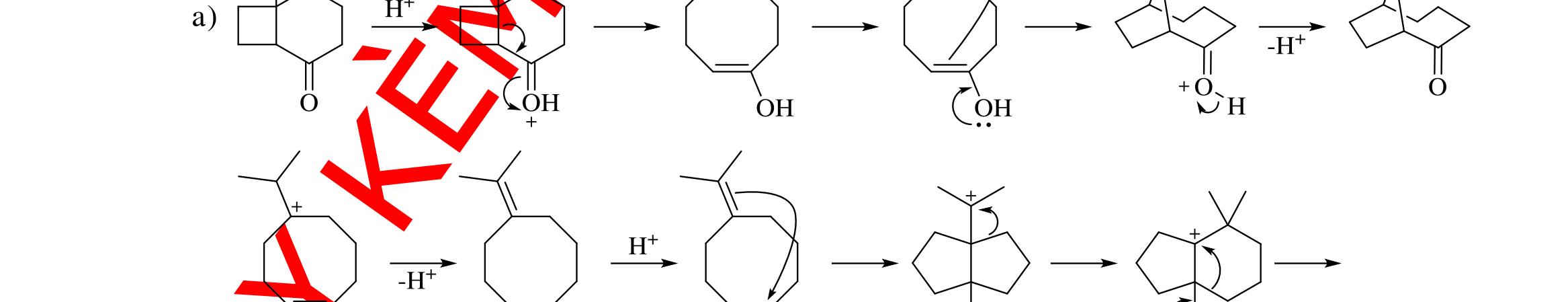
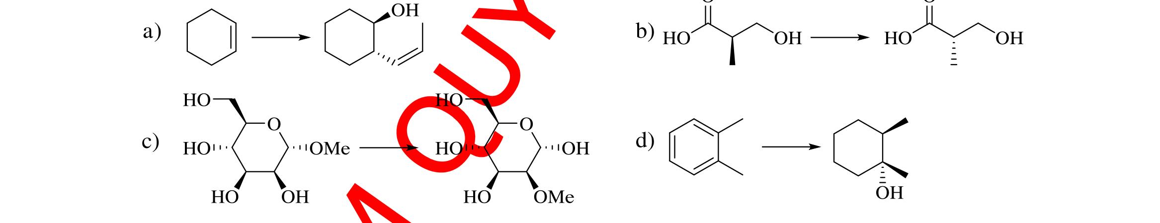
TUYỂN TẬP ĐỀ THI THỬ HỮU CƠ HỌC SINH GIỎI QUỐC GIA HÓA HỌC TẬP 1 CÓ HƯỚNG DẪN GIẢI

Page 1

ĐỀ THI THỬ HỮU CƠ HỌC SINH GIỎI QUỐC GIA Ths Nguyễn Thanh Tú eBook Collection TUYỂN TẬP ĐỀ THI THỬ HỮU CƠ HỌC SINH GIỎI QUỐC GIA HÓA HỌC TẬP 1 CÓ HƯỚNG DẪN GIẢI PDF VERSION | 2022 EDITION ORDER NOW / CHUYỂN GIAO QUA EMAIL TAILIEUCHUANTHAMKHAO@GMAIL.COM Hỗ trợ trực tuyến Fb www.facebook.com/DayKemQuyNhon Mobi/Zalo 0905779594 Tài liệu chuẩn tham khảo Phát triển kênh bởi Ths Nguyễn Thanh Tú Đơn vị tài trợ / phát hành / chia sẻ học thuật : Nguyen Thanh Tu Group

Turn static files into dynamic content formats.

Create a flipbook
Issuu converts static files into: digital portfolios, online yearbooks, online catalogs, digital photo albums and more. Sign up and create your flipbook.