Australian Berry Journal - SPRING 2024 - Edition 20

Page 1


AUSTRALIAN BERRY JOURNAL

Blueberries
VALE
DON HUTTON
Strawberries
PESKY BUGS FLIRT TOO Rubus

EDITOR

Jane Richter

TERES Communication 0431 700 258 jane@teres.com.au

CONTRIBUTORS

Jane Richter

Rachel Mackenzie

Anthony Poiner

Simon Dornauf

Andrew Bell

Richard McGruddy

Brett Fifield

Jen Rowling Dr Angela Atkinson

Ella Roper

Helen Newman

Wendy Morris

Gaius Leong

Dr Christopher Menzel

Dr Zac Hemmings

David Cook

James Cook

Abby Davis

Romina Rader

Raylea Rowbottom

Cameron Spurr

Andrew Francey

Tracey Steinrucken

Jenny Van de Meeberg

Michele Buntain

Seeger van Kints

Dr Jonathan Finch

Julian Brown

Nicole Rafferty

Katie O’Connor

Jodi Neal

ADVERTISING

For

DESIGN Sama Creative | samacreative.com.au

Executive Director's Report

Spring is here and it has started with some high temperatures right across Australia. Hopefully they are not a taster for a long hot summer and are just a blip in our famously variable climate. I remember a climate scientist telling me years ago that spring weather was the hardest to predict longrange, as it could either be a summery spring or a wintery spring. This variability can make things tricky for growers, but I know that you all take it in your stride.

On the subject of weather, there were some challenges with unseasonably heavy rain in southeast Queensland in August that ruined about 1 million punnets of strawberries, but the crops have bounced back and supply is returning to expected levels. Blueberries are also late this year and were yet to reach their peak of supply at the time of writing. The positive side for the consumer is that quality is very good across the whole category.

We have had some changes to the team at Berries Australia. I’m pleased to confirm that Ella Roper has joined our IDO team in Tasmania replacing Mark Salter who retired in May, and Jesse White joined Jenny Van de Meeberg in our export team to significantly increase our export development efforts under the newly contracted 5-year project (PAGE 36). Angela Atkinson will be moving from the Victorian IDO role to the newly created role of R&D and Biosecurity Manager. We are also very excited to welcome Sandy Shaw who will be replacing Angela as the Victorian and South Australian IDO in mid-September.

Angela’s role underpins the new levy consultation mechanism which has replaced the Strategic Investment Advisory Panels (SIAPs). As I have previously written, we now have a two-tier system with an ideas generation panel comprised of growers and technical specialists for all of berries, and the crop-specific prioritisation panels who select which projects should be recommended for funding. As always, Hort Innovation has responsibility for the levy investments. Find out more about the new consultation mechanism on PAGE 17. All the prioritisation panels met in early June and Hort Innovation is working to develop investment recommendations. It has been fantastic to have our own R&D manager to work with Hort Innovation to help this process along and ensure that projects do in fact align with industry expectations which has not always been the case in the past. If you have a great research idea or an on-farm problem that needs to be solved, please contact Angela directly at angela.atkinson@berries.net.au

I urge you to read the article on the migration review on PAGE 43 and get behind our efforts to protect the 88-day requirement for working holiday makers (WHM). We cannot lose access to this important workforce without a viable alternative in place and the PALM scheme in its current form cannot replace this surge workforce.

Biosecurity remains a hot topic. I wish we could stop overseas pests via a visa system but unfortunately, they don’t respect borders and are an unwanted by-product of global trade. As an island nation we have some capacity to manage these incursions, and it is important that you understand the role of organisations like Plant Health Australia as outlined on PAGE 46.

I wish you all the best with your business over the next few months and I do hope I will be seeing many of you at BerryQuest in February 2025.

Chairman's Report

Welcome to the Spring 2024 edition of the Australian Berry Journal and it is remarkable to think this is already the twentieth edition that Berries Australia has produced. This is a big time of year for berries with the blueberry season in full swing coinciding with a late flush of winter strawberries. Our Berry Basket Marketing program is really pushing the whole berry basket so hopefully consumers will take advantage of all of the great value and high-quality berries available at the moment.

I would like to take this opportunity to welcome our new Minister for Agriculture, Fisheries and Forestry Julie Collins. I am looking forward to meeting with Minister Collins in the near future to discuss the challenges and opportunities for the berry industry. Minister Collins is based in Tasmania, so I am optimistic that she understands and appreciates the value of our sector. I would also like to thank Senator the Hon Murray Watt for his support of horticulture market access, and I hope that Minister Collins will continue the good work.

In recognition of the importance of export to the future of the sector, I am very pleased to welcome Jesse White to the Berries Australia export team as our General Manager for Asia. Jesse has just completed a successful trip to China promoting blueberries and will continue to represent us in China and Vietnam. You can read more on PAGE 36.

As you will read in the Peak Industry Body Chair’s columns there are changes afoot at Berries Australia with an intent to streamline our committee structure so we can focus on the big issues affecting you rather than holding multiple meetings discussing the same topics.

We will set up sub-committees on a range of topics including workforce, export, social license and biosecurity/chemical access. I encourage any berry grower who is interested in these topics to consider becoming involved in the relevant sub-committee. Levy expenditure will remain a responsibility of Hort Innovation, however, we can certainly provide input into our R&D priorities through the new consultation mechanism supported by our new R&D Manager role filled by the very capable Angela Atkinson.

Workforce is particularly topical at the moment as the government is reviewing the settings around the WHM (backpacker visas) and considering removing the 88-day requirement for second year visas (see more on PAGE 43). This would be a negative for our sector so I can assure you that Berries Australia will be working with other industry bodies to ensure government fully understands the consequences of any decisions in this area.

The Berries Australia team is gearing up for BerryQuest International to be held in Hobart in February 2025. The event looks incredibly exciting with some highprofile local and international speakers confirmed with more to come.

One of our objectives is to keep conference attendance costs as low as possible for growers. To be able to do this we need broad support from a range of sponsors and whilst many sponsors have already come on board, we are still looking for more support so please hit up your suppliers to get behind this industry event.

Earlybird Full Conference registrations are now open and are only available until 31 October 2024 – this includes a further significant discount for group bookings, so take advantage and register now at bit.ly/BQI25-Website

I hope to meet many of you there in 2025.

President's Report

Andrew Bell | 0422 234 124 | andrew@mountainblue.com.au

By the time you receive this edition the blueberry season will be in full swing. It has been a late start, but quality is excellent, and I am hopeful that the weather will be kind to us for the rest of the season.

As foreshadowed by Anthony Poiner in his last column, there are some big changes on the horizon for the berry Peak Industry Bodies (PIBs) as we take our next step towards consolidation. The Australian Blueberry Growers’ Association (ABGA) committee recently voted to essentially transfer all of its activities to Berries Australia and primarily operate as the mechanism to appoint Directors to the Berries Australia Board. This model is also supported by Strawberries Australia Inc and Raspberries and Blackberries Australia.

My family has been part of the ABGA my whole life and my father Ridley Bell was actually one of the founders of the Association, so you may wonder why I support this approach.

For me the reasons are clear. Fundamentally, the Berries Australia model is a demonstrable success. United as Berries Australia, we can support staff and projects to deliver back to growers, and more importantly our voice with government and other stakeholders is significantly amplified. Maintaining the ABGA committee and meeting timetable is an exercise in duplication as most issues are across the berry category, so winding back the PIBs is the next logical step in improving efficiency and outcomes for growers.

The proposed new structure will be supported by a range of issues-based sub-committees where we can really get our teeth into issues rather than getting bogged

down in meeting process. The current ABGA export sub-committee is an excellent example of how a motivated sub-committee can drive real change.

I appreciate that some of you may be concerned that the interests of the blueberry growers will not get heard in the wider berry conversation, but it is proposed that each commodity will get three positions on the Berries Australia Board and our main job will be to get the right voices around that table. It has also been increasingly difficult to get new active committee members, so the intent is to reduce those committee obligations across the sector and put our energy into dealing with the actual issues facing many growers.

One of the (many) reasons we are taking the dormancy approach is that the ABGA has a voluntary levy as opposed to a statutory levy, so it is important we ensure that blueberry levy funds are spent on activities supporting the blueberry industry. One of the issues that the ABGA will continue to explore is whether we should move to a statutory levy as it is not fair that many growers reap the benefits of the levy without putting the money on the table.

There are some background complexities we are still working through, but essentially we are proposing that all ABGA members will be considered members of Berries Australia along with existing members of RABA. Strawberries Australia has a slightly more complex structure, but I will leave that to them to explain.

If you are concerned about this approach, then I encourage you to get in touch with Rachel or any of the ABGA committee members to discuss the reasoning behind the move. You can also exercise your rights as a member at the AGM coming up in late October.

President's Report

Richard McGruddy | 0408 763 804 | richard@berryq.com.au

The big news from our recent RABA meeting is that we are moving forward with the Berry Industry consolidation approach which I discussed in my last column. All Peak Industry Bodies (PIBs) have decided to support the so-called ‘dormancy’ option whereby the PIBs will refer all of their functions to Berries Australia and exist largely to appoint members to the Berries Australia board.

RABA will only meet once a year at the AGM and all business will be undertaken by the Berries Australia board, or a series of sub-committees set up to deal with areas of specific interest. Most of our issues are crosssectoral including workforce, biosecurity, chemical access, social license and demand creation. It will be great to actually get stuck into these issues rather than having three committees plus Berries Australia discussing the same things in different forums. Each PIB will have three spots on the Berries Australia Board so Rubus will continue to be well represented.

Some of you may be concerned that your Rubus levy funds will be diverted to other berry commodities, but it is important to remember that PIBs do not decide on how levies are spent – that is a responsibility of Hort Innovation. The prioritisation panel has both RABA committee members and non-committee members on it, and we welcome input from all Rubus growers, whether they are members or not.

In terms of RABA membership, we are looking at different models, but in the short term you will essentially be considered a member of Berries Australia in terms of services and support. You will continue to be able to

vote for RABA committee members, although we have had a vacancy for quite some time so I am not expecting a vote will be required. Please consider nominating for committee membership if that interests you.

We will be going out to you in the near future to raise an Exotic Plant Pest Response (EPPR) Levy as we need to raise additional funds to cover the Varroa response. This levy can be brought back to zero once the incursion has been paid for or raised if we get something really nasty like spotted wing drosophila in Australia. Frustratingly, we are unable to use our existing levy funds for this purpose and the newly raised Plant Health Australia levy will not be adequate. I appreciate that the last few seasons have been tough, but we all benefit from a robust biosecurity system. At least we don’t have to pay the additional biosecurity tax which the government was proposing thanks to strong advocacy from Berries Australia and other organisations.

Our new Rubus IDO is Ella Roper who is based with Fruit Growers Tasmania in Hobart, and has well and truly hit the ground running by all accounts. I look forward to meeting her in the near future. At this stage she is focusing on getting to know the Tassie growers but will be spreading her wings further afield soon. Ella can be contacted on berryido@fruitgrowerstas.org.au or by phone at 0400 100 593 so please reach out to her if you need anything.

I hope to see as many Rubus growers as possible at BerryQuest International in Hobart 2025 – don’t miss the chance to secure your heavily discounted Earlybird Full Conference tickets before 31 October at bit.ly/BQI25Website. Wishing you a productive couple of months with prices remaining firm in the run up to Christmas!

Chairman's Report

Simon Dornauf | 0408 681 206 |

As discussed in my last column we are moving forward with the consolidation of the Peak Industry Bodies (PIBs) with the intent that Berries Australia will be the primary vehicle for progressing the berry agenda. We are calling this the ‘dormancy model’ as the PIBs will continue to exist, but their main function will be to appoint the three Directors each to the Berries Australia Board.

What does this mean for strawberry representation?

As you are no doubt aware, Strawberries Australia Incorporated (SAI) is a Federated body, and we don’t actually have direct grower members. Our current members are the Victorian Strawberry Growers’ Association (VSGA), the Queensland Strawberry Growers’ Association (QSGA), Fruit Growers’ Tasmania and the Western Australian Strawberry Growers Association. Of the roughly 180 active strawberry growers in Australia less than half are a member of these associations and for many growers there is no association for them to join. Whilst the QSGA and Fruit Growers’ Tasmania remain active, VSGA has been struggling to get committee members for many years, the South Australian association has wound up and the WA association barely meets.

The SAI committee voted to support the dormancy model in terms of Berries Australia, and we are also exploring a hybrid membership model for Strawberries Australia whereby we can have associations and growers as members with membership free for all levy payers. The committee will comprise a combination of members appointed by their association and those voted by growers. The exact mechanics are still being

worked through, but we hope to have a fully formed model developed soon.

Some of you may be concerned that the winding down of the PIBs will mean that strawberry issues are overlooked in the broader berry conversations or levy funds will be diverted to things that are not a priority for us. It is important to remember that PIBs do not decide on how levies are spent – that is a responsibility of Hort Innovation. The current strawberry prioritisation panel does have some common members with SAI but also has external members. The prioritisation panel does have a vacancy for a non-SAI grower, and I urge you to contact Rachel Mackenzie if you are interested in that position.

The proposed new Berries Australia structure will be supported by a range of issues based sub-committees where we can really get our teeth into issues rather than getting bogged down in meeting process. The subcommittees can focus on our key issues such as new varietals or access to runners.

Having been an active committee member of SAI for more than a decade and Chair since 2018, I firmly believe this is the right way forward for our industry. The Berries Australia model has demonstrated its success. As Berries Australia, we can support staff and projects to deliver back to growers and our advocacy impact in terms of policy is much stronger together with the other berry crops. Most issues such as workforce, chemical access and export are common across the sector, and I would rather spend my time getting action on these issues than running committee meetings for the sake of it.

I hope the spring season is ‘fruitful’ for all growers regardless of where you are in your seasonal farm cycle.

A ‘Stella’ day for strawberry growers and lovers

This August, a new high-yielding, diseaseresistant and sweet-flavoured strawberry hit the nation’s retail shelves after years of development by Aussie growers and plant breeding experts.

Perfected through trials on grower’s farms in Queensland and delivered through Hort Innovation in partnership with the Department of Agriculture and Fisheries (DAF), the Stella-ASBP variety is now available to consumers in every state and territory of Australia.

This new variety, developed closely with Australian growers, offers consumers a consistently sweet flavour, aroma, mouthfeel and bright red appearance. Stella-ASBP also delivers a boost to production efficiency because of the abundant fruit Stella-ASBP plants are naturally bred to produce.

The Australian Strawberry Breeding Program has been working since 2009 to develop and commerciallyrelease superior strawberry varieties for targeted environments, including temperate, subtropical, and Mediterranean-growing regions. These efforts are to ensure industry has access to improved, locally adapted varieties in the future.

In addition to Stella, other varieties suited to various growing conditions are in the pipeline for development and commercialisation.

See bit.ly/BS17000 and bit.ly/BS22000 for more details on the past and current program.

The announcement of Stella is a testament to the way that industry, researchers and consumers have worked together to develop a variety that benefits both growers and consumers.

This is an industry-led initiative

Growers have been front and centre in the development of Stella-ASBP, hosting trials and providing advice to Hort Innovation and our partners at DAF. So pro-active is the Australian berry industry that it has been instrumental in supporting the development of 17 new varieties over the past decade, tailored to certain growing climates. These strawberries are grown by 50% of industry today based on farmgate value.

Consumers will benefit

Did you know that 94 per cent of Australians aren’t eating enough fruit and vegetables? Hort Innovation is working hand-in-hand with industry to look at ways to lift Australia’s daily consumption of fruit and veg across the entire horticulture category. A varietal development such as Stella-ASBP is a great example of these efforts.

New varieties could help boost demand

New varieties could play a part in increasing demand from the 72% of Australian households already purchasing strawberries, buying an average of 364g per shopping trip with per capita consumption of 2.27 kg (2022/23 Australian Horticulture Statistics Handbook). Additionally, research shows that one bad eating experience can stop a shopper from buying for eight weeks. That’s why developing varieties like Stella-ASBP helps mitigate that risk by producing a variety that consumers love.

Get in touch

As always, I encourage you to get involved with Hort Innovation as your rural research and development corporation dedicated to delivering you value.

A great first point of call is our Industry Service & Delivery Manager for berries, Adrian Englefield, who is always willing to have a chat. You can get in touch with him on 0427 143 709 or adrian.englefield@horticulture.com.au

Queensland

Wendy Morris, Berry Industry Development Officer 0484 272 963 | qldberryido@berries.net.au

It’s been an abysmal start to the winter strawberry season, with the wet weather exacerbating pest and disease issues. Colletotrichum gloeosporioides, phytophthora, phytophythium and foliar nematodes have wreaked havoc, leading to yields typically down 10-25%.

We have been working closely with the Queensland Department of Agriculture and Fisheries (DAF) and chemical companies to provide advice to growers, and to seek solutions. Foliar nematodes remain our trickiest pest, as there is currently no effective systemic nematicide available. At the time of writing, we are currently in talks with one company about running onfarm ‘proof of concept’ trials, however even if the product proves useful, we are still a number of years away from having it available on farm.

If you do have pest or disease issues, and the pest/ disease is easily transmissible, we encourage you to weigh up the cost of removing affected plants. While we understand that the labour costs may not be feasible, good farm hygiene certainly limits the spread. Also, please have your samples tested! A definitive diagnosis assists us in mapping which pests and diseases are most common in a region/crop/season.

The saving grace to the season’s troubles, as one pragmatic grower put it, is that ‘everybody is struggling’ – which has led to much higher pricing. An optimist would say this might lead to a permanent readjustment from the consumer as to what they believe a punnet of strawberries is worth. We can certainly hope that 2024 is the year we don’t see two-dollar punnets.

In May, my WA colleague, Helen Newman, and I hosted a Protected Cropping Event in Bundaberg. The event was a ‘drive yourself’ tour, which started at the Hillwood Berries Avondale site, where berries are grown under a variety of Haygrove tunnels. It was fascinating to hear what they had learned from their experiences. We then moved on to their new site at Rubyanna, where they intend to grow blackberries.

The middle of the day site visit was DAF Bundaberg. We can’t thank the site staff enough for everything they did to make our group welcome. Participants enjoyed the fruit from the seedling trials, as well as a BBQ lunch. Our sponsors, UPL Ltd, chatted about their new pollinator attractant, Pollinus, which included a handson (or noses-on!) display so we could appreciate the scent of the product.

The last stop of the day was the CQU Institute for Future Farming Systems. Professor Phil Brown and his colleagues took us through some of the ag tech products they have been involved in, and where they have succeeded and failed. Return on investment remains a stumbling block for tech, with the cost of new products outweighing the savings, though with improvements in technology and cost reductions, this will hopefully be less of a barrier. There are certainly many good brains at work, striving to make grower’s lives easier.

Following the field day, Helen, a WA grower and myself visited several growers in the area. We left with more dried fruit, nuts, strawberry jam and vinegar, and ice cream than we bargained for. Thank you to everyone who was generous with their time and produce.

In June I made a trip to Atherton to visit our FNQ growers. There are plenty of lovely blueberries coming from the blueberry farms, while Shaylee Strawberries has made a name for themselves as a fabulous place to visit (note to self – do not visit a PYO and café during school holidays!).

Participants at the Bundaberg Protected Cropping event were given a tour of the tunnels under construction at the Hillwood Berries Rubyanna site where blackberries will be planted. Photo credit: Wendy Morris
Debbie Meiers from Bargara Berries near Bundaberg showing their Flow hive. Photo credit: Wendy Morris

July saw us hold our Strawberry Field Day. This is now an annual event at DAF, and the main focus of the day is the breeding trials. Growers are strongly encouraged to come along to these days and provide feedback on plant structure, fruit size, taste, quality etc. This information is used to help determine which plants make it through to the next stage of trials.

There were a number of short-form presentations on the day. Topics included bird control, the science behind the sensory taste panels, IPM in strawberries and the Serviced Supply Chain Panel. Many thanks to our presenters, including Jodie Campbell from DAF, Adam Billsborough from Biological Services and Dilmini Hettiarachchi from the University of Queensland. The day wrapped up with interactive displays of beneficial bugs, nematodes, strawberry vapours and a Landini tractor.

We cannot thank DAF and our presenters enough for putting on a lovely day. Of course, we also have to thank Syngenta and Black Specialised Equipment, whose sponsorship allowed us to have a coffee van on site for the first portion of the morning. High quality hot drinks were greatly appreciated on what was an unusually brisk Queensland winter morning!

Moving towards the end of the year, we are looking to hold a soil and water workshop for growers, focusing on ways growers can help control their pest and disease issues. Everyone is invited to attend, and we welcome all growers to bring their ‘next generation’ workers with them, so they can expand their skillset.

The aim of our events is to meet industry needs, so if you have any ideas or suggestions for workshops or events, please don’t hesitate to get in touch. I welcome all feedback you have; from event planning, to what issues you are facing on farm.

Another of the farms visited by Wendy and Helen whilst they were in Bundaberg was SSS Strawberries, whose business includes a very successful farm shop for sales direct to the locals. Photo credit: Wendy Morris

During the Strawberry Field Day, Jodi Neal from DAF provided the latest update from the strategic levy investment project ‘Australian Strawberry Breeding Program (BS22000)’ which is part of the Hort Innovation Strawberry Fund.

As a final note, an extension for the Dimethoate MUP for orchard clean up/fruit fly control has been granted and is current until 30 June 2025, however we have been warned that this permit is unlikely to be extended beyond this date.

Please SEE PAGE 60 for information on how you can help control fruit fly on blueberry farms without relying on dimethoate. A Factsheet has also been developed and can be downloaded from the RESOURCE LIBRARY at berries.net.au/resource-library

We appreciate this can be a difficult endeavour for growers who are not in areas where area wide management is in place or where the cost of applying bait and traps is much higher than a dimethoate application, and will be working with government and private industry to help find solutions.

Arman Berkett-Saleh from Stothart Family Farms tastes a trial strawberry variety growing at the Maroochy Research Facility during the Strawberry Field Day held on 17 July. Photo credit: Wendy Morris
Photo credit: Katie O'Connor

Climate and crop

Western Australia

After a very dry and warm start, autumn finished with below-average rainfall and warmer than average temperatures in May. Maximum temperatures were 2.5–4.0 °C above average and minimums were 1–3 °C above average across the growing regions. Rainfall was patchy throughout the southwest with some areas receiving above-average rainfall but most receiving well below average falls. The last week of May was wet in the greater Perth region and rainfall continued into June with almost average falls recorded for the month. June rainfall was average to below average for the remainder of the southwest. June maximum temperatures were generally up to one degree warmer than average, and minimums were 1-2 °C above average. July was also slightly warmer than average in most growing regions and rainfall was generally average. The greater Perth region recorded 23 days with rainfall in July (at least 0.2mm) which is 5 more days than average.

The dry and very much warmer than average temperatures in May meant that Chilli thrips continued to be a problem for many berry growers in the greater Perth region. Applications of Simodis® to second-year strawberries in April (under Emergency Use Permit PER94616) provided a quick knockdown, but the thrip quickly established again four weeks later, bolstered by the warmer and drier than average conditions in May. Rainfall at the end of May and cooler temperatures in June and July have helped to reduce the pest pressure. Strawberry growers have been able to manage Chilli thrips on first-year plants with predatory mite Cucumeris. Predators have been more difficult to establish in the second-year strawberry crops. Thrip numbers and fruit scarring slowed on blueberry crops in the cooler weather, but numbers continue to spike as new growth flushes emerge.

Powdery mildew appears to be more prevalent this season on strawberry crops, with infestations noticeable early in the season.

Industry news

WA visit to Bundaberg

Thank you to Queensland IDO Wendy Morris for hosting myself and WA strawberry grower Thai Tran in May on a visit to Bundaberg as part of a protected cropping event at Hillwood Berries. It was very useful to see the different vented and non-vented tunnels in action and the scale of production in QLD, which is very different from what we see in WA! Thank you to Gina, Victor, and Toan at SSS Strawberries, Tina McPherson at Tinaberries, and Debbie and Michael from Bargara Berries for showing us around your operations. We were particularly impressed by the variety of valueadded items on sale across all three businesses.

WA Protected Cropping Events

Helping growers to improve irrigation and nutrition management on farm is a key priority of the new IDO and communications project (MT22010). To kick things off in WA, I have been collaborating with Vegetables WA on their VegNET Innovation Fund to deliver events that assist growers using substrate-based growing systems. The first training offering was an intensive 1.5 day workshop delivered by Levi Nupponen, Director of Agrology NSW, that was held in Yanchep 27 to 28 August.

Growers thinking about getting into protected cropping are also invited to join in learning events as part of a metro and regional roadshow from 23-26 September with Tony Bundock representing the Protected Cropping Association.

To finish the year, there is a 4.5-day Masterclass in Protected Cropping from 18-22 November at a south metro location. This training will be delivered by Graeme Smith – see more details of Graeme’s training here: www.graemesmithconsulting.com

Trials in Wanneroo of CBC Adelanto indicate this variety may perform well in the Perth region with early yields of firm, flavoursome, and well-coloured fruit (photos taken 16 July 2024 in Wanneroo). Come to the September variety walk in Wanneroo to see this variety and other interesting varieties such as CBC Belvedere, UCD Warrior, UCD Victor, and ASBP Stella. Photo credit: Helen Newman

Field walk to see and taste new varieties

Put 18 September in your diary for a field walk at Gerry Verheyen’s place on Ross Street in Wanneroo. Jodi Neal, Principal Plant Breeder for the Australian Strawberry Breeding Program (ASBP), will have locally-grown new-release Australian varieties and advanced clones on show. Gerry will walk us through the promising new international varieties from the UC Davis, California Berry Cultivars (CBC), and other breeding programs he has been testing on behalf of Toolangi.

Fungicide-resistant botrytis

I still have plenty of kits for taking samples of botrytis on strawberries and blueberries, courtesy of Associate Professor Fran Lopez-Ruiz from The Fungicide Resistance Group at Curtin University.

If you think you are having issues with fungicide resistance in your berries let me know and I’ll collect a sample for lab testing.

Thai Tran, Wendy Morris, and Helen Newman at Bargara Berries near Bundaberg. Photo credit: Wendy Morris

Tasmania

Ella Roper, Berry Industry Development Officer

0400 100 593 | berryido@fruitgrowerstas.org.au

This is my first regional report as the Berry Industry Development Officer for Tasmania which I commenced in late June, taking over from Mark Salter following his recent retirement. I’m thrilled to be on board and am looking forward to getting out to visit growers over the coming weeks and months to better understand grower priorities and challenges for the upcoming season.

I come from a technical horticultural background, having spent six years working as a horticulturalist with Costa in North-West Tasmania, focusing on blueberries. I have worked with soil and substrate/semi-hydroponic systems and have a keen interest in all aspects of berry agronomy.

Prior to my horticultural role with Costa, I completed a Bachelor of Agricultural Science with honours at the University of Tasmania (UTAS) in 2017, focusing on predictive models for botrytis in raspberries.

Settling into this role, my focus will be on visiting growers so I can develop a broader understanding of the industry and the main challenges and priorities. I have been fortunate to meet a range of large and small growers across the state already who have been incredibly welcoming, and it has been great to gain a better understanding of how the different farms operate. While each grower manages their farm in a different way, there are consistent challenges evident across the industry, particularly around the rising cost of labour and farm inputs.

Currently, Tasmanian berry growers are in the midst of winter activities, readying the crops for the upcoming season. Strawberry growers have been busy with replanting activities, raspberries are being pruned or potted up, and blueberry growers are finishing winter pruning to balance new growth and crop load.

Pest and disease levels will increase through spring, and growers will be on the lookout for emerging pests as new canopy growth appears. As temperatures rise over the coming weeks, root growth increases, and farm fertiliser programs will ramp up to support the developing crop.

In my first week in the new role, I attended two of the three ‘Navigating New Labour Laws Workshops’ run by Fruit Growers Tasmania across the state. These workshops aimed to help growers better understand ongoing changes to workplace laws and how the changes might affect their business. It was great to see active engagement from the growers, with the sessions generating some insightful discussions around upcoming changes. I was also able to meet numerous berry growers at these events, and the feedback for the sessions was exceptionally positive.

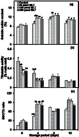
This edition of the journal features some very interesting updates for Rubus growers including news about new projects taking place in the pollination arena (PAGE 99), innovative ways to tackle persistent pests like green vegetable bugs and mirids (PAGE 96) and how the well-known hormone that regulates your sleep cycle –melatonin – is produced and used by plants too (PAGE 87).

Based on my experience with botrytis in raspberries, I have provided an article on PAGE 84 for Rubus growers to build understanding of how the disease can affect your crop and cause significant crop losses. The role of cultural controls in conjunction with a broader disease management strategy cannot be understated.

It has been great working with the Fruit Growers Tasmania and Berries Australia teams over the past few weeks as I have settled into the role, and I look forward to working with growers for the upcoming season, to help support the sharing of knowledge and information.

If you have any questions, don’t hesitate to get in touch –my email address and telephone number remain the same.

New South Wales

Gaius Leong, Berry Industry Development Officer

0484 055 748 | gaius.leong@dpi.nsw.gov.au

What does the future for pest and disease control look like?

The review and eventual decommissioning of older chemistry has begun and will continue its march forwards leaving unprepared, over-reliant growers to grapple with the consequences. Chlorpyrifos was taken off the list recently, with products like suSCon® Green and suSCon® Blue discontinued.

What is next on the list?

With more older chemistry under review, research into IPDM techniques becomes increasingly vital to the sustainability of the berry industry. Getting commercial growers to feasibly adopt this research is often much more difficult to achieve with costings and situational applicability some of the hurdles faced.

A great current example can be seen with the reliance on Dimethoate for the control of Queensland Fruit Fly (QFF). The recent extension of PER13859 (Dimethoate for orchard clean-up) means it is entering its final year of permitted use with it highly likely to be cancelled at the expiry date of 30 June 2025. There is high probability that the APVMA will not renew this permit again for the following reasons:

• The APVMA do not believe that these claims fit under a minor use permit as the permit covers a broad range of crops, many of which are not classified as minor crops

• The APVMA note that the extremely broad host and pest range suggests that use could exceed 10,000 hectares nationally, thereby excluding this use under a minor use permit

• The Dimethoate chemical review outcomes are now known and many of these crops will no longer fit under this permit

There is no doubt that QFF is a major pest for berry crops, however, even though alternatives to chemical control have been well researched and proven to be commercially effective, the adoption by smaller producers is low especially in concentrated horticulture and residential areas. Smaller size producers often do not see a high percentage of QFF control if area wide management has not been implemented in the local area. Most non-chemistry related controls employ proactive measures which require area wide management to be commercially effective.

SEE PAGE 60 for a reminder of the resources that are available to help you manage QFF in Blueberries without the need for broadcast sprays of insecticide. The resources include a new Factsheet about managing QFF without the use of broadcast insecticide sprays.

The new edition of the Berry Plant Protection Guide 2024/25 is underway and this time around strawberries will be included in the guide as we endeavour to cover all major commercial berry categories. As this is a whole new berry category to the NSW berry team, we will be roping in assistance from strawberry specialists both within the Berries Australia team and consultants from the wider industry.

You can also look forward to information on a few more pests and diseases, such as girdling moth, ants, fall army worm just to name a few. The guide will also include a feature article that addresses chemical resistance in botrytis strains found on the mid north coast. Botrytis sampling has been ongoing over autumn and winter this year, with the lab screening portion planned for spring. We aim to have the guide ready before the end of this year and it will be available in both printed and electronic formats.

For the current version of the Berry Plant Protection Guide, please visit the RESOURCE LIBRARY at berries.net.au/resource-library and type 'plant protection' in the Search box

Victoria & South Australia

Dr Angela Atkinson, Berry Industry Development Officer 0408 416 538 | ido@vicstrawberry.com.au

After a seemingly very cold and dry winter, spring is definitely coming, with weather predictions for Victoria and South Australia being warmer and possibly wetter over the next few months.

In the last edition of this journal, I mentioned that it would be my last Industry Development Officer (IDO) update, but as I’m writing this I am still working in the role part-time in addition to my new role as Research & Development (R&D) and biosecurity manager in order to take advantage of the quiet off-season to organise training and events for growers going forward.

The Victorian Strawberry Industry Development Committee (VSIDC) has recruited a new IDO to represent Victoria and South Australia as part of the national strategic levy investment ‘Facilitating the development of the Australian berry industries (MT22010)’ funded by the Hort Innovation Strawberry, Blueberry, and Raspberry and Blackberry Funds. The new IDO is Sandra Shaw who some of you may know from her work at the Wandin Research farm, as part of the strawberry breeding program. Sandy comes to the role with a lot of experience in the strawberry industry, both in Australia and internationally, and will start in the role in mid-September.

While it is quiet, I have been organising training for growers in Freshcare, first aid, chemical user permits and forklift licences in preparation for the coming season.

As part of the AgriFutures Technology grant awarded to the Victorian Strawberry Growers Association we are planning to run a traceability trial on a couple of Victorian farms, as well as a trial of disease prediction software in the coming season. These trials will be shared with growers in on-farm events later in the year.

Our new Victorian and South Australian IDO will be taking over these trials and other organised activities when she starts in September and will also be getting out and about to meet growers in both states.

My new role is to manage R&D for the berry industry nationally and work with Hort Innovation to ensure industry needs are communicated and R&D projects are prioritised to address grower’s concerns, as part of a new three-year project. The strategic levy investment ‘Berry Advisory Mechanism (MT23003) is part of the Hort Innovation Strawberry, Blueberry, and Raspberry and Blackberry Funds. The new project is outlined on PAGE 17 in this edition of the journal.

As part of this project, I will also be providing regular updates on levy-funded R&D projects to industry and will work with service providers and researchers to optimise industry R&D. Part of the role will be liaising with growers and IDOs to ensure R&D needs are captured and addressed, so I will still be around. I will also be continuing to represent the berry industries in their biosecurity obligations with Plant Health Australia in terms of industry preparedness and emergency responses.

If you have ideas for potential R&D projects or would like information about any current or future projects, please contact me, as all future R&D will go through the new advisory mechanism process as part of this three-year project. I have a new email address AngelaAtkinson@berries.net.au and a new mobile 0499 645 836.

Finally, I’d like to wish all of you the best for the coming season and look forward to working with you in my new role.

Victorian Strawberry Industry Development Committee

Berry advisory mechanism (MT23003) –a new way to engage

Berries Australia have a new three-year strategic levy investment project ‘Berry advisory mechanism (MT23003)’ which is part of the Hort Innovation Strawberry, Blueberry, and Raspberry and Blackberry Funds that will change the way industry engages with Hort Innovation to prioritise research, development and extension projects using berry industry levies and Australian Government co-investment.

Through this project, Berries Australia will consult widely across the Australian berry industries to provide high-level project scoping and investment ideas to Hort Innovation. As part of this project, Berries Australia has engaged a Research and Development (R&D) Manager who will work with the Hort Innovation Industry Service and Delivery Manager and the Hort Innovation R&D Managers to identify and co-develop R&D investment recommendations based on industry needs and priorities.

The purpose of the advisory mechanism is to streamline the way industry needs are identified and integrated into project investment recommendations. The first part of the mechanism involves a Berry Ideation Panel, consisting of growers, researchers and technical experts, agronomists, Berries Australia representatives and industry development officers. This panel will meet at least once per year in a facilitated workshop to identify R&D needs for each berry category. R&D concepts from this workshop will be developed into investment recommendations by the Hort Innovation R&D Managers, in consultation with the Berries Australia R&D Manager.

Each berry category has a prioritisation panelreplacing the previous SIAPs (Strategic Investment Advisory Panels) - consisting of levy-paying growers representing all growing regions, peak industry body committee members and non-board member growers. While considering the Berry Industry Strategic Investment Plan 2022-26, the role of the three berry industry prioritisation panels includes providing advice to Hort Innovation regarding prioritisation of investment recommendations and endorsement of projects for progression to a tender process and ultimately a project.

The new advice mechanism kicked off with an Ideation Panel Workshop in March consisting of 20 members including the berry IDOs, growers, and technical experts across all berry categories and regions. Participants shared their insights and experiences of key issues facing growers in the different regions and berry crops. Four main themes emerged from the workshop as industry needs:

— Effective pest and disease management

— Demand creation and ensuring quality fruit supply to consumers

— Sustainable and resilient production systems

— Quality planting stock

Potential berry-specific projects were developed into investment recommendations to go to the Berry Industry Prioritisation Panels. The panels met in June to consider the recommendations. Priority projects that were endorsed included supporting BerryQuest 2025, pest and disease issues across the berry industries (Chilli thrip and Leafrollers) and supporting effective and timely agrichemical access.

With the advice received at the June prioritisation panel meetings, Hort Innovation is currently developing 2024/25 Berry Industry Annual Investment Plans. These plans include industry fund information including current and proposed R&D projects. An update will be provided in the next edition of the Australian Berry Journal.

Want to know more?

You can find the full details about the new Industry Advice Mechanism at bit.ly/BA-IAM and if you have an idea for a Berry industry R&D project, please reach out to:

Berries Australia R&D Manager: Angela Atkinson 0499 645 836 | AngelaAtkinson@berries.net.au Hort Innovation Berry Industry Services & Delivery Manager: Adrian Englefield 0427 143 709 | Adrian.englefield@horticulture.com.au

What do Australian consumers think about Food Safety?

Food Standards Australia New Zealand (FSANZ) have recently released a research report - ‘Consumer Insights Tracker 2023: Trust and confidence in food regulation, use and understanding of food labelling, and food safety perceptions and behaviours’ – which has been launched to be an annual mechanism used to understand everyday consumers’ views on the food regulatory system used across Australia and New Zealand.

The research is based on an online survey of approximately 1,200 Australian and 800 New Zealand consumers aged over 18 years. It is a nationally representative sample by age, gender and location. The survey consists of approximately 40 quantitative questions that measure consumer trust and confidence in the food system, use and understanding of food labelling, attitudes and consumption intentions around new and emerging foods, and food safety perceptions and behaviours.

Trust and confidence in food regulation

People generally have confidence in the safety of the food supply, likely because they trust the food actors who make up our food system.

• 72% of consumers have confidence in the safety of the food supply

• All food actors were trusted by a majority of respondents, but most trusted were farmers and producers (trusted by 83%) and least trusted were manufacturers/processors (57%)

FSANZ is generally trusted by those who know something about what it does.

• Of those who know something about what FSANZ does, 79% trust FSANZ

Trust and use of food labelling

Consumers tended to trust back-of-pack labelling information more than front-of-pack. Trust in government predicted trust in back-of-pack labelling, while trust in food manufacturers/processors and retailers predicted trust in front-of pack labelling.

• 65% of respondents trusted mandatory food labels overall, however, some labelling elements were more trusted than others

• Most trusted were ‘Allergen information’, ‘Ingredient lists’, ‘Best before/use by dates’ and the ‘Nutrition Information Panel’

• Least trusted were ‘Claims about health benefits’ which were only trusted by 40% of respondents and ‘Claims about nutrition/ingredient content’ trusted by just 53% of respondents

• The Health Star Rating (which is not regulated by FSANZ) was trusted by only just over half of respondents, and was predicted by lower levels of trust in retailers (e.g., shops and supermarkets)

Nutrition labelling is important to consumers, but there is a disconnect between the level of importance consumers give to nutrition content claims and the Health Star Rating, and their trust in them.

• Nutrition/ingredient content claims and the Health Star Rating were among the most important for making food choices but the least trusted indicating that consumers may feel that these are not adequately ‘regulated’ for veracity.

These graphics were developed as part of project ‘Health and nutrition information for the berry industry (MT21000)’ and are being incorporated into the Bery Basket Marketing campaign. Image credit: FOODiQ Global

Health and dietary behaviours

Cost of living pressures and weight management are key factors affecting people’s food choices today.

• 65% of consumers reported cost of living pressures as a factor affecting their food choices, with 42% of consumers reported ‘watching my weight/others’ weight generally’ as a factor affecting their food choices and nearly 1/5 identified a food allergy or intolerance as affecting their dietary choices

People report being generally health conscious in their food choices, and tend to value nutrition above other food attributes (excluding taste and price).

• Nearly three-quarters of respondents (73%) reported that they put effort into maintaining a healthy diet

• ‘Nutrition' was both the most selected food value (by 66% of respondents) and the most commonly first-rated food value, excluding taste and price with ‘Naturalness’ coming in second

Food safety knowledge and behaviours

Foodborne illness was consumers’ key food safety concern, but there may be a gap in food safety awareness.

• Foodborne illness was the most common top 3 food safety issue (59%) and, by a large margin, the most commonly selected #1 food safety issue (31%)

• Product labels were by far the most preferred source of information on how to store and prepare food safely (chosen by 52% of respondents)

• Some significant differences in food safety behaviours was noted between older and younger consumers, and it appears that male respondents were ‘riskier’ in their approaches to food hygiene

What do these insights mean for berry growers?

TRUST: It is great news, but no real surprise, that farmers are highly trusted (83%) by consumers to do their part to ensure that food sold in Australia/ New Zealand shops and supermarkets is safe to eat. It is critical to maintain this trust, meaning the focus on food safety on-farm needs to remain a very high priority for every grower.

HEALTH AWARENESS: Most respondents (72.6%) generally reported putting effort into maintaining a healthy diet. ‘Nutrition’ and ‘Naturalness’ were selected as the Top 1 and 2 food values that are important to consumers when choosing which foods to buy and fresh berries deliver strongly on both these attributes. Berries are already widely recognised as a very healthy option along with all fresh fruits and vegetables, although more communication can be done about the specific benefits which are quite unique to berries. This is being incorporated into the Berry Basket marketing campaign continuing until the end of January 2025, with amplification of the key nutritional attributes specific to each berry that were identified as part of the strategic levy investment project ‘Health and nutrition information for the berry industry (MT21000)’ funded by the Hort Innovation Strawberry, Blueberry, Raspberry and Blackberry Funds.

FOOD SAFETY: Foodborne illness was highlighted as a key concern for consumers with 52% indicating that their preferred source of information about how to store and prepare food safely was the product label itself. Berry brands that feature customised packaging could ensure that there is clear communication about washing the product just before use.

The key insights are outlined here, but you can read both the simple and full technical reports at the RESOURCE LIBRARY. Visit berries.net.au/resource-library and search 'FSANZ'

The Conference Committee are delighted to announce that registrations for BerryQuest International 2025 are officially open.

The Earlybird Full Conference registration is only available until 31 October 2024 and represents a substantial discount that is well worth taking advantage of to secure your place at the industry event of the year in 2025.

The Berries Australia Event Team have also secured a range of accommodation options available at a discounted

to Conference attendees but please be aware that the number of rooms

are

The latest addition to the BerryQuest International 2025 program is the inaugural Australian Berry Industry Awards at the Gala Dinner on Thursday 27 February proudly sponsored by Driscoll’s.

AWARDS WILL BE PRESENTED IN THE FOLLOWING CATEGORIES:

Supply Chain Champion

A berry supply chain participant who significantly supports the berry industry

Next Generation

A young berry grower or supply chain participant who is active in supporting industry activities and is innovative in their own business

Researcher of the Year

A researcher who has a track record of research or extension work that has advanced the industry, offering long term industry benefits

AVAILABLE

Agronomist of the Year

A berry enterprise employee, agronomist or similar who supports growers to optimise their production systems, shares their knowledge across industry and contributes to discussions about R&D

Proudly sponsored by:

AVAILABLE

Grower of the Year

A berry grower that is outstanding across all aspects of production, is innovative, and that actively contributes to the broader industry

Proudly sponsored by:

You also have the opportunity to show your support for the Australian berry industry by giving a berry grower the opportunity to attend this important and highly informative event on the industry calendar.

Not only will they receive the benefit of hearing from experts in all aspects of farming, research and technology from across Australia and beyond, but you will receive acknowledgement for supporting your chosen grower’s continued development in berry production.

AVAILABLE

AVAILABLE

The award nomination process will be announced soon. AS AN AWARD SPONSOR FOR $5,000 +GST

ENTITLEMENTS INCLUDE:

Naming rights to the allocated award

• ONE complimentary Full Conference Registration

Insertion of ONE Promotional item in the Conference Bag

Acknowledgement on the Conference website with a link to the Sponsor’s website, on Sponsorship Title Slide shown throughout the Conference, on the Conference App and on any relevant printed materials

• Option to utilise delegate Lead Capture technology via the Conference app

• TWO tickets to the Australian Berry Industry Gala Dinner & Awards evening with the award presentation during the Gala Dinner and a photo opportunity with the award recipient

THE ‘SHOUT A GROWER’ SPONSORSHIP IS AVAILABLE FOR JUST $1,500 +GST

ENTITLEMENTS INCLUDE:

ONE complimentary Full Conference Registration, a Farm Tour and the Australian Berry Industry Gala Dinner & Awards night for your nominated grower

Insertion of ONE Promotional item in the Conference Bag

Acknowledgement on the Conference website with a link to the Sponsor’s website, on Sponsorship Title Slide shown throughout the Conference, on the Conference App and on any relevant printed materials

Option to utilise delegate Lead Capture technology via the Conference app

How to make the most of your pollination service

European honeybees are an important part of berry production. They busily work away transferring pollen grains within flowers improving yields and fruit quality.

While feral honeybees can provide pollination, in cold wet weather they may not fly the required distance to pollinate your crop effectively. They may also find other more attractive food sources (flowers) nearby so might not visit your crop as much.

One way to ensure consistent pollination in your crop is to employ professional paid pollination services. If you decide to do this, you want to make sure you get the most out of your new ‘employbees’.

This article aims to provide information to help you when working with your pollination service provider.

A professional working

relationship with your beekeeper

based on a mutual understanding of each other's needs is essential to success.

Getting the timing right

Generally, bees should be bought into the crop at 5-10% flowering so they can start working immediately. If bees arrive too early, they will find other nectar and pollen sources, and may not move into your crop when it starts flowering.

This is particularly important for blueberry and strawberry crops which are less attractive to bees due to their relatively low nectar content.

Rubus on the other hand produces large volumes of nectar and has no problem attracting bees and other pollinators.

Hive placement

Temperature, rain, and wind dictate the distance that bees will fly and pollinate. In calm, mild conditions, bees can provide good pollination within a 1.5km radius of their colonies.

Bees fly shorter distances in cold weather (13-16oC), limiting the area of pollination. Bee activity is very limited in temperatures below 13oC. As temperatures rise the distance bees travel from the hive to gather pollen and nectar increases, expanding the pollinated area.

Wind limits the area of pollination by slowing bees down and wearing them out. Bees may travel shorter distances or make fewer foraging trips during windy conditions.

They are also less likely to leave the hive in high winds. Your beekeeper will consider the prevailing environmental conditions, and your site and crop characteristics when determining the optimum hive placement and may:

• monitor the flying patterns of the bees to see how far they fly during critical pollination periods and in different weather conditions (mid-morning is the best time to do this)

• keep hives close to the planted area, particularly during cold and/or windy seasons, distributing them according to observed flying distances

• place hives in sunny north/northeast-facing sites in cooler weather

• keep hives cool in summer by placing them in the shade

• provide shelter from the prevailing wind

Hives must also be located away from:

• light sources that will attract them away from the hive at nighttime

• high-traffic areas where they may be bumped by people and machinery

• incompatible neighbouring crops and more attractive nectar sources

In the less bee-attractive berry crops (blueberry and strawberry), beekeepers may place hives in the middle of the planting so that the bees must travel through the crop to get to more attractive nectar sources in the surrounding area. If there is a more attractive nectar source on one side of the crop but not the other, hives may be placed so that bees must travel through the crop to reach that nectar source (Figure 1).

Food and water

Bees need unlimited access to clean fresh water. Water is used to dilute the honey the bees feed on and to regulate temperature and humidity in the hive. A healthy colony (one hive) will go through up to two litres (2L) of water every day during summer. On hot days, bees may become stressed if they are temporarily without water, which impacts their health and capacity to pollinate.

Water points should be located within 50 to 100 metres of the hive and must be free from chemical and fungicide contamination (spray drift).

If natural water sources aren’t located nearby, your beekeeper will set up watering stations like the one shown in Figure 2. Beekeepers may install and maintain these water stations as part of their pollination service (Figure 2).

Figure 1. Strategically placed hives make bees travel through this blueberry crop before they reach Figure 2. Example water station made from a 44-gallon drum cut in half. A rubber mat trimmed to size floats on the water to prevent bees from drowning. The yellow mesh top prevents other animals from falling into the reservoir.

Photo credit: Steve Fuller

Supplementary feeding with sugar water and pollen is not generally recommended when bees are on a pollination job as it will decrease pollination. Instead, beekeepers will rotate hives to maintain the optimum hive health for the target crop (different crops require different colony structures). Hives may be rotated every 3 to 4 weeks, resting bees between pollination jobs in a more pollen and nectar-rich area like forests and parklands. Supplementary food may be provided in this resting stage.

Site access

From a beekeeper’s point of view, all-weather vehicle access is highly desirable. Limited access may lead to an increased workload for the beekeeper and uneven placement of hives, damage to equipment, unnecessary damage to farms, and possible personal injuries. Ensuring the beekeeper has good access will aid in the optimal placement of hives (Figure 3).

Site access tips

• have all-weather access for medium to large trucks

• be large enough to unload the truck with a bobcat, forklift, or Hiab

• locate away from gateways or high-traffic areas

Chemicals and poisons

Pesticides should be kept to a minimum while hives remain on the property. Even non-insecticidal sprays can affect pollinators if applied at the wrong time.

Consult your beekeeper before applying any agrichemicals

Most poisoning occurs when pesticides are applied to flowering crops, pastures, and weeds and when instructions for spray use from the beekeeper are not followed. Bees can also be killed by poisonous flowering plants, such as the African tulip tree and Sturt Desert pea, and where environmental conditions render normally safe nectar sources toxic.

Nectar of the native grey box and black butt trees are an example of this, where fermentation during wet weather makes the nectar of these species’ toxic to bees.

To reduce bee losses:

• check all chemical labels for any effects on bees

• if a spray is necessary, apply it late in the afternoon after bees have finished flying (only for sprays with a bee withholding period of 12 hours or less)

• if a chemical has a bee withholding period of more than 12 hours, inform the beekeeper and discuss the options. Removing the bees from the farm may be the only option

• consider surrounding plants that may be toxic to bees

Be mindful of spray drift and do not spray in conditions where spray might drift onto adjacent fields supporting foraging bees. Dispose of waste chemicals or used containers correctly.

Moving bees off-site to accommodate chemical applications is not a quick and simple task. Bees are like cats and dogs, they will return ‘home’ if they can. Hives must be moved at least 3km away from the sprayed area for 3 to 7 days or they will return to the site and die (Figure 4).

Did you know that bees have two stomachs? Foraging worker bees can bring poison back to the hive in their non-feeding stomach where it is deposited in the honey and bee bread that larvae and other bees feed on.

Protected cropping

Bees tend to forage less under protective covers so hives can quickly lose health. Bees also dislike flying into areas under netting or into tunnels.

The colour of the protective covering can have an impact on bee navigation. Bees forage better under white surfaces in preference to dark colours or black. Bees may benefit from large colourful objects placed in the enclosure to enhance navigation.

Netting type is also important, bees get stuck in hail netting (Figure 5) but can pass safely through bird netting (Figure 6).

Hives are normally best moved at night, but in protected cropping situations, daytime may be preferred. The daytime movement of hives into a protected cropping area leaves behind old field bees, which would quickly become disoriented and die in the new environment.

mainly moved at night so a clear area to unload and safe access to locations where hives are to be placed is essential.

Figure 3. Hives are
Photo credit: Steve Fuller
Figure 4. Bees poisoned with a systemic chemical or toxic nectar die with their tongues sticking out. These poisons can also be fed to larvae in the brood by returning worker bees. Photo credit: Steve Fuller

kills bees, they can fit their head and thorax through the net, but their abdomen gets stuck and they die. Figure

allows bees to pass through safely.

Figure 7. Hives placed on leg rows at the end of polytunnels allow bees to be drawn into this Rubus crop
Photo credit: Steve Fuller
Figure 5. Hail netting
6. Bird netting
Photo credit: Steve Fullerr

Field bees are the oldest bees in the hive and are programmed to travel long distances.

To manage pollination under protected cropping your beekeeper may:

• place hives within netted areas instead of on the outside. While bees will enter through holes or gaps in bird netting this takes time and energy, reducing their capacity to pollinate.

• place hives in the middle of the crop on leg rows, particularly in less attractive blueberry and strawberry crops

• place hives at the end of tunnels to funnel bees through more attractive Rubus crops

Colony strength

Colony strength refers to the number of bees in the hive and the population structure of the colony.

A beekeeper must understand the characteristics of the crop and will match colony strength to that crop.

In very nectar and pollen-rich crops like canola and clover, bees breed rapidly and can swarm if not managed correctly. Swarming reduces hive strength.

In less attractive crops like strawberries and blueberries, additional honey and pollen stores are needed in the hive to maintain colony health. These stores only last 3 to 4 weeks, hence the need to rotate colonies in and out of these crops.

Colonies suitable for pollinating blueberries or strawberries generally contain at least 30,000 to 40,000 bees and have 6 to 10 full frames of brood in all stages of development.

It takes 12 months for a beekeeper to establish a strong colony. Having one strong colony is equal to 4 to 6 weak colonies. Stronger colonies work at lower temperatures!

Stocking rates

Guidelines for hive stocking density for berry pollination vary widely, even within berry types and varieties. Because of the diverse factors at play, the exact number of bees a berry grower will need cannot be given.

Your beekeeper will consider the following points when determining the appropriate stocking rate for your crop:

• number of native pollinators and feral bee colonies already in the area

• other plants in the area that flower at the same as the berry crop and thus compete for bees

• weather conditions during the flowering period

• the density of flowering in the target crop (influenced by planting density, variety, season, etc.)

• the attractiveness of the crop to bees – higher stocking rates may be needed under protected cropping conditions and in less attractive crops like strawberry and blueberry, or in the case of Rubus, where individual bees make fewer visits to flowers because they get their fill of nectar quickly from fewer flowers

• yield expectations

Hot weather makes flowers open quickly. This increases the chance that flowers will not get visited before they lose viability. Higher bee stocking densities can counteract this potential limiting factor.

Blueberries

Good pollination in blueberries can result in a higher percentage of fruit set, larger fruit, and earlier ripening.

Researchers at Michigan State University suggest that for highbush varieties, bees must visit each flower up to three times for the berry to grow to its maximum size. Blueberry flowers are most viable for the first three days after opening, so it is important to have enough bees to allow those visits in that 3-day window.

Pollination success should be monitored in each crop so that stocking rates can be adjusted. Flowers turning brown and discoloured on the bush is an indication that pollination was not sufficient. The petals (corollas) fall off the flowers in well-pollinated fields when they are still bright white.

Estimating pollination success on blueberries

Select and tag 30 flowering stems throughout each block at random just before flowering starts. Count the number of flower buds above the tag before they open. Revisit the tagged stems one week after flowering and count the number of fruitlets – this will give you the initial percentage of fruit set. Return to the tagged stems again after the natural fruit drop to count the number of berries remaining on the plant. These should mature and will give you the final fruit set relative to the initial number of flowers. Remember to take note of any external factors, such as weather events and pest and disease, that may have impacted fruit set and the estimation of pollination success.

Strawberries

Good pollination in strawberries improves fruit set and increases fruit size. Poor pollination can result in misshapen fruit.

10 to 16 bee visits are needed to effectively pollinate a strawberry, and flowers are most viable in the first one to four days after opening.

Because strawberry flowers are less attractive to bees some growers use what’s known as ‘saturation pollination’ where a larger number of bees per unit of space are used. Overstocking helps ensure enough bees visit the crop, accepting that they will also forage on more attractive (non-strawberry) pollen and nectar sources nearby.

Rubus

Good pollination in Rubus crops enhances fruit size, quality, and yield. There is also a strong correlation between the number of bee visits to each flower and drupelet numbers.

Nectar is secreted in large amounts from blackberries and raspberry flowers and both nectars have a high sugar content that attracts an abundance of pollinating insects, especially the honeybee. Raspberries are even more attractive than blackberries.

Because the flowers produce relatively large amounts of nectar, bees may need to visit fewer flowers to collect nectar and may not spread evenly through a field. If an uneven distribution of bees is noted, more hives should be introduced and spread around the crop.

Acknowledgments

Thank you to Steve Fuller, President of the Crop Pollination Association of Australia, for providing technical input and images for this article.

These sources were also consulted in creating this article:

BeeAware: beeaware.org.au

Crop Pollination Association Inc: aussiepollination.com.au

www.canr.msu.edu/news/invest_in_pollination_ for_success_with_highbush_blueberries

Cooperative Extension – Maine (USA) Wild Berries: extension.umaine.edu/blueberries/629-honey-beesand-blueberry-pollination

Engaging a beekeeper

When you engage a beekeeper you are not just hiring hives, you are purchasing a professional service.

Bees have a 3-week breeding cycle, so your beekeeper will visit the hives every 3 to 4 weeks to check colony strength. While on-site, they may also adjust hive locations (if needed), maintain water stations, conduct biosecurity checks, and monitor bee behaviour. Hives may also be rotated depending on food stores and colony strength.

Maintaining a pollination contract with your beekeeper is essential to ensure that your responsibilities and the responsibilities of the beekeeper are clear. You can also use this contract to ensure that your beekeeper has the necessary qualifications, registrations, licenses, and insurance.

The most important tool that beekeepers and berry growers can use to ensure a long-term, hassle free and mutually beneficial business relationship is communication.

The Pollination Guide for the Australian Berry Industry 2024 is a best management practices guide for growers and pollination stakeholders in the berry industry. It provides guidance on how to establish and maintain clear communication between parts of your business and your beekeeper. It includes a detailed list of key conversations to have, roles and responsibilities. It also includes templates for pollination agreements and letters to neighbours.

Thank you to the Australian Honey Bee Industry Council (AHBIC) for their assistance in the preparation of this guide.

The guide is available now in the RESOURCE LIBRARY at www.berries.net.au/resource-library by typing 'pollination guide' into the Search box

Updated pesticide resistance strategies boost climate-smart agriculture

CropLife Australia

CropLife Australia’s Resistance Management Strategies for fungicides, herbicides and insecticides have been updated and provide comprehensive and science-based approaches to manage pests, weeds and disease on Australian farms and in our natural landscapes.

The official 2024-25 strategies have been updated and result from extensive collaboration between expert scientific technical review committees, industry stakeholders and local and international experts and are now available online

Chief Executive Officer of CropLife Australia, the national peak industry organisation for the plant science sector, Mr Matthew Cossey said, “By investing in these strategies, CropLife and its members support farmers and environmental land managers with access to the most up to date and science-based solutions.

"Climate change poses one of the most significant challenges to pest management and agricultural production that farmers have faced. These challenges will only intensify in the coming decades. Shifting temperatures and weather patterns are not only leading to an increase in biotic threats but also the emergence of new ones.

“Access to the plant science industry’s modern chemistry and innovative tools alongside best-practice stewardship of these tools is critical to implementing a successful Integrated Pest Management plan particularly in the face of climate change and for Australian-specific conditions.

“By having the tools and support to manage the constant threat of pests, weeds and diseases in our natural shared spaces, farmers can continue to increase crop yield and quality in changing climatic conditions.

“Importantly, these strategies complement but do not replace label requirements and product users must always adhere to label instructions.

Mr Cossey concluded, “CropLife and its members take product stewardship seriously and are committed to a whole-of-lifecycle approach by contributing millions of dollars each year to activities to support the safe and sustainable use of the plant science industry’s products. By equipping product users with the tools and information to adequately plan ahead, CropLife’s Resistance Management Strategies assist farmers, agronomists and environmental land managers to ensure that important crop protection products remain viable and effective tools into the future.”

The annually updated Resistance Management Strategies are part of CropLife’s Stewardship First initiative, offering free resources and programs to support best-practice product use. In addition to these strategies, other resources address spray drift mitigation, pollinator health, and the responsible recycling and disposal of products and packaging.

You can access the updated Resistance Management Strategies at www.croplife.org.au/resources/ programs/resistance-management

This year also marks the final year of transition for the Herbicide Mode of Action classification alignment, where Australia’s previous alphabetical codes have been updated to align with the international numerical code system. The numerical classification system should be fully implemented by the end of 2024.

For more information visit the RESOURCE LIBRARY at berries.net.au/resource-library and Search ‘MoA’ – you will find a Factsheet, Poster and Pocket Guide to explain the changes to the Herbicide Mode of Action classifications

Accessing new chemicals through the APVMA permit process

Before any pesticide can be sold or used in Australia, the Australian Pesticides and Veterinary Medicines Authority (APVMA) must ensure it is rigorously assessed for efficacy, safety (human and the environment), trade, and quality.

Manufacturers must conduct trials and submit comprehensive data packages to the APVMA to have their products assessed and registered in Australia. This process is expensive but works well for larger industries like strawberries, where the volumes of chemicals sold are economically attractive. It becomes tricky where chemicals are needed for smaller-scale crops or niche uses where the return on investment is lacking or in emergencies where a chemical is needed but there isn’t enough time to develop data packages.

To allow smaller-scale crops to gain greater access to agrichemicals when needed, the APVMA has a minor use permit system that allows for approved off-label use of agrichemicals for specific purposes. There are currently 29 minor use permits for blueberries and 27 for Rubus. This permit system can also be used to allow limited uses of agrichemicals on major crops where registration for this use would not provide sufficient economic return to the manufacturer.

The APVMA emergency use permit system can be used when there is a genuine unforeseen need for a chemical product or active constituent.

Crop categories

Crops are categorised by the APVMA as minor or major according to the area under cultivation, the volume of production, dietary consumption, crop value, and export quantities.

Strawberries are considered a major crop, so minor use permits are not granted unless it can be demonstrated that the use will be limited to less than 10% of the national crop or 10,000 hectares (whichever is less) per annum, or that registering the minor use will not be economically viable for the manufacturer.

Blueberries, raspberries, and blackberries are currently considered minor crops and are eligible to apply for minor use permits, even if the use is for the entire Australian crop. The APVMA is currently reviewing the classification of industries and this 'minor' crop status may change in future.

Strategic Agrichemical Review Process

The Strategic Agrichemical Review Process (SARP) is a structured process that provides a view of current priorities and gaps regarding pest, disease, and weed control in horticultural crops. SARPs are conducted every four years and the latest berry industry SARP report was released in February 2024.

Outcomes of the SARP may include pursuing chemical registrations with chemical companies, or minor use permits with the APVMA

The SARP involves a desktop study and industry consultation to:

• Identify the pests, diseases, and weeds affecting the industry, and prioritise them according to their impact and the current availability of effective control measures

• Evaluate all current registered and permitted chemical controls for their suitability in terms of efficacy, Integrated Pest Management (IPM), resistance management, residues, withholding period, trade, human safety, and the environment

• Identify gaps in pest and disease control strategies including gaps that may arise from future loss of chemistries

• Identify suitable new or alternative chemicals to address the gaps

Table 1 shows the list of diseases and pests that have been designated as 'high priority' in the 2024 berry industry SARP.

Table 1. Pests and diseases designated as 'high priority' in the latest Berry Industry SARP published in February 2024

Insects and Pests

Two Spotted Mite (Tetranychus urticae)

Broad Mite (Polyphagotarsonemus latus)

Red Berry Mite (Acalitus essigi)

Western Flower Thrips (Frankliniella occidentalis)

Green Vegetable Bug (Nezara viridula)

Rutherglen Bug (Nysius vinitor)

Green Stink Bug (Chinavia hilaris)

Green Mirid (Creontiades dilutus)

Brown Mirid (Creontiades pacificus)

Crop Mirid (Sidnia kinbergi)

Leafhoppers / Jassids (Cicadellidae)

Light Brown Apple Moth (Epiphyas postvittana)

Loopers (Chrysodeixis spp.)

Queensland Fruit Fly (Bactrocera tryoni)

Strawberry Aphid (Chaetosiphon fragaefolii)

Green Peach Aphid (Myzus persicae)

Leaf and Bud Nematode (Aphelenchoides ritzemabosi)

Chilli Thrips (Scirtothrips dorsalis)

Grey Mould (Botrytis cinerea)

Phytophthora Root Rot (Phytophthora spp.)

Fruit Rot (Cladosporium spp.)

Powdery Mildew (Podosphaera spp.)

Crown Rot (Colletotrichum gloeosporioides)

Downy Mildew (Peronospora spp.)

Charcoal Crown Rot (Macrophomina phaseolina)

Blueberry Rust (Thekopsora minima)

Stem Blight (Neofusicoccum spp., Lasiodiplodia spp. and Botryosphaeria dothidea)

To read the latest berry industry SARP report in full, visit the RESOURCE LIBRARY at berries.net.au/resource-library and Search for ‘SARP’

Minor use permit process

New minor-use permits generally take 6-12 months to be assessed and issued once an application has been submitted. Application fees cost $350 and the permits are normally valid for 3-5 years before they must be renewed, or the use is added to the manufacturer's label.

Possible justifications for applying for a minor use permit:

• new disease, insect, or weed identified as a cropping issue

• no pesticide approved for the problem

• insufficient options for resistance management

• current pesticides ineffective due to resistance

• trade risk - current pesticides unsuitable where crop commodities will be exported

• IPM, environment, or WHS issues

• loss of pesticides due to removal from the market or chemical review restrictions

• market failure – insufficient return on investment for the manufacturer

A sound scientific argument, data, and evidence of support for the proposed use from the manufacturer, industry (e.g. industry SARP), and government officials, are also required to justify a new permit application.

Efficacy, crop safety, residue, trade, WHS, and environment data or argument must support the proposed use pattern prescribed in the permit application including application rates, method, frequency, and timing; pest density, withholding period, and applicable states/ territories. Data already available in Australia and overseas (e.g. MRLs and use patterns) can be used. If there are gaps, local testing and trials may be required.

How long does it take?

Generating and analysing the data needed for a minor use permit can take 6 to 18 months. Putting all the required information into a permit application package can take another 0.5 to 2 months. That’s up to 32 months (including the APVMA assessment timeframe) from when a potential product is identified to when it may be approved for use on a minor use permit.

Emergency use permit process

Emergency use permits are designed to support primary producers during emergencies or impending emergencies. They take 2-6 weeks to be assessed and issued once an application has been submitted.

Applications are free and permits are generally valid for 2 years before they must be renewed (usually as a minor use permit), or the use is added to the manufacturer's label.

Situations considered to be an emergency include:

• outbreak of an exotic pest or disease

• unusual weather patterns that have caused higher or more frequent pest or disease incursions

There must be evidence that the situation is a genuine emergency and of high priority. A written statement from the relevant state coordinator or government authority outlining the emergency and its impact (e.g. % losses, financial impacts) and supporting the proposed permit will be considered strong evidence.

Situations that are not generally accepted as an emergency include:

• a situation that has arisen because the applicant has not submitted a minor use permit application in sufficient time

• a pest, weed, or disease that has been allowed to thrive (contrary to sound agricultural practice) to the stage where urgent control or treatment is required

• the pest or disease generally recurs on a seasonal, annual, or other regular basis

• resistance to registered products has occurred, where the resistance has built up and been evident over time

Data and support from the chemical manufacturer are crucial for an emergency use permit application. If local data isn’t available for the target crop(s) this can sometimes be extrapolated from other crops. Where available, MRL and other data from overseas can also be used.

How long does it take?

Identifying a suitable product or active ingredient to address the emergency, and collecting and extrapolating the relevant data can take 1 to 5 days.

Putting all the required information into a permit application package can take another 2 to 7 days.

That’s up to 8.5 weeks (including the APVMA assessment time) from when a potential product/active is identified to when it may be approved for use on an emergency use permit.

More information

WATCH:

Minor Use Permit webinar (February 2024) with Peter Dal Santo - VegNET Tasmania youtu.be/Q7RpH2u7jAw?si=2VMjVpkmbQVnzraP

VISIT:

APVMA Applying for Permits web page www.apvma.gov.au/registrations-and-permits/permits

READ:

2024 Berry Industry SARP

Visit the RESOURCE LIBRARY at berries.net.au/resource-library and Search for 'SARP'

Individuals (growers) or body corporates can apply for a permit via the APVMA online portal.

To allow equal access for all growers to chemistries suitable for berries, Hort Innovation has been contracted by Berries Australia to submit permit applications on behalf of the entire berry industry.

Preparation of the data needed to support the application can be undertaken by a grower, industry associations, consultants, government officers, or chemical retailers. Berry Industry Development Officers in each state are also available to help.

APVMA permit PER7250 allows smallscale trials with unregistered agricultural chemical active constituents or products so you can generate data on efficacy, residues, and crop safety.

Note: As there is no MRL, all produce treated under this permit must be destroyed. permits.apvma.gov.au/PER7250.PDF

Acknowledgements: Some of the information presented in this article has been adapted from learning resources provided by Peter Dal Santo during a VegNET webinar in February 2024.

Monitoring Crops for Pest and Disease

• Each year, growers get caught out by pest and disease infestations

• Consistent and effective monitoring and testing, to correctly identify the extent and cause of infection or infestation, are key to minimising loss and reducing spread

How often and when to sample?

The best time to start sampling is before planting. Check soil and water sources, and scout for nearby hosts of common pests and diseases. Ensure that any cover crops are not a host for a disease issue you experienced the previous year – for example, researchers at VSICA have found that sorghum is a host for charcoal rot, making it an unsuitable option for areas prone to the disease.

All new plant material should be checked on arrival. If you have suspicions that new material is infected, and it must be planted before testing can be done, send a sample off to be tested rather than taking a ‘wait and see’ approach. Once planted, pathogens that may have arrived on planting material cannot be separated from pathogens that have colonised in the field environment, so any investigations will be inconclusive. It is recommended that records are kept detailing which varieties, batches and suppliers are planted in each row.

Once the crop is in the ground, consider doing at least two health checks each week - more in periods of poor weather and during critical stages of development.

It can be useful to check plants in a ‘W’ or ‘X’ Shape in a square field and ‘Zig Zag’ or ‘Z’ in long narrow fields (Figure 1). And there is much to be said for keeping an eye on known problem spots, and simply standing back and looking for signs of ill health such as small plants, discolouration, or signs of damage.

There are a range of monitoring tools available to assist growers, from hand lenses, to pheromone lures and sticky traps. Weather forecasts can also assist in helping growers be on the lookout for problems. Advances in technology, such as remote sensing, data analytics, and modelling have also improved the accuracy of disease forecasting. These tools allow for real-time monitoring and more precise predictions.

If you know there is a problem but can’t identify the source or cause, testing is imperative. Insects should be identified, at a minimum, to Order, and preferably down to Species. Many plants suffering from one fungal infection will also have secondary infections that need to be treated. Correct identification not only helps target the primary cause/s of the problem but prevents incorrect use of chemical treatments which may lead to resistance issues.

Figure 1. Sampling patterns that may be useful to follow to give representative coverage of issues

Sampling Procedures

Your agronomist or testing centre will have specific advice you should follow, however there are a few key points:

• Collect samples before applying fungicides. Fungicides inhibit fungal growth, making detection more difficult

• Don’t send dead plants – they are full of bacteria and fungi feeding on the decaying matter, which can make it difficult to isolate a primary pathogen

• Choose suitable samples – send healthy and unhealthy plants, as well as plants that are somewhere between the two

• Samples should be appropriately packaged and protected from extremes of hot and cold weather

• When sending samples by mail, do not post late in the week and, where possible, send via express post

When to Treat

Start by assessing the economic injury level – the pest population at which control measures need to be taken to prevent unacceptable economic loss. Pest and disease growth generally follows a pattern, starting slowly, with low numbers of plant pests or diseases, then rapidly increasing when conditions are favourable.

Consider what treatment options are available and when these need to be applied to provide control. Some products are only effective as preventatives, or when pests are at a larval stage. Careful reading of product labels is strongly encouraged to limit the impact on beneficials, ensure the weather and other conditions are right, and to ensure you are treating the pest or disease at the right stage.

Keeping an eye on the upcoming weather and the stage of the plant’s life is also important. For example, you may have a small fungal issue, but if wet weather is on the horizon and fruiting has commenced, which puts the plant under stress, a preventative fungicide may pay off.

If your pest or disease has no suitable control option, and there is a risk of the problem spreading, you may need to remove affected plants. If there is a control method, it can pay dividends to talk to your neighbours. If everyone is experiencing the same pest issue, coordinating treatment can prevent the pest spreading from untreated properties.

Lastly, as always, engage good farm hygiene practices. This includes working clean patches first and affected patches last, providing good training and cleaning materials for staff, and sterilising farm equipment with 70% alcohol or 10% bleach before moving it to any ‘clean’ area.

Recordkeeping and Regression Analysis

Careful recordkeeping to maintain a history of trends in plant material sources, weather, pest populations, damage levels, beneficial populations, and the response to treatment or control methods, will assist with identifying causes and managing further outbreaks.

If your pest or disease issue has no suitable control methods, we highly recommend you continue to take photographs and careful records as these can be instrumental in future applications for chemical permits.

Good recordkeeping also allows you to conduct regression analysis to identify why a particular pest or disease was a problem this season, and not in previous seasons.

High quality crop monitoring is an essential part of Integrated Pest Management, as it allows for appropriate use and timing of control methods.

If you are experiencing a pest or disease issue that you cannot control, whose source you cannot identify, or has affected a significant portion of your crop, please mention it when you speak to your Industry Development Officer.

We can use this information to identify larger patterns of pest and disease within the industry, and to educate growers on management and control methods. Where there is no control method available and crop losses are significant, we can raise this at higher levels with the aim of finding a solution.

Further reading:

To properly scout for pests, you must know where they live, what they look like, and how to find and count them. This online resource is a useful guide: www.alberta.ca/field-scouting

Overview of Monitoring and Identification Techniques for Insect Pests by Geoff Zehnder, Clemson University eorganic.org/node/2721

Monitoring tools for crop protection by Ausveg: ausveg.com.au/biosecurity-agrichemical/cropprotection/monitoring-tools-crop-protection

Watch out world! Australian berries are coming your way

The next iteration of the berry industry’s trade and market access project has been contracted and began in May this year, with key learnings and experience from the previous three-year project used to build increased relevance and much-needed flexibility into the new project model.

The ‘Multi-industry berry trade development and market access project (MT23004)’ is a strategic levy investment under the Hort Innovation Blueberry, Strawberry, Raspberry and Blackberry Funds. It will run for a five-year term led by Export Manager, Jenny Van de Meeberg and delivered by Berries Australia.

The long-term outcome of the project is to foster sustainable growth of the Australian berry industry through export. Whilst each berry category is at a different point on their export journey, all can benefit from becoming more export oriented in order to manage periods of domestic market oversupply.

The project is designed to develop and support a range of initiatives that promote:

Leadership - steering industry toward successful realisation of the long-term outcome

Broad Trade Literacy - encouraging greater participation in export supply chains and ensuring non-exporters understand the national benefit of export-related investments

Technical Market Access - opening and maintaining access to markets

Export Capability - ensuring exporters have the skills and resources to export effectively and efficiently

Export Competitiveness - supporting commercial decision-making and enhancing/maintaining/ defending market share

The global berry trade has grown significantly in recent years due to increased demand driven by their perceived health benefits, versatile culinary uses, and changing dietary preferences. The leading exporting countries include the United States, Mexico, Canada, the Netherlands, and Spain. Whilst a very modest exporter by comparison, Australia aspires to be a supplier of premium berries to Asia, underpinned by our world-leading berry breeding programs.

Australia’s berry production sector has been expanding to meet both domestic and international demand. Overall, the Australian berry industry continues to thrive, and the popularity of berries among consumers, both domestically and internationally, provides opportunities for growth.

Goal for Strawberry export

In 2022, Australia was the 19th largest exporter of strawberries in the world (by volume), although interestingly the largest exporter in the Asia-Pacific region, followed closely by Japan. In the first 8 months of 2023, exports increased by 92% vs exports for the same period in 2022. The goal however is to return to pre-COVID volumes of 2019 which were an export record for the industry. In 2019, Australian strawberry exporters airfreighted just over 5,000 tonnes at just under AUD$5 per kilo. On the other hand, 2022 saw half the export volume at 2,408 tonnes but at more than twice the price reaching just over AUD$12 per kilo.

Therefore, the aspirational goal for the strawberry industry within this five-year project is to return to 2019 volumes but keep the 2022 unit-price. This will be achieved by opening more markets with middle-class consumers willing to pay the higher unit-price and the capacity to absorb a greater volume.

Goal for Blueberry export

In 2022, Australia was the 28th largest exporter of blueberries in the world (by volume), and again the largest exporter in the Asia-Pacific region, followed by China who exported half as much. Impressively however, Australia has the highest unit-value globally achieving just over AUD$32 per kilo in 2022, which was AUD$5 per kilo more than our nearest unit-price rival, Costa Rica. Australia’s position in the market sets our unit-price just over 3.5 times the global average illustrating the exceptional premium enjoyed by Australian fruit.

This impressive figure also highlights the challenge facing Australian blueberry exports which are at the very high-end niche of the trading spectrum and therefore the industry requires access to sizeable affluent populations to maintain export growth. Encouragingly, despite the high unit-value, Australian blueberry exports have steadily grown in volume over the last five years and 2022 was a record high volume for the industry. The aspirational goal for the blueberry industry within this five-year project is to unlock access to high-value markets to enable continued growth of premium blueberry exports.

Goal for Rubus export

Rubus exports are relatively flat, with an annual volume of approximately 12 tonnes being exported each year. At this stage, Australia is not a significant player on the world market. This is not surprising as the Rubus industry is in a different phase of its export journey and the Rubus industry is heavily influenced by a handful of licenced varieties. The aspirational goal for the Rubus industry within this five-year project is to prepare themselves for the market access they will need in the future when the industry reaches the tipping point of domestic supply and demand.

Previous learnings and experience guiding new project development

Through the work of the previous export project (MT20004), the berry industry has cultivated an online export community of over 130 members, which is approximately 18% of our total member base. In the virtual environment of our Export Hub housed in the Berries Australia website, this community has been engaging with market insight material, trade data, education courses and overseas export enquiries. This is a terrific foundation for the new export project to keep building engagement across the berry export supply chain and, most importantly, a capability unique to Berries Australia.

If you are not already a Member of the Export Group, you can apply to join now at the Export Hub on our website at berries.net.au/home/export

Export Group members have access to all of the Export resources listed above and receive dedicated e-newsletters specifically relating to export business.

Experience suggests that success in the export of horticultural products requires a combination of strategic planning, ongoing commitment of resources to market access negotiations, and commercially appropriate trade development activities. The berry industries have been very proactive in this regard, having produced a thorough and thoughtful set of industry export strategy documents to guide their investments at both an individual berry category level (commodity-specific export plans) and also at a cross-berry industry level (Berries Australia Trade Strategy). These documents are available on the Berries Australia Export Hub.

Since the global trading environment is a dynamic and evolving space, the new project has been designed to allow the maximum possible flexibility for decisionmaking whilst maintaining accountability by clearly defining the scope of activity through existing industry strategies and incorporating robust project governance arrangements.

Commodity-specific export committees have been established and are comprised of export leaders within each category who understand the complexities of market access and trade development. The committees will be responsible for taking their commodity-specific

Export Plan and prioritising a suite of activities to drive progress towards their goals. At committee meetings throughout the year, the members will review actions and progress against priorities, provide guidance on next-steps, and adjust the priority list if required.

Welcome Jesse White to the Export team

Jesse White is a seasoned professional specialising in Horticulture international trade, market entry, and business development, with expertise in China and Southeast Asia. Fluent in Mandarin and having spent time living and working in China, Jesse has an extensive industry network and has invaluable on-the-ground experience.

His career includes leading market access projects at Global Victoria for skincare and cosmetic businesses seeking improved export pathways to China, leading consumer marketing programs to launch and develop markets in Asia, as well as cross-border e-commerce and corporate advisory services to Australian businesses on trade and investment in China.

In addition to his work with Berries Australia, Jesse has led marketing programs for the Australian Table Grape Association and contributes to national advisory committees for both the Table Grape and Summerfruit industries. With a Bachelor’s in Business & Commerce and a Master’s in Diplomacy and Trade from Monash University, Jesse combines academic rigor with practical insights to navigate complex international markets effectively.

Jesse has hit the ground running with his first trade visit already completed from 14-24 July to Beijing, Shanghai and Yunnan in China. The Export team are currently planning an extensive series of trade visits, meetings and participation in the right high-profile events in Asian markets to cultivate interest in Australian berries and ensure there is international demand underpinning the industry’s market access aspirations.

For more information about the new export and trade development project for the Australian berry industry, please contact: Jenny Van de Meeberg, Berries Australia Export Manager at: export@berries.net.au

GreenlifeGRO

GreenlifeGRO is here for you. As a provider of horticultural products and services, we understand the importance of delivering exceptional customer service. Our team is not only knowledgeable in our products and services but also in the industry best practices. From selecting the right materials to the installation process, we are dedicated to providing personalised support every step of the way to provide quality service and products that help you grow and succeed.

GreenlifeGRO, part of the Australian privately owned Tapex Group is steeped in innovation and strong values. The groups' vision is straightforward – by investing in the best technology designs and product solutions, combining people with industry experience, and total commitment to service excellence to deliver the right outcomes for our customers.

We have been providing protective cropping solutions since the late 1980s through the building of Horticulture structures and product solutions across Australia.

Tunnel, Bird proofing installation services and product providers, 2023 - Queensland Greenhouse construction and internal rolling bench supply and construction services
GreenlifeGRO is an Australian Stockist and Distributor for Galuku Coir products
GreenlifeGRO is an Australian Stockist and Distributor for Galuku Coir products

Pest READI

What is Pest READI?

In regional areas, growers often find themselves geographically isolated or bound by siloed networks. This fragmentation, coupled with a complex mosaic of farms and industries, underscores the importance of unified action. As we navigate towards sustainable practices, the push for reduced chemical use and increased reliance on non-chemical management options necessitates informed decision-making.

However, the journey is not without its hurdles. Events such as COVID-19, flooding, and pest incursions have tested the resolve of farmers and impacted both production and sales. Yet, amidst these challenges, a spirit of innovation and collaboration persists.

Pest READI recognises the critical role of communication and cooperation in ensuring the prosperity of farming communities. The project aims to create healthy, abundant landscapes by transforming the way communities work together to manage plant pests.

Over this 5-year project we will integrate past, present and future knowledge into a digital platform that is co-designed with stakeholders in the Northern Rivers (Bundjalung Nation) in NSW and connects decision making across landscapes. The outcomes will be tools for scenario-based decision support for area-wide integrated pest management (AW-IPM).

Pest READI: ‘Regionally Enabled Agroecological Decision Intelligence’ is funded through the Hort Frontiers strategic partnership initiative developed by Hort Innovation, with co-investment from CSIRO’s ‘Catalysing Australia’s Biosecurity’ initiative and contributions from the Australian Government.

More information about this exciting project soon.

Pest READI

Regionally-Enabled Agroecological Decision Intelligence

Thinking about how to strengthen your pest management program against future threats whilst reducing your reliance on chemicals?

We want to work with you on this.

We’re keen to hear from horticulture industry and community members in the Northern Rivers.

Register your interest via the QR code or contact our Innovation Facilitator

Tracey Steinrucken pestreadi@csiro.au | +61 7 3833 5664

research.csiro.au/pestreadi

Australia’s National Science Agency

Jiffy Blueberry mix for long lasting results

• RHP Certifi ed inputs to produce a premium blend of coir, peat and perlite.

• AFP and WHC specifi cally designed to suit Australian growing conditions.

• Perfectly balanced particle sizes to ensure mix stability and longevity.

• Quality materials for the perfect starting PH (of approx 4.3).

AFP of 28-38% for healthy roots

WHC of 50-70% for effi cient nutrient uptake

Long lasting premium materials

Tel.: 1300 695 098 www.gardencityplastics.com

88 days under the microscope

As part of a broader review into migration, the Australian government is reviewing the settings around working holiday maker visas (WHMs) and in particular the 88-day requirement for second year visas.

A recent analysis by the Jobs and Skills Alliance reported that the berry industry is the highest user of WHMs, accessing 8% of all WHM on second year visas. Berries Australia made a submission into the recent review of regional migration settings particularly focusing on the critical importance of this visa for our industry. Visit bit.ly/BA-WHMReview to read the submission.

Berries Australia staff and committee members will be attending face-to-face meetings in late August/ early September to ensure government is aware of our unique workforce challenges and the important role backpackers play in the berry workforce.

The substance of the government’s position is that the 88-day requirement creates an environment where workers are more likely to be exploited so they are proposing to lift the second-year visa requirement.

Berries Australia considers this to be deeply problematic.

There is no recent evidence that the 88-day requirement does lead to exploitation since the ‘sign off’ requirement was removed, and the piece rate floor was established. There is, however, strong evidence that labour hire licensing works. The Australian government has been dragging the chain for years on establishing a national labour hire licensing scheme, despite recent follow up investigations by the Fair Work Ombudsman clearly showing enormous increases in compliance in states with a labour hire licensing scheme in place. The evidence that the WHM second year visa settings facilitate exploitation is either out of date or anecdotal at best. The evidence that labour hire licensing works is clear and contemporary.

If the 88-day requirement is removed, then there is no clear alternative in terms of providing a flexible workforce for the berry industry. Berries are a high value and highly perishable product. Due to their inherent properties, almost all berries are handpicked here in Australia and globally. The dependence on hand picking and the time sensitive nature of the product means that berries are particularly reliant on a mobile workforce that can be deployed quickly and then moved to another location. The term ‘seasonal worker’ is problematic in so much as there are varied times throughout the year that workers are needed, which include preparation as well as just picking and packing.

Managing this level of variability in labour needs is already very challenging for many growers and demonstrates why the PALM scheme in its current form, whilst highly valued by the berry industry, cannot meet all of our workforce needs. And whilst the berry industry is a significant employer of locals in longer term roles, essentially, itinerant short-term manual work with variable hours is incompatible with the reasonable lifestyle expectations of many Australians. As a primary production industry, the growers are at the mercy of nature and supermarket timelines. This situation is certainly not unique to Australia and is replicated in advanced economies globally.

We call on the government to genuinely listen to the workforce concerns of horticulture producers and to work with us to develop a fit-for-purpose visa that meets the needs of the sector. It is hypocritical to reject an Ag Visa or equivalent, which will have the required protections and flexibilities baked in, whilst at the same time failing to implement a national labour hire licensing scheme.

Data and insights fuel grower resilience

After 20 years working in the Australian fresh produce sector, both in commercial production and now at Hort Innovation, one thing that strikes me is the resilience of our growers.

At the recent Hort Connections 2024 annual conference in Melbourne, cautious optimism was evident amongst the 4,000 delegates, despite growers being tested by extreme weather patterns, surging input costs, consumers tightening their household budgets and more. Yet, in spite of these factors, the Australian horticulture sector is growing.

In the past decade it has expanded by 81 per cent, from $9 billion to $16.3 billion in total value of production. It is outpacing Australia’s agriculture sectors, and by 2030 is projected to reach $22 billion. This extraordinary growth is built on the innovation of growers across Australia who are doing things differently. It is part of their DNA to ask ‘how can I learn?’ and ‘how can I continue to innovate?’.

Hort Innovation’s key priority, which is enshrined in legislation, is to provide growers with the best answers to those questions. Our teams work with growers to hear what’s happening on farms while providing access to data and insights to identify the right technology solutions and research and development programs to deliver improvements and productivity gains. In fact, productivity tops the priority list for growers given the challenges faced over the last few years.

Innovations addressing those challenges range from the ‘one percenters’, such as the control of fruit drop in mango, to larger-scale programs such as the $10 million vegetable industry-led biosecurity program that will strengthen pest surveillance, preparedness

and management efforts. These grower-led programs are underpinned by an ever-improving understanding of what’s happening locally and across international markets. In fact, export growth is projected at 11% this year, to reach a record $4 billion in 2024-25.

In the past 12 months we have introduced a fit-forpurpose advisory system, with 10 Industry Service and Delivery Managers (ISDMs) based in the regions meeting and working with growers on the ground. Via these deeper connections, we are receiving an increasing number of requests from growers for information and insights to support them.

Consumer insights: Hort IQ

The new Hort IQ platform, launched at Hort Connections recently, provides access to the latest, most comprehensive Australian fruit, vegetable and nut consumer data, giving growers access to market dynamics, purchasing trends and consumer perceptions. The easy-to-use portal, which houses more than 100 pieces of consumer research and integrates more than 10,000 consumer surveys, is a vital one-stop shop for consumer, farm, industry and export market insights. Growers can register at www.hortiq.com.au/requestaccess to gain access to Hort IQ.

Grower insights: Hort Stats Handbook

The Australian Horticulture Statistics Handbook is released in the first quarter of each year. This resource provides growers with a deep dive into 75 different horticulture categories, equipping them with more data to help inform business decisions.

Say g’day to your ISDM

Our 10 Industry Service and Delivery Managers (ISDMs) are based in major growing regions across Australia. Each ISDM manages three to four industries and is charged with coordinating growers’ engagement with the latest R&D, international trade and marketing information.

ISDMs also manage the investment advisory panels that meet regularly in the regions. The reset of these advisory panels has provided a 70 per cent increase in new grower participation, which is energising these important groups. It doesn’t matter if you are a large grower or a smaller family business, a member of advisory panels or not, ISDMs want to hear your ideas.

New Frontiers

To bolster Australia’s $16.3 billion horticulture industry, Hort Innovation recently launched a new approach to its non-levy-funded co-investment program. Frontiers will inject an extra $500 million into research and development over the next decade through partnerships with local and global innovators, including Australian growers with big ideas, start-ups, tech companies and others. This new co-investment approach is unapologetically commercial outcome-driven, designed to meet the needs of a rapidly evolving horticulture industry. To keep across opportunities, register your interest at communications.horticulture.com.au/signupfrontiers

How to get involved

1. Talk to our Berries ISDM Andrian Englefield to discuss your challenges, ideas and resources available to you: Adrian Englefield | 0427 143 907 Adrian.Englefield@horticulture.com.au

2. Find out about levy-funded R&D and marketing sharing events in your region and online webinars at www.horticulture.com.au/hort-innovation/ news-events/events

3. Ask your ISDM how to join an Investment Advisory Panel or get involved in a project reference group to help steer investments.

4. Become a Hort Innovation member for free to enjoy perks such as Board voting rights, trial opportunities and free access to ticketed industry events at www.horticulture.com.au/ growers/become-a-member

5. Subscribe to regular information about the latest resources available to you, straight to your email inbox at communications. horticulture.com.au/signupcomms

Responding to exotic plant pests – Who’s who, and what

do they do?

Following on from the introduction to biosecurity article in the Summer 2023 edition of the Australian Berry Journal, this article outlines what happens when an exotic plant pest or disease is detected in Australia, the general process that occurs following a detection and the broad principles behind how decisions are made will be explored in detail.

One of the central documents of the plant biosecurity system in Australia is the Emergency Plant Pest Response Deed (EPPRD), commonly referred to simply as “the deed”.

The deed is a legally binding agreement between the Australian and state governments, many industry bodies, and Plant Health Australia (PHA).

The primary purpose of the deed is to allow for a more effective and timely response to emergency plant pest (EPP) detections. It provides a framework for the management of responses, including how they’re funded, owner reimbursement costs for affected growers,

and the role of signatories in a response. It allows for affected parties to be involved in decision making.

If an industry is affected by a new plant pest or disease and they are signatories to the deed, they are provided with a seat at the decision-making table, and the growers they represent are entitled to owner reimbursement costs for destruction of crops or property resulting from a response. In return the signatories agree to share the costs of the response.

When it comes to responding to an EPP incursion there are two key groups to be aware of:

The CCEPP is the key technical advisory group which considers whether the pest in question is an EPP, whether it is feasible to eradicate, and whether it is cost beneficial to eradicate (i.e., the benefits of eradication outweigh the costs of doing so).

Importantly, the CCEPP do not make decisions regarding the response, their role is specifically to review the technical information and recommend actions to the NMG

The NMG is responsible for decision making, including approval of response plans, funding, and deciding on whether a response should be initiated and continued.

The NMG is composed of the Secretary of the Department of Agriculture, Forestry and Fisheries (Australian Government), heads of all state and territory departments of agriculture/primary industries, the president or chairperson of each affected industry, and the chair of PHA

Consultative Committee on Emergency Plant Pests (CCEPP)
National Management Group (NMG)

Affected industries have a vote in both the NMG and the CCEPP. In addition, industries may support the response through the Industry Liaison Officer and Industry Liaison Coordinator roles. These industry positions provide insights to the team managing the response to help minimise impact to business continuity, provide industry perspective on response activities, and support communication and engagement activities.

Following detection of an EPP, the leader of the Australian Government plant biosecurity division, known as the Australian Chief Plant Protection Officer (ACCPO) convenes the CCEPP to assess the situation and come to an agreement on whether to recommend eradication, containment, or management. As there are several aspects of a response that are time sensitive the lead agency, which is the biosecurity agency of the state or territory where the pest was first located, may begin response activities before approval is received from the NMG. These include implementing immediate containment procedures and undertaking surveillance and tracing to determine the potential spread of the pest.

The lead agency is also responsible for developing a response plan detailing how the pest will be eradicated. The CCEPP provides a recommendation to the NMG on whether the response plan is technically appropriate and cost beneficial and the NMG endorses the response plan as-is or requests changes. Once approved it is the responsibility of the lead agency to implement the plan. The lead agency provides regular updates to the CCEPP and NMG who monitor the progress of the response.

Once a response begins it is not uncommon for the response plan to be updated multiple times as the situation evolves, and new information becomes

available. The response plan must contain specific conditions, which if triggered, initiate a review. Each time the response plan is updated it is reviewed by the CCEPP who provide a recommendation to the NMG on whether to endorse the plan. The lead agency must operate within the current response plan until the NMG has endorsed the new plan.

There are two ways that an eradication program can end:

1. the pest is successfully eradicated, with extensive surveillance demonstrating proof of absence

2. the CCEPP recommends that eradication of the EPP is no longer technically feasible or cost beneficial. In this case the CCEPP may advise the NMG that the response enter a transition to management phase

Once the NMG approves the transition to management, the process of transitioning to management of the pest outside of the deed begins. Transition to management should address identified gaps in knowledge and information required to enable an orderly stand down from eradication to ongoing management of the EPP. This will assist industry, government, and the community to be best prepared for ‘living with’ or ‘managing’ the EPP. The success of an EPP response is dependent on many factors, including how early a new pest is detected after its arrival.

HORTICULTURE

► Grow Bags

► Substrates

► Stakes

► Coir Pot Tops

► Shadecloth

► Coir Discs

► Plant Bags

► Weedmat

► Hold Down Pins

► Fixing Channel

► Wiggle Wire

► Plastics

Potential fly pollinators identified for berry crops

Managing flies for crop pollination (PH16002) was funded through the Hort Frontiers strategic partnership initiative, with co-investment from the WA Department of Primary Industries and Regional Development (DPIRD) and the avocado R&D levy, and contributions from the Australian Government.

The 5-year cross-industry project ‘PH16002 Managing Flies for Crop Pollination’ has finished, and some promising fly pollination species have been identified for Australian berry crops.

There are more than 20,000 native fly species across Australia, and little is known about their lifecycles. This research looked at five species and all show potential as managed pollinators.

These five fly species are excellent pollinators in their own right, but researchers have discovered that they continue to forage and pollinate in cold and drizzly weather when bees are typically inactive, which is promising news in the quest for year-round all-weather pollination services.

Blueberry trials

Over 26 weeks of measuring berry production in glasshouses in WA, the average yield was higher in southern highbush blueberries pollinated with C. albifrontalis blow flies (11.3 kg/plant, 1.83 g/berry) compared with plants in an adjacent glasshouse without any insect pollinator (5.00 kg/plant, 1.45 g/berry).

In a second WA glasshouse trial, the yield of southern highbush blueberries pollinated with C. dubia blow flies was 18.9 kg per plant compared with 11.2 kg per plant for those pollinated by C. albifrontalis blow flies over a 6-month harvest period.

Trials in NSW on southern highbush blueberries that looked at the pollination efficiency of E. tenax found that the average weight of berries produced from

flowers visited by E. tenax was significantly greater (3.57g) than those visited by honeybees (2.81g), even with just 1 or 2 visits.

Blackberry trials

Insufficient pollination of blackberries can cause small misshapen fruit. This is particularly prevalent early in the season when cooler climatic conditions hamper bee activity. Drone fly E. tenax was evaluated as an earlyseason (October-November) pollinator in Tasmanian blackberries (var. Victoria) (Figure 1). In enclosed tunnel trials, E. tenax proved to be an effective pollinator of the blackberries, producing fruit that was 12% heavier than bee-pollinated fruit (Figure 2).

Figure 1. Assessment of Victoria Blackberries pollinated by E. tenax at Costa Deloraine. Photo credit: SeedPurity

Promising species report card

Western golden-haired blowfly (Calliphora albifrontalis)

Distribution:

• Only found in the south-west of WA

Pollination characteristics

• Large and hairy (so good at transporting pollen)

• Often seen feeding on flowers in native bushland

Tested on blueberries in WA

Trial results to date:

• In glasshouse trials in WA on southern highbush blueberries, yields increased by more than 120% and fruit was 26% larger compared to plants where pollinators were excluded

Western blue-bodied blowfly (Calliphora dubia)

Distribution:

• Found throughout south-western and central-southern Australia

• Recorded in all states and territories, except Tas

• Common in WA and SA, less common in other states

Pollination characteristics

• Active from late winter through to summer

• Tolerates dry stress and high temperatures

• Has a high demand for nectar so is a regular visitor to many flowers

Tested on blueberries in WA

Trial results to date:

• In glasshouse trials in WA on southern highbush blueberries, yields were increased by 52% compared to plants pollinated by Western golden-haired blowfly (Calliphora albifrontalis)

Brown blowfly (Calliphora stygia)

Distribution:

• Common in south-eastern Australia

• Recorded in the ACT, NSW, Qld, SA, Vic, and Tas

Pollination characteristics

• Active from late winter through to early summer

• Prefer cooler climates

• Spend more than a minute during each flower visit

Tested on strawberries in NSW

Trial results to date:

• In glasshouse trials in NSW, strawberries had 60% Grade A and B fruits compared to 8% where pollinators were excluded

Photo credit: Dr Sue Jaggar, DPIRD
Photo credit: Dr Sue Jaggar, DPIRD
Photo credit: Dr Jonathan Finch

Drone fly (Eristalis tenax)

Distribution:

Throughout Australia

Pollination characteristics

Spend considerable time foraging flowers

Visit each flower up to 3 times

Spend 2.5 to 4 minutes during each flower visit

Tested on blueberries (NSW), blackberries (NSW, Tas), and strawberries (NSW)

Trial results to date:

In tunnel trials in Tas, blackberry (var. Victoria) yields increased by 12% compared to bees

• In tunnel trials in NSW, blackberry (var. Victoria) yields were equivalent to bee-pollinated plants

• In glasshouse trials in NSW, strawberry Grade A and B classes were 70% compared to 8% where pollinators were excluded

• In tunnel trials in NSW on southern highbush blueberries, fruit was 27% larger (3.57g) than those pollinated by bees (2.81g)

• In tunnel trials in NSW, raspberries (var. Maravilla) produced larger fruit (3.60g) than those pollinated by honeybees (3.37g)

Golden native drone fly (Eristalinus punctulatus)

Distribution:

• Throughout Australia

Pollination characteristics

• Very good at transferring multiple pollen grains during flower visits

• Shorter than bees but more effective in depositing pollen on stigmas

Not yet tested

Trial results to date:

• While no berry trials have been conducted yet, this drone fly has been seen visiting raspberry flowers and laying eggs in the root balls of discarded plants. This species will be included in future research work.

Photo credit: SeedPurity
Photo credit: Tshering Nidup

Figure 2. Blackberry (var. Victoria) fruit weight comparing different pollination treatments (L-R) Honeybees (A. mellifera), Control (pollinators excluded), Drone fly (E. tenax), and supplemental hand pollination.

Raspberry trials

With its longer foraging times and more frequent flower visits, Drone fly (E. tenax) has been shown to increase pollination and the number of drupelets formed, which increases fruit size. Raspberries (var. Maravilla) pollinated by E. tenax produced larger fruit (3.60g) than those pollinated by honeybees (3.37g) in tunnel trials in Coffs Harbour NSW. Unlimited pollination by E. tenax produced berries that were approximately 50% larger than those visited by brown blowflies (C. stygia).

Strawberry trials

In closed glasshouses, where using honeybees for pollination may be less desirable, brown blow fly C. stygia and drone fly E. tenax may offer a solution. Both species produced high-quality (mainly Grade A and B) strawberry crops with fruit that was heavier and quicker to develop compared to hand-pollination in glasshouse trials in NSW (Figure 3).

Figure 3. (Left) Pollination outcomes from E. tenax glasshouse experiments comparing the impact of bag (pollinator exclusion), hand , and fly

on

and (Right) fruit

(with

(speed

Future Research

The continuation of fly pollination research is important for the progression of flies as managed complementary pollinators.

With the increased risk to the honeybee pollination industry from the Varroa mite, a Berries Australia and Hort Innovation project has been developed to continue work on the fly species identified in the now completed project. A strategic levy investment, the project ‘Expansion of Flies as Berry Crop Pollinators (MT22007)’ is part of the Hort Innovation Blueberry and Raspberry and Blackberry Funds.

This project is based in the Coffs Harbour region of NSW and will test potential pollinators in multiple berry cultivars and seasons. Expected outcomes include:

• Identifying optimal farm management practices that reduce fly losses and improve pollination

• Generating greater pollinator availability and longevity year-round in berry crops

• Determining the optimal composition and placement of co-flowering and other resources to facilitate crop pollination and pollinator health

This work will include research on the additional promising drone fly pollinator Eristalinus punctulatus identified but not tested in the previous project (Figure 4).

Acknowledgements

Thanks to all the commercial growers who allowed us to use their plants for assessing pollination by different fly species. Thank you to Helen Newman (WA Berry Industry Development Officer, APC) for your review and editorial assistance with this article.

More information

Watch:

ABC Landline - this segment includes interviews with the researchers and growers that participated in this research (July 2024) at www.youtube.com/ watch?v=D-T7NJRBbL4 or scan this QR code:

Figure 4. (Left) Golden native drone fly (Eristalinus punctulatus) and (Centre, Right) eggs laid in the root ball of an old raspberry plant. Photo credit: Abby Davis

The ABGA LEVY HAS BEEN DISCOUNTED FOR 2024/25

Why should I pay the voluntary levy?

Voluntary levies fund all of the essential activities that contribute to the growth of our blueberry industry. Activities include, but are not limited to:

• Maintaining consumption and price through an industry-wide Berry Basket marketing campaign

• Supporting growers through the Varroa mite incursion

• Research & development into registered chemicals + IPM + Integrated Disease Management programs

• Achieving export protocols into Vietnam and other Asian markets

• Progressing applications for market access to China and other countries

• Funding our IDO, Exec Director and support staff

• Communication and engagement with members –industry journal, e-news, website, conference

• Promoting positive industry stories and addressing negative media

• Providing our contribution to Hort Innovation under the Collective Industry Fund which is matched with equal funding used for various industry projects such as managing Chili thrips

How much levy do I have to pay?

Standard levies are $0.07c/kg fruit sold. For the second year, in 2024/25 the levy is discounted to $0.03/kg fruit sold in recognition of another challenging season.

When do I pay the voluntary levy?

Levies are payable once every financial quarter:

Quarter Period Covered Payable by

Q1 1 July – 30 September 31 October

Q2 1 October – 31 December 31 January

Q3 1 January – 31 March 30 April

Q4 1 April – 30 June 31 July

How

do I pay the levy?

Follow the steps below:

1. Prepare a statement with the following information

• Grower Name

• Quarter + Dates (e.g. Q2 1st Oct - 31st Dec)

• Number of kg fruit sold in that quarter

• Amount of levy being paid

• Indicate if your agent deducts your levies (if so, include agent name)

2. Email the statement to the Membership Officer

Email statement to admin@berries.net.au – the Membership Officer will send you an Invoice for payment

3. Pay your levy to the ABGA account

Account name:

Bank:

BSB:

Account: Reference: Australian Blueberry Growers’ Association Westpac 033 107 181 471

GROWER NAME + Financial Quarter (e.g. “Joe Bloggs Q2 levy”)

My agent deducts levies — what do I do?

Send your statement to Membership Officer (Step 1 above). They will then check that the agent has paid the levy. Email the statement to admin@berries.net.au

What

about

confidentiality of the information

provided?

Any information provided will be kept confidential. I need help, who do I contact?

Email: admin@berries.net.au | 0491 751 123

Profile: David van Dommele, Mountain Blue

Some growers enter horticulture through family tradition, others through an interest in the field. David van Dommele’s choice to join Mountain Blue was initially more practical – after travelling overseas, he needed a job. Having previously worked in a wholesale production nursery prior to travelling, it seemed natural to call Ridley Bell and ask if there were any employment opportunities available at Mountain Blue.

Between 2004 and now, David has worked in various roles at Mountain Blue and has seen the staff levels increase tenfold, from a dozen workers to over 120. The smaller size of the operation when he joined the company provided a fantastic opportunity to develop his skillset, with Mountain Blue’s workplace culture being one that fostered collaboration, and everyone pitching in to do what was needed.

As the company grew, David’s role became more refined. After starting in the nursery, he moved to the breeding program, where he developed an appreciation for how innovative Ridley Bell’s work with blueberries was. Many days were spent walking through thousands, even tens of thousands, of seedlings, assessing them for potential. David still remembers the day that the ribbon was placed on a seedling that went on to become the variety Eureka, and the excitement that it was something truly unique. Today, Eureka Blueberries remain a firm customer favourite, and Mountain Blue continues to develop and refine quality blueberry varieties.

When asked his favourite variety, David refused to give a blanket answer—all varieties shine and are at their best during their peak season. Nonetheless, he is quite partial to Eureka Sunrise!

David van Dommele. Photo credit: Mountain Blue

As the National Horticulture Manager, David and his team work closely with growers across Australia. He considers trust the most important cornerstone of his relationships with growers and acknowledges that this is built over time. In return, he trusts them – after all, they work their farm daily and know their environment and plants the best. Mountain Blue supports growers by providing advice and support without being overly prescriptive. This allows growers to tailor plans to suit their specific farm needs.

The growing regions are vastly different, and each one comes with its own opportunities and challenges. Some pest and disease problems are infrequent or only occur in certain regions – though conversely, the benefit of having so many growers is that it allows Mountain Blue staff to develop and share growing techniques.

Labour is a key issue for all growers. Production methods and variety choice can help reduce costs; however, production costs remain a key concern for growers. Pest and disease control is also on the radar. Sometimes the appropriate chemistry isn’t available or IPM techniques have not been developed, and growers are looking for options to improve their practices.

David is also keen to ensure that the voices of growers are heard. Representation is important, and growers need to know their challenges are being understood and acknowledged.

The majority of Mountain Blue’s growers are familyoperated businesses, and David finds working with them a rewarding experience. And of course, the key perk is daily access to lots of fresh, tasty berries!

Did you know Mountain Blue was BerryQuest 2022’s Platinum Sponsor?

If you didn’t catch up with them at the Gold Coast, come along to BerryQuest 2025 in Hobart where Mountain Blue is once again one of our Platinum Sponsors. You will find David and the rest of the team from Mountain Blue at Stands 5, 6 and 7 in the main Exhibition Foyer.

Blueberries growing at Mountain Blue. Photo credit: Mountain Blue

To find out more visit rivulis.com

RIVULIS

Trusted by leading blueberry growers worldwide, Rivulis solutions offer exceptional performance and flexibility. But it quickly grows beyond just a micro irrigation solution for greater yield and improved quality, to an enduring partnership built on trust and loyalty. You and Rivulis. Stronger together. Stronger

Discover unparalleled pre-grading technology for machine-harvested fresh blueberries with TOMRA Neon.

Removes over 95% of clusters

Experience smart pre-grading with the TOMRA Neon. It’s durable, easy to clean, and compact, making it a perfect fit for any existing blueberry processing line. The TOMRA Neon removes over 95% of clusters and over 90% of green and red berries, improving your optical grader efficiency. Bypass manual sorting and let the TOMRA Neon handle your machine-harvested blueberries for the fresh market. Removes unwanted and undersized berries

Removes over 90% of red and green berries

Boosts your optical grader efficiency

Enhance your blueberry operations by talking to a TOMRA Neon expert today. Get started at tomra.com/neon

Operating expenses are on the rise, and every efficiency and cost-cutting advancement has a significant impact. Let the TOMRA Neon enhance your blueberry operations, by making sure Every Resource CountsTM

Fruit Fly management without Dimethoate

Dimethoate (O,O-dimethyl S-methylcarbamoylmethyl phosphorodithioate) is a broad use, systemic organophosphorus insecticide and acaricide that has been used in both agricultural and home garden situations. Dimethoate products have been used since 1956 and products were first registered under previous state and territory-based registration schemes.

Along with other pesticides of this class, the mode of action is through inhibition of the enzyme acetylcholinesterase. This inhibition results in the overstimulation of those parts of the nervous system that use acetylcholine to transmit nerve impulses.

The APVMA began its reconsideration of dimethoate together with that of the related chemical, omethoate in 2004. At the commencement of this reconsideration, dimethoate products were registered for more than 200 use patterns and to control more than 80 insect pest species in horticultural, cereal and field crops and pastures.

Dimethoate is currently registered on label to control Queensland fruit fly in blueberries. It is also registered on permit for general orchard clean-up purposes (for all fruit fly host crops) under the Minor Use Permit PER13859 Version 3 valid until 30 June 2025.

This permit was updated recently by the APVMA and includes some subtle changes:

• Inclusion of the phrase “PLUS OTHER REGISTERED PRODUCTS” containing 400g/L DIMETHOATE as the only other active constituent on the products covered by the permit

• The Withholding Period, Safety Directions, Re-Entry and Additional Conditions have been updated

There is high probability that the APVMA will not renew this permit again for the following reasons:

1. The APVMA do not believe that these claims fit under a minor use permit as the permit covers a broad range of crops, many of which are not classified as minor crops

2. The APVMA note that the extremely broad host and pest range suggests that use could exceed 10,000 hectares nationally, thereby excluding this use under a minor use permit

3. The Dimethoate chemical review outcomes are now known and many of these crops will no longer fit under this permit

We understand that many blueberry growers have relied on the use of Dimethoate up to this point, but with the likely withdrawal of this chemical option, it is important to understand what other resources are available to help you to make changes to your fruit fly management plans.

Queensland Fruit Fly captured in Brisbane Queensland
Photo credit: James Niland

Here is a summary of some of the key resources currently available for berry growers at the online RESOURCE LIBRARY on our industry website at berries.net.au/resource-library

To find all resources available, enter ‘fruit fly’ in the Search box

Control methods for Fruit Fly –Blueberries

To assist the Blueberry industry and increase the general understanding of fruit fly management, the National Fruit Fly Council (NFFC) has developed a primer which provides an overview on fruit fly management techniques and covers key pest species, general life cycle information, monitoring, key sources of infestation, currently available chemical controls, lure and kill techniques as well as briefly covering other tools and future emerging opportunities for fruit fly control.

Queensland fruit fly surveillance

In this article from the Spring 2021 edition of this journal, Bronwyn Koll provides a very useful summary table which explains the different types of traps that are available to monitor for QFly.

ABC guide to managing Qld Fruit Fly

This 3-step guide to managing Qld fruit fly was originally produced by NSW DPI and IPDM supplier Bugs for Bugs

Habitat hosts of Queensland fruit fly

Fruiting plants growing in non-production areas and property perimeters are ideal hosts for Queensland Fruit Fly (QFF). In this article by Bronwyn Koll published in the Summer 2023 edition of this journal encourages Berry growers to remove or manage these key risk areas to improve their overall QFF management and prevention outcomes.

FACTSHEET: Fruit Fly Control

Australian Handbook for the identification of fruit flies (Version 3.1)

Published in 2018, the handbook is a compilation of diagnostic information for 65 fruit fly speciesand is intended to facilitate rapid diagnosis of fruit fly species and be a comprehensive guide for Australian diagnosticians and field officers

Reducing reliance on chemical control of fruit fly in blueberries: A Case Study from Smart Berries, Crows Nest, Queensland

This article from the Autumn 2024 edition of this journal by Qld IDO Wendy Morris highlights the actions taken by a Queensland blueberry producer to reduce their reliance on chemicals for fruit fly management

Area wide pest management — an essential approach to fruit fly management

This article by Bronwyn Koll from the Autumn 2023 edition of this journal explains area wide pest management (AWM) as an essential approach to fruit fly management.

Managing Queensland Fruit Fly in Berries

An article by Melinda Simpson published in the Summer 2019 edition of this journal and covering identification, monitoring and management options.

Berries Australia has recently published a Factsheet for berry growers summarising the recommended 4 strategy IPM approach of maintain good hygiene, monitor populations, bait females and annihilate males.

Mundubbera Blueberry Festival: Small Queensland town goes blue crazy

Mundubbera is not a place that many of our readers will have ever heard of, but this small Queensland country town nestled two hours southwest of Bundaberg, hosts a two day everything-blueberry festival that is set to become a must-do on the agritourism festival circuit.

The inaugural event held in 2022 attracted people from far and wide with 200 attending the gourmet dinner, 550 joining the live music Jam and 1000+ people at the Berry Big Day Out. Not bad for a little town with a population of just 1,120 people!

“Hosting an event such as this gives our local community something to look forward to. Having big bands like ‘The Angels’ playing on our stage means that locals don't always have to travel such long distances to be entertained. The festival brings many travellers to our town who in turn spend money with local businesses and leave with a good feeling about our town, hopefully spreading the word for other travellers to come and discover our region,” says Lisa Wain, one of the festival organisers.

The festival promises something for everyone and there are 3 major events spread over the 2 days. This year, the weekend kicks off on Friday 27 September with a fine dining event called Locavore 4626. Ticket holders will be invited to join celebrity chef Matt Golinski at a mystery location, for a gourmet celebration of all things local. This event has already sold out, such is the demand for this kind of unforgettable dining experience that celebrates community, sustainability, and the art of fine cuisine.

The concept is to showcase the flavours of the North Burnett region in every dish, and with each bite diners will be excited by the vibrancy of farm fresh ingredients sourced from nearby producers. Chef Matt Golinski is a long-time supporter of local producers and aims to create delicious dishes where the ingredients are the stars. All photos credit: Lorraine

Maskell Photography

Since 2015 Matt has been helping the Gympie region just south of Mundubbera to promote itself as a world-class food destination in his role as their Food and Culinary Tourism Ambassador. He uses his knowledge of the area and its producers to showcase the region through cooking demonstrations and his blog “Matt Eats Gympie”.

On Saturday 28 September festival goers will gather for the Berry Big Day Out, with a vibrant Artisan Market underneath the gum trees at the local bicentennial park, set along the beautiful Burnett River. This family-friendly day will feature over 80 stalls filled with delicious baked goods, food trucks, arts & craft stalls, hand-sewn fashion & much more all with a blueberry twist.

The final major drawcard for the festival is the Blueberry Jam Sesh hosted on Saturday evening and this is where the party really gets going. The live music concert will feature various rock, country & indie artists including The Angels supported by artists 19Twenty, Bourbon Street, Soul Tree Union and Blake Benecke.

If you have nothing planned for 27-28 September, why not head to the small rural town of Mundubbera as it comes alive with visitors from all over Queensland?

Global Axis Import Solutions is a family owned Australian business ‘Making It Happen’ since 1988. We offer a comprehensive range of high quality products and services, predominantly the distribution of

Northern Highbush Blueberry Pruning Tips

Why prune?

Winter pruning is a crucial part of the annual cycle in northern highbush (NHB) blueberry to balance vegetative and fruiting growth for the upcoming season.

Insufficient pruning (i.e. not enough fruit buds removed) can lead to excess fruit load on the plant, resulting in small berries and insufficient plant resources to encourage new shoot growth and support developing fruit. This results in weak shoot growth in spring, which becomes the following season’s fruiting wood, leaving poorer laterals and wood to prune to next season.

Alternatively, too much pruning can lead to lower yields and excessive vegetative (leaf, shoot) growth. Getting the balance right can be a challenge but is important to the ongoing success of long-term NHB blueberry production.

When should I prune?

Winter pruning should ideally occur when plants are fully dormant. Waiting until after the majority of leaf fall in deciduous varieties helps to better visualise which laterals and material to prune to.

(L) Blueberry fruiting buds starting to swell in late winter; (R) vegetative buds remain dormant

Strong vs weak growth

Northern highbush blueberry plants produce fruit buds on one-year-old wood, on shoots grown the previous spring. The best quality fruit is generally produced on longer, more productive laterals, thicker diameter laterals generally produce larger berries. Short, thin ‘twiggy’ laterals produce small, poor-quality fruit and should be pruned out. If your plants have predominantly strong healthy laterals, this indicates they likely have sufficient resources for vegetative growth and fruit development. However, even healthy plants need to be pruned to maintain vigour and allow light, airflow and space for new growth.

In many varieties, it is also important to maintain plant vigour and encourage new growth from the plant base by removing some older canes each pruning season. This provides space for new canes to grow and helps to reinvigorate the plant. New wood is generally smooth and brighter in colour (e.g. red, green), while older wood is lighter grey in colour and lignifies (becomes woody) with age, with canes increasing in diameter over time. Prioritise pruning out larger thicker canes to prevent overcrowding at the base.

Weak twiggy laterals
Stronger productive laterals

Why do plants produce lots of short weak growth instead of strong laterals?

Lots of short twiggy growth with minimal strong laterals can often be an indication of insufficient pruning the previous season.

Insufficient pruning results in too many fruiting laterals being left on the cane, leading to overcropping, depleted plant resources and poor shoot growth in spring.

Plants with lots of weak twiggy growth should be pruned back to reduce crop load and reinvigorate the plant. This will reduce yield for the upcoming season but aims to create healthy vegetative growth to develop buds and support yield the following season.

If poor vigour plants are not pruned back sufficiently over a number of years, they will fall into a continual cycle of overcropping and weak growth, draining plant resources and reducing vigour over time which is difficult to remedy.

Blueberry pruning tips

• Remove dead or diseased wood first, making sure to sanitise tools afterwards

• Remove old unproductive canes with poor growth by cutting them out entirely or cutting back to strong productive wood

• Remove old fruited wood

• Thin the number of new canes from the base as these will quickly overcrowd the plant

• Prune to create an open plant centre to improve light penetration and air circulation

• Prioritise strong productive laterals that will produce good quality fruit and remove thin short twiggy laterals

• Allow space between laterals for light penetration and new shoot development in spring

• Thinning of laterals is important to prevent overcropping, even strong ones

• Remove low-lying branches with fruit that may touch the ground at harvest

• Manage plant height by pruning down tall canes which will be difficult to pick at harvest

Old fruited wood that should be removed when pruning
New wood is smooth and bright in colour (red in this photo), while older wood is grey and lignified
All photos credit: Ella Roper
Unpruned upper canopy with high density of fruiting laterals and old fruited wood
Pruned cane leaving strong productive fruiting laterals

By combining the distinctive chemistries of Flute and Kenja together in the same spray application, growers achieve optimum fruit quality

Flute + Kenja: A powerful combination in strawberries

• Protection from powdery mildew and grey mould

• Safe to beneficials

• Simply the perfect one-two combo for better looking berries!

A new dawn. A new standard.

New MIRAVIS ® Prime combines the strengths of proven fl udioxonil (Group 12) and new pydifl umetofen (Group 7) to manage hard-to-control diseases.

These complementary active ingredients attack fungal pathogens in different areas of the plant. They target four different stages of disease development to effectively break the disease life cycle, while aiding resistance management.

There’s a new dawn in protectant fungicide technology, powered by MIRAVIS®. MIRAVIS® Prime. For further information talk to your local Syngenta representative or visit syngenta.com.au/miravis-prime.

Australian Strawberry Breeding Program Update

O’Connor – Plant Breeder, Jodi Neal – Principal Plant Breeder, Australian Strawberry Breeding Program Team, Queensland Department of Agriculture and Fisheries

A temperate season wrap-up and activity update from strategic levy investment project (BS22000): Australian Strawberry Breeding Program which is part of the Hort Innovation Strawberry Fund.

The Australian Strawberry Breeding Program (ASBP) focuses on creating superior strawberry varieties that are specifically adapted to Australia's key production zones. These new varieties are designed to enhance economic viability for farmers by delivering higher yields, larger fruit, and disease tolerances, as well as traits desirable by consumers such as good flavour and attractive appearance. This article summarises our activities in the last six months, including an overview of the 2023-24 temperate breeding season that has recently concluded.

Strawberry field day a huge success

On 17 July 2024 Berries Australia ran a strawberry field day with the assistance of DAF at the Maroochy Research Facility in Nambour. We had an amazing turnout, with over 65 growers and industry representatives attending. Growers were given the opportunity to check out promising new accessions coming through the subtropical pipeline and pick their favourites, and several accessions were particularly well-liked by multiple attendees (Figure 1).

University of Queensland PhD student Dilmini Hettiarachchi also gave a presentation on her work on strawberry flavour as part of the Hort Frontiers project ‘Genetics of Fruit Sensory Preferences’, of which ASBP is a collaborator. Dilmini ran an interactive aroma display afterwards, where growers were invited to identify aromas such as bubblegum, floral, and grassy in different strawberry fruit (Figure 2).

Temperate season wrap-up and a promising accession

This season at our Wandin Research Facility in Victoria we assessed 11,900 temperate stage 1 seedlings from 55 families (unique crosses) and collected detailed data on 68 stage 2 accessions and 22 advanced (stage 3+) accessions (Figure 3). We also placed 11 accessions out on grower farms across Victoria, Tasmania, South Australia, southern WA, and the Granite Belt in Queensland. An unusually cold autumn led to an early drop-off in yield in our trial, which was similarly experienced by many Victorian growers. Despite this setback, we’re very happy overall with quality of our temperate population this year, with some very high yields, large fruit sizes, and good flavour.

This season we identified temperate accession ‘2017-025-130’ as a potential candidate for commercial release. This accession has been trialled for 7 years in our Wandin trials and has been out on farms for grower assessment for 4 years, with positive feedback. It yields similarly to day neutral varieties and has high yield comparable with Cabrillo, good flavour, and excellent fruit size. We’re currently working with Toolangi Certified Strawberry Runner Growers’ Co-op to multiply the accession for larger semi-commercial on-farm trialing in 2025, prior to a commercialisation decision being made.

We also held our annual Temperate Reference Group meeting on 9 April this year where we sought input and feedback from temperate industry representatives.

Industry members assessing advanced subtropical accessions at the strawberry field day held on 17 July this year.

the

field

Figure 1.
Photo credit: Katie O’Connor
Figure 2. Aroma hands-on display run by Dilmini Hettiarachchi at
strawberry
day. Photo credit: Katie O’Connor
Figure 3. 2023-24 temperate breeding trial at Wandin North, Victoria. Photo credit: Jodi Neal

These meetings are extremely valuable in guiding our breeding aims and activities. The meeting was followed by a farm walk of the Wandin Research Facility and breeding trial, including our new propagation area (Figure 4).

Subtropical and Mediterranean seasons in progress

Our subtropical and Mediterranean trial seasons are well underway, and the quality of material in these trials is very high so far. This season we’ve produced and are assessing over 4,100 stage 1 Mediterranean seedlings, more than double our usual number. This increase in plant numbers will greatly improve our likelihood of producing advantageous varieties for the Mediterranean region.

For the subtropical region, we currently have our eye on one of our stage 6 accessions that has been looking particularly promising to date, both in our trials and grower trials. At the end of this season, together with the Subtropical Reference Committee, we’ll decide if it should be progressed to larger-scale on-farm trialling.

Fusarium and powdery mildew resistance experiments underway

Our annual screening experiments for tolerance to fusarium wilt and powdery mildew are currently in progress. For the fusarium experiment, 6-10 replicate plants of each of 25 accessions have been inoculated with spores of Fusarium oxysporum f. sp. fragariae, placed on heating mats to promote pathogen growth, and will be assessed for severity of wilt symptoms over the next six months (Figure 5).

Our powdery mildew resistance experiments rely on natural inoculation and spread of the pathogen. Plants are grown in gutters in a protected cropping environment, and powdery mildew is allowed to spread naturally. Fruit and leaves are assessed separately for severity of symptoms three times over the season, and analysed results are used to guide crossing decisions. This year we’re evaluating 316 stage 1 accessions, bred specifically for powdery mildew tolerance, and 20 stage 2+ accessions.

Figure 4. Farm walk at Wandin Research Facility, April 2024. Photo credit: Adrian Englefield

Commercialisation partner for novelty varieties

Lastly, we are happy to announce that following a rigorous tender process, Australasian Plant Genetics (APG) have been selected as commercialisation partner for the ASBP novelty white and pink varieties ‘SW20-317-ASBP’ and ‘SB17-230-ASBP’, respectively. APG are in the process of sub-contracting propagators for these varieties to make them commercially available to growers as soon as possible.

Conclusion

The ASBP team is committed to leading advancements in strawberry breeding and meeting the varied requirements of growers across different production regions. We extend our sincere gratitude to the industry for their continued support, invaluable feedback, and cooperation in our breeding efforts. The ASBP is guided by the principle of fostering idea exchange. If you would like more information, please contact Jodi Neal (email: jodi.neal@daf.qld.gov.au; phone: 07 5381 1352). Your thoughts and feedback are highly valued by the project team.

Figure 5. Disease resistance trial for Fusarium wilt. Plants are placed on heating mats to promote pathogen growth and observed for wilt symptoms for six months. Photo credit: Jodi Neal

Katie O’Connor (breeding and genomics), Michelle Paynter (virus indexing, tissue culture, and pathology), Sandy Shaw (Wandin field assistant), Karen Spencer (Wandin operations manager), and Louella Woolcock (Nambour field and glasshouse operations manager).

Greenhouse Solutions

AUSTRALIA WIDE

Vale Don Hutton

1946–2023

It is with profound sadness that we report on the passing of the much-loved and highly respected Don Hutton and acknowledge his significant contribution to the Australian Strawberry Industry and science.

Don began his career in 1968, as a cadet with the then Queensland’s Department of Primary Industries (DPI), now Department of Agriculture and Fisheries (DAF). He was based initially in Kingaroy, QLD for 5 years, then was transferred to the Brisbane facility at Indooroopilly where he worked on managing barley diseases and fungicide efficacy field studies. In December 1981 he came to Nambour and worked on several horticultural crops, mainly strawberry, custard apple and passionfruit, at the DAF Maroochy Research Facility. After 43 years in the Department, Don retired in 2011.

For almost three decades, Don led a long and distinguished career in strawberry research. Don’s work on DAF’s several strawberry disease management projects contributed enormously to the local Queensland and the national industry, with outcomes that benefited both runner nursery and fruit production sectors.

Don was also a significant figure with strawberry growers particularly during the early years and the growth of the local industry in south-east Queensland. In the 90’s, Colletotrichum crown rot had caused severe devastation for many years.

Queensland growers at the time credited Don with saving the local industry, not just through his diagnostics and research, but also his compassion and strong constant presence were critical. Then, the industry was just beginning and consisted of family-based growers who only grew small numbers of plants. Don found control measures and instigated change in standards and protocols to support both nursery and fruit production that are still used to this day. Don’s work helped the industry grow to where it is today.

From a research perspective, Don identified new fungicide chemistries against Podosphaera aphanis, previously Sphaerotheca macularis, the pathogen that causes powdery mildew disease. Even though he regularly warned growers 'there is nothing like methyl bromide', Don identified a range of alternatives to this ozone-depleting fumigant for strawberry growers that helped with not just managing disease, but also weeds.

He first identified the charcoal rot (caused by Macrophomina phaseolina) epidemic of strawberry in Australia and was the

first in the world to report on the role of infected crowns as inoculum sources for the disease. Don was involved in the diagnostics and research on strawberry lethal yellows and subsequently found the cause of the disease and developed management strategies for the nursery and fruit production. In collaboration with other researchers, he helped in the initial identification and management of the foliar nematode Aphelenchoides fragariae and the quarantine pathogen angular leaf spot (caused by Xanthomonas fragariae).

Don was a founding member of the ‘Better Berries’ program that integrated extension and research in strawberry for first time. Don was the main contact for the strawberry industry and stakeholders locally and nationally. He consistently provided input towards disease management, disease outbreaks, diagnostics, fungicide options, and many other disease-related topics.

As one of his last professional achievements, Don wrote a chapter on strawberry diseases in Australia, which remains the most up-to-date, relevant and comprehensive treatise.

Don’s passion and dedication to his discipline of plant pathology, his thoroughness, his attention to detail, and duty to service growers within the strawberry industry were second-to-none. His compassion was also reflected in his commitment to his family and community life outside of work. He was a caring and highly effective mentor to many young scientists, not just within the Department, but also pathologists and agronomists around Australia. Many scientists of today are standing on Don’s mighty shoulders, and this will ensure his ongoing legacy for support on strawberry diseases for industry.

Don was a well-respected researcher and diagnostician, and highly regarded by his DAF colleagues, growers, crop agronomists and industry associates with whom he connected with.

To honour Don, DAF has named the pathology wing of the Maroochy Research Station the ‘Hutton Laboratory’.

Don will be remembered as a person with a big heart and his kindness and genuine nature will be sorely missed.

Covering You

Cultivate success with Elite Tunnels , a premier manufacturer and global supplier of premium field-scale multispan polytunnels, innovative substrate gutter systems, and a comprehensive range of ancillary parts.

Our valuable expertise, versatile polytunnel solutions and personalised guidance, available from small family farms to large commercial operations, can unlock your farm’s full potential.

Optimise your polytunnels for peak yields and profitability with our comprehensive stock of replacement plastic and other essential polytunnel maintenance supplies .

Browse our diverse range of multispan polytunnel models and essential

ancillary parts on our website. Plus, explore eye-catching drone footage showcasing our polytunnel projects on Australian farms.

Let’s talk tunnels...

Global Sales Manager

Ross Watt ross@elitetunnels.co.uk

Mobile: +44 (0) 7841 532 652

Office: +44 (0) 1356 648 598

Australia

Tapex Group – Sales enquires

sales@greenlifegro.com.au

Telephone: +61 2 9502 6000

Higher marketable yields seen in Sunshine Coast strawberries under tunnels

• The effect of plastic high tunnels on the performance of four strawberry cultivars was studied on the Sunshine Coast over two years

• Marketable yields were 38% higher under the tunnels in year one, and 24% higher in year two compared with strawberries grown outdoors

• Rain damage was the primary cause of lower yields outside of the tunnels

• Returns were about $1.50/plant higher under the tunnels than outdoors

Strawberry production in south-east Queensland is affected by rain most seasons. Direct rain damage on strawberries presents as water soaking, surface etching, and surface cracking on the fruit. Cultivars vary in their sensitivity to rain damage, however nearly all are affected when the fruit are mature. Pollination is disrupted by rain and the impact of this is evident in distorted berries following periods of wet weather.

Grey mould, stem-end rot and black spot are also common in plants exposed to rainfall. Some of the fungicides used to control these diseases are ineffective in wet weather, and their overuse to compensate for this can lead to the development of resistance in the fungi.

This article reports on the effect of tunnels on the performance of four strawberry cultivars on the Sunshine Coast over two years. Plants were grown under tunnels or outdoors and information was collected on yield and fruit losses due to rain, disease and other defects.

Experimental design

Bare-rooted transplants of ‘Festival’, ‘Rubygem’, and two breeding lines were planted in late March over two years at Palmwoods in Queensland. There were four replicates of each cultivar in each treatment (tunnel or outdoors).

The plants were grown under plastic high tunnels (8m wide and 5m high) or in open, outdoor plots. The tunnels were covered in mid-May in the first year and mid-April in the second year. The sides were raised during warm weather to moderate temperatures close to the plants.

Plants in both environments received similar pest and disease management sprays. The only exception was the application of 2 or 3 additional powdery mildew sprays to the plants under the tunnels.

Fruit were harvested every week from May to October in the first year and from May to September in the second year. Marketable yield and fruit weight were recorded at each harvest, with mature fruit classified as at least three-quarter coloured. The number of fruit that were affected by rain or grey mould, or that were small (less than 12 g), deformed (misshaped) or had other defects (other diseases, surface bronzing or bird damage) were also recorded.

Figure 2. Fruit with grey mould (Botrytis cinerea). Photo credit: Christopher Menzel
Figure 1. Experimental strawberries planted under the tunnels at Palmwoods. The open-field strawberries can be seen off to the right in the image. Photo credit: Christopher Menzel
Figure 4. Example of small misshapen and deformed fruit. Photo credit: Onyeka Nzie
Figure 3. Examples of the cracking caused by rain damage (note: powdery mildew can also be seen on the sample on the left). Photo credits: Helen Newman (L) and Mark Herrington (R)

Rainfall during the experiments

Total rainfall during harvest was 357mm in the first year (May to October) and 329mm in the second year (May to September), about 30% and 20% below the long-term average for the area. The distribution of this rainfall is shown in Figure 5.

Figure 5. Weekly rainfall totals for each week of the harvests at Palmwoods in Queensland. Note: There were only small differences in temperature and relative humidity between the two environments over both years.

Overall results

Marketable yields were 38% higher under the tunnels than outdoors in the first year, and 24% higher in year two (Figure 6). There were no differences in average fruit weight across the two growing systems.

Figure 6. Effect of growing system on marketable yield (grams per plant). The data presented is the average of 16 replicates per treatment, pooled across four cultivars.

Table 1. Effect of the growing system on the incidence of fruit with defects

The values presented in this table are the averages of 16 replicates per treatment, pooled across four cultivars.

Average yield losses due to fruit defects were greater outdoors than under the tunnels (Table 1). Rain damage on fruit grown outdoors was the leading cause of this.

The incidence of misshaped fruit under the tunnels was lower than that in the open field, but only by a small amount. Differences in the incidence of grey mould between the two growing environments were also small, but in favour of the tunnels. The incidence of other fruit diseases during the study, including stemend rot, powdery mildew and black spot was small.

In the first year, the plants in the two environments had similar numbers of small fruit. In year two, losses due to small fruit were higher under the tunnels.

During the experiments, the growing system did not affect the post-harvest quality of the fruit or the fruitsoluble solids. There was a mixed effect on fruit acidity, with no effect in the first year, and higher acidity under the tunnels in year two.

Implications for commercial production

Returns were $1.50 per plant higher under the tunnels than outdoors. This was equivalent to an increase in return of 38%. The average difference in yield between the two groups of plants was 31%, mainly due to the lower rates of rain damage under the tunnels. Plants under the tunnels benefited by having more marketable fruit in May and June when the crop is more valuable.

High plastic tunnels may increase the productivity and returns of strawberry fields even further during years of average or above-average rainfall.

Acknowledgements

The Queensland Government funded this research through the Department of Agriculture and Fisheries. Many thanks to the Florida Strawberry Growers’ Association (FSGA) for financial support and to Vicki Lane and David Innes (DAF) and Helen Newman (WA Berry Industry Development Officer, APC) for reviewing the article.

Battling Botrytis: Understanding one of the most significant diseases in Rubus

Botrytis (or grey mould) is one of the most economically important diseases in Rubus and can result in significant crop losses through impacts to yield and fruit quality.

What does Botrytis look like?

Botrytis fruit rot is caused by the fungal pathogen

Botrytis cinerea and can cause blossom blight and fruit rot from harvest onwards. Infected flowers can turn dark and shrivel, and develop a covering of grey fungal growth. Initial infection of fruit can result in a watery rot on Rubus drupelets which then develops into the typical grey fuzzy mould, characterised by clusters of white spores on the fungal mass (called mycelium).

How does the disease cause infection?

Following the overwintering period in the cooler months, botrytis germinates in spring with rising temperatures and produces spores which are dispersed by wind throughout the environment.

Sources of spores include diseased and decaying plant structures such as flowers and fruit, overwintering structures called ‘sclerotia’, and alternative hosts such as weeds and nearby crops. Flowers are most susceptible to infection once they open, providing an entry point for the dispersing spores to land and cause disease.

The fungus can then infect the fruit or remain in a dormant state – referred to as the latent period –through the early stages of fruit development, until the tissues begin to break down closer to harvest and mould symptoms become visible. The germinating spores on fruit can quickly infect nearby berries through natural openings or wounds, particularly during favourable environmental conditions, including wet, mild and humid conditions. Given the nature of latent infection, it is very difficult to predict mould levels before post-harvest symptoms appear!

What conditions favour the disease?

Botrytis requires free water and extended periods of leaf wetness on plant tissues to germinate, which often occurs during high humidity conditions such as rain, dew or fog. Botrytis is a temperature driven disease, with an optimum temperature range of 18-21°C to favour infection and disease development. Despite this, the fungus is known to actively grow at temperatures as low as 0°C, which provides a challenge when managing fruit in storage and during transportation.

How does Botrytis survive the winter?

Botrytis is able to ‘overwinter’ as mycelium on dead organic material such as leaf and cane residues, mulch, and mummified fruit to survive the cold winter period. The fungus can then produce spores when conditions become more conducive, providing a source of infection in spring.

Botrytis can also produce long-term structures made up of black-coloured hardened masses of mycelium called ‘sclerotia’, which are able to survive extreme environmental conditions such as freezing temperatures and desiccation. These sclerotia remain dormant until appropriate conditions return for germination, and they can then become a primary source of infection to the crop.

It
Figure 2. Botrytis on a ripe blackberry in the field. Photo credit: Gaius Leong
Figure 1. Clusters of white Botrytis spores on raspberry. Photo credit: Ella Roper

Management strategies

Cultural

Cultural control refers to physically managing the environment to reduce infection risk. Removing diseased fruit from the canopy and ground can help decrease sources of infection, although this can be time consuming and labour intensive.

Managing the environment through opening the canopy and promoting airflow helps to reduce humidity and longevity of leaf wetness and can be achieved through activities such as plant training, leaf removal or managing vents in tunnel systems.

Avoiding or limiting overhead irrigation also helps prevent infection as the disease relies on free water on plant surfaces to germinate.

Nutrition management also plays a role in managing Botrytis as excess nitrogen fertiliser applications can produce excessive vegetative canopy growth restricting airflow, and botrytis can more readily infect new, tender green growth.

Likewise, limiting physical wounding by pests or mechanical damage helps limit points of entry for the disease to take hold.

Picking early in the morning when temperatures are cooler and moving fruit into cold storage as quickly as possible after harvest is important as this slows the breakdown of tissues and prevents fruit from sitting in the optimal temperature range for mould development.

Biological

Biological control agents have become increasingly available in recent years; however efficacy can vary and be impacted by seasonality and agronomic factors. Biological control products work through different modes of action, including competing for nutrient resources and space, fungus parasitism, and induced resistance of the host plant.

Despite the potential drawbacks, biological control products provide additional control options to the limited chemistry available in Rubus, have a low impact on the environment, and generally have short withholding periods so can often be utilised through harvest.

Commercially available biological products include Botector® and Serenade® Opti.

Chemical

Fungicides for Botrytis are used widely in commercial berry production and provide effective control, particularly when utilised as part of a broader disease management strategy such as microclimate and canopy management.

As flowers are most susceptible to infection once they open, fungicides should be applied as part of a preventative program from early flowering onwards, particularly in wet and humid conditions that favour the disease.

A preventative program should also vary and rotate fungicide groups to limit fungicide resistance.

Visit the APVMA website at portal.apvma.gov.au/ permits for the full list of approved chemicals for Botrytis/ grey mould in Rubus or access the Plant Protection Guide available at the Resource Library on the industry website at berries.net.au/resource-library

Key points:

• Botrytis is one of the most significant fungal diseases in Rubus and is exacerbated by wet, mild and humid conditions.

• Cultural control methods such as modifying the microclimate, opening the canopy and managing nutrition helps improve airflow and drying time to prevent infection.

• Cool fruit as quickly as possible after harvest

• Biological control products are becoming more commercially available and can be considered as part of a wider botrytis management plan.

• Target preventative fungicides once flowers open, particularly in wet or humid conditions and rotate chemical modes of action to limit fungicide resistance.

References

Evans, KJ (2017) Botrytis management. Available at: www.wineaustralia. com/getmedia/3e2d4ecc-3d70-41db-b2b0-0b897a513fb8/ CORD_Factsheets_BotrytisManagement

Funt, RC & Hall, HK (2013) Raspberries. Boston, MA: CABI.

Kozhar, O & Peever, TL (2018) ‘How Does Botrytis cinerea Infect Red Raspberry?’, Ecology and Epidemiology, 108(11), pp.1287-1298. Doi: doi.org/10.1094/PHYTO-01-18-0016-R

Simpson, M & Leong, G (2023) Berry plant protection guide 2023-24. Available at berries.net.au/resource-library

Pre-harvest melatonin for postharvest quality improvement in Blackberries

Melatonin is well-known as a hormone that regulates your sleep cycle, but did you know that plants produce and use melatonin too?

In plants, melatonin is thought to play a role in growth regulation, day-night cycles, and abiotic stress management. Studies over the last decade have also found that it can increase the storage potential of different crops without adversely affecting eating quality.

In other crops, melatonin has been reported to:

• induce anthocyanin biosynthesis in blueberry fruit (Magri and Petriccione, 2022)

• maintain higher total phenolics and flavonoid concentrations in nectarines and peaches

• preserve better sensory attributes and reduce fungal decay in strawberries (Aghdam and Fard, 2017)

• inhibit pericarp browning in longans

• improve antioxidant potential in sweet cherries

• delay senescence in peaches

This article summarises the findings of research into the post-harvest quality effects of pre-harvest applications of melatonin on 'Elvira' blackberries. The research was conducted by students and staff at the Horticulture School of Science at Edith Cowan University in Western Australia.

Red drupelet reversion

Red drupelet reversion (RDR) was the focus of this study as it is one of the most pronounced postharvest issues in blackberries, lowering the cosmetic value of fruit and grower returns.

RDR is a physiological disorder that causes the postharvest reddening of drupelets in a blackberry. Sometimes all drupelets in a piece of fruit will change from black to red. Symptomatic fruits also exhibit weight loss, shrivelled drupelets, and textural changes.

Most of the colour change associated with RDR occurs in the first 24 hours of postharvest cold storage. Further colour change can occur for up to two weeks.

Anthocyanins are responsible for retaining the black colour in blackberries. It is thought their degradation, triggered by moisture loss in the drupelets, is associated with RDR.

Experimental design

A total of 60 plants of blackberry cv. Elvira were selected for the trial at a commercial orchard in Bullsbrook, Western Australia. A randomised block design was used, with three replications of each treatment (15 plants per treatment, 5 plants per replication).

The plants were 5-6 months old, propagated through tissue culture, and grown under polytunnels.

Melatonin was applied to the point of run-off in a single spray, early in the morning just after sunrise, two weeks before anticipated harvest. Treatment concentrations of melatonin were 0, 50, 100, and 200 umol L-1.

200 to 250g of fruit with uniform black colour, that were free from pests and disease, mechanical bruising, and juice leakage were manually harvested from each replicate 15 days after the melatonin spray.

Harvested fruit was placed in commercial plastic punnets and stored at 2º±1º and 85-90% Relative Humidity for 12 days, with a four-day sampling interval.

At each sampling interval, the fruit was examined for RDR, fruit weight loss, and fruit decay. The juice of 10 blackberries (a single replication of each treatment) was used to assess biochemical quality. Blackberries containing three or more bright red coloured (but not leaky) drupelets were considered RDR positive.

Results

Irrespective of the treatment type, RDR, fruit weight loss, and fruit decay increased with time in cold storage. Blackberries sprayed with melatonin showed less of these postharvest changes than the control.

The 100 umol L-1 melatonin treatment had the least RDR and fruit decay after 12 days of cold storage compared to all other treatments and the control (Figure 1).

Overall, the 100 umol L-1 melatonin treatment reduced RDR by 40.9%, weight loss by 44.8%, and fruit decay by 24.6% compared to control.

Analyses also revealed that RDR was positively correlated with fruit weight loss, and negatively correlated with anthocyanin and other antioxidant levels (lower antioxidant levels were present in fruit with RDR).

Figure 1. Effect of preharvest melatonin (MLT) treatments and storage time on red drupelet reversion (b), fruit weight loss (c), and fruit decay (d) during cold storage. Vertical bars represent ± standard errors of means. Vertical bars with different letters represent significant difference.

Figure 2. (L) Control fruit after 12 days of cold storage and (R) fruit treated with 100 umol after 12 days of cold storage
Photo credit: Zora Singh

The effect of preharvest melatonin spray on soluble solids content (SSC) and titratable acidity (TA) was also measured (Figure 3). While treatment effects appear minor, and sometimes mixed, the overall pattern of change in SSC, TA and SSC/TA ratio over the storage time is interesting. TA showed a continuously declining trend throughout the cold storage period. A decrease in TA contributes to a higher SSC/TA ratio, which is associated with better sensory attributes in berries.

Fruit sprayed with melatonin generally had slightly higher SSC compared to control fruit throughout cold storage despite having similar levels at harvest. Sprayed fruit had significantly lower TA than control fruit up to day 4 of cold storage, but after that differences were insignificant. The combined impact of this on the SSC/TA ratio was also only significant on day 4 of cold storage.

Figure 3. Effect of preharvest melatonin (MLT) spray on soluble solids content (a), titratable acidity (b) and SSC/ TA ratio (c).

Vertical bars represent ± standard errors of means. Vertical bars with different letters represent significant difference.

Anthocyanins

But what about the anthocyanins you ask? This study also included a detailed analysis of several antioxidants including anthocyanins. It found that melatonin spray application (100 umol L-1) significantly delayed the degradation of total non-enzyme antioxidants including anthocyanins, glutathione, and ascorbic acid in cold stored blackberries. This fruit also expressed higher activities of antioxidant enzymes and reduced levels of oxidising compounds.

Conclusion

In conclusion, melatonin spray application (100 umol L-1) two weeks before anticipated harvest alleviated red drupelet reversion in 'Elvira' blackberries by reducing oxidative stress and improving antioxidant potential. This has resulted in better postharvest quality during 12 days of cold storage.

This appears to be the first study on the efficacy of melatonin in suppressing RDR and oxidative stress in blackberries during cold storage. It enhances understanding of the relationship between RDR and melatonin-mediated anthocyanins and antioxidant potential, an area that may warrant future research.

References for melatonin studies in other berries

Aghdam, M.S., Fard, J.R., 2017. Melatonin treatment attenuates postharvest decay and maintains nutritional quality of strawberry fruits (Fragaria x anannasa cv. Selva) by enhancing GABA shunt activity. Food Chem. 221, 1650-1657. https://doi.org/10.1016/j.foodchem.2016.10.123

Magri, A., Petriccione, M., 2022. Melatonin treatment reduces qualitative decay and improves antioxidant system in highbush blueberry fruit during cold storage. J. Sci. Food Agric. 102, 4229-4237. https://doi.org/10.1002/jsfa.11774

Acknowledgements

The Edith Cowan University research team would like to thank Mr Anthony Yewers of Berry Sweet for allowing access to his farm, plants, and fruit for this research work.

Reference

Shah, H.M.S., Singh, Z., Hasan, M., Afrifa-Yamoah, E., and Woodward, A. (2023), Preharvest melatonin for red drupelet reversion, improves antioxidant potential and maintains postharvest quality of 'Elvira' blackberry. Postharvest Biology and Technology, 203. https://doi.org/10.1016/j.postharvbio.2023.112418

High activity of noctuid caterpillars in Rubus

This article provides an update on some of the work being carried out as part of the strategic levy investment project ‘Integrated pest management approaches to address pest challenges in raspberry and blackberry (RB21000)’ which is part of the Hort Innovation Raspberry and Blackberry Fund.

• During spring to late summer, noctuid caterpillars can cause substantial crop damage and are becoming more common across subtropical growing regions in eastern Australia

• The moth larvae can cause extensive feeding damage over a range of crop phenological stages, from vegetative growth to fruit ripening in berries

• Amongst the caterpillars impacting Rubus production in subtropical areas, Helicoverpa armigera, Helicoverpa punctigera, and Spodoptera litura remain the most challenging to manage

The cotton bollworm or corn earworm, Helicoverpa armigera (Lepidoptera: Noctuidae) is an Australia-wide pest of many field and horticultural crops including cotton, sorghum, maize, chickpea and fruiting vegetables. They are more prevalent in northern New South Wales Rubus growing areas from spring to late summer. Increased larval activity in spring and summer is triggered by warmer conditions as local populations that overwintered in surrounding winter crops or weeds surface.

Larvae has been documented to cause damage at all stages of Rubus growth. After hatching, the caterpillar crawls along the plant, feeding on tender tissues such as plant tips, buds, flowers, and fruit. Larvae are at their most economically damaging when they feed on reproductive parts of plants.

There can be substantial variations in larval colour including shades of brown, green and orange. Larvae have darkish stripes along the body with a darker pigment ‘saddle’ on the 4th body segment and have a sharp downward angling at the end of the body. Caterpillars have white hairs around the head (Figure 1).

Monitoring of adult moths in early spring can be performed using commercially available pheromone lure in bucket traps. In addition, routine scouting of eggs and larvae is required to assess the pest pressure throughout the growing season.

Given this species is known to have developed high levels of resistance to several groups of insecticides, integrated management incorporating biological and cultural options needs to be prioritised.

There are a wide range of predators and parasitoids that can manage immature stages of the Helicoverpa life cycle. Helicoverpa armigera adult population can also be managed deploying Attract-and-kill formulations such as Magnet® (currently NOT registered for use in berries at time of publication) in area-wide management programs.

The native budworm, Helicoverpa punctigera (Lepidoptera: Noctuidae) is a native and widespread lepidopteran pest of pulse and oilseed crops. While they are known to attack a wider range of broadleaf plants such as field peas, faba beans, lentils, chickpeas, lupins, soybeans, canola etc.,

over recent years they have become more common in raspberries during spring to summer. In winter, the migratory budworm moths undergo breeding on native flowering desert plants in arid inlands. As soon as the inland vegetations dry off in late winter or early spring, moths initiate their migratory flights into northerly or north-westerly warm winds and end up in nearby or distant cropping areas. As the weather warms up larval activity increases and ceases when temperatures drop below about 12°C. The impact of budworm damage becomes more significant as caterpillars start feeding on flower buds and young fruits.

Usually, female moths lay white spherical eggs singularly near the growth points of the plant. Similar to Helicoverpa armigera, Helicoverpa punctigera caterpillars can have variable shades of brown, green and orange as well as darkish stripes along the body. One distinguishing feature of Helicoverpa larvae is the sharp downward angling at the end of the body. Unlike Helicoverpa armigera, larvae of native budworm have black hairs around the head and do not have any pigmented saddle (Figure 2).

There is also a pheromone lure commercially available for Helicoverpa punctigera which attracts male moths. The use of this pheromone in a bucket trap can detect their migration from inland regions.

There are a wider range of natural enemies including Trichogramma ivalae, ladybird beetles, lacewings, shield bugs, damsel bugs, assassin bugs, and tachinid flies that can manage native budworm at early stages. Also, use of biological insecticides such Bt (Bacillus thuringiensis) and nuclear polyhedrosis virus (NPV) based commercial formulations can be effective in managing young larvae.

Cluster caterpillar, Spodoptera litura

(Lepidoptera: Noctuidae) is an armyworm species prevalent in tropical and coastal regions with a wide host range including cotton, legumes, brassicas, diverse horticultural crops, and broadleaf weeds. Young larvae have been found to voraciously feed on the leaf surface whereas older larvae can cause significant damage to flowers, buds, and fruits in Rubus during early summer.

Figure 1. Helicoverpa larvae feeding on vegetative and reproductive parts of raspberry crop. Note the variations in larval colour and the darker pigment ‘saddle’ on the 4th body segment on the example to the right
Photo credit: Costa Berries

Spodoptera litura is named for the mass ‘clustering’ of its young larvae, which initially feed close to the hatched egg mass. Like other Spodoptera, cluster caterpillar has 3 distinct thin pale lines running along the body. Larger larvae have distinctive rows of dark half-moons and spots along the body. Medium cluster caterpillars often have darker pigment on the fourth segment behind the head, which disappears in the fully grown larvae.

Unlike Helicoverpa, cluster caterpillars are hairless and have an inverted pale ‘Y’ visible on their head capsule.

Adult female lays eggs on leaf surfaces in a cluster usually containing several hundred eggs. Larvae emerge 2–3 days after egg laying. Younger larvae are mostly lighter green while older ones turn dark green or brown (Figure 3).

Adult Spodoptera litura moth can be monitored using commercially available cluster caterpillar pheromone lure in a plastic delta/bucket trap. In addition, scouting of egg masses and clusters of young larvae in crop is advisable prior to making pest management decisions. There are a range of generalist predators and parasitoids that are known to keep caterpillar population at low levels.

While commercially available biopesticide including NPVs can manage Helicoverpa efficiently, such impact is not applicable to Spodoptera species. There are synthetic products registered on the APVMA database for use against this caterpillar in Australia.

Fall armyworm (FAW) Spodoptera frugiperda (Lepidoptera:

Noctuidae) is another highly polyphagous insect native to tropical and sub-tropical areas of the Americas that arrived on the Australian mainland in 2020. Following the initial detection in Far North Queensland, it was soon found infesting grass crops including corn throughout northern Australia and then began spreading southward.

The adult moths are a migratory pest capable of flying hundreds of kilometres on storm fronts. While FAW is expected to be present year-round in warmer areas, local populations may build up in other regions with seasonal warm weather. Young caterpillars feed on the leaf surface, creating pinholes and windows in leaf tissue, and thereby reduce leaf biomass significantly. Mature larvae can feed on roots and reproductive structures including flower buds.

Figure 2. Native budworm larva with black hairs around the head (no pigmented saddle)
Photo credit: Andrew Weeks, Cesar Australia

FAW is known to feed on a wide host range of more than 350 plant species including maize, cotton, rice, sorghum, sugarcane, wheat and many other vegetable and fruit crops. In the past four years after the initial invasion, the preferred hosts of fall armyworm have continued to be grass crops especially corn (maize and sweet corn).

However, FAW larvae have been found in many other broadleaf horticultural crops. More importantly, during early autumn this year on the mid north coast, FAW larvae were observed to attack raspberry seedlings by feeding on the new shoot growth. The impact of FAW on berry industries has yet to be estimated (Figure 4).

Figure 3. Cluster caterpillar feeding on young raspberry crop in north coast NSW. Photo credit: Costa Berries
Figure 4. FAW larvae found in Raspberry nursery in north coast NSW. Photo credit: Costa Berries

A female moth can lay up to 1,000 eggs. FAW eggs resemble those of other Spodoptera species, but newly hatched larvae disperse on silken threads (ballooning) whereas cluster caterpillar (Spodoptera litura) congregate near the hatched egg mass. Mature FAW larvae have a dark head with an upside-down pale Y-shaped marking as well as four black dots in a square pattern on the second last segment. Additionally, it has raised spots arranged in lines (end segments) and in trapeze (middle segments). Unlike H. armigera, the ‘saddle’ (dark marking behind the head) is absent in FAW.

Adult moths can be monitored with a delta pheromone trap that serves as an early warning for potential egg lays of FAW, and as an indication of pest pressure during the season. In-crop scouting is required to accurately assess the presence of FAW larvae (Figure 5).

Several natural enemies including egg parasitoids Trichogramma pretiosum, Telenomus remus and larval parasitoids Cotesia species have been reported to attack FAW.

Chemical treatment permits for FAW in berries are available through the Australian Pesticides and Veterinary Medicines Authority (APVMA). Complete a Permit search at portal.apvma.gov.au/pubcris for 'Fall armyworm' to identify permitted products for Minor Use in Rubus crops.

Further reading:

1. NSW Department of Primary Industries, Fall armywormavailable online via www.dpi.nsw.gov.au/biosecurity/plant/insectpests-and-plant-diseases/fall-armyworm

2. Simpson M., Leongz G. (2023). Berry plant protection guide. NSW Department of Primary Industries available online via the Resource Library berries.net.au/resource-library/

Figure 5. FAW egg mass (Left) FAW larvae head with an upside-down pale Y-shaped marking (Centre).
Adult FAW trapping with bucket pheromone traps (Right). Photo credits: James Castner, University of Florida and Queensland Department of Agriculture and Fisheries

Sexy Bug Talk –it’s pure chemistry!

Have you ever wondered how bugs communicate? New research at the Tasmanian Institute of Agriculture (TIA) is unravelling the flirty chemical talk of key rubus pests, mirids and green vegetable bugs.

The strategic levy investment project ‘Using pheromones and traps in the management of mirids and vegetable bugs’ (RB21001) is part of the Hort Innovation Raspberry and Blackberry Fund and will help ramp up integrated pest management (IPM) of these key Rubus pests. The TIA research team of Dr Jonathan Finch and PhD candidate Seeger van Kints is working closely with the Rubus IPM team in Tasmania, Victoria and NSW (RB21000).

Seeger’s research combines analytical chemistry, biology and delicate insect microsurgery. He will be extracting, identifying and synthesising the pheromones that get mirids and green vegetable bugs excited. The aim is to use these pheromones to monitor and manage these pests in raspberries and blackberries, reducing costly and disruptive pesticide use.

Pheromones – what are they?

Pheromones are chemical substances used for subtle and sometimes less subtle communication throughout the animal and even plant world. They are secreted outside the body and act as a signal to another individual to behave in a particular way.

Insects use pheromones for many different purposes. The more common ones signal for aggregation, alarm or sex. Aggregation pheromones are the ‘let’s get together’ pheromones. It can be a message that there is something particularly tasty on offer or for safety in numbers. A locust swarm of millions of individuals forms with the help of pheromones. Insects which feel threatened or under attack release alarm pheromones. This is the familiar smell given off by some ants when squished.

With sex pheromones, it is usually the female of very mobile insects, like moths and bugs, that secretes a pheromone to attract a mate, sometimes from as far away as 10 km.

How we use pheromones in Integrated Pest Management (IPM)

Aggregation pheromones are used to attract and kill pests such as grain weevils and the fruit damaging carpophilus beetle. The Carophilus Catcha Trap uses both an aggregation pheromone and compounds found in rotting fruit to attract and kill beetles.

Sex pheromones help us monitor pest numbers or manage a pest by mass trapping or mating disruption. Monitoring using pheromone traps can provide an early warning system on the influx of a pest or be used to calculate when eggs will hatch. Mating disruption pheromones are used to manage light brown apple moth in many fruit crops including berries. Pheromone ties placed throughout a crop create a cloud of very confusing female pheromones. The overwhelmed male is lost in this haze of pheromones, making it difficult for it to locate a female mate. This reduces mating frequency and can plummet populations.

Mirid day surgery

Seeger is initially studying the Australian crop mirid (Sidnia kinbergi), a prevalent and difficult to control pest of Rubus crops. He describes the first stage of extracting, identifying and synthesising its pheromones.

PhD candidate Seeger van Kints isolating mirid pheromones in the laboratory. Photo credit: TIA
PhD candidate Seeger van Kints repotting raspberries for trial. Photo credit: TIA

“It is a very tiny insect with an even tinier scent gland. Dissecting it is like microsurgery, so I am also trialling a fully body extraction. I then separate each chemical component using a gas chromatograph. Working out which chemicals are the key sex pheromones is a little trickier and not so nice for the mirid! I cut the head off a live mirid and attach electrodes to the antennae. Each individual component of the extract is wafted with precise timing over the antennae. This means I can match a strong antennae response to the individual chemical compound causing it.”

The next stage is synthesising then assessing the pheromone components in real world raspberry and blackberry crops. The fun doesn’t stop there. Seeger will also delve in to chemical signalling of the green mirid (Creontiades dilutus) and test its pheromone as a potential mirid lure in crops.

Green vegetable bug – role reversal

Unlike mirids, it is the male green vegetable bug (GVB) that produces pheromones to attract the female. Quite a lot of research has been done on this species’ chemical signalling, revealing that different populations secrete wildly varying ratios of chemical components.

Seeger will synthesise GVB pheromones in collaboration with the Chemistry Department at the University of Tasmania. The pheromones will be put to the test in in

raspberry and blackberry crops in the coming season, comparing pheromone trap catches with traditional monitoring methods such as sweep netting. Seeger will also look at how many traps are needed (number of traps/ha), and the ideal placement of these in and around the crop. This will provide a GVB map in both space and time, showing how population numbers of GVB change during the season and the best position to place traps for early warning of a GVB outbreak.

Suppressing pests with pheromones

Pheromone traps can also be used as a method of pest control. The trapping trials will be matched with fruit assessment to establish whether traps can also limit pest damage to the crop.

IPM - the big picture

Unlocking the pheromone secrets of sucking bugs including mirids and GVB has the potential to provide a missing link for raspberry and blackberry integrated pest management. Currently, managing these pests relies on disruptive chemical management, which puts the biological control of other pests at risk. Pheromone technology is a step in the right direction for achieving reduced pesticide use, protecting the diverse ecosystem of beneficial species and producing sustainable yields of quality fruit.

Australian crop mirid, Sidnia kinbergi. Photo credit: Denis Crawford

Best Practice Pollinator Management for the Rubus Industry (RB23002)

Raspberry and blackberry growers have invested their research and development levy through Hort Innovation into a new project ‘Best Practice Pollinator Management for the Rubus Industry’ that is being delivered by the University of Melbourne. The main aim of this project is to provide Rubus growers with information about which insects, other than honeybees, are likely pollinating Rubus in their growing region and system, and what can be done to support these pollinators on their farms.

This project is particularly timely given the introduction of Varroa mite into Australia. This global honeybee pest may reduce pollination services provided by honeybees, but will not impact our native pollinators. Different native pollinators are present in different regions, so this study will develop region specific recommendations as a safety net for the Rubus industry’s future.

Pollinating insects are important for Rubus production. Insects can move pollen within and between Rubus flowers and in doing so can increase fruit quality (e.g. number of drupelets), even in self-compatible varieties, by ensuring that more stigmas receive pollen. In Australia, Rubus pollination is often performed by managed and feral European honeybees. We currently have the highest densities of feral honeybee colonies in the world, making these bees an abundant resource for Rubus growers. With the recent arrival of the Varroa mite that has been responsible for honeybee colony collapses overseas, it is important to understand the reliance of Rubus production on these bees, and the role that alternative pollinators (e.g. native bees) can play.

One goal of this project is to understand the range of insects that pollinate Rubus flowers in Australia. There is already some evidence that native Australian insects pollinate Rubus. Notably, past studies have shown native reed bees (Exoneura species), furrow bees (Lasioglossum species), and stingless bees (Tetragonula species) to be effective pollinators of Rubus flowers in certain regions of Australia.

Our team’s first task is to bring together existing knowledge about native insect pollinators, their known effectiveness, and information about where they are commonly found pollinating Rubus crops. Existing datasets and studies are, however, quite limited and regionally restricted.

To supplement existing knowledge, our team will be conducting extensive field work across south-east Queensland, northern NSW, Victora, Tasmania, and southern WA to gain a systematic understanding of the range of insects that provide important Rubus pollination services across Australia’s primary Rubus production regions.

RUBUS

Another goal is to understand what growers can do to support Rubus pollinators on their farms. Again, we will synthesise existing knowledge, but our field work will also provide new information on possible management practices. Crop-pollinating insects often require non-crop flowers to provide pollen and nectar when crops are not flowering, and to provide a diversity of nutrients to maintain healthy insect populations.

When there are multiple pollinator species visiting crop and non-crop flowers, and limited space for growing non-crop flowers, it is important to select the plant species that will maximise support for the crop-pollinator community. We will collect data on the range of floral resources that Rubus pollinators use in each region, and then use computer algorithms to determine the sets of non-crop plants that maximise crop-pollinator diversity so that growers can make the best use of space available for planted flowers that maximise pollinator services to Rubus crops.

An important part of this project will be working with the research team from the current strategic levy investment project ‘Integrated pest management approaches to address pest challenges in raspberry and blackberry (RB21000)’ which is part of the Hort Innovation Raspberry and Blackberry Fund, to facilitate integration of Rubus pollinator and pest management. For instance, it may be possible to determine which set of non-crop plant species simultaneously maximise pollinators and natural enemies of Rubus pests within and surrounding Rubus fields.

We will make our findings available to growers in several ways. We will provide regular updates on results until completion in early 2027, including articles in this journal and information forums. Once all field and lab work are complete, we will make a ‘best practice guide to supporting Rubus pollinators’ available to growers.

If you’re a Rubus grower interested in letting us collect insects on your farm, please contact Julian Brown on julian.brown@unimelb.edu.au

Further reading

Coates, JM, Brown, J, and Cunningham, SA (2022) Wild bees nest in the stems of cultivated Rubus plants and act as effective crop pollinators. Agriculture, Ecosystems & Environment, Vol. 325

Hall, MA, Jones, J, Rocchetti, M, Wright, D, and Rader, R (2020) Bee visitation and fruit quality in berries under protected cropping vary along the length of polytunnels. Journal of Economic Entomology, Vol. 113

Native Reed bee on Rubus. Photo Credit: Alison Hoelzer

INSECT

The smarter choice for int egrated pest management in a wide range of berries.

Have you considered trying the website?

No, what is that?

It is a free, confidential website you can access from your phone, tablet or computer.

It was developed with Australian farmers, for Australian farmers.

Why would I need to look at that?

It might:

• put you in a good position to make decisions

• help you get a different perspective on the way you are thinking and feeling

• reduce your levels of stress

Lots of farmers are finding it useful.

But I don’t have a mental health problem!

It has been designed to help all farmers get more out of life and manage things beyond their control like the weather.

It is not just for people with mental health issues.

Can I show you where to find the website? Do you want me to send you the link?

Here is a flyer / mouse pad / pen to help you remember to come back and look at it later.

If you’d like me to help keep you on track with add me as a mate or mentor once you’ve logged on.

Let’s talk about it again next time we catch up. What have you got to lose?

Turn static files into dynamic content formats.

Create a flipbook
Issuu converts static files into: digital portfolios, online yearbooks, online catalogs, digital photo albums and more. Sign up and create your flipbook.