Counterbalance

Benjamin Jawad
bensdqjawad@gmail.com
832-612-7043

Benjamin Jawad
I am a graduating architecture student focused on structural expression and context-driven design. Drawing on professional and academic experience, I approach projects with curiosity, attention to detail, and a dedication to thoughtful solutions. My philosophy focuses on crafting meaningful experiences through the intentional use of form and materials, guiding my work in both architecture and furniture design.
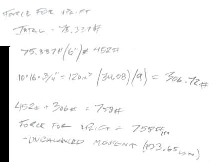
Process Sketches
Construction Materiality Renderings
Design Philosophy 04-05 06-07 08-09 10-11 12-15





































