BÀI TẬP XÁC ĐỊNH CẤU TRÚC HỢP CHẤT HỮU CƠ BỒI DƯỠNG HSG QUỐC GIA MÔN HÓA HỌC (CÓ ĐÁP ÁN)

Page 1

Ths Nguyễn Thanh Tú

eBook Collection

WORD VERSION | 2022 EDITION

ORDER NOW / CHUYỂN GIAO QUA EMAIL

TAILIEUCHUANTHAMKHAO@GMAIL.COM

BÀI
HỮU CƠ BỒI DƯỠNG HSG
TẬP
QUỐC GIA
BÀI TẬP XÁC ĐỊNH CẤU TRÚC HỢP CHẤT HỮU CƠ BỒI DƯỠNG HSG QUỐC GIA MÔN HÓA HỌC (CÓ ĐÁP ÁN)
Hỗ trợ trực tuyến Fb www.facebook.com/DayKemQuyNhon Mobi/Zalo 0905779594 Tài liệu chuẩn tham khảo Phát triển kênh bởi Ths Nguyễn Thanh Tú Đơn vị tài trợ / phát hành / chia sẻ học thuật : Nguyen Thanh Tu Group

Câu 1: Các dẫn xuất của thiazolo[2,3-b]piriđin được dùng trong sản xuất dược phẩm và thuốc trừ sâu.

Cho sơ đồ tổng hợp một trong các dẫn xuất trên như sau:

a) Vẽ công thức cấu tạo của 1, 2, 3.

b) Đề nghị cơ chế phản ứng của chuyển hóa 2 thành 3 và 3 thành X.

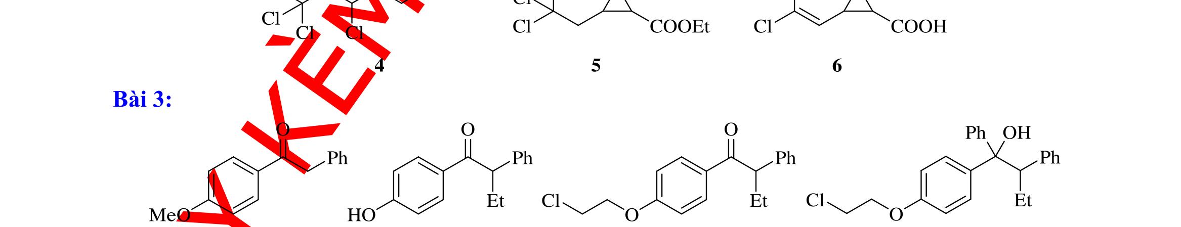
Câu 2: Axit permetrinic hay axit 3-(2,2-đicloetenyl)-2,2-đimetylxiclopropan-1-cacboxylic (6) được sử dụng làm thuốc trừ sâu. Hợp chất này được tổng hợp theo sơ đồ sau:

Vẽ công thức cấu tạo của 1, 2, 3, 4, 5, 6

Câu 3: Tamoxifen (6) được sử dụng để điều trị bệnh ung thư vú. Hợp chất này được tổng hợp theo sơ

đồ sau:

Vẽ công thức cấu tạo của 1, 2, 3, 4, 5, 6.

Câu 4: Quercetin là một hợp chất flavonoit có khả năng chống oxi hóa và làm bền thành mạch máu. Hợp chất này được tổng hợp theo sơ đồ sau:

DẠYKÈMQUYNHƠN OFFICIAL

Vẽ công thức cấu tạo của 1, 2, 3, 4

Hóa
1
Học Hữu Cơ

Câu 5: Epibatidin (6) là một ancaloit có tác dụng kháng viêm, giảm đau được phân lập từ da của một loài ếch. Hợp chất này được tổng hợp theo sơ đồ sau:

Vẽ công thức cấu tạo của 1, 2 , 3, 4, 5, 6

Câu 6: Omeprazole là một loại thuốc được dùng để điều trị bệnh viêm loét dạ dày. Hợp chất này được tổng hợp theo sơ đồ sau:

Vẽ công thức cấu tạo của 1, 2, 3, 4

Câu 7: Cho sơ đồ tổng hợp coniceine (kí hiệu 4, là một indolizidine alkaloid) như sau:

Vẽ công thức cấu tạo của 1, 2, 3, 4

Câu 8: Rimonabant (5, chứa dị vòng pyrazole) là một loại thuốc chống béo phì và hỗ trợ cai nghiện thuốc lá. Hợp chất này được tổng hợp theo sơ đồ sau:

Vẽ công thức cấu tạo của 1, 2, 3, 4, 5

Câu 9: Strychnine là một chất độc được tìm thấy trong loài thực vật Strychnos. Dưới đây là một phần trong sơ đồ tổng hợp strynine mà Woodward cùng các cộng sự đã thực hiện vào năm 1954.

DẠYKÈMQUYNHƠN OFFICIAL

Vẽ công thức cấu tạo của các chất 1, 2, 3, 4.

Hóa Học Hữu Cơ 2

Câu 10: Nuciferine được phân lập từ cây hoa sen (Nelumbo nucifera). Hợp chất này thường được dùng để chữa trị bệnh hạ đường huyết và được tổng hợp qua các giai đoạn sau: Giai đoạn 1: Giai đoạn 2: Giai đoạn 3:

a) Vẽ công thức cấu tạo của các chất từ 19 đến 26. Câu 11: Khusimone là hợp chất được phân lập từ tinh dầu cỏ hương bài (Vetiveria zizanioides). Hợp chất này được tổng hợp theo các sơ đồ sau:

Vẽ công thức cấu tạo của 1, 2, 3, 4, 5, 6

Câu 12: Khusimone là hợp chất được phân lập từ tinh dầu cỏ hương bài (Vetiveria zizanioides). Hợp chất này được tổng hợp theo các sơ đồ sau:

Vẽ công thức cấu tạo của các chất từ 1 đến 9.

DẠYKÈMQUYNHƠN OFFICIAL

Hóa Học Hữu Cơ 3

Câu 13: Furodysinin là một sesquiterpenoid được phân lập từ loài một số loại hải miên (bọt biển) ở

các vùng biển nhiệt đới. Hợp chất này được tổng hợp theo sơ đồ sau:

Vẽ công thức cấu tạo của các chất từ 1 đến 9.

Câu 14: Widdrol là một terpenoid được phân lập từ cây tùng sà (Juniperus chinensis) và có khả năng

kháng ung thư. Hợp chất này được tổng hợp theo sơ đồ sau:

Vẽ công thức cấu tạo của

Câu 15: -Vetivone là hợp chất được phân lập từ tinh dầu cỏ hương bài (Vetiveria zizanioides) và

được sử dụng trong một số loại nước hoa. Hợp chất này được tổng hợp theo sơ đồ sau:

Biết 1 là một đibromanken chỉ chứa hai loại nguyên tử hiđro với tỉ lệ 2 : 3 và khi bị ozon phân tạo ra axeton. Vẽ công thức cấu tạo của các chất từ 1 đến 8

Câu 16: Grandisol (5) là pheromon của một loại sâu hại (Anthonomus grandis) được tìm thấy trong cây bông. Hợp chất này có thể được tổng hợp theo sơ đồ sau:

a) Vẽ công thức cấu tạo của 1, 2, 3, 4, 5.

DẠYKÈMQUYNHƠN OFFICIAL

b) Từ 3,3-đimetylpent-4-en-2-on, isobutilen, NBS và các chất vô cơ khác, hãy đề nghị sơ đồ tổng hợp 5

Hóa Học
Cơ 4
Hữu
1, 2, 3, 4, 5, 6

Câu 17: Estrone là một hormon sinh dục nữ và được tổng hợp theo sơ đồ sau:

Vẽ công thức cấu tạo của các chất từ 1 đến 11.

Câu 18: Bikaverin là một loại thuốc kháng sinh:

Vẽ công thức cấu tạo của các chất từ 1 đến 8

Câu 19: Cho các sơ đồ tổng hợp azulene như sau:

Sơ đồ 1:

Sơ đồ 2:

DẠYKÈMQUYNHƠN OFFICIAL

Vẽ công thức cấu tạo của các chất từ 1 đến 13

Hóa Học
5
Hữu Cơ

Câu 20: Illidinine là hợp chất được phân lập từ loài nấm Clitocybe illudens. Hợp chất này được tổng

hợp theo sơ đồ sau:

a) Vẽ công thức cấu tạo của các chất từ 1 đến 7

b) Đề nghị cơ chế phản ứng của chuyển hóa 5 thành 6

Câu 21: Azaantraxenon là một nhóm hợp chất thiên nhiên có hoạt tính sinh học thú vị. Dưới đây là sơ đồ tổng hợp kalasinamide (8) và marcanine A (9):

Vẽ công thức cấu tạo của các chất từ đến 1 đến 9

Câu 22: Chất 7 có tên là metyl (1R,3R)-2,2-đimetyl-3-(2-metylprop-1-en-1-yl)xiclopropan-1cacboxylat. Hợp chất này là nguyên liệu quan trọng trong tổng hợp các loại thuốc bảo vệ thực vật có

độc tính thấp đối với con người.

a) Vẽ cấu trúc của 7 và đồng phân đối quang của nó.

b) Hợp chất 7 được tổng hợp từ -pinene theo sơ đồ sau:

Vẽ công thức cấu tạo của các chất từ 1 đến 7.

Câu 23: Levobupivacaine (8) là một loại thuốc gây mê cục bộ. Hợp chất này được tổng hợp từ L-lysin theo sơ đồ sau:

DẠYKÈMQUYNHƠN OFFICIAL

Vẽ cấu trúc của các chất từ 1 đến 8.

Hóa Học Hữu Cơ 6

Câu 24: Brasiliquinone B là một hợp chất thuộc loại benzantraquinon có khả năng ức chế sự phát triển của khối u ung thư. Hợp chất này được tổng hợp theo sơ đồ sau:

Vẽ công thức cấu tạo của các chất từ 1 đến 9.

Câu 25: Sativene là sesquiterpene được phân lập từ độc tố của Helminthosporium sativum (một loại nấm gây bệnh trên các cây ngũ cốc). Hợp chất này được tổng hợp theo sơ đồ sau:

Vẽ công thức cấu tạo của các chất từ 1 đến 6

Câu 26: Hirsuten (10) là một chất trung gian trong quá trình sinh tổng hợp các hợp chất thiên nhiên có hoạt tính sinh học. Hợp chất này được tổng hợp theo sơ đồ sau:

a) Vẽ công thức cấu tạo của các chất từ 1 đến 11.

DẠYKÈMQUYNHƠN OFFICIAL

b) Đề nghị cơ chế phản ứng của chuyển hóa (*) và chuyển hóa 5 thành 6.

Hóa Học Hữu Cơ 7

Câu 27: Dysidavarone A là sesquiterpenoid được phân lập từ một loài bọt biển ở vùng biển phía Nam

của Trung Quốc. Hợp chất này được tổng hợp theo sơ đồ sau:

Vẽ công thức cấu tạo của các chất từ 1 đến 7.

Câu 28: Clarvukerin A là một hiđrocacbon được phân lập từ loài san hô Clavularia koellikeri. Hợp chất này được tổng hợp theo sơ đồ sau:

Vẽ công thức cấu tạo của các chất từ 1 đến 7

Câu 29: Levofloxacin là một loại thuốc kháng sinh thuộc nhóm floquinolon. Hợp chất này được tổng hợp theo sơ đồ sau:

DẠYKÈMQUYNHƠN OFFICIAL

Vẽ công thức cấu tạo của các chất từ 1 đến 9.

Hóa Học Hữu Cơ 8

Câu 30: Varenicline được dùng để sản xuất thuốc điều trị chứng nghiện thuốc lá. Cho sơ đổ tổng hợp varenicline như sau:

Vẽ công thức cấu tạo của các chất từ 1 đến 10.

Câu 31: -Noscapine được phân lập từ cây Papaver somniferum có được dùng để chữa ho, ung thư, đột quỵ. Cho sơ đồ tổng hợp -noscapine như sau:

Vẽ công thức cấu tạo của các chất từ 1 đến 9

Câu 32: Leuhistin là một chất ức chế enzyme aminopeptidase. Hợp chất này được tổng hợp theo sơ đồ

sau:

Vẽ công thức cấu tạo của các chất 1, 2, 3, 4, 5, 6, 7. Biết rằng, 4 có nhóm –OH bậc ba.

Câu 33: Twistane là một hiđrocacbon có tính quang hoạt và cấu trúc đặc biệt. Hợp chất này được tổng hợp lần đầu tiên vào năm 1962 bởi Whitlock và các cộng sự theo sơ đồ sau:

DẠYKÈMQUYNHƠN OFFICIAL

Vẽ công thức cấu tạo của 14, 15, 16, 17, 18, 19.

Hóa Học Hữu Cơ 9

Câu 34: Ketamine được dùng làm thuốc gây mê trong y học. Hợp chất này được tổng hợp theo sơ đồ

sau:

a) Vẽ công thức cấu tạo của các chất từ 1 đến 7

b) Đề nghị cơ chế phản ứng của chuyển hóa 5 thành 6 và 6 thành 7.

Câu 35: Hợp chất 10 được dùng để chữa trị các bệnh viêm phế quảng và viêm mạch máu. Hợp chất này được tổng hợp theo sơ đồ sau:

Biết rằng:

- Tác nhân HATU được dùng để tạo liên kết peptit.

- Chất 15 được tổng hợp theo sơ đồ sau:

Vẽ công thức cấu tạo của các chất từ 7 đến 16

Câu 36: Turneforcidine và platynecine là hai đồng phân lập thể của nhau. Hai hợp chất này được tổng hợp theo các sơ đồ sau:

DẠYKÈMQUYNHƠN OFFICIAL

Vẽ công thức cấu tạo của các chất từ 1 đến 13.

Hóa Học Hữu Cơ 10

Câu 37: Các hợp chất ancaloit Daphniphyllum được tìm thấy trong nhiều loại cây thân thảo. Chúng có

nhiều hoạt tính sinh học đáng chú ý như chống ung thư, chống oxi hóa, kháng khuẩn, … Sau đây là sơ

đồ tổng hợp metyl homosecodaphniphyllat:

Vẽ công thức cấu tạo của các chất từ 1 đến 10.

Câu 38: Macrosphelide A là một chất ức chế tế bào ung thư. Hợp chất này được tổng hợp theo sơ đồ sau:

Vẽ công thức cấu tạo của các chất từ 1 đến 12

Câu 39: Cidofovir là hợp chất có hoạt tính kháng virus dùng để chữa các bệnh viêm nhiễm do virus gây ra trên các bệnh nhân AIDS. Cidofovir được tổng hợp từ L-mannitol theo sơ đồ sau:

DẠYKÈMQUYNHƠN OFFICIAL

Vẽ cấu trúc của các chất từ 1 đến 8.

Hóa Học Hữu Cơ 11

Câu 40: Cây bạc hà mèo (Nepeta cataria) được dùng để chữa các bệnh đau nửa đầu, khó ngủ, cảm lạnh, hen suyễn. Từ loại cây này, người ta phân lập được nepetalactone. Hợp chất này được tổng hợp trong phòng thí nghiệm theo sơ đồ sau:

Vẽ công thức cấu tạo của các chất từ 1 đến 9

Câu 41: Từ tinh dầu của hoa nhài, người ta phân lập được metyl jasmonat (42). Hợp chất trên được tổng hợp theo sơ đồ sau:

Vẽ công thức cấu tạo của các chất từ 1 đến 14

Câu 42: Cho sơ đồ tổng hợp patchoulol từ 6-metylcarvon như sau:

DẠYKÈMQUYNHƠN OFFICIAL

Vẽ công thức cấu tạo của các chất từ 1 đến 10

Hóa Học Hữu Cơ 12

Câu 43: -Barbatene là một sesquiterepene được phân lập từ thiên nhiên. Hợp chất này được tổng hợp theo sơ đồ sau:

Biết trong giai đoạn đầu tiên có xảy ra sự đồng phân hóa tạo ra đien liên hợp khi có mặt xúc tác axit. Vẽ công thức cấu tạo của 1, 2, 3, 4, 5, 6

Câu 44: Longifolene là một sesquiterpene được tìm thấy trong nhựa thông. Hợp chất này được E. J. Corey và các cộng sự tổng hợp theo sơ đồ sau:

Vẽ công thức cấu tạo của các chất từ 1 đến 11.

Câu 45: Brasoside là một hợp chất iridoid được tổng hợp theo sơ đồ sau:

DẠYKÈMQUYNHƠN OFFICIAL

Vẽ cấu trúc của các chất từ 1 đến 12

Hóa Học Hữu Cơ 13

Câu 46: Các dẫn xuất este của axit chrysanthemic được dùng làm thuốc trừ sâu nhưng không có độc tính đối với con người và động vật. Axit chrysanthemic có thể được tổng hợp theo sơ đồ sau:

a) Biết 1 là một hiđrocacbon ở thể khí và 5 là một ancol có trong tự nhiên. Vẽ công thức cấu tạo của các chất từ 1 đến 14

b) Axit chrysanthemic được phân lập từ tự nhiên có cấu hình là (1R,3R). Vẽ cấu trúc và gọi tên theo IUPAC của axit chrysanthemic.

c) Tetramethrin (19) là một loại thuốc trừ sâu được tổng hợp theo sơ đồ sau:

Biết trong phân tử 16, chỉ có một liên kết đôi C=C và liên kết đôi này không gắn với bất cứ nguyên

tử hiđro nào. Vẽ công thức cấu tạo của 15, 16, 17, 18, 19.

Câu 47: Neopupukean-4-on là chất trung gian trong quá trình tổng hợp một số hợp chất thiên nhiên.

Hợp chất này được tổng hợp từ carvone theo sơ đồ sau:

Vẽ công thức cấu tạo của 1, 2, 3, 4, 5, 6

Câu 48: Nấm là một loại thực phẩm chứa nhiều chất dinh dưỡng. Từ nấm Coprinopsis atramentaria, người ta đã phân lập được hợp chất coprine (21). Coprine có thể được tổng hợp theo đồ sau:

DẠYKÈMQUYNHƠN OFFICIAL

Vẽ cấu trúc của 1, 2, 3, 4, 5. Biết rằng, 1 có chứa vòng ba cạnh.

Hóa Học Hữu Cơ 14

Câu 49: Nardoaristolone B là một hợp chất thiên nhiên có nhiều hoạt tính sinh học thú vị. Hợp chất này được tổng hợp theo sơ đồ sau:

Vẽ công thức cấu tạo của các chất từ 1 đến 9.

Câu 50: Pelletierine (6) hay 1-(piperiđin-2-yl)propan-2-on là một alcaloit được phân lập từ vỏ cây lựu và được dùng làm thuốc chống giun sán. Pelletierine được tổng hợp theo sơ đồ sau:

Vẽ công thức cấu tạo của các chất từ 1, 2, 3, 4, 5, 6.

Câu 51: Aigialomycin D được phân lập từ nấm Aigialus parvus. Nhiều nghiên cứu cho thấy hợp chất này có khả năng chống kí sinh trùng sốt rét. Aigialomycin D được tổng hợp từ D-ribozơ theo sơ đồ sau:

Vẽ cấu trúc của các chất từ 1 đến 14

DẠYKÈMQUYNHƠN OFFICIAL

Hóa Học Hữu Cơ 15

Câu 52: Huperzine A là một loại thuốc được dùng để chữa trị bệnh giảm trí nhớ Alzheimer. Hợp chất

này được tổng hợp theo sơ đồ sau:

Vẽ công thức cấu tạo của các chất từ 1 đến 14.

Câu 53: Psilostachyin C là một hợp chất thiên nhiên có nhiều tiềm năng trong chữa trị một số bệnh ung thư. Hợp chất này được tổng hợp theo sơ đồ sau:

Vẽ công thức cấu tạo của các chất từ 1 đến 7.

Câu 54: Gilertine là một indole alkaloid được phân lập từ Aspidosperma gilbertii. Hợp chất này được tổng hợp theo sơ đồ sau:

DẠYKÈMQUYNHƠN OFFICIAL

Vẽ công thức cấu tạo của các chất từ 1 đến 10.

Hóa Học Hữu Cơ 16

Câu 55: Các dẫn xuất dị vòng gắn thêm phần đường (carbohydrate) có khả năng kháng khuẩn và một

số tế bào ung thư. Cho sơ đồ tổng hợp 64 (dẫn xuất N-glycoside) và 67 (dẫn xuất C-glycoside) qua các

giai đoạn sau:

Giai đoạn 1:

Giai đoạn 2:

Giai đoạn 3:

a) Vẽ cấu trúc của các chất từ 1 đến 7

b) Đề nghị cơ chế phản ứng giữa 1 và Ar–CH=C(CN)2 để tạo ra (X)

Câu 56: Aspidospermidine là một hợp chất có nhiều hoạt tính sinh học thú vị. Aspidospermidine được

tổng hợp theo sơ đồ sau:

Vẽ công thức cấu tạo của các chất từ 1 đến 7.

Câu 57: Aspidospermidine là một hợp chất có nhiều hoạt tính sinh học thú vị. Aspidospermidine được

tổng hợp theo sơ đồ sau:

DẠYKÈMQUYNHƠN OFFICIAL

Vẽ công thức cấu tạo của các chất từ 1 đến 8.

Hóa Học Hữu Cơ 17

Câu 58: Axit pisiferic là một chất chuyển hóa trong quá trình trao đổi chất của thực vật. Hợp chất này

được phân lập từ vỏ của thân cây Fraxinus sieboldiana và được tổng hợp theo sơ đồ sau:

Vẽ công thức cấu tạo của các chất từ 1 đến 16.

Câu 59: Porphobilinogen là một chất trung gian trong quá trình sinh tổng hợp hemeglobin và clorophin. Hợp chất này được tổng hợp theo sơ đồ sau:

Vẽ công thức cấu tạo của các chất từ 1 đến 7

Câu 60: Ramipril là một loại thuốc điều trị các bệnh cao huyết áp, suy tim và một số bệnh liên quan đến thận. Ramipril được tổng hợp theo sơ đồ sau:

DẠYKÈMQUYNHƠN OFFICIAL

Vẽ công thức cấu tạo của các chất từ 1 đến 7

Hóa Học Hữu Cơ 18

Câu 61: Các hiđrocacbon đa vòng với nhiều tính chất đặc biệt đang thu hút rất nhiều nhà hóa học. Sau

đây là sơ đồ tổng hợp dibarrelane:

Vẽ công thức cấu tạo của các chất từ 1 đến 10

Câu 62: Acalomone (kí hiệu là 8) và junenol được Banerjee với các cộng sự tổng hợp theo sơ đồ sau:

Vẽ công thức cấu tạo của các chất từ 1 đến 8.

Câu 63: Coerulescine và horsfiline (kí hiệu là 10) là các alkaloid có nhiều dược tính đáng chú ý. Hai hợp chất này được tổng hợp theo sơ đồ sau:

Vẽ công thức cấu tạo của các chất từ 1 đến 10

Câu 64: Hóa học về các hiđrocacbon đa vòng luôn được các nhà hóa học quan tâm vì cấu trúc đặc biệt của chúng. Cho sơ đồ tổng hợp cubane như sau:

DẠYKÈMQUYNHƠN OFFICIAL

Vẽ công thức cấu tạo của 26, 27, 28, 29.

Hóa Học Hữu Cơ 19

Câu 65: Nấm linh chi (Ganoderma lucidum) được dùng trong các bài thuốc cổ truyền ở Đông Á. Từ loại nấm này, người ta phân lập được lingzhiol. Hợp chất này có thể được tổng hợp theo sơ đồ sau:

Vẽ công thức cấu tạo của các chất từ 1 đến 8

Câu 66: Flueggenine C là hợp chất được phân lập từ Flueggea virosa và có hoạt tính kháng HIV. Hợp chất này lần đầu tiên được tổng hợp bởi hai nhà hóa học người Hàn Quốc vào năm 2017 theo sơ đồ

sau:

a) Vẽ công thức cấu tạo của 1, 2, 3, 4, 5.

b) Đề nghị cơ chế phản ứng của giai đoạn chuyển hóa 2 thành 3.

Câu 67: Prostaglandins (PGs) là tên gọi chung cho các loại hormone điều khiển các quá trình sinh lí quan trọng. Sau đây là sơ đồ tổng hợp prostacyclin và isocarbacyclin được thực hiện bởi Ryoji Noori

và các cộng sự:

DẠYKÈMQUYNHƠN OFFICIAL

Vẽ công thức cấu tạo của các chất từ 1 đến 7

Hóa Học Hữu Cơ 20

Câu 68: Euphorikanin A là một diterpenoid được phân lập từ rễ của Euphorbia kansui vào năm 2016.

Bộ khung carbon của Euphorikanin A được tổng hợp theo sơ đồ sau:

a) Vẽ công thức cấu tạo của các chất từ 1 đến 9.

b) Đề nghị cơ chế phản ứng của giai đoạn chuyển hóa 6 thành 7.

Câu 69: Crotogoudin là một terpenoid được tổng hợp tại đại học California (Mỹ) theo sơ đồ sau:

Vẽ công thức cấu tạo của các chất từ 1 đến 10

Câu 70: Hợp chất 11-13-dihydroxanthatin được phân lập từ cây ké đầu ngựa (Xanthium strumarium). Hợp chất này được tổng hợp theo sơ đồ sau:

DẠYKÈMQUYNHƠN OFFICIAL

Vẽ cấu trúc của các chất từ 1 đến 9.

Hóa Học Hữu Cơ 21

Câu 71: Barbaralane là một hiđrocacbon được đặt tên theo giáo sư Barbara M. Ferrier. Hợp chất này có cấu trúc đặc biệt vì luôn xảy ra sự chuyển vị Cope trong phân tử của nó ở nhiệt độ phòng, sự chuyển vị này chỉ dừng lại ở –110oC. Vào năm 1983, barbaralane (7) được tổng hợp theo sơ đồ sau:

Vẽ công thức cấu tạo của 1, 2, 3, 4, 5, 6, 7.

Câu 72: Crinine là một alkaloid được phân lập từ củ của cây Pancratium maritimum. Crinine được tổng hợp theo sơ đồ sau:

Vẽ công thức cấu tạo của các chất từ 1 đến 13

Câu 73: Crinine là một alkaloid được phân lập từ củ của cây Pancratium maritimum Crinine được tổng hợp theo sơ đồ sau:

a) Vẽ công thức cấu tạo của các chất từ 1 đến 8.

b) Hợp chất 6 trong sơ đồ trên có thể được tổng hợp theo một phương pháp khác như sau:

DẠYKÈMQUYNHƠN OFFICIAL

Vẽ công thức cấu tạo của 9, 10, 11, 12, 13, 14.

Hóa Học
22
Hữu Cơ

Câu 74: Hippolachnin A được phân lập từ mộc nhĩ trắng có khả năng điều trị các bệnh xơ hóa, suy

thận cấp, … Hợp chất này được tổng hợp theo sơ đồ sau:

Vẽ công thức cấu tạo của các chất từ 1 đến 8.

Câu 75: Mikanokryptin là một hợp chất thiên nhiên có khả năng chống ung thư cao. Hợp chất này

được tổng hợp theo sơ đồ sau:

Vẽ công thức cấu tạo của các chất từ 1 đến 7. Biết rằng, tác nhân SnCl2, NaI/DMF có vai trò tương

tự như Mg, Et2O.

Câu 76: Gymnomitrol là một sesquiterpenoid được phân lập từ loài rêu Gymnomitrion obtusum. Hợp chất này được tổng hợp theo sơ đồ sau:

DẠYKÈMQUYNHƠN OFFICIAL

Vẽ công thức cấu tạo của các chất từ 1 đến 14

Hóa Học Hữu Cơ 23

Câu 77: Camptothecin (là một alkaloid được phân lập từ cây hạnh phúc) có khả năng chống ung thư.

Hợp chất này được có thể được tổng hợp theo các sơ đồ sau:

Vẽ công thức cấu tạo của các chất từ 1 đến 9

Câu 78: Camptothecin (là một alkaloid được phân lập từ cây hạnh phúc) có khả năng chống ung thư.

Hợp chất này được có thể được tổng hợp theo các sơ đồ sau:

Vẽ công thức cấu tạo của các chất từ 1 đến 10

Câu 79: Camptothecin (là một alkaloid được phân lập từ cây hạnh phúc) có khả năng chống ung thư.

Hợp chất này được có thể được tổng hợp theo các sơ đồ sau:

DẠYKÈMQUYNHƠN OFFICIAL

Vẽ công thức cấu tạo của các chất từ 1 đến 9

Hóa Học Hữu Cơ 24

Câu 80: Cefalotin là hợp chất có khả năng kháng khuẩn tốt nhưng độc tính thấp. Hợp chất này được

tổng hợp từ L-cistein theo sơ đồ sau:

a) Vẽ công thức cấu tạo của các chất từ 1 đến 15

b) Đề nghị cơ chế phản ứng của chuyển hóa 10 thành 11.

Câu 81: Hóa học về các hiđrocacbon đa vòng luôn được các nhà hóa học quan tâm vì cấu trúc đặc biệt của chúng. Cho sơ đồ tổng hợp [5]-prismane như sau:

Vẽ công thức cấu tạo của các chất từ 1 đến 11.

Câu 82: Hóa học về các hiđrocacbon đa vòng luôn được các nhà hóa học quan tâm vì cấu trúc đặc biệt của chúng. Cho sơ đồ tổng hợp seco-[6]-prismane như sau:

DẠYKÈMQUYNHƠN OFFICIAL

Vẽ công thức cấu tạo của các chất từ 1 đến 10.

Hóa Học Hữu Cơ 25

Học Hữu Cơ

Câu 83: Cho sơ đồ tổng hợp alstoscholarisine E (một alkaloid được dùng để hỗ trợ điều trị bệnh

Alzheimer) như sau:

Vẽ công thức cấu tạo của các chất từ 1 đến 7. Biết rằng, ở giai đoạn khử 7 thành alstoscholarisine E có tạo ion iminium trung gian.

Câu 84: FR-900482 được phân lập từ xạ khuẩn Streptomyces sandaensis. Nhiều nghiên cứu cho thấy

rằng hợp chất này có khả năng kháng khuẩn và kháng ung thư. Cho sơ đồ tổng hợp FR-900482 như

sau:

DẠYKÈMQUYNHƠN OFFICIAL

Vẽ công thức cấu tạo của các chất từ 1 đến 14

Hóa
26

Câu 85: Aristeromycin là một hợp chất pseudo-nucleoside có hoạt tính sinh học đa dạng. Hợp chất này được tổng hợp từ dẫn xuất của D-glucose theo sơ đồ sau:

Vẽ cấu trúc của các chất từ 1 đến 9. Biết rằng, 6 có công thức phân tử là C12H9N5O và có một nhóm amino được bảo vệ bởi nhóm benzoyl.

Câu 86: Xúc tác phức chất của các kim loại chuyển tiếp đang được nghiên cứu rất nhiều trong hóa học hữu cơ. Sau đây là ứng dụng của một số loại xúc tác phức chất trong quá trình tổng hợp pepluanol A:

DẠYKÈMQUYNHƠN OFFICIAL

Vẽ công thức cấu tạo của các chất từ 1 đến 9.

Hóa Học Hữu Cơ 27

Câu 87: Scabrolide A là một hợp chất đa vòng được phân lập từ Sinularia scabra vào năm 2002. Hợp chất này được Brian M. Stoltz và các cộng sự tổng hợp theo sơ đồ sau:

Vẽ công thức cấu tạo của các chất từ 1 đến 9.

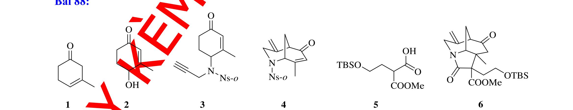
Câu 88: Daphniphyllum alkaloid là một nhóm hợp chất tự nhiên được tìm thấy nhiều trong các cây thân thảo ở châu Á. Các loại cây này được dùng làm thuốc trong y học cổ truyền ở Trung Quốc. Sau đây là sơ đồ tổng hợp daphenylline:

DẠYKÈMQUYNHƠN OFFICIAL

Hóa Học Hữu Cơ 28
1 đến
. Biết 5
công
C12H24O5
Vẽ công thức cấu tạo của các chất từ
12
thức phân tử là
Si.

Câu 89: Vindoline là một alcaloid được phân lập từ Catharanthus roseus. Hợp chất này được tổng hợp theo sơ đồ sau:

Vẽ công thức cấu tạo của các chất từ 1 đến 12

Câu 90: Vindoline là một alkaloid được phân lập từ cây dừa cạn (Cantharanthus roseus). Hợp chất này được tổng hợp theo sơ đồ sau:

DẠYKÈMQUYNHƠN OFFICIAL

Vẽ công thức cấu tạo của các chất từ 1 đến 12

Hóa Học Hữu Cơ 29

Câu 91: Hainanolidol là một hợp chất thiên nhiên được phân lập từ Cephalotaxus fortunei.

Hainanolidol được tổng hợp tại trường đại học Wisconsin (Mỹ) theo sơ đồ sau:

Vẽ công thức cấu tạo của các chất từ 1 đến 18

Câu 92: Nankakurine B là một alkaloid được phân lập từ Lycopodium hamiltonii. Hợp chất này được

tổng hợp theo sơ đồ sau:

DẠYKÈMQUYNHƠN OFFICIAL

Vẽ công thức cấu tạo của các chất từ 38 đến 44.

Hóa Học Hữu Cơ 30

Câu 93: Exigurin được phân lập từ loài bọt biển Geodia exigua ở đảo Oshima vào năm 2003. Hợp chất này được tổng hợp theo sơ đồ sau:

a) Vẽ công thức cấu tạo của các chất từ 1 đến 9

b) Đề nghị cơ chế phản ứng của giai đoạn chuyển hóa 9 thành exigurin.

Câu 94: Hợp chất X là một diterpene được phân lập từ loài mối Nasutitermes octopolis. Hợp chất này

được tổng hợp theo sơ đồ sau:

DẠYKÈMQUYNHƠN OFFICIAL

Vẽ công thức cấu tạo của các chất từ 1 đến 12

Hóa Học Hữu Cơ 31

Câu 95: Ingenol là một hợp chất thiên nhiên có khả năng ức chế sự phát triển khối u của bệnh ung thư

máu và kháng virus HIV. Hợp chất này được tổng hợp theo sơ đồ sau:

Vẽ cấu trúc của các chất từ 6 đến 18.

Câu 96: Dysiherbaine là hợp chất được phân lập từ loài bọt biển Dysidea herbacea. Hợp chất này

DẠYKÈMQUYNHƠN OFFICIAL

được tổng hợp theo sơ đồ sau: Vẽ

Hóa Học Hữu Cơ 32
từ 51 đến 65
công thức cấu tạo của các chất

Câu 97: Mitomycin là một nhóm hợp chất thiên nhiên có hoạt tính sinh học đa dạng, đặc biệt là khả

năng chống ung thư. Sau đây là sơ đồ tổng hợp mitomycin K:

Vẽ công thức cấu tạo của các chất từ 1 đến 12

Câu 98: Hợp chất 8-epi-xanthatin có khả năng kháng sốt rét và được tổng hợp theo sơ đồ sau:

a) Vẽ cấu trúc của các chất từ 1 đến 9.

DẠYKÈMQUYNHƠN OFFICIAL

b) Đề nghị cơ chế phản ứng của giai đoạn chuyển hóa 9 thành 8-epi-xanthatin (không cần giải thích hóa học lập thể).

Hóa Học Hữu Cơ 33

Câu 99: Echinopine A (46) và echinopine B là hai terpenoid được phân lập từ rễ của cây Echinops

spinosus. Hai hợp chất này được tổng hợp theo sơ đồ sau:

Vẽ công thức cấu tạo của các chất từ 1 đến 13

Câu 100: Bolivianine được phân lập từ Hedyosmum angustifolium (Chloranthaceae). Hợp chất này

được tổng hợp theo sơ đồ sau:

Vẽ công thức cấu tạo của các chất từ 1 đến 10

DẠYKÈMQUYNHƠN OFFICIAL

Hóa Học Hữu Cơ 34

Turn static files into dynamic content formats.

Create a flipbook
Issuu converts static files into: digital portfolios, online yearbooks, online catalogs, digital photo albums and more. Sign up and create your flipbook.