MFI Annual Report 2021

Page 1

Development Objectives

Development Strategies

SOLARES Project
Gully Tree Planting: Stone Dike Establishment

Disclaimer: The contents of this publication are the sole responsibility of the SOLARES Project and can in no way be taken to reflect the views of the European Union.

₱ ₱ ₱ ₱
Aftermath of Typhoon Odette Caravan of Hope: Typhoon Odette
Mindanao
• • • • • • • • • • • • • • •

Disclaimer: The contents of this publication are the sole responsibility of the RESOURCEGov2 Project and can in no way be taken to reflect the views of the European Union.

• •

Strengthening

Off-grid Lighting with Appropriate Renewable Energy Solutions (SOLARES)

• Social Preparation

• Capacity Building/TA

• RE/SHS Electrification

• Livelihood/ PURE Support

7 municipalities in Sarangani and Sultan Kudarat

EU MFI & PEF

Php 240M Php 60M 3 years DEC. 13, 2018 –DEC. 13, 2021

Extension: DEC. 14, 2021 –JUN. 13, 2022

Silway Klinan River Watershed to Sarangani Bay Protected Seascape Ridge to Reef (R2R)

Php 300M Php 19.65M

• 6,000 target off-grid households energized in 48 IP/GIDA barangays in Sarangani & Sultan Kudarat

• 11 project partners trained on ODK-based M&E systems, SHS & PURE Installation, O&M, livelihood/SE O&M, financial management, business planning, etc.

• Php 31.2M livelihood assistance released supporting 7 partner cooperatives/MFIs benefitting 2,340 marginalized households

• 20 PURE/solar-powered projects (8 bids/ contracts; Php 34M) validated and on procurement and contract implementation stage

• Validated and profiled coffee production situation of 9,161 coffee farmers in Lebak and Kalamansig vis-à-vis PURE requirements and market demand

• 6-month project extension approved

• 5,009,767 forest/fruit trees, bamboos & mangroves planted with 85% survival rate covering 10,020 ha or 2,505 linear km

• 20,024,099 kg CO2/carbon sequestered/year

• Participation in PUR Project (2016-2021) for net zero emissions: 1,069,684 planted trees covering 2,139 ha or 535 linear km

• 257,131 sq.m. earthmatting, 1,491-m Indigenous bamboo dikes and 2,660-m indigenous stone dikes established

• 599 community members and partners trained on DRR-CCA, Disaster Preparedness & Mitigation

• 3 hectares marine sanctuary established in Brgy. Bula, GSC

• 17 Barangay Bantay Gully Task Force and 50 volunteer forest guards organized

• 3 agrobiodiversity strips established and maintained

• 148 of 155 CLTS-triggered households declared ZOD

• 271 partner beneficiaries increased productivity and income Gully Tree Planting •

• 51,150 hills of bamboo (137% Survival Rate), 45,367 hills of F/F (151% Survival Rate)

203.81ha on 23 gullies

• Established 2.38 ha of earth matting (48%); and 1,727 linear meters of gully bank with indigenous stone dike

• Installed 50 signages (100% upon target) at strategic areas along 16 gullies in 7 barangays of Polomolok & 4 barangays of Tupi

• Provided PhilHealth Insurance and Accident Insurance for 31 MENRE Polomolok beneficiaries and scholarship assistance to one MENRE dependent

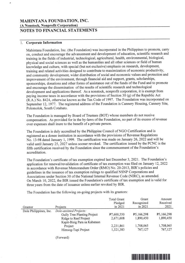
Project Name Components/ Activities Location Sources Approved Grant Counterpart Duration Total Grant received in 2021 Major Outputs
Program
Stakeholder Mobilization
Riverbank and Mangrove Vegetation Enhancement
Agro-Biodiversity Development & Monitoring
Settlements Management & DRR
Livelihood Assistance
Sanitation, Nutrition, & Health Services
Tupi General Santos City selected areas in Sarangani Dolefil MacEwen Facolner & Co., Ltd. HHMH private & public partners Php 2.67M 2014-
Php
Polomolok
present
2.67M Php 1.89M
Mobilized 104 stakeholders to adopt areas in Polomolok, Tupi, and Gensan
Reforestation • Soil Stabilization
• IEC
• Partnership & Linkaging Polomolok Tupi Dolefil Php 7.60M 2009present Php 7.60M Php 5.17M
covering
Eco -tourism and Environmentbased Innovations Demo (SEED) Farm
Environment-based Product and Service Innovation
Landscape and Facility Management
Administration Management & M&E
Networking, Partnership & Linkaging Prk. Dam, Brgy. Landan, Polomolok East West Seed Company Php 0.08M SEPT. 21, 2021 present Php 0.08M Php 0.08M
Perimeter bio-fencing of the 3.4-ha area
Sustainable
Planted and maintained 213 bamboos and 780 F/F for agro-forestry and bamboo setum support
Crop production
Seed production with East West Seed Co.
solar-powered water system, grid connection and farm hand’s house
• Established
700 bamboo poles treated for marketing (housing materials) Sultan Kudarat Coffee Farming and Farm Enterprise Enhancement • Reforestation • Soil Stabilization • IEC • Partnership & Linkaging Lebak and Kalamansig, Sultan Kudarat USDA through ACDI/VOCA PhilCafe Php 2.6M Php 3.9M SEPT. 01, 2021 AUG. 31, 2022 Php 6.59M Php 0.78M
Trained 30 enumerators through
of Trainers and installation
for profiling/survey
farmers
and Kalamansig
Training
of ODK-based database
of coffee
in Lebak
Validated and profiled coffee production situation of 9,161 coffee farmers in for the coffee production situation of Lebak and Kalamansig
Conducted courtesy calls and project orientation to PLGU Sultan Kudarat and MLGUs Lebak and Kalamansig

• Capacity Building

• Food Supplementation

• Livelihood Opportunities

• IEC Campaign

• M&E

Polomolok Task Force Kalusugan (2008 present)

• Anti-Smoking Campaign

• Rabies, Dengue, STI/HIV/AIDS

• Road Safety

• ARH

• PTFK in the Workplace

Polomolok Dolefil Php 1.42M

2012present Php 1.42M Php 1.10M

• Completed the 60-days supply and delivery of nutritious breads and fruit juices for DepEd Koronadal SBFP to 7,788 school children

• Distributed 13,897 cans of pineapple to 99 schools in Koronadal as Vitamin C supplementation of school children

• Engaged in the SBFP of Sarangani Province covering Maasim, Malungon, Malapatan and Alabel with 4.763 school children

• Awarded with bidding of ₱1.4M from PLGU Sultan Kudarat for SBPF in the municipalities of Lambayong and Pres. Quirino, serving at least 50 schools.

• Evaluation meeting with DepEd City Schools Division, Dr. Neil Crespo, Tibud SKMPC and Mahintana on best practices & challenges sustained during 60-days SBFP

• 10 of 10 ARH partner schools reached on Adolescent Reproductive Health and established teen centers with supplementary materials

• Conducted 3 Peer Educators & Counsellors Training with PYAP officers, ARH Peer Educators and Advocates

• Conducted ARH Seminar during Linggo ng Kabataan Celebration at Brgy. Lumakil participated by 120 ISYs and OSYs

• Conducted Series of PTFK-Coop meeting on COVID-19 prevention

• Distributed 15 advocacy tarps on the COVID-19 vaccine, dengue awareness, mental health, and anti-smoking campaigns to 4 partner cooperatives

• Assisted in the local vaccination program through providing meals and snacks for inoculators, 29 Android tablets and phones for DVAS encoding, and 12 data encoders for vaccinees profiling and registration

• Assisted in the establishment of the Cold Chain Facility through Dolefil of 1 Ultra Low Freezer

• 6 barangays certified as ZOD barangays.

• 960 households triggered through CLTS at Polomolok and Tupi

• Constructed 487 sanitary toilets at Polomolok and Tupi

Php 0.59M Php 0.11M

T’boli Tarami Corporation Php 0.05M Php 0.05M Php 0.05M

Community Development Php 0.95M Php 0.95M Php 0.34M

Primary Health Care Program: Immunization Immunization

Water

sitios/ puroks of Polomolok

• Released 100 armchairs to Takunel ES, 50 armchairs to Salacafe ES, and 90 kiddie chairs and 27 kiddie tables to Lugan 3, Dangkong, and Spring Day Care Center (total of 71,683 units to 257 institutions)

• Distributed and planted 14,600 hills of seedlings (to date, 1,920,477 hills of F/F planted)

• Distributed 100 armchairs to T’boli, South Cotabato: 50 to Kule ES and 50 to Klowil Ampan ES

• Assisted 863 public and private agencies on their activities and community development initiatives; Launched CommuniTREE Project: An Environmental Reciprocating Program for Matutum Zone; Conducted 3 monitoring activities (100%) to 2 non- compliant poultries and piggeries in Tupi (North) and Polomolok (South)

• Mobilized 2 (100%) TWG mobilized and assisted in Tupi and Polomolok (North and South zone)

Php 0.14M 1977present Php 0.14M Php 0.14M Immunized 5,406 beneficiaries

(7)

DEC. 2021 Php 0.16M 1st wave: 3 brgys in San Francisco, Surigao del Norte, 1,000 families

2nd wave:1 brgy in Jabonga, Agusan del Sur with 625 families and 6 municipalities & 1 city in Surigao del Norte with 3,035 families

2007present Php 30.44M • Increased served prescriptions: 4% for South Cotabato, 6% for Sarangani

• Served 40,578 indigent patients in 2021; Total to-date is 665,802 indigent patients served

• 99.98% prescription served in sustaining the operations of 8 existing HPSiS outlets, 1 consignment at DJPRCH and 1 HPP at DARBC

• Expansion/New partnerships: RHU-based HPSiS/PCPN in Polomolok and Lake Sebu, 2 HPPs (DoleShine & HHMH)

• Increased sales by introduction of HP product lines: Rapid antigen kits supplied to 7 HPSiS outlets, ₱26.13M; Admission kits supplied to GMCH and MalMH, ₱ 1.14M; and Health and Bida kits to various partners, ₱ 0.138M

• Supported DOH launching of Primary Care Providers’ Network seated as: Managerial Committee for South Cotabato and Technical & Managerial Committee for Sarangani

• Member of the Local Vaccination Committee in South Cotabato and hosted the 2-day planning for Upper Valley and Lower Valley vaccination team.

• Donated various medicines and supplies to HEALTH Plus partners, indigent clients and those who are affected by typhoon Odette amounting to Php 281,519.00

MFI

2015 to Present Php 7.66M

• Provided SBPF to 16,347 schoolchildren in 227 public schools in South Cotabato, Sarangani & Sultan Kudarat with a total contract amounting to ₱18.9M 276,808 pieces bread sold for the year serving at 10,908 individuals

• Delivery to six commercial establishments – DARBC, DoleShine, Polo SNMPC, Landan, PMPC , and Tibud SKMPC

Project Name Components/ Activities Location
Sources Approved Grant Counterpart Duration Total Grant received in 2021 Major Outputs
Kapit Bisig Para sa Kabataan (KBPK)Nutripan Bakery
Social Preparation
Partnership & Linkaging
Enterprise Development
Polomolok Koronadal City Surallah Dolefil Php 2.23M 2014present Php 2.23M Php 1.7M
Health Initiatives & Mitigation Services and Opportunities for Growth
Social Preparation
Partnership & Linkaging
Policy Advocacy
Service Delivery • Capacity Building IEC, M&E Tupi Polomolok Dolefil Php 1.32M 2014present Php 1.32M Php 0.77M
33 BLGUs adopted and formulated ordinances and resolutions to support
ZOD Program
Community Reciprocating Actions Chairs for Trees South Cotabato Dolefil Php 0.59M 2003present
15
MFI
DRRM Assistance Surigao Del Norte, Agusan Del Sur, Dolefil, MFI, Other Partners
and Sanitation Water System Rehabilitation SOCSARGEN and Bukidnon Dolefil Php 0.50M 2019present Php 0.50M Php 0.50M • Rehabilitated seven
water system within SOCSARGEN and Bukidnon areas benefiting 514 households Caravan of Hope: Typhoon Odette
Alay Gabay Para sa Maginhawang Buhay Invitational Golf Tournament Wheelchair Distribution Caravan South Cotabato, NorthMin Areas Private and Public Stakeholders Php 0.98M
AUG. 2021 - DEC. 2021
Health Plus Project • Staff Capacity Development • M&E • Partnership & Linkaging Sarangani South Cotabato
Distribution of 200 units wheelchairs
Nutripan BREAD Project South Cotabato, Sarangani, Sultan Kudarat

MKADC, Bukidnon

Dolefil Php 0.60M

Php 0.56M

2017-present Php 0.60M Php 0.71M

Php 0.56M Php 0.26M

• 56 MLGUs & 87 BLGUs in Regions XI, XII, & XIII adopted LITS

• 262 CSOs in Regions XI, XII, & XIII capacitated on CSO accreditation and participation to local budget process

• 466 CSOs in in Regions XI, XII, & XIII accredited in LSBs/ LDCs

• 198 CSOs in Regions 11, 12 & 13 seated in LSBs/LDCs

• Networking & Linkaging: Linked to 25 organizations, presented project to 3 OGP Summits

• ODK systems used during COVID-19 pandemic for monitoring and profiling

• Scored 4.5 overall rating (Successful) on EU-commissioned external evaluation

• PLGU/SP Sarangani received the Digital Governance Award 2021 for LITS adoption and popularization at the barangay

• Planted 20 hills African Talisay at WDC New Packing Plant, Wao, Lanao del Sur with 100% survival rate

• Provided 70 food packs during the blood letting activity

• Provided weekly supply of fresh pineapples to Command Centers, Quarantine Checkpoints and CNC Kitchen

• Provided assistance to 45 household beneficiaries who are victims of flash flood and 6 household beneficiaries who are fire victims

• Planted 400 hills forest & fruit trees and collected 20 sacks of non-biodegradable garbage during the clean-up drive, tree growing and oath taking

DUVO Php 0.54M Php 0.54M Php 0.22M • Collaborated with LGU Tboli on Tbolok Road Repair Project in completion of lined canal construction

General Santos City

Sultan Kudarat

Technical Assistance to Pineapple Contract Growing of Dole Philippines, Inc. in SOCSARGEN

Technical Assistance to Capture Solutions Systems

Tupi Polomolok Tboli

Php 0.52M

Php 0.64M

Php 0.52M Php 0.37M

Php 0.64M Php 0.48M

Dolefil Php 2.07M Php 3.52M AUG. 10, 2020 –AUG. 31, 2023 Php 5.58M Php 2.21M

• Conducted 2 ground leveling activity in schools of Tboli

• Distributed 9,054 cans of assorted Dole Products to 73

• Distributed 400 liters diesel fuel as assistance for Barangayan and Road rehabilitation/repair of Kiblang-Atbag-Tanda road and Purok Blala.

• Provided 400 liters diesel fuel to BLGU New Cuyapo, Tantangan for road repair and rehab

• Distributed 2, 659 cans of Dole Products to 29 offices of partner LGUs as Christmas Giveaways

• Distribution of Php 10,000 worth grocery items to the Covid Isolation Facilty and 30 cases Dole Products

• Formulated Capacity Building Plans (CAT), Strategic Plans (WFP), Manual of Operations (MOO) of 5 partner Coops

• Conducted CapDev/trainings on Financial mngt & ODKbased M&E system for growership monitoring for 5 partner Coops

• GAP Handbook from Dolefil distributed to 5 partner Coops

• Forged Partnership with DA XII for the F2C2 Program –value adding for Fiber Production

• Implementation of ODK-based M&E Tool – ADAPT System

Polomolok Dolefil Php 0.90M OCT. 1, 2020 –present Php 0.90M Php 0.42M • Facilitated installation of new face scanners, configuration, monitoring and troubleshooting of issues and concerns in Dolefil operations

• Facilitated technical preparations and live implementation of the T&A in scanning areas of Dole facilities

• Tested and configured the updated MediCapture app on dependents registration and employee identification.

• Provided additional two (2) units of decorticating machines to PoloSN MPC

• Delivered 3.04 MT (PoloSN) of fiber to Dolefil/Ananas since Oct. 2021

9.97M • Formulated Strategic Plans with Muslim Council of Elders (MCE) Tupi and Hay-Atul Ulama SarGen (contributing to functional Ulama organizations)

• Developed Khutba modules with MCE and Da’wah members

• Incorporated ProPEACE initiatives in 9 barangay development plans

• Madrasah needs assessment finalized accessing support from partner LGUs, business sector, NGAs

• Madrasah accreditation to DepEd; Utilized curriculum in Madrasah cernters

• 8 conflict-affected Barangays of Polomolok benefiting goods/ food items for community Iftar, Eid-al Fitr & Linggo ng Kabataan celebrations

• Participation to GCERF Global Community of Practice, PR Meetings, Embassy meetings

Project launching and MOU signing conducted on 26 Nov 2021

Courtesy meeting with Swiss Embassy Deputy Head of Mission and Diplomatic Affairs Officer on 08 Dec 2021 at Moro Café, Cotabato City

‘Project Name Components/ Activities Location Sources Approved Grant Counterpart Duration Total Grant received in 2021 Major Outputs
Revenue Enhancement by Strengthening & Optimising the Utilisation of Resources & CSO Engagement in Local Governance Phase 2 (RESOURCEGov2)
Activities
• Preparatory
Existing Areas (ODK, Qlik, LITS, CSO Strengthening)
PIT/PMT/Other Governance Meetings
Networking & Linkaging
Visibility Actions
• Monitoring & Evaluation
56 LGUs Regions 11, 12, & 13 EU MFI Php 32.40M Php 3.42M NOV. 1, 2017 –JAN. 31, 2021 Php 35.6M Php 0.49M
Technical Assistance to Pineapple Expansion Areas
Community Development Support
Livelihood Assistance
DRRM Assistance
Environmental Health
Wao, Lanao
Organization Development & Strengthening Program Operations Development and Strengthening Monitoring, Evaluation, and Networking Environmental/ Social Protection & Enhancement Community Development
Implementation in Dolefil Time and Attendance (T&A) in the Cannery Mobile Biometrics in Agriculture FarmCapture: Application for Papaya Growership in Dolefil
Technical Assistance to Pineapple Fiber Project Establishment and Startup Capacity Building M&E Resource Mobilization South Cotabato Dolefil May 03, 2021present Php
0.20M
• Launched Landan People’s MPC Pineapple Fiber Project in partnership with Dolefil, Mahintana and PhilFIDA
Promoting Peace Engagements and Community Empowerment (ProPEACE) Programme Capacity building Learning Conversations Intercultural exchanges Participation in local governance 8 municipalities in Sarangani South Cotabato GCERF Php 30.90M DEC. 1, 2020 –NOV. 30, 2022 Php 30.90M Php
Strengthening Holistic Initiatives and Engagements in Wao (SHINE Wao) Project Preparation Learning conversations Capacity Building/TA Embassy of Switzerland in Manila Php 2.00M Php 0.61M Nov. 1, 2021Oct. 31, 2022 Php 2.61M Php 1.60M • Courtesy meeting and project
Short-term Engagements Zuellig FoundationFamily Php 0.12M Php 0.12M Php 0.10M Youth Participation Action- Record (YPAR) Data Management System DILG (Civil Society Participation Fund) Php 0.20M Php 0.02M Oct. 1, 2021Nov. 30, 2021 Php 0.22M Php 0.18M Information Dissemination thru Responsive, Innovative, and Viable Engagements of CSOs and Citizens in Tupi (iDRIVE CC) Save the Children Philippines Php 0.08M Php 0.08M Php 0.08M Just TAP! Dashboard of DepEd Reading Assessment Results DHSUD XII Php 0.08M Php 0.08M Php 0.02M DHSUD XII Real Estate Projects and Homeowners Associations Management System and Public Housing (DREAMS PH)
orientation with LGU Wao, Lanao del Sur on 29 Oct 2021
Mahintana Foundation, Incorporated Cannery Housing, Brgy. Cannery Site, Polomolok, South Cotabato (083) 500 2796 | mahintana_mfi@yahoo.com

Turn static files into dynamic content formats.

Create a flipbook
Issuu converts static files into: digital portfolios, online yearbooks, online catalogs, digital photo albums and more. Sign up and create your flipbook.
MFI Annual Report 2021 by Armando Nicolas PJ - Issuu