El Estándar Passivhaus: una hoja de ruta fiable hacia el edificio de consumo casi nulo, también para los componentes cerámicos
Luis A. Martínez,
Passivhaus Consultores (www.passivhausconsultores.com)
Hace ya 7 años que la Directiva Europea 30/2010 sobre el edifico de consumo casi nulo (ECCN) puso encima de la mesa un nuevo reto para el conjunto del sector de la edificación. Si no nos equivocamos, llevará u obligará a un replanteamiento no menor acerca de cómo proyectamos y construimos edificios. También acerca de los componentes y materiales con los cuales los construimos. Y sólo quedan apenas dos años para su esperada entrada en vigor.
Es aquí donde el Estándar Passivhaus se propone como una hoja de ruta fiable para que los ECCN realmente garanticen las prestaciones energéticas y de confort que tienen que ofrecer. En este artículo nos proponemos exponer de modo muy sencillo qué es el Estándar Passivhaus y cómo concibe el edificio, subrayando los aspectos más importantes a la hora de abordarlo con nuevas perspectivas por parte de los actores del sector.
Básicamente, el Estándar señala cinco criterios o parámetros para que un edificio sea considerado de consumo casi nulo y, a continuación, ofrece cinco principios con los que llegar a obtener esos mismos parámetros. Es decir, nos viene a señalar los números y el modo de obtenerlos. La interrelación entre criterios y principios es tan estrecha que, en la práctica, se retroalimentan mutuamente. Si cumplimos los criterios es porque, normalmente, hemos aplicado los principios y viceversa.
Los 5 Criterios para cumplir el estándar Passivhaus son estos:
-Demanda máxima de calefacción de 15 kWh/(m2año) o carga de calefacción 10W/m2
-Demanda máxima de refrigeración de 15 kWh/(m2año) [revisable en función de la localidad].
-Demanda de energía primaria renovable (PER)
< 60 kWh/m2año PH CLASSIC
< 45 kWh/m2año PH PLUS
< 30 kWh/m2año PH PREMIUM
-Hermeticidad al aire n50 ≤ 0,6 r/h-1
-Periodos de sobrecalentamiento en verano por encima de 25ºC inferiores al 10%

(figura 1) Fuente: iPHA
Los 5 Principios para obtener los criterios son estos:
1. AISLAMIENTO.
2. HERMETICIDAD Y ESTANQUEIDAD.
3. PUENTES TÉRMICOS.
4. VENTANAS Y CERRAMIENTOS.
5. VENTILACIÓN.
Si los situamos en la conocida imagen del propio Passivhaus Institut, los visualizamos así: (figura 1)
Como se puede apreciar, cuatro de los cinco Principios tienen relación directa con la envolvente del edificio, que es donde aplica el tipo de materiales con los que proyectamos, calculamos y construimos la envolvente. Aquí, los productos cerámicos tienen mucho que decir. El quinto, se ocupa de las instalaciones. Si los
LOS 5 PRINCIPIOS PARA OBTENER LOS CRITERIOS DE CUMPLIMIENTO DEL ESTANDAR PASSIVHAUS
1. AISLAMIENTO
La envolvente esta concebida con una línea continua de aislamiento que abarca todo su perímetro. Es la conocida como regla del rotulador. Indica que debemos trazar una línea continua sin levantar el rotulador del plano para garantizar todo el aislamiento de la envolvente. Nos tiene que garantizar que las pérdidas térmicas que vayamos a tener
describimos brevemente se entenderán mejor. Todavía, se suele decir que estos cinco principios, en realidad, son siete o, 5+2. Nos referimos a la orientación bioclimática o ganancia solar (y pérdidas), y el cálculo del balance energético. La razón de estos dos principios “extra” es que responden a que el edificio pasivo cuenta con el aprovechamiento de las ganancias solares para optimizar su demanda y, en segundo lugar, el cálculo del balance energético del edificio conocido como PHPP-, es requisito indispensable para todo proyecto Passivhaus. De nuevo, la rehabilitación, donde nos encontramos con edificios que tienen ya una orientación determinada e, incluso en obra nueva, si la parcela reúne unas condiciones poco favorables en principio, el proyectista no deja de tener que afrontar el reto del cumplimiento de los criterios bajo estas condiciones.
a través del aislamiento, sean las que serán calculadas en el PHPP. En rehabilitación, por razones obvias, esta línea no siempre es posible. En estos casos, se estudian y calculan todas las fachadas, muros, etc., y sus orientaciones, y se determina cómo, por dónde y con qué materiales se puede aislar. Con el aislamiento estamos trabajando la envolvente en su dimensión térmica. Normalmente, el espesor del aislamiento va a ser superior al utilizado en España. No obstante, la evolución de los materiales y productos - entre los que se
AISLAMIENTO FACHADA
Sistema: SATE
Tipo: XPS
Espesor: 25 cm
Conductividad: 0,034 W/m2k
FACHADA EN CONTACTO CON TERRENO O LOCAL NO CALEFACTADO
Sistema: SATE
Tipo: EPS
Espesor: 25 cm
Conductividad: 0,037 W/m2k
CUBIERTA
Sistema: Aislamiento entre ... y clabos
Tipo: EPS
Espesor: 30+15 cm / 20+18 cm
Conductividad: 0,037 W/m2k
LOSA
Sistema: Aislamiento por debajo de losa Tipo: XPS
Espesor: 25 cm
Conductividad: 0,034 W/m2k
(figura 2) Aislamiento Fuente: Propiedad. Passivhaus Consultores. Autor VAND arquitectura

HERMETICIDAD:
capa estanca perforación de la capa estanca (suelo) perforación de la capa estanca (fachada)
(figura 3) Hermeticidad. Fuente: Propiedad. Passivhaus Consultores. Autor VAND arquitectura






encuentran los bloques Termoarcilla® en sus diversas configuraciones y estructuras - van a multiplicar las posibilidades de configuración de la capa térmica. Otro aspecto relevante al máximo es la ubicación del edificio de que se trate. El aislamiento habrá de dar respuesta al clima con el que el edificio tiene que convivir toda su vida, no siendo lo mismo, por ejemplo, el interior de la península que el litoral o, dentro de cada una de estas, las propias variaciones climáticas que contengan. No debemos caer en el error de pensar que una vivienda solo necesita aislamiento térmico si está en un lugar donde hace frío. Y que por estar situada en clima cálido, no debe tener aislamiento o que no lo necesita porque no hace frío”. El concepto de la envolvente tiene que ver con el comportamiento físico que va a desarrollar el edificio en los próximos cincuenta años o más y el control que vamos a tener de ese rendimiento desde el mismo proyecto hasta toda su vida útil. Es decir, en relación a su propio comportamiento físico y su interrelación con el entorno. En la siguiente imagen (figura 2) lo apreciamos mucho mejor.
2. HERMETICIDAD Y ESTANQUEIDAD
Para el tratamiento de la hermeticidad y estanqueidad de nuestro edificio, nuestro objetivo es reducir al máximo las infiltraciones que podamos tener. Un criterio que lo garantiza es seguir la regla del lápiz que consiste en trazar una línea continua por el interior del perímetro de la envolvente sin levantar el lápiz. Este gesto asegura que las infiltraciones de aire son las mínimas posibles y, siempre, dentro del criterio que el Estándar Passivhaus señala (figura 3).
La exigencia del Estándar del valor n50 ≤ 0,6 r/h-1 de resistencia al aire significa que no puede haber una renovación del aire en nuestra casa superior a 0,6 renovaciones a la hora. Es decir, renovamos, como máximo, el 60% del aire que tenemos en una estancia cada hora. Los valores habituales en las casas que vivimos ahora, llegan a alcanzar, en el mejor de los casos 2 ó 3 renovaciones completas de aire a la hora. Esto es, aunque no nos lo parezca, en nuestra casa se infiltra aire hasta tal punto que se renueva al 100% varias veces a la hora. Y no es infrecuente encontrar casas con 10 renovaciones completas a la hora.
En ningún caso nuestro edificio Passivhaus “no respira”, sino que lo hace bajo el control necesario para que podamos determinar las pérdidas y ganancias que consideramos aceptables dentro de los parámetros del Estándar. Tenemos bajo control, también, la permeabilidad al vapor de agua, bajo lo que se denomina “efecto embudo”, utilizado para expresar la importancia de los valores permeabilidad de los materiales –valor Sd- que utilizamos en la envolvente. Teniendo siempre presente que los valores de esos materiales tiene que estar en progresión de menor a mayor en dirección a la parte exterior de la envolvente para obtener una buena regulación del vapor y que no provoque patologías en la envolvente.
La prueba más habitual con la que controlamos las infiltraciones se denomina prueba de puerta soplante, más conocida como blower-door test. En esta prueba, sometemos a la envolvente a una sobrepresión y/o succión a 50 pascales y obtenemos el valor de estanqueidad al aire del edificio (figura 4)
En la imagen, se aprecia qué sucede cuando no hemos trabajado convenientemente uno de los puntos débiles de la ventana, su instalación. Si emitimos una fuente de humo desde el exterior con el test en operación, el humo infiltra por la parte inferior del marco. No es difícil adivinar que las pérdidas térmicas además de la falta de confort que va a producir-, podrán impedirnos alcanzar los criterios Passivhaus (figura 5)
3. PUENTES TÉRMICOS
El puente térmico es otro de los principios del Estándar Passivhaus. Si como estamos exponiendo, el Estándar concibe el edificio desde dos conceptos principales, como son la envolvente y la instalación, el puente térmico toma su relevancia de su presencia en la primera. Tanto en el aislamiento como en la estanqueidad y hermeticidad, estamos antes dos líneas continuas que, tomadas en su conjunto, representan la mejor garantía de ausencia de puentes térmicos.
El riesgo de puente térmico lo tenemos en aquellos puntos de la envolvente donde se producen encuentros de planos, de partes constructivas o, también, porque en algunas partes de esos mismos planos por el material o por cómo lo hemos aplicado- puede haber zonas o partes más proclives a la transmisión térmica. El Código Técnico de la Edificación los define perfectamente. Nos obliga, también, a comprender la importancia que tiene el conocimiento de las herramientas y técnicas para identificarlos. Nos referimos aquí a la termografía que, al igual que la prueba de puerta soplante, son dos técnicas que los profesionales de la edificación tienen que acostumbrarse a utilizar o llevar en su “nueva caja de herramientas”. Siendo conscientes de que requiere consideración de la Norma que aplique y tratamiento especializado. Es con la imagen termográfica que mejor identificamos el concepto (figura 6)
Con el puente térmico, estamos ante una pérdida de energía. Si no hemos aislado bien, la conducción térmica que se va a producir generará patologías bien conocidas, aparecerá, por ejemplo, condensación, humedad y moho (figura 7)
Tendremos, también, seguramente, infiltraciones y, además, nuestro sistema de ventilación, no funcionará adecuadamente. En una edificación nueva proyectada y construida bajo el Estándar Passivhaus, no deberíamos tener puentes térmicos.
En rehabilitación, los identificamos, calculamos y, si no se pueden tratar adecuadamente, se minimizan al máximo y se comprende su comportamiento físico a lo largo del tiempo. Es decir, necesitamos prestar la máxima atención a los detalles. A aquellos puntos donde se produce el riesgo de puente térmico, porque son la mejor prueba para chequear si hemos conseguido una envolvente adecuada al Estándar Passivhaus.
4. VENTANAS Y CERRAMIENTOS
Cuando abordamos la envolvente, distinguimos entre la envolvente opaca y la envolvente transparente. En esta última, nos referimos a lo que comúnmente llamamos ventanas. Pero en el Estándar Passivhaus, la envolvente transparente, como concepto, es mucho más que lo que podríamos caracterizar como una ventana. De inicio, se concibe a este elemento como parte integral de la envolvente y no, como vulgarmente diríamos, el objeto con el que tapamos los huecos de los muros.
Si a los rendimientos que el Estándar Passivhaus le exige a una ventana, le sumamos los que normalmente ya estamos familiarizados, nos encontramos con, al menos, quince requisitos a cumplir. Es difícil pensar en algún otro elemento que atraiga sobre sí una mayor concentración de funciones operativas:
1. Vistas al exterior
2. Uso de la luz natural
3. Ganancias térmicas
4. Reducir pérdidas energía
5. Aislamiento térmico
6. Estanqueidad y hermeticidad
7. Ventilación (verano), nocturna
8. Sin puentes térmicos
9. Seguridad
10. Comportamiendo acústico
11. Instalación
12. Elementos de control solar
13. Fácil manejo
14. Durabilidad y mantenimiento
15. Herraje
Como solemos decir, esto es una buena noticia para todos los profesionales que se dedican a los cerramientos. Las prestaciones que tiene que satisfacer implican de modo prácticamente obligatorio el que no podamos considerar ventanas que no sean de muy alta calidad. En el presupuesto del edificio, pasan a tener un papel protagonista y es difícil que podamos escatimar en su coste, si es que realmente estamos considerando con seriedad el cumplimiento de los criterios del Estándar Passivhaus.
El valor U - factor de transmitancia térmica- que una ventana tiene que cumplir, según el Estándar, depende del clima en el que vaya a estar instalada. En el siguiente mapa, mostramos la calificación climática que el propio Passivhaus Institut establece donde se observa que en España, la península e islas se encuadran en clima cálido-templado (figura 8)

En el clima cálido templado, el valor U de una ventana instalada en vertical es de 1,05 W/(m2K). Naturalmente, siempre depende de la ubicación geográfica del Edificio. El cálculo de este valor se obtiene a partir de los valores que presenta el vidrio, el marco, el intercalario y la instalación. En esto último hay que hacer especial énfasis puesto que una ventana de muy alta calidad puede verse arruinada en sus prestaciones si la instalación no ha sido hecha adecuadamente. La Certificación Passivhaus de la ventana, es el camino más rápido para asegurarnos que cumple con todos los parámetros citados. En la imagen se muestra un ejemplo de los sellos de Certificación Passivhaus que un fabricante español ha obtenido y un ángulo de la ventana donde se aprecian sus elementos: (figura 9)
En general, y esto de en general hay que repetirlo, puesto que hay excepciones en ventanas que son también válidas para Passivhaus, la ventana bajo el Estándar que tiende a estar presente en el mercado, tiene un perfil de siete cámaras, vidrio
(figura 8) Fuente: Passivhaus Institut
(figura 9) Fuente: Replus

triple, triple junta, intercalario de material con muy baja transmitancia y una instalación que garantiza la hermeticidad, estanqueidad y aislamiento adecuadamente.
5. VENTILACIÓN
Una vez que tenemos la envolvente Passivhaus perfectamente diseñada y construida, habremos obtenido un espacio interior lo más estable posible en cuanto a variación de temperatura. También, habremos, por expresarlo así, independizado el interior de nuestro edificio del exterior y las variaciones de temperatura que este pueda tener a lo largo del día y la noche Ahora, con la ventilación nos adentramos en la clave para el tratamiento del aire en el espacio interior que la envolvente nos ha preparado.
Como sabemos, la ventilación es necesaria para garantizar la higiene y salubridad del aire que respiramos en el interior de nuestra casa. También es indispensable para evitar condensaciones en el interior, regular la humedad o para que la concentración de partículas de CO2 no se eleve hasta cantidades desaconsejables. Sin esta ventilación, no podríamos hablar de confort térmico o, simplemente, de confort.
En el Estándar Passivhaus, la ventilación se produce utilizando una maquina de ventilación mecánica controlada con recuperador de calor. Funciona bajo un principio muy simple: se intercambia el aire y su temperatura, que hay dentro del edificio con el que proviene de fuera. Es un intercambio conocido como aire-aire y es el más frecuente. No obstante, existen otras muchas variaciones pero, básicamente, se trata de aprovechar la diferente temperatura del aire interior y el exterior e intercambiar su frío y/o calor. Incluida la posibilidad de enfriar o calentar ese mismo aire con dispositivos instalados en la admisión del aire si, debido a la temperatura exterior, así se requiere.
En invierno, el aire caliente que tendremos dentro de nuestra casa, intercambia su temperatura con el aire más frio que habrá fuera. Al expulsar el aire caliente hacia afuera, calienta el aire de admisión frío y no viciado y lo introduce en nuestra casa a una temperatura mucho más alta. Las máquinas de ventilación con recuperador de calor, pueden llegar a recuperar un porcentaje muy alto del calor que expulsamos de casa hacia afuera y transmitirle su temperatura al aire frío renovado, que se introducirá en casa ya a una temperatura adecuada. En verano, se realiza la operación contraria. Afuera, el aire estará a mayor temperatura que el de dentro de nuestra casa y es, ahora, éste, el que enfría el aire exterior caliente.
En ningún caso esto quiere decir que no se puedan abrir las ventanas en una vivienda Passivhaus, o que no podamos ventilar de modo natural por la noche. Tampoco que no se necesite un aporte de calor y frío al sistema de ventilación allí donde, por la ubicación geográfica de la vivienda y sus características climatológicas, se necesite y el cálculo realizado con el PHPP lo establezca.
La ventilación Passivhaus es la clave de nuestro confort en el interior de la vivienda, nos proporciona aire limpio y de muy alta calidad, higiénico y filtrado. Renovado en el volumen adecuado y evita la aparición de humedades y moho en casa.
COSTES
Con frecuencia se pregunta por qué el edificio de consumo casi nulo es, precisamente, casi, y no nulo o cero o de balance cero. Una de las cosas que más claramente se aprecia con los ECCN es que, para hablar con realismo de abastecimiento energético de fuente renovable, antes, hay que disminuir drásticamente la demanda energética de los edificios. Todavía hoy, el fundador del Passivhaus Institut, en su primera visita a España -que tuvimos el honor de preparar personalmente a través del Consorcio Passivhaus-,1 lo volvía a repetir en la entrevista que concedió a El País, como casi un lugar común: El gran reto es reducir el consumo de energía.2 Dicho así, parece una obviedad, pero la expresión tiene toda la historia del Estándar Passivhaus detrás y está dicha, en al menos un sentido, para que se reflexione acerca de la importancia del autoconsumo y como se puede maximizar el impacto de la producción de energía renovable, siempre y cuando tengamos, como punto de partida, edificios de consumo casi nulo. O lo que es lo mismo, una demanda bajísima, cercana a cero por ahora.
Es una obviedad decir que, hoy en día, no hay nada que impida que una casa, tecnológicamente hablando, pueda producir la energía que consume a través de sus propios sistemas activos. Normalmente, energía solar fotovoltaica con acumuladores o baterías. Aspectos legales aparte, la cuestión a la que la palabra casi remite es al óptimo del coste entre la inversión a realizar y su amortización en un periodo de tiempo determinado. Es en esta palabra donde se sitúa toda la carga económica y la rentabilidad de la instalación y el edificio de consumo casi nulo.
1 Fuente: Luis A. Martínez. Entrevista del Hotel Alfonso XII. Madrid. El Consorcio Passivhaus, del que somos miembros los firmantes de este artículo, invitó y organizó la visita del Dr. Wolfgang Feist a España, por primera vez, el pasado 15 de octubre de 2016.
2 A. Zabalbeascoa. Entrevista a Wolfgang Feist, Diario El País. Domingo, 15 de enero de 2017. Suplemento Ideas, página 5.
Observemos el siguiente gráfico (figura 10):

Se aprecia claramente una línea roja de derecha a izquierda - como la disminución de la demanda energética de nuestra casa nos obliga a invertir, inicialmente, más cantidad de dinero en el tratamiento de la envolvente (mayor aislamiento, mejores ventanas, etc.). Debido a esa misma inversión, llega un punto en el que, precisamente, podemos prescindir de la calefacción y/o la climatización de nuestra vivienda. Este hecho es el que produce los ahorros que equilibran la inversión extra que estábamos realizando. Ese punto de equilibrio es el que se indica en la demanda de energética de 15 kWh/ (m2año) y que se convierte en el criterio principal del Estándar. Esta es la justificación conceptual del casi que contiene la expresión consumo casi nulo.
La inversión necesaria para que el casi desapareciera, implicaría unos mayores costes de inversión y un periodo muy largo de amortización. Sin duda, esta es una cuestión siempre a debate y dependiente de muchos factores. Por lo que aquí nos limitamos a exponerla conceptualmente y a señalar que los costes de una edificación Passivhaus no se pueden calcular por medio de métodos estáticos. Pues sólo tienen en cuenta el momento único de la inversión inicial y si es mayor o menor que un edificio convencional. En una vivienda Passivhaus, no se dejan sin contabilizar el valor económico de ahorro energético, el valor residual de la edificación, el ciclo de vida de los materiales o el impacto medioambiental. Por no mencionar lo que se denominan beneficios no energéticos, siempre de difícil cuantificación, como el confort, la salud o el bienestar que nos produce el ECCN.
CAPACITACIÓN
Por último, no nos gustaría dejar de apuntar la importancia de la capacitación profesional para abordar con garantía el diseño y la construcción de los ECCN. Aquí, por ejemplo, la empresa Formación Passivhaus (www.formacionpassivhaus. com), los mayores especialistas en España en formación oficial del Passivhaus Institut, pueden dar fe de la evolución de esta formación y del tipo de perfil profesional que acude a los cursos. En un número cada vez más creciente, un porcentaje significativo pero muy bajo aún en comparación con todo lo que el sector de la edificación representa, está comenzando a comprender que la Directiva Europea 30/2010 sobre el edifico de consumo casi nulo (ECCN) es un cambio realmente cualitativo para el sector y que pone en evidencia la necesidad de formarse adecuadamente, no solo los arquitectos, sino los propios gerentes, promotores y constructores.
Y, para terminar, también hay que señalar que los productos cerámicos, como en el caso que aquí se presenta, están en primera fila de competencia para ser utilizados en el ECCN. Y la oportunidad que se abre para que sean parte protagonista de la envolvente del edificio no les exime de una puesta al día en la línea que los principios Passivhaus indican, que son muy capaces de alcanzar en prestaciones y rendimientos.
Los artículos técnicos son facilitados por Hispalyt (asociación española de fabricantes de ladrillos y tejas de arcilla cocida) y forman parte de los programas de investigación que desarrolla sobre los distintos materiales cerámicos y su aplicación.
+ en www.conarquitectura.com
Productos: todos
Dirigido a: Proyectista
Contenidos: Diseño
Artículo Técnico
Pasiva positiva: los componentes de arcilla cocida en un edificio de consumo casi nulo passivhaus-premium en régimen de autoconsumo
Luis A. Martinez. Ph. D. Ciencias Sociales. Director Pasiva Positiva
Nuria Díaz. Arquitecta. VAND Arquitectura
Anne Vogt. Arquitecta. VAND Arquitectura
1. UN MARCO CONCEPTUAL
Como concepto, un edificio positivo es sencillo de describir. Es un edificio que aporta más de lo que recibe. De energía y no solo. Con respecto a la energía, lo habitual es considerar tres ámbitos de interacción del edificio:
• La energía para auto-abastecer su consumo o demanda, la del propio edificio y sus usuarios dentro del edificio (frio, calor, electrodomésticos).
• La energía para los vehículos de movilidad personal (automóviles, bicicletas o patinetes).
• La energía demandada por la ciudad en la que está ubicado el edificio para su funcionamiento y actividad (alumbrado, servicios públicos de recargas, actos discrecionales o similares).
La cantidad de condiciones previas que se tienen que cumplir para que el edificio sea positivo es enorme: edificatorias, de componentes y materiales, legales, conceptuales, medioambientales, de capacitación, hábitos, comunicación, económicas, tecnológicas y, finalmente, que todo ello pueda ser cuantificado, medido y evaluado. A su vez, incorpora técnicamente criterios asociados a la economía circular y análisis de ciclo de vida, su impacto cada vez mayor en la industrialización de la construcción y el control de costes. Se trata, también, de una cuestión de escala. De lo contrario, su impacto socio-económico-ambiental no se producirá. Es notorio que existen edificaciones de este tipo desde hace décadas. Pasiva positiva es un concepto singular para describir estos edificios que ya se ha adoptado globalmente. En el ámbito nacional de momento, se ha utilizado el concepto y la nomenclatura empleada en el Reino Unido, y se considerará como un objetivo en la Unión Europea para la eficiencia energética de los edificios en la próxima década 2030-2040, si no antes.
Culturalmente, aun cuando no sea el foco de este artículo, el edificio positivo es una vía más que constata la dimensión relacional de nuestro modo de vivir y su evidente dimensión global. Introduce de modo real y fehaciente para el usuario no profesional la diferencia entre escasez y límite de los recursos del planeta. En un edificio positivo, no por auto-generar su energía se deja de considerar el límite de los mismos y su gestión y disponibilidad más allá de la propia edificación.
2. EXPERIENCIA TÉCNICA Y REQUISITOS DE DISEÑO
Técnicamente, pasiva positiva es un edificio de consumo casi nulo bajo estándar passivhaus premium2 en régimen de autoconsumo -off-grid-. En el siguiente gráfico se sintetiza la operación del edificio:




Como tal, el edificio obtiene su balance energético nulo o cero con respecto a sí mismo y produce energía para la movilidad y la ciudad. Tiene, dado su carácter demostrativo, peculiaridades constructivas como partes vistas, distinto tipos de hermeticidad, limitación de la generación, etc. En todo caso, un edificio aislado tipo unifamiliar para el que hay que diseñar, construir y calcular atendiendo a tres requisitos y por este orden:
• Reducción dramática de la demanda de energía del propio edificio. Del 95% en comparación con un edificio convencional. Más allá del legalmente considerado edificio de consumo casi nulo. Esto implica un pre-requisito técnico que, con frecuencia, viene a menos cuando se abordan los edificios sostenibles: sólo si antes hemos reducido la demanda de energía al máximo, es realista abordar el abastecimiento de energía renovable de estos edificios. Con el añadido de que, de no ser así, produce un debate distorsionado sobre si los edificios podrán o no hacerlo al no tener superficie en cubierta, orientación, situaciones específicas de rehabilitación, etc. Y el colofón de lo que sea prioritario: políticas de generación de energía renovable o de rehabilitación de edificios y la así denominada eficiencia energética. La demanda de calefacción y refrigeración de Pasiva Positiva es de 5 kwh/m2a y 12 kwh/m2a respectivamente.
• Almacenamiento y gestión de la energía. La gestión de la energía es la clave para atender las tres demandas del edificio (edificio, movilidad, ciudad). En este caso, el abastecimiento se produce por energía solar fotovoltaica. Con los conocidos condicionantes que presenta a lo largo del día y del año. Dispone de 10 kW de almacenamiento.
• Generación. El campo solar en cubierta es de 10 kW. Técnicamente, la generación es el menor de los problemas en este caso, se pueden instalar más paneles solares o más capacidad de almacenamiento, pero esto dilataría en el tiempo excesivamente el periodo de retorno de la inversión. La captación está dimensionada para estar en el límite de lo que la gestión de la energía requiere y, voluntariamente, no incurrir en el consumo indiscriminado del recurso. Sin provocar, tampoco, el denominado efecto rebote3 de la eficiencia. Para que, dentro y fuera del edificio, se experimente un uso y hábitos de sus habitantes en modo que se pueda comprender la diferencia entre escasez y límite de los recursos como parámetros medioambientales y cómo no supone renuncia al confort o la salud. Contrariamente a lo que se tiende a creer, la generación es la tercera cuestión en un edificio positivo. El gráfico de generación es el siguiente:

3. LOS MATERIALES CERÁMICOS Y LA REDUCCIÓN DE LA DEMANDA DEL EDIFICIO
En el sine qua non del primer punto recién indicado –reducción de la demanda- es donde los materiales cerámicos han sido utilizados en pasiva positiva:
• Como elemento estructural
• De la envolvente del edificio -paramentos verticales y cubiertas-
• Interiorismo
No hay que olvidar que estos materiales deben operar durante toda la vida útil del edificio. Esto es, la elección de materiales y componentes se realiza bajo la premisa de su calidad, inexcusable para el aseguramiento de las prestaciones energéticas, de confort y salud que el edificio debe garantizar a lo largo del tiempo.
A continuación, describimos cada uno de los elementos.
3.1. Estructural
El proyecto explora las innovaciones de la Termoarcilla en su faceta estructural combinando los bloques clásicos con los rectificados, que reducen la cantidad de mortero utilizado en las juntas agilizando el proceso constructivo y mejorando las prestaciones térmicas del producto. La sencillez del sistema nos permite conseguir una puesta en obra de calidad excelente, exigencia ineludible para alcanzar las características del edificio pasivo positivo definidas en proyecto. Los muros de carga cerámicos sirven de apoyo a una cubierta de entramado ligero de madera, que optimiza el comportamiento energético sin añadir peso excesivo a la estructura.
3.2. Envolvente del edificio
• Fachada
El muro estructural de Termoarcilla, con una conductividad térmica de 0,214 W/ mK, combinado con un SATE, forman parte de la capa de aislamiento que envuelve el espacio interior y controla el flujo de energía entre interior y exterior. Además de su capacidad aislante, la Termoarcilla aporta la inercia necesaria en esta latitud para optimizar el confort en los meses cálidos. La capa de enlucido en la cara interior de la Termoarcilla hace de protección hermética frente a las infiltraciones de aire no deseadas.
• Puentes Térmicos
El sistema de aislamiento por el exterior permite evitar los puentes térmicos y dar continuidad al aislamiento de fachada con el de cubierta y suelo. Además de la pieza base, el sistema de Termoarcilla cuenta con una serie de piezas especiales para resolver los puntos singulares de la obra. Entre ellas, se emplean piezas de modulación horizontal realizadas con material aislante para ajustar la longitud del muro en las hiladas, sin tener que recurrir al corte de piezas base y a la colocación de juntas de mortero para la unión entre bloques.
Se trabaja con especial atención el detalle de la colocación de la ventana anclada en el muro de Termoarcilla y dando continuidad a la capa de aislamiento exterior para minimizar las pérdidas a través de este puente térmico de gran impacto en el edificio por su elevada longitud, igual a todo el perímetro de las ventanas. Igualmente se realiza una conexión hermética uniendo la ventana con la capa de enlucido interior. La clave no solo es el detalle sobre papel, sino su puesta en obra, que altera el orden tradicional de organización de los gremios para conseguir la excelencia de la construcción, exigiendo una recualificación de los profesionales de la edificación que trabajan con materiales cerámicos.










• Cubierta
La cubierta de entramado ligero de madera, con aislamiento entre cabios para encontrar la mejor relación entre espesor-pesoaislamiento, se protege al exterior con teja cerámica tradicional con dos sistemas en cada uno de los faldones: sin ventilar con colocación con mortero y ventilada, fijada en seco sobre rastreles, montaje recomendado por los fabricantes por su mejor comportamiento higrotérmico y sus ventajas constructivas. El objetivo es la monitorización de las temperaturas superficiales interiores para ver el impacto de la ventilación de la cubierta y su consecuente impacto en el ambiente interior. La barrera hermética interior se realiza con paneles OSB. La cubierta sirve de soporte para el sistema de paneles fotovoltaicos que suministra energía del edificio positivo.

3.3. Interiorismo
La percepción que el usuario tiene de la casa pasiva es difícil de explicar sin la experiencia misma de lo que significa un cuerpo humano dentro de ese espacio. Las percepciones sensoriales difieren de las de la casa convencional y de lo que nuestro imaginario cultural entiende por casa. En los edificios pasivos, la piel es el órgano protagonista y, el oído, el sentido principal. Esto obliga a que la percepción del confort y la salud que la casa ofrece exija, también, aportaciones técnicas de disciplinas propias del campo de las ciencias sociales (psicología, sociología, comunicación, etc.). La presencia en pasiva positiva de una pared interior de Termoarcilla vista tiene este objetivo: comunicar como percepción estética toda la dimensión técnica del material embebido en la construcción y, en consecuencia, invisible a los ojos del usuario.
“Haiku seen in clay”4, dice Francia de la cerámica. En su versión más básica de arcilla cocida, la pared de Termoarcilla expone su calidad matérica y, simplemente, basta dejarla hablar.
Los artículos técnicos son facilitados por Hispalyt (asociación española de fabricantes de ladrillos y tejas de arcilla cocida) y forman parte de los programas de investigación que desarrolla sobre los distintos materiales cerámicos y su aplicación.

1 Li, X., J. Patterson, E. Coma Bassas, and P. Jones. "A feasibility study to evaluate the potential replication of an energy positive house in the UK." IOP Conference Series: Earth and Environmental Science 329.1 (2019)9.
2 Actualmente, se encuentra en proceso de Certificación.
3 El efecto rebote -rebound effect o take-back- se presenta cuando, al aumentar la eficiencia energética de una vivienda, se genera un ahorro económico que induce a aumentar el consumo y, en consecuencia, un incremento de la factura de la energía. Esto es, la eficiencia y el ahorro energético, paradójicamente, produce mayor consumo. El usuario se comporta gastando más al pensar que, esos ahorros iniciales, le ofrecen margen de gasto.
Fuentes de las imágenes
Figuras 1, 3, 4, 5, 8, 9, 10, 11, 12, 13, 14, 15, 16, 17, 18: Pasiva Positiva
Figuras 2, 6, 7: Pasiva Positiva y Vand arquitecura www.pasivapositiva.com
4 “Haiku visto en arcilla”. Francia, L. "Clay." The Yale Review 107.3 (2019): 108-108. Para una visión del debate histórico sobre el efecto rebote y sus efectos económicos, véase Greening L. & Greene, D. “Energy use, technical efficiency, and the rebound effect: a review in the literature (final report)”: Colorado, 1998. Hagler Bailly Services. Para un ejemplo de caso en España: Freire, J. “Un modelo Input-output de la energía para la estimación del efecto rebote indirecto en los hogares”. En: Cámara, A.; Cardenete, M. A.; Medina, A. y Monrobel, J. R. Eds.: IV Jornadas Españolas de Análisis Input-Output, Universidad Rey Juan Carlos, Madrid, 2011.
+ en www.conarquitectura.com
Producto: Termoarcilla y teja cerámica
Dirigido a: Proyectista
Contenidos: Diseño
Artículo Técnico
Análisis de puentes térmicos de fachada autoportante de ladrillo caravista, STRUCTURA, para edificios ECCN y Passivhaus
Jesus Ángel Duque, Dr. Arquitecto
Victor Alesanco, Ing. Industrial
RESUMEN
Desde la aprobación del Código Técnico de la Edificación, (CTE en adelante), allí por el año 2006, se han ido aumentando las exigencias para el control de la demanda y el consumo de Energía de los edificios, que se sustancian en el Documento Básico de Ahorro de Energía (HE).
Desde el primer texto aprobado se han ido sucediendo diversas modificaciones, la última el pasado 20 de diciembre de 2019, en período transitorio en el momento en el que se escribe este artículo, pero con la esperanza de que esté vigente en el momento en el que se publique.
Todas ellas,han supuesto un endurecimiento en las condiciones a tener en cuenta en el proyecto y construcción de los edificios, y que en calidad de proyectistas y/o directores de obra deberemos satisfacer para dar cumplimiento al requisito reglamentario.
Así,subyace,en el texto las políticas de la comisión europea de descarbonizar el parque residencial en el horizonte del 2050, con reducciones del consumo de Energía primaria en los edificio del entorno del 90%, y en consecuencia, la necesidad de construir bajo el concepto de Edificio de Consumo Casi Nulo, definido en el marco normativo español como “edificio, nuevo o existente, que cumple con las exigencias reglamentarias establecidas en este Documento Básico “DB HE Ahorro de Energía” en lo referente a la limitación de consumo energético para edificios de nueva construcción”.
Cabe mencionar en este contexto de exigencia, la aparición de certificaciones y estándares internacionales que buscan la excelencia en los edificios que se proyectan y construyen bajo los criterios que establecen.
Sin duda, el de mayor relevancia y penetración a nivel internacional en materia de eficiencia energética es el estándar Casa Pasiva de PassivHaus Institut.
Se trata, éste, de un estándar de construcción de todo tipo de edificios, de alta eficiencia energética, con un elevado nivel de confort (CLASE A s. UNE EN ISO 7730) y económicamente sostenibles. El origen del estándar lo encontramos en a finales de los 80 en Alemania, a partir de las investigaciones de los profesores Bo Adamson y Wolfang Feist.
Podríamos definir un edificio PassivHaus, en origen, como aquel en el cual, la cantidad de energía necesaria para proporcionar el confort interior puede ser aportada únicamente a través del sistema de ventilación.
Existe abundante literatura, cada vez más accesible para el mercado español, sobre los principios de aplicación del estándar. Podemos sustanciar que el objetivo anterior se consigue aplicando ciertos invariantes al proceso constructivo, como son:
a) Elevado nivel de aislamiento.
b) Minimización de los puentes térmicos de la construcción.
c) Empleo de ventanas de altas prestaciones [Se debe entender la ventana como el conjunto de marco y vidrio debiendo ponderarse las pérdidas y las ganancias solares a través de éstos componentes].
d) Alta hermeticidad.
e) Ventilación Mecánica de doble flujo con recuperación de calor.
Tal y como observamos, el concepto de aislamiento está presente en tres de los pilares, siendo uno de ellos la eliminación, mejor control por lo que veremos más adelante, de los puentes térmicos.

En este marco global, tanto desde la óptica reglamentaria, CTE, como desde la aplicación de estándares de alta eficiencia, CASA PASIVA, se muestra como fundamental el control de la demanda de energía de los edificios, garantizando la calidad de la envolvente térmica, para limitar así necesidad de recursos para que en el interior de los edificios se alcancen las condiciones de confort. Es evidente, en este punto que no se puede alcanzar el control efectivo de la demanda en los edificios sin un diseño adecuado para minimizar el efecto de los puentes térmicos. Es decir no se podrá alcanzar las prestaciones de un ECCN, si un adecuado diseño de la envolvente térmica minimizando la incidencia de éstos.
Además, deberemos proyectar y construir la envolvente de manera, que, sus prestaciones no se mermen ni desaparezcan durante la vida útil del edificio.
En este sentido, se deben considerar en el diseño las condensaciones intersticiales, que son las que afectan a durabilidad de los componentes de la envolvente, y, en consecuencia, las que tendrán incidencia en el sostenimiento de las propiedades térmicas a lo largo de la vida del edificio.
Por otra parte, en el diseño deberemos tener en consideración las condensaciones superficiales, que afectan a la salubridad del ambiente interior, tratadas en el documento CTE DB HS, y que el estudio también considera.
Así, en los últimos años han proliferado sistemas constructivos que buscaban disponer un aislamiento continuo por el exterior,para minimizar el efecto de los puentes térmicos.
En este contexto se pretende el análisis de los puentes térmicos del sistema constructivo de fachada autoportante de ladrillo cara vista, STRUCTURA, tanto desde el punto de vista de la eficiencia energética como desde la salubridad.
Este sistema aúna la técnica constructiva usando fábricas de ladrillo vista, de amplia tradición en España, con la posibilidad de disponer un aislamiento continuo por el exterior, posibilitando su empleo en la construcción de los edificios de consumo casi nulo. [ECCN]
Los resultados del estudio se muestran en forma de atlas, para facilitar el empleo del sistema constructivo a los proyectistas, dotándoles de una herramienta de predimensionado precisa, tanto en el campo del cumplimiento normativo, como en el de las certificaciones energéticas independientes como el mencionado estándar CASA PASIVA.
DESCRIPCIÓN DEL SISTEMA CONSTRUCTIVO STRUCTURA
STRUCTURA® es la marca registrada por los fabricantes de ladrillo cara vista de HISPALYT para denominar a las fachadas autoportantes de ladrillo cara vista.
En la actualidad, el único sistema constructivo reconocido por la marca STRUCTURA es el sistema G.H.A.S.® (Geo-Hidrol Advanced System) desarrollado por la empresa GEO-HIDROL.
Este sistema constructivo se basa en el empleo de anclajes de retención y armaduras de tendel para la ejecución de muros de albañilería autoportantes, para su uso como hoja exterior en cerramientos de fachada ventilada o no ventilada.
El sistema propuesto hace posible la continuidad vertical del muro pasante por delante de la estructura, gravitando en toda su altura sobre si mismo, sin juntas horizontales de movimiento ni angulares de apoyo.

El sistema permite la ejecución de una cámara entre la hoja de albañilería y la estructura de espesor hasta 200 mm que puede ser rellenada de aislamiento térmico.
PUENTES TÉRMICOS
EN LOS EDIFICIOS
El Código Técnico de la Edificación, en su Documento Básico HE, sección HE1, define puente térmico como aquella zona de la envolvente térmica del edificio en la que se evidencia una variación de la uniformidad de la construcción, ya sea por un cambio del espesor del cerramiento o de los materiales empleados, por la penetración completa o parcial de elementos constructivos con diferente conductividad, por la diferencia entre el área externa e interna del elemento, etc., que conllevan una minoración de la resistencia térmica respecto al resto del cerramiento.
La norma UNE-EN ISO 10211 define puente térmico como aquella parte del cerramiento de un edificio donde la resistencia térmica normalmente uniforme cambia significativamente debido a:
· penetraciones completas o parciales en el cerramiento de un edificio, de materiales con diferente conductividad térmica;
· un cambio en el espesor de la fábrica;
· una diferencia entre las áreas internas o externas, tales como juntas entre paredes, suelos, o techos.
Podríamos agrupar los puentes térmicos en:
· Constructivos: aquellos que se producen por variaciones de conductividad y/o espesor del cerramiento. En definitiva, donde se produce una variación de la resistencia térmica en el cerramiento.
· Geométricos: aquellos que tienen que ver con la diferencia de área entre la cara interior y exterior del cerramiento.
El estándar Casa Pasiva promulga una construcción “libre de puentes térmicos”, considerándose ésta, aquella en la que el valor de la conductividad lineal es inferior a Ψ < 0.01 W/mK o el producto de la densidad de puntuales (m-2) por su conductividad es inferior a nΧ < 0.01 W/m2K, medidos, ambos, en un sistema dimensional exterior.
Como veremos, más adelante, los puentes térmicos constructivos son inevitables e inherentes a la propia construcción, por lo que se debe minimizar su efecto desde las primeras fases de proyecto.
Además de la connotación energética ya esbozada, los puentes térmicos son partes sensibles de los edificios al aumentar en ellos el riesgo de formación de mohos por condensaciones superficiales debidas a la disminución de la temperatura de las superficies interiores (análisis en condiciones de invierno). Esta incidencia, en la salubridad del espacio, debe ser tenida en cuenta también por el proyectista.
Dicho lo anterior, en el estudio de los puentes térmicos del sistema STRUCTURA se ha han tenido en cuenta:
ASPECTOPROPIEDAD
Energético
Salubridad
Confort
Conductividadlineal[Ψ]
Conductividadpuntual[Χ]
Factorderesistenciasuperficial[Frsi]
Sinincidenciaenelámbitodelestudio
CONSIDERACIONES EN EL CÁLCULO DE LOS ASPECTOS ENERGÉTICOS
El efecto en el flujo de calor a través de la envolvente de un edificio que producen los puentes térmicos es la aparición de componentes bidimensionales o tridimensionales, en lugar del comportamiento unidimensional, que aparece en los cerramientos homogéneos y que se caracteriza definiendo la transmitancia térmica del componente
U [W/m2K].
Así, la formulación general del flujo de calor a través de un cerramiento se puede expresar, de forma simplificada, como:
Ecuación 1: Expresión global simplificada de la transferencia de calor
Donde:
ΦT flujo de calor por conducción [W]
U transmitancia térmica del elemento i de la envolvente [W/m2K], de área A [m2]
Ψj transmitancia térmica lineal del encuentro j del edificio [W/mK] y Lj la longitud de ese encuentro [m]
Χk transmitancia térmica del puente térmico puntual k [W/K]
U m transmitancia térmica media de la envolvente [W/m2K] incluido el efecto de los puentes térmicos
A t superficie total de transmisión [m2]
El primer término de la ecuación expresa el comportamiento global adicionando el efecto del flujo unidimensional (U), el flujo bidimensional (Ψ) y el tridimensional (Χ).
Si despreciamos el efecto del flujo tridimensional tenemos:
Ecuación 2: Expresión global simplificada de la transferencia de calor sin contribución del flujo tridimensional
Así despejando en (2) podemos expresar la transferencia térmica adicional que se produce por un flujo bidimensional (puente térmico lineal) en un cerramiento, con relación a la transferencia térmica unidireccional que se produciría en el mismo, como:

Donde:
Ψ transmitancia térmica [W/mK]
Ecuación 3: Transferencia térmica adicional referida a la unidimensional
Φ2D flujo de calor a través del elemento analizado mediante un modelo bidimensional [W]
L longitud del encuentro [m]
θ -θ e diferencia de temperaturas entre interior y exterior [K]
Ui transmitancia térmica del elemento adyacente i [W/m2K]
Ai superficie a la que se aplica el valor Ui [m2]
De la ecuación anterior, una vez conocido el flujo de calor bidimensional, puede deducirse el valor de la conductividad lineal vinculada al puente térmico analizado por unidad de longitud. La obtención del valor de φ2D se ha llevado a cabo con el software apropiado basado en elementos finitos1
De la ecuación (3) se deduce que el efecto del componente bidimensional es función del componente unidimensional [A x Ui].
En consecuencia el valor de la conductividad lineal es función del sistema dimensional con el que se compute el flujo de calor, es decir, variará el valor de Ψ, en función de cómo se contabilice el valor [Ai x U ], en dimensiones interiores (CTE) o exteriores (estándares Casa Pasiva y Enherphit).

En definitiva el valor de la conductividad puente térmico es un “corrector” a la cantidad de calor que computamos en el análisis unidimensional.
CONSIDERACIONES EN LA COMPROBACIÓN DE LOS ASPECTOS DE SALUBRIDAD
Las condensaciones superficiales suponen un riesgo para la salud de los ocupantes de un edificio, al propiciar la formación de moho. Se ha comprobado que este riesgo se incrementa significativamente al mantenerse valores de humedad relativa por encima del 80% durante días.
La limitación del riesgo de formación de moho puede simplificarse exigiendo al cerramiento que en ningún momento se alcance, en su punto más frío2, humedades relativas por encima del 80%.
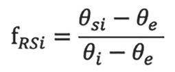
El método del factor de resistencia superficial3 permite esta comprobación. En este método se efectúa una comparación entre dos factores adimensionales, el de la temperatura de la superficie interior del cerramiento (fRSI) y el de la temperatura de la superficie interior mínimo aceptable (fRSI.min) que hace que no se alcance el riesgo de formación de moho en el cerramiento.
Se deberá verificar que:
Donde:
θsi
θ
θ e
θsi.min
fRsi.min
fRsi



Temperatura mínima en la superficie interior del cerramiento (°C)
Temperatura del ambiente interior (20 °C)
Temperatura del ambiente exterior (0°C)
Temperatura en la superficie interior del cerramiento aceptable (°C)
Factor de temperatura superficial aceptable (°C)4
Factor de temperatura superficial interior (°C)
El valor de fRSI podemos obtenerlo a partir de aplicaciones específicas o a partir de la obtención de la temperatura mínima de la superficie interior del área de influencia del puente térmico. Se considera que el valor de fRSI es independiente a los valores de temperatura interior y exterior a los que se refiera5
La temperatura superficial interior se obtiene con un valor de Resistencia superficial interior independiente de la dirección del flujo de calor de 0.25 m2K/W, para valorar el aumento de la capacidad de aislamiento de la película anterior al cerramiento por efecto del mobiliario, cortinas, esquinas, etc.
El valor de fRSI.min será función del clima y de la higrometría del espacio interior, ya que según la ecuación anterior, depende de que es función del clima y que es función de la higrometría del espacio (en edificios clase III).
Para el cumplimiento de la exigencia DB HE, encontramos tabulado el valor fRSI.min para cada una de las zonas climáticas de invierno consideradas en el CTE, en la Tabla 1 del DA-DB-HE-2_Condensaciones
De forma análoga, para la certificación Casa Pasiva o Enerphit, debemos considerar los siguientes valores de fRSI.min en función de la zonificación climática que establece PassivHaus Institut.

1 Sehan empleado en este estudio FLIXO ENEGY PLUS 7.0 y MOLD 4 DYNAMIC
2 Obviamente se trata de la zona de influencia de los puentes térmicos que existan en el cerramiento.
3 UNE EN ISO 13788: 2002
4 Función de las condiciones interiores de temperatura y humedad relativa.
5 Puede admitirse esta simplificación en las condiciones normales de uso de los edificios.
7 Transmitancia de la ventana, obtenida de acuerdo con al apartado 2.1.4.1. del documento DADB-HE-1. Se considera en el cálculo la influencia del marco, vidrio, acoplamiento marco – vidrio y acoplamiento marco – muro.
8 Ver valores en el atlas.
DESCRIPCIÓN DE LOS PUENTES TÉRMICOS ANALIZADOS EN EL TRABAJO
El análisis de los puentes térmicos se ha realizado en función de diferentes calidades de envolvente térmica, es decir, con mayor o menor cantidad de aislamiento. El cerramiento se ha definido a partir del DAU del sistema, modificándose, únicamente el espesor de aislamiento a 100 mm, 150 mm y 200 mm.
Los valores de transmitancia de muro utilizados para cada espesor de aislamiento son:
Transmitancia,Um [W/m2K]EspesorAislamiento,e [mm]
0,308W/m2K100mm
0,218W/m2K150mm
0,168W/m2K200mm
En el estudio se ha considerado un aislamiento convencional con una conductividad térmica lineal λ = 0.037 W/mK.
A efectos de cálculo no se ha considerado la adhesión de una cámara de aire ventilada entre el aislamiento y el ladrillo caravista puesto que su consideración no es significativa en el valor de la conductividad lineal del puente térmico, siendo del orden de la centésima.
Los materiales empleados en los modelos térmicos y su codificación y propiedades son:
λ (W/mK) e (mm)
Fábricadeladrillointerior0.430 70
Fábricadeladrilloexterior0.570 120
Hormigónarmado2.500
Ventanatipo0.104 10
Maderagenérica0.130
Piedra2.000
Aislamiento0.037
La codificación utilizada para la identificación de puentes térmicos es la siguiente:
ME: Muro exterior
FO: Forjado
CU: Cubierta
VI: Alfeizar de ventana
VS: Dintel o jamba de ventana
LP: Losa de piso o solera
EsIn: Esquina cóncava
EsEx: Esquina convexa
FAMILIAS DE PUENTES TÉRMICOS
1. Esquina
Se analiza esquina cóncava y esquina convexa


2. Canto de forjado
Por la propia definición del sistema, se considera el aislante pasando por el frente del forjado, de ahí que los valores de conductividad térmica lineal sean muy bajos.
Se considera todo el espesor del forjado es de hormigón, obviándose la incidencia de las piezas de aligeramiento, debido a que, previsiblemente en el borde aparecerá una zona macizada.
Se ha tabulado la solución para cantos de forjado de 200 mm, 250 mm, 300 mm.
Para los casos en los que el aislante sea pasante en la mitad de su espesor, simplificando, podremos tomar los valores del atlas multiplicados por el coeficiente (α) que se aporta a continuación en función del sistema dimensional empleado.
50 = α ΨATLAS
Espesor aislante (mm)200150100
Sist. Dim. exterior 272116
Sist. Dim. interior 2.0
3. Tabiquería
Se evalúa en esta familia la incidencia que tiene en el cerramiento el encuentro con la tabiquería interior.
4. Ventanas
La instalación de la ventana es uno de los aspectos que más influye en el cálculo del puente térmico. Por ello, esta familia se ha desagregado en tres posibilidades de instalación:
I. haces interiores
II. haces exteriores
III. haces intermedios


Para cada una de ellas se ha procedido al cálculo del valor Ψ y del valor fRSI de jambas, dinteles y alféizar. Para estos últimos se han introducidos albardillas con inclinación.
La variación de la Uw, apenas influye en el valor de Ψ, tomando como referencia valores normales para el cumplimiento de la exigencia del CTE y Passivhaus. Por este motivo, para los cálculos, se ha considerado un único valor Uw7= 1.40 W/m2K.
Se supone una mínima continuidad entre el aislamiento de fachada y la carpintería de la ventana. La colocación de la ventana a haces exteriores, sobre la fábrica, no es recomendable en zonas climáticas D y E, ya que no se garantiza el valor mínimo de FRSi 8
Haces ExterioresHaces IntermediosHaces Interiores



PT05.VentanaHazEPT06.VentanaHazMPT05.VentanaHazI
5. Arranque de fachada, suelos y losas de piso
Esta familia se desagrega en dos subgrupos, suelo en contacto con el terreno y suelo en contacto con espacio no calefactado.
Suelo en contacto con espacio no calefactado

Suelo en contacto con el terreno Suelo en contacto con espacio exterior


Los valores de transmitancia de componente utilizados para los cálculos de esta familia son:
ComponenteTransmitancia,Us [W/m2K]
Suelo–terrenoconaislamientoensolerade10cm 0,332W/m2K
Suelo–espaciocalefactadosinaislamiento 2,267W/m2K
Suelo–espacionocalefactadoconaislamientode5cm 0,558W/m2K
Sueloplantaprimera–plantabajaconaislamientode10cm 0,304W/m2K
6. Cubierta
Se analiza en esta familia el puente térmico que se produce en el encuentro entre cubierta plana y fachada.
En cuanto a los espesores de aislamiento de fachada se mantiene el criterio de las condiciones generales y para cubierta se consideran los siguientes:
Transmitancia,Uc [W/m2K]EspesorAislamiento,e [mm]
0,333W/m2K100mm
0,229W/m2K150mm
0,175W/m2K200mm

PT11. ME – CU
7. Conector de balcón o “ruptor de puente térmico”
Por la propia descripción este conector busca reducir el valor del puente térmico y el efecto en la demanda con la introducción de un elemento aislante en el forjado. Para el estudio de los conectores de balcón se ha establecido un forjado tipo de 250 mm, ya que el espesor de forjado no tiene prácticamente influencia en el valor del puente térmico lineal del detalle constructivo.
La configuración de la solución constructiva es la siguiente:


8. Anclaje puntual
Se trata de un anclaje metálico que sirve de estructura para el cuelgue de la fábrica, al que se le adosa, en su caso, una lámina de caucho de espesor 3 mm y conductividad térmica (0.04 W/mK). La cuantía considerada en los cálculos es de 0.64 ud/m2, que se corresponde con la práctica habitual del sistema.
Se muestra en el diagrama, en verde, el espacio ocupado por el anclaje.



ATLAS DE PUENTES TÉRMICOS Y ARCHIVOS GRÁFICOS PARA THERM
Como resultado del estudio se han desarrollado una serie de tablas con valores para los distintos puentes térmicos de un edificio con fachada autoportante Structura.
De este modo, empleando dichas tablas, el proyectista puede encontrar: el valor de transmitancia térmica lineal (ψ (W/m K) o puntual (χ (W/K) (según sea el caso) de cada puente térmico, necesario para realizar el cálculo térmico global de su edificio, así como el valor del factor de temperatura de la superficie interior del cerramiento (fRsi), necesario para evaluar la limitación del riesgo de formación de condensaciones superficiales.
A continuación, se muestra un ejemplo de dichas tablas del caso del encuentro de la fachada con el frente del forjado. El atlas completo se puede descargar de la página web de Structura, www.structura.es.
Adicionalmente, a dichas tablas en el informe del estudio se incluye el cálculo detallado de los valores mostrados en el atlas con software de elementos finitos.
Además del atlas, el proyectista tiene a su disposición los archivos gráficos para el cálculo de los puentes térmicos con el software gratuito Therm, con el fin de que el usuario pueda adaptarlos a las particularidades de su proyecto.

4: Puentes térmico lineal del encuentro de la fachada Structura con el frente del forjado.


6: Puentes térmico puntual de los anclajes de retención de la fachada a los pilares.


Figura 7: Ejemplo cálculo detallado de puente térmico. Encuentro de la fachada Structura con el frente del forjado. PT03 ME – FO-20 200 MM. Cálculo detallado e isotermas.
CONCLUSIÓN
Las exigencias, cada vez más elevadas, y en continua revisión, hacen que los agentes intervinientes en el proceso constructivo exijan mayor conocimiento de los materiales y sistemas constructivos que utilizan, tanto el marco del mero cumplimiento normativo, CTE, como el manejo de otros estándares de calidad, como puede ser la certificación Casa Pasiva.
En el camino que transitamos hacia los Edificios de Consumo Casi Nulo, nuestra técnica constructiva ha de adoptar ciertas sensibilidades que han estado desterradas de nuestra práctica constructiva por diversos motivos, y que ahora están considerando, como son el control de los puentes térmicos y de la hermeticidad en los edificios.
En este marco, la necesidad de proporcionar a las proyectistas herramientas que les sirvan a priori para el conocimiento del sistema constructivo elegido, no hará sino redundar en la fiabilidad del uso del sistema y en la puesta en valor del mismo frente a otras técnicas disponibles.
Este atlas pretende ser utilizado para el predimensionado de los componentes de la envolvente térmica, tanto en el proceso de certificación Casa Pasiva o Enerphit de PassivHaus Institut, o el mero cumplimiento de nuestro marco normativo.
Los artículos técnicos son facilitados por Hispalyt (asociación española de fabricantes de ladrillos y tejas de arcilla cocida) y forman parte de los programas de investigación que desarrolla sobre los distintos materiales cerámicos y su aplicación.
+ en www.conarquitectura.com
Producto: Ladrillo cara vista
Dirigido a: Proyectista
Contenidos: Diseño