijkheden is waar?

Welke van de volgende vlakke figuren heeft geen symmetrieas?

In de figuur zien we drie vierhoeken die tot de verzameling V behoren en drie vierhoeken die niet tot de verzameling V behoren.

Welke beschrijving kan overeenkomen met deze gegevens?

V is de verzameling van de rechthoeken.

V is de verzameling van de trapezia.

V is de verzameling van de vierhoeken waarvan de diagonalen elkaar middendoor delen.

V is de verzameling van de vierhoeken waarvan de diagonalen loodrecht op elkaar staan.

V is de verzameling van de vierhoeken waarvan de diagonalen even lang zijn.

Editie 2011

5

VAAK NUTTIG: MAAK ZELF EEN SCHEMATISCHE OF GRAFISCHE VOORSTELLING.

ZE ONDERSTEUNT JE INZICHT EN ZO BEREIK JE SNELLER DE CORRECTE OPLOSSING.

In het vlak bekijken we vier punten met gegeven coördinaat: A(2012, 0), B(0, 2012), C(2012, 2012) en D(4024, 4024). Welke van volgende rechten is verticaal (evenwijdig met de y-as)?

Als (x, 3) tot het vierde kwadrant behoort en (2, y) tot het tweede kwadrant, dan behoort (x, y) tot

het eerste kwadrant.

het tweede kwadrant.

het derde kwadrant.

het vierde kwadrant.

één van de assen.

Tessa fietst van punt A naar punt B en langs dezelfde weg terug en legt daarbij in totaal 75 km af. Op de plaats C onderweg heeft ze 30 km afgelegd. Hoever ligt C van B?

In het oude Griekenland bestonden 4 belangrijke sportevenementen: de vierjaarlijkse Olympische Spelen, de tweejaarlijkse Isthmische, de vierjaarlijkse Pythische en de driejaarlijkse Nemeïsche. In 692 v.C. waren er Olympische Spelen, een jaar later Nemeïsche en Isthmische en het jaar daarna Pythische. In welk jaar vond het 100ste sportevenement ná de Olympische Spelen van 692 v.C. plaats?

Editie 2014
Editie 2012
Editie 2011
Editie 2007

PROBEER ENKELE EENVOUDIGE

VOORBEELDEN OM DE CORRECTHEID VAN

EEN BEWERING NA TE GAAN.

De som van drie opeenvolgende natuurlijke getallen is S. Het kwadraat van het middelste getal is dan

Als 2007x · 2007y · 2007z = 20079, dan is het gemiddelde van x, y en z gelijk aan

De getallen a, b en c verhouden zich als

1 : 2 : 3. Hoe verhouden zich de getallen

a(b + c ), b(c + a) en c(a + b)?

5

3 : 7 : 8

Een rechthoek met lengte b en breedte c en een vierkant met zijde a hebben gelijke oppervlakte. Dan geldt:

Editie 2007
Editie 2010
Editie 2013
Editie 2008

7 ACTIVEREND TOEMAATJE

Ben je leraar en wens je enkele van (of al) je leerlingen aan te moedigen en te activeren? Wij hebben voor jou twee online oefenreeksen samengesteld: eentje met de 12 bovenstaande JWO-oefeningen en eentje met de 12 bovenstaande VWO-oefeningen.

Je gaat ermee aan de slag door de overeenkomstige QR-code hieronder te scannen en de onderliggende URL te verspreiden bij je leerlingen.

De leerlingen kunnen ook zelf surfen naar www.usolvit.be, daar kiezen voor “Leerling" en vervolgens voor “Aan de hand van een toetscode”. We lijsten de passende toetscodes hieronder ook op.

Deze URL’s blijven actief tot en met 15 januari 2025.

Ofwel

Scan deze code

Oefen met JWO

Oefen met VWO

Ofwel op www.usolvit.be

Kies voor “Leerling”

Aan de hand van een toetscode

Toetscode: T2644360G1509

Toetscode: T2644362G7705

40ste Vlaamse Wiskunde Olympiade Eerste Ronde 15

januari 2025

Ook geboeid door onze vraagstukjes?

Los dan deze 40 vragen op uit vorige edities en maak kans op één van de 40 prijzen.

Deelnemen kan tot en met 31 december 2024.

Surf naar

www.vwo.be/posterwedstrijd of scan de QR-code voor alle info over wat en hoe.

al 40 jaar

WISKUNDECRYPTO

HET BELANG VAN WISKUNDETAAL KAN NIET ONDERSCHAT WORDEN, MAAR WAT ALS WE TWINTIG WISKUNDIGE TERMEN CRYPTISCH GAAN OMSCHRIJVEN? ZOEK DE TWINTIG WISKUNDIGE TERMEN EN VIND HET AL EVEN WISKUNDIGE SLEUTELWOORD. DE TWEEKLANK IJ SCHRIJF JE ALS Y. TOM HARTEEL

A van die persoon krijg je je naam

B R. Liégeois, B. Aldrin, J. Gagarin …

C is een decatlon

D makkelijk los te knopen

E iemand die liever een beurt overslaat

F “… ik niet als ik ga joggen, hooguit 5 km.”

G de kunst van het deleten

H vrienden van het politieke midden

I job in het derde of vierde middelbaar

J ideale plek om dit boekje te lezen

K belangrijkste steiger

L hiermee druk je uit hoe groot je jas is

M examen voor bijen, hommels …

N groenten plukken

O niet van korte duur

P zijn sommige Siamese tweelingen

Q sein om te beginnen eten

R negatieve bloedzuigers

S “Een boxplot? Da’s … uit de statistiek.”

T climax van een driehoek

PYTHAGORAS

LEGPUZZELS EN TAFELS

ALS JE EEN LEGPUZZEL GAAT MAKEN LEG JE EERST ALLE STUKJES NEER

(MET BEELD NAAR BOVEN). HOE GROOT IS DE OPPERVLAKTE DIE JE

DAARVOOR NODIG HEBT, VERGELEKEN MET DE OPPERVLAKTE VAN DE

PUZZEL ALS DIE AF IS?

KLAAS PIETER HART

Op de doos van een legpuzzel staan altijd wel twee belangrijke gegevens: het aantal stukjes en de afmetingen van de afbeelding (lengte en breedte). Dan weet je in ieder geval hoe groot de tafel moet zijn waar je de puzzel gaat maken. Maar, … , hoeveel ruimte heb je nodig voor je begint, als alle stukjes nog los op tafel liggen (met plaatje naar boven)?

Dat is nu uitgezocht, door Madeleine en Kent Bonsma-Fisher uit Toronto. Met een paar eenvoudige aannamen kwamen ze tot een verrassend eenvoudige formule die ook nog eens verassend goed werkt.

Hier is hun methode: neem de oppervlakte A van de puzzel als die af is, die staat vermeld op de doos dus dat weet je vooraf. Deel die oppervlakte door het aantal stukjes N. De gemiddelde oppervlakte van een stukje is dus A/N. Nu is een puzzelstukje op de in- en uitstulpingen na bijna vierkant.

Een vierkant met oppervlakte A/N heeft zijden die lang zijn; de diagonaal is dan lang.

Wat blijkt nu? Het hele puzzelstukje past vrijwel precies in een cirkel met diameter d en als je de stukjes op tafel legt dan moet je er eigenlijk voor zorgen dat die cirkels elkaar niet overlappen. Maar men weet al heel lang dat de beste manier om cirkels van gelijke diameter zo economisch mogelijk neer te leggen volgens een zeshoekig patroon is: elke cirkel raakt aan zes cirkels en de middelpunten van die rakende cirkels vormen een regelmatige zeshoek. De zijden van die zeshoek verbinden telkens twee middelpunten en hebben dus lengte d; de oppervlakte van de zeshoek is dan .

Nu overdekt zo’n zeshoek in feite drie cirkels: de cirkel in het midden en één-derde van elke rakende cirkel. Dat betekent dat we zeshoeken nodig hebben om de stukjes (èn de tussenruimte) te overdekken.

Conclusie: als alle stukjes nog los liggen hebben we een

gebied nodig dat ten minste de volgende oppervlakte heeft: .

De schrijvers hebben hun formule aan negen legpuzzels getoetst en de factor werkt wonderwel.

In het artikel staan de metingen in een tabel en ook nog in een grafiek uitgezet; de meetpunten liggen mooi dicht bij de lijn met helling

Het hele artikel is te vinden op ArXiv (https://arxiv.org/abs/2312.04588)

TEKENEN IN BILDTSE GRAANAKKERS

DEEL 3

DE WISKUNDE ACHTER

HET CONFORME SCHAAKBORD

IN HET VOORGAANDE ARTIKEL TEKENEN IN BILDTSE GRAANAKKERS 1 IS BESCHREVEN HOE HET ONTWERP VOOR DE GRAANTEKENING VAN HANS

KUIPER TOT STAND KWAM ALS EEN TRANSFORMATIE VAN EEN NORMAAL SCHAAKBORD NAAR HET DOOR HEM GENOEMDE CONFORME SCHAAKBORD.

VERDER IS AANNEMELIJK GEMAAKT DAT DIE TRANSFORMATIE MET POOLCOÖRDINATEN GESCHREVEN KAN WORDEN ALS . NAMELIJK DE HOEK HALVEREN EN DE WORTEL TREKKEN UIT DE AFSTAND VAN HET BETREFFENDE PUNT VAN HET NORMALE BORD TOT HET MIDDELPUNT M VAN HET BORD. TERLOOPS IS VERMELD DAT DIE AFBEELDING CONFORM IS. DAT IS EEN AFBEELDING OF TRANSFORMATIE WAARBIJ DE HOEKEN GELIJK BLIJVEN. NU WORDT VERDER INGEGAAN OP DE BETREFFENDE AFBEELDING EN DE OORSPRONG DAARVAN. OOK WORDT AANGETOOND DAT DE TRANSFORMATIE CONFORM IS.

KLAAS

LAKEMAN, ARS ET MATHESIS

PYTHAGORAS

OOK MET (X,Y)-COÖRDINATEN

Zoals aangetoond op het einde van deel 1, gaf werken met poolcoördinaten snel inzicht in de transformatie van het schaakbord naar het graanpatroon van Kuiper. Rekenen met poolcoördinaten is echter lastig, omdat van niet veel punten de bijbehorende hoek gemakkelijk is te bepalen. Voor de vier uiterste hoekpunten A, B, C en D lukte dat wel, maar al wat lastiger wordt het voor bijvoorbeeld het punt (3,4) (figuur 1). Toepassen van de stelling van Pythagoras levert: r = √(32 + 42) = 5.

Via tan = 4/3 kan dan in principe de hoek en vervolgens het beeldpunt worden bepaald.

Het zou dus handig zijn als de transformatie van een punt in een gebruikelijk cartesisch (X,Y)-assenstelsel beschreven kan worden naar een punt in een eveneens normaal cartesisch (U,V)-assenstelsel (figuur 2). Dus als (x,y) (u,v) in plaats van (r, �) (√r,½� �).

Voor de overzichtelijkheid wordt gedaan alsof (X,Y) en (U,V) twee los van elkaar staande assenstelsels zijn.

In werkelijkheid is dat niet zo, immers het normale schaakbord wordt min of meer samengedrukt binnen eenzelfde assenstelsel.

Bekijk een algemeen punt zoals de rode stip in figuur 2. De coördinaten x en y in r en uitdrukken levert: x = r cos en y = r sin

Noem zoals gezegd het beeldpunt van (x,y) onder de transformatie (u,v). Dus (x,y) (u,v) Anders gezegd u = √r cos (� /2) en v = √r sin(� /2)

Met behulp van de volgende goniometrische vergelijkingen kunnen u en v worden uitgedrukt in x en y in plaats van in r en �.

cos(2t) = cos2(t) – sin2(t) (1) en sin(2t) = 2 sin(t) ∙ cos(t) (2)

2

Neem in formule (1) dan t = ½ en vermenigvuldig links en rechts met r = √r2 dan levert dat x = u2 – v2 (3) Doe hetzelfde in (2) dan geeft dat y = 2uv (4)

Vergelijkingen(3) en (4 waren voor Hans Kuiper de aanleiding om te gaan experimenteren nadat hij ze was tegengekomen in een boek over fractals. Met (3) en (4) zijn x en y echter uitgedrukt in u en v.

Figuur 1
Figuur

Daarmee wordt in feite de afbeelding (u,v) (x,y) beschreven. Met deze afbeelding wordt de rechterhelft van het conforme bord overgevoerd in het normale schaakbord (figuur 3).

IMPLICIET

Pas op de bekende goniometrische vergelijking 1 = cos2t + sin2t

ook het recept t = ½ en links en rechts vermenigvuldigen met r = √r2 toe. Dat levert uiteindelijk

√(x2 + y2) = u2 + v2 (5)

Vergelijkingen (3), (4) en (5) toegepast op het punt P = (x,y) = (3,4) uit figuur 1 leidt tot verbanden tussen de coördinaten (u,v) van het beeldpunt van P. Immers voor (x,y) = (3,4) geldt achtereenvolgens met genoemde vergelijkingen 3 = u2 – v2 , 4 = 2uv en 5 = u2 + v2. Daaruit kunnen u en v dan worden opgelost.

Bij elkaar optellen van 3 = u2 – v2 en 5 = u2 + v2 levert 2u2 = 8 en vervolgens u = ±2. Daarna leidt 4 = 2uv tot v = ±1. Omdat P boven de positieve X-as ligt (figuur 1) moet het beeldpunt ook er boven komen dus het beeldpunt van (3,4) is het punt (2,1).

EXPLICIETER

Met vergelijkingen (3), (4) en (5) kan steeds voor een punt (x,y) impliciet de coördinaten van zijn beeldpunt worden berekend, zoals bij het punt (3,4) is gedaan. Mooier is het natuurlijk om dat rechtstreeks te doen met vergelijkingen waarin u en v zijn uitgedrukt in x en y.

Door (3) en (5) bij elkaar op te tellen is eerst u2 te verkrijgen en door ze van elkaar af te trekken v2 wat leidt tot (*) (**)

Dat levert voor u en v uiteindelijk: (6) (7)

Met (6) en (7) wordt de afbeelding (x,y) (u,v) beschreven, waarmee het normale schaakbord wordt overgevoerd naar de rechterhelft van het Conforme Schaakbord (figuur 4). Alle bevindingen die eerder bij (r,� ) (√r,½ �) zijn gedaan (aan het einde van deel 1), zijn hiermee uiteraard te controleren. Ga maar na!

De linkerhelft wordt zoals eerder vermeld, verkregen door de rechterhelft een halve slag of 180 graden te draaien en keurig tegen de rechterhelft aan te schuiven of wel (x,y) (-u,-v) waarbij u en v door (6) en (7) worden bepaald. Pas (6) en (7) toe op (3,4) dan levert dat inderdaad als beeldpunt (2,1). Dat ligt zoals we zagen boven de positieve X-as

3

4

Figuur
Figuur

in de rechterhelft van het conforme bord. Nogmaals (6) en (7) toepassen op (3,4) en het resultaat voorzien van mintekens levert (-2,-1). Dat komt onder de negatieve X-as te liggen. Eigenlijk volgt dat ook al uit de tussenvergelijkingen (*) en (**) want daarmee vind je u = ± 2 en v = ± 1 .

Merk op dat de afbeeldingen beschreven door (6) en (7) enerzijds en door (3) en (4) anderzijds elkaars inverse zijn. In figuur 4 is dat nog eens duidelijk gemaakt.

VAN LIJNEN NAAR KROMMEN

In het punt(3,4) van het normale bord snijden de lijnen x = 3 en y = 4 elkaar loodrecht (figuur 5). Dus de beelden van die lijnen moeten elkaar in het conforme bord ook loodrecht snijden. De lijnen x =3 en y = 4 gaan niet door het middelpunt of de oorsprong dus hun beelden worden geen rechte lijnen. De vergelijkingen (3) en (4) geven inzicht in het beeld van die lijnen. Voor de verticale lijn x = 3 levert (3) het verband tussen de beeldpunten van die lijn 3 = u2 – v2

Dat is de vergelijking van een hyperbool. Die zal ook gaan door het beeldpunt (u,v) = (2,1), immers (2,1) was berekend als het beeldpunt van (3,4).

Voor de horizontale lijn y = 4, de bovenrand van het normale bord, levert (4) het verband tussen de

beeldpunten als 4 = 2uv of beter 2 = uv. Ook dat is een hyperbool die door het beeldpunt (u,v) = (2,1) gaat. Kortom de loodrecht op elkaar staande lijnen x = 3 en y = 4 zijn in het conforme bord over gegaan in takken van hyperbolen (zoals geschetst in figuur 5) die elkaar snijden in (2,1). Van belang is nu of die hyperbolen elkaar in (2,1) loodrecht snijden. Daarvoor moet worden nagegaan of het product van de richtingscoëfficiënten van de raaklijnen aan die hyperbolen in (2,1) gelijk is aan -1.

BEREKENING RC’S

Het conforme bord is vastgelegd door de beeldcoördinaten (u,v), anders gezegd: het ligt dus in een (U,V)-stelsel. Daar snijden twee hyperbolen elkaar in het punt (2,1), zoals in figuur 5 geschetst.

Werk 2 = uv om tot v = 2/u. De richtingscoëfficiënt van de raaklijn in (2,1) wordt gevonden als de afgeleide van v naar u. Dat levert

RC = -2u-2 = - ½

Ga na dat de andere hyperbool omwerken tot v = √(u2 – 3) en differentiëren leidt tot

RC = u / √(u2 – 3) = 2/√1 = 2

Het product van beide RC’s is -1 en dus snijden de takken van de twee hyperbolen elkaar loodrecht in het punt (u,v) = (2,1) want de raaklijnen aan de hyperbolen zullen in (2,1) loodrecht op elkaar staan.

Dit gaat ook op voor een willekeurig algemeen punt (a,b) binnen het normale schaakbord. Daarvan is het beeldpunt in de rechterhelft van het conforme bord het snijpunt van de hyperbolen a = u2 – v2 en b = 2uv.

Ga na dat omwerken tot v = √(u2 – a) en v = b/2u en daarna v differentiëren naar u achtereenvolgens leidt tot:

RC = ½ ∙ 1/ √(u2 – a) ∙ 2u = ½ ∙ 1/ √(u2 – u2 + v2) ∙ 2u = u/v

En

RC = - b/2u2 = -2uv/ 2u2 = - v/u

Figuur 5

Het product van de RC’s is -1 dus de raaklijnen aan genoemde hyperbolen snijden elkaar loodrecht in het beeldpunt van (a,b), waarmee is aangetoond dat de afbeelding (x,y) (u,v) conform is. Wat ook wel te verwachten was aangezien de afbeeldingen beschreven door de vergelijkingen (6) en (7) enerzijds en door (3) en (4) anderzijds elkaars inverse zijn.

DAN NOG DIT

De vergelijkingen (3) en (4) spelen een centrale rol. Zoals eerder aangegeven was Kuiper ze in een ver verleden in een boek over fractals tegengekomen en daarmee gaan experimenteren. Op het eerste gezicht lijkt het een nogal gekunselde combinatie.

Voor wie enige kennis van complexe getallen en hun meetkundige weergave in een cartesisch (X,Y)- coördinatenstelsel (het complexe vlak) bezit wordt duidelijk dat in complexe notatie de afbeelding gegeven door (3) en (4) eigenlijk eenvoudig is. Namelijk z z2

Met z het complexe getal x + yi waarin x het reële deel, i = √-1 en y het imaginaire deel. Dus x + yi (x + yi)2

Dit uitwerken en uitsplitsen van het reële en het imaginaire deel levert (3) en (4). Namelijk (x + yi)2 = x2 + 2xyi – y2

Het reële deel wordt dan x2 – y2

En het imaginaire deel 2xy

Dus z z2 is ook te schrijven als x + yi (x2 – y2) + 2xyi

waaruit dan is op te maken x x2 – y2 y 2xy

VVWL

ORIGAMI EN WISKUNDE

IN DIT ARTIKEL OVERLOPEN WE DE HUIDIGE KENNIS VAN WISKUNDE ACHTER ORIGAMI. WE GEVEN DE AXIOMATIEK EN EEN AANTAL WISKUNDIGE CONSTRUCTIES. DAARNA BEKIJKEN WE DE KLASSIEKE ORIGAMIKUNST. WE GEVEN ENKELE BASISSEN EN EEN AANTAL INSTRUCTIES OM VERSCHILLENDE MODELLEN TE MAKEN. TENSLOTTE TONEN WE HOE WISKUNDIGE TECHNIEKEN ERVOOR HEBBEN GEZORGD DAT ZEER GEAVANCEERDE ORIGAMIKUNST MOGELIJK WERD. DIDIER DESES

1. INLEIDING

Eigen ervaring: een twintigtal jaar geleden, in mijn studententijd, kreeg ik vaneen assistent de tip om origami uit te proberen. Ik ging op zoek op en vouwde een heleboel vogels, draken en kikkers aan de hand van de diagrammen die ik vond. Helaas kreeg ik de vouwtrucjes niet in mijn geheugen. Zonder plan zelf iets maken lukte niet. Er zat te weinig theorie achter de modellen. Toen ik onlangs van mijn lieftallige vrouw een boekje over origami kreeg, probeerde ik het nogmaals. Het uiteindelijke resultaat is dit artikel en het is ondertussen gelukt om vanuit een juist gekozen basis, zelf eigen ontwerpen te maken.

In tussentijd is de wiskundige theorie achter origami immers veel verder uitgewerkt. In dit artikel geven we een overzicht van enkele resultaten, weliswaar zonder bewijzen.

Vooreerst beginnen we met een oplijsting van wat kan gevouwen worden, een axiomatiek. Het tweede deel bevat de klassieke aanpak van origami. Men vertrekt vanuit een gevouwen basisvorm met een aantal flappen. Het zijn deze flappen die bewerkt worden om een uiteindelijk model te maken. Ten slotte kan men tegenwoordig aan de computer vragen om een (ingewikkeld) vouwpatroon te genereren voor een basis met een welbepaalde vorm en aantal flappen. We lichten de theorie hierachter toe. De basis bewerken, leidt tot echte kunstmodellen.

2. AXIOMATISCHE ORIGAMI

De axioma’s van origami zijn te vergelijken met de axioma’s van de constructies met passer en liniaal [3]. De axioma’s komen tot stand door te beschrijven wat men met passer en liniaal kan doen (zonder te meten!):

(PL1) Door twee gegeven punten kan men een rechte trekken.

(PL2) Men kan het snijpunt bepalen van twee gegeven, nietevenwijdige rechten.

(PL3) Gegeven een punt p en een lengte r, dan kan men de cirkel bepalen met middelpunt p en straal r

(PL4) Gegeven een cirkel en eenrechte of twee cirkels, dan kan men hun snijpunten bepalen.

Hiermee kunnen tal van constructies uitgevoerd worden. De meest gekende zijn: het bepalen van een middelloodlijn van een lijnstuk, de bissectrice van een hoek, de cirkel door drie punten, enz. Daarnaast zijn er constructies waarvan bewezen is dat ze niet uitvoerbaar zijn met passer en liniaal. Zo kan men niet

met passer en liniaal een hoek in drie gelijke hoeken verdelen. De punten van het vlak die gevonden kunnen worden als snijpunten van cirkels en/of rechten die bepaald werden aan de hand van bovenstaande axioma’s noemt men construeerbare punten.

Een analoge axiomatische aanpak van origami leidde tot de Huzita-Hatori axioma’s:

(O1) Gegeven twee punten p1 en p2, dan is er een unieke vouw die door beide punten gaat. (zie figuur 1)

(O2) Gegeven twee punten p1 en p2, dan is er een unieke vouw die p1 op p2 afbeeldt. (figuur 2)

(O3) Gegeven twee rechten l1 en l2, dan is er een unieke vouw die l1 op l2 afbeeldt. (figuur 3)

(O4) Gegeven een punt p1 en een rechte l2,dan is er een unieke vouwloodrecht op l1 die door p1 gaat. (figuur 4)

(O5) Gegeven twee punten p1 en p2 en een rechte l1, dan is er een vouw door p2 die p1 afbeeldt op l1. (figuur 5)

(O6) Gegeven twee punten p1 en p2 en twee rechten l1 en l2, dan is er een vouw die p1 afbeeldt op l1 en p2 op l2. (figuur 6)

Er bestaat nog een zevende axioma dat de laatste mogelijkheid weergeeft van wat men met één enkele vouw kan doen. Dit werd niet door de JapansItaliaanse wiskundige Humiaki Huzita gegeven maar werd pas achteraf door Koshiro Hatori gevonden.

(O7) Gegeven een punt p en twee rechten l1 en l2,dan is er een vouw die p afbeeldt op l1 en loodrecht staat op op l2. (figuur 7)

Figuur 3
Figuur 6
Figuur 7
Figuur 2
Figuur 5
Figuur 1
Figuur 4

Punten van het vlak die gevonden kunnen worden als snijpunten van vouwlijnen, gemaakt aan de hand van bovenstaande axioma’s noemt men in deze context ook construeerbare punten.

Het laatste axioma voegt echter geen bijkomende construeerbare punten toe aan de axioma’s van Huzita. Het vervolledigt wel de axiomatiek. Robert J. Lang bewees dat elke origami samengesteld uit enkelvoudige vouwen uit deze axioma’s afgeleid kan worden en dat de axiomatiek hiermee volledig is [2]. Wel bestaan er origamivormen waarbij simultaan meerdere vouwen ontstaan, deze worden niet door bovenstaande axiomatiek bekomen.

De construeerbare punten gemaakt met de axioma’s (O1)-(O5) zijn dezelfde als de construeerbare punten gemaakt met constructies met passeren liniaal (PL1)-(PL4). Roger C. Alperin toonde aan dat beide verzamelingen van construeerbare punten als deel van hetzelfde veld geven [1]. Het axioma (O6) staat echter toe nieuwe punten van het vlak te vinden en dus meer constructies uit te voeren met origami dan met passer en liniaal.

Voorbeelden

Men kan met origami de illusie van een parabool scheppen. Neem hiervoor een vast punt p in het midden van het onderste deel van een vierkant stuk papier. Vervolgens kiest men herhaaldelijk een punt q op de onderste rand van het blad en maakt men de vouw die q afbeeldt op p. (figuur 8)

De bekomen vouwen zijn de raaklijnen aan een parabool. De parabool is dus de omhullende van al deze rechten. Men kan zien dat op elke vouw juist één punt van de parabool ligt. (figuur 9)

Dit komt door dat de vouwlijn juist de middelloodlijn is van [pq]. De afstanden van q' tot p en tot de rechte l op de onderzijde van het papier zijn gelijk. Het punt q' is dus een punt van de parabool met brandpunt p en richtlijn l

Met origami kan men ook een gulden rechthoek maken. Dit is een rechthoek waarvan de zijden zich verhouden als de gulden snede . (figuur 10)

We starten met een vierkant abcd van zijde 1. Door het vierkant verticaal dubbel te plooien ontstaat de rechthoek aefd met breedte en hoogte 1. De diagonaal af heeft lengte . De rechte ah is de bissectrice van de hoek Wegens de bissectricestelling [10] is en dus is . Verder is .

Substitutie geeft .

De driehoeken age en ahb zijn gelijkvormig met factor 2. De zijde bh heeft dus lengte . Na de laatste vouw bekomt men een rechthoek van lengte 1 en breedte . De verhouding van de zijden is dus

Figuur 8
Figuur 9

Bovenstaande constructies hebben een equivalent met passer en liniaal. Dit is niet het geval voor de driede-

ling van een hoek. We starten met een vierkant stuk papier met in de linkerbenedenhoek de hoek

We delen vervolgens de hoek in 3. (figuur 11)

Figuur 11
Figuur 10

Begin met twee horizontale vouwen l2 en l3 zodanig dat de afstand tussen l2 enl3 en de afstand tussen l3 en de de onderzijde gelijk zijn. Axioma (O6) stelt dat we een vouw kunnen vinden die de punten A en B respectievelijk op l1 en l3 afbeeldt. Dit vergt wel een beetje zoekwerk. Men zal wat met het papier moeten schuiven. Voeren we deze vouw uit dan kunnen we de vouw l3 op de flap doortrekken tot l4. Ten slotte zoeken we de vouw l5 die de onderzijde afbeeldt op l4. De vouwen l4 en l5 delen nu de hoek �in drie gelijke delen.

3. KLASSIEKE ORIGAMI

Origami komt van het Japans ’ori’, dat vouwen betekent en ’kami’, dat papier betekent. Het ontstond tussen de 1ste eeuw, toen papier in China werd uitgevonden, en de 6de eeuw toen het in Japan geïntroduceerd werd. Vanaf de 6de eeuw wordt het papiervouwen in Japan verheven tot echte kunst. De technieken worden meestal mondeling overgedragen. In Europa vindt men pas in de 15de eeuw sporen van origami. In de klassieke origami maakt men een onderscheid tussen de dalvouw en de bergvouw. Men begint met een vierkant stuk papier. De eerste stap is vaak een diagonaalvouw

(langs een diagonaal van het vierkant) of een boekvouw (langs een horizontale of verticale symmetrieas van het vierkant). Hieronder een boekvouw als dal- en als bergvouw. (figuur 12 en 13)

Wanneer men een gevouwen origami model weer openplooit, bekomt men het vouwpatroon (crease pattern). Deze bevat de essentiële dal- en bergvouwen waarmee het model werd opgebouwd. Traditioneel wordt een dalvouw aangeduid door een streepjeslijn en een bergvouw door een streepjes-puntjeslijn. Omdat moderne vouwpatronen soms zeer ingewikkeld kunnen zijn, zullen we de dalvouwen aanduiden door blauwe streepjeslijnen en de bergvouwen door rode volle lijnen.

3.1 Basissen en vouwtechnieken

Een klassiek origami-model begint vaak vanuit een basis. Dit is een abstract meetkundig model, dat voldoende potentieel (d.w.z. voldoende vrije flappen) heeft om een meer gedetailleerd model te vouwen. De drie meest eenvoudige basissen zijn: - De vliegerbasis: twee dalvouwen brengen twee aangrenzende zijden van het vierkant tot op de diagonaal.

- De waterbombasis: bestaat uit twee dalvouwen langs de diagonalen en twee bergvouwen langs de andere symmetrieassen. Opgeplooid vormt dit een driehoek met vier driehoekige flappen.

- De vierkantbasis: bestaat uit twee bergvouwen langs de diagonalen en twee dalvouwen langs de andere symmetrieassen. Hiermee is het een duale vorm van de waterbombasis. Opgeplooid vormt dit een vierkant met vier driehoekige flappen. (figuur 14)

Vanuit de vierkantbasis kan men nu twee meer ingewikkelde vouwen uitvoeren: de eerste en de tweede bloembladvouw (petal fold). (figuur 15)

Met deze bloembladvouwen maakt men een aantal meer complexe klassieke basissen zoals de vogelbasis. Deze wordt gemaakt vanuit een vierkantbasis door twee bloembladvouwen van de eerste soort toe te passen. Uiteindelijk heeft de basis vijf flappen: twee grote en een kleine gelijkbenige driehoek en twee rechthoekige driehoeken. Het vouwpatroon is net iets ingewikkelder dan de vorige basissen. (figuur 16)

Figuur 12
Figuur 13
Figuur 14
Figuur 15

Een andere veelgebruikte basis is de kikkerbasis. Vertrekkend vanuit een vierkante basis worden de vier flappen platgedrukt (squash fold). Daarna wordt er vier keer een bloembladvouw van de tweede soort gemaakt. In onderstaand diagram moeten de gegroepeerde stappen dus telkens viermaal uitgevoerd worden. Men bekomt een basis met vier identieke driehoekige flappen en één grotere. (figuur 17)

Vanuit al deze basissen worden een ongelooflijk aantal modellen gemaakt. Het zijn de beschikbare flappen die bewerkt worden om de details van het model te maken. Enkele technieken die hierbij gebruikt kunnen worden:

• De inwendige krimp: figuur 18;

• De uitwendige krimp: figuur 19;

• De accordeonvouw: figuur 20;

• De inwendige tegenvouw: figuur 21;

• De uitwendige tegenvouw: figuur 22;

• De induwvouw: figuur 23.

Voor een handig overzicht met diagrammen van de verschillende basissen en plooitechnieken verwijzen we naar het Grondvormenboekje van de Origami Sociëteit Nederland [9] waaruit ook hier werd geput.

Figuur 17
Figuur 18
Figuur 19
Figuur 20
Figuur 21
Figuur 22
Figuur 23
Figuur 16

3. 2 Voorbeelden

Een eenvoudige toepassing van de tegenvouwen is het maken van een slang vanuit de vliegerbasis. (figuur 24)

Vanuit de vogelbasis kan men aan de hand van drie inwendige tegenvouwen (de staart, de hals en de kop) de klassieke kraanvogel vouwen. (figuur 25)

De vogelbasis kan gemakkelijk dienen om ook een vogel, eend, zwaan, colibri, draak of een dinosaurus mee te plooien. Je kan zelfs een fladderende vogel maken, waarvan de vleugels bewegen als je aan de staart trekt. Dit noemt men actieorigami. (figuur 26)

Een ander voorbeeld van actieorigami is de springende kikker. Hiervan bestaan verschillende versies. We geven de eenvoudigste.

Deze keer vertrekken we niet van een basis, maar vouwen we het vierkant eerst in twee om van een rechthoek te beginnen. In de bovenste helft wordt een waterbombasis gemaakt, het onderste deel wordt met een accordeonvouw omgeplooid tot een veer. (figuur 27)

Een andere manier om een kikker te vouwen is te beginnen vanuit de kikkerbasis, dit resulteert in een meer gedetailleerd model. (figuur 28)

Figuur 24
Figuur 25
Figuur 26

Ten slotte kan de kikkerbasis ook gebruikt worden om een iconisch ruimteschip te vouwen. Het diagram hieronder geeft het algemeen idee, de details kan je nu zelf trachten uit te werken. (figuur 30)

4. MODERNE ORIGAMI

Zoals reeds vermeld werd de klassieke origami meestal mondeling overgedragen. Een eerste mijlpaal in de moderne origami is het werk van Akira Yoshizawa in de jaren 1950-1960. Hij wordt aanzien als grootmeester in de origami. Hij

introduceerde een standaard om diagrammen te maken. Het zijn deze diagrammen die reeds in de vorige paragrafen gebruikt werden. Het bestaan van een ’taal’ voor origami en de beschikbaarheid van internet resulteerde in een boom aan origami modellen. Er ontstonden niet enkel nieuwe kleine modellen maar ook regelrechte kunstwerken met innovatieve technieken en indrukwekkende details.

De volgende grote stap in de moderne origami kwam er met

het werk van Robert J. Lang. Hij beschrijft zijn methode aan de hand van volgende stappen:

- Eerst wordt het te maken model omgezet in een boomdiagram. Deze bevat de essentie van het model. In het geval van een vliegend hert zijn dit zes poten, de hoorns en de voelsprieten.

- Daarna wordt het boomdiagram omgezet naar een basis die genoeg flappen bezit om de ledematen te maken.

Figuur 27
Figuur 28
Figuur 29

- Ten slotte werkt de kunstenaar de basis af door details aan te brengen.

Om te begrijpen hoe men van een boomdiagram overgaat naar een basis, is het nodig om te onderzoeken hoe één enkele flap tot stand komt. Er blijkt dat een flap van lengte L uit een cirkel met straal L kan geplooid worden. Lang illustreert dit in volgende gevallen. (figuur 31)

Het vouwpatroon van een basis met n flappen bevat dus n cirkels. We gaan dit na voor de gekende vogelbasis. Op het vouwpatroon zijn de vijf flappen duidelijk herkenbaar in de vijf aangeduide cirkels. (figuur 32)

Het zoeken naar een mogelijkheid om n cirkels van gegeven grootte in een vierkant te plaatsen is verwant aan een goed gekend probleem uit de wiskunde: ’circle packing’

Robert J. Lang gebruikte de reeds bestaande algoritmen die dit probleem oplossen om het programma TreeMaker te maken. Dit programma zet een boomdiagram om in een vouwpatroon voor een passende origami basis. Het geeft verbluffende resultaten. In zijn artikel [5] werkt hij het voorbeeld van een schorpioen uit. (figuur 33)

Figuur 30
Figuur 31
Figuur 32

Het bekomen vouwpatroon is ingewikkeld. In het algemeen kan men zulke patronen niet meer bekomen door stapsgewijs telkens één keer te vouwen. Het is nodig om het papier voor te vouwen (precreasing) om het dan in één keer te plooien. Dit noemt men de collaps. Je kan dit eens zelf proberen met de vogelbasis. We tonen tenslotte het voorgevouwen papier (zijde 40cm) voor de basis van de schorpioen en het finale model (15cm), beide uit het artikel [5].

De methode van Robert J. Lang heeft getoond dat er nog meer wiskunde achter origami zit dan de axioma’s uit het begin van dit artikel. Daarnaast blijkt het vouwpatroon meer informatie over de achterliggende structuur van het model te bevatten in vergelijking met stapsgewijze instructies. Daartegenover staat dat de methode van Lang voor een leek niet zo eenvoudig is om te gebruiken. Het gebruik van TreeMaker is niet evident. Het voorvouwen vergt nogal wat handigheid, de collaps nog meer en het is een echte kunst om van de basis

een afgewerkt model te maken! Een beginner kan best starten met [7], [9] en [8]. Natuurlijk is de TED talk van Robert J. Lang [4] wel een sterk motiverende aanrader! (figuur 34)

5. VERANTWOORDING

Noch de diagrammen, noch de modellen opgenomen in deze tekst zijn het werk van de auteur. Ze komen veelal van internet via Google Afbeeldingen, waarbij het niet altijd duidelijk is wat hun oorsprong is. Wel werden de meeste afbeeldingen door de auteur aangepast om ze beter in deze tekst tot hun recht te laten komen. Waar mogelijk werd verwezen naar de originele bron.

Figuur 33
Figuur 34
VOLG DE VOUWLIJNEN EN VOUW DE KIKKER VAN FIGUUR 27 ZELF.

DE JAARLIJKSE EUROPESE STATISTIEKOLYMPIADE

SCHOOLJAAR 2024-2025

KELLY SABBE, STATISTICAL LITERACY COORDINATOR BIJ STATBEL

VALÉRIE SILVESTRE, STATISTICUS BIJ STATBEL

WENDY SCHELFAUT, WOORDVOERDER BIJ STATBEL

DE EUROPESE STATISTIEKOLYMPIADE

Dit schooljaar gaat de nieuwe editie van de Statistiekolympiade door. De Statistiekolympiade bestaat uit een Belgische ronde en een Europese ronde. De Belgische editie gaat voor de 6de keer door. Er zullen 21 landen mee strijden om zich tot Europese winnaar te kronen, het grootste aantal sinds de start!

Deze ronde wordt georganiseerd door Statbel, het Belgische statistiekbureau, L’institute Wallon de l’évaluation, de la prospective et de la Statistique (Iweps), het Brussels Instituut voor Statistiek en Analyse (BISA) en Statistiek Vlaanderen in samenwerking met Onderwijs Vlaanderen, het Departement Economie, Wetenschap en Innovatie (EWI), de federatie Wallonië-Brussel en het Ministerie van de Duitstalige Gemeenschap en wordt ondersteund door de Koninklijke Belgische Vereniging voor Statistiek.

Voor België is Kelly Sabbe de coördinator, zij is de Statistical Literacy Coordinator bij Statbel, het Belgische Statistiekbureau.

Het is een online wedstijd in teams van 1 tot 3 leerlingen voor de derde graad van het secundair onderwijs die doorgaat van januari tot mei 2025.

DE DOELSTELLINGEN VAN DE EUROPESE STATISTIEKOLYMPIADE

De Europese Statistiekolympiade heeft enkele algemene doelstellingen. Ten eerste willen we de nieuwsgierigheid en belangstelling voor statistiek onder studenten bevorderen. Vervolgens willen we leerkrachten aanmoedigen om officiële cijfers (Europees, nationaal en regionaal) te gebruiken voor het aanleren van statistieken en aantonen hoe de verworven statistische kennis concreet kan worden toegepast. De Europese Statistiekolympiade is verbonden aan de leerplannen en de leerdoelen van statistiek, wiskunde, maar ook aan algemene doelstellingen. Ook willen we studenten en leerkrachten laten zien welke rol statistiek speelt in verschillende aspecten van de samenleving. Tot slot willen we teamwerk en samenwerking tussen studenten bevorderen door gemeenschappelijke doelen te bereiken.

VOORUITBLIK OP DE STATISTIEKOLYMPIADE 2024-2025

De Belgische ronde bestaat uit twee proeven die digitaal georganiseerd worden. De exacte inhoud en het verloop van de verschillende proeven wordt voor de start van de verschillende proeven aan de deelnemers bekend gemaakt. Een volledig overzicht en ondersteunende informatie, zoals een handige kalender voor in de klas,

het reglement en voorbeeldvragen van vorige edities zijn te vinden op www.statistiekolympiade.be. Leerkrachten die samen met hun leerlingen wensen deel te nemen aan de Statistiekolympiade moeten hun team(s) online inschrijven via de website. Registratie is mogelijk vanaf 14 oktober tot en met 9 december 2024.

In de eerste fase (10 januari t.e.m. 27 januari 2025) testen we de kennis, het kritisch denken en de analysevaardigheden die beschreven staan in de leerplannen van de derde graad. De eerste proef verloopt via een webplatform en bestaat uit drie

meerkeuzevragenlijsten. Bij iedere vraag horen vier antwoordmogelijkheden, waarvan slechts één juist is.

De eerste proef bestaat uit 3 opgaven. De eerste opgave test de basiskennis door middel van een 10 vragen die nagaan of de kandidaten statistische begrippen goed beheersen, grafieken kunnen duiden en interpreteren, de basis van de kansberekening onder de knie hebben, etc. De analysevaardigheden worden getest door een opgave die in 10 vragen peilt naar het vermogen van leerlingen om vragen op te lossen door gegevens op te zoeken in officiële statistieken. In de derde opgave

peilen we via 10 vragen naar de interpretatie van een statistische publicatie.

Alle teams krijgen hun resultaat, samen met het gemiddelde resultaat voor alle teams samen. De resultaten worden bekendgemaakt op maandag 3 februari 2025. Alle leerlingen die meer dan 60% behaalden, worden geselecteerd voor de tweede proef. Deze geselecteerde teams moeten hun deelname aan de tweede proef bevestigen voor vrijdag 7 februari 2025. De specifieke instructies worden bezorgd bij de communicatie van de resultaten.

In de tweede fase (10 februari t.e.m. 17 maart 2025) testen we de creatieve communicatievaardigheden, het interpreteren van statistieken en de onderzoeksvaardigheden.

In de tweede proef moeten de teams een video in het Nederlands, Frans, Duits of Engels van maximaal 2 minuten maken waarin ze een nader te bepalen onderwerp toelichten met behulp van officiële statistieken. Dit onderwerp is voor alle teams hetzelfde. Het onderwerp van de video wordt door Eurostat bepaald en zal later gecommuniceerd worden. Om de toegankelijkheid te verzekeren en ervoor te zorgen dat de video's door iedereen kunnen worden begrepen, moeten de video’s in het Engels worden ondertiteld.

De video’s worden door middel van een evaluatiegrid beoordeeld door medewerkers van Statbel, Iweps, BISA en Statistiek Vlaanderen op enkele criteria, zoals de creativiteit van de video; hoe begrijpelijk en overtuigend de boodschap is; of de relevante officiële statistieken om de boodschap te ondersteunen correct gebruikt worden; de effectiviteit van de video om de boodschap over te brengen en of er correct verwezen wordt naar gebruikt materiaal. De uitkomst van deze eerste beoordelingsfase zal per e-mail worden meegedeeld op 1 april 2025. Daarnaast zullen de geselecteerde teams bekend gemaakt worden op de website en via andere communicatiekanalen.

Via een public choice award zal het brede publiek kunnen stemmen op de geselecteerde video’s uit de

eerste beoordelingsfase. Op het YouTube kanaal van de statistiekolympiade (https://www.youtube.com/ @europeanstatisticscompetit1648) zullen alle video’s verzameld worden. Men kan een unieke stem uitbrengen op de favoriete video. Het publiek zal een top 3 nomineren. De nationale jury is samengesteld uit experten van Statbel, Iweps, BISA en Statistiek Vlaanderen, aangevuld met specialisten inzake datavisualisatie, communicatie, etc. De jury zal de video’s beoordelen en een top 3 nomineren.

De top 3 teams die geselecteerd zijn voor de prijs van de nationale jury of voor de publieksprijs en de teams die geselecteerd worden door Iweps, BISA en Statistiek Vlaanderen zullen uitgenodigd worden op een prijsuitreiking op 24 april 2025 op locatie in Brussel. Elke leerling in een winnend team wordt beloond met een cadeaucheque en een medaille. De leerkracht onder wiens leiding het winnende team stond, krijgt eveneens een cadeaucheque.

DE EUROPESE RONDE

De door de nationale jury en het door het publiek geselecteerde beste team zullen door Statbel worden voorgedragen en ingeschreven voor de Europese ronde. In mei nemen de Belgische winnaars het in een Europese finale op tegen leerlingen uit 21 Europese landen. Ben je bij de Europese winnaars? Dan zit er zelfs een trip in naar de Europese prijsuitreiking! Wist je dat België al twee maal bij de Europese top 3 was?

Benieuwd naar wie de vorige schooljaren zich tot winnaar mocht kronen? Elk schooljaar is er een website waar je de Europese competitie op kan volgen. Voor een terugblik op het vorige schooljaar kan je naar https://www.esc2024.eu/ surfen. Vanaf midden september is de pagina https://www.esc2025.eu/ beschikbaar.

ERVARINGEN EN VERWACHTINGEN

VAN LEERKRACHTEN

“Als leerkracht wiskunde in humane wetenschappen, ben ik zeer blij met de organisatie van de statistiekolympiade. In het nieuwe leerplan is statistiek een apart vak voor sociale richtingen, naast statistiek als deel van wiskunde. Vooral proef 1 is inhoudelijk een groot voordeel voor onze doelgroep, omdat het direct aansluit bij de leerplannen.” (Ann, leerkracht wiskunde in humane wetenschappen)

Jan (leerkracht wiskunde 6u/8u) vindt de vorm van meerkeuze van de eerste ronde uitzonderlijk leerrijk voor zijn leerlingen. De complexiteit is groot, maar dat maakt de uitdaging net groter.

“De mix van een echte dataset, echte documenten en begrippenvragen werkt perfect.” (Veerle, leerkracht wiskunde) Ook het feit dat de proeven gespreid kunnen worden in de tijd, in tegenstelling tot andere olympiades, waar alles op 1 woensdagnamiddag gebeurt, vinden de leerkrachten een enorme troef. De eerste proef van de Statistiekolympiade wordt bovendien door veel leerkrachten gebruikt als middel om de concrete minimumdoelen van de derde graad te behalen. Voor de tweede ronde wordt er meer begeleiding voorzien door de organisatoren.

Hilde, leerkracht wiskunde, werkte voor de tweede proef altijd samen met de leerkracht Nederlands voor het communicatie-aspect, zo werd deze proef een klassikale groepsopdracht die teamwork en multidisciplinair werken stimuleerde.

Als leerkracht kan je de Olympiade vanuit eender welk vak begeleiden, of samenwerken met je collega’s. Je dient de team(s) in te schrijven, het aanspreekpunt te zijn voor onze communicatie en de teams begeleiden en feedback geven. Heb je meer informatie nodig, wil je graag een affiche of flyers bestellen of heb je nog bijkomende vragen? Stuur dan een mail naar statolympiade@economie.fgov.be.

wiskunde-wetenschappen

Uitgeverij die Keure nodigt alle wiskundeleerkrachten én leerkrachten exacte wetenschappen van harte uit op het WW-congres op 15 maart 2025 in het BMCC in Brugge voor een dag vol workshops en inspirerende sessies!

Turn static files into dynamic content formats.

Create a flipbook
Issuu converts static files into: digital portfolios, online yearbooks, online catalogs, digital photo albums and more. Sign up and create your flipbook.