PORTAFOLIO-ESTRUCTURAS II

Page 1

624 ESTRUCTURAS II Facultad de Ingeniería y Arquitectura Carrera de Urbanismo y Medio ambiente Ciclo 2022 2
PO RT AF OL I O BRENDA SÁNCHEZ 20203619 SECCIÓN:
I N D I CE ESTRUCTURAS II 2022 2 INFOGRAFÍA : ZAPATAS CG1, CG8, CG10 Pág. 05-07 TA 01 TA 02 EP 01 EVALUACIÓN N°01 CG1, CG8, CG10 Pág. 09-11 ESTUDIO DE LAS FUERZAS DE EQUILIBRIO CG1, CG8, CG10 Pág. 13-17 2
BRENDA SÁNCHEZ PORTAFOLIO TA 03 EP 02 EP 03 METRADO DE CARGAS CG1. CG8, CG10 Pág. 19 23 CG1. CG8, CG10 Pág. 25-29 EVALUACIÓN N°03 CG1, CG8, CG10 Pág. 31-35 i INFORMACIÓN DEL CURSO Y CV Pág. 36-39 EVALUACIÓN N°02 3
TA01 IN FO GR AF I A ESTRUCTURAS II 2022 2 CG1, CG8, CG10
4
TRABAJO

El primer trabajo consistió en desarrollar o elaborar una infografía acerca de los conceptos estructurales que se vieron en clase en este caso se escogió el tema telas zapatos

ENCARGO COMENTARIO VALORACIÓN DIFICULTAD ENTENDIMIENTO DE LOS TEMAS DEDICACIÓN TEORICA

El trabajo me ayudo a profundizar en cuanto al tema de las zapatas en que tienen que ver con la construcción y cuál es su importancia en el proceso cuando se hace una edificación, viendo q tipos de zapatas hay, ect, además cabe resaltar que este ejercicio sirvió de modo repaso de los temas aprendidos anteriormente de cursos como construcción I y II.

BRENDA SÁNCHEZ PORTAFOLIO
TRABAJO INDIVIDUAL
5
6
7
TA02 FU ER ZA S DE ESTRUCTURAS II 2022 2 CG1, CG8, CG10 EQ U I L I BR I O 8

TRABAJO INDIVIDUAL

Esto según encargo consistió en realizar los problemas del primer tema desarrollado a modo de repaso se realizó un des el viento las fuerzas que actúan sobre las barras además se halló las fuerzas en los apoyos en los ejes X y Y también de sus momentos

Este ejercicio me ayudó a repasar de cierto modo ejercicios que se vieron en el curso de estructuras 1 dándome una mayor noción de la que va a venir en los siguientes exámenes Para para el proceso de este ejercicio fue un poco complicado ya que las barras tenía pines de apoyo, lo cual no recordaba mucho, pero al final sería algo a resolver con éxito .

ENCARGO COMENTARIO VALORACIÓN DIFICULTAD ENTENDIMIENTO DE LOS TEMAS

DEDICACIÓN PRACTICA

BRENDA SÁNCHEZ PORTAFOLIO
9

TAREA ACADEMICA 02

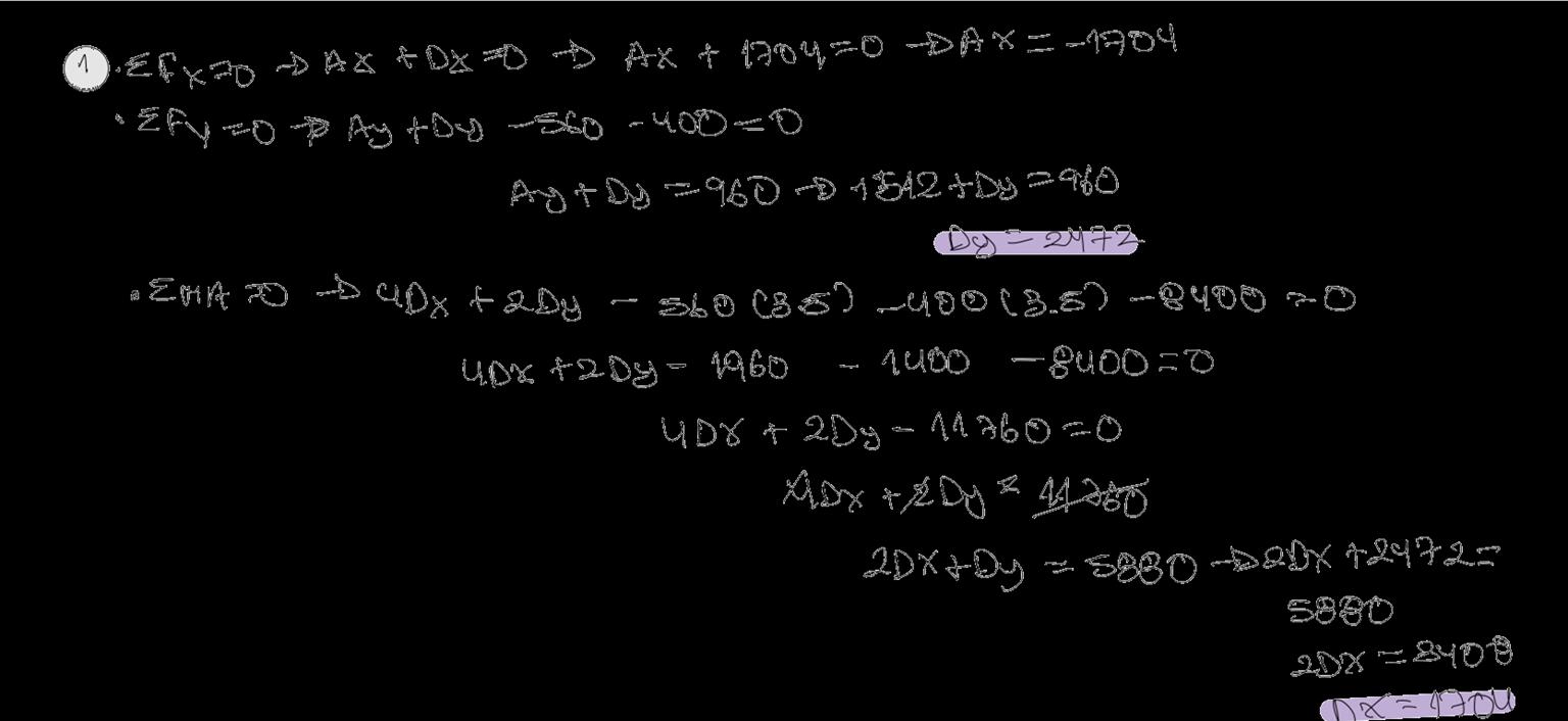
Calcule las fuerzas en los apoyos A y D

ESTRUCTURAS II 2022 2
10
BRENDA SÁNCHEZ PORTAFOLIO 11
EP01 PR AC T I CA 0 1 ESTRUCTURAS II 2022 2 CG1, CG8, CG10 12

Pero la primera práctica calificada Consistió en dos preguntas teóricas y cuatro ejercicios donde se evaluaron los temas vistos en la semana 1 y 3, donde se dieron los temas correspondientes : conceptos teóricos en estructuras, ejercicios de armazones y esfuerzos en vigas de 2 dimensiones

La primera evaluación me ayude a poner en práctica los temas vistos en clase, aparte de ella también me ayudó a reforzar temas vistos anteriormente en el curso de estructuras I Por otro lado resultado no fue tan satisfactorio yo que tuve algunas complicaciones en el tema de los esfuerzos al identificar el DCL

ENCARGO COMENTARIO VALORACIÓN DIFICULTAD ENTENDIMIENTO DE LOS TEMAS DEDICACIÓN PRACTICA

BRENDA SÁNCHEZ PORTAFOLIO
13
DEDICACIÓN TEORICA

PRACTICA CALIFICADA 01

CORRECCIÓN

1. De acuerdo con los conceptos vistos en clase responda a las siguientes preguntas:

a) Indica las características de un país desarrollado y un país en vías de desarrollo en el aspecto de construcción

Las características en cuanto a este aspecto se da en la economía de la construcción en el caso de un país desarrollado una de las características es que usa maquinarias y hay menos mano de obra, menos gasto en los materiales , la duración de los proyectos duran menos para que haya menos gastos , en cambio en un país de vías de desarrollo es todo lo contrario, más mano de obra , más uso de materiales, más duración del proceso de proyecto, más maquinaria y uso de ladrillos y etc b) Indicar si las siguientes afirmaciones son verdaderas o falsas

El concreto premezclado es aquel que se produce en una planta fuera de obra fragua y se transporta de manera sólida en forma de viguetas vigas o losas

FALSO

El tiempo es una variable económica importante en la construcción en el sector comercial

El concreto ciclópeo es el concreto simple en cuya masa se incorporan grandes piedras o bloques

VERDADERO

ESTRUCTURAS II 2022 2
VERDADERO
14

2)Desarrolle el diagrama de cuerpo libre y calcule las reacciones en el apoyo empotrado en la siguiente viga Nota : cortos en metros

CORRECCIÓN CORRECCIÓN

3) Desarrolle el diagrama de cuerpo libre y calcule las reacciones en los apoyos en la siguiente viga . Nota : cortos en metros

BRENDA SÁNCHEZ PORTAFOLIO
15

PRACTICA CALIFICADA 01

CORRECCIÓN

ESTRUCTURAS II 2022 2
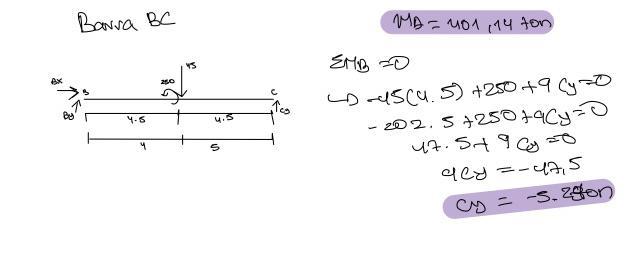
La estructura mostrada está formada por dos barras conectadas por un pin en B y sujeta a las cargas que se indican Desarrolle el diagrama de cuerpo libre y calcule las reacciones en los apoyos 16
BRENDA SÁNCHEZ PORTAFOLIO 17
TA03 ME TR AD O DE ESTRUCTURAS II 2022 2 CG1, CG8, CG10 CA RG AS 18

TRABAJO INDIVIDUAL

Este ejercicio constó en desarrollar un plano distribución de una planta de edificio de concreto armado donde se desarrolló el método de cargas y se gráfico las mismas en un deseo para las vigas considerando su propio peso aligerado piso terminado carga viva y carga muerta

ENCARGO COMENTARIO VALORACIÓN DIFICULTAD ENTENDIMIENTO DE LOS TEMAS DEDICACIÓN PRACTICA

El ejercicio de su trabajo de manera individual lo cual dificulto un poco el proceso ya que eran varias vigas que me trajeron pero aún así al momento de meter los sellos llegó a resultado querido

BRENDA SÁNCHEZ PORTAFOLIO
19

TAREA ACADEMICA 03

ESTRUCTURAS II 2022 2
20
BRENDA SÁNCHEZ PORTAFOLIO 21

TAREA ACADEMICA 03

ESTRUCTURAS II 2022 2
22
BRENDA SÁNCHEZ PORTAFOLIO 23
EP02 PR AC T I CA 0 2 ESTRUCTURAS II 2022 2 CG1, CG8, CG10 24

En eso segundo evaluación se nos evaluaron los temas vistos en clase de a partir de la semana cuatro hasta la semana 6 los temas que se vieron fueron m descargas cálculo de fuerzas en vigas, y teoría que involucran a estos conceptos,

Consideró que a comparación del examen anterior en esta práctica me fue mucho mejor, ya que comprendí más los temas mencionados en clases, Además cabe resaltar que la evaluación nos ayudó a reforzar más el ámbito teórico que hay en el curso en querer dar a entender que el curso no es solamente práctica sino ambos

ENCARGO COMENTARIO VALORACIÓN DIFICULTAD ENTENDIMIENTO DE LOS TEMAS DEDICACIÓN PRACTICA

BRENDA SÁNCHEZ PORTAFOLIO
25
DEDICACIÓN TEORICA

PRACTICA CALIFICADA 02

1. De acuerdo con los conceptos vistos en clase responda a las siguientes preguntas:

a) Defina los conceptos de carga muerta y carga viva en una estructura que la conforma y de algunos ejemplos

En el concepto de carga muertos un elemento estructural es que se mantienen en el mismo sitio sin poder movilizarse como las losas vigas columnas y muros , y en cambio la carga viva se destaca por objetos móviles como las personas que están dentro de un edificio o proyecto también pueden ser las mesas sillas etcétera.

b) Define qué es una losa colaborante indicando además sus principales ventajas y desventajas la losa colaborante es una lámina de acero trapezoidal galvanizada utilizada para diseño de losas compuestos una de sus ventajas esque actuaba como una plataforma de trabajo segura para el vaciado de concreto además la lámina galvanizada funciona como acero de refuerzo positivo eliminando la necesidad de varillas de refuerzo y encofrado

c) Define el concepto de camino de cargas en estructuras

Es un proceso que explica cómo la estructura recoge el canalizadas vía los cargos de fuerza internos y externos hacia cimientos, también se conoce como descenso de cargas flujo de cargas caminos de carga etcétera, sus objetivos principales es establecer valor de carga sobre el terreno para calcular las dimensiones de la cimentación y establecer cargas para diseño de

ESTRUCTURAS II 2022 2
26
CORRECCIÓN
BRENDA SÁNCHEZ PORTAFOLIO 27
2) Desarrolle el diagrama de cuerpo libre y calcule las reacciones en los apoyos en la siguiente viga Nota : cortos en metros

PRACTICA CALIFICADA 02

CORRECCIÓN

En el siguiente plano de distribución de una planta de edificio de concreto armado desarrollan método de cargas y gráfica las mismas en un desee para las vigas V10, V104, V106, V110, V111, y V112 considerando su peso propio, losa aligerada, acabados de piso y carga viva Considere : • Losa aligerada un solo sentido de peso = 300 kg/m2 • peso el acabado del piso=110 kg /m2 y carga viva = 250 kg /m2

ESTRUCTURAS II 2022 2
28
BRENDA SÁNCHEZ PORTAFOLIO 29
EP03 PR AC T I CA 0 3 ESTRUCTURAS II 2022 2 CG1, CG8, CG10 30

En eso tercera práctica calificada se valoran los temas vistos en clase a partir de la semana 7 y y semana 11, donde se vieron los temas de : metrado de cargas , estructuras metálicas y cálculo de fuerzas cortantes sísmica y teoría nuevamente El examen constó de 3 preguntas teóricas y 3 preguntas prácticas

Esta tercera práctica me ayudó a poner en práctica los temas vistos en clase ademas de profundizar en los temas teóricos de cada concepto que se nos enseñó, Consideró que debía poner más empeño en cuanto a practicar los ejercicios en el tema de las estructuras metálicas y el cálculo de fuerzas cortantes sísmica

ENCARGO COMENTARIO VALORACIÓN DIFICULTAD ENTENDIMIENTO DE LOS TEMAS DEDICACIÓN PRACTICA

DEDICACIÓN TEORICA

BRENDA SÁNCHEZ PORTAFOLIO
31

PRACTICA CALIFICADA 03

CORRECCIÓN

1 De acuerdo con los conceptos vistos en clase responda a las siguientes preguntas:

a) Defina los conceptos de hipocentro y epicentro

Hipocentro: donde se origina la ruptura de las placas en otras palabras donde se origina el sismo Epicentro: proyección del punto en la superficie .

b) Defina si el concreto armado es un material frágil o dúctil y sustente el por qué El concreto armado es un material dúctil debido a que tiene acero en su interior es por ello que adquiere la capacidad de ductilidad que le permite formarse cuando está sometido a un esfuerzo, por otro lado, si hablamos en concreto solo es considerado un material frágil ya que no es capaz de soportar su propio peso

c) Dibuja la curva esfuerzo deformación del acero indicando las características de cada uno de sus tramos

ESTRUCTURAS II 2022 2
32

CORRECCIÓN

2 En el siguiente plano de distribución de una planta de edificio de concreto armado, dibuje el área tributaria en la planta, desarrolle el método de cargas solo para carga muerta y gráficas las mismas en un DC L, para las vigas V108 y V110, considerando peso propio, los aligerada en 1 o dos sentidos y acabado de piso Tomé los siguientes datos :

• Losa aligerado en un solo sentido de espesor = 20cm y peso= 300 kg/m2

• Losa aligerada en dos sentidos de espesor = 20cm y peso = 350 kg/m2

• peso del concreto = 2400 kg /m3 peso del acabado de piso = 100 kg /m2

BRENDA SÁNCHEZ PORTAFOLIO
33

PRACTICA CALIFICADA 03

CORRECCIÓN

CORRECCIÓN

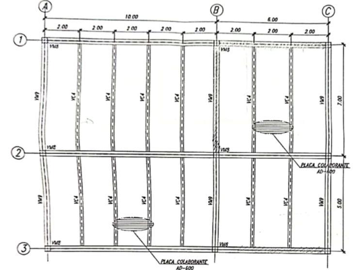
3 En el siguiente plano de distribución de una planta de edificio de estructura metálica, desarrolle el mercado de cargas y gráficas las mismas en un DCL, correspondiente a la carga muerta y carga viva para las vigas: VM9 del eje B entre los ejes 1 y 2 Y VM8 del eje 1 entre los ejes B Y C considerando peso propio, losa colaborante y sobre carga de acuerdo a lo indicado en la planta y a los datos mostrados en texto e imagen

• VM8: W18X45; VM9: W16X36 y VC4: W8x18

• Losa Colaborante AD600 GAGE22 de E=12 cm

• Sobrecarga : 250 kg/M2

ESTRUCTURAS II 2022 2
34

CORRECCIÓN

4 Calcula la fuerza cortante sísmica para una espiral en plural estructurado en base a pórticos de acero especiales resistentes a momentos se sabe por el estudio de suelos que se cuenta con un suelo blando y qué factor de ampliación sísmica es 2.5. toma en consideración que la edificación tiene 10 pisos con 500m2 área techada en planta por nivel,Un peso por metro cuadrado de carga muerta de 0 8 t y un peso por metro cuadrado de carga viva de 0 4t Además considere que el edificio tiene irregularidad por esquinas entrantes.

BRENDA SÁNCHEZ PORTAFOLIO
35

llamo Brenda Caroline Sánchez Carrión, nací el 9 de junio del 2003 , curse inicial y primaria en el colegio San Ignacio, luego en secundaria en el colegio Manuel Ramírez Barinaga, donde habían talleres de música, teatro, baile, y artes visuales, en este último mencionado era mi taller favorito, ya que realizábamos diversas actividades; por ejemplo, empleamos la técnica de acuarela en un lienzo donde se debía capturar el ambiente natural , la creación de un juguete con elementos reciclados, y la elaboración de una maqueta con el tema de las festividades de los departamentos del Perú , mi grupo escogió la yunza de Ayacucho En este taller también se presentaron algunos trabajos que realice en exhibiciones del colegio Las capacidades que tengo es que soy responsable con mis trabajos o cualquier cosa que tenga que ver lo académico, me considero de una actitud tranquila, optimista y empática que sabe escuchar a las personas cuando uno lo necesita En el ámbito de los idiomas en la actualidad estoy en una academia virtual de ingles llamada ICE

 INTERESES Baile Dibujar y pintar Editar videos o fotos Natación Música Lectura  PROGRAMAS Microsoft office Adobe Photoshop Adobe
AutoCAD Revit  IDIOMAS Inglés Español
BRENDA SÁNCHEZ CARRIÓN SOBRE MI  FECHA DE NACIMIENTO 09/06/03  EMAIL brendasc068@gmail.com  NACIONALIDAD Peruana  TELÉFONO 920585193  DIRECCIÓN Nueva esperanza, Jr. Ramiro Merino n°372 V.M.T Lima  DNI 76438433 INFORMACIÓN DEL CONTACTO CV 36
Ligthroom
Me
2007 2014
2015 2019
2020 2024
Proyecto de arquitectura VI Urbanismo I Estructuras II Historia y Teoría
la
III
Metodologías Charla Charla Charla Charla Charla Conferencia Metodologías 37
EDUCACIÓN
primaria Colegio San Ignacio
secundaria Colegio Maristas
pregrado Universidad de Lima
MATERIAS EN CURSO
de
Arquitectura
ACTIVIDADES ACADÉMICAS

I N F O R M A C I Ó N D E L C U R S O

NOMBRE DEL CURSO

Estructuras II SECCIÓN 624

NOMBRE DE LOS PROFESORES

Ivan Izquierdo Casafranca SUMILLA DEL CURSO

Estructuras II es una asignatura teórica obligatoria donde se analizan las fuerzas de los elementos fundamentales : zapatas ,cimientos columnas ,muros, vigas y losas, dentro de los sistemas convencionales de muros portantes y pórticos

OBJETIVOS GENERAL

Describir el comportamiento estructural en los elementos que conforman un sistema arquitectónico desarrollando el conocimiento del muro físico el pensamiento creativo

38

OBJETIVOS ESPECIFICOS

1. Identificar las diferentes cargas que debe soportar un sistema estructural y la manera en la que estas cargas son transportadas al suelo portante , desarrollando el conocimiento del mundo físico

39

Turn static files into dynamic content formats.

Create a flipbook
Issuu converts static files into: digital portfolios, online yearbooks, online catalogs, digital photo albums and more. Sign up and create your flipbook.
PORTAFOLIO-ESTRUCTURAS II by Brenda Sánchez - Issuu