Semestrário 2022 | 01 - v. 7 n. 14 - 2022

Page 1

rár

sem est
io_ bAU sen ac_ // 2022 _ 01 Centro Universitário Senac Revistas do curso de Arquitetura e Urbanismo V. 7, N. 14 - 2022

Centro Universitário Senac, ARQLAB

Revistas do curso de Arquitetura e Urbanismo SENAC - Volume 7 número 14. Semestrário ARQLAB 2022|1. Centro Universitário Senac - São Paulo (SP), 2022. 157 f.: il. color.

ISSN: 2675-2247

Editores: Ricardo Luis Silva, Valéria Cássia dos Santos Fialho

Registros acadêmicos (Bacharelado em Arquite tura e Urbanismo) - Centro Universitário Senac, São Paulo, 2022.

1. Divulgação Acadêmica 2. Produção discente 3. Anuário 4. Graduação 5. Arquitetura e Urbanismo I. Silva, Ricardo Luis (ed.) II. Fialho, Valéria Cássia dos Santos (ed.) III. Título

BACHARELADO EM ARQUITETURA E URBANISMO CENTRO UNIVERSITÁRIO SENAC

REVISTAS DO CURSO DE ARQUITETURA E URBANISMO SENAC v. 7 n. 14 SEMESTRÁRIO ARQLAB 2022 | 1 REGISTRO DE DISCIPLINAS

ISSN - 2675-2247

FICHA TÉCNICA: Coordenação de curso: Prof. Dra. Valéria Cássia dos Santos Fialho

Coordenação e edição do Semestrário: Prof. Dr. Ricardo Luis Silva

Produção e organização: ARQLAB

Projeto gráfico: Gabriel Serra Rodrigues Natasha Venegas

Revisão do projeto gráfico: Prof. Ms. João Yamamoto Prof. Dr. Ricardo Silva

CORPO DOCENTE BAU

Ms. Ana Carolina Mendes Esp. Artur Katchborian Drª. Beatriz Kara Ms. Caio Faggin Dr. Carlos Ferrata Ms. Carlos Medeiros Ms. Dani Hirano Dr. Felipe Noto Ms. João Pregnolato Ms. João Yamamoto Drª. Jordana Zola Drª. Katia Pestana Ms. Marcella Ocke Dr. Marcelo Suzuki Ms. Marcelo Ursini Ms. Mauricio Petrosino Drª. Myrna Nascimento Dr. Nelson Urssi Ms. Paulo Magri Ms. Ralf Flôres Dr. Ricardo Dualde Dr. Ricardo Silva Drª. Rita Canutti Dr. Sérgio Matera Drª. Valéria Fialho Dr. Walter Galvão

sem est rár io_ // 2022 _ 01 bAU sen ac_

Nota sobre as imagens:

As figuras de referência das disciplinas são de domínio público e os registros dos trabalhos e atividades foram cedidos pelos autores (alunos e professores).

> editorial //

Com o avanço da vacinação e a queda significativa dos números da pandemia, retornamos ao nosso Campus, com todas as atividades acadêmicas presenciais.

Assim, foi possível retomar, ainda que com a adoção de medidas de proteção, as atividades nos laboratórios, as oficinas, os encontros e as visitas técnicas.

Este retorno foi fundamental para recuperar práticas valiosas e fundamentais para estudantes e docentes.

Nosso Semestrário, em seu 14º número, traz o registro de nossas atividades acadêmicas entre fevereiro e junho de 2022 (2022|1), apresentando, em formato indiciário, o elenco das disciplinas ofertadas seguido de relatos de experiências docentes, depoimentos de alunos sobre as experiências do semestre e, ainda, os apontamentos sobre as diversas atividades extracurriculares desenvolvidas. Seguimos também com a participação de nossos egressos, na seção Arquivo Vivo, que nesta edição apresenta depoimentos gravados, disponíveis no nosso perfil na plataforma Youtube.

Assim, encerramos mais um ciclo, sobre o qual organizamos novamente um olhar retrospectivo, que busca o registro e divulgação de nossas atividades e, ainda, desenhar novos caminhos para o futuro a partir dos desafios impostos pelo retorno às nossas práticas cotidianas, ainda sob o impacto do período de afastamento imposto pela pandemia.

Valéria Fialho

Coordenação de Curso Marcelo Suzuki, Nelson Urssi, Ricardo Dualde e Ricardo Silva

Núcleo Docente Estruturante

manhã

1º período arte: história e explressão estudos ambientais aplicados ao urbanismo experimentos tridimensionais percepção e representação do espaço projeto: abrigo

3º período

arquitetura e cidade ferramentas digitais aplicadas ao projeto formação do solo urbano materiais e estruturas projeto: equipamento institucional

manhã

manhã

5º período apresentação e finalização arquitetura contemporânea conforto ambiental desenho urbano: operações urbanas mecânica dos solos e fundações paisagismo: local projeto de arquitetura: equipamento cultural projeto integrador 5: patrimônio_teorias e conceitos

7º período atelier de modelagem cenografia instalações prediais: elétrica instalações prediais: hidráulica planejamento urbano: regional projeto de arquitetura: edifício multifunção projeto espaço objeto projeto integrador 7: fluxos_mobilidade

manhã

manhã

8º período crítica arquitetônica experimentações projetuais pesquisa aplicada em arquitetura e urbanismo projeto de arquitetura: infraestrutura urbana projeto integrador 8: fluxos_escalas mercado, ética e legislação profissional planejamento urbano: políticas públicas

9º período

eletiva: desenvolvimento sustentável trabalho de conclusão de curso - tcc 1

manhã

10º período trabalho de conclusão de curso - tcc 2

manhã

>índice
06
30
42 noite 48
54
60
74
noite 12 noite 24 noite 36
18

depoimentos dos docentes prof. ms. joão carlos amaral yamamoto construindo a disciplina “arquitetura e cidade”

profa. dra. valéria dos santos fialho arte no campus

profa. dra. jordana alca barbosa zola visitas de campo: vivência, aprendizado e encontros na cidade

profa. ms. ana carolina ferreira mendes maquetes analíticas em du5 prof. dr. marcelo suzuki escritório modelo de arquitetura e desing

profa. ms. marcella de moraes ocke müssnich viver em comunidade: conexão jalapão, petrolina, são paulo

depoimentos dos alunos

arthur breda - 7º período ayki nakada - 1º período maria eduarda ribeiro - 3º período karina fernandes - 3º período pollyana caroline teodoro - 5º período elizabeth sinto - 7º período

eventos acadêmicos e atividades extracurriculares exposições envoltórias e abrigos turmas do primeiro período cotidiano do curso e do campus projetos de extensão lau+d aula magna arquiteto josé paulo gouveia e arquiteto milton braga oitava semana de arquitetura e urbanismo senac de volta ao campus | reocupa senac convidados conversa com egressos o tcc e o início da vida profissional casa aberta visitas técnicas

arquivo

#04 - mapeamento da atuação dos profissionais formados pelo bau-senac

154
vivo
134 122 84
ARTE história e expressão ESTUDOS AMBIENTAIS aplicados ao urbanismo EXPERIMENTOS tridimensionais PERCEPÇÃO E REPRESENTAÇÃO do espaço PROJETO abrigo

manhã1º período

profa. dra. myrna de arruda nascimento

> ARTE história e expressão

trabalho de jessica flávia silveira angelini

> ESTUDOS AMBIENTAIS aplicados ao urbanismo

prof. dr. ricardo dualde

avaliação do parcelamento - uso e ocupação do solo. um diagnóstico para áreas da cidade de são paulo

8
//
// //
// //
//

EXPERIMENTOS tridimensionais

dr. dani hirano

REPRESENTAÇÃO

dra. valeria dos santos fialho

9 >
> PERCEPÇÃO E
do espaço prof.
// profa.
// // reportagem gráfica fauusp - aluno joão miguel mourelo // // joão miguel mourelo //
10 prof. dr. marcelo suzuki // // estrutura abrigo em exposição nos corredores do campus // > PROJETO abrigo
11
noite1º período
ARTE história e expressão ESTUDOS AMBIENTAIS aplicados ao urbanismo EXPERIMENTOS tridimensionais PERCEPÇÃO E REPRESENTAÇÃO do espaço PROJETO abrigo

prof. dr. ricardo luis silva

> ARTE história e expressão

abertura 13a bienal internacional de arquitetura - sesc paulista

> ESTUDOS AMBIENTAIS aplicados ao urbanismo

prof. dr. ricardo dualde

avaliação do parcelamento - uso e ocupação do solo. um diagnóstico para áreas da cidade de são paulo

14
//
// //
// //
//

EXPERIMENTOS

dr. dani hirano

PERCEPÇÃO E REPRESENTAÇÃO

espaço

dos exercícios das treliças espaciais

profa. dra. valeria dos santos fialho

15 >
tridimensionais >
do
prof.
//
// // exposição
// // reportagem gráfica sesc pompeia - aluno rogério torres //
16 prof. dr. marcelo suzuki // // exposição envoltórias // > PROJETO abrigo
17

manhã

3º período
ARQUITETURA E CIDADE FERRAMENTAS DIGITAIS aplicadas ao projeto FORMAÇÃO DO SOLO URBANO MATERIAIS E ESTRUTURAS PROJETO equipamento institucional

ARQUITETURA E CIDADE

prof. ms. joão carlos amaral yamamoto

pranchas de apresentação dos referenciais estudados

DIGITAIS

prof. dr. dani hirano

prof. ms. paulo henrique gomes magri

trabalho de andressa moreira de oliveira

20
//
//
// //
// //
// >
> FERRAMENTAS
aplicadas ao
projeto

> FORMAÇÃO DO SOLO URBANO

profa. dra. jordana alca barbosa zola

prof. dr. felipe de souza

Visita técnica ao circuito de galerias centro novo

> MATERIAIS E ESTRUTURAS

prof. ms. carlos alberto medeiros

prof. ms. marcelo luiz ursini // // anotações de aula //

21
//
//
noto // //
//

PROJETO equipamento institucional

dr. felipe de souza noto

ms. marcelo luis ursini

desenvolvida pela turma

22 prof.
// prof.
// // maquete
// >
23

período

noite

ARQUITETURA E CIDADE FERRAMENTAS DIGITAIS aplicadas ao projeto FORMAÇÃO DO SOLO URBANO MATERIAIS E ESTRUTURAS PROJETO equipamento institucional

ARQUITETURA E CIDADE

prof. ms. joão carlos amaral yamamoto

prancha síntese da garagem de barcos, de vilanova artigas. aluna karina fernandes

DIGITAIS aplicadas ao projeto

prof. ms. paulo henrique gomes magri

trabalho de giovanna marques

26
//
// //
// //
// >
> FERRAMENTAS

FORMAÇÃO DO SOLO URBANO

dra. jordana

MATERIAIS E ESTRUTURAS

dr. sergio matera

ms. marcelo luiz

27 prof.
// prof.
ursini // // exemplo de exercício // >
profa.
alca barbosa zola // // visita técnica ao terreno de projeto // >

> PROJETO equipamento institucional

prof. ms. caio luis mattei faggin // prof. ms. marcelo luis ursini // // maquete do projeto desenvolvido pelo aluno matheus neubert //

28
29
APRESENTAÇÃO e finalização ARQUITETURA contemporânea CONFORTO ambiental DESENHO URBANO: operações urbanas MECÂNICA DOS SOLOS e fundações PAISAGISMO: local PROJETO DE ARQUITETURA: equipamento cultural PROJETO INTEGRADOR 5: patrimônio, teorias e conceitos

período

manhã

ms. joão carlos

dra. katia

32 // apresentação linha do tempo // // apresentação dos trabalhos da turma // prof.
amaral yamamoto // > APRESENTAÇÃO e finalização > ARQUITETURA contemporânea profa.
bomfim pestana //

dr. walter josé

galvão

> CONFORTO ambiental

de proposta de ações no projeto arquitetônico desemvolvido em pa5

DESENHO URBANO

33 // prancha
// // turma em dia de entrega de projeto //
prof.
ferreira
// >
operações urbanas profa. ms. ana carolina ferreira mendes // prof. dr. ricardo dualde //

ms. carlos alberto

> MECÂNICA DOS SOLOS e fundações

estrutural da aluna larissa maciel

> PAISAGISMO

profa. ms. marcella de moraes ocke müssnich

parque minhocão

34
prof.
medeiros //
local
// // projeto
// // esquema
//

PROJETO DE ARQUITETURA

dra. katia bomfim pestana

ms. maurício miguel petrosino

PROJETO INTEGRADOR

35 >
equipamento cultural profa.
// prof.
// prof. ms. ralf josé castanheira flôres // >
5 patrimônio, teorias e conceitos // visita técnica ao mube // // apresentação dos modelos de estudo de intervenção em patrimônio //
APRESENTAÇÃO e finalização ARQUITETURA contemporânea CONFORTO ambiental DESENHO URBANO: operações urbanas MECÂNICA DOS SOLOS e fundações PAISAGISMO: local PROJETO DE ARQUITETURA: equipamento cultural PROJETO INTEGRADOR 5: patrimônio, teorias e conceitos
noite5º período

profa. dra. valéria dos santos fialho

de aula

francini santos

prof. ms. joão carlos amaral yamamoto

das alunas ananda, bárbara, beatriz, lucas e vanessa

38 // caderno
-
// // prancha
//
// > APRESENTAÇÃO e finalização > ARQUITETURA contemporânea
//

dr. ricardo dualde

dr. walter josé ferreira galvão

> CONFORTO ambiental

prancha de levantamento de dados

> DESENHO URBANO operações urbanas

volumétricas

39 //
// // maquetes
//
prof.
//
prof.
//

prof. ms. carlos alberto medeiros

> MECÂNICA DOS SOLOS e fundações

> PAISAGISMO local

prof. dr. walter josé ferreira galvão

projeto parque linear elevado costa e silva

gráfico desenvolvido em aula

40
//
// //
// //
//

dra. katia bomfim

DE ARQUITETURA

PROJETO INTEGRADOR

modelo

41 > PROJETO
equipamento cultural profa.
pestana // prof. ms. ralf josé castanheira flôres // >
5 patrimônio, teorias e conceitos // apresentação dos projetos // // apresentação de
de estudo de intervenção em patrimônio //
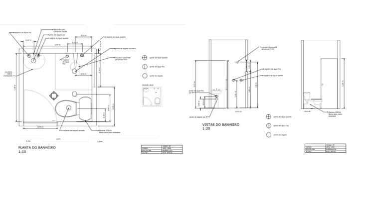
ATELIER DE MODELAGEM CENOGRAFIA INSTALAÇÕES PREDIAIS: elétrica INSTALAÇÕES PREDIAIS: hidráulica PLANEJAMENTO URBANO: regional PROJETO DE ARQUITETURA: edifício multifunção PROJETO ESPAÇO OBJETO PROJETO INTEGRADOR 7: fluxos_mobilidade

7º período

manhã

DE

44 prof. ms. paulo henrique gomes magri // profa. dra. valéria dos santos fialho // // exercício da aluna bruna rodrigues // // exposição no corredormaria signorelli // > ATELIER
MODELAGEM > CENOGRAFIA

INSTALAÇÕES PREDIAIS elétrica

dr. walter josé ferreira galvão

elétrico completo

PREDIAIS

prof. ms. maurício miguel petrosino

hidráulico

45 prof.
//
// // projeto
// // detalhamento
// >
> INSTALAÇÕES
hidráulica

URBANO

profa. dra. beatriz kara josé

profa. dra. rita cássia canutti

mapa de vulnerabilidades - alunos ana thaisa, beatriz bezerra, bárbara cruz, deborah melo e raul scanavino

> PROJETO DE ARQUITETURA

multifunção

46
//
// //
// > PLANEJAMENTO
regional prof. dr. carlos augusto ferrata // prof. esp. artur forte katchborian // // projeto de ana thaisa e beatriz bezerra //
edifício

dra. myrna de arruda nascimento

> PROJETO ESPAÇO OBJETO

silva, ana thaisa rodrigues, frederico battistelli, gabriel savino, gabriella godoy, kaena ramos, pedro gabriel souzatrabalho “a marca na parede” - intercursos

multidisciplinar

com alunos de audiovisual e Fotografia)

> PROJETO INTEGRADOR 7 fluxos

dr. nelson josé urssi

47 profa.
// // beatriz
e
(desenvolvido
//
prof.
// // projeto desenvolvido na disiciplina //

7º período

noite

ATELIER DE MODELAGEM CENOGRAFIA INSTALAÇÕES PREDIAIS: elétrica INSTALAÇÕES PREDIAIS: hidráulica PLANEJAMENTO URBANO: regional PROJETO DE ARQUITETURA: edifício multifunção PROJETO ESPAÇO OBJETO PROJETO INTEGRADOR 7: fluxos_mobilidade

ATELIER DE MODELAGEM

ms. paulo henrique

aluna renata iuksz

profa. dra. valéria dos santos fialho

50 prof.
gomes magri //
// // exercício
// // exposição semana de 22 // >
> CENOGRAFIA

dr. walter josé ferreira galvão

PREDIAIS

elétrico completo

PREDIAIS

dr. walter josé ferreira galvão

hidráulico

51 prof.
// prof.
// // projeto
// // projeto
// > INSTALAÇÕES
elétrica > INSTALAÇÕES
hidráulica

PLANEJAMENTO URBANO

PROJETO DE ARQUITETURA

multifunção

52 profa. dra. rita cássia canutti // // o grande abc paulista // >
regional prof. esp. artur forte katchborian // // projeto apresentado pelos alunos alberto amorim, jean carlos e isabelly zillig // >
edifício
53 profa. dra. myrna de arruda nascimento // // trabalho de sabrina moreira // > PROJETO ESPAÇO OBJETO prof. dr. nelson josé urssi // // projeto desenvolvido na disiciplina // > PROJETO INTEGRADOR 7 fluxos
manhã8º período CRÍTICA arquitetônica EXPERIMENTAÇÕES PROJETUAIS MERCADO, ÉTICA e legislação profissional PESQUISA APLICADA em arquitetura e urbanismo PLANEJAMENTO URBANO: políticas públicas PROJETO DE ARQUITETURA: infraestrutura urbana PROJETO INTEGRADOR 8: fluxos_escalas

profa. dra. kátia bomfim pestana

CRÍTICA arquitetônica

painel de referência peter zumthor - alunas jamilly santos, laís bazalha, rafaela rodrigues

PROJETUAIS

prof. ms. paulo henrique gomes magri

profa. ms. marcella de moraes ocke müssnich

dos alunos fernando cazuza, gabriela

56
//
//
// //
// // exercício
forte e hingrid brito // >
> EXPERIMENTAÇÕES
57 prof. ms. maurício miguel petrosino // // exercício de repertório // > MERCADO, ÉTICA e legislação profissional profa. dra. valéria dos santos fialho // // registro da conversa com os ex alunos asaph nicolas e heloisa reis promovida pela disciplina // > PESQUISA APLICADA em arquitetura e urbanismo

profa. dra. beatriz kara josé

dra. rita cássia

> PLANEJAMENTO URBANO políticas públicas

de maurício alexandre, rafaela rodrigues, valquíria de oliveira alves e mariana lacerda

PROJETO DE ARQUITETURA

prof. dr. sérgio matera

prof. esp. artur forte katchborain

apresentado pelos alunos carina ruiz e rafaela rodrigues

58
//
// // projeto
// >
infraestrutura
// profa.
canutti // // trabalho
//

INTEGRADOR

- escalas

formação e desenvolvimento de micro territórios - dinâmicas de fluxo populacional e econômico na cidade

prof. dr. ricardo dualde

59
// //
// > PROJETO
7 fluxos

9º período

manhã

ELETIVA desenvolvimento sustentável TRABALHO DE CONCLUSÃO de curso - TCC 1

ms. maurício miguel

referência

62 prof.
petrosino // // atividade de
// > DESENVOLVIMENTO SUSTENTÁVEL eletiva > TRABALHO DE CONCLUSÃO de curso - TCC 1

autora: Ana Carolina

Ms.

Design de mobiliário

autora: Ana Carolina F. Barelli

Prof. Dr. Carlos Ferrata

Centro

autor:

Célula

63
Aldo
Oliveira
orientadora: Profa.
Dra. Myrna de
Arruda Nascimento
Arquitetônica: dispositivo cultural nas periferias de São Paulo
orientador:
de dança: arquitetura como ferramenta para arte e movimento
Dourado Silva orientador: Prof.
Paulo Henrique Gomes Magri

autora:

orientador:

Coqueira:

para produção de

de interiores

autora:

Requalificação do

Aterro

Abrigo, reabilitação e reinserção para pessoas e animais em situação de rua

64
Anna Beatriz Dudly
Prof. Ms. Paulo Magri
materiais sustentáveis
mobiliário
Barbara
Giacchetto
Moreira orientadora: Prof. Ms. Marcella Ocke
Antigo
Santo Amaro: um novo parque urbano
autora: Bruna Bernardes
orientadora:
Profa. Ms. Ana Carolina Mendes

autora:

autor:

autor:

65
Bruna Diniz orientador: Prof. Dr. Nelson Urssi Setdesign em animação: Arquitetura e Cenografia
Caiã Rocha orientador: Prof. Ms. Ralf Flôres Pavilhão Cidade Ademar: memórias em fotografia
Charles Andrade Santos orientador: Prof. Ms. Carlos Augusto Ferrata Centro Cultural Esportivo: a requalificação do CDC Cleuza Bueno

autora: Emili Oliveira

Jardim

infância:

Parque

com a cidade de São

Um

66
autora: Deise Oliveira
orientadora:
Profa. Ms. Marcella Ocke
da foz: estratégias de reconciliação do rio
Paulo
autora: Eliane Hottgen orientadora: Profa. Ms. Ana Carolina Mendes
novo olhar para maturidade: edifício híbrido
orientador:
Prof. Ms. Carlos Augusto Ferrata
de
qualidade de ensino através da Arquitetura
67
autor: Ewerton Suenaga
orientador:
Prof. Ms. Carlos Augusto
Ferrata Parque Biblioteca Campo Grande autor: Felipe Lima Reis orientador: Prof. Dr. Ricardo Silva Fragmentos imagéticos: retratos do submundo
autora: Gabriela Ribas
Carnevalli orientadora: Profa. Dra. Valéria dos Santos Fialho Clínica de atenção à saúde mental: centro de tratamento Jaraguá

autora: Gabriela Silvano Cunha

orientador: Prof. Ms. Ralf Flôres

Caixa de Memória: favela da Jd. Edith

autor: Henrique Carvalho Rabelo

orientador: Prof. Ms. Paulo Henrique Gomes Magri

Pavilhão do ócio: uma arquitetura paramétrica

orientador: Prof. Dr. Marcelo Sukuzi

68
autora: Hindrid Oliveira
Habitação Social Multifamiliar em madeira

(Re)conhecendo

a cultura na

Concreto

de

de interesse

autor: João Pedro Lima

Prof. Ms. Paulo Magri

Desenho

um novo método de projeto para mobiliário urbano de São Paulo

69
autora: Isabella Borba
orientador:
Prof. Dr. Marcelo Suzuki
pré-moldado: uma alternativa para construção
habitação
social
autora: Isabelle Zanoni
orientador: Prof.
Dr. Ricardo Silva
espaços:
periferia
orientador:
Universal:

autora: Larissa Martinho

orientador: Prof. Dr. Carlos Augusto Ferrata

Educação infantil: o papel do espaço na formação da criança

autora: Larissa Henning

orientador: Prof. Dr. Marcelo Suzuki

Processos de construções de novos materiais na arquitetura a partir de compostos orgânicos

autora: Letícia de Lima

orientadora: Profa. Dra. Myrna de Arruda Nascimento

Fenomenologia no ambiente escolar

70

autora: Lidia Rodrigues

orientadora: Profa. Dra. Myrna de Arruda Nascimento

Espaço

autor: Lucas Balogh orientadora: Profa. Ms. Ana Carolina Mendes

CTA - Centro de testagem e aconselhamento Santa Cecília

orientadora: Profa. Ms. Marcella Ocke

Parque

de Calcutá

71
Religioso: fratérnitas Madre Teresa
autor: Lucas Nogueira
Paiva
Esportivo Radical Jurubatuba

autor:

72
Matheus Aith orientadora: Profa. Ms. Ana Carolina Mendes Equipamentos públicos de grande escala: a transformação das atmosferas urbanas
autora: Raquel Rebequi orientador: Prof. Dr. Ricardo Dualde
Plano de requalificação do entorno da Estação Grajaú
autora: Samanta Arissa orientador: Prof. Dr. Nelson Urssi
Arquitetura Efêmera: um olhar do Japão sobre a natureza
73 autor: Thaigo Cezaro orientador: Prof. Ms. Paulo Magri Ambiente Universal: a arquitetura a favor da acessibilidade
TRABALHO DE CONCLUSÃO de curso - TCC 2

período

manhã

10º

Escola

Espaço

Beatriz Furtuoso

JOCKEY CLUB DE SÃO

Beatriz Furtuoso Alexandre

Alca

Figura

Jockey

de São Paulo:

Feo Cintra

Este

Prado

76
de expressão musical: Escola de música no Parque das Hortênsias
orient. Profa. Dra. Jordana
Barbosa Zola
Club
a dialética dos grandes lotes na cidade Christiano de
do
orient. Prof. Dr. Sergio Matera
de música no Parque das Hortênsias
Alexandre Orientadora: Profª. Drª Jordana Alca Barbosa Zola
01: Render praça interna. Fonte: acervo do autor Resumo
trabalho propõe a construção de uma Escola de Música voltada para a população
PAULO A dialética dos grandes lotes na cidade Christiano de Feo Cintra do Prado Orientador: Prof. Dr. Sérgio Matera Figura 01: Fachada Sul. Fonte: acervo do autor

Estudo do uso da madeira e do bambu na arquitetura

Débora Aparecida dos Santos

Técnicas construtivas com materiais renováveis: estudo do uso da madeira e do bambu na arquitetura Débora Aparecida dos Santos orient. Prof. Dr. Marcelo Suzuki

Orientador: Prof. Dr. Marcelo Suzuki Resumo

Parque Horto Florestal de Limeira - SP Requalificação do Horto Florestal

Erika Guerrero Mion

Orientadora: Profª. Ms. Marcella de Moraes Ocke Müssnich

Parque Horto Florestal de Limeira - SP: requalificação do Horto Florestal Erika Guerrero Mion orient. Profa. Ms. Marcella de Moraes Ocke Müssnich

Esse trabalho é um exercício de experimentação de técnicas construtivas com materiais alternativos, pautado sob uma perspectiva da arquitetura sustentável. A proposta surgiu a partir do olhar de um futuro com possibilidades diversas, que podem ser alcançadas através do aprimoramento impossibilidade de abarcar neste trabalho todos os sistemas construtivos que buscam de alguma forma suprir a demanda sustentável, escolhi a madeira e o bambu como obje estudo e experime de cidade, agregando maior diversidade formais e estruturais na arquitetura.

Figura

77
renováveis
01: Imagem do deck do Parque. Fonte: acervo do autor

Gustavo Henrique Rosatti Bunese

Orientador: Prof. Ms.

Cidade contemporânea: revitalização do Cine Comodoro

José Castanheira Flôres

Gustavo Henrique Rosatti Bunese orient. Prof. Ms. Ralf José Castanheira Flôres

Complexo Educacional Morro Grande

Hieda Cristina Yoshioka Iarossi

Figura

:

Complexo Educacional Morro Grande

Orientador: Prof. Ms. Maurício

Petrosino

Hieda Cristina Yoshioka Iarossi orient. Prof. Ms. Maurício Miguel Petrosino

Resumo

O

78
Ralf
01
Praça
interna Cine Comodoro. Fonte: acervo do autor
trabalho analisa a trajetória da Avenida São João e o Cinema do seu auge a situação atual. Esse olhar foca na quadra em que está situado e seu vazio central. Busca, através de uma reflexão sobre a memória urbana e o centro de São Paulo, uma proposta de intervenção que articule essas histórias às demandas contemporâneas. para o antigo Cine Comodoro à criar uma extensão da rua para a parte interna do lote, abrindo frente para as três ruas que margeiam a quadra: Rua Ana Cintra, Rua Barão de Campinas e a Avenida São João, com o vazio central como
Miguel
Figura 01: Complexo Educacional Morro Grande. Fonte: acervo do autor

Orientador:

SESC

patrimônio e

Hugo Fiais Silva orient. Prof. Ms. Ralf José Castanheira Flôres

Creche Campo Grande

Laura Sales de Araujo Orientador: Prof. Ms. Mauricio Miguel Petrosino

Creche Campo Grande: educação infantil Laura Sales de Araújo orient. Prof. Ms. Maurício Miguel Petrosino

SESC Guarapiranga. Fonte: acervo do

construindo

criando espaços de

e

79
Guarapiranga: memória,
cultura
Prof. Ms. Ralf José Castanheira Flôres Figura 01:
Resumo trabalho discutirá e irá analisar o Conjunto Santa Paula através das formações históricas, políticas e sociais que constituíram o projeto arquitetônico. Desenvolvendo a leitura através passagem cronológica demonstrando como fatores decididos a décadas atrás impactaram presente do conjunto. Com isso desenvolvemos a proposta de intervenção patrimonial visando ressignificar um projeto de excelência arquitetônica
um projeto integrado cidade que se relacione com passado e presente local
permanência passagem, com fruição e conectividade que recupere a conexão entre usuário
patrimônio histórico local.
Educação infantil
Figura 01: entrada/ área externa. Fonte: acervo da autora

Lucas

Orientador:

Carvalho

Nelson

Urssi

Figura

Matera

80 O uso da tecnologia na cenografia: criando o cenário de As Cidades Invisíveis Lucas
Pinheiro orient. Prof. Dr.
José
Terminal 2 - Aeroporto Internacional de Viracopos Matheus Garcia Prado orient. Prof. Dr. Sergio
O uso da tecnologia na cenografia: criando o cenário de As Cidades Invisíveis
Carvalho Pinheiro
Prof. Dr. Nelson José Urssi
01: A tecnologia do metaverso em realidade aumentada. Fonte: https://ucegamers.com.br/site/metaverso-o-que-isso-tem-a-ver-com-games/. Acesso: 29.05.2022 Resumo O projeto foi criar uma cenografia de um livro do Ítalo Calvino, chamado de Cidades Invisíveis. Terminal 2 - Aeroporto Internacional de Viracopos Terminal de Passageiros 2 Matheus Garcia Prado Orientador: Prof. Dr. Sérgio Matera Figura 01 : Fachada Terminal de Passageiros. Fonte: acervo do autor Resumo O projeto do Terminal 2 do Aeroporto de Viracopos, foi criado para aumentar a capacidade do Aeroporto de 24 milhões de passageiros, para 80 milhões por ano, de acordo com o MasterPlan

Palloma Patricio

Orientador: Prof. Dr. Sérgio Matera

SESC Parelheiros:

de

e bem-estar para todos Palloma Patrício Cardoso

Polyana Freires Silva Orientador: Prof. Dr. Sérgio Matera

Centro Cultural Guido Caloi Polyana Freires Silva orient. Prof. Dr. Sergio Matera

Neste

qualidade
vida
Figura 01: Centro Esportivo. Fonte: acervo do autor
Cardoso
Figura 01 : Vista frontal Fonte: acervo do autor Resumo
trabalho final de graduação foi abordado a necessidade e a proposição de um equipamento como o SESC no distrito de Parelheiros, que está localizado no extremo sul de São Paulo e que sofre com elevados índices de vulnerabilidade social e ambiental devido à falta de gerenciamento de políticas públicas nas regiões periféricas da cidade. O intuito é promover melhorias nas áreas de educação, saúde, cultura, lazer e assistência, contribuindo para o desenvolvimento cultural e social, e atendendo a todas as faixas etárias, desde as crianças aos idosos, trazendo mais qualidade de vida e esperança. Versão integral do trabalho em: https://issuu.com/pallomappaulo/docs/caderno_tcc_2_palloma_patricio_

Regional

Hospital Veterinário Público Regional do ABC

Suynara Oliveira

Orientador: Prof. Ms. Maurício Miguel Petrosino

Suynara Oliveira da Silva Marinho orient. Prof. Ms. Maurício Miguel Petrosino

Orientadora: Profª. Drª Jordana Alca Barbosa Zola

estrutura urbana na Bela Vista Thalia Cássia Ribeiro da Silva orient. Profa. Dra. Jordana Alca Barbosa Zola

Resumo

82
Figura 01: Visão geral da proposta. Fonte: acervo do autor. Resumo HOSPITAL VETERINÁRIO PÚBLICO
do ABC
da Silva Marinho
A pauta do projeto é sobre a construção de um Hospital veterinário público na cidade de Santo André, região do grande ABC, onde a população não tem acesso a esse serviço com custo acessível para pessoas de baixa renda e não podem utilizar os serviços veterinários gratuitos da cidade de São Paulo. Portanto, esse trabalho propõe uma solução arquitetônica viável através do programa de necessidades gerado das normas da vigilância sanitária e o Conselho Federal de Medicina Veterinária (CFMV), que atualmente regularizam os processos veterinários. Versão integral do trabalho em ( https://issuu.com/suynara/docs/tcc_ _hospital_veterin_rio_p_blico_b2f969abc96e55 )

Todos os trabalhos de TCC apresentaram um ensaio individual, publicados na edição 12 da Revista do TCC

Ela está disponível no endereço: https://issuu.com/arqlabsenac/docs/revista_do_tcc_2022_1

83
.
Prof. Ms. João Carlos Amaral Yamamoto CONSTRUINDO A DISCIPLINA ARQUITETURA E CIDADE Profa. Dra. Valéria dos Santos Fialho ARTE NO CAMPUS Profa. Dra. Jordana Alca Barbosa Zola VISITAS DE CAMPO: VIVÊNCIA, APRENDIZADO E ENCONTROS NA CIDADE Profa. Ms. Ana Carolina Ferreira Mendes MAQUETES ANALÍTICAS EM DU5 Prof. Dr. Marcelo Suzuki ESCRITÓRIO MODELO DE ARQUITETURA E DESIGN Profa. Ms. Marcella de Moraes Ocke Müssnich VIVER EM COMUNIDADE: CONEXÃO JALAPÃO, PETROLINA, SÃO PAULO

relatos de

as

professores sobre
atividades desenvolvidas

alunos do 3o semestre diurno

Ana Cristina Bandeira Lins Ana Karolyne Costa Ajaj Giovanna Barsotti Guilherme Palladini De Castro Munhoz Heloisa Freitas de Oliveira Silva Larissa Pinati Antao Leticia Baena da Cruz Luana Carvalho Silva D Oliveira Luanna Marino Pereira Maria Eduarda Da Silva Ribeiro Murylo Anido Pereira Coimbra Nelio Aparecido Pinheiro de Aquino Rafael Victal Cerqueira Rafaella Oliveira Monteiro de Almeida Taina de Castro Moro Tereza Cristina Laurindo de Oliveira Cardoso

alunos do 3o semestre noturno

Adriely Stephanie de Sousa Amábile Marto Oliveira Andressa Moreira De Oliveira Fernando Alves de Santana Giovanna Marques De Jesus Araujo Ingrid França Oliveira Isabella De Abreu Parmigiani Karina Martins Fernandes Luana Souza Fonte Lucas Salticchioni Costa Maria Eduarda Tavares dos Santos Maria Victoria Strioto Domingues Matheus Leopoldo Neuber da Silva Nathalia Alves Sales Pietra Guerreiro Dias de Sousa Rebeca Adriana Lapa Trancoso Sophia Machado Lula Perreira Thamires Franca Menezes

86

prof. ms. joão carlos amaral yamamoto

> CONSTRUINDO A DISCIPLINA ARQUITETURA E CIDADE

visita ao centro da cidade de são paulo

Na primeira metade de 2022 realizamos a primeira edição da disciplina Arquitetura e Cidade, oferecida aos alunos do terceiro semestre do curso de Arquitetura e Urbanismo. A premissa, o desenho de um panorama da história da arquitetura e da cidade até a década de 1960 em diálogo com a atividade projetual desenvolvida pelos alunos durante o semestre, mostrava-se como um grande desafio. Como falar de tanto em tão pouco tempo?

E, sobretudo, como não transformar essa premissa em uma cansativa e aborrecida gincana, atravessando apressadamente obras, pessoas e eventos cronologicamente organizados como quem espera conhecer uma cidade de cima de um ônibus de citytour, ou o acervo de um museu com os ouvidos em um audioguia, os olhos em uma tela de um celular e o dedo no botão de disparo de uma câmera?

Como não permitir que a disciplina se transforme em uma coleção de quadros cujas conexões com outros se deem exclusivamente por vizinhança em linha do tempo?

A resposta, ou melhor, a hipótese adotada, foi a de abandonar a pretensão de construção do panorama histórico a partir de cronologias para tecer a cada aula, seja em exposições, conversas e debates com a participação dos alunos em sala de aula, seja em atividades na biblioteca ou fora do campus, uma reflexão sobre a ideia de arquitetura e de cidade na qual eventos e obras foram convocados simultaneamente em função de sua relevância para a discussão de determinados temas.

interagir, representar

No primeiro bloco de aulas, cujo tema central foi a cidade, desenvolvemos uma atividade de representação de elementos observados na caminhada pelo centro da cidade de São Paulo – organizada em conjunto com as

87
//
//

disciplinas projetuais, e com o Prof. Ricardo Luís Silva – tendo como resultado um interessante conjunto de cadernos sanfonados com uma grande variedade de questões e de soluções gráficas. Além dos objetivos anunciados, ou seja, o de pensar a cidade e o de desenvolver habilidades gráficas e narrativas, a atividade teve o importante papel de integração entre alunos e desses com o professor, relação que foi fundamental na segunda metade da disciplina.

entrega de cadernos sanfonados da turma do período noturno

apresentação oral de cadernos sanfonados da turma do período diurno

entrega de cadernos sanfonados da turma do período diurno

88
//
//
//

atividade de pesquisa conjunta na biblioteca do campus //

pesquisar, analisar, apresentar

Como atividade de encerramento da disciplina, seguindo a proposta acordada com os estudantes dos períodos diurno e noturno, desenvolvemos um trabalho de pesquisa sobre as obras de arquitetura brasileira da primeira no século XX que foram previamente selecionadas pelo professor. Ao final do semestre, cada equipe deveria organizar uma apresentação oral sobre o edifício pesquisado tendo como único suporte três pranchas com textos, desenhos e fotografias diagramadas e um modelo físico. Para além dos resultados – que foram parcialmente apresentados na pequena mostra organizada pelos alunos no piso superior do Acadêmico 2 — e das habilidades que procuramos desenvolver (a pesquisa, a análise e a apresentação), o processo de desenvolvimento do trabalho, marcado por idas em grupo à biblioteca e por uma sequência de conversas sobre cada um dos edifícios pesquisados, possibilitou a construção coletiva de um repertório comum em diálogo com as aulas expositivas e recomendações de leitura.

estudantes e trabalhos do período diurno //

estudantes e trabalhos do período noturno //

89
90

profa. dra. valeria dos santos fialho

prof. dr nelson urssi

prof. dr. felipe barros

prof. dr. cassimiro carvalho

prof. dr. ricardo silva

> ARTE NO CAMPUS

Viver o agora

“Não importa o que fizeram de nós. O que importa é o que nós faremos com aquilo que fizeram de nós.” (JeanPaul Sartre)

Viver o agora é um estado de atenção, consciente do que estamos experienciando e sentindo no momento presente. O passado é imutável e o futuro é a projeção de todas as nossas escolhas. Viver é mais que existir, é capacitar os pensamentos para se reconhecer no que está vigente.

Esta capacidade de desenvolver um estado lúcido e de vigilância, desprovido de tensão e preocupação, tem como objetivo focar no momento presente afim de evitar ansiedades, preocupações e tristezas; adquirir esse hábito leva à conquista de uma Vida Plena.

Aos artistas cabe a tarefa de reconhecer e codificar o seu tempo, compreender que o agora é mutável, palpável e real, para criar propostas inovadoras e ir além do seu próprio tempo.

Inspirados pelo pensamento que fervilhava entre os artistas envolvidos na Semana de Arte Moderna de 22, na qual buscou-se implementar novos processos na confecção das artes na busca de uma expressão brasileira, assumindo a informalidade, o improviso e a liberdade de produção para romper o formalismo das artes até então vigentes, apresentamos a exposição “Viver o Agora”, um convite à decodificação dos desafios instaurados pelo contemporâneo, encarado como ponto de partida para algo novo.

1822 - A independência e a busca por uma IDENTIDADE.

1922 - A Semana de Arte Moderna e a busca pela MODERNINDADE.

2022 - Por uma visão que podemos construir a partir de agora! DESAFIOS DA CONTEMPORANEIDADE.

A seguir, a participação dos estudantes e professores do curso de Arquitetura e Urbanismo na chamada aberta e na programação do evento, com a oficina-caminhada arqueológica.

91
//
//
//
//
//

prof. artur katchborian

prof. dani hirano

92
//
//
93 aluna letícia baena // prof. marcelo suzuki //

prof. nelson urssi // prof. ricardo luis silva //

94
95 aluna tereza cardoso // profa. valéria fialho //

oficina-caminhada promovida pelo prof. ricardo luis silva, com a participação dos alunos de diversos cursos do senac: ayki nakada (arq) beatriz pereira (arq) caio graco -(av) iago saracchini (anim) kathy mendes (arq) letícia pacífico (av) lucas chausse (arq) matheus saboya (arq) sarah szábo (anim) tereza cardoso (arq) vanessa temporal (foto)

96
//
97

visita higienópolis/ edifício louveira (vilanova artigas, 1948)

98
//

profa. dra. jordana alca barbosa zola

> VISITAS DE CAMPO: VIVÊNCIA, APRENDIZADO E ENCONTROS NA CIDADE

visita colina histórica/ beco do pinto - foto matheus neuber e nathalia alves (3o semestre noturno)

Disciplinas integradas 3o semestre: Formação do Solo Urbano + Projeto Equipamento Institucional Docentes: Profa. Jordana Alca Barbosa Zola; Prof. Felipe de Souza Noto; Prof. Marcelo Ursini; Prof. Caio Faggin.

Participações especialíssimas: Prof. Ricardo Luís Silva e Prof. João Yamamoto

A integração entre as disciplinas projetuais dos semestres iniciais do curso acontece há algum tempo. Essa experiência foi continuada no 3o semestre, através de um mesmo exercício projetual para as disciplinas Formação do Solo Urbano e Projeto de Equipamento Institucional.

A leitura da cidade e de seus processos de produção aconteceu de forma paralela às investigações projetuais dos alunos que, para propor a reestruturação de uma quadra adjacente ao Minhocão, deveriam contemplar programas habitacionais e de uso coletivo.

Depois do retorno das atividades presenciais, o plano das disciplinas incorporou uma longa sequência de visitas técnicas, a diferentes lugares da cidade, como forma de apreender, in loco, parte da diversidade, das tipologias, morfologias e dinâmicas que caracterizam São Paulo.

A sequência de visitas foi intercalada por aulas expositivas e leituras complementares para subsidiar as investigações projetuais dos alunos. A primeira visita foi feita na área do terreno de projeto, junto ao Elevado João Goulart, entre a Santa Cecília e Campos Elíseos.

99
//
//

Nesse semestre, algumas visitas foram realizadas reunindo os alunos e professores dos cursos matutino e noturno, possibilitando o encontro e a troca entre aqueles que frequentam o Campus em dias e horários diferentes.

A visita seguinte, na Colina Histórica, fez o percurso entre a Praça da Sé e o Largo do Paissandu e marcou o encontro de diferentes disciplinas, atividades, professores e alunos do curso. A visita foi organizada em conjunto com a disciplina Arquitetura e Cidade (Prof. João Yamamoto) e fez parte do ciclo de caminhadas urbanas feitas pelo Prof. Ricardo Luís Silva, reunindo enfoques e pessoas diversas, como faz o centro da cidade.

visita pinheirosjardim europa / conjunto de quatro casas à rua sampaio vidal (vilanova artigas, 1944). foto jordana zola //

visita colina histórica / cine paissandu. foto jordana zola //

As demais visitas exploraram as galerias do Centro Novo e República, Pinheiros e Jardim Europa, Higienópolis e Avenida Paulista. Esses lugares foram selecionados de acordo com o enfoque dos temas abordados pelo curso: padrões morfológicos, constituição fundiária, ocupação e transformação urbana, mobilidade, aspectos sociais

100

e a evolução histórica das dinâmicas de apropriação.

Em cada visita, edifícios ou espaços públicos representativos da arquitetura e do urbanismo paulistanos pontuavam os percursos, contribuindo para a formação do repertório dos alunos e de sua reflexão sobre as circunstâncias de produção de cada um dos exemplos destacados.

A intensa participação dos alunos nas visitas, sob sol ou chuva, foi fundamental para a construção de uma rica atmosfera de cooperação e troca de saberes, alimentada pela experiência em lugares, para muitos, desconhecidos. Teve até pai de aluna que passou a participar sempre que podia!

O registro das visitas fez parte do conjunto de produtos avaliados nas disciplinas; as análises e observações feitas coletivamente, in loco, contribuíram para o enriquecimento do repertório individual, que se manifestou na qualidade dos projetos finais, para as duas turmas.

Esperamos que experiências semelhantes continuem a fazer parte do nosso cotidiano e de nossos projetos!

abaixo: visita paulista / masp (lina bo bardi, 1968) //

ao lado: visita galerias do centro novo e república / grandes galerias - galeria do rock (siffredi e bardelli, 1950) //

101
102

profa. ms. ana carolina ferreira mendes

prof. dr. ricardo dualde

> MAQUETES ANALÍTICAS

EM DU 5

A disciplina Desenho Urbano 5: Operações Urbanas no 1° semestre de 2022 trabalhou em três operações Urbanas na cidade de São Paulo: - Operação Urbana Consorciada Água Espraiada; - Operação Urbana Consorciada Faria Lima e - Operação Urbana Centro.

A novidade na disciplina, em relação a semestres anteriores, ficou por conta da inclusão na atividade analítica e projetual da Operação Urbana Centro. O estudo desse território, sob a perspectiva de uma Operação Urbana (com todos os seus incentivos para a atuação da iniciativa privada), se mostrou interessante na medida em que, diferente das demais Operações, não atrai tanto capital financeiro e, ao mesmo tempo, tem questões diferentes dos demais territórios da cidade.

Em primeiro lugar, localiza-se fora do vetor sudoeste da cidade, ou seja, fora do vetor mais comumente valorizado pelo mercado de capitais; além disso, o território tem muitas edificações que são patrimônio histórico, bem como grande quantidade de edificações verticais existentes, de modo geral vistos em nosso contexto como entrave para a transformação urbana.

Na elaboração do projeto, em grupos, para além dos desenhos e diagnósticos a serem apresentados, destacamos como atividade peculiar o estímulo a confecção de maquetes, que pudessem colaborar na construção da leitura do lugar e, como evolução, representar uma proposta volumétrica de alteração do território em estudo – em todas as Operações Urbanas, propusemos um recorte de cerca de 20 ha por grupo. Entendemos a retomada 100% presencial como momento oportuno para a aproximação da maquete como parte do processo de projeto.

A orientação foi a elaboração de maquetes significativas para o processo de projeto, não representando apenas o resultado volumétrico final. Claramente este não foi o único critério para nota, porém, destaca-se como metodologia positiva de análise de território a construção da maquete.

Os grupos buscaram se aprofundar na elaboração das maquetes e obtiveram resultados dispares, alguns mais significativo que outros; apesar da disparidade, quando vistas em conjunto as maquetes atingem um objetivo maior no âmbito da disciplina, que é a comparação de possíveis atuações (convergências e divergências) em diferentes Operações Urbanas.

103
//
//

grupo ou centrocentro velho. o grupo apresenta a volumetria final da proposta, porém, com dificuldade na diferenciação entre os edifícios que receberiam intervenção e os que não receberiam. tal representação se restringiu aos desenhos //

grupo ou centro – centro novo. o grupo apresenta a volumetria final da proposta, que consiste em diferentes usos para edificações existentes. diferentes cores representam diferentes usos propostos //

104

grupo ouc faria lima –pinheiros. o grupo traz para a sala de aula maquete desmontável, mostrando o antes e o depois da intervenção, se utilizando também de cores para essa diferenciação. interessante a escolha de maquete antes e depois, pois nesse território a transformação possível é enorme, e a maquete destaca esse fato, nos lotes selecionados para intervenção

grupo ouc faria lima –itaim. a maquete do grupo representa as edificações existentes, e que foram mantidas. a proposta é o redesenho de ruas de pequeno porte em meio à operação urbana, para as quais o grupo propôs melhoramentos. os desenhos apresentados representaram melhor a proposta do que a maquete

grupo ouc água espraiada – brooklin. a maquete do grupo busca destacar a problemática do local de intervenção, áreas públicas (brancas) e privadas (pretas) essencialmente divididas, destacando o monotrilho como ruptura do desenho. o grupo propõe redesenho de uma das ruas do bairro, conectando os dois lados da avenida roberto marinho

105
//
//
//

grupo ouc água espraiada – chucri zaidan. a maquete do grupo representou o antes e depois da intervenção, que antes do desenho das volumetrias, repensou a prória divisão fundiária do trecho em análise. grandes lotes foram parcelados, ou tiveram uso alterado de privado para público. Maquete refletiu o processo de trabalho do grupo

maquetes expostas em conjunto

106
//
//

O conjunto de maquetes expostas em conjunto ao final da apresentação dos grupos traz à tona a diversidade de processos e representações volumétricas possíveis de intervenção na escala urbana. A maquete muitas vezes é vista pelos alunos como representativa para a arquitetura da edificação, e o que buscamos com esse produto específico na disciplina de Desenho Urbano é mostrar que é possível trabalhar a escala urbana com maquetes, e que não representem apenas o resultado final, mas o processo de reflexão acerca do espaço. Acreditamos que essa ação poderia ter trazidos resultados potencialmente mais reveladores do processo, porém, teve resultado satisfatório pontualmente. Esperamos que, a longo prazo, os alunos sigam com esse tipo de subsídio – a maquete - para reflexões acerca do espaço urbano.

107
108

prof. dr. marcelo suzuki //

> ESCRITÓRIO MODELO DE ARQUITETURA E DESIGN

Laboratório de Projetos

Equipe Docente

Professor Responsável: Marcelo Suzuki Professores participantes: Paulo Henrique Gomes Magri, Nelson Jose Urssi, Valéria Cássia dos Santos Fialho

Equipe Discente:

Ana Carolina Bertoldi Garcia Bruna Arissa Aoyagui Numakura Debora Liberatori Fernandes Francini Melo dos Santos Giovanna Marques de Jesus Araujo Gustavo Henrique Rosatti Bunese João Pedro Correia Macedo Karen Mayumi Hinoue Thalia Cássia Ribeiro da Silva Vitor Alves Correa

O objetivo do Escritório é instrumentar os alunos de graduação para as atividades efetivas do ambiente profissional a partir da produção de projetos de Arquitetura e Design voltados para a efetiva construção e elaboração real.

Atividades Realizadas no Semestre

Parceiro : Casa Jose Coltro Neste semestre foi estabelecido o contato inicial com o cliente|parceiro do escritório, uma ONG José Coltro, voltada para a promoção de atividades de complementação educacional fora do horário escolar.

A partir das primeiras reuniões a equipe desenvolveu, a partir do programa arquitetônico discutido com o parceiro, o estabelecimento de áreas ideais – sujeitas às possibilidades reais ao longo do desenvolvimento do projeto, apoiados pelo levantamento topográfico e da legislação pertinente às Leis de Usos e Ocupação de Solo em São Paulo.

Após esta fase inicial, partiu-se para o desenvolvimento do Estudo Preliminar do Projeto, com plena aprovação pela diretoria da ONG e, em seguida, a revisão do Estudo em função da não efetivação da compra de um dos terrenos que se incorporara no Estudo Preliminar.

As imagens a seguir, ilustram os primeiros resultados, que serão detalhados no segundo semestre de 2022.

109
110 // vista da implantação // // refeitório //
111 // pátio coletivo // // vista externa //
112
113 // pátio coletivo //
114
115 // refeitório //

imagem 1 - residência nas comunidades assistidas pelo projeto lar //

116

profa. ms. marcella ocke

prof. dr. ricardo dualde

prof. ms. paulo henrique gomes magri

profa. dra. valéria dos santos fialho

> VIVER EM COMUNIDADE: Conexão Jalapão, Petrolina, São Paulo

Proposta de trabalho e conceitos iniciais

O Projeto de Extensão Universitária LAR – Laboratório de Arquitetura Responsável existe desde 2014 e, em cada ano realizou atividades de pesquisa relacionadas com a paisagem urbana articuladas às comunidades e/ ou Organizações Não Governamentais (ONG´s). A pandemia da COVID-19 direcionou o projeto LAR em 2020 e 2021 para atividades pertinentes ao momento “pandêmico” com reflexões sobre a ocupação dos espaços públicos e privados durante o período de confinamento e posterior a ele com novas possibilidade de apropriação dos espaços.

Nesse contexto, em meados de 2021 o grupo se aproximou de duas comunidades em situação de vulnerabilidade social: uma em Petrolina e outra no Jalapão. A aproximação se deu por intermédio do Instituto Caça Fome que desde abril de 2020 socorre pessoas em situação de risco através da distribuição de cestas básicas emergenciais. O LAR 2022 propõe atender as comunidades com diretrizes de permacultura, bioarquitetura e saneamento básico (banheiro seco) com técnicas simples, passíveis de implantação de forma participativa e coletiva para que essas pessoas tenham melhor qualidade de vida e uma boa relação com o ambiente construído e os espaços livres nas comunidades onde vivem. (imagem 1)

O objetivo do projeto é promover o aprendizado ativo e colaborativo e aumentar a conscientização sobre a importância de movimentos participativos sobre os espaços de moradia e convivência nas comunidades. Além de atender demandas específicas de comunidades em situação de vulnerabilidade com propostas no campo da arquitetura e design.

Para o desenvolvimento do projeto a equipe LAR iniciou as pesquisas sobre a Permacultura, técnicas bioconstrutivas, agrofloresta e banheiro seco a fim de identificar as possibilidades de propostas viáveis para atender as comunidades de forma sustentável e educativa no campo da arquitetura.

117
//
//
//
//

Trazer o conceito da permacultura foi o embasamento fundamental para as atividades. Entender a ‘’cultura permanente’’ e a filosofia de trabalhar a favor, e não contra a natureza, no planejamento e execução de espaços sustentáveis. O entendimento de que somos parte da natureza e os três princípios norteadores da permacultura guiaram o trabalho da equipe LAR na primeira etapa do projeto.

O primeiro princípio “CUIDAR DA TERRA”, solos, floresta e água nos fez pensar em trabalhar com as comunidades beneficiadas princípios básicos sobre o local da moradia, possíveis áreas para pequenas hortas familiares para consumo próprio, como cuidar dos resíduos (separação do lixo), como não poluir os cursos d’água e preservar as florestas existentes.

O segundo princípio “CUIDAR DAS PESSOAS (E DOS ANIMAIS) conecta as pesquisas do LAR com as comunidades específicas. O projeto foi proposto a fim de atender uma demanda muito específica sobre a ausência de banheiros dentro das residências e a alta exposição de crianças e adolescentes que usam rios e matas para seus dejetos. Essa questão não respeita nem o primeiro nem o segundo princípio da permacultura e com técnicas simples de bioconstrução é possível atender aos princípios e melhorar a qualidade de vida dessas comunidades.

Segundo dados do Núcleo de Coleta e Análise Estatística da Secretaria de Segurança Pública do Tocantins (Nucae), mais de 4.690 crianças e adolescentes sofreram algum tipo de violência no estado de Tocantins, dessa forma equacionar o espaço do banheiro dentro das residências com os recursos disponíveis pode ser um fator que contribuirá para minimizar esse índice.

Com ações simples e de fácil execução podemos cumprir o terceiro princípio da permacultura que é “CUIDAR DO FUTURO” pensando na continuidade dessas comunidades de forma saudável.

Para aprofundar o tema da Permacultura o LAR convidou a arquiteta e ex-aluna do Centro Universitário Senac Jéssica Pelegrinelle Alves para apresentar seu Trabalho de Conclusão de Curso e introduzir as questões básicas da permacultura para a equipe. Após essa palestra inicial a arquiteta conduziu uma oficina de bioconstrução e banheiro seco onde a equipe LAR construiu um modelo de parede com a técnica do bambua-pique e um modelo em escala real de uma parte do banheiro seco.

Bioconstrução

Existem várias técnicas bioconstrutivas que podem ser utilizadas e devemos considerar o local de implantação para identificar qual a melhor possibilidade. No caso da região do Jalapão o solo é extremamente arenoso e para conseguir transformar a areia em terra seria necessário iniciar com uma atividade de conscientização

118

imagens 2 a 7 - etapas da construção da parede de terra com estrutura em bambu

das comunidades para a separação do lixo orgânico que poderá ser jogado sobre a areia para começar a melhorar a qualidade do solo que irá gradativamente ser adubado e poderá permitir áreas de plantio de pequenas hortas e também ser usado como material para construção de uma parede.

No modelo executado pela equipe do Projeto LAR foi feita uma moldura de 1,00 x 1,00 m de madeira OSB para que fosse possível transportar o modelo e facilitar a exposição do mesmo. A equipe considerou, além da terra, o bambu para a estrutura que é uma gramínea de fácil cultivo e manejo que tem uma flexibilidade e maleabilidade de trabalhar e funciona como uma estrutura para a parede.

A equipe utilizou quatro pedaços de bambu inteiros, dois nas extremidades e dois no centro do suporte de OSB como estrutura principal, parafusados no OSB (imagem 2) e depois executou uma trama com tiras de ¼ de bambu como suporte para a terra. Esse tramado deve ser executado como uma costura dos bambus de ¼ nos bambus inteiros e sempre uma tira por dentro e outra por fora conforme imagem 3. (imagem 3)

119
//

Para a mistura da terra foi colocada 1 parte de terra, ½ parte de palha e água o suficiente para dar liga no material (imagem 4). O ponto correto da parede é obtido conforme a “massa” vai sendo pisoteada e vai desgrudando da lona onde o material é despejado. (imagem 5).

A mistura de terra deve ser colocada aos poucos “abraçando” a trama do bambu e sendo espalhada manualmente em fileira (imagem 6). Nas extremidades de encontro da massa com a estrutura é preciso passar o dedo fazendo uma meia-cana para evitar rachaduras e melhorar o encontro dos materiais, no caso do modelo OSB, bambu e terra. No modelo executado foram inseridas algumas garrafas (imagem 7) que podem ser usadas para trazer a luminosidade natural ao espaço. Para finalizar, a parede foi rebocada com uma mistura fina de terra e areia e pintada com uma composição de tinta natural. O reboco e a pintura ajudam a evitar rachaduras no sistema.

Banheiro seco

O banheiro seco é um vaso sanitário que funciona sem o uso da descarga de água. Trata-se de uma versão mais sustentável, pois reduz o uso de energia, evita a contaminação da água e possibilita a compostagem dos dejetos para a geração de adubo.

Esse tipo de banheiro funciona por meio de um processo de compostagem, que é quando a matéria orgânica é reciclada e transformada em adubo natural.

Seu funcionamento é simples: após o uso do vaso sanitário, a pessoa deve despejar serragem sobre as fezes ou urina. Em condições ideais de umidade e temperatura, essa mistura vai se decompor e virar adubo dentro de um compartimento sob a própria privada.

O modelo executado pela equipe LAR separa a urina das fezes, pois a urina poderá ser direcionada diretamente para uma agrofloresta ou mesmo para alguma pequena horta e deve ser despejada sempre variando o local para não sobrecarregar a área com ureia. Já as fezes, juntamente com a serragem e papel vai sendo depositada em um recipiente que quando cheio deve ser removido e esperar o tempo da compostagem (6 meses geralmente) até se transformar em adubo para poder ser utilizado.

Para a estrutura do modelo utilizamos a madeira OSB, um assento de vaso sanitário convencional (imagem 8) e potes plásticos reaproveitados e cortados para os dejetos de fezes e urina. Não foi realizado nenhum sistema de ventilação, mas isso pode ser viabilizado em uma implantação definitiva. No caso deste modelo a remoção de urina deve ser feita com uma frequência diária e a de fezes pode aguardar o completo enchimento do recipiente para que fique compostando por mais 6 meses e produza um adubo de qualidade (imagem 9)

É importante que o banheiro seco seja implantado apenas em locais em que o nível do lençol freático não seja alto. Do contrário, pode haver contaminação. Também é possível considerar, dependendo da situação, implantar o banheiro seco na edificação já existente da

imagens 8 a 10 - etapas da construção do banheiro

120
seco //

comunidade sem a necessidade de construir um espaço específico para sua implantação. A implantação desse sistema deve considerar as condicionantes de cada local.

A equipe também fez um segundo modelo de parede com fechamento de palha no tramado de bambu. Essa possibilidade foi considerada caso não haja a possibilidade de usar terra em alguma comunidade o fechamento pode ser feito com palha de qualquer espécie vegetal, por exemplo, buritis que são muito comuns nas regiões norte e nordeste (imagem 10).

Visita ao Fazendinhando

Na conexão São Paulo proposta pelo projeto LAR a equipe visitou o Projeto Fazendinhando coordenado pela arquiteta Ester Carro. Localizado no complexo de Paraisópolis, na zona oeste de São Paulo o Fazendinhando visa a recuperação dos espaços públicos, da arte e da cultura, integrando a comunidade da região do Jardim Colombo.

A área de intervenção era o único espaço livre de edificação dentro da comunidade e foi se transformando num depósito de lixo pelas próprias pessoas que moravam no local. A proposta da arquiteta Ester foi de qualificar essa área com um projeto participativo envolvendo a comunidade na construção do espaço, desde a limpeza do terreno com a remoção do entulho até a construção de diversos platôs para atividades culturais e de lazer. Essa proposta em platôs seria a única forma de ocupar o terreno que apresenta um desnível bastante acentuado.

Já existe uma pequena agroflorestal no local e a equipe LAR, juntamente com a arquiteta Ester, está considerando viabilizar a construção de um banheiro seco no local (imagem 11).

O Projeto LAR 2022 – Viver em comunidade – Conexão Jalapão, Petrolina, São Paulo deve ser concluído no final de 2022 e um caderno explicativo de todas as atividades será distribuído às comunidades locais como forma de contribuir para a qualidade de vida das pessoas, através de técnicas simples e processos participativos.

121
imagem 11 - equipe lar visitando o projeto fazendinhando //
relatos de alunos sobre as atividades desenvolvidas
ARTHUR BREDA 7º período AYKI NAKADA 1º período MARIA EDUARDA RIBEIRO 3º período KARINA FERNANDES 3º período POLLYANA CAROLINE TEODORO 5º período ELISABETH SINTO 7º período

ARTHUR BREDA

7º período - matutino

A experiência com projetos ao longo do curso permitiu uma melhor abordagem dos desafios propostos pelo projeto.

Partimos da concepção de um espaço bem estruturado, tanto em suas finalidades, necessidades e principalmente conforto.

Propomos uma lâmina vertical integrada por um embasamento comercial e corporativo postos de maneira a proporcionar um caráter convidativo e de permeabilidade visual. Visando, assim, não apenas uma integração interna, mas como o seu entorno.

Alunos: Arthur Breda, Isabella Costa, Isadora Cruz e Sabrina Martina

124

Propor um espaço cenográfico significou pensar o projeto a partir de outro olhar, investigando as possibilidades que o espaço expositivo oferecia junto aos aspectos imaginários que poderia oferecer ao público com o tema abordado.

Desenhamos um ambiente que permitisse a entrada ao mundo da Arte Moderna com as obras de Anita Malfatti, artista homenageada na exposição. Para que criasse uma ilusão de pertencimento a um quadro da artista, desenhou-se expositores e interações que possibilitassem esse mergulho na imaginação de quem visita a exposição.

Alunos: Arthur Breda, Isabella Costa, Isadora Cruz e Sabrina Martina.

125

AYKI NAKADA

Para o semestrário de 2022, que também é o primeiro que participo, escolhi um trabalho da disciplina Experimentos Tridimensionais, na qual o objetivo do exercício era criar um pavilhão aberto com a composição de no mínimo de duas cascas e que uma das cascas não deveria ser uniforme, mas principalmente utilizando curvas e arcos em sua forma. E para mim foi um grande desafio esse trabalho, desde pensar a forma da do projeto até principalmente sua execução, que foi extremamente complicada, em principal destaque a criação das curvas que por muitas vezes não saia como planejado, mas conforme fui o progresso da atividade, comecei a entender e idealizar melhor como queria que ficasse o projeto e por fim com muita dificuldade consegui terminar o trabalho com satisfação. E embora tenha gostado do resultado, creio que ainda posso melhorar conforme a progressão do curso.

126

MARIA EDUARDA RIBEIRO

3º período - matutino

Arquitetura e Cidade, terceiro semestre das alunas Maria Eduarda Ribeiro e Larissa Pinati.

Durante o terceiro semestre do curso, tivemos contato com a disciplina de Arquitetura e Cidade, comandada pelo professor João Yamamoto.

O trabalho em questão, consistia em uma pesquisa de obras arquitetônicas, na qual, a escolhida foi o Ministério da Educação e Saúde Pública, do arquiteto Lúcio Costa.

A apresentação consistiu em uma maquete e três pranchas, formadas com desenhos autorais, textos e imagens.

127

KARINA

3º período - matutino

GARAGEM DE BARCOS

Autoria de Karina Fernandes e Adriely Sousa. Professor João Yamamoto. Arquitetura e Cidade.

No trabalho realizamos a pesquisa sobre a Garagem de Barcos do Artigas, levantando informações históricas, estruturais, conceituais e apropriações do projeto. Apresentamos a pesquisa em 4 pranchas quadradas, distribuindo elementos da pesquisa, dados iconográficos, fotos, desenhos e maquete em uma linguagem monocromática. Além de conhecer sobre a obra desenvolvemos habilidades organização de conteúdo.

128
FERNANDES

CENTRO DE ESPORTIVO E HABITACIONAL

Autoria de Karina Fernandes e Adriely Sousa.

Professor Marcelo Ursini, Caio Faggin e Jordana Zola.

PA EQUIPAMENTO INSTITUCIONAL E FORMAÇÃO DO SOLO URBANO

Tivemos o desafio de criar um elemento arquitetônico com habitação de uso popular e atividade mesclada de um centro esportivo na região dos Campos Elíseos em São Paulo. Além de projetar o interior criamos um elemento que conversasse com toda morfologia já construída na região, inclusive o Minhocão. Esse trabalho foi desenvolvido unindo duas disciplinas, sendo elas a formação do solo urbano e a de projeto arquitetônico.

129

USO DO AUTOCAD E 3DS MAX

Autoria de Karina Martins Fernandes. Professor Paulo Magri.

FERRAMENTAS DIGITAIS APLICADAS AO PROJETO

Tive o desafio de aprender do zero as ferramentas digitais usadas na arquitetura e urbanismo, reproduzindo as plantas de cortes da Residência Lalo II no Autocad e criando um modelo 3D da residência no 3DS Max. Para mim a experiência foi gratificante, pois a princípio eu pensava que esses softwares eram complexos, mas com muita disciplina consegui concluir o desafio.

130

A disciplina de projeto de arquiteta, teve como objetivo o desenvolvimento de um equipamento cultural, no bairro de Santo Amaro, São Paulo. Onde fizemos uma visita técnica para estudo e reconhecimento de quadra para iniciar as atividades. Foram aplicada em aulas expositivas de ateliê e discussões sobre o projeto, assim, agregando no exercício aplicado.

5º período - matutino

131 POLLYANA CAROLINE TEODORO
5º Semestre de Arquitetura e Urbanismo – Manhã Beatriz Pereira Costa Mariana B. Duma Pollyana Caroline S. Teodoro

ELIZABETH SINTO

período - matutino

Desafio Multidisciplinar – PEO + Audiovisual

Um dos projetos do 7º. Semestre da Arquitetura foi fazer um trabalho em conjunto com a turma do Audiovisual!

Vários desafios envolvidos: aprender a trabalhar com uma nova linguagem (o vídeo), desenvolver um projeto multidisciplinar – pensar, projetar, convencer, enfim várias habilidades que levaremos para o nosso dia a dia! No final, até aprendemos a atuar!!! Rsrsrs

PEO – do projeto a ação

Projetar um espaço existente e executar! Esse foi um dos projetos que realizamos no 7º. Semestre.

Como ressignificar um local existente, no caso um quarto vazio e transformá-lo em um mini almoxarifado para obra.

O projeto foi realizado de acordo com o programa de necessidades do cliente e com ele foi discutido e aprovado.

A execução coloca a prova o projeto, as vezes pedindo algumas modificações! O que traz mais desafio!

132

Visitas: Heliópolis e Sala SP

De volta às ruas!

Fotos 1 e 2: Visita ao Conjunto Heliópolis Gleba G: entender o desenvolvimento do projeto no local é uma experiência muito importante. Ainda com um dos autores do projeto, no caso o professor Arthur Katchborian, a experiencia se torna muito mais enriquecedora!

Fotos 3 e 4: Aula de conforto acústico em uma das melhores Salas de Concerto da América Latina! O projeto arquitetônico a serviço da excelência Acustica.

Cenografia/ Expografia

Explorar a profissão e projetar com o escopo da exposição, abre uma gama de novas soluções e discussões possíveis, além de abrir oportunidades.

133
eventos acadêmicos e atividades extracurriculares
EXPOSIÇÕES ENVOLTÓRIAS E ABRIGOS turmas do primeiro período COTIDIANO do curso e do campus PROJETOS DE EXTENSÃO LAU+D AULA MAGNA Arquiteto José Paulo Gouveia (JPG.ARQ) e Arquiteto Milton Braga (MMBB Arquitetos) OITAVA SEMANA DE ARQUITETURA E URBANISMO SENAC De volta ao campus | Reocupa Senac CONVIDADOS ENCONTRO COM EGRESSOS O TCC e o início da vida profissional CASA ABERTA VISITAS TÉCNICAS
136

EXPOSIÇÕES ENVOLTÓRIAS

ABRIGOS

Projeto Abrigo | 1* período Prof. Dr. Marcelo Suzuki

Envoltórias – 21 de março

Abrigos – 20 de maio

137
>
E

alunos ingressantes conhecendo o acervo da biblioteca

alunos na sala de Pranchetas

desenho urbano: operações urbanas | 5* período profs. ana carolina mendes e ricardo dualde

138
//
//
// > COTIDIANO

alunos no laboratório de interação e usabilidade - liu disciplina experimentações projetuais – profs marcella ocke e paulo magri

Trabalhando

139
com arduíno //
//

reunião de trabalhoprofs. marcelo suzuki e paulo magri

140 > PROJETOS DE EXTENSÃOLAU+D
//
141 Arq. José Paulo Gouveia – JPG.ARQ Arq. Milton Braga - MMBB Arquitetos 27 de abril > AULA MAGNA palestrantes e público // cartaz de divulgação //
142 palestra arq. felipe noto // palestra arq. artur katchborian // “De volta ao Campus ! REOCUPA SENAC” 24 a 28 de maio USINA ARQLAB – Palestras Felipe Noto Artur Katchborian Nelson Urssi Marcelo Ursini Marcelo Suzuki > OITAVA SEMANA DE ARQUITETURA E URBANISMO SENAC
143 palestra arq. marcelo ursini // palestra arq. marcelo suzuki // palestra arq. nelson urssi //

Oficinas

Arduino – Prof. Paulo Magri Geosampa e QGIS – Prof. Ricardo Dualde Softwares para Arquitetura – Prof. Paulo Magri Serigrafia e Letterpress – Prof. Ricardo Luis Silva Maquetes – Prof. Valeria Fialho

arduíno

144 oficina de
// oficina de letterpress //
145 oficina de maquetes // softwares para arquitetura // oficina de serigrafia // oficina de serigrafia //

A convite do Prof. João Carlos Amaral Yamamoto, Danilo Zamboni, Paulo Pastorelo e Eduardo Gurian conversaram com alunos do 5* e 10* períodos (nas disciplinas Apresentação e Finalização e Representação, Suporte e Narrativa na Apresentação de Projetos).

Os encontros foram também abertos a todos os alunos interessados.

04 de março conversa com danilo zamboni

25 de março conversa com paulo pastorelo

30 de março conversa com eduardo gurian

146
> CONVIDADOS
//
//
//

>

ENCONTRO COM EGRESSOS

O TCC e o Início da Vida Profissional

Promovido pela disciplina Pesquisa Aplicada em Arquitetura e Urbanismo e aberta a todos os alunos, a 5* edição do ciclo, recebeu 7 ex alunos, todos formados em 2020, que puderam relatara a experiência de finalizar o TCC e dar início à vida profissional durante a pandemia.

Programação

04.04 Beatriz Prete Ramos e Camila Brandão 11.04 Asaph Nicolas e Heloisa Reis 18.04 Marina Melo e Victoria Almeida 25.04 Angela Burgos

147

10 a 12 de maio

Evento promovido pelo Programa de Relacionamento Universitário, aberto para alunos do Ensino Médio, com várias atividades de caráter educacional e de orientação vocacional.

Nesta edição, o Bacharelado em Arquitetura e Urbanismo ofereceu a oficina “Construindo Espaços!”, ministrada pelos professores Nelson Urssi, Paulo Magri, Ricardo Luis Silva e Valéria Fialho.

A partir da montagem de estruturas modulares recíprocas maquetes foram apresentados conceitos fundamentais da área como a construção de espaços habitáveis e os objetos que o configuram.

148
> CASA ABERTA 2022_1

> VISITAS TÉCNICAS

Visita ao Centro Histórico

8 de março

3* período

Profs. Jordana Zola, Felipe Noto, João Yamamoto e Ricardo Silva

Visita à exposição LELÉ na Escola da Cidade

21 de março

5* e 8* períodos

Profa. Kátia Pestana

149
150 Visita à Sala São Paulo 6 e 10 de abril 5* e 7* períodos - Conforto Ambientla + Luminotécnica Prof. Walter Galvão

Visita ao Clube Paulistano

14 de abril

8* período - Projeto de Arquitetura Infraestrutura

Profs. Artur Katchborian e Sergio Matera

Visita ao Estádio do Morumbi

16 de abril

8* período - Projeto de Arquitetura Infraestrutura Profs. Artur Katchborian e Sergio Matera

151

Visitas Circuito de Galerias e Higienópolis 6 de abril e 23 de maio 3* período - Formação do Solo Urbano Profs. Jordana Zola e Felipe Noto

152

Abertura da 13a Bienal Internacional de Arquitetura 27 de maio 1* período - Arte: História e Expressão Prof. Ricardo Luis Silva

Visita Conj. Habitacional Heliópolis 21 de junho Prof. Artur Katchborian

153
arquivo vivoprofissionais formados pelo bau_senac #04

arq. GABRIELA NERI turma 2016-02

depoimento gravado em vídeo, disponível em https://www.youtube.com/watch?v=oBjlp3V93sw

arq. PAULA PRADO

turma 2020-02

depoimento gravado em vídeo, disponível em https://www.youtube.com/watch?v=caHdZyI0CcI

156

arq.

turma 2016-02

depoimento gravado em vídeo, disponível em https://www.youtube.com/watch?v=iPKqdUH0DLM

157
LUIS GARCIA

Turn static files into dynamic content formats.

Create a flipbook
Issuu converts static files into: digital portfolios, online yearbooks, online catalogs, digital photo albums and more. Sign up and create your flipbook.