Thesis: Redesigning a Public Library into a Versatile Urban and Cultural Center

Page 1


INSTITUTO SUPERIOR DE ESTUDIOS CREATIVOS

Facultad de Arquitectura

Con reconocimiento de Validez Oficial de Estudios por la S.E.P.

Según Acuerdo No. 201148LADI con fecha 14 julio de 2016

Tesis:

Remodelación de la Biblioteca y Hemeroteca Pública

Dr. Enrique Barocio Barrios en Cancún, Q. Roo

Previo a obtener el grado académico de licenciado y el título de :

ARQUITECTO Y DISEÑADOR DE INTERIORES

Presentada a sinodales y directivos del Instituto Superior de Estudios

Creativos Cancún por:

CLARA ZALDIVAR VIVEROS

Cancún, Q. Roo 2018

* Nota sobre imágenes, texto y derechos de autor Todas las imágenes en esta tesis son de licencia Creative Commons Zero (CC0), fotografías propias, dibujos o renders propios. El texto también es de mi autoría, y los recursos externos están debidamente citados. Cualquier uso indebido no es intencional. Si se detecta algún incumplimiento de derechos de autor, por favor notifíqueme y lo corregiré de inmediato. Este trabajo es solo con fines académicos.

Zonificación

Terreno 3812 m²

Sala Infantil 106 m²

Sala Grupal 105 m²

Sala General 175 m²

Sala de lectura 38 m²

Sala audiovisual 71 m²

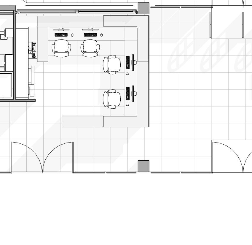
Recepción 67 m²

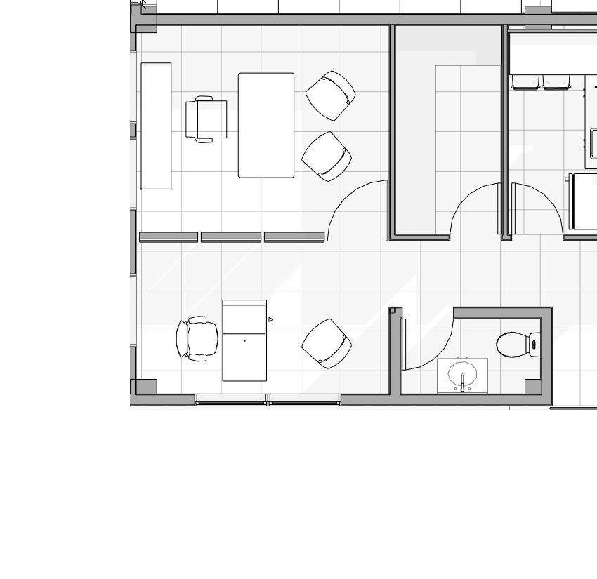
Oficina administración 31 m²

Instalaciones Hidráulicas10 m²

Instalaciones Eléctricas 25 m²

Hemeroteca 36 m²

Explanada 307 m²

Cocineta 3 m²

Bodega 3 m²

Biblioteca Digital 35 m²

Baños, vestíbulo 6 m²

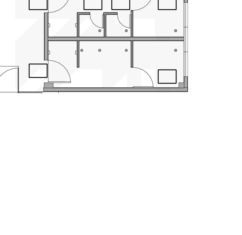
Baños M 7 m²

Baños H 11 m²

Baño Admón. 2 m² 4851 m²

Terreno

Sala

Sala

Sala

Sala

Recepción

Oficina

Instalaciones

Instalaciones Eléctricas

Hemeroteca

Explanada

Cocineta

Bodega

Biblioteca

Baños, vestíbulo

Baños M Baños H Baño Admón.

Programa Arquitectónico

Nombre Área

Áreas Verdes 2669 m²

Área para cafetería 13 m²

Zonificación

Vestíbulo 33 m²

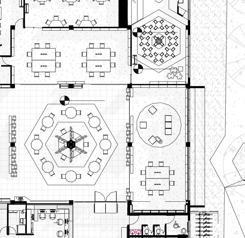
Sala Infantil (Ludoteca) 75 m²

Sala Grupal 57 m²

Sala General 215 m²

Sala de Lectura 37 m²

Sala Audiovisual 74 m²

Recepción 32 m²

Ofna. Auxiliar 9 m²

Ofna. Admón. 12 m²

Instalaciones Hidráulicas10 m²

Instalaciones Eléctricas 25 m²

Hemeroteca 42 m²

Explanada 1317 m²

Cocineta 5 m²

Cajones de estacionamiento401 m²

Bodega 5 m²

Biblioteca Digital 71 m²

Baños Mujeres 13 m²

Baños Hombres 12 m²

Baño Admón. 2 m²

Total general 5128 m²

Áreas Verdes Área para cafetería Vestíbulo

Sala Infantil (Ludoteca)

Sala Grupal Sala General

Sala de Lectura Sala Audiovisual Recepción Ofna. Auxiliar Ofna. Admón.

Instalaciones Hidráulicas

Instalaciones Eléctricas Hemeroteca Explanada Cocineta Cajones de estacionamiento Bodega Biblioteca Digital Baños Mujeres

Baños Hombres Baño Admón.

Capacidad de almacenamiento

ActualPropuesta

Libros

Sala General 6,3366,780

Sala Audiovisual 0 528

Sala Infantil 0 440

Sala Grupal 0 704

Revistas 80128

Colecciones Sala General

Según el Sistema de Clasificación Decimal Dewey (CDD)

000 Generalidades

100 Filosofía y psicología

200 Religión

300 Ciencias sociales

400 Lenguas

500Matemáticas y ciencias naturales

600 Tecnología ciencias aplicadas

700 Artes

800 Literatura

900 Historia y geografía

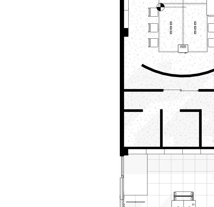
Norte del Proyecto

Croquis del Proyecto

Ubicación del Proyecto

Av.

Diseñado por:

Revisado por:

Fecha de entrega

Escala

Plano

Número de Plano

Gradas

Áreas Verdes para lectura al aire libre

Biblioteca Digital

Cocineta

Bodega SITE

Oficina Administración

Cajones de estacionamiento

Cajones de estacionamiento para personas con discapacidad

Instalaciones Eléctricas Asta bandera

Escenario para usos múltiples

Área para Realidad Virtual

Salón audiovisual

Área de taludes para lectura al aire libre

Área para grupos

Gradas y escenario en área infantil

Mural sobre la lectura, educación y cultura

Ludoteca

Área de lectura

Talud

Hemeroteca

Área para bicletas

Explanada abierta para facilitar visibilidad y acceso

Rampas de acceso para personas con discapacidad

Baños Damas Baños Caballeros

Vestibulo

Recepción Información Préstamo Copiado e impresión

Banqueta pendiente al nivel de calle para accesibilidad universal

Instalaciones Hidráulicas Letrero "LEE"

Estacionamiento

Talud

Baños Mujeres Recepción BodegaCocineta Ofna. Admón. Ofna. AuxiliarBaño Admón.

Baños Hombres

Simbología Acabados

Simbología Acabados

Acabados en piso (exterior)

Material: Marca Material: Nombre Material: Descripción Material: Fabricante Material: Imagen

02.1002.10 Firme de concretoFirme de concreto de 10cm espesor, f'c=250kg/cm2 colado en sitio, con malla electrosoldada En sitio

02.1102.11 Pasto San Agustin Pasto San Agustin en rollo Vivero Leona Vicario

02.1202.12 Terreno Tierra existente Existente

02.1302.13 Concreto estriadoConcreto estiado f´c=250 kg/cm2. Armado con acero de refuerzo según la especificación estructural. En sitio

Acabados en piso (interior)

Nombre Material: Descripción Material: Fabricante Material: Imagen

02.0102.01 Piso cerámico Piso Cerámico, 60x60, Mod. existente Existente

02.0202.02 Alfombra de rizoAlfombra de rizo en rollo, Mod. Grand Slam - Acero Milán Terza

02.0302.03 Alfombra de rizoAlfombra de rizo, en rollo, Mod. Guerrero SprintArcilla Dorada Terza

02.0402.04 Alfombra zona 1 02.04 Alfombra zona Emco

02.0502.05 Alfombra zona 2 02.05 Alfombra zona 2 Emco

02.0602.06 Caucho contínuo 02.06 Caucho contínuo, Color infill Equypark

02.0702.07 Caucho continuo 02.07 Caucho continuo, Color amarillo Equypark

02.0802.08 Piso cerámicoPiso Cerámico, 60x60, Mod. Brunei Ivory Mate ETT Alto PEI IV 60x60cm Interceramic

Simbología Acabados

Exterior Clave Descripción Estado Imagen

LUM-10 Poste de iluminación Existente

LUM-11 Reflector de exterior LED, 6w, Marca General Ligthing, Mod. 19385-4 Nuevo

LUM-12 Luminaria de empotrar en piso Marca Tecnolite, Mod. H-605/N Nuevo

Luminarias Interior Clave Descripción Estado Imagen

LUM-01 Luminaria Led T8 Existente

LUM-02 Luminaria de flujo lineal de empotrarExistente

LUM-03 Luminaria Led, empotrada Existente

LUM-04 Luminaria suspendida, Marca Phillips, Mod. TrueLine, SP533P L1410 Nuevo

LUM-05 Luminaria Led, empotrada, Marca Tecnolite Mod. CO1215BBCB Nuevo

LUM-06 Luminario Pared Led, Mod. Fuyu, Marca Tecnolite 3000K Blanco 100-240 Nuevo

Catálogo de decorativos

Marca de tipo Ubicación Descripción Cantidad Unidad Marca Modelo

MD-01 Sala General Cojín decorativo 9 Pza. Artesanal N/A

MD-01 Sala Infantil (Ludoteca)Cojín decorativo 1 Pza. Artesanal N/A

MD-02 Sala General Hexágono de madera 111 Pza. Artesanal N/A

MD-03 Sala Infantil (Ludoteca)Taburete rompecabezas 3 Pza. Artesanal N/A

MD-04 Sala Infantil (Ludoteca)Taburete cubo 1 Pza. Artesanal N/A

Catálogo de equipos

Marca de tipo Ubicación Descripción Cantidad Unidad Marca Modelo

MQ-01 Biblioteca DigitalEquipo de computación 12 Pza. Existente Existente

MQ-01 Recepción Equipo de computación 4 Pza. Existente Existente

MQ-01 Sala General Equipo de computación 1 Pza. Existente Existente

MQ-02 Recepción Impresora 1 Pza. Xerox MP200

MQ-03 Biblioteca DigitalEquipo de seguridad de acceso istema de control de acceso con alarma de sonido y Luz 1 Pza. Eshakhare Library1

MQ-03 Vestíbulo Equipo de seguridad de acceso, istema de control de acceso con alarma de sonido y Luz 3 Pza. Eshakhare Library1

MQ-04 Sala AudiovisualProyector 1 Pza. ViewSonic PA503S

MQ-04 Sala Infantil (Ludoteca)Proyector 1 Pza. ViewSonic PA503S

MQ-05 Recepción Multifuncional Office Jet PRO 1 Pza. HP 7740 Catálogo de mobiliario

Marca de tipo

MU-01 Biblioteca DigitalLibrero alto 12 Pza. Carpintería

MU-02 Biblioteca DigitalLibrero bajo 9 Pza. Carpintería

MU-02 Hemeroteca Librero bajo 6 Pza. Carpintería

MU-02 Sala AudiovisualLibrero bajo 12 Pza. Carpintería

MU-02 Sala de LecturaLibrero bajo 12 Pza. Carpintería

MU-02 Sala Grupal Librero bajo 10 Pza. Carpintería

MU-02 Sala Infantil (Ludoteca)Librero bajo 16 Pza. Carpintería

MU-03 Hemeroteca Rack para revistas y periódicos 8 Pza. Existente Existente

MU-05 Biblioteca DigitalLibrero mediano 6 Pza. Existente Existente

MU-05 Hemeroteca Librero mediano 4 Pza. Existente Existente

MU-05 Sala de LecturaLibrero mediano 4 Pza. Existente Existente

MU-05 Sala General Librero mediano 21 Pza. Existente Existente

MU-06 Ofna. Admón. Credenza 1 Pza. Existente Existente

MU-07 Biblioteca DigitalCarrito de libros 2 Pza. Existente Existente

MU-07 Sala AudiovisualCarrito de libros 1 Pza. Existente Existente

MU-07 Sala General Carrito de libros 2 Pza. Existente Existente

MU-07 Sala Grupal Carrito de libros 1 Pza. Existente Existente

MU-07 Sala Infantil (Ludoteca)Carrito de libros 1 Pza. Existente Existente

MU-08 Recepción Mostrador 2 Pza. Carpintería

MU-09 Recepción Mueble de paquetería 1 Pza. Existente Existente

MU-10 Biblioteca DigitalEscalera de librero 2 Pza. Existente Existente

Catálogo de mobiliario - Mesas

Marca de tipo Ubicación Descripción

CantidadUnidadMarcaModelo

MT-01HemerotecaMesa rectangular 2 Pza.ExistenteExistente

MT-01Sala AudiovisualMesa rectangular 4 Pza.ExistenteExistente

MT-01Sala GeneralMesa rectangular 4 Pza.ExistenteExistente

MT-02Sala GeneralMesa redonda 8 Pza.MeydoEDR/MTZ-120-28

MT-03Sala Infantil (Ludoteca) Mesa pequeña, remozada, pintada en diversos colores 9 Pza.ExistenteExistente

MT-04Sala GrupalDoble mesa de trabajo trapezoidal, estructura tubular cuadrada, cubiertas de triplay, formica y melamina;3 Pza.OfigrupEDR/MT-003

MT-05Sala GrupalMesa de trabajo trapezoidal, estructura tubular cuadrada, cubiertas de triplay, formica y melamina;2 Pza.OfigrupEDR/MT-003

MT-06Biblioteca DigitalMesa rectangular alta, cubiertas de triplay, formica y melamina; 12 Pza.OfigrupEDR/MT-003

MT-07Ofna. Admón.Mesa de escritorio 1 Pza.ExistenteExistente

MT-08Ofna. AuxiliarMesa de escritorio 1 Pza.ExistenteExistente

MT-09Sala de LecturaMesa portátil 1 Pza.MeydoVER/AL-1000

MS-01 Hemeroteca Silla Estilo Breuer, color negro. 8 Pza.

MS-01 Sala AudiovisualSilla Estilo Breuer, color negro. 15 Pza.

MS-01 Sala General Silla Estilo Breuer, color negro. 35 Pza.

MS-01 Sala Grupal Silla Estilo Breuer, color negro. 24 Pza.

MS-02 Sala Infantil (Ludoteca)Silla infantil, material madera, remozadas, barniz natura, pintura de varios colores 36 Pza.

Existente Existente

Existente Existente

Existente Existente

Existente Existente

Existente Existente

MS-03 Biblioteca DigitalSilla alta, asiento y respaldo tapizado 12 Pza. Carpintería

MS-03 Cocineta Silla alta, asiento y respaldo tapizado 2 Pza. Carpintería

MS-04 Vestíbulo Banca Pza. Carpintería

MS-09 Sala de LecturaSilla lounge, remozada, tapiz textil 5 Pza. Existente Existente

MS-10 Sala Infantil (Ludoteca)Sillon tipo puff 2 Pza. Carpintería

MS-11 Ofna. Admón. Silla de visita 2 Pza. Existente Existente

MS-11 Ofna. Auxiliar Silla de visita Pza. Existente Existente

MS-12 Ofna. Admón. Silla gerencial Pza. Existente Existente

MS-13 Ofna. Auxiliar Silla ejecutiva Pza. Existente Existente

MS-13 Recepción Silla ejecutiva 4 Pza. Existente Existente

MS-14 Sala de LecturaSillón de tres plazas, remozado, tapiz textil1 Pza. Existente Existente

Catálogo de muebles sanitarios

Marca de tipo Ubicación Descripción Cantidad Unidad Marca

MP-01 Baño Admón. Inodoro Pza. Existente

MP-01 Baños Mujeres Inodoro 2 Pza. Existente

MP-02 Baños HombresLavabo empotrado 2 Pza. Existente

MP-02 Baños Mujeres Lavabo empotrado 2 Pza. Existente

MP-03 Baños HombresBarras de soporte para discapacitados. Barra de apoyo de seguridad para baño. Sóporta hasta 227 kg. Diseño decorativo, Acero, 18" Pza. Glacier Bay

MP-03 Baños Mujeres Barras de soporte para discapacitados. Barra de apoyo de seguridad para baño. Sóporta hasta 227 kg. Diseño decorativo, Acero, 18" Pza. Glacier Bay

MP-04 Baños HombresMigitorio 3 Pza. Existente

MP-05 Baño Admón. Lavabo Pza. Existente

MP-06 Baño Admón. Monomando Pza. Existente

MP-06 Baños HombresMonomando 2 Pza. Existente

MP-06 Baños Mujeres Monomando 2 Pza. Existente

MP-07 Coladera redonda 7 Pza. Helvex

MP-08 Baños HombresMampara separadora 2 Pza. Sanilock

MP-09 Baños Mujeres Porta rollo de papel 2 Pza. Existente

Acabados en plafón

Revisado

Escala

Turn static files into dynamic content formats.

Create a flipbook
Issuu converts static files into: digital portfolios, online yearbooks, online catalogs, digital photo albums and more. Sign up and create your flipbook.