Azee Tablets (Generic Azithromycin Dihydrate Tablets)

Page 1

© Clearsky Pharmacy ( www.clearskypharmacy.biz )
Azee Tablets (Generic Azithromycin Dihydrate Tablets)

Azee Tablets (Generic Azithromycin Dihydrate Tablets)

Azee (Generic Azithromycin Dihydrate Tablets) is a macrolide antibacterial medicine used to treat mild to moderate infections caused by designated, susceptible bacteria. Azee tablets are used to treat Acute bacterial exacerbations of chronic bronchitis in adults, Acute bacterial sinusitis in adults, Uncomplicated skin and skin structure infections in adults, Urethritis and cervicitis in adults, Genital ulcer disease in men, Acute otitis media in pediatric patients (6 months of age and older), Community-acquired pneumonia in adults and pediatric patients (6 months of age and older) and Pharyngitis / tonsillitis in adults and pediatric patients (2 years of age and older).

© Clearsky Pharmacy ( www.clearskypharmacy.biz )

Azee Tablets (Generic Azithromycin Dihydrate Tablets)

Active Ingredient

The active ingredient present in Azee tablets is Azithromycin Dihydrate. Each tablet contains 250 mg, 500 mg, or 1,000 mg of Azithromycin (anhydrous) as Azithromycin Dihydrate, IP.

© Clearsky Pharmacy ( www.clearskypharmacy.biz )

Azee Tablets (Generic Azithromycin Dihydrate Tablets)

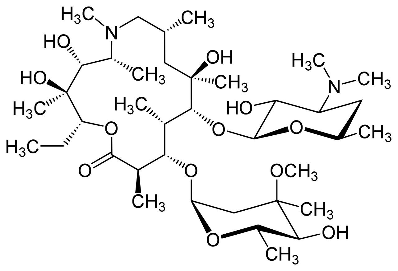
Chemical Structure

The structure of Azithromycin Dihydrate is given below:

© Clearsky Pharmacy
www.clearskypharmacy.biz )
(

Azee Tablets (Generic Azithromycin Dihydrate Tablets)

Azee Tablets are manufactured by Cipla Limited, India in the strengths of 100 mg (DT), 250 mg, 500 mg and 1000 mg. ( Website: https://www.cipla.com/ )

URL:https://www.clearskypharmacy.biz/generic-zithromax-azee-by-cipla.html

© Clearsky Pharmacy
www.clearskypharmacy.biz )
(

Azee Tablets (Generic Azithromycin Dihydrate Tablets)

Azithromycin Dihydrate Tablets – Brand Names

Azithromycin tablets are available under various drug trade names that Zithromax, Azee, Azimax, Zitrocin, Zedd, Atryn, Zady, Auricin, Avindo, Avitla and Avzeth.

© Clearsky Pharmacy
)
( www.clearskypharmacy.biz

Azee Tablets (Generic Azithromycin Dihydrate Tablets)

Uses of Azee 100 mg (DT), 250 mg, 500 mg and 1000 mg Tablets

Azee (Azithromycin Dihydrate Tablets) is used to treat certain bacterial infections in many different parts of the body. This medicine may mask or delay the symptoms of syphilis. It is not effective against syphilis infections.

Azithromycin belongs to the class of drugs known as macrolide antibiotics. It works by killing bacteria or preventing their growth. However, this medicine will not work for colds, flu, or other virus infections.

URL:https://www.clearskypharmacy.biz/generic-zithromax-azee-by-cipla.html

© Clearsky Pharmacy
www.clearskypharmacy.biz )
(

Azee Tablets (Generic Azithromycin Dihydrate Tablets)

Azee Tablets Dosage

The recommended adult dosage of Azee tablets (Azithromycin Dihydrate Tablets) is given below. You may take this medication with food if stomach upset occurs. Mild to moderate lower respiratory tract infections, upper respiratory tract infections and uncomplicated skin and soft tissue infections:

Adults Dosage: 500 mg as a single dose on the first day followed by 250 mg once daily on days 2 to 5 for a total dose of 1.5 g or 500 mg once daily for 3 days.

Sexually transmitted diseases: – Gonorrhoea: 2 gm as a stat dose – Chancroid: 1 gm as a stat dose

URL:https://www.clearskypharmacy.biz/generic-zithromax-azee-by-cipla.html

© Clearsky Pharmacy ( www.clearskypharmacy.biz )

Azee Tablets (Generic Azithromycin Dihydrate Tablets)

Azee Tablets Dosage

The recommended adult dosage of Azee tablets (Azithromycin

Dihydrate Tablets) is given below.

Sexually transmitted diseases: – Non-gonococcal urethritis and cervicitis due to C. trachomatis – 1 gm as a stat dose –

Syphilis: 1 gm o.d. for 5 days or 500 mg o.d. for 10 days.

Malaria: – Prophylaxis: 500 mg on first day followed by 250 mg/day for 7 days. – Treatment: 1000 mg to 1500 mg once daily for 3 days with usual doses of chloroquine.

Acne: 250 mg to 500 mg on 3 consecutive days in a week for 12 weeks.

URL:https://www.clearskypharmacy.biz/generic-zithromax-azee-by-cipla.html

© Clearsky Pharmacy ( www.clearskypharmacy.biz )

Contraindications

Azee tablets are contraindicated in persons with a hypersensitivity (allergy) to Azithromycin, Erythromycin, any macrolide or ketolide drug or any of the other ingredients of this medicine.

Azee is contraindicated in patients with a history of cholestatic jaundice/hepatic dysfunction associated with prior use of Azithromycin.

Azithromycin tablets must not be used in patients with pneumonia who are judged to be inappropriate for oral therapy due to moderate to severe illness or risk factors that can include any of the following: Patients with cystic fibrosis; Patients with nosocomial infections; Patients with known or suspected bacteremia; Patients requiring hospitalization; Elderly or debilitated patients; or Patients with significant underlying health problems that could compromise their ability to respond to their illness (including immunodeficiency or functional asplenia).

URL:https://www.clearskypharmacy.biz/generic-zithromax-azee-by-cipla.html

© Clearsky Pharmacy ( www.clearskypharmacy.biz )
Azee Tablets (Generic Azithromycin Dihydrate Tablets)

Azee Tablets (Generic Azithromycin Dihydrate Tablets)

Storage Instructions

Azee Tablets (Generic Azithromycin Dihydrate Tablets) have to be stored at controlled room temperature i.e. from 20°C to 25°C (68°F to 77°F) with excursions permitted between 15° to 30°C (59° to 86°F).

Keep this as well as all other medicines away from children and pets.

URL:https://www.clearskypharmacy.biz/generic-zithromax-azee-by-cipla.html

© Clearsky Pharmacy ( www.clearskypharmacy.biz )

Azee Tablets (Generic Azithromycin Dihydrate Tablets)

Warnings

Serious (including fatal) allergic and skin reactions: Discontinue Azee tablets in case reaction occurs.

Hepatotoxicity: Severe, and sometimes fatal, hepatotoxicity has been reported, Discontinue Azee tablets immediately if signs and symptoms of hepatitis occur.

Infantile Hypertrophic Pyloric Stenosis (IHPS): Following the use of Azithromycin in neonates (treatment up to 42 days of life), IHPS has been reported. Direct parents and caregivers to contact their physician if vomiting or irritability with feeding occurs.

URL:https://www.clearskypharmacy.biz/generic-zithromax-azee-by-cipla.html

© Clearsky Pharmacy ( www.clearskypharmacy.biz )

Warnings

Prolongation of QT interval and cases of torsades de pointes have been reported. This risk which can be fatal should be considered in patients with certain cardiovascular disorders including known QT prolongation or history torsades de pointes, those with proarrhythmic conditions, and with other drugs that prolong the QT interval.

Clostridium difficile-Associated Diarrhea: Evaluate patients if diarrhea occurs.

Azee tablets may exacerbate muscle weakness in persons with myasthenia gravis.

URL:https://www.clearskypharmacy.biz/generic-zithromax-azee-by-cipla.html

© Clearsky Pharmacy ( www.clearskypharmacy.biz ) Azee Tablets (Generic Azithromycin Dihydrate Tablets)

Azee Tablets (Generic Azithromycin Dihydrate Tablets)

Azee Tablets Side Effects

Most common side effects of Azithromycin (Azee Tablets) are diarrhea (5% to 14%), nausea (3% to 18%), abdominal pain (3% to 7%), or vomiting (2 to 7%). The common side effects of Azee tablets are nausea, vomiting, diarrhea, or abdominal pain.

Rarely occuring side effects are Palpitations, chest pain, Dyspepsia, flatulence, vomiting, melena and cholestatic jaundice, Monilia, vaginitis and nephritis, Dizziness, headache, vertigo and somnolence, Fatigue, Rash, pruritus, photosensitivity and angioedema.

URL:https://www.clearskypharmacy.biz/generic-zithromax-azee-by-cipla.html

© Clearsky Pharmacy ( www.clearskypharmacy.biz )

Overdose

Adverse reactions observed in patients that were administered higher than recommended doses were similar to those seen at normal doses particularly nausea, diarrhea, and vomiting. In the case of overdosage, general symptomatic and supportive measures are indicated as required.

URL:https://www.clearskypharmacy.biz/generic-zithromax-azee-by-cipla.html

© Clearsky Pharmacy ( www.clearskypharmacy.biz ) Azee Tablets (Generic Azithromycin Dihydrate Tablets)

Azee Tablets (Generic Azithromycin Dihydrate Tablets)

Azee Tablets During Pregnancy

Azithromycin Dihydrate (Azee tablets) has been classified by the US FDA as Pregnancy Category B. In the animal studies, no evidence of harm to the fetus due to Azithromycin was observed. There are, however, no adequate and well-controlled studies conducted in pregnant women.

Due to the fact that animal reproduction studies are not always predictive of human response, Azithromycin should be used during pregnancy only if clearly needed. Azithromycin has been reported to be excreted in human breast milk in small amounts. Caution should be exercised when Generic Azithromycin tablets are administered to a nursing mother.

URL:https://www.clearskypharmacy.biz/generic-zithromax-azee-by-cipla.html

© Clearsky Pharmacy ( www.clearskypharmacy.biz )

Azee Tablets (Generic Azithromycin Dihydrate Tablets)

For more details on Azee Tablets click here

Azee Tablets (Azithromycin Dihydrate Tablets) by Cipla Limited, India.

URL:https://www.clearskypharmacy.biz/generic-zithromax-azee-by-cipla.html

© Clearsky Pharmacy
www.clearskypharmacy.biz )
(

Turn static files into dynamic content formats.

Create a flipbook
Issuu converts static files into: digital portfolios, online yearbooks, online catalogs, digital photo albums and more. Sign up and create your flipbook.