FotoVolt - Julho 2023

Page 1

MicrorredecomFV,eólicaebateriaspararecargadeveículoselétricos

Esteestudoparaimplantaçãodeumamicrorredecompostaporfontesrenováveisdegeração, armazenamentodeenergiaeestaçãodecarregamentorápidoparaveículoselétricosenvolveu estimativasdageraçãolocaledasdemandasdecarregamentodosveículos,eaindaavaliaçãodos impactoselétricosdamicrorredesobrearedeexistente.

Inversoresparasistemasfotovoltaicos

Asprincipaiscaracterísticasdeinversoresofertadosnomercadobrasileirosãorelacionadasno levantamento,queinformadadosdeentrada(potência,tensãoecorrentemáximas,faixadetensão deSPMPenúmeroderastreadores,enúmerodeconexõespor string)edesaída(monofásicaou trifásica,potências,correntes,rendimentoeoutras).

PoraquipassaofuturodaenergialimpanoBrasil

AfontesolarfotovoltaicasegueemaceleradaexpansãonoPaísmasaindaenfrentadesafiosem relaçãoamãodeobra,cadeiaprodutivaeoutros.IntimamenterelacionadosàsolarFVnatransição energética,oarmazenamentodeenergia,aeletromobilidadeeainfraestruturaelétricatambém demandamaçõesparadesenvolverseupotencial.Etodosestarãoreunidossobreogrande hub de inovaçãoemenergiaemSãoPaulo,emagosto.

ArmazenamentodeenergiaparageradoresFVconectadosàrede–ParteII Naprimeirapartedoartigo,publicadanaediçãoanterior,foramdescritososcomponentesdosistemae ainterfacecomarede.Aqui,sãodiscutidasasmedidasdeproteção,eumaabordagemdoaterramento emcasodeoperaçãoisoladadarede.OtextopermiteumacomparaçãoentreasnormasVDEeABNT.

Emfoco,orenascimentodaindústriafotovoltaicaeuropeia

Carro-chefedo hub deinovaçãoenergéticaThesmarterE,aIntersolarEurope2023contoucomamais extensaprogramaçãodaconferência,alémdamaioráreadeexposição. FotoVolt traznestareportagem umapanhadodospainéissobredescarbonizaçãoeprincipalmentedasdiscussõessobreomovimento de“repatriação”daindústriadecomponentesfotovoltaicosparaaEuropa.

Veículoselétricos

Pesquisa & inovação

Produtos

Publicações

Índicedeanunciantes

SolarFVemfoco

Capa HelioBettega (fotodeScharfsinn,viaShutterstock)

Sumário Cartaaoleitor Notícias Eletromobilidade Guia ThesmarterESouthAmerica Solarcombaterias IntersolarEurope 2023 6 8 28 40 44 52 62 72 76 78 80 80 82
Asopiniõesdosartigosassinadosnãosãonecessariamenteasadotadas por FotoVolt,podendomesmosercontráriasaestas.

Cartaaoleitor

Anecessidadedetransformar odiscursoemprática

UmadaspalestrasmaisilustrativasdaúltimaconferênciaThesmarterEEurope, emjunhoemMunique,foiadeabertura,do keynotespeaker SebHenbest, quepor faltadeespaçonãopôdeseradequadamentereportadanamatériasobreoevento queconstadestaedição.

OexecutivoatuahápoucomaisdeumanocomochefedogrupodetransiçãoclimáticadoHSBC,masantesestevepor14anos(osdoisúltimoscomoeconomista-chefe) naBloombergNewEnergyFinance,aBNEF,reconhecidaempresadepesquisaeanálisesobreenergiasrenováveis.Sabemuito,portanto,sobreo“EstadodaTransição Energética”,títulodesuapalestra,comaquallançouospontosdepartidaparatodas asdiscussõesqueseseguiramnograndeeventodeenergiasolarfotovoltaica,armazenamentodeenergia,eletromobilidade,redeselétricaspúblicasehidrogênioverde.

Deuumaótimanotícia:noanopassado,omundotevenovorecordedeinvestimentosemtransiçãoenergética,US$1,1trilhão,sendo85%dissoemtransporteeenergias renováveis,osvetoresdominantesdadescarbonização.E,melhorainda,metadedesse investimentoveiodaChina,quejáfoiavilãdoaquecimentoglobalehojeinvestena transiçãoquatrovezesmaisdoqueosEUAecincovezesmaisdoqueaAlemanha.

Etambémumapéssimanotícia:parachegarmosem2050comemissõeslíquidas zero(net-zero),comoqueraONU,sãonecessáriosnomínimoUS$6trilhõesporanoaté 2030emaisUS$10trilhõesanuaisnovintênioseguinte.Totaldafatura:US$250trilhões,muitíssimomaisdoqueérazoávelesperardapoucavontadedemonstradapor governosecorporações,cujasaçõestêmsidobemdiferentesdosseusdiscursossimpáticoseedificantesdiantedecâmeraseemredessociais.

Muitosefalaemsustentabilidade,emissõeslíquidaszero,etc.,einvestimentotem sidofeito,comovimos.Masaverdadeéqueparacada90dólareshojeaplicadosem formasambientalmentelimpas,outrosUS$100aindasãodirecionadosparaatividades poluentes.Parasairmosdoburaco,essaproporçãode0,9:1teriadesubirde4:1jánesta década,disseHenbest.

Inevitavelmenteatransiçãosedarápelaeletrificaçãodasatividades.Ascoisasnão apenasterãodepassarausareletricidadeemvezdecombustíveis;tambémseránecessárioqueessaenergiasejalimpa.Acapacidadeinstaladadegeraçãoelétricadeveatingir40terawattsem2050eparachegarláprecisamosacelerarem10vezesosnúmeros atuaisdeimplantaçãodeusinasfotovoltaicaseeólicas,bemcomodebaterias.

Eissonãorequerumcaminhãodesubsídios,comosepensa.Oúltimodadoque pinçamosaquidaextensaapresentaçãodeSebHenbestéque,jáhoje,oMWhfotovoltaicooueólicoéomaisbaratoquepodeserimplantadoemregiõesqueconcentram 82%dageraçãomundialdeeletricidadee85%dasemissões.Masnãosó:emcercade 60%domundo,jáémaisbaratoconstruirusinassolareseeólicasnovasdoqueoperar asusinasacarvão,óleoegásjáexistentes.Oquefaltaécomeçarapôrdinheiroonde háapenaspalavras.

Diretores: EdgardLaureanodaCunhaJr.,JoséRobertoGonçalves eJoséRubensAlvesdeSouza(inmemoriam )

REDAÇÃO

Editor: MauroSérgioCrestani (jornalistaresponsável–Reg.MTb.19225)

Redatora: JuceleMenezesdosReis

PUBLICIDADE

Gerentecomercial: ElcioSiqueiraCavalcanti Contatos: ElianeGiacomett–eliane.giacomett@arandaeditora.com.br; IveteLobo–ivete.lobo@arandaeditora.com.br Tel.(11)3824-5300

REPRESENTANTESBRASIL:

InteriordeSãoPaulo: GuilhermeFreitasdeCarvalho;cel.(11)98149-8896; guilherme.carvalho@arandaeditora.com.br

MinasGerais: OswaldoAlípioDiasChristo–R.WanderRodriguesdeLima,82-cj.503; 30750-160BeloHorizonte,MG;tel./fax(31)3412-7031;cel.(31)99975-7031; oadc@terra.com.br

ParanáeSantaCatarina: RomildoBatista–R.CarlosDietzsch541,cj204,bl.E; 80330-000Curitiba,PR;tel.(41)3209-7500/3501-2489;cel.(41)9728-3060; romildoparana@gmail.com

RiodeJaneiro: GuilhermeFreitasdeCarvalho;cel.(11)98149-8896; guilherme.carvalho@arandaeditora.com.br

RioGrandedoSul: MariaJosédaSilva–Tel.(11)2157-0291;cel.(11)98179-9661; maria.jose@arandaeditora.com.br

INTERNATIONALADVERTISINGSALESREPRESENTATIVES:

China: HangzhouOverseaAdvertising–Mr.WengJie–55-3-703GuanLane,Hangzhou, Zhejiang310003;tel.:+86-5718706-3843; fax:+1-928-752-6886(retrievableworldwide); jweng@foxmail.com

Germany: IMPInterMediaPartners–Mr.SvenAnacker–Beyeroehde14,42389Wuppertal; tel.:+492022716913;fax:+492022716920;www.intermediapartners.de; sanacker@intermediapartners.de

Italy: QuainiPubblicità–Ms.GraziellaQuaini–ViaMeloria7–20148Milan; tel.:+39239216180;fax:+39239217082;grquaini@tin.it

Japan: EchoJapanCorporation–Mr.TedAsoshina–GrandeMaisonRoom303;2-2, Kudan-kita1-chome,Chiyoda-ku,Tokyo102-0073;tel:+81-(0)3-3263-5065; fax:+81-(0)3-3234-2064;aso@echo-japan.co.jp

Korea: JESMediaInternational–Mr.Young-SeohChinn–2nd fl,AnaBuilding,257-1, Myungil-Dong,Kandong-Gu,Seoul134-070;tel:+822481-3411;fax:+822481-3414; jesmedia@unitel.co.kr

Switzerland: RicoDormann–MediaConsultantMarketingMoosstrasse7, CH-8803Rüschlikon;tel.:+4144720-8550;fax:+4144721-1474; dormann@rdormann.ch

Taiwan: WorldwideServicesCo.–Ms.P.ErinKing–11F-2,No.540WenHsinRoad, Section1,Taichung,408;tel.:+88642325-1784;fax:+88642325-2967; global@acw.com.tw

UK (+Belgium,Denmark,Finland,Norway,Netherlands,Norway,Sweden): Mr.EdwardJ.Kania–RobertGHorsfieldInternationalPublishers–DaisyBank,Chinley, HigPeaks,DerbyshireSK236DA;tel.+441663750242;mobile:+447974168188; ekania@btinternet.com

USA: Ms.FabianaRezak–12911JoyceLane–Merrick,NY,11566-5209; tel.(516)858-4327;fax(516)868-0607;mobile:(516)476-5568; arandausa@gmail.com

ADMINISTRAÇÃO

DiretorAdministrativo:EdgardLaureanodaCunhaJr.

PROJETOVISUALGRÁFICO,DIAGRAMAÇÃOEEDITORAÇÃOELETRÔNICA: HelioBettegaNetto

DEPARTAMENTODEPRODUÇÃO: VanessaCristinadaSilvaeTalitaSilva

CIRCULAÇÃO: ClaytonSantosDelfino Tel.:(11)3824-5300;csd@arandaeditora.com.br

SERVIÇOS Impressão:IpsisGráficaeEditoraS.A.

Distribuição:ACF-RibeirodeLima

TIRAGEM: 10.000exemplares

FotoVolt éumaediçãoespecialdaRevista EletricidadeModerna,publicaçãomensal daArandaEditoraTécnicaeCulturalLtda.

Redação,publicidade,administraçãoecorrespondência: AlamedaOlga,315;01155-900SãoPaulo,SP-Brasil. Tel.:+55(11)3824-5300;Fax:+55(11)3666-9585 em@arandaeditora.com.br–www.arandaeditora.com.br

ISSN2447-1615

(11)2172-1062 ourolux.solar@ourolux.com.br ourolux.com.br @ourolux.solar company/ourolux SOLAR MÓDULO550W OUROLUX comseloProcel ConheçamaisprodutosfabricadospelaOurolux TestesrealizadospelolaboratóriodaUnicamp,de acordocomaportariaINMETROnº004/2011,norma IEC61215:2021. CertificadoLESF-M23-017 CHAVE SECCIONADORA OPÇÕESDEFINANCIAMENTO GERADORESPERSONALIZADOSESTOQUECOMPRONTAENTREGA OQUEÉOSELOPROCEL? Éocertificadoquegarante ecomprovaodesempenhode eficiênciaenergéticanos produtos. 30 ANOS ESTAREMOSNA INTERSOLAR! VISITEONOSSO ESTANDE! 29-31 AGOSTO

Livoltekvaiinaugurar fábricadeinversores ecarregadores

ALivoltek,fabricantede inversoresfotovoltaicos eoutrosequipamentos solaresdogrupochinês Hexing,vaiinauguraruma unidadedeproduçãodeinversores,carregadorespara veículoselétricose stringboxes emManaus,capital doAmazonas.Aprevisão, segundocomunicadodaempresa,é queafábricaentreemoperaçãoainda nosegundosemestrede2023.

Sobinvestimentototalsuperiora R$70milhões,afábricaocupará18mil metrosquadradosejáestáemconstrução.Ainformaçãodaempresaé dequeoempreendimentocriarámais de600empregosdiretose2milindiretos.OsinversoresdaLivolteksão disponíveisnasversões on-grid,off-grid ehíbridos,comcomunicaçãoIoTe plataformasemnuvemparamonitoramentoremoto.

OgrupoHexingdetémamarca LivolteketambémaEletraEnergy, fabricantebrasileirademedidores eletrônicosdeenergiaeáguacomunidadeprodutivaemItaitinga,noCeará. Aempresacontaaindacomcinco escritóriosregionaisnoBrasil,em SãoPaulo,Fortaleza,BeloHorizonte, CuritibaeManaus,commaisde100 colaboradores.

OsinvestimentosdogrupocomeçaramhádezanoscomaEletraEnergy que,segundoaempresa,hojedetém aproximadamente70%departicipação domercadodemedidores.Segundo oCEOdaHexingBrasil,RuiCheng, desde2011jáforamaportadosmais deR$200milhõesnoBrasil,contando asfuturasinstalaçõesdaLivoltekeas fábricasdaEletranoCeará.Apenas nestemercado,aexpectativaédecrescimentode93%nospróximoscinco anos,comoaumentodavendademedidoresinteligentes.

ThesmarterESouthAmerica abreinscrições

Congregandofeirasecongressosvoltadosàgeração,àdistribuiçãoeao armazenamentodeenergiasolarfotovoltaica–aIntersolarSouthAmerica, aeesSouthAmerica,aEletrotec+EMPowerSouthAmericaeamostraespecialPower2DriveSouthAmerica–o eventoThesmarterESouthAmerica deuinícioaoperíododeinscrições

paraaediçãodesteano,queacontece de29a31deagostonoExpoCenter Norte,emSãoPaulo.

Aprogramaçãodasfeirasoferecerá váriasapresentaçõesdeexpositores eparceirosnoPalcodeInovaçõese Aplicações,bemcomo workshops com treinamentopráticoparainstaladores, palestrassobreomercadoemuitas oportunidadesdenovoscontatos,garantemosorganizadores.“Seráuma excelenteoportunidadedeatenderà necessidadedosetorsolarederenováveisdeestreitarrelacionamentos comerciaispresenciais,unindoefortalecendotodoaspectodacadeiade valor”,afirmaMonicaCarpenter,diretoradeeventosdaArandaEventos eCongressos,coorganizadoradoThe smarterESouthAmericaemconjunto comasempresasalemãsSolarPromotionInternationaleFreiburgManagementandMarketingInternational.

Aorganizaçãoavisaqueosingressosàsfeirassãogratuitosmasdevem sersolicitadosaté28deagostode

TheSmarterEEuropebaterecordesdepúblicoeexpositores

AexposiçãodeenergiaTheSmarterE2023,queaconteceude14a16dejunhoemMunique,naAlemanha, bateurecordedeexpositoresedepúblico,firmando-setambémcomoamaisinternacionaldosetor.Emsua realizaçãoconjuntadequatroeventos alémda IntersolarEurope,incluiasfeiras ees,dearmazenamentode energia,a Power2DriveEurope,demobilidadeelétrica,ea EMPower,degestãodeenergia ,aTheSmarterE reuniu2.469expositoresde57países.Nos17pavilhõeseemumaárealivrecircularammaisde106mil visitantesde166países.

Aparticipaçãonasconferênciasefórunsligadosàs quatrofeiras,alémdoseventosparalelos,tambémfoi consideradarecorde,compúblicosuperioraduasmil pessoas.Ofocodaspalestrasedebatesficouporconta deinovações,sobretudoemsoluçõesparaconexãointeligenteentreossetoresdeeletricidade,caloremobilidade,porexemplopormeiodepossíveiscombinações daenergiasolarfotovoltaicacomoarmazenamentode energiaeamobilidadeelétrica.

Feiradeplataformadeenergia,queincluiaIntersolar Europe,seconsolidoutambémcomoamaisinternacional dosetor,comvisitantesde166países

Foiaindaconsideradaumaconstanteentreosexpositoresdosváriossegmentosligadosaosetordeenergiaaoferta desoluções,produtosemodelosdenegóciosparagarantirosuprimentoininterruptodeenergiarenovável.

“Fiqueiimpressionadocomovaliosointercâmbiointernacional.Aspartesinteressadasdetodosossetoresaproveitaramaoportunidadeparadialogarentreindústriasesetores,afimdeaceleraratransformaçãodomundodaenergia edamobilidade”,disseMarkusElsässer,oCEOdaSolarPromotionGmbH,queorganizaaThesmarterEEuropeem conjuntocomaFreiburgWirtschaftTouristikundMesseGmbH(FWTM).

ApróximaediçãodaTheSmarterEjáestáprogramadaparaosdias19a21dejunhode2024,nomesmocentro deexposiçõesMesseMünchen,emMunique.

FotoVolt - Julho - 2023 08 Notícias
Aunidadeprodutivadafabricantechinesaentraráemoperaçãono segundosemestreemManaus

2023.Nolocal,apartirdodia29/8,haverácobrançadeR$80.Jáasinscrições paraoscongressostêmpreçosdiferenciadosdeacordoocongressodeinteressedoparticipante,variandoainda comaquantidadedediasescolhida.

Maisinformaçãoeinscriçõesem www.thesmartere.com.br

Parceriadesenvolverápesquisas emsolarebaterias

AUnicamp-UniversidadeEstadual deCampinaseaempresafrancesa deenergiaTotalEnergiesassinaramrecentementeumacordodeparceriapara desenvolvimentodepesquisasnaárea deenergiasolarebaterias.Oprograma temduraçãodetrêsanosedeveenvolverinvestimentosdeR$22,9milhões.

(foto),prevêaimplementaçãodeseis projetos,aconstrução deumausinasolar fotovoltaica,alémda reformadelaboratóriosdepesquisae acontrataçãode33 bolsistasdedoutorado,pós-doutoradoe iniciaçãocientífica. Oprogramaenvolveráainda14professoresepesquisadores.

AUFVseráconstruídanaáreado HIDS-HubInternacionaldeDesenvolvimentoSustentável,naFazendaArgentina,propriedadedaUnicamp,localizadaaoladodo campus dauniversidadeemBarãoGeraldo,emCampinas.

Entreosseisprojetosaseremdesenvolvidos,seráelaboradamodelagemavançadaeomonitoramentode usinasfotovoltaicascomoschamados “gêmeosdigitais”—umaespéciede clonedigitaldeumausina.Também haverápesquisaparadesenvolverdispositivosparadetecçãoeinterrupção defalhasdearcoelétrico;paramodelagemtermoelétricaparainversores; demonitoramentodedesempenhoe análisedeLCOEemUFVs;metodologiasdetesteseavaliaçãodeinversores; edecriaçãodeplataforma blockchain parabaterias.

NovoMinhaCasa, MinhaVidaincluiGDsolar

Pelotextodoprojeto,anteriormente aprovadonodia7dejunhonaCâmara dosDeputados,ainstalaçãodeequipamentosdeenergiasolarfotovoltaica,ou asmodalidadesdegeraçãodistribuída alcançadaspelaLei14.300/22,“são passíveisdecomporovalordeinvestimentoeocusteiodaoperação”das moradias.Alémdisso,oprojetoconcederádescontosdenomínimo50%nas tarifasdasunidadesconsumidorascom geraçãoprópria,acumuladasaobenefíciojáconcedidoparaabaixarenda.

Emboraamedidatenhaagradadoo mercadosolarfotovoltaico,pelopotencialdecontrataçãodoprogramaque pretendeentregar2milhõesdemoradiasaté2026,osetordedistribuição deenergiaanalisoucomonegativasas emendasincluídasnaMP.Aprincipal delaséaqueestabeleceaobrigaçãode aquisição,porpartedasdistribuidoras,dosexcedentesdeenergiaelétrica geradospelasunidadesdemicrogeraçãoasereminstaladasnasmoradias populares,valoradosaoVREs(Valores AnuaisdeReferênciaEspecíficos).

AAbradee-AssociaçãoBrasileira deDistribuidoresdeEnergiaElétrica alertouemnotatécnicaqueaobrigaçãodecompradeenergia“desnecessáriaparaatendimentodoseumercado aumentaráomontantedeenergiaaser arcadoportodososconsumidoresregulados”.Segundoapontananota,“o últimoVREparaafontesolarfotovoltaicafoideR$446/MWh”.Comsobrecontrataçãoelevada,asdistribuidoras tememserobrigadasacontratarmais

Oacordodecooperação,assinado peloreitordaUnicamp,professor AntonioJosédeAlmeidaMeirelles,e peladiretoradePesquisaeDesenvolvimentodaempresa,IsabelWaclawek

AprovadanoSenadoFederal,naformadeProjetode LeideConversão(PLV)14/23, aMedidaProvisória1162/23, queretomaoprogramahabitacionalMinhaCasa,Minha Vida,contemplouartigospara incluirageraçãosolardistribuída nosimóveisfinanciadospeloprograma,quenanovaversãoatenderáfamíliascomrendamensal deatéR$8mil.

FotoVolt - Julho - 2023 09 Notícias
Afontepoderácomporovalordeinvestimentoecusteiodo programa.Serápossívelaindavenderoexcedentedeenergia,oque desagradouasdistribuidoras. HubdeinovaçãoemenergiasolarFV,armazenamento,infraestruturaelétricae eletromobilidadeserárealizadono naldeagostoemSãoPaulo ProgramaenvolveinvestimentosdeR$22,9milhõeseinclui construçãodeusinasolar,apoioapesquisasereformade laboratórios

GDsolarnoMinhaCasaMinhaVidadivideopiniões

AinclusãodageraçãodistribuídanoProjetodeLeideConversão(PLV)14/2023,aprovadonodia13dejunho peloSenadoFederalequerecriaoprogramahabitacionalMinhaCasaMinhaVida,agradouasentidadesrepresentativasdosetordeGD,comoAbsolareAssociaçãoBrasileiradeGeraçãoDistribuída(ABGD),porcontalogicamente daperspectivadeaumentonasvendasdesistemassolaresparaas2milhõesdemoradiasprevistaspeloprograma. AAbsolarfoiamaisincisivanoselogiosechegouacalcularqueaeconomiaconseguidacomaenergiasolarnos consumidoresdebaixarenda,beneficiadospelatarifasocial,impactariapositivamenteaContadeDesenvolvimento Econômico(CDE),responsávelporarcartambémcomessesubsídioqueérepassadoparaastarifasdeenergia.Com ossistemassolares,aassociaçãocalculouemumareduçãodeR$670milhõesanuaisnaCDE,jáem2023,coma diminuiçãodossubsídiosparaabaixarenda.

JáaABGD,emboratenhatambémapreciadoainclusãodaGDnoPLV,foimaiscríticaepediuemnotaoveto presidencialaduasemendasincluídasnoprojeto,fazendocoroaliáscomamaiorpartedosetorelétrico.Trata-se deartigos(37e38)queinstituemapossibilidadedevendadosexcedentesdeenergiadasmicrousinassolaresdas moradiasequetornamcompulsóriaàsdistribuidorasdeenergiaacompradessescréditosexcedentes,semlicitação eavaloresacimadomercado.

AABGDentendeuqueacompraobrigatóriadeenergiaagravaráasobrecontrataçãodasdistribuidoras,fazendocom queocustoadicionalsejarateadoentretodososconsumidores.Acrescentaaindaqueosbenefíciosdosartigosnão seriamparaosegmentodeGD,massimparaasconstrutorasdasunidades,quecomprariamviaimportaçãodiretaas usinas(provavelmentedemaiorporte,emsolo,paragerarexcedentes).Alémdepedirovetoaosartigos,aABGD sugerequeanovaleiobriguequeainstalaçãodasmicrousinassejafeitaporintegradoreslocais.

AprópriaAbsolar,quedeiníciofoifavorávelàsemendas,semanifestouposteriormentedizendonãosernecessário superdimensionarossistemasfotovoltaicosdoprogramaparavenderexcedentedeenergia.“Essepontonãoé necessário.Nãoprecisagerarmaiseletricidadedoqueaspessoasvãousar.Issoaumentariaoscustosdoprograma habitacionalediminuiriaseuimpactosocial.Bastadimensionarosistemaparareduzirascontasdeluzematé85%, oquenãogeracustonenhumparaasociedade,pelocontrário,reduzcustos”,disseopresidentedaAbsolar,Rodrigo Sauaia,queapesardissonãochegouadefenderovetoàsemendas.

Aprimeiraentidadeasemanifestarcontraostambémchamados“jabutis”dotextofoiaAssociaçãoBrasileiradas DistribuidorasdeEnergiaElétrica,aAbradee,quesoltounotatécnicaparacriticarapropostadecompraobrigatória doscréditosexcedentesapreços646%maisaltosdoqueoPLDatual,jáqueoPLVpropõeprecificaçãopeloVRES (ValoresAnuaisdeReferênciaEspecíficos)dafontesolar.AAbradeealertouqueacompulsoriedadeterácomoefeito o repasseàstarifasdetodososconsumidores.

AprópriaAneelreferendounosdiasseguintesacríticadaAbradeeecalculouoquantoessemecanismopropostopelo PLVafetariaastarifas.EmofíciodirecionadoaoMME,aagênciasomouemR$1bilhãoanuaisoacréscimoaproximado.Nasequência,ementrevistaàrededetelevisãoCNN,oministrodoMME,AlexandreSilveira,defendeuosvetos presidenciaisàsemendas.

energia,avaloresaindabemacimada médiaatual,cujoPLDestáemseuvalorpiso(R$69)ecompreçosdeleilão nafaixadeR$170oMWh.

Leilãodetransmissãodeve garantirexpansãoderenováveis

A ovenderseusnovelotes,quemovimentarãoR$15,7bilhõesemnovos investimentos,oleilãodetransmissão 01/2023,realizadodia30dejunhona sededaB3,emSãoPaulo,também devecumpriraprincipalintençãodo certame:escoaracrescentegeraçãode energiarenovávelgeradanoNordeste

enortedoSudesteparaosprincipais pontosdecargadoPaís.

Emumtotaldeprojetosqueenvolvemaconstrução,operaçãoemanutençãode6.184quilômetrosdelinhas detransmissãoesubestaçõescom capacidadedetransformaçãode400 MVA,amaiorpartedosloteslicitados, setedeles,seconcentramnosestados deSergipe,Bahia,nortedeMinasGeraiseEspíritoSanto,ondeháintensa geraçãosolareeólica,alémdeimenso potencialparaexpansão.Asobraslicitadastêmprazode36a66meseseas concessõessãopara30anos.

Nogeral,odeságiomédiodoleilão foide50,97%.Olotemaior,olote2,foi

FotoVolt - Julho - 2023 10 Notícias

vencidopelaRialma,paraconstrução detrêslinhasde1.614kmcominvestimentosdeR$4,3bilhõeseRAP(receitaanualpermitida)deR$347,8milhões,umdeságiode51%.Osegundo maior,olote1,foivencidopeloConsórcioGênesis,queprevê1.116km delinhasetrêssubestações,eenvolve R$3,2bilhões,osegundomaiorvolumedeinvestimentoseomaiordeságio doleilão(66,18%),comRAPdeR$174 milhões.

OmesmoconsórcioGênesis,consideradonovatonoramo,também ficoucomolote8,comRAPdeR$ 19,5milhõesedeságiode55,3%,um dosmenoresdocertame,comapenas 19kmdelinhasemPernambuco.A Engieficoucomolote5,com1.006km delinhas,investimentosprevistosem R$2,67bilhões,comumaRAPdeR$ 249,3milhões(deságiode42,8%).

AIsaCteepvenceudoislotes,o7, comRAPdeR$218,8milhõesedeságiode41,81%(1.044kmdelinhas), depoisdeterarrematadonaprimeira rodadadoleilãoolote9(subestaçãoe automatismo),comdeságiode50%e RAPdeR$7,4milhões.ACymivenceuolote3,comdeságiode52,13% eRAPdeR$78,8milhões,comobras de349kmdelinhas.JáFurnas(Eletrobras)arrematouolote4,comRAP de68,7milhõesedeságiode45,75%, paraconstruir304kmdelinhas.A CeleoRedesBrasilvenceuolote6, comRAPdeR$99,8milhõesedeságiode48,23%,paraconstruir357km entreXingó(SE)eCamaçari,naBahia.

Porcontadacapacidadedeescoamentodeenergiarenovávelreforçada comasnovaslinhas,aexpectativaéqueoprimeiro leilãotenhapotencialde destravarmaisdeR$200 bilhõeseminvestimentos derenováveis,segundo expectativasdoMinistério deMinaseEnergia.Ea perspectivamelhoracom arealizaçãodosegundo leilãodetransmissão,confirmadopara 15dedezembroedoterceiro,adiado para2024,provavelmenteemmarço, segundoaAneel.Aotodo,ostrêsdevemmovimentarmaisde R$50bilhõeseminvestimentos.

BrasileAlemanhalevam qualificaçãosolaraPalestina

UmacooperaçãotécnicaentreinstitutostécnicosfederaisdeSão Paulo,asubsidiáriabrasileiradafabricanteaustríacadeinversoresFronius eaagênciaalemãdefomentoGIZvai levarcursosdequalificaçãotécnicaem energiasolarfotovoltaicaparaaregião daPalestina,noOrienteMédio.

CoordenadopelaGIZ,oprograma visacriarcursosdequalificaçãopara formaçãomaisrápidadeinstaladores desistemasfotovoltaicosecontribuir paraodesenvolvimentodomercado internodeenergiasolar,aumentandoaofertadesoluçõesnaPalestina, provavelmenteemescolasdaregião.

“Apesardaenergiasolaremabundân-

cia,omercadofotovoltaiconaPalestinanãoétãodesenvolvido.Opaís importa95%desuaenergiadeIsrael, quetambémdistribuiboaparteda eletricidade”,disseacoordenadora daáreadeenergiaeprofissionaisdo futuroparaeconomiaverdedaGIZ, RobertaKnopki.

AescolhadaFroniusnaparceria, segundocomunicadodaempresa,se deveaoseurelacionamentoealguns trabalhosrealizadosanteriormenteem conjuntocomaGIZjuntoàsinstituiçõesdeensinobrasileiras,quepassaramacontarcomatecnologiaeconhecimentodaempresaparaformaçãode novosprofissionaisespecializadosem sistemasfotovoltaicos.Atualmente,a FroniusdoBrasilseenvolveemprojetos,porexemplo,comaUniversidade FederaldoABCeaFaculdadedeEngenhariaIndustrial(FEI),alémdeescolastécnicasdoSenaiecomosinstitutosfederais.

EleraRenováveisinaugura maiorUFVdoBrasil

AEleraRenováveisinaugurouoficialmente,nodia3dejulho,ocomplexosolarJanaúba,nacidadehomônima nonortedeMinasGerais,a550kmde BeloHorizonte.Com1,2GWpdepotência,osuficienteparaatenderamais de1milhãoderesidências,éatualmenteomaiordoPaíseenvolveuinvestimentosdeR$4bilhões.

Oempreendimento,construídoem umaáreade3milhectares,contacom 20parquessolares,ondeforaminstalados2,2milhõesdemódulossolares fotovoltaicos.Comsuaprimeirafase de830MWjáenergizadaem2022,o complexotambémcontacomrastreadoressolaresdanorte-americana Nextracker.

SegundoaElera,asobrasdocomplexoJanaúbageraramcercade11mil empregosdiretoseindiretos,comcercade70%damãodeobracontratada entremoradoresdaregião.Porconta

12 Notícias
FotoVolt - Julho - 2023
Acordodecooperaçãoenvolveagênciaalemã,subsidiária brasileiradaFroniuseinstitutostécnicosfederais ComsetedosnovelotesvoltadosparareforçarlinhasnoNordesteenortedo Sudeste,expectativaéqueobrasdestravemgeraçãoeólicaesolar

A BOLT INOX, fornece Kits e componentes em aço inoxidável para fixação de painéis fotovoltaicos de acordo com a demanda de cada cliente.

ESPECIALIZADA NO CLIENTE

disso,foinecessáriopromovercapacitaçãoprofissionaletreinamentospara cadademandaduranteaobra.

Emsolar,aEleraRenováveisjátem emoperaçãoaUFVAlex,emLimoeiro doNorte,noValedoJaguaribe,no Ceará,com278MWdepotênciainstalada.Alémdisso,foradoBrasil,conta comoAltoCieloSolar,noUruguai, com26,3MW,eoSolarAmanecer,no Chile,com100MW.

Nasuadiversificaçãoparaasnovas renováveis,jáqueaempresaoriginalmenteatuavaemhídrica,comPCHs,a Eleraconstróiumparqueeólico,oSeridó,de250MW,emParelhas,noRio GrandedoNorte,ejátemmaisquatro usinaseólicasemoperaçãonoCeará (Faísa,136,5MW),Bahia(AltoSertão 1,294MW),RioGrandedoNorte(Renascença,120MW)eUruguai(Carapé, 95,3MW).

MMEprometedescarbonizar aAmazôniacomenergiasolar

OministrodeMinaseEnergia, AlexandreSilveira,afirmouque vaicriarumprogramadedescarbonizaçãoparaaAmazôniacomfocona energiasolarfotovoltaica.Aideiaé substituir180sistemasisoladosda AmazôniaLegalquehojeoperam comgeradoresadiesel.

Emdiscursopronunciadoem eventoemLisboa,Portugal,oministro dissequeestãoprevistosinvestimentosdeR$5bilhõesnoprograma,que tambémapoiaráimplantaçãodesistemastérmicosabiodiesel.Ainiciativa,

segundoele,éumdospilarespara tornaroPaís“protagonistadatransiçãoenergéticaglobal”.

“Nóslançaremosomaiorplano dedescarbonizaçãodoplaneta,fazendoumatransiçãodageraçãode energiaexclusivamenteaóleodiesel nossistemasisoladosdaAmazônia paraosistemasolar,garantindoa segurançaenergética”,afirmou.

Outraaçãoimportanteparaa metadedescarbonizaçãodaregião,segundooministro,éoiníciodasobras parainterligarRoraimaaoSIN-SistemaInterligadoNacional.Tambémestá

ditosgeradospelasusinasdegeração distribuídadoconsumodaempresa emonitorartecnicamenteaoperação dossistemas.AsusinasserãoconstruídasemUmuarama,Arapongase Paranacity.

Aotodo,astrêsplantasterão 4,5MWpdepotênciainstalada,sendo 2,6MWpemUmuarama,1,4MWpem Arapongase700kWpemParanacity. Acompanhiajáiniciouoprocessode licitaçãoparacontrataraconstrução dasplantas,queserãoinstaladasno terrenodenovassubestaçõesdaCopel, nasquaisserãoconectadas.

previstaainauguraçãodainterligação deParintins(AM)aoSIN,noqual maisde80%daenergiaconectadaé renovável.

Copelvaiinstalarminiusinas solaresjuntoasubestações

Aestataldeenergiaparanaense

Copelanunciouquevaiinstalar trêsusinassolaresfotovoltaicasdegeraçãodistribuídajuntoasubestações. Aideiadoprojetoécompensaroscré-

Aestimativaédequeosempreendimentosproduzamcompensaçãode 8milMWhparaaCopel,oquerepresenta35%doconsumodasubsidiária dedistribuiçãodacompanhia,que atualmenteéde21MWhporano.“Vamosaproveitaroespaçonãoutilizado nestassubestações,gerarenergiarenovávelparacompensarpartedonosso consumoe,aomesmotempo,monitorarofuncionamentodascentraissolaresconectadasàssubestações”,disseo superintendentedeprojetosespeciais daCopel,JúlioShigeakiOmori.

Segundoosuperintendente,aoperaçãodasusinaspermitiráàCopel controlardiversosparâmetrosessenciaisaofuncionamentodainterligação entreosmódulossolareseasubestação,comofatordetensãoepotência, oqueemplantassolaresmenoresserá colocadoempráticapelaprimeiravez nopaís.“Naprática,esseprojetonos permitecontrolarcomprecisãoascentraissolareseatuarparacorrigirpossíveisproblemasdetensão,sobrecarga ou,atémesmo,minimizarperdasno sistema”,acrescentaOmori.

Microrredecomsolarinicia operaçãoemAlcântara

ComeçouaoperarnoCLA-Centro deLançamentodeAlcântara, no Maranhão,queoperaplataformas especiaisdelançamentodesatélites

FotoVolt - Julho - 2023 14 Notícias
Alémdageraçãodecréditosparaabaterdoconsumo, ideiaéanalisarparâmetrosoperacionaisdascentrais comassubestações EmdiscursoemPortugal,ministroa rmouqueserão investidosR$5bilhõesparasubstituir180sistemas isoladosadiesel SobinvestimentodeR$4bilhões,ocomplexosolarJanaúba tem1,2GWpdepotênciainstalada AlbariRosaAEN

efoguetesaoespaço,umamicrorredeelétricainteligentecom energiasolarebaterias.Oprojeto éresultadodeprogramadeP&D AneeldaEquatorialEnergia, emconjuntocomoInstitutode EnergiaElétricadaUniversidade FederaldoMaranhão(UFMA).

Abasedaredeéumausina solarfotovoltaicade1,25MWp depotênciainstalada,com2.832 módulossolaresde445Wp.ImplantadapelaEnova,aUFVécapaz degerar1.823MWh/ano.Osistema dearmazenamentoporbaterias(BESS, nasiglaeminglês)usatecnologiade íons-lítio,quesegundocomunicadoda Equatorialarmazenaotriplodeenergiasecomparadaaosoutrostiposde bateria.OBESStempotênciainstalada de1MWe1MWhdecapacidadede armazenamento.

Antesdainstalaçãodamicrorrede, geradoresadieseleramutilizados duranteoslançamentosparatrazer segurançaparaarede.Comarede inteligente,segundoaEquatorial,há aalimentaçãoviaredeelétricaconvencionalsomadacomosuporteda geraçãosolaredaenergiaarmazenada nasbaterias.Alémdisso,épossível acionarautomaticamenteosgeradores adiesel,emúltimainstância,casohaja paneoudescargadasbaterias.

Apossibilidadedeescolhaentre quatrofontesdeenergia,deacordo comaEquatorial,fazamicrorrede inteligentenoCLAsediferenciarpor nãosofrerinterrupções,oquegarante aresiliênciadeenergianecessáriapara aoperaçãodolocal.Alémdasegurançaenergética,aimplementaçãodarededevetrazerreduçãode30%a40%doconsumo deenergiamensaldocentro.

Issoéimportanteprincipalmenteporque,quandoháatividadesdelançamento,háum aumentode30%noconsumo deenergiaelétrica,oequivalenteacercade130MWhde energiapormês.

Absolarentraemprograma internacionaldeH2V

AAbsolar-AssociaçãoBrasileirade EnergiaSolarFotovoltaicaaderiu àiniciativainternacionalH4D,abreviaturapara HydrogenforDevelopment Partnership,lançadaemnovembrode 2022naCOP27,noEgito,eliderada peloBancoMundial.Aassociaçãopassaaseraprimeiraentidadebrasileira dosetorprivadoaintegrarogrupo,do qualtambémparticipamaspúblicas CCEE-CâmaradeComercializaçãode EnergiaElétricaeaAdece-Agênciade DesenvolvimentodoEstadodoCeará.

OgrupoH4Dtemmetadeajudara catalisarfinanciamentosparainvestimentosemhidrogênioproduzidopor fontesrenováveis,tantonaesferapúblicaquantonosetorprivado.Aideia éaindaatuaremquestõesregulatórias, modelosdenegóciosetecnologias paraaconsolidaçãodohidrogênioverde(H2V),principalmenteempaíses emdesenvolvimento.

FazempartedoH4Datualmente váriasinstituiçõesindustriais,acadêmicasedepesquisa,quesereúnem

16 Notícias FotoVolt - Julho - 2023
Entidadeéaprimeiradosetorprivadobrasileiroaaderiràiniciativa, quecatalisa nanciamentosparainvestimentosemH2V Centrodelançamentodefoguetesesatélitespassaater segurançaenergéticacomquatroopçõesdeenergia

semestralmenteparaformularpropositurasaossetorespúblicoeprivado.

Entidadesentregampropostas deestímuloaohidrogênioverde

QuatroentidadesquefazempartedoPactoBrasileiro peloHidrogênioRenovável–CâmaradeComércio eIndústriaBrasil-Alemanha(AHKK)easassociaçõesdos setoressolar(Absolar),eólico(Abeeólica)edebiogás (Abiogás)–entregaramaodeputadofederalArnaldo Jardim(Cidadania-SP),presidentedacomissãoespecial detransiçãoenergética,umdocumentocom17sugestõesparaincentivaraproduçãoeconsumodohidrogênioverde(H2V)noBrasil.

Assugestõesenvolvemtantoainclusãodofuturomercadoembenefícioseincentivosfiscaisjáexistentespara outrossetorescomomedidasparaacriaçãodepolítica industrialespecífica.Noprimeirocaso,exemplossãoa sugestãodeequipararohidrogênioverdecomobiodiesel,parapermitirqueonovocombustívelsejaaptoa emitiroscréditosdedescarbonizaçãodosetor(Cbios), pormeiodoprogramaRenovabio.

Noaspectosubsídios,asentidadespedemreduçãoda cargatributária(PIS/COFINS,ICMS,IPI,II,IReCSLL) ecréditosfiscaisparaacadeiaprodutivadohidrogênio renovável.Alémdisso,queremoenquadramentode projetosdehidrogêniorenováveleseusderivados(amôniaverde,metanol)comodeinfraestrutura,parapoderem serbeneficiadospeloregimeespecialdetributaçãoReidie seremaptosaemitirdebênturesincentivadas.Sãoainda requisitadasisençõesdeencargossetoriais,comoCDE, Proinfa,CCCeoutrosqueincidemsobreaenergiaelétrica.

Alémdemaisincentivosdiretos,comoenquadramento daproduçãodoH2Vnoregimedelucropresumido pelospróximos15anos,independentementedolimite defaturamento,fazempartetambémdassugestõesa criaçãodelinhasdefinanciamentodebaixocustoparao setor,reduçãoderemuneraçãodoBNDESparaprojetos deH2V,relaxamentoparaolicenciamentoambiental dosprojetoseincentivosparaaformaçãodeprofissionaisespecializadosnaárea.

Odocumentocomassugestõesfoientregueemmãos paraodeputadoArnaldoJardimpormembrosdoPacto duranteafeiraHydrogenExpoSouthAmerica,nodia 21dejunho,noRiodeJaneiro.Naocasião,Jardim aproveitouparaanunciaraintençãodacomissãodetransiçãoenergéticadaCâmaradosDeputadosdeapresentar,atéoiníciode2024,otextodoMarcoRegulatório doHidrogênioVerde.

“AComissãotemanalisadoasiniciativasjáexistentes nessessetoresemtermosdepolíticasquejávêmsendo estruturadasemâmbitoestadualefederal.Apartirdessa apuração,queremosproporaestruturaçãodelinhaspermanentesdecréditoparaosetor,nocontextodareforma tributária,alémdaestruturaçãodasnormativasqueresultarãonomarcoregulatóriodohidrogênioverde”,disse.

17 FotoVolt - Julho - 2023

Motivamtambémasreuniõesatroca deinformaçõessobreasatividadesdos membrosdogrupoeoestabelecimentodeacordosorganizacionaisparaa entregadetarefas.

“Aparceriaémaisumainiciativa daAbsolarparacontribuircomodesenvolvimentodomercadobrasileiro dehidrogênioverde,tantoparaexportaçãodeseusderivadosquantopara consumodoméstico”,comentouocoordenadordaforça-tarefadehidrogênioverdedaAbsolar, EduardoTobias,um dosarticuladoresda parceriadaentidade comoBancoMundial.“Éfundamental oBrasilterrepresentatividadenessas açõesmultilaterais paraconstruirseu protagonismonesse mercadotãopromissor”,acrescentou.

Pilotodesolarflutuante vaiabastecerbarragem

FoiinstaladonoreservatóriodausinahidrelétricaUrrá,naColômbia, de340MW,umausinasolarflutuante de1,5MWdepotênciainstalada.Em caráterpiloto,oprojetobatizadode Aquasolfoiimplementadopelanorte-americanaNoriaEnergy,empresa tambémresponsávelporprojetona cidadedeHealdsburg,naCalifórnia,

EstadosUnidos,com4,78MW,consideradoumdosmaioresemoperação naAméricadoNorte.

AflutuantenaUHEUrrá,quefica nabaciadorioSinú,emCórdoba,na Colômbia,tem2800módulossolares fotovoltaicosedevegerar2.400MWh emseuprimeiroanodeoperação,o suficienteparacompensaraquantidadedeenergianecessáriaparaoperara barragem.Alémdisso,aexpectativaé queoprojetoevitemaisde1.540toneladasdeemissõesdedióxidodecarbonoacadaanoegeremaisdeUS$1,2 milhãoemreceitaadicionaldeenergia elétricaem20anos.

“Emtodoomundo,cercade60% daenergiarenovávelvemdaenergia hidrelétrica.Issorepresentainúmeras oportunidadesparaimplantarenergia solarflutuantequepodemaximizara geraçãodeenergiacomemissãozero ediversificarasfontesdeenergialimpa”,disseoCEOdaNoriaEnergy,JonathanWank.

FotoVolt - Julho - 2023 18 Notícias
Projetoemescalapilotodevegerar2400MWhnoprimeiroano,osu cienteparaa operaçãodabarragemdaUHEUrrá

SegundoWank,alémdeaumentar acapacidadetotaldegeraçãodehidrelétricas,ossistemassolaresflutuantes podemajudaramanteraenergia fluindoquandobaixosníveisdeáguaou outrascondiçõesadversasreduzema produçãohidrelétrica.“Osistemasolar flutuanteéprojetadoparaficarem cimadaáguaesuportarflutuaçõesdo níveldaáguadeaté120pés”,disse.

Chinainiciaoperaçãodeunidade deH2Vcomsolarde300MW

Entrouemoperaçãorecentemente na cidadedeKuqa,regiãoautônoma Uigur,emXianjiang,naChina,uma unidadedeproduçãodehidrogênio verde(H2V)integradaealimentada pelaenergiageradaporusinasolarfotovoltaicade300MWdepotênciaecapacidadeparagerar618GWhporano.

LideradopelaNewStar,subsidiária daestatalchinesadeenergiaSinopec,

trata-sedoprimeiroprojetodogêneronopaísasiático,queenvolveuinvestimentodeUS$2,4bilhões.Aunidade deeletrólisedaáguatemcapacidade deproduzir20miltoneladasdehidrogênioverdeporanoeinstalaçõespara armazenar210milmetroscúbicosde hidrogênio,alémderededetransporte porgasodutosparamovimentar28mil metroscúbicosporhoradocombustívelrenovável.

Oprojetopioneiroéconsiderado comomodeloaserreplicadoemestratégiachinesadesetornarprotagonistanaproduçãodehidrogênioverde.

AproduçãodeKuqaserávoltada paraaindústriaquímicaepetroquímicaTaheRefining&Chemical,tambémdogrupoSinopec,emumplanejamentodesubstituiraeletricidade àbasedecombustíveisfósseishoje utilizadaparaaproduçãodehidrogênioutilizadapelaempresa.Issodeve evitaraemissãode485miltoneladas dedióxidodecarbonoporano.

Helexiaconstruiráusinas deGDsolar

AfrancesaHelexia,queatuaemgeraçãosolardistribuídaeeficiência energética,assinoucontratocoma comercializadoradeenergiaComerc paraforneceraté90MWpdeenergia solarfotovoltaica,emumperíodode 20anos.Anegociaçãovisasuportaro crescimentodacarteiradeclientesda SouVagalume,unidadedenegócioda Comercvoltadaaconsumidoresde

19 Notícias FotoVolt - Julho - 2023
Projetoéoprimeirodopaís,quepretendesetornar referêncianaproduçãocomcombustívelrenovável

baixatensãointeressadosemcréditos decompensaçãodeenergia,comopequenosnegóciosepessoasfísicas.

Asusinassolaresfotovoltaicasserão desenvolvidaspelaHelexianosestados doMatoGrossodoSul,Ceará,PernambucoeRioGrandedoNorte.Segundo asempresas,asobrasdasprimeiras UFVsvãocomeçarnospróximosmeses eserãoentreguesnosegundosemestre de2024.

ASouVagalumeultrapassouamarcade25milclientes.Comoacordocom aHelexia,aexpectativaéatenderaté 40milnovasunidadesconsumidoras. Oacordofazpartedeestratégiada Comercdeampliarsuacapacidadede atendimentocomparceriascomusinas deterceiros,jáqueatualmente90% dasuaenergia provémdeinstalações solarespróprias.

Asusinasqueserãoconstruídasno CearáenoMatoGrossodoSulpodem atingiraté25MWpemcadaestado.Já emPernambucoenoRioGrandedo Nortedevemalcançaraté40MWpno total,totalizandoos90MWp.Quandoentregues,osempreendimentos marcarãonovafasenaexpansãoem outrasregiõesdoBrasil,umavezquea operaçãodaSouVagalumeatualmente estáfocadaemMinasGerais.

IntersolarMéxicoquerreceber expositoresbrasileiros

ASolarPromotionInternational esuasparceirasiniciaramuma campanhaparadivulgara Intersolar Mexico2023 aosempresáriosbrasileirosinteressadosnomercadomexicano

deenergiasolarearmazenamentode energia.Afeiraecongresso,queserá realizadade5a7desetembrode2023, éomaiorencontroregionaldeprofissionaisespecializadosemenergia, devendocontarcom300expositores emaisde11.000visitantesdevários paísesnospavilhõesdoCentroCitibanamex,emMiguelHidalgo,Cidadedo México.

Osmercadosdeenergiasolare armazenamentodeenergiadoMéxico estãoemfrancocrescimento.Opaís temumadasmelhorestaxasdeinsolaçãodomundo,comenormepotencial inexploradoparaosetorsolaredearmazenamento.Possuiinstalados9GW decapacidadefotovoltaicae4,2GWde capacidadetermossolar,sendoosegundomaiormercadodeenergiasolarda AméricaLatinaelíderglobalemnúmeroanualdeinstalaçõesdesistemas solaresdeaquecimentodeprocessos.

Segundoosorganizadores,aIntersolarMéxicoofereceaosexpositores estreantesoportunidadessobmedida paracadaorçamento.Aempresapode projetarseuestande(mínimode18m2) oucontrataramontagemdeumestandepadrãode9m2totalmenteequipado.Ospreçossão:espaçovazio (mín.18m2)apartirdeUS$432/m2 eestandedemontagempadrão(mín. 9m2)apartirdeUS$485/m2

PavilhãoLatino-americano –AsofertasparaestreantesincluemapossibilidadedeintegraroPavilhãoLatinoamericano,queoferecebomcusto/ benefícioporumpacotecomtudoincluído oestandede9m2tempreço deUS$3.900.

InteressadosdevementraremcontatocomDianaStunz,ProjectManager IntersolarMexico,stunz@solarpromotion.com.Maisinformaçãoparaexpositoresestádisponívelemhttps:// www.intersolar.mx/apply-now-andexhibit-at-intersolar-mexico.

Atlascontratasistema derastreamentoparaUFV

AempreendedoradeenergiasrenováveisAtlasRenewableEnergy contratouaNextracker,fornecedorade soluçõesdesistemasderastreamento solar,parainstalarnocomplexosolar VistaAlegre,emJanaúba,MinasGerais,osoftware TrueCapture,quebaseadoemalgoritmosconsegueotimizarageraçãosolar.

Usinade902MWpcontarácomsoftwarequeusa machinelearning einteligênciaarti cialpararastrear continuamenteaposiçãodoSol

Oprojetosolarterácapacidadeinstaladade902MWpedeveráproduzir aproximadamente2TWh/anodeenergia.SegundoaAtlas,devesetornaro maiorprojetosolaraserconstruídono HemisférioSul.Ausinatemcontrato decompraevendadeenergia(PPA,na siglaeminglês)assinadocomaprodutoradealumínioAlbras,deBarcarena, noPará.OPPAfoiindexadoemdólare temprazode21anosdefornecimento.

Osoftware TrueCapture utilizao conceitodeaprendizadodemáquina (machinelearning) einteligênciaartificial,pormeiodosquaispermiterastrearcontinuamenteaposiçãodoSol eajustarosângulosdosmódulospara maximizaraproduçãodeenergia.Ao ajustardeformainteligenteainclina-

20 Notícias FotoVolt - Julho - 2023
Empresasorganizadorasdivulgamopçõesdeespaçode exposição.MostrateráumPavilhãoLatino-americano comcondiçõesespeciais Serãoaotodo90MWpemusinasnoMatoGrossodoSul, Ceará,PernambucoeRioGrandedoNorte

ENERGIZE SEUSNEGÓCIOS

Ocentrodeinovaçãolatino-americano paraonovomundodaenergia

EXPOCENTERNORTE,SÃOPAULO,BRASIL

INSCRIÇÕESABERTAS

Façasuacredencialgratuita:www.TheSmarteE.com.br

AsPrincipaisExposiçõeseCongressosdeEnergianoThesmarterESouthAmerica

Comsuastrêsfeirasparalelasdeenergia,maisumaexposiçãoespecial,ThesmarterESouthAmericaéocentroinovadorda AméricaLatinaparaonovomundodaenergia.OeventoserárealizadoemSãoPaulode29–31deagostode2023.

Suaabordagemabrangentenasquestõesdonovomundodaenergiaapresentaumcruzamentodesoluçõesetecnologias.The smarterESouthAmericacriaoportunidadesdeabordartodasasáreasessenciaisdacadeiadevalordosetor.Destacandogeração, armazenamento,distribuiçãoeusodaenergiaeasmaneirascomoessesaspectosinteragemepodemsearticularinteligentemente,oeventocongregainterssadosnofuturodaenergiavindosdosmercadosmaisin uentesdomundo.

SpecialExhibition

çãoeaposiçãodecadamódulosolar emtemporeal,eleécapazdeatenuar oimpactodosombreamento,doterrenoirregularedeoutrosfatoresque podemreduziraproduçãodeenergia.

MicrorredesolarnoAcreé premiadanaIntersolarEurope

Umprojetodemicrorredesolarcom armazenamentodeenergiada Re(energisa),empresaespecializada emtransiçãoenergéticadogrupo Energisa,recebeuapremiaçãointernacionalTheSmarterEAward,concedidoduranteafeiraIntersolarEurope, emMunique,naAlemanha.Oprêmio levaemconta,alémdainovaçãotecnológica,osbenefíciossociais,econômicoseambientaisdoprojeto.

Emoperaçãodesde2021naVila Restauração,nareservaextrativistado AltoJuruá,noAcre,oprojetopremiadolevouenergiaininterruptaparaa comunidade,antesapenasabastecida portrêshorasdiáriascomgeradora diesel.Paraisso,foiinstaladosistema híbridocom580módulossolaresfotovoltaicos,compotênciatotalde325 kWp,esistemadearmazenamentode energiacombateriasdelítio,comcapacidadepara829kWh.

Alémdisso,osistemacontacom doisgeradoresde116kVAquefuncionamcombiodieselderivadodoóleo depalma,produzidolocalmente,eque funcionamautomaticamentequandoa

cargadabateriaestábaixa.Nototal, foraminvestidosR$20milhõesno projeto,incluindoalogísticapara movimentarosmódulosedemais equipamentospelosriosdaregião.

Tambémcomoinovação,afatura égeradaatravésdeumsistemade pagamentodigitalqueincluium limitedeconsumodeenergia. Para garantirumabastecimentosustentávelalongoprazo,cadafamíliatem umlimitedeconsumode80kWhpor mês.Omedidorinteligentedesconecta remotamenteosconsumidoresque ultrapassamesselimite.

GDsolarultrapassa22GW depotênciainstalada

Ageraçãosolardistribuídaatingiu 22,1GWdecapacidadeinstalada noBrasil,segundoosdadosoficiaisde acompanhamentodaAneel–Agência NacionaldeEnergiaElétrica.Issosignificaquemaisde2milhõesdesistemassolaresfotovoltaicosestãoinstaladosemtelhados,fachadasepequenos terrenosnoPaís,tambémdeacordo comaAneel,gerandocréditosdecompensaçãodeenergiapara2,6milhões deunidadesconsumidoras.

ParaaABGD-AssociaçãoBrasileiradeGeraçãoDistribuída,aesseritmo decrescimento,asprojeçõesindicam queoBrasilalcançaráentre25GWe 26GWdecapacidadeinstaladaemGD atéofimdesteano.Apesardeserem incluídasnessacontatodosostiposde energiadistribuída,comobiomassa, biogáseCGHs,quase99%dessetotal seráprovenientedasolar.

Presenteem5.530municípios,aindasegundoosdadosdaAneel,aGD solar,segundoaAbsolar,jáatraiumais deR$111bilhõesemnovosinvestimentosdesde2012,gerandomaisde 660milempregosearrecadandoaos cofrespúblicoscercadeR$29,8bilhões.Apesardecomemorarosnúmerosdosetor,porém,aAbsolaracredita queodesempenhopoderiasermelhor,

casoastaxasdejurosfossemmenores noPaís,oqueafetaaimplantaçãode sistemasdegeraçãodistribuída.“O atualpatamardataxadejurosnoBrasil,em13,75%,inibeaaceleraçãodeste desenvolvimento,poisaprestaçãodo financiamentodosistemasolarsetorna pesadadentrodoorçamentofamiliar”, disseopresidentedoConselhode AdministraçãodaAbsolar,Ronaldo Koloszuk.

BrasolentregaUFVsparaaAegea

ABrasol,empresadaalemãSiemens especializadaemenergiasolar,entregoumaisduasusinassolaresfotovoltaicasdegeraçãodistribuídaparaa Aegea,grupodeconcessionáriasprivadasdesaneamento.Dessavez,as usinasforaminstaladasemPetrópolis, noRiodeJaneiro,evãoatenderao consumode27unidadesdaÁguas doRio,concessionáriadogrupo.

Oempreendimento,constituído por4.700módulose8inversores,ocupa umaáreade12.300metrosquadrados etemgeraçãoestimadade3,7GWhpor ano,oqueequivaleaumareduçãode

22 Notícias FotoVolt - Julho - 2023
AsusinasinstaladasemPetrópolisvãoatender27 unidadesconsumidorasdaÁguasdoRio,naregião serranadoestado uminense Sãomaisde2milhõesdeinstalaçõespelopaís.Projeçãoda ABGDéqueosetorchegueaaté26GWem2023 ProjetodaRe(energisa)envolvesolar,bateriase geradoresabiodieseldepalma

2,4toneladasmétricasdeemissãodeCO2. Compotências instaladasde1,3MWpe1,27MWp,asduasinstalaçõesvão gerarcréditosdecompensaçãoparaunidadesconsumidoras daAegeanaregiãoserranadoestadofluminense.

AparceriadenegóciosentreaAegeaeaBrasolcomeçouem2022,quandoentraramemoperaçãoasdezprimeirasusinasnosestadosdoMatoGrossoeAmazonas, totalizando5,2MWpdepotênciainstalada.Alémdonovo projetoparaaÁguasdoRio,estãoprevistasnovasusinas aindanoRiodeJaneiroeexpansõesemMatoGrosso.

AtualmenteaAegeatem97%dasuaenergiaconsumida deorigemrenovável,porprojetosdegeraçãodistribuídae aquisiçãonomercadolivredeenergia.Aempresaassumiu comometa,em2022,areduçãode15%doconsumoespecíficodeenergia,medidoemkWh/m3,até2030,compromissoatreladoaumaemissãodetítulosdesustentabilidadeSLB(doinglês Sustainability-LinkedBonds).

Absolarassinaacordoparafomentarmercadosolar

AAbsolar-AssociaçãoBrasileiradeEnergiaSolarFotovoltaicaassinoumemorandodeentendimento(MoU, nasiglaeminglês)comduasentidadeschinesasparaampliarocomérciobilateraleacolaboraçãotécnicaentreos setoressolaresfotovoltaicosdoBrasiledaChina.Aprimeiraentidadeédogovernochinês,aCietc(siglaparaCenter forInternationalEconomicandTechnologicalCooperation), easegunda,aCPIA(ChinaPhotovoltaicIndustryAssociation),aassociaçãonacionaldosfabricantesdosetor.

AssinadoduranteafeirasetorialSNEC2023,emXangai,omemorandotemcomometa,segundocomunicado daAbsolar,acelerarodesenvolvimentodosmercadosde energiasolarnosdoispaíses,paraampliaraatraçãode novosinvestimentos,gerarempregoserendaecriaroportunidadesdenegócios.

Comopartedainiciativa,astrêsorganizaçõesvãorealizarconjuntamenteumeventoanual,oChina-BrazilSolar PVIndustryExchangeForum.Aindasemdatadefinida, oBrasilfoiescolhidoparasediaroencontrojáem2024.

ParaoCEOdaAbsolar,RodrigoSauaia,aassociaçãoquer seempenharparaatuaremcolaboraçãocomasentidades chinesas.“Oacordofortaleceaindamaisasrelaçõesentre BrasileChinaetrarámuitasoportunidades,proporcionandoumcrescimentoganha-ganha”,disseSauaia.

Notas

Risenfornecerá1GW -ARisenEnergyassinouumcontratodefornecimentodeaté1GWpdemódulosfotovoltaicosdeheterojunçãocomcamadafinaintrínsecacoma

FotoVolt - Julho - 2023 24 Notícias

AtheinHoldingPteLtd,umaempresadeplataformade produçãoindependentedeenergia(IPP)constituídaem Cingapura.Alémdisso,aRisenEnergyofereceráserviços adicionais,comosuportetécnico,treinamentoeserviços pós-venda.

Novausinadesolarporassinatura -ALeveEnergiaRenovável,plataformadeenergiasolarporassinatura,iniciou asoperaçõesdausinafotovoltaicaSalinas,emMinasGerais,eatenderámunicípioscobertospelaCemig.Ausina possuipotênciade2,2MWp,comgeraçãomédiamensal de412MW,osuficienteparaatenderaté2milfamílias. AnovausinajátemumaparceriacomaLocaliza&COque oferecedescontonacontadeluzpormeiodaofertada energiasolarcomobenefícioparaseuscolaboradores.

BateriasrecebemcertificaçãoInmetro -AbateriaestacionáriadamarcaFreedom,produzidapelaClarios,recebeu recentementeoselodoInmetro-InstitutoNacionalde Metrologia,QualidadeeTecnologia.Oequipamentotem 24mesesdegarantiaeestádisponívelnascapacidades de24a200ampère/horacomtensãonominalde12V,e conseguesuportarciclosdedescargaprofundos,segundo aempresa.Porsuavez,asérieMSdaMouraSolartambém recebeuanovacertificaçãodoInmetro.Alinhacontacom tecnologiaparasistemasdegeraçãofotovoltaicadepequeno emédioportee,deacordocomaempresa,éprojetadapara suportartrêsvezesmaisciclosdoqueopadrãodemercado paraacategoriaeapresentabomcusto-benefício,devidoà aceitaçãodecarga,permitindoumarecargamaisrápidae eficiente.Ambasascertificaçõesforamconquistadasantes doprazolimiteestabelecidopeloInmetro,queéaté2025. DeacordocomaPortariaInmetron.140/2022,asbaterias sãoavaliadasquantoàsuacapacidadedesuportarciclos decargaedescarga,mantendo-sesuacapacidadenominal.

Fabricantedeinversoresépremiada -AGinlongSolis

Technologiesfoireconhecidacomoa3ªmaiorfabricante deinversorespelosegundoanoconsecutivoporumacompanhamentoindependentedaindústrialevandoemconta ovolumedemegawattsvendidos.Acompanhiatambém foipremiadacomo“topinverterbrand2023”,paraa Bélgica,concedidoporumaorganizaçãoglobaldepesquisademercado,aEUPD,etambémrecebeuomesmo seloparaosPaísesBaixoseparaaÁfricadoSul.Segundo aempresa,apremiaçãomarcaooitavoanoconsecutivoem queaSoliséreconhecidapelaEUPD,baseadoem100mil entrevistasrealizadasemmaisde50países.Aempresa possuicapacidade deproduçãoanualde40GW,epretendedobraronúmeroemjulho.Em2022,oinvestimento emP&Datingiu45milhõesdedólares.

FotoVolt - Julho - 2023 25 Notícias

MicrorredecomFV, eólicaebaterias pararecargade veículoselétricos

Aapreensãocomasmudanças climáticasestáintensificando-se nosúltimosanos.Oaquecimentoglobaleaemissãodegases deefeitoestufasãopreocupações recorrentesetêmmotivadograndes naçõesaproporpolíticasemetaspara retardarereduziressesefeitos[1].

Amobilidade,fortementedependente decombustíveisfósseis,éresponsável porumquartodasemissõesdegases deefeitoestufa.Assim,asubstituição daatualfrotaporveículosnãopoluenteséobrigatória.Algunspaíses, comooseuropeus,aChinaeosEUA, jáestãocaminhandonessadireção[2].

Oveículoelétricomovidoabateria (VEB)apresenta-secomoumaalternativaparaodesenvolvimentode umamobilidadelimpasememissões deCO2 [3,4].

Comparadosaostradicionaisveículosdecombustãointerna(VCI),os VEBsapresentamaltaeficiênciana conversãodeenergia,algopróximoa 80%.Alémdisso,seuspreços,ainda superioresaosdosVCIs,jásemostramcompetitivosdevidoaoamadurecimentodastecnologiasutilizadas eàquedagradualdospreçosdasbaterias.Noentanto,apenasasubstitui-

çãodetecnologias,deVCIparaVEB, nãoécompletamentesuficientepara reduzirasemissões[5,6].Amatriz energéticaqueabasteceossistemas degeraçãodeeletricidadedeveser compostaporfontesnãopoluentes, paraqueoVEBnãorepresenteaumentodecargae,consequentemente, depoluiçãoconcentrada.Observa-se queamaioriadasrecargasemVEBs, cercade80%,ocorreemgaragens, combaixosníveisdepotênciaelon-

Aquiserelataoestudopara implantaçãodeumamicrorrede compostaporfontesrenováveis degeração,armazenamentode energiaeestaçãodecarregamento rápidoparaveículoselétricosem umarodovia.Sãoapresentadas formasdeestimarageração dasfonteslocaiseasdemandas decarregamentodosveículos, bemcomoavaliadosospossíveis impactoselétricosdamicrorrede sobrearedeexistente.

gostemposderecarga[7].Poroutro lado,parapossibilitaradisseminação dessesveículosegarantirasegurançadosusuáriosemdeslocamentos demaiordistância,sãonecessárias estaçõesdecarregamentorápido (ECR),asquaisajudamareduzira ansiedadedosmotoristasefavorecem aadoçãodeVEBspormaispessoas. Emoutraspalavras,adisseminação doVEBtemcorrelaçãodiretacoma presençadepontosderecarga[8].

28 Eletromobilidade
FotoVolt - Julho - 2023
JoelsonLopesdaPaixão,AlzeniradaRosaAbaide,JordanPassinatoSausen eLeonardoNogueiraFontouradaSilva,da UFSM-UniversidadeFederaldeSantaMaria,RS CC7/Shutterstock

Esteartigopropõeoestudodos impactoscausadosaosistemaelétricodedistribuiçãopelainstalaçãode umaECRàsmargensdeumarodovia nosuldoBrasil.AlocalizaçãodaECR foibaseadaemvariáveissocioeconômicasetécnicas(rendamédia,fluxo deveículos,proximidadecomarede demédiatensão,disponibilidadede radiaçãosolaredevento,etc.)dadas emestudosanteriores[9,10].EstaECR estáconectadaàredeelétricalocal, comgeraçãodistribuídafotovoltaicae eólica,eaindaumsistemadearmazenamentodeenergia(SAE),compondo assimumamicrorrede.Ocarregador rápidopermiteduasrecargassimultâneas,umaemcorrentecontínua (50kW)eoutraemcorrentealternada (até43kVA,conformepermitaoVEB).

Ageraçãofotovoltaicaestálimitadaaotamanhodaáreadagaragem, quecomporta18módulosfotovoltaicos,totalizando9kWp.Nodimensionamentodageraçãoeólica,procurou-seequilibrar:custodosistema gerador,tamanhoeáreanecessária parainstalação,isençãodelicenciamentoambientaledisponibilidadede produtosnoportfólionacional[9,11].

Assim,oaerogeradorqueatendeuas condiçõesfoiummodelodefabricaçãonacionalcomalturadecuboinferiora30mepotênciade30kVA.

Osistemadearmazenamento(com capacidadedeenergiade200kWhe potêncianominalde50kW)foiplanejadoparareduzirademandadaECR, principalmentenocasoderecargas simultâneasduranteopicodecarga dosistema,egarantirpelomenos umarecargaemcasodefalhanarede elétricalocal.

Amicrorredeproposta,quetem seuesquemamostradonafigura1, podeapresentarfluxodepotência bidirecional,damicrorredeparaa redeedaredeparaamicrorrede, conformeindicadopelassetas[12].

Dentrodamicrorrede,osistemade armazenamentodeenergiaemba-

terias(SAEB)podesercarregadoe descarregadousandoaenergiageradaporsistemafotovoltaico(FV)eturbinaeólica(TE),bemcomousandoa energiadaredeelétrica.Atrocalocal deenergiamelhoraoaproveitamento dosgeradoresfotovoltaicoeeólicoe reduzadependênciaenergéticada microrredeemrelaçãoàredeexterna. Asfontesdegeraçãoeólicae/oufotovoltaicapodemalimentaroSAEB,a estaçãodecarregamentodeveículos elétricos(ECVE)ouaindainjetaro excedentedeenergiageradanarede elétricalocal[9].

Geraçãofotovoltaicaeeólica

Metodologia

Paraodesenvolvimentodoestudo foinecessáriorealizar amodelagemdarede elétricaexistentedadistribuidoralocaleados elementosquecompõem amicrorrede,bemcomo suadinâmicaemodelo deoperação.

Modelagem doalimentador

Aredeelétrica,seus componentesecargas sãomodeladoscombase emdadoshistóricose mediçõesdisponibilizadaspeladistribuidorade energia,conformemostradonafigura2.

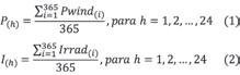
Depoisdedefinidoolocaldeinstalaçãodamicrorrede,como software Homer épossívelbuscarolocalem umbancodedadosmeteorológicoe, assim,estimarageraçãoeólicaefotovoltaicadeenergiaelétricapormeio daaplicaçãodesériessintéticas[13]. Como Homer,estima-seumperfil anualdegeraçãofotovoltaicaeeólica, pormeiodedadosdeirradiaçãoede velocidadedovento.Esteperfilde dadosanualtemresoluçãohorária,e éapartirdelequesãodesenvolvidos osmodeloselétricosdasgeraçõesfotovoltaicaeeólicaparasimulaçõeselétricasnosoftware OpenDSS.Apartir dessasériededadosanual,obtém-se amédiahoráriadageraçãoeólicaeda irradiaçãosolar.Assim,parahora=h, ageraçãoeólicaadotadaéamédia dos365dadosnaquelehorário,conformeaequação(1).Paraairradiação solarmédia,utiliza-seamesmalógica,conformeaequação(2): onde ����������(��) éovalordegeração eólicaparacadahoradodia; ����������(��) éovalordeirradiaçãosolarparacada

ArquivoMaster.dss

ModelodecircuitodoAL.dss

ModeloderedesdeBTeMT.dss

Modelodetransformadores.dss

ModelosdechavesdeBTeMT.dss

ModelosdascargasdeBTeMT.dss

ModelodecurvasdacargatípicasdeBTeMT.dss

Códigodecondutores.dss

Arquivodetensõesdebase.dss

Modelodereguladores.dss

Arquivocomasbarrasesuascoordenadas.dss

Namodelagemdos alimentadores,sãofeitas estratificaçõesdecargas, curvasdecargapormêse diasdasemana(diasúteis, sábado,domingo)

29 Eletromobilidade FotoVolt - Julho - 2023
TE FV ECVE SAEB
Redeelétricalocal
Microrrede
Definiçõesdosparâmetrosadotadosparaassimulações,como:mododesimulação, duração,medidores/monitores,elementosparavisualizaçãodosresultados, exportaçãodosresultados,etc. Fig.1– Layout damicrorrede Fig.2–Esquemademodelagemdaredeelétrica

horadodia;e ��(h)e ��(h)sãoageração eólicamédiaeairradiânciasolarmédias,respectivamente,paraahora(h). No OpenDSS,ageraçãoeólicaémodeladacomapotênciadoaerogerador,comoutrosparâmetroselétricos ecomacurvamédiadiáriadegeraçãoiguala ��(h).Nassimulações,para tornaroperfildegeraçãomaisrealista,paracadadiasimulado,apotência adotadaédadapelapotênciamédia horáriamais/menosumdesviopadrão,conformeaequação(3).Para irradiaçãosolar,omesmoraciocínio éadotado,conformeequação(4):

��(h) = ��(h) ± dvp (��(h)) (3)

��(h) = ��(h) ± dvp (��(h)) (4)

Essaabordagemfazcomqueas geraçõesassumamvaloresdiferentes,dentrodeumafaixadevariação possível,aproximandoosresultados simuladosdosreais.Nafigura3, ��(h) e ��(h) sãoexemplificadospelascurvas

emazul,comcurvasvariandodentro deumdesviopadrão,mostradasem vermelho.Emcadasimulação,osvaloresde ��(h) e ��(h) sãoalteradosafim decapturaradinâmicarealdasvariaçõesdoventoedairradiação.

Modelagemdosistema dearmazenamento

Odispositivodearmazenamento, nesteestudo,éutilizadoprincipalmenteparagarantirofuncionamento damicrorredeemcasodefalhana redeelétricalocal.Pelofatodese tratardeumpostoemumarodovia, ocarregamentodevesergarantido paraqueoVEBpossacontinuarsua jornadaatéopróximopontodecarregamento.Assim,oSAEBnunca étotalmentedescarregado,sendo mantidaumareservadeenergiapara garantirarecarga.Alémdisso,duranteaoperaçãonormaldamicrorrede, optou-seporutilizarodispositivode

armazenamentocomoum buffer contravariaçõesbruscasdecarga.Assim, oarmazenamentoatuanaredução depicosdecargaenivelamentode valesdecarga(designadoseminglês como loadpeakshaving e loadbottom leveling, respectivamente),reduzindo avariaçãodecargavistanopontode conexãopelaredeelétricalocal.

Modelagemoperacional daestaçãoderecarga

Acaracterizaçãodofuncionamentodaestaçãodecarregamentorápido éaquemaisesforçoexigeedemanda abordagemdetratamentoadequada. Nocarregamentoresidencialouem garagenspúblicas,ondeocorreamaior quantidadederecargasdeVEBs,já existeumpadrãotípicodecarregamento.Ouseja,arecargaresidencial costumasernoturnaecombaixapotência,comumenteabaixode11kW, enquantoarecargapúblicaévoltada paraoperíododiurno,quandoo VEBestáemdesusoepodeserrecarregado,ouaindaparticipardeestratégiasderecarga,comoporexemplo VeículoparaRede (V2G, VehicletoGrid), VeículoparaVeículo(V2V, Vehicleto Vehicle)ouVeículoparaEdifício(V2B, VehicletoBuilding)[4,14,15].Poroutrolado,ocarregamentoemrodovias

30 FotoVolt - Julho - 2023
Eletromobilidade
Geraçãoeólica–Pot.saída(kW) Irradiação(kWh/m 2 ) P(h) P(h)±dvp(P(h)) I(h) I(h)±dvp(I(h)) 16 14 12 10 8 6 4 2 0 0,8 0,7 0,6 0,5 0,4 0,3 0,2 0,1 0 -0,1 0510152025 0510152025 Horas Horas Fig.3–Geraçãoeólicaeirradiaçãosolar

secaracterizaporsermaisrápido, demandarmaiorespotênciasepela necessidadedeminimizarotempode esperaeoníveldeansiedadedousuário.Assim,considera-sequeomotoristaoptaráporrecarregarno menor tempopossíveleseguirviageme, portanto,assume-sequeoVEBserá recarregadoaté80%dacapacidadeda bateria,poisdaíparacimaapotência éreduzidaeotempodecarregamento aumentaconsideravelmente,atéatingiros100%.Alémdisso,existemincertezasassociadas,taiscomotempode conexão,estadodecarga(SoC,de state ofcharge)inicialdabateria,capacidade dabateria,duraçãodaconexão,etc. [4,5].Essasvariáveisafetamdiretamenteamodelagemdacurvadecarga diáriadocarregador.Assim,considerandoqueaentradadoVEBnomercadonacionalaindaérecenteenãohá históricodedadosparagerardiastípicosderecargasemrodovias,propõe-se ametodologiadescritaaseguir:

I) Estratificaraquantidadedetráfego deVEBsnopontodeinstalaçãoda microrredecombasenosdadosde volumemédiodiáriodetráfegode veículoslevesnaqueleponto,conformeaequação(5):

VEB��(��,��) = %VEB�� ��������������ℎ������ ������(��,��) (5)

onde VEB��(��,��) éototaldeVEBstrafegandonoperíodo(i–dia)naquele ponto(k–éarodoviaoupontoanalisado).%VEB�� ��������������ℎ������ éaporcentagemdeVEBsnaregiãodeestudoe ������(��,��) éovolumemédiodiário detráfegonoperíodo(i)eponto(k).

II) Comojáexistemveículosleves comcapacidadesdebateriaquevariamde40kWha100kWhoumais, paraevitarcombinaçõesemdemasia foramconsideradosVEBscombateria de50kWh.

III) ÉesperadoqueapenasosVEBs combaixoSoCtendamapararpara

recarregar.Assim, SoC(��) seráadotadocomooSoCdeentradana microrrede,umvaloraleatórioentre 20%e50%doSoCtotal.EsseslimitesindicamquemotoristascomSoC inferiora20%dificilmentecontinuariamdirigindosemreabastecer, devidoaoriscodeficarempelaestrada,enquantomotoristascomSoC superiora50%aindanãosepreocupariamemrecarregar,conformea equação(6):

SoC(��) = ��������������(0,2,0,5) SoC (����������) (6)

IV) Aduraçãodarecarga, ��(h), dependede SoC(��),dapotênciado carregadoredacapacidadedabateria doVEB,conformeaequação(7).Os VEBsirãopreferirarecargaemcorrentecontínuadevidoàvelocidade, entãoarecargaemcorrentealternada sóseráutilizadasejáhouverumVEB carregandoemc.c..

QuandojáhouverumVEBcarregandoemc.c.,opróximoVEBque chegarseráconectadoaocarregamentoemc.a..Apotênciac.a.adotadano algoritmodesimulaçãoseráumvalor aleatórioentre7,4,11,22ou43kW.

V) OtempodeconexãodosVEBs paracarregamentoéincertoaolongo dodia.Paracontornar esseproblema,comoa microrredeéinstalada próximoaumestabelecimentojáexistente, adotou-sequeachegada dosVEBsobedecerá ao padrãodelotaçãodo local,conformedadoscoletadospelo GoogleMaps Assim,adistribuiçãodas chegadasdeVEBsnamicrorredesegueaequação (5)com monitoramento dosindicadoresdelotaçãodoestabelecimento, comoilustraafigura4.

Horáriospopulares–Sábado

Asomadetodasasbarrasindica 100%daschegadasdeVEBsaolongo dodia,portantoparacadahoraexiste umaprobabilidadepercentualde chegadas,conformeaporcentagem dabarranaquelemomento.

Estudodesimulaçãoeanálise proposta

Paraaplicaçãodametodologia propostanoestudo,arotinadesimulaçãoéprogramadaemlinguagem Python,queacionao OpenDSS,viainterface COM.Assim,épossívelrodar diversoscenários,alterarinformações eexportararquivoscomosresultados detodososcenáriossimulados,conformemostraafigura5.

Comunicaçãobilateral

Ambientedeprogramação,definição derotinaspropostasnametodologia, comunicaçãoeativaçãodoOpenDSS

Motordesimulaçõeselétricas

Dadosexportados

Resultados,dadosde saídadassimulações, mediçõesedados monitorados,registros deeventos,relatórios,etc.

32 FotoVolt - Julho - 2023 Eletromobilidade
06:00–07:00 07:00–08:00 08:00–09:00 09:00–10:00 10:00–11:00 11:00–12:00 12:00–13:00 13:00–14:00 14:00–15:00 15:00–16:00 16:00–17:00 17:00–18:00 18:00–19:00 19:00–20:00 20:00–21:00
lFig.5–ComunicaçãoeinteroperabilidadeentrePythoneOpenDSS Fig.4–Ocupaçãohorária

Depoisdedefinidososmodelos paraoalimentadoreoscomponentes damicrorrede,émostradoaquicomo serãoofluxodesimulações,resultadoseanálisesaplicadas(figura6).

Estudodecaso ediscussões

componentedamicrorrede(TE,FV, ECVEeSAEB).Aenergiaeasperdas totaisnoalimentadorcomesema microrredetambémforamavaliadas (tabelaI).

DeacordocomosdadosdatabelaI, pode-sedizerqueaconexãodamicrorredenãocausanovosproblemasà redeelétricanemagravaproblemasjá existentes,comoovalormínimop.u. datensãoobservadanoalimentador. AtabelaIInosmostraalgunsresultadosmédiosdiáriosobservadosna microrredeenopontodeconexão.

INÍCIO

ESCOLHADONÚMERO DESIMULAÇÕES(365DIAS)

CARREGATODOSOSELEMENTOS ELEMENTOS DAMICRORREDE ALIMENTADOR

RODAOCONJUNTODESIMULAÇÕES SEGUINDOASREGRASPARA CADAELEMENTO

RESULTADOSOBTIDOS

ENERGIA EPERDAS

Otrabalhoaquirelatadofazparte deumprojetomaior,quevisadesenvolverumainfraestruturadecarregamentorápidoparaVEBscriandoum corredorelétricoqueconecteoBrasil eosdemaispaíses quecompõemo blocoeconômico doMercosul[9]. Oestudodecaso paraestetrabalho éaplicadonosul doBrasil,nomunicípiodeOsório (RS).Nafigura7 sãomostradoso alimentador(linhas vermelhas),arodoviaBR101(linha azul)ealocalizaçãodamicrorrede (representadapor umabombade postodegasolina). Aotodo, foramrodados365dias desimulação, seguindoa rotinadescrita nametodologia.Osmonitoresforam instalados nasaídada subestação, nopontode conexãoda microrredeà redeelétrica localeem cadaelemento

VARIAÇÕES DECARGA

Alimentadoremicrorrede

VARIAÇÕES DETENSÃO DADOSDOSELEMENTOS DAMICRORREDE

FotoVolt - Julho - 2023 34 Eletromobilidade
Legenda Microrrede RodoviaBR101 Fig.7–Alimentadorcommicrorrede(SAEB+TE+FV+ECVE) Fig.6–Rotinadesimulaçãoeaquisiçãodedados

Tab.I–Resultadoscomparativoscom/semmicrorrede

Emmédia,aenergiaabsorvidada redepelamicrorredeéde73,77kWh, enquantonamicrorredeaenergia médiaproduzida/consumidaéde 263kWh.Essesresultadosreforçama fortecaracterísticadeautossuficiência energéticaqueamicrorredepossui.

Emmédia,porfase,astensões nasaídadasubestaçãovariaramde 13,254kVa13,243kV.Nopontode conexãoentreamicrorredeearede elétrica,avariaçãoobservadafoientre217,14Ve218,14V.Nasaídada subestação,avariaçãodepotência solicitada,porfase,ficouentre617,4 kWe1537,72kW.Damesmaforma, nopontodeconexãodamicrorrede àrede,avariaçãodepotênciaficou entre-8,07kWe27,5kW.Essesvaloresindicamquehouvemomentosem queamicrorredegeroumaisenergia doqueoconsumolocal,injetando aenergiaexcedentenarede.Além disso,amaiorcargatrifásicaquea microrrederepresentouparaarede foide82,5kW,valorinferioràsoma deumarecargaemc.c.(50kW)com outrac.a.(43kW),simultâneas.Portanto,emnenhummomentoamicroredesecomportouapenascomouma carga,havendosempresuporteda

FotoVolt - Julho - 2023 35
Variáveis
microrrede Energiatotal(kWh) 7858078701,3 Perdastotais(kWh) 26392639,5 Perdas(%) 3,363,35 Tensãomáxima(p.u.)
Tensãomínima.(p.u.)
Potênciamáxima(kW) 41334154 Perdasmáximasnacarga(kW)
Tab.II – Mediçõesnaconexãodamicrorredecomarede Energiatotal(kWh) 73,773 Perdastotais(kWh) 0,022 Perdas(%) 0,030 Potênciamáxima(kW) 82,500 Energiamédiacirculantenamicrorrede(kWh) 263,332
Só alimentador Alimentador+
11
0,889680,88968
118118

PotênciamédiadesaídaTE(kW) 2,8

PotênciamédiadesaídaFV(kW) 0,7128

PotênciamédianaECVE(kW) 3,65

PotênciamédiadesaídanoSAEB(kW) 24,61 Percentualmédiodeenergiamantido armazenado(%) 90

PotênciamédiadeentradanoSAEB(kW) 33,01

geraçãodeTEeFVe/oudeenergia doSAEB.

Comoúltimosresultadosavaliados,atabelaIIIapresentaosvalores médiosdiáriosdegeração/consumodecadaelementoquecompõe amicrorrede.Valeressaltarquena configuraçãoadotada,oSAEBpermaneceu,emmédia,commaisde90% dacapacidadedearmazenamento deenergia.Portanto,háumamaior garantiadeabastecimentodamicroredeemcasodefalhanarede.

Conclusõesepesquisas futuras

Esteestudopropôsaimplantação deumamicrorredeservindocomo meioparaestimularaadoçãodeVEBs egarantirviagensintermunicipaismais longas.Emtermoselétricos,aintegra-

çãodamicrorredecomaredeelétrica existentenãoteveimpactosnegativos naoperaçãodarede,nemexigiumelhoriasouinvestimentos.Asgerações eólicaefotovoltaica,emconjuntocom oSAE,conseguemsuprirpraticamentetodaademandaderecargas.

Emtermosenergéticos,ossistemaseólicoefotovoltaicogeram,em média,240kWh/dia,oquegarante seisrecargasdiáriasde40kWhcom geraçãoprópriaelimpa.Emrelação aosimpactoselétricos,porenquanto, apenasaocorrênciaderecargassimultâneasnohoráriodepontatemse mostradonegativaparaosistemade distribuição,vistoqueageraçãoeólica médiaéde8,6kWenãohágeração fotovoltaicanesteperíodo.OSAEé capazdereduziracargadaECRpara oalimentador,porémaindapossui umaltocustodevidoaosbenefícios quetraz.

ComoopercentualdeVEBsno Brasilaindaépequeno,menosde 0,02%dafrotatotal,mesmoquehaja umcrescimentoexponencialdafrota nospróximosanos,comoobservado nossistemasfotovoltaicos,aECRpropostadevecontinuarsendocapazde atenderademandaderecargas.

Estudosfuturosdevemabordar metodologiasparaotimizaragestão

energéticadamicrorrede,bemcomo modelarestratégiasdeprecificaçãode recarga,deformaagarantiroretorno dosinvestimentosearentabilidade daoperação.Tambémsepretende aprimorarametodologiadesenvolvidaparaestimaraschegadasdeVEBs namicrorrede.

Agradecimentos – Osautoresagradecem oapoiotécnicoefinanceirodaCompanhiaEstadualdeEnergiaElétricaedo GrupoEquatorialdeEnergia(Programa deP&D daANEELatravésdoprojeto CEEE/Equatorial/UFSMnº5000004061), InstitutoNacionaldeCiênciaeTecnologiaemSistemasdeGeraçãoDistribuída (INCTGD),ConselhoNacionalde DesenvolvimentoCientíficoeTecnológico(CNPq-nº465640/2014-1),CoordenaçãodeAperfeiçoamentodePessoal deNívelSuperior(CAPES-nº23038. 000776/2017-54),FundaçãodeAmparo àPesquisadoEstadodoRioGrandedo Sul(FAPERGS-nº17/2551-0000517-1) eUniversidadeFederaldeSantaMaria (UFSM).

Referências

[1] IEAGlobalEVOutlook2020.IEA Publications,2020.

[2]EV-Volumes, EV-Volumes-TheElectricVehicle WorldSalesDatabase,TheElectricVehicle WorldSalesDatabase.2019.

36 FotoVolt - Julho - 2023 Eletromobilidade
Tab.III – Médiasdasvariáveisanalisadas – Valores médiosdiáriosporfase

[3]S.Deb,K.Tammi,K.Kalita,eP.Mahanta: Impactofelectricvehiclechargingstationloadon distributionnetwork,“Energies”,vol.11,nº1, pp.1–25,2018.

[4]H.S.S.S.Das,M.M.M.M.Rahman,S.Li, eC.W.W.W.Tan: Electricvehiclesstandards, charginginfrastructure,andimpactongrid integration:Atechnologicalreview. “Renew. Sustain.EnergyRev.”,vol.120,November 2019,pp.1–27,Mar.2020.

[5]M.Nour,J.P.Chaves-Ávila,G.Magdy,e Á.Sánchez-Miralles: Reviewofpositiveand negativeimpactsofelectricvehicleschargingon electricpowersystems,“Energies”,vol.13,nº 18,2020.

[6]V.F.Pires,A.Roque,D.M.Sousa,eE. Margato; ManagementofanElectricVehicle ChargingSystemSupportedbyRESandStorage Systems. inSPEEDAM2018-Proceedings: InternationalSymposiumonPower Electronics,ElectricalDrives,Automation andMotion,2018,pp.395–400.

[7]H.Shareef,M.M.Islam,eA.Mohamed: Areviewofthestage-of-the-artcharging technologies,placementmethodologies,and impactsofelectricvehicles,“Renew.Sustain. EnergyRev.”,vol.64,pp.403–420,2016.

[8]F.Noman,A.A.Alkahtani,V.Agelidis,K.

S.Tiong,G.Alkawsi,eJ.Ekanayake: Windenergy-poweredelectricvehiclechargingstations: Resourceavailabilitydataanalysis,“Appl.Sci.”, vol.10,nº16,2020.

[9]J.L.DaPaixão,A.R.Abaide,J.P.Sausen,L. N.Silva,eL.N.F.DaSilva; EVfastcharging microgridonhighways:Ahierarchicalanalysis forchoosingtheinstallationsite,56thInt.Univ. PowerEng.Conf.PoweringNetZeroEmiss. UPEC2021-Proc.,Aug.2021.

[10]J.L.daPaixão,A.R.Abaide,J.P.Sausen, eL.N.Silva: Critériosparaavaliaráreas elegíveisparaainstalaçãodemicrogeração eólica, in IBrazilianCongressofEngineering,2021,p.19.

[11]FEPAM:PortariaFEPAMnº118/2014,p. 4,2014.

[12]O.Elma: Adynamicchargingstrategywith hybridfastchargingstationforelectricvehicles, “Energy”,vol.202,p.117680,Jul.2020.

[13]V.A.GrahameK.G.T.Hollands: Amethod togeneratesynthetichourlysolarradiation globally,“Sol.Energy”,vol.44,nº6,pp. 333–341,Jan.1990.

[14]D.VanDerMeer,G.R.C.Mouli,G.M.E. Mouli,L.R.Elizondo,eP.Bauer: Energy ManagementSystemwithPVPowerForecast toOptimallyChargeEVsattheWorkplace,

R“IEEETrans.Ind.Informatics”,vol.14,nº 1,pp.311–320,2018.

[15]Q.Zhangetal.: Factorsinfluencingthe economicsofpubliccharginginfrastructures forEV–Areview,“Renew.Sustain.Energy Rev.”,vol.94,pp.500–509,Oct.2018.

TrabalhoapresentadonoCiredWorkshopon E-mobilityandPowerDistributionSystems(Cidade doPorto,Portugal),publicadoem FotoVolt sob autorizaçãodaCirededosautores

37 Eletromobilidade FotoVolt - Julho - 2023

Inversores parasistemas fotovoltaicos

40 FotoVolt - Julho - 2023 Empresa/Telefone/E-mail Importado/ País Entrada(c.c.) Saída(c.a.) CertificaçãoInmetro Potênciamáxima(kW) Tensãomáxima(V) Correntemáxima(A) FaixadetensãoSPMP(V) Númeroderastreadores Númerodeconexõesparastring Monofásica Trifásica Potêncianominal(kW) Potênciaaparentemáxima(kVA) Correntemáxima(A) Tensãonominal(V) Rendimento(%) Distorçãoharmônica(DHT)(%) Adelco (11)4199-7500 condenergia@adelco.com.br 8003602.00010%2 •• 8008001.30036090≤5 • CorSolar (11)99453-3555 luis.silva@cyberbp.com Solis/China11,960014 100a 500 3 •• 77,733,722098,1≤3,0 • Elgin (11)3383-5555 energia.solar@elgin.com.br 3,9a 312 550a 1.500 13a 26 70a 1.300 1a 12 1a 24 •• 3a208 3,3a 250 15a80 220a 800 97,5a 98,48 <3 • FoxEss (11)96582-1052 robson.meira@fox-ess.com 3a 110 120a 1.100 11a 32 50a 1.000 1a 10 1a20 •• 3a110 3,3a 121 14,3a 175,3 44098,6<3 • Fronius (11)3563-3800 vendas.solar@fronius.com 3a 100 80a 1.000 18a 250 850322 • 3a100 3.000a 1.000 13a 150 220a 380 98<2,0 • Growatt (44)3122-3636 br.service@growatt.com 1a 253 500a 1.000 30 500a 1.500 1a 15 1a2 •• 1a2531a253 4,8a 182,6 220a 800 97,4a 99 <3 • Guardian (21)97337-8501 vendas@guardian.ind.br 70432200 •• 6480210 220a 380 963
Asprincipaiscaracterísticasde inversoresofertadosnomercado brasileirosãorelacionadasneste levantamento,comodadosde entrada(potência,tensãoecorrente máximas,faixadetensãode SPMPenúmeroderastreadores,e númerodeconexõesporstring)e desaída(monofásicooutrifásico, potências,correntes,rendimento, etc.).Asempresasfornecedorasestão listadasemordemalfabéticacom seusdadosdecontato.
Guia
DaRedaçãode FotoVolt
BuidingaFullyConnected,Inteligentworld SoluçõesFotovoltaicasInteligentes Paraumacasaquesemprebrilha. SegurançaIEficiênciaITecnologia VenhanosvisitarnaIntersolar2023 EstandeG6.11-pavilhãoverde-SP

Obs.: Osdadosconstantesdesteguiaforamfornecidospelasprópriasempresasquedeleparticipam,deumtotalde82empresaspesquisadas.

Esteemuitosoutrosguiasestãodisponíveis on-line,paraconsulta.Acesse www.arandanet.com.br/revista/fv econfira. Tambémépossívelincluirasuaempresanaversãoon-linedetodosestesguias.Bastapreencheroformulárioemwww.arandanet.com.br/revista/fotovolt/guia/inserir/

42 Guia FotoVolt - Julho - 2023
Entrada(c.c.) Saída(c.a.) CertificaçãoInmetro Potênciamáxima(kW) Tensãomáxima(V) Correntemáxima(A) FaixadetensãoSPMP(V) Númeroderastreadores Númerodeconexõesparastring Monofásica Trifásica Potêncianominal(kW) Potênciaaparentemáxima(kVA) Correntemáxima(A) Tensãonominal(V) Rendimento(%) Distorçãoharmônica(DHT)(%) Hopewind (11)98123-0890 alex.hsu@hopewindelectric.com 3a 250 55a 1.500 13a 60 55a 550 1a 12 1a 24 •• 3a250 3,75a 250 25a 178,6 220a 800 98,4a 99,03 <3 • Hoymiles www.hoymiles.com leo.zhu@hoymiles.com 2656416a6041 • 229,0922096,5 <3 Huawei (11)99208-3206 digitalpower.latam@huawei.com 84,5×61.50065 500a 1.500 628 • 300330238,280099 1 Ingeteam (19)3037-3773 jose.nardi@ingeteam.com 4.8166903.965 979a 1.300 1 até 24 • 3.8243.8243.20069098,9 <3 JFA (31)98389-5799 mkt@jfaeletronicos.com 3,606080 • 331322090 <3 Livoltek (11)93338-1338 suportebr@livoltek.com 1,6a 250 550a 1.500 14a 30 50a 1.500 1a 12 1a 24 •• 1.600a 250 1.760a 250 7,7a 180,4 220e 380 99,01 <3 • SAJ (15)99716-1707 info@saj-electric.com 0,7a 125 40a 1.100 15a 32 40a 1.000 até 12 até 24 •• 0,7a 125 0,77a 125 3,1a 180,4 180a 485 97,2a 98,8 3 • SerranaSolar (54)3039-9999 serrana@serranaenergia.com.br 2,4a 115 60a 1,100 16a 32 30a 1.000 1a 9 1a 3 •• 2a 100 2a 100 9,5a 158,8 127a 380 98,8<3 • SMA (19)99799-3087 henrique.almeida@sma.de •• 3a 4.600 3a 4.600 • Sofar (11)99953-0330 juliana.real@sofarsolar.com 1,6a 350 70a 1.500 11a 60 50a 1.500 1a 12 1a 32 •• 1,6a 350 1,6a 350 7,7a 252,6 180a 920 98a 99,3 <3 • SolaXPower (34)99667-0319 gilberto.camargos@solaxpower.com 0,6a 150 450a 1.100 16a 32 180a 1.000 12 até 24 •• 0,6a 150 165190 220e 540 97a 99 <3 • Solis (19)99961-8003 sales@ginlong.com 2a 255 600a 1.500 14a 30 80a 1.500 1a 14 1a 28 •• 2a 255 2,2a 255 10,5a 184 220a 800 97,1a 99 <3 • Solplanet (11)3141-3669 abel.cl@solplanet.net 4,5a 165 600a 1.100 16a 40 60a 1.000 2a 10 1a 20 •• 3a 110 3,3a 121 15a 174,7 127a 380 97,5a 99 <3 • Soprano (54)99106-6191 marlonvieira.contato@gmail.com 3a 150 600a 1.000 14a 50 80a 1.000 2a92 •• 3a 100 3a 110 15,7a 167,1 220a 380 98,1≤3 • Technomaster (51)3589-1894 technomaster@technomaster.com.br 30250166 •• 2430150 127a 380 >80>3,5 • WEG (47)3276-4000 automacao@weg.net 30 480a 1.000 22 480a 800 24 • 2020,6 26,2a 30,4 380a 480 98 <3
Empresa/Telefone/E-mail Importado/ País
Fonte:RevistaFotovolt,julhode2023

Poraquipassao futurodaenergia limpanoBrasil

Afontesolarfotovoltaicasegueem aceleradaexpansãonoPaísmas aindaenfrentadesa osemrelação amãodeobra,cadeiaprodutivae outros.Intimamenterelacionadosà solarFVnatransiçãoenergética,os temasarmazenamentodeenergia, eletromobilidadeeinfraestrutura elétricatambémdemandamações paradesenvolverseugrandepotencial.

Etodosestarãoreunidossobreo grandehubdeinovaçãoemenergia emSãoPaulo,emagosto.

Ageraçãosolar fotovoltaicajá soma30,6GW emoperação,oque representa14,3%da matrizelétricabrasileira.Ocupando asegundaposição, atrásapenasdas hidrelétricas,afonteacumuladesde 2012maisde151,7 bilhõeseminvestimentos,918,4milhõesdenovos empregosemaisdeR$44,5bilhões emarrecadaçãodetributos.Ageraçãodistribuídarespondepela maiorpartedapotênciainstalada (69%),comaproximadamente21,2 GW.Jáageraçãodegrandeporte soma9,4GW,comexcelentesperspectivasdeevolução deacordo comdadosdaAneel-AgênciaNacionaldeEnergiaElétricaedaAbsolar-AssociaçãoBrasileiradeEnergia SolarFotovoltaica,afontetemhoje 119,4GWdeprojetosoutorgados,que

Nessecenáriofavorável,serárealizadade29a31deagosto,noExpo

CenterNorte,emSãoPaulo, SP,a IntersolarSouthAmerica, amais importantefeiraecongressoparaosegmentosolar daAméricadoSulecarro-chefedo ThesmarterESouthAmerica,umgrande hub deinovação queabarca,alémdaIntersolar, feirasecongressosdearmazenamento de energiaede infraestrutura einstalações elétricas,além deumamostra especialsobre eletromobilidade.

Acompanhandoocrescimentoexponencialdo setor,o evento,que completa 10anos, tambémapresentaevoluçãoacada edição:ospavilhõesdeexposições doExpoCenterNorte,quenoano

44 ThesmarterESouthAmerica
equivalemacercadeR$550bilhõesem investimentos.
FotoVolt - Julho - 2023
JuceleReis,daRedaçãode FotoVolt

passadoabrigaram380expositores, devemrecebermaisde500empresas em2023.Sãoesperadosmaisde50mil visitantes,entreinstaladores,integradores,distribuidores,construtores, empreiteiros,arquitetos,fabricantes, fornecedores,investidores,profissionaisdeserviçospúblicos,autoridades elegisladores.OTSESA- Thesmarter ESouthAmerica épromovidoeorganizadopelaSolarPromotionInternationalGmbH,FreiburgManagement andMarketingInternationalGmbH, ambasdaAlemanha,epelaAranda Eventos&CongressosLtda.,domesmogrupoquepublica FotoVolt

Abrangendotodaacadeiaprodutivasolarfotovoltaicaetecnologiastermossolares,afeiraIntersolarreunirá desdefabricantesedistribuidoresde célulasemódulosFVasistemas,componentes,rastreadoreseaplicações, distribuidoresdeequipamentose materiaisFV,prestadoresdeserviços, integradorasdesistemas,institutosde pesquisa,etc.O ThesmarterESouth America congregatambémasmostras eesSouthAmerica,debateriasesistemasdearmazenamentodeenergia, a Eletrotec+EM PowerSouthAmerica, deinstalaçõeselétricas,infraestrutura deenergiaegestãoenergética(ambas também,aexemplodaIntersolar,com seuscongressosespecializados),além da Power2Drive,exposiçãoespecial da ees dedicadaasoluçõesmóveisde armazenamentodeenergia,veículos elétricoseinfraestruturadecarregamento.

Congressos

O ThesmarterESouthAmerica congrega,portanto,trêscongressos realizadosparalelamente.Àfrente deles,o IntersolarSouthAmerica contarácomespecialistasrenomadospara abordagemedebatedetendências tecnológicas,questõesinstitucionaise evoluçãodomercado,bemcomodas novidadesemmodelosdenegóciose

soluções.Nessecongresso,logoapós acerimôniadeaberturaondeautoridadeseespecialistasapresentarão umpanoramadaenergiasolar,painéisvãoabordaroperfileasperspectivasdosetorelétricobrasileiro,para qualprojeta-seesteanoaadiçãode 10GWdeenergiasolarfotovoltaica, comexpectativade,emtornode20 anos,afontetornar-seaprincipalda matrizelétricabrasileira.No ranking globaldeaumentodecapacidade instalada,oBrasilfigurouemquarto lugarem2022,comacréscimode 9,9GW.Jáempotênciaacumulada, passouda13ªposição,em2021,para aoitava,em2022,somando24GWde capacidadeinstalada;eaperspectiva édequeatéoiníciode2024oPaís possasubirmaisduasposiçõesnessa classificação.

Umdostemasdedestaquenocongressodesteanoéodéficitdemãode obradosetorfotovoltaicobrasileiro, queseapresentacomoumdosprincipaisentravesparaocrescimentoda geraçãosolarnoPaís.Acapacitação depessoalnãotemacompanhadoa velocidadedecrescimentodafonte FV.AinserçãodestetópiconaprogramaçãodaIntersolartemoobjetivodetrazerespecialistasemensino ediscutiraviabilidadedaexpansão darededecapacitação,oqueébastanteimportanteparaaevoluçãodo setor.Outroaspectoéodespreparo degrandepartedamãodeobrahoje empregadanasinstalações,quefiguraentreosfatoresquepodemcausar defeitosetambémdarorigemaincêndiosemgeradoresfotovoltaicos. Oassunto,inclusive,foitratadono artigo“Proteçãocontraincêndiosem geradoresfotovoltaicos”,publicado esteanonaediçãonº54de FotoVolt, deautoriadeCelsoMendeseLeandroMichels,quesalientaaindaque oConaci–ComitêNacionaldeCombateaIncêndiosolicitouàsinstâncias governamentaisenormativas,bem comoàsentidadesrepresentativas

dosetor,umesforçoparaelaborar normaseregulamentaçõesexigindo ainclusãodedispositivosadicionaisdeproteçãocontraincêndioem edificaçõescomgeradoressolares,e paraimplementarousodemateriais adequadosedeprocedimentosde comissionamentoeinspeção,seja parareduzironúmerodesseseventos,sejaparamitigarosníveisde riscosparaaspessoas.Opedidoimpulsionouacriação,nofimde2022, noâmbitodoComitêBrasileirode SegurançacontraIncêndiodaABNT (CB-024),dacomissãodeestudode segurançacontraincêndioparasistemasdeenergiasolarfotovoltaica (CE:024:102.007),comafinalidade deconcebernormastécnicaspara segurançacontrafogoemgeradores fotovoltaicos.

Emfunçãodaimportânciadesses temas,questõesrelacionadasanormas,capacitaçãoesegurançatambém deverãoserabordadasnasessão “Melhorespráticas:qualidade,segurança,treinamentoenormas”.Vale destacarqueaABNT-Associação BrasileiradeNormasTécnicascriou umacomissãodeestudoespecial,a ABNT/CEE-253,paracoordenara elaboraçãodenormastécnicaspara todoosetordeenergiasolarnoBrasil, emproldaqualidade,desempenho esegurançadeprodutoseserviços. Acomissãoabrangeráanormalizaçãodasetapasdeprojeto,instalação, inspeçãoemanutençãodesistemas fotovoltaicos,comescopotantoem geraçãosolardistribuídacomocentralizada,bemcomodeaquecimento térmico.

Umadasnovidadesdocongresso éainclusãodostemas“Transição energética”e“ESG”,quecadavez maisinfluenciamobalançodasempresas.Pesquisasapontamqueas companhiasqueadotamboaspráticasambientais,sociaisedegovernançaatingemmaiorlucratividade evalordemercadoalongoprazo.Já

46 FotoVolt - Julho - 2023 ThesmarterESouthAmerica

entreastendências,umdosfocossão asinstalaçõesagrivoltaicas,assunto que,alémdepresentenogrande congressodeagosto,tambémvaiser abordadonaediçãoregional Intersolar SummitBrasilSul,agendadapara7e 8denovembro,emPortoAlegre,RS. Ummapeamentoda fintech MeuFinanciamentoSolar,feitocombaseem dadosoficiaisdaAneeledaAbsolar, indicaqueoPaíspossuiatualmente quase170milconexõesdesistemas solaresnocampo,numtotalde3,1 GWdepotênciainstalada,querepresentam14%dageraçãodistribuída. Apesquisaapontaaindaqueosinvestimentosemgeraçãoprópriade energiasolarnaspropriedadesrurais somamcercadeR$15,5bilhõesno País,commaisde200milconsumidoresdoagronegócio.Alémdeser utilizada,porexemplo,nobombeamentoenairrigaçãodeágua,na refrigeraçãodecarnes,leiteeoutros produtos,naregulaçãodetemperaturaparaaproduçãodeaves,nailuminação,emcercaselétricas,sistemas detelecomunicação,monitoramento dapropriedaderural,asinstalações solarespodemfavorecerocultivo, provendosombreamentoparaplantaçõeseanimais,quandoinstaladas sobreosolo.

Eopainelquevaidiscutirsistemas agrivoltaicostambémvaitratarde usinassolaresfotovoltaicasflutuantes,outramodalidadequetendea evoluirnoPaís.Oaproveitamentodo espaçodosreservatóriosdehidrelétricasetambémdassubestaçõeselinhas detransmissãoqueescoamaenergia porelasgeradaconfiguramvantagens paraestetipodegeraçãosolar,que tambémencontravastocampode aplicaçãonosinúmerosoutroslagos artificiaisenaturaispeloPaís.

Dadaaimportânciadageraçãodistribuída,quetemsidoumdosmaioresimpulsionadoresdaenergiasolar nomercadobrasileiro,respondendo pormaisde69%dapotênciasolarFV

instalada,ocongressovaicontarcom diversassessõesdedicadasaotema, aexemplodecomo“FazendonegóciosnageraçãodistribuídasolarFV”, “Experiênciasdesucessodegeração distribuídasolarFV”e“Regulamentaçãoeperspectivasdemercadopara ageraçãodistribuídasolarFV”.As apresentaçõessobreaLei14.300têm oobjetivodeoferecerumavisãodas perspectivasedainfluênciadeseus dispositivossobospontosdevista regulatório,demercadoedoretorno sobreosinvestimentos.

Outrotemadedestaqueéohidrogênioverdeesuasinergiacomafontesolar,hajavistaqueocombustível deveimpulsionarprojetosdegeração fotovoltaica.Oassuntotambémserá amplamentedebatidonospainéisdo congresso ees (vejaadiante“armazenamentoehidrogênio”).

ApautadocongressoIntersolar incluiaindadebatessobreenergia solarFVnomercadolivredeenergia, principais drivers eobstáculosdageraçãocentralizada,melhorespráticas desistemashíbridosdelargaescala eusinassolaresFV,alémdeautoprodução(grandesconsumidoresque utilizamafontesolaremsuasplantas)eareindustrializaçãonaAmérica doSul,gerandooportunidadespara acadeiadesuprimentos.

Armazenamentoehidrogênio –Dadosapontamqueomercadoglobal dearmazenamentodeenergiadeverá atingir1028GWhaté2030,oferecendooportunidadesdeinvestimentossuperioresaUS$260bilhões.Jáo incentivoàcadeiadevalordohidrogênioverdepodeatrairUS$200bilhõesaoBrasilnospróximos20anos, deacordocomaAbsolar.Emfunção dasperspectivasfavoráveisdessas tecnologiasesuasinergiacomageraçãosolarfotovoltaica,asessãode aberturadaconferência ees-energy storagesystem vaitratardopapeldo armazenamentoedohidrogêniopara

FotoVolt - Julho - 2023 48
ThesmarterESouthAmerica

amodernizaçãodosetorelétrico, abordandoaspectosestratégicose tambémrevisandoo status doamparo regulatório. [Osdesafioseasoportunidadesparaaevoluçãodessastecnologias tambémforam temasdedestaquedaediçãoregionaldoIntersolarSummitBrasil Nordeste,realizadaemabrilnacidadede Fortaleza,CE(vejamatérianaediçãonº 58de FotoVolt,dejunhopassado)]

Aimportânciadoarmazenamentoemlargaescalaparaatransição energéticaeaestabilidadedosistemaelétrico,reservadecapacidadee fornecimentodeserviçosauxiliares sãooutrostemasdedestaque.Com ocrescimentodageraçãodefontes intermitentes,oarmazenamentode energiatorna-secadavezmaisimportanteparaproporcionaraestabilidade daredeeaflexibilidadenecessária paraumatransiçãoenergéticadebaixocarbono.

Outroassuntorelevante,presente naprogramaçãodocongresso ees,é opapeldoarmazenamentoparaa descarbonizaçãodesistemasisolados, hajavistaquemaisde80%daeletricidadenessaslocalidadeségeradaa partirdecombustíveisfósseis.Opainel respectivoenfocaráaimportância doarmazenamentocomofacilitador da descarbonizaçãodageraçãode energia foradarede,tantonaregião amazônicaquantoemoutroslocais remotos.

Inovaçõestecnológicastambém estãonoradar,umavezqueocrescimentodoarmazenamentodeenergia elétricadependedadisponibilidade dedispositivosdebaixocusto,assim comoopapeleaviabilidadeeconômicadatecnologiaparaconsumidores individuaisecomofacilitadoraparaa mobilidadeelétrica.

Quantoaohidrogênioverde,os debatesincluirãofundamentoseconômicosparaocombustívelnatransição energéticaglobal,bemcomoasprincipaisaplicaçõesnomercadonacional. Porfim,asessão“Industrializaçãovs.

FotoVolt - Julho - 2023 49

Interdependênciaglobal–opapelda indústrianacionalparaoarmazenamentoeohidrogênioverde”examinaráaspolíticasindustriaisbrasileiraseasiniciativasdeproduçãolocal nocontextodosdesenvolvimentos globais.Oobjetivoéidentificarcomo essasatividadespodemcontribuir paraumfornecimentonacionalcompetitivodecomponentesesistemas solaresfotovoltaicosedearmazenamentodeenergia.

Instalaçõeselétricasegestãode energia –Alémdafeira Eletrotec+EM PowerSouthAmerica,quevaidestacar tecnologiasdedistribuição,serviços esoluçõesdegestãodeenergiaem pequena,médiaelargaescala,será realizadoocongresso Eletrotec+EM Power 2023, compalestraseapresentaçãodetrabalhostécnicossobre instalaçõeselétricas,inclusivefotovoltaicas,egestãodeenergia.Os painéis doprimeirodiatrarãouma visãopanorâmicadeimportantes normastécnicasdaABNT,compalestrasministradasporespecialistas integrantesdascomissõesresponsáveispelanovanormaNBR5410, queestáprestesairaconsultanacional,pelafuturanormasobre arcoselétricos,epelarevisãodas normasdeinstalaçõesfotovoltaicas edeproteçãocontradescargasatmosféricas.

Jáosdoisdiasseguintesserão dedicadosaumaricaprogramação técnicacomapresentaçãode14trabalhosrelatandopesquisas,projetos eestudosdecasosnasáreasdeproteçãocontradescargasatmosféricas, instalaçõesfotovoltaicaseinstalações elétricasdemédiaedebaixatensão.

Oparticipanteteráaoportunidade deassistirapresentaçõessobretensões,correnteseenergiadasdescargasatmosféricas;efeitosdosraios sobrelinhasdevida;motoreselétricos,comandoseacionamentos;carregamentoeproteçãocontrasobre-

cargasdetransformadoresaseco; roteiropararevisãoenergéticaem plantaindustrial;microrredecom recargadeveículoselétricos,geração solarearmazenamentodeenergia; riscoselétricosemambientesresidenciaisecomerciais;inteligênciapredialerealidadeaumentadanaengenharia;eanovanormaABNTNBR 17018,deinstalaçõeselétricasemcanteirosdeobras.Emconexãocomum dosprincipaistemasdocongresso Intersolar acapacitaçãodamãode obra ,o Eletrotec abordaráaindaos incêndiosemsistemasfotovoltaicos ocasionadosporvíciosdeprojetoe execução,alémdostrabalhossobre projetodosistemadeaterramentoe otimizaçãodoprojetodemalhade terradeusinasgeradorasfotovoltaicas,eaindasobrecorrosãodeestruturasecomponentesmetálicosnessas usinas,emfunçãodaaplicaçãode herbicidas.

Agradedocongresso Eletrotec-EM Power incluiaindaminicursossobre diversostemasatuaisefundamentais paraosprofissionaisdaárea:conceitoseaplicaçõesdeinstalaçõesde carregadoresdeveículoselétricos; especificaçãodedispositivodeproteçãocontrasurtos;instalaçõeselétricasemcanteirodeobras;gestãodo empreendimentoeminigeração para garantirGDI(“WarRoomMiniGD”); projetodeaterramentodeusinafotovoltaica;einspeçãoecomissionamentodeinstalaçõeselétricasBT.

Asgradescompletasdetodosos congressosestãodisponíveisnosite do eventowww.thesmartere.com.br.

FeiraThesmarterE

Alémdosestandesdasempresas expositoras,ondemarcasglobaise destacadasempresaslocaisapresentarãosuasmaisnovastecnologias, produtos,soluçõeseserviços,no recintodafeiraserãorealizadosfórunse workshops.Nostrêsdiasdo

FotoVolt - Julho - 2023 50
ThesmarterESouthAmerica

evento,“PalcodeInovaçõeseAplicaçõesIntersolar”vaiofereceruma programaçãoemqueapoiadores, patrocinadoreseexpositoresdemonstrarãováriosaspectosdosetorde energiarenovável.Estãoprevistos aquitambémminicursos,entreeles “Lei14.300:comodobrarapotência instaladasempagardemandaadicional”e“ProteçõeselétricascomDPS efusíveisemsistemasfotovoltaicos”. Eaindao“FórumElasConectam”, organizadopelaRedeBrasileirade EnergiaSolar(RedeMesol),parapromoveraigualdadedegêneronosetor deenergiasolar.

Entreossegmentosemexposição nafeira,estão:

IntersolarSouthAmerica

-Célulasemódulossolares

-ComponentesPV

-SistemasdemontagemFV,acessóriosdeinstalação

-SistemasderastreamentoFV

-TecnologiasdeproduçãoFV

-Tecnologiastermossolares

-Usinasdeenergiasolar

Eletrotec+EM-Power

SouthAmerica

-Projetodeestaçõesesistemas

-Gestãodeenergia/Automação predial

-Softwaredeprojetoegestãodeedifícioseinstalações

-Serviçosdeenergia

-Engenhariaelétrica:componentese serviços

eesSouthAmerica

-Tecnologiasdearmazenamentode energia

-Componenteseequipamentopara sistemasdearmazenamentodeenergia

-Tecnologiasdeproduçãodebaterias

-Construçãodeestaçõesemáquinas

-Sistemasdearmazenamentode energia

- Mobilidadeelétrica –A eesSouth America serácomplementadacoma mostraespecial Power2Drive,que enfocarásoluçõesmóveisdearmazenamentodeenergia,veículoselétricosetecnologiasparaainfraestrutura decarregamento.

Serviço

TheSmarterESouthAmerica2023

Data: 29-31deagostode2023

Local: ExpoCenterNorte-SãoPaulo(SP)

Informações: www.ThesmarterE.com.br

Afeira funcionará de12haté20h. Arelaçãodeexpositoresestádisponívelemhttps://www.thesmartere. com.br/relacao-de-expositoras.

51 ThesmarterESouthAmerica FotoVolt - Julho - 2023

Armazenamento deenergiapara geradoresFV conectadosà rede – ParteII

Osrequisitosparainstalaçãoeensaiosde sistemasestacionáriosdearmazenamento deenergiaforamatualizadosnaAlemanha em2021comaregradeaplicaçãoVDE-AR-E 2510-2.Naprimeirapartedesteartigo, publicadanaediçãoanterior,foram descritososcomponentesdosistemaea interfacecomarede.Aqui,sãodiscutidasas medidasdeproteção,eumaabordagemdo aterramentoemcasodeoperaçãoisolada darede.Otextopermiteumacomparação entreasnormasVDEeABNT.

Aseção6daregradeaplicação

VDE-AR-E2510-2[4]especifica requisitosadicionaisparaainstalaçãoelétricacomrelaçãoàproteção contrachoqueelétricoeàproteção contrasobrecorrente.Nocontextodessedocumento[4],ossistemasdearmazenamentodeenergia(SAE)devem serconsideradoscomotiposespeciais deinstalação,deacordocomogrupo 700danormaDINVDE0100[2].Para aoperaçãoseguradosistemadocliente,asmedidasdeproteçãodevemser eficazestantonomododeoperação emparalelocomaredequantoem operaçãoisolada.Devidoàoperação bidirecional(carga/descarga)nesses doismodos,osseguintesestadosoperacionaisdevemserconsideradosna instalaçãodocliente:

•carregamentodoSAEemparalelo comarede;

•descargadoSAEemparalelocom arede;

•carregamentodoSAEnomodoisolado;e

•descargadoSAEnomodoisolado.

Operaçãoemparalelo comarede

Proteçãocontrafaltas -Doponto devistadaproteçãocontrafaltasna operaçãoemparalelocomarede,um SAEdeveserconsideradocomoum consumidorestacionário.Umafalta àmassanosistemadearmazenamentoéalimentadapelaredepública,de modoqueascondiçõesdedesligamentodosesquemasTNeTTsãoatendidas.Comoadventodaregradeaplicação[5]em2019,ocondutorPENno esquemaTNdeveserdivididoem condutorneutroecondutordeproteçãonoprimeiropontopossíveldepois queocabodealimentaçãoprincipal adentraumaedificação.Aseparação doscondutoresformandoumesquema TN-C-S,comocondutorPENconectadoaobarramentodeaterramento principal,énormalmenterealizadano quadrogeraldedistribuição,demaneiraqueeminstalaçõesnovasouampliadascomaadiçãodeumSAEnãohaja condutoresPENdistribuídosnointerior daedificação.

Aproteçãocontrachoqueéasseguradapelo desligamentoautomático daalimentação,deacordocoma DINVDE0100-410[19].UmSAE compactoéumequipamentodestinadoadeterminadasaplicações, paraserconectadoedesconectado aumcircuitoalimentador,eque nãoultrapassanomododecarregamentoedescargaumacorrentede operaçãode32A.Deacordocom estadefiniçãoeconsoanteanorma [20],trata-se,naoperaçãoemparalelocomarede,deumcircuito terminal.Portanto,paraproteção contrafaltasnumsistemaconectado àrede(230/400V),otempomáximodedesligamentonãopodeultrapassar0,4semesquemasTN e0,2semesquemasTT.Emprincípio,ésuficienteaproteçãopor minidisjuntoresemesquemasTN. JáemesquemasTT,devidoaoelevadovalordeimpedânciadolaço defalta,torna-senecessárioutilizar dispositivosdeproteçãoacorrente diferencial-residual.

52 Solarcombaterias
FotoVolt - Julho - 2023
MarkFengel,engenheiroconsultor,Karlsruhe(Alemanha)

Proteçãocontrasobrecorrenteem operaçãoparalelaàrede –Circuitos ligadosaSAEemparalelocomarede devemserprovidosdeproteçãocontrasobrecorrente,quedeveserselecionadaecoordenadaconformeanorma [21].Emcontrastecomumainstalação consumidorapura,ouumainstalação geradorapura,acorrentedeoperação deumSAEfluiemdoissentidos.A únicadiferençaéosentidodofluxo de corrente.Enquantoinstalaçõesconsumidorastradicionaiseinstalaçõesgeradorasconectadasàredesóconhecem umsentidodecorrente,oSAEdeve serconsideradoconsumidordurante oprocessodecarregamento,egerador conectadoàrededuranteoprocessode descarga.Oscabosdevemserdimensionadosconformeascorrentesdeoperaçãoprevistaseomododeinstalação [22].Emsistemasdearmazenamento deenergiafixosconectadosàrede,em perfeitascondiçõesecorretodimensionamentodoscabos,nãodevemser esperadascorrentesdesobrecarga.

Jáascorrentesdecurto-circuito fluementrecondutoresvivosouentre esteseaterra,emfunçãodefalhas deisolação.Emoperaçãoconectada àrede,opontodefalhadaisolaçãoé predominantementealimentadopela rede,detalformaqueaintensidade da correntedecurto-circuitoésuficienteparaasseguraraatuação dodispositivodeproteçãocontra curto-circuito.Portanto,nomodo deoperaçãoconectadoàrede,a proteçãocontracurto-circuitodo SAEdeveserconsideradacomo paraumainstalação consumidora. Umdispositivodeproteçãode acordocomanormaDINVDE 0100-430[21]deveserinstaladona alimentaçãodoscircuitos doSAE aserprotegidos.

Operaçãoisolada

Nomododeoperaçãoisolada,a instalaçãodoclienteestáseparada

daredepública.Nestacondição,a alimentaçãodainstalaçãodoclienteé disponibilizadanoinversordoSAE, ounosterminaisdeconexãodoSAE. Istosignificaqueamedidadeproteçãocontrachoqueprecisaestarativa tambémemoperaçãoisolada.Caso contrário,devemserencontradasmedidassubstitutivas.Emcasodefalta àmassaoudecurto-circuito,oponto defaltaéalimentadopeloinversordo SAE.Istoimplicaque,emoperação isolada,oinversordevesupriranecessáriacorrentedecurto-circuitoe olaçodefaltadeveestarfechado.

Operaçãoemparalelocomarede emesquemasTNeTTqueoperam drenandoenergiasimultaneamente doSAEedaredepúblicacaracteriza sistemascommúltiplasfontesde alimentação.Emoperaçãoparalela comarede,osistemadegeraçãoestá conectadocomainfraestruturade aterramentopormeiodeumponto deaterramentocentral.

Proteçãocontrafaltasemoperação isolada – Nestacondição,acorrente decurto-circuitodoinversorélimitada,deformaqueostemposdeatuaçãoadmissíveisdosdispositivosde proteçãodeacordocomanorma[20] nãoestãoassegurados.Alternativa-

mente,podeseradotadoocritériodo AnexoDdanorma[19];peranteuma faltaàmassadoladodoconsumidor, oinversordevereduziratensãode saídaaumvalorinferiora50Vca dentrodotemponormalizado,edesligaremnomáximo5s.Contudo,em vista derigorososrequisitosdedisponibilidade,estaalternativarepresenta umadesvantagem,jáqueafontede geraçãoéinteiramentedesligadaenão apenasocircuitoafetadopelafalta. Épreferível,portanto,realizaraproteçãocontrafaltasdestetipomediante dispositivosacorrentediferencialresidual.Eminstalaçõesexistentes deveserverificadaapossibilidadede adaptarestaproteção(figura4).

Operaçãoisoladacomréplicadoponto estrela – Nomodoisolado,todosos condutoresvivosdaredepúblicaestãoseparadosdainstalaçãodocliente.Nestemododeoperação,osistema isoladoconstituídopeloSAEeinversordevereplicarascondiçõesdeaterramentopormeiodeumaconexão temporáriaentreopontoestrelaeo barramentodeaterramentoprincipal. Paratal,opontoestrelaéformadopor umcontatonormalmenteabertono SAE,queoconectaaobarramentode aterramento.Ostrêscondutoresde

54 FotoVolt - Julho - 2023 Solarcombaterias
VDE0100/NBR5410 VDE0100/NBR5410 DesligarSAE Desligamentoda primeirafalta SOC≥SOCmin SOC<SOCmin I F ≥I a + I b,carga I F < I a + I b,carga NãoSim SAE
Operaçãoisolada (descarga) EsquemaIT FuncionalidadeemesquemaIT Operaçãoemparalelocomarede (carregamento/descarga) EsquemaTN-C-S EsquemaTT • Proteçãocontrasobrecorrente Proteçãodiferencial-residual
VDE0100 NBR5410
Desligarcomponentes
EsquemaTN-Scomréplica dopontoestrela Proteçãopordesligamentoautomáticodaalimentação,conformeVDE0100/ABNTNBR5410 Fig.4–SeleçãodasmedidasdeproteçãoemesquemasTNeTTparaosmodosparalelocomaredeeisolado.Adaptadodo original(Fonte:M.Fengel/ep)

fasedosistemadealimentaçãosupridopeloinversorestãoligadosemestrela.Ocondutorneutroédistribuído enãodispõedeumpotencialdefinido contraaterra.Aplicandoamedidade proteçãopor desligamentoautomático daalimentação,olaçodefaltanãotem comoserfechado.Searéplicadopontoestrelaabrirnomododeoperação isolada,oinversordevedesligar.

Nasfiguras4e5,oSAEestárepresentadocomofontedealimentação, eacargaestáindicadacomoresistênciaôhmica RCARGA.Parasimplificar, admite-sequeoSAEestejadisposto diretamentedepoisdodispositivode seccionamentodarede,deformaque aimpedânciadoscondutorespossa serdesprezada.Asresistênciasdos condutoresnocircuitodacargaestão representadascomo RL, RN e RPE.Aréplicadopontoestrelaconectaoponto estreladosistemaisoladocomocondutordeproteção(PE)dainstalação docliente,pormeiodeumaligação temporáriarealizadaporumcontato normalmenteaberto(nafigura5representadonaposiçãofechada).Desta maneira,opotencialdoscondutores deproteçãocontraaterratorna-se definidoemoperaçãoisoladae,analogamente,mediantearéplicadoponto estrela,olaçodefaltaéfechadoem casodefaltaàterra(massa).

Aréplicadopontoestreladeveser consideradacomoumpontocentral

deaterramentodosistemaqueforma aredeisolada,nostermosdanorma deinstalação[23].Porrazõesdeestabilidade,aréplicadopontoestrela, deacordocomaregradeaplicação [4],deveterumaseçãomínimade10 mm2decobreouequivalente,entreo terminaldeconexãodoinversoreo barramentodeaterramentoprincipal.

Emoperaçãoconectadaàrede, aréplicadopontoestrelanãopode absolutamenteestarativada;caso contrário,oscondutoresneutroe deproteçãoserãoindevidamente reconectadosajusantedaseparação emesquemaTN-C-S.Searéplicado pontoestrelaestiverfechadadurante aoperaçãoemparalelocomarede, ouseopontoestrelaestiverconectado comobarramentodeaterramento principalmedianteumaconexãorígida,ascorrentesdecargadainstalação emcondiçãonormaldeoperação (isentadefalta)passamafluirparte pelocondutordeproteção,partepelo sistemadeaterramento.

Oestadodaréplicadopontoestrela,bemcomoaoperaçãonomodo isolado,devesersupervisionadonos terminaisderededoSAE.Omesmo requisitovaleparaotempodecomutaçãodaréplicadopontoestrela–de operaçãoemparalelocomaredepara operaçãoisolada–quepodeserno máximode100ms.Emregimeisolado,aréplicadopontoestreladeve

FotoVolt - Julho - 2023 56 Solarcombaterias
Redepública Seccionador darede SAE Pontoestrela R L,Rede R L R N R PE R CARGA R PEN R B R A U0 I B, CORRENTEDEDESCARGA I B,CARGA L N PE I F I F I B,TOTAL I F Réplicado pontoestrela Massa,carga Faltaàterra(massa) Ponto defalta
Fig.5–Esquemaequivalentedeumsistemadearmazenamentodeenergianomodoparalelocomarede,comaréplica dopontoestrelafechada(Fonte:M.Fengel/ep)

serpermanentemente supervisionada.Seela abrir,ocontroleinternodeveidentificar esteestadoedesconectarimediatamente osistemaqueconfiguraaredeisolada.

Deacordocoma regradeaplicação [4],nãoépermitido instalararéplicado pontoestrelaforado SAE.Seelafordispostaexternamente aoSAE,oprojetista eoinstaladordevemasseguraraobservânciadosaspectostécnicosaqui apresentadosnoesquemadecomandoecontrole.

Noquetangeàréplicadoponto estrela,alémdosaspectosdesegurançaelétrica,tambémasegurança funcionaléimportante.Agarantiada segurançafuncionalcompeteaofabricante,queéobrigadoadesenvolvera construçãodessasfunçõesconsoante asnormasdasérieDINEN61508.Por segurançafuncionalentende-setanto aconcepçãoquantoaconfiabilidade dasfunçõesdesegurança.Nestecontexto,devemserutilizadososprincípioscomprovadosdeidentificaçãode falhaedefalhasegura(failsafe).

NanovaversãodaregradeaplicaçãoVDEemanálise[4],aseçãoque tratadosensaiosfoirevisadacom vistasàcomprovaçãodaefetividade daréplicadopontoestrela.Além destetópicoedacomprovaçãodaefetividadedasmedidasdeproteçãoem operaçãoisolada,foiacrescentadoo ensaiodemediçãodecontinuidadedo condutorentreopontodeconexãoea equipotencialização.

Operaçãoisoladasemréplicadoponto estrela

EnquantoosSAEnomodo paralelocomaredesãogeralmente operadosemesquemaTN,nomodo isoladoelesconfiguramumesquema

IT.Asmassassãotodasinterligadas pormeiodeumarededecondutores deproteção.NumesquemaTT,as massasseriamaterradasindividualmente.Portanto,naexecução,modificaçãoouampliaçãodainstalação elétricadeveserverificadoseos componentesoperandooriginalmente nosesquemasTNeTTfuncionam em esquemaITdeacordocomasnormas.

Naocorrênciadeumaprimeira falta,fluiumacorrentedefalta Id, queconsideraascorrentesdefugaea impedânciatotaldainstalaçãoparaa terra.Ascorrentesdefugaretornam paraopontoestrelapormeiodas capacitânciasditas“naturais”epela resistência RA (figura6).

Devidoàfaltadeumaconexão debaixaimpedânciaentreaterraeo pontoestrela,aproteçãopordesligamentoautomáticodaalimentaçãono modoisoladonãoatuaperanteuma primeirafalta.Consequentemente, deveserasseguradaumaproteção equivalenteparaoperaçãoisolada. Atensãodecontatodeveserlimitada conformeprescreveanormadeinstalações[19],ouseja: RA Id ≤50V.

Aocontráriodopropósitooriginal dosesquemasITclássicos,oesquema ITequivalentenestaaplicaçãonão temporobjetivomanterafontedealimentaçãoativaapósaocorrênciade umaprimeirafalta.Defato,anova

regradeaplicação VDE[4]prescreveo desligamentodaprimeirafaltadentrode 1min.Salvorequisito específicodofabricante,areferidaregra deaplicação[4]recomendaumvalorde 100Ω/Vparadisparo doalarmeprincipal, ede300Ω/Vpara oalarmepreventivo. Odispositivode supervisãodeisolamentodevesatisfazer anormaDINEN61557-8[24],eser capazdeidentificarfalhasdeisolação simétricas.Taldispositivopodeser integradoaosistemaqueconfigura omodoisolado,ouconsistiremum dispositivoexternoseparado.

Seletividadeemoperaçãoisolada

Notocanteaotipoedimensionamentodosdispositivosdeproteçãoa correntediferencial-residual(DR),a regradeaplicação[4]remeteexplicitamenteàobservânciadasprescrições dosfabricantes.ConstatadaanecessidadedeumdispositivoDRparasatisfazera proteçãopordesligamentoautomático daalimentação,prevaleceo critériodostemposdedesligamento. Nãoháprescriçõesquantoaovalorda correntediferencial-residualnominal; valorestípicossão100mA,300mAe 500mA.

Emgeral,dispositivosDRtipoA sãosuficientes.Seacomponentede correntecontínuaultrapassar6mA, estesdispositivossetornaminoperantes,devendoentãoserutilizados dispositivostipoBouB+.Analogamente,devemseraplicadosdispositivossensíveisatodasasformasde corrente(tipoB)semprequeindicado pelofabricantedoSAE.Nestecasoé importantenotarquenãopodehaver dispositivostipoAamontante,porque estessetornaminoperantescoma

58 FotoVolt - Julho - 2023 Solarcombaterias
Redepública Pontoestrela R L,Rede R L R N R PE R CARGA R PEN R B R A U 0 I B, CORRENTEDEDESGARGA I B,CARGA L N PE I F I F I B,TOTAL IF Massa,Carga Faltaàterra(massa) Ponto defalta Seccionador darede Capacitânciasnaturais IMD
Fig.6–EsquemaequivalentedeumsistemadearmazenamentodeenergiaemesquemaIT,semréplicado pontoestrela(Fonte:M.Fengel/ep)

TELHASSOLARESPERKUS OUPAINÉISSOLARESCOMUNS?

FAÇAAESCOLHAINTELIGENTEPARAOFUTURODASUAENERGIA!

Diferentementedospainéissolarescomuns,quesãoadicionados aostelhadosdepoisdeprontos,astelhassolares PERKUS sãoaprópriacobertura,totalmenteclean,valorizando esteticamentetodaaconstrução,emharmonia comdemaislinhasdamarca,semparecer umelementodisformeeestranho.

SUPERNOVASOLAR
SOLAR
WWW.TELHASPERKUS.COM.BR
50W
10W
30W PLANSOLAR

componentecontínua.Aseletividade entredispositivosDRestaráasseguradanasseguintescondições:

•OdispositivoDRamontanteéseletivo(tipoS),oudispõedetemporizaçãodevidamenteajustada;

•Arelaçãoentreascorrentesdiferenciais-residuaisnominaisdosdispositivosDRinstaladosemcascata,amontanteeajusante,édenomínimo3:1.

CasonãosejanecessáriaumaproteçãoDRparaosistemadearmazenamentodeenergia,aseletividade destaproteçãonoscircuitosdacarga permaneceinalteradaemcomparação comadaoperaçãoemparalelocom arede,edispensamaioresconsiderações.Emoperaçãoisolada,sefor necessáriaumaproteçãoDRtipoA nocircuitodealimentaçãodoSAE, deveserconsideradaarelaçãoentre ascorrentesdiferenciais-residuais nominais.

[N.daR.–Notextooriginal,aseletividadeentredispositivosdeproteçãoa correntediferencial-residualcontempla aindaoutrasvariantes,cujadiscussãoeste espaçonãocomporta]

Conclusão

Sistemasdearmazenamentode energia(SAE)emredesdebaixa tensãoassociadosageradoresfotovoltaicoseaestaçõesderecargapara veículoselétricosexperimentamatualmenteintensaprocura.Comooartigo demonstra,esteassuntoenvolveum complexoarcabouçodenormastécnicas,regrasdeaplicação,leisedecretos.Otextoexplicitacomoostemas clássicosdasinstalaçõeselétricasse tornamcadavezmaiscomplexos.

Nocontextodatransiçãoenergética descentralizada,osSAEdesempenharãonofuturoumpapeldecrescente importância.Assimcomonosprimórdiosdaenergiafotovoltaica,também nestaáreaasempresasdeserviços técnicossomentepoderãosubsistir mediantetreinamentocontínuoeum

olharabrangentesobreasinstalações elétricas.Asimplesconexãodeum SAEéapenasocomeço.

Referências

[1]GesetzüberdieElektrizitäts-undGasversorgung(Energiewirtschaftsgesetz–EnWG) vom7.Juli2005(BGBl.IS.1970,3621),zuletzt geändertdurchArt.2Gv.21.12.2020I3138.

[2]DINVDE0100-712(VDE0100-712):2016-10 ErrichtenvonNiederspannungsanlagen–Teil7-712:AnforderungenfürBetriebsstätten,RäumeundAnlagenbesonderer Art–Photovoltaik-(PV)-Stromversorgungssysteme.

[3]DINVDEV0100-551-1(VDEV0100-551-1): 2018-05ErrichtenvonNiederspannungsanlagen–Teil5-55:AuswahlundErrichtung elektrischerBetriebsmittel–AndereBetriebsmittel–Abschnitt551:Niederspannungsstromerzeugungseinrichtungen–Anschluss vonStromerzeugungseinrichtungenfürden ParallelbetriebmitanderenStromquellen einschließlicheinemöffentlichenStromverteilungsnetz.

[4]VDE-AR-E2510-2Anwendungsregel:2021-02 StationäreelektrischeEnergiespeichersystemevorgesehenzumAnschlussandasNiederspannungsnetz.

[5]VDE-AR-N4100Anwendungsregel:2019-04 TechnischeRegelnfürdenAnschlussvon KundenanlagenandasNiederspannungsnetzundderenBetrieb(TARNiederspannung).

[6]VDE-AR-N4105Anwendungsregel:2018-11 ErzeugungsanlagenamNiederspannungsnetz–TechnischeMindestanforderungen fürAnschlussundParallelbetriebvon ErzeugungsanlagenamNiederspannungsnetz.

[7]VerordnungüberAllgemeineBedingungen fürdenNetzanschlussunddessenNutzung fürdieElektrizitätsversorgunginNiederspannung(Niederspannungsanschlussverordnung–NAV)vom1.November2006 (BGBl.IS.2477);zuletztgeändertdurchArt. 3Vv.30.10.2020I2269.

[8]VDE-AR-N4110Anwendungsregel:2018-11 TechnischeRegelnfürdenAnschlussvon KundenanlagenandasMittelspannungsnetz undderenBetrieb(TARMittelspannung).

[9]DIN18015-1:2013-09(zurückgezogen) ElektrischeAnlageninWohngebäuden–Teil 1:Planungsgrundlagen.

[10]DINVDE0603-1(VDE0603-1):2017-06 Zählerplätze–Teil1:AllgemeineAnforderungen.

[11]DINEN61439-3(VDE0660-600-3):2013-02

FotoVolt - Julho - 2023 60 Solarcombaterias

Niederspannungs-Schaltgerätekombinationen–Teil3:Installationsverteilerfürdie BedienungdurchLaien(DBO).

[12]DINEN60038(VDE0175-1):2012-04CENELECNormspannungen.

[13]DINEN50160:2020-11MerkmalederSpannunginöffentlichenElektrizitätsversorgungsnetzen.

[14]DINEN62109-2(VDE0126-14-2):2012-04 SicherheitvonLeistungsumrichternzur AnwendunginphotovoltaischenEnergiesystemen– Teil2:BesondereAnforderungenan Wechselrichter.

[15]Richtlinie2014/30/EUdeseuropäischen ParlamentsunddesRatesvom26.Februar 2014zurHarmonisierungderRechtsvorschriftenderMitgliedstaatenüberdieelektromagnetischeVerträglichkeit.

[16]VDE-AR-N4105Anwendungsregel:2011-08 (zurückgezogen)Erzeugungsanlagenam Niederspannungsnetz–TechnischeMindestanforderungenfürAnschlussund ParallelbetriebvonErzeugungsanlagenam Niederspannungsnetz.

[17]DINEN60947-6-1(VDE0660-114):2014-09 Niederspannungsschaltgeräte–Teil6-1: Mehrfunktionsschaltgeräte–Netzumschalter.

[18]DIN18015-1:2020-05ElektrischeAnlagen inWohngebäuden–Teil1:Planungsgrundlagen.

[19]DINVDE0100-410(VDE0100-410):2018-10 ErrichtenvonNiederspannungsanlagen–Teil4-41:Schutzmaßnahmen–Schutzgegen elektrischenSchlag.

[20]DINVDE0100-100(VDE0100-100):2009-06 ErrichtenvonNiederspannungsanlagen–Teil1:AllgemeineGrundsätze,BestimmungenallgemeinerMerkmale,Begriffe.

[21]DINVDE0100-430(VDE0100-430):2010-10 ErrichtenvonNiederspannungsanlagen–Teil4-43:Schutzmaßnahmen–Schutzbei Überstrom.

[22]DINVDE0298-4(VDE0298-4):2013-06 VerwendungvonKabelnundisoliertenLeitungenfürStarkstromanlagen–Teil4:EmpfohleneWertefürdieStrombelastbarkeit vonKabelnundLeitungenfürfesteVerlegunginundanGebäudenundvonflexiblen Leitungen.

[23] DINVDE0100-540(VDE0100-540):2012-06–ErrichtenvonNiederspannungsanlagen–Teil5-54:AuswahlundErrichtungelektrischerBetriebsmittel–Erdungsanlagenund Schutzleiter.

[24]DINEN61557-8(VDE0413-8):2015-12

ElektrischeSicherheitinNiederspannungsnetzenbisAC1000VundDC1500V–GerätezumPrüfen,MessenoderÜberwachenvonSchutzmaßnahmen–Teil8:IsolationsüberwachungsgerätefürIT-Systeme. [25]Fengel,M.:DieneueVDE-AR-E2510-2–Teil1:KomponentenundNetzanschluss; Elektropraktiker,Berlin75(2021)7;S. 491-496.

Artigopublicadooriginalmentenarevistaalemã ep–Elektropraktiker,edição08/2021.Copyright HussMedien,Berlim.PublicadoporFotoVolt soblicençadoseditores.Traduçãoeadaptaçãode CelsoMendes.

61 Solarcombaterias FotoVolt - Julho - 2023

Emfoco,o renascimentoda indústriafotovoltaica europeia

Carro-chefedo hub deinovação energéticaThesmarterE, aIntersolarEurope2023 contoucomamaisextensa programaçãodaconferência, alémdamaioráreade exposição.FotoVolttraznesta reportagemumapanhadodos painéissobredescarbonização eprincipalmentedas discussõessobreomovimento de“repatriação”daindústria decomponentesfotovoltaicos paraaEuropa.

Emtrêsdias deexposição

industrial,conferênciasefóruns, amaiorplataforma europeiaparao setordenovasenergiasquebroutodos osseusrecordesanteriores:registrou

2.469expositoresde 57países,180mil

m2 deáreadeexposiçãoocupadosem 17pavilhõeseáreasexternas,maisde 106milvisitantesde166paísesemais de2.000participantesnasconferênciaseeventosparalelos.Ogrande hub, constituídopelaIntersolarEurope, eesEurope,Power2DriveEuropee EM-PowerEurope,foirealizadode14 a16dejunhonosrecintosdeexposiçõesenocentrodeconferênciasMesse München,emMunique.Com41,4GW decapacidadesolarfotovoltaicainstaladaem2022,47%acimadoanoanterior,osegmentosolareuropeunão apenasatraimaisexpositoresparao IntersolarEurope(acimade1250este ano)comotambémcontacomomais

extensoprograma deconferências,fórunseoutroseventosparalelosnaThesmarterE.

Destavez,oIntersolarEurope, principalencontrodaindústriasolar noOcidente,aconteceuemclima quemesclavaeuforiaepreocupação. Noanopassado,emboraaguerrana Ucrâniajáestivesseocorrendohavia meses,aEuropaexibiamuitasincertezassobreoscaminhosaseguirpara substituiraabruptainterrupçãodo fornecimentodogásdaRússia.Delá atéaqui,estabeleceram-sealgumas basesdeconsenso:aceleraçãoda expansãodasenergiasrenováveis, capitaneadaspelasolarfotovoltaica,

erepatriamentodoparqueindustrial supridordessaexpansão,demodo areduziraexposiçãoaosriscosda dependênciaedospreços.

AUniãoEuropeiadeterminouque até2030osfabricanteseuropeusdevemfornecer40%dosnovosmódulos fotovoltaicosutilizadosnocontinente. O“GreenDealIndustrialPlan”foi lançadopelaComissãoEuropeia (CE)comoobjetivodeaumentara capacidadedefabricaçãodoméstica detecnologias“net-zero”.Ospilares sãoambienteregulatórioprevisívele simplificado,acessomaisrápidoafinanciamento,aprimoramentodehabi-

62 IntersolarEurope 2023
FotoVolt - Julho - 2023
MauroCrestani,editor Fotos:SolarPromotion Recordesdepúblico,expositoresecongressistas:crisede energianaEuropaimpulsionaenergiasolar

lidadesecomércioabertoparacadeias desuprimentos.Oplanoestabeleceu novosesquemasdeajuda(Temporary CrisisandTransitionFramework,TCTF) paraapoiaraproduçãodemódulosFV etambémdebaterias,turbinaseólicas, bombasdecaloreeletrolisadores.Ea EuropeanSolarPVIndustryAlliance (ESIA),criadapelaCEnofinaldoano passado,estásemovimentandopara estabelecerumaindústriafotovoltaica naEuropacomcapacidadedeproduçãoanualde30GWeumvalorfinanceirode60bilhõesdeeurosaté2025. AorientaçãodaCEéfacilitarumatransiçãoenergéticademaneirauniforme, evitandoafragmentaçãodomercado pordiferençasentreapoiosnacionais eoagravamentodasdisparidades.

Aquestãonãoserestringeàcrise energética.Atémaisimportantee igualmenteurgenteéaemergência climática,daqualospaísesdoHemisférioNorte,europeusincluídos,são especialmentelembradostodoano pornovoseexasperantesrecordes detemperatura(quetambémpuxam paracimaoconsumodeenergia), incêndiosflorestaisemprofusãoedeclíniodaqualidadedevidadepopulaçõesantesacostumadasaagradáveis climastemperados.SegundoaBloombergNewEnergyFinance(BNEF),a despeitodetodososesforçosanunciados,omundomantémumritmo depoluiçãodoambienteque,sefor mantido,asemissõessaltarãodosatuaiscercade35MtCO2 para50MtCO2 poranoem2050.Abuscapelasemissõeslíquidas(net-zero),portanto,nãoé luxo,équestãodesobrevivência.

Planosdegrandeenvergadura, commetasambiciosas,tantoentusiasmamquantopreocupam.Oidealeo possívelconflitam,eograndedesafioéconcatenaresforçosnasfrentes definanciamento,industrialização, pesquisaeregulaçãoparafazercom queomundo,eemparticularobloco europeu,caminhedeformacélere, principalmente,etambémcoordena-

da.Duranteostrêsdiasdocongresso IntersolarEurope,grandepartedas discussõesgirouemtornodecomo viabilizardeformarápidaumatransiçãodessaproporçãonoscamposda energiasolarfotovoltaica,doarmazenamentodeenergia,daeletromobilidadeeaindadainfraestruturadas redesdedistribuição(istoé,comoprepará-lasemtempoeadequadamente parafazerfrenteaodesafio) áreas quecorrespondemàsquatroconferênciasabrigadaspelo hub deinovação.

Net-zero2050–Oqueé necessárioequantocustará?

Asbasesiniciaisparatodasas discussõesdaconferênciaIntersolar Europeforamdadaspelo keynotespeaker dasolenidadedeabertura, Seb Henbest,chefedogrupodetransição climáticadoHSBCnoReinoUnidoe queatéoanopassadoeraeconomistachefedaBloombergBusinessNew EnergyFinance,ondetrabalhoupor 14anos.Suaapresentação“Stateof theEnergyTransition”forneceuuma visãopanorâmicadatransiçãoenergética,asprincipaistendências,odesafiodoinvestimento,asfontesdefinanciamentoeanecessáriacombinação destascomos“projetoscertos”,nos lugarescertosdomundo,demodoa produzirosmelhoresresultadosna transiçãoparaumaeconomiacom emissões net-zero até2050.FoiHenbest quemostrouonúmerocitadoacima, dequeasemissõesanuaismundiais podematingir50MtCO2 em2050se esforçosadicionaisnãoforemfeitos.

Segundooexecutivo,aboanotíciaéqueatualmenteospaísesque concentram90%doPIBdomundo, etambém90%dasemissões,jáestabelecerammetas net-zero ouasestão desenvolvendo.Dareduçãoque sepretendeparaatingiro net-zero em2050,75%terásidodecorrente dacombinaçãodaeletrificaçãodo mundo,emsubstituiçãoacombustíveis,comamaiorlimpezadessa

energiaelétrica.Emoutraspalavras: tornarascoisaselétricaseusareletricidaderenovávelparaoperá-las,a chamada“eletrificaçãolimpa”,vetorchavedadescarbonização.Em2050, ademandamundialdeeletricidade deveatingirquase70milTWh,três vezesmaiordoqueaatual,sendoque aproduçãodehidrogênio,principalmente,eosveículoselétricosresponderãoporcercade35%dela maso usodaeletricidadevaisubirexponencialmenteemtodosossetoressociaise econômicos.Essa“eletrificaçãolimpa” exigiráelevaçãoaproximadade10 vezesnastaxasatuaisdeimplantação deenergiafotovoltaica,eólicaedebaterias.Eomundoestarágerandoem 2050maisde85%dasuaeletricidade comfontesrenováveis.

Quantodinheiroissoexigirá?As estimativasvariam,massegundoopalestranteérazoávelestimarumvalor deUS$50trilhõesentreagorae2030, dosquaiscerca35%emveículoselétricos,26%emgeraçãodeeletricidade, cercade10%nossistemasdetransmissãoedistribuiçãoe4%emhidrogênio. Nos20anosseguintes,até2050,serão necessáriosoutrosUS$196trilhões.

Umolharpróximo–operíodode2023a2027

Previsõesotimistasquantoaodesenvolvimentodaenergiasolarealertas sobreosobstáculosasuperarformaramtambémonúcleodopainelsobre

63 IntersolarEurope2023 FotoVolt - Julho - 2023
MichaelSchmelaeRodrigoSauaianaapresentaçãodo“Global MarketOutlookforSolarPower”:mundoterá3,5TWinstalados em2027 SolarPromotion

descarbonizaçãonomundoenaEuropa,emcujaaberturaseapresentaramos principaisnúmerosdo“GlobalMarket OutlookforSolarPower”,publicação daSolarPowerEurope(SPE),associaçãodosetorfotovoltaicoeuropeuque representamaisde300organizações. O“Outlook”éatualizadoanualmente eacadaediçãotrazumcapítuloespecialsobreumaregiãodomundo,em parceriacomumaassociaçãoregional. Destavezocapítulodebruçou-sesobre oSudesteAsiático,emcolaboração comaAsianPhotovoltaicIndustryAssociation naediçãodoanopassado, odestaquehaviasidoomercadosolar naAméricaLatina,eorelatóriocontou comparceriadaAbsolar-Associação BrasileiradeEnergiaSolarFotovoltaica.

Segundoo“Outlook”,aestabilizaçãodascadeiasdesuprimentos eaquedadospreçosdosprodutos verificadasem2022fizeramcomque 239GWnovosdeenergiaFVfossem conectadosàsredesnomundotodo, umaumentode45%emrelaçãoao quehaviasidoadicionadonoanoanterior.Comisso,tambémaumentoua participaçãodasolarnasadiçõeslíquidasdeenergiasrenováveis,de56% em2021para66%em2022 contra 22%deenergiaeólica(78GWnoano), 8%dehidrelétrica(30GW)e2%de biomassa(8GW).

ParaaSPE,aquedanospreços deveacentuar-senospróximosanose aqueceraindamaisosetor.“Omercadocontinuaráacresceremnívelsemelhanteaodoanopassado:43%em 2023,adicionandomais341GW, subindopara615GWadicionados noano2027,compotencialpara chegaratéa800GW”,disseoconsultorexecutivoediretordeMarket IntelligencedaSPE,MichaelSchmela.Emconsequência,as capacidadestotaisinstaladasdesolarFV nomundodevemsaltardo1,2TW de2022para2,4TWemtrêsanos, eultrapassar3,5TWem2027.De acordoSchmela,“umadasboas

surpresasde2022foiocrescimentode 100%dasadiçõesdeFVdoBrasil,de 5,5GWparapertode11GW“.

Nopaineldeapresentaçãodo“Outlook”,RodrigoSauaia,CEOdaAbsolar–AssociaçãoBrasileiradeEnergia SolarFotovoltaicaepresidenteeleito paraobiênio2015-2026doGlobal SolarCouncil(parceirodaSPEnaelaboraçãodo“GlobalMarketOutlook”), foiconvidadoaexpornúmerosda AméricaLatina,regiãoqueaumentou suacapacidadeinstaladadesolarFV em41,4%noanopassado,adicionando maisde13GWeatingindo44,6GW. Ograndemercadoregionaléobrasileiro,quesozinhoatingiu24GW (54%dacapacidadeinstaladanaAméricaLatina)em2022,seguidopelo México,comcercade9GWemoperação(20%),eoChilecom6,3gigawatts(14%).“Essestrêsmercadossão responsáveispor88%dacapacidade totalnaAméricaLatina,demodoque, quandofalamosemnovasoportunidadesdeinvestimento,vemosquehá muitopotencialtambémnosoutros paísesdaregião(vejamaisnúmeros sobreomercadolatino-americanoe brasileironoboxedapágina68).

Poroutrolado,nomercadomundial,o“GlobalMarketOutlookfor SolarPower”apontaqueafatiadas energiasrenováveisnobolodageração elétricacresceuapassosmuitolentos nosúltimoscincoanos,de23,1%em 2017para25,4%em2022.Somentea energiasolarfotovoltaicatemexibido ritmomaisvigoroso,aumentandosua

participaçãoemmaisde250%noperíodo,masmesmocomtodaessapujançaafonteaindarepresentaapenas 4,5%dageraçãoglobaldeeletricidade, mostraorelatório.“Todasasrenováveisjuntasrepresentammenosde30% doparquegerador,oquesignificaque 70%daeletricidadedomundoainda vemdecombustíveisfósseisenucleares,”lembrouSchmela.

Aprincipalchaveparaentender issoéseguirodinheiro.Muitocapitalcontinuaafluirparaatividades poluentes,boaparteinclusivedesubsídiosgovernamentais.Aproporção atualentreinvestimento“limpo”e investimento“sujo”nomundoéde 0,9:1 paracadaunidadedecapital colocadaeminvestimentoemcombustíveisfósseis,0,9unidadeéaplicada emformaslimpas,comoinformouna palestrainauguraldocongressoSeb Henbest,doHSBC.“Oqueprecisamos nestadécadaéchegaràproporçãode 4para1,eacombinaçãodavontade defornecercapitalcomaofertade bonsprojetos,boasiniciativas,émuito importanteparaentregaresseresultado.Éacombinaçãomágica”,disseele.

Oproblemapareceseridentificar adequadamenteessavontadedefornecercapitalmencionadapeloexecutivodoHSBC.Nopainelsobredescarbonização,obrasileiroSauaiaalertou paraagrandequantidadededinheiro queaindaécanalizadaparatecnologiasdecombustíveisfósseiseemissoras.“Todomundoestáfalandosobre net-zero etransiçãoenergética,istofoi mostradoaquinaabertura destecongresso,masodinheironãoestánisso.Precisamoscomeçaradizeraeles quecoloquemseusincentivos ondeestáasuanarrativa”.

BruceDouglas,diretorde ComunicaçõeseNegócios daEurelectric,federaçãoda indústriaeuropeiade eletricidade,vaimaislonge:“os subsídiosaoscombustíveis

64 FotoVolt - Julho - 2023 IntersolarEurope2023
Painel“RenascimentoSolar”:setorprodutivoquermaisagilidadedosreguladores

fósseis,tantonaextraçãoquantono refinoeconsumo,precisamserremovidosimediatamente.Estenãoéum campodejogojustoparaasenergias renováveis,apesardoenormecrescimentodestas.Esseéoprimeiroemais importanteponto.”Diantedainsegurançadamudança,omedodocolapso naofertacriaresistências.Emreunião recentesobremudançasclimáticas, lembrouDouglas,“asONGspressionavampelaeliminaçãodoscombustíveis fósseisedooutroladoosgoverno diziam‘vamospasso-a-passo’”.

Europa:1TWsolar

em2030

Noanopassado,aSolarPower EuropeinstouaComissãoEuropeiaa estabelecerumametamaisambiciosa paraacapacidadesolarfotovoltaica instaladaem2030:1TW,emvezdos 585GWqueconstavamnoplano REPowerEU,queforapropostopela CEparadiminuiradependênciaem relaçãoaoscombustíveisfósseisrussos.ASolarPowerEuropelistouuma sériedeaçõesparasechegaraesse ambicionadoterawattsolar:aceleração deprojetosedesuaintegraçãoàrede, desenvolvimentodeforçadetrabalho qualificada,disseminaçãodesistemas agrisolares,solaresflutuantesede BIPV,garantiadecadeiadesuprimentoematérias-primas,eacimadetudo arepatriaçãodaprodução.

AcrisedeenergiamotivouaComissãoEuropeiaaaprovarmedidas deemergênciaparaaceleraraimplementaçãodeeletricidaderenovável, como,porexemplo,agilizarosprocessosdo“permiting”,aoutorgadeprojetos.Osestadosmembrosforam instruídosareduzirdrasticamenteostemposdeanáliseeconcessãodelicenças, masnaEuropaascoisasnãosãotão simples.“Aregulamentaçãodeemergênciafoiumbomcomeço(...),maso quepreocupaéquevimosimplementaçõesnacionaismuitodiferentesdeste

regulamento,sendoqueeledeveriaser aplicadodiretamente.Todossabemos que[asregras]têmquesertranspostas paraasleisnacionais,masnãovimoso mesmoesforçonessesentidoemtodos osEstadosmembros”,disseStefanie Alexander,diretoradeassuntosregulatóriosparaEuropaeÁsia-Pacíficoda empresaRWEOffshoreWind,queparticipoudodebatefinaldopainelsobre descarbonização.

Umaanáliseparecidapodeser aplicadaaumsegmentonemsempre lembradoquandosediscutemenergiasrenováveis:a adequadapreparaçãodainfraestruturaderedes.“Para serealmentechegarnaescalanos 1TWinstaladosem2030,serãonecessáriosbonsinvestimentostantona transmissãoquantonadistribuição. Apenasparaasredesdedistribuição daEuropaprecisaremosde€400bilhõesaté2030,demodoapossibilitar aconexãodaenergiasolaredasoutras renováveis”,alertounomesmodebate BruceDouglas,daEurelectric.“Nós realmentenãopodemosesperar.As estruturasregulatóriasestãodisponíveisparaseremimplementadas,os incentivossãopossíveiseosmodelos denegóciostambém.Entãosabemos oquefazer,sóprecisamosimplementar.Masacolchaderetalhosdaimplementaçãonosestadosmembros, emváriosdomínios,incluindoodas redes,nãoéaceitável.Precisamosacelerarissoparacapacitarodesenvolvimentosolar.”

Trazendoacadeiaprodutiva devolta?

Acelerarasmudançaséomantra atualdos players europeus,incomodadoscomalentidãoqueenxergamna criaçãoeimplementaçãodemedidas e,principalmente,noaparecimento deresultados.Protestospormaior agilidadeforamosmaisouvidosno painel“ManufaturaSolarnaEuropa: ProntosparaoRenascimentoSolar?”,

organizadonaIntersolarEuropepela ESIA-EuropeanSolarPVIndustry Alliance,fórumcriadopelaCEemdezembrode2022paradiscutireelaborararcabouçodestinadoareconstruir aindústriasolarfotovoltaicaeuropeia. Ametaestabelecida(que,combase eminformaçõescoletadasdurantea própriaIntersolar,jáseacreditamodesta)édeatingir30GWdecapacidadedeproduçãoaté2025,emtoda acadeiadevalor,oquedevegerar €60bilhõesdereceitaanualnaEuropa ecriardemaisde400milempregos. Oplanodeação,quereúnemaisde 120organizaçõesdacadeiadevalor solarfotovoltaicaem17paíseseuropeus,desenvolve-seemtornodequatroáreasprincipais:critériosnãobaseadosempreço,desafiosdacadeiade suprimentos,instrumentosfinanceiros ecapacitação.Umdosprincipaisfocos doplanoémelhoraracompetitividade eascondiçõesparaumacadeiadesuprimentoseuropeia,incluindocustos deenergiaparaprodução,sustentabilidade,reciclagemerastreabilidade.

Aconvidadaespecialdopainelfoi KerstinJorna,chefedaDireção-Geral deMercadoInterno,Indústria,EmpreendedorismoePMEsdaCE,que apresentouaevoluçãotrabalhosnos primeirosseismesesdeexistênciada ESIA.Elamostrouqueváriosresultadosiniciaisjáforamapresentados àComissãoEuropeiaeaosestados membrosparadiscussão,mas ainda hámuitoconsensoaserperseguido emdiversasfrentes,um trabalhointensodeconvencimento.

Emumadessasfrentes,adaagilizaçãodasoutorgas deprojetospara alavancarademanda,KerstinJorna relatouaextensapesquisa realizada nosprocedimentos eexigênciasexistentesparaimplantaçãoderenováveis, duraçãodosprocessos,quantidadesdelicençasexigidas, burocracias, etc.Propuseram-seaosestadosmembros aeliminaçãodecercade300dispositivosinúteis,merosempecilhos,

66 FotoVolt - Julho - 2023 IntersolarEurope 2023

INTERSOLARSUMMITBRASILSUL

ImpulsionandonegóciosfotovoltaicosnaregiãoSul BoostingSouth’sPVBusiness

PORTOALEGRE,RS,BRASIL| BRAZIL

SAVETHEDATE

CentrodeEventosFIERGS|PortoAlegre,RS

PalestrasdeEspecialistas,DebatesentreExecutivos,Exposição,Networking

EnergiaFotovoltaica+SoluçõesdeArmazenamentoparaAplicaçõesOff-GrideAgricultura ExpertPresentations,ExecutivePanelDiscussions,Networking,Exhibition

PV+StorageSolutionsforOff-GridApplicationsandAgriculture

07–08 2023 NOVO EVENTO NOV www.intersolar-summit-brasil.com

massóconseguiramaremoçãode80, oquedáumamedidadasdificuldades.Masjáseconseguiuestabelecer, porexemplo,aexistênciadeum “balcãoúnico”,umúnicointerlocutor paraoempreendedorinteressado,não importandoaquantidadedeagentes governamentaisenvolvidos,alémda definiçãodeumlimiteparaasexigênciasdedocumentação,demodoa evitarqueatodomomentosefaçam novasexigênciasaosempreendedores.

Noqueserefereàcapacitaçãode mãodeobra,aaliançatrabalhaem duasfrentes.Umadelaséacriaçãode uma“academiadesolar”,aserlançadaembreve,seguindoomodeloda EuropeanBatteryAllianceAcademy, constituídanoiníciode2022parapromovertreinamento,requalificaçãoe aprimoramentodetrabalhadorespara atenderàsdemandasdacadeiade valoreuropeiadebaterias.Asegunda frenteéainstituiçãodeuma“portabilidadedecompetências”,umsistema dereconhecimentoúnicodecapacitaçõesparatodososestadosmembros, assimfacilitandoamovimentaçãode trabalhadoresentreospaíses.“Istoé umpoucorevolucionárioemtermos regulatóriosdemercadoúnico”,disse aexecutiva.

Durantequase20minutos,Jorna detalhoutodasasaçõesemdesenvolvimentoparafacilitaroacessoao financiamento,aampliaçãodomercado,sobretudorelacionadasacompras

públicaseàregulamentaçãodesubsídiosestrangeiros(demaneiraaevitar queempresassejamapoiadospor auxíliosestataisdepaísesterceiros, desfigurandoacompetição)emuitas outrasfrentes.Masumacoisaficou claraemtodaasualongaexposição:a dificuldadedevencerresistênciasea exasperantelentidãodoprocesso,pois tudotemdesermuitonegociado.

TerminadaaapresentaçãodeKerstin Jorna,amediadoradopainel,Walburga Hemetsberger,CEOdaSolarPower Europe,chamouparaodebaterepresentantesdeindústriaseuropeiasdo setorsolaregeradoresindependentes deenergia,paradarseutestemunhoe avaliaroprocessoqueacabavadeser descrito.Dabaseparaaltonacadeia desuprimento,participaramrepresentantesdaalemãWackerChernie, produtoradepolissilício;daNorwegianCrystals,fabricantede wafers; da LapmasterWolters,fabricantealemã demáquinasparaaindústriafotovoltaica;dafrancesaCarbon,quepretende erguerumaindústriaverticalizadade 5MWdemódulosnosuldaFrança;da MeyerBurger,fabricantedemódulos FVcomsedenaSuíça;da3SUN,fabricantedecélulasemóduloscomsede emCatânia,Itália;daNorsan,fabricantenorueguesadelingotese wafers tipo n;edaSMASolar,fabricantealemãde inversores.Peloladodoscompradores, foramconvidadosaopinardirigentes daStatkraftAS,grandeempreendedo-

AméricaLatina,doispontos ...

Eventoespecial“explicou”osmercadosdocontinenteainvestidoresestrangeiros

UmencontroespecialnaThesmarterEEurope2023apresentoua investidoresopotencialdosmercados latino-americanosparaossegmentos fotovoltaico,dearmazenamentode energiaehidrogênioverde.Areunião tevetambémoobjetivodedivulgar

oseventoslatino-americanosdaSolar Promotion(SPI)edaFreiburgManagementandMarketing(FMMI):The smarterESouthAmérica(agosto, SãoPaulo),osIntersolarSummitsde Fortaleza(abrilde2024)ePortoAlegre(novembrode2023) todosem

ramundialdegeraçãodeenergiacom sedenaNoruega,eaAkuoEnergy, produtoramultinacionaldeenergia renovávelsediadanaFrança.

Emgeral,todospolidamenteapoiaramasiniciativasnoâmbitodacomissãoeuropeia,emboraaquiealicom certoceticismoquantoàsreaiscondiçõesdecompetitividadedaindústria daEuropaemrelaçãoàchinesa,sobretudosemedidasdeincentivotardarem aaparecer.Demaneiramuitosimplificada,orecadodosetorprodutivopara aCEfoi:precisamosvermuitomais agilidadenaimplementaçãopráticade medidasemuitomaisambiçãoemtermosdemetas.Precisamosdesuporte deCapExeOpEx,decritériosquenão sejambaseadosempreço,desustentabilidadeedeamparoàpesquisaedesenvolvimento,ounãocompetiremos.

Comoafirmounoencerramento dopainelamoderadoraWalburga Hemetsberger:“Estamosprontospara acelerar,masprecisamosdevelocidadeparasermoscompetitivosnolongo prazo,precisamosmostrarquepodemosterumaindústriaconsiderável naEuropa,oqueénecessáriopara chegarmosao net-zero.Tambémprecisamossermaisambiciososporqueem breveestaremosinstalando100GW poranodesolarnaEuropa.Avelocidadeéessencial,etambémmantero foconastecnologiasquedemandam atençãoespecial,quesãoaenergia solareasbaterias.”

68 FotoVolt - Julho - 2023 IntersolarEurope 2023
ApresentaçãosobreomercadosolarnaAméricaLatina: BrasileMéxicodetêm74%dapotênciaFV Absolar

parceriacomaAranda EventoseCongressos , eaIntersolarMéxico, emsetembro.

Incluindotambém rodadade networking, oeventocontoucom apresentaçãoinicialde FlorianWessendorf, diretorexecutivopara oseventosinternacionaisnaSPI,segundoo qualaAméricaLatina podeacrescentar32GW novosemsolarFVeste anoeoBrasilestáprestesasetornarumdos quatroprincipaismercadosglobaisemsolar. ElerememorouaevoluçãodaIntersolar SouthAmerica,desde aestreiaem2012com um Summit dentrodo congressoEnie(hoje Eletrotec+EMPower) daArandaEventos,até chegaraosnúmeros superlativosesperados paraaediçãode2023 (vejaentrevistaao lado).PeloBrasil,falou RodrigoSauaia,CEO daAbsolar(parceira naorganizaçãodocongressoIntersolarSouth America),quetraçou panoramadorápido desenvolvimentoda geraçãosolarfotovoltaicanoPaísedas grandesperspectivas paraospróximosanos. Tratandodacadeia produtiva,oexecutivo destacouqueamatriz elétricapredominantementerenovável brasileirapermiteque sefabriquemaquicomponentescomemissões

EvoluçãoemSãoPaulo,FortalezaePortoAlegre EntrevistacomFlorianWessendorf,diretorexecutivonaSolarPromotion International,sobreoseventosdaempresanoBrasil.

FotoVolt: QuaissuasestimativasparaoThesmarterESouthAmericadesteano? FlorianWessendorf – ParaograndeeventodeSãoPauloédechegarmosa500 expositores,queéumnúmerorecorde.Eissotambémquantoaoespaçodeexposição [noExpoCenterNorte]:teremostodoopavilhão azul,opavilhãobranco,overdeeovermelho,com ocupaçãodepraticamente100%.Emtermosde visitantes,esperamos maisde50milpessoas.Issoé umaboaevoluçãoemcomparaçãocomaediçãodo ano passado,quejáfoirecorde.

Quantoaostópicos,teremosumgrandeespaço paraa Intersolar mastambémexpandiremosnossa seçãodearmazenamentodeenergiaeestamosotimistasemrelação à Electrotec+EMPower.E,ainda, falandodemobilidadeelétrica,quechamamosde Power2Drive,vamosverumcrescimentoemrelação aoanopassadoquantoaexpositoreseàexibição deinfraestruturascomocarregadoresetambémveículoselétricos.Para2024,temos planoinclusivedefazerumamostraecongressoespecíficos Power2Drive Assim comoem2023estamosrealizandopelaprimeiravezumcongressoees,dedicado aarmazenamentodeenergia.Entãoháaconferência Intersolar,comosemprenos últimos10anos,aEletrotec+EMPower,paraainfraestruturaelétrica,eagoraa conferênciasobrearmazenamentodeenergia.Issoémuitoimportanteparaampliar nossapresença.

FotoVolt: AlémdoThesmarterE,vocêsjárealizamnoBrasiloSummitem Fortaleza.AgoraterãoumnovoSummitnaregiãoSuldoBrasil?

FW –Pelanossaestratégia,fazsentidoolharmosparaosmercadosregionais,como como IntersolarSummitNordeste emFortaleza,querealizamospelaterceiravez nesteano,emabril.E,sim,agoralançamoso IntersolarSummitSulBrasil,emPorto Alegreemnovembro,noqualtemosexpectativadecontarcommaisde50expositoreseumaquantidadedevisitantesdaordemde2,5milpessoas.

FotoVolt -QualseriaoprincipalmercadonoSul?Ossistemasagrivoltaicos?

FW –Eupensoquesim,umavezqueháumagrandecomunidadevoltadaàagricultura,masnossaideiaécombinar,porumlado,sistemasfotovoltaicose,poroutro,o armazenamentodeenergia,quepodedesempenharumpapelimportante.

FotoVolt: OexpressivocrescimentodoIntersolarSummitdeFortalezaesteano foiumasurpresa?

FW –Umpouco,paraserhonesto.Os summits forampensadosparasercongressos deumoudoisdias,talvezcomalgunspatrocinadores.MasoquevimosemFortaleza foicomoumaverdadeiraconferênciaeexposição,comcercade100expositorese maisde5milvisitantes,umgrandesalão.

FotoVolt: OeventopodeevoluirparaumcongressoIntersolarBrasilNordeste?

FW –Esperamosquesim.ÉclaroquemanteremosoprincipaleventoemSãoPaulo, decarátermaisinternacional.Alémdoquê,amaioriados players estánaáreade SãoPaulo,entãofazsentidoqueacidadeabrigueograndeeventonoBrasil.Mas, casoocrescimentodomercadoregionaljustifique,havendonegóciossuficientes acontecendonoNordestedoBrasil,vamosexpandiralitambém.Noanoquevem esperamosmaisde100expositores/patrocinadores,alémdeumnúmeroaindamaior devisitantes.(MC)

FotoVolt - Julho - 2023 70 IntersolarEurope 2023
FlorianWessendorf:sucesso emSãoPaulosereplicano Nordestee,agora,noSul SolarPromotion

Brasil:odesafiodaproduçãolocalsemsufocaromercado

Nestaentrevista,oCEOdaAbsolar,RodrigoSauaia,falasobreumapolíticaindustrialparaosetorfotovoltaiconoPaís.

FotoVolt: AEuropaestáempenhadaemreconstruirsuaindústriadeequipamentosparaenergiasolarfotovoltaica,comovimosaquina IntersolarEurope.OBrasiltambémdiscuteodesenvolvimentodeumacadeiadevalorlocal.Oqueénecessárioparaavançarmosnisso?

RodrigoSauaia –ÉimportantequeoBrasiltrabalhepraconstruirdeformacompetitivaumaindústrianacional,tantoparadiversificarmosa origemdosnossosequipamentosecomponentesquantocomoformadeterumdesenvolvimentoeadensamentodacadeiaprodutiva.OaprimoramentoeatualizaçãodoPadisesteanofoiumpassoimportante [emjaneiro,ogovernobrasileiroincluiuprodutos einsumosparafabricaçãodemódulosfotovoltaicosnoprogramaPadis,doMCTI],masprecisaserseguidodeoutros passos.Alémdomódulofotovoltaicodesilíciocristalino,existemoutrastecnologiasquetambémprecisamserincorporadasaoPadis,porexemplomódulosdefilmefino,deteluretodecádmio,SIGSeorgânicos.Bemcomooutroselosda cadeiadevalor,comoafabricaçãodecélulasfotovoltaicaseafabricaçãodesilíciodealtapureza.Eaindaoutrositens dossistemasfotovoltaicos,comoinversores,baterias,rastreadoreseestruturasfixas,quehojenãoestãoabrangidos porumapolíticaindustrial.Temosdiscutidocomogovernofederalaimportânciadeolharosetorfotovoltaicodeuma formaabrangenteemtermosdepolíticaindustrial,enãoolharapenasomódulo.Temosdeampliaresseescopo.

FotoVolt: ComoépossívelproduzirnoBrasildemaneiracompetitivacomosimportados?

Sauaia:nãose podepartirpara protecionismoexcessivo

RS – Umacoisaimportanteéacertaroponto.Oobjetivoéqueogovernoconstruaumarobustapolíticaindustrialbaseadanodesenvolvimentode umaindústrianacionalcompetitiva,queconsigaumareferênciadepreçoqueosetorconsigasuportar.Comalgumdiferencial,queénatural,pois nãoseesperaqueoBrasilproduzaaomesmopreçodaChina.Masaíofinanciamentoéquevaiseroequalizadordasdiferenças.Eascompras públicaspodemajudaragerardemandaparaomercadonacional,programascomooMinhaCasaMinhaVida,ousodeenergiasolaremprédios públicos,leilõescomumaparceladademandavoltadaaequipamentosnacionais,eoutros.Masnãosepodepartirparaumprotecionismo excessivo,queencareçaosprodutosapontodediminuiromercado.Nossapreocupaçãoéevitarbarreirastributáriasartificiais,medidasunilaterais, poisentreosfabricantesqueoBrasilpodeatrairparaseestabelecernoPaísestãoosasiáticos.Elesnãosãonossosoponentes,sãoparceirosno processodeestabelecerfabricaçãonoBrasil.Comojáaconteceemalgunscasoshoje.(MC)

deCO2 até80%mais baixasquenaÁsia(veja aoladoentrevistasobre fabricaçãonoBrasil).Por suavez,MarkusVlasits, diretordaNewCharge, conselheirodaAbsolare consultorparaocongressoeesSouthAmerica(de armazenamentodeenergia),tratoudasperspectivasdoarmazenamento edohidrogênioverdena região,destacandoprincipalmenteosmercados chilenoebrasileiro.Pelo México,falaramrepresentantesdaAnes-AssociaciónNacionaldeEnergía SolaredaGermanSolar Association.

71 IntersolarEurope 2023 FotoVolt - Julho - 2023
Absolar

Aadoçãodenovatecnologia eaexperiênciadousuário

“ Asatisfaçãodosusuárioséomelhor meiodegarantirocrescimentoorgânicodesse mercado,dandosegurançaaosnovosentrantes ”

Osurgimentodeumanovatecnologiamuitasvezesmarcauma grandemudançanahistória,trazendoconsigopromessasdetransformaçãoeavanço.Nocenárioatual,uma dastecnologiasqueestácrescendo rapidamenteecomgrandedestaqueé oveículoelétrico.Movidosporenergia elétrica,nãomaispelaqueimadecombustíveis,essesveículosestãorevolucionandoaindústriaautomobilísticae redefinindoaformacomonosdeslocamos.Comapreocupaçãocrescente emrelaçãoàsmudançasclimáticaseà buscaporsoluçõesmaissustentáveis, osveículoselétricostêmsedestacado comoumaalternativalimpaepromissorafrenteaosdesafiosemetasambientaisdasliderançasmundiais.

Aadoçãodosveículostracionados aenergiaelétricadependedemuitos fatores,comoofertademodelosdeveículos,preços,disponibilidadederedes derecarga,confiabilidadeepolíticas públicas.Mas,comotodanovatecnologia,osveículoselétricostambémestarãosuscetíveisàconhecidacurvade ciclodevidadeadoçãodetecnologia.

Ogrupodos entusiastas éaquele compostoporpessoasquegostamde tecnologiaeestãodispostosaexperimentaronovo,eporissotambémsão chamadosdeinovadores.NoBrasil, muitosdosinovadoresadquiriram seusveículosantesmesmodehaver carregadoresnasprincipaisrodovias doPaís,epartedestessereunirame formaramaAbravei–Associação Bra-

sileiradosProprietários deVeículosElétricosInovadores.Aaprovaçãodestegrupodeentusiastasé essencialparaadisseminaçãodatecnologia.

Ogrupoposterioréados visionários,compostaporpessoasqueveem atecnologiacomotimismoeaadoção antecipadadestacomoumapossível vantagemcompetitiva.AeletromobilidadenoBrasilpossivelmenteencontra-senestaetapa,naqualocorrem investimentosdeempresasparaeletrificação desuasfrotasafimdereduzir custosoperacionaiseadquirirconhecimentosobreatecnologia.

Ogrupodos pragmáticos compõea maioriainicial,eapartirdaíinicia-sea massificaçãodatecnologia oquejá éatualidadenomercadoeuropeuese esperaqueocorranospróximosanos tambémnomercadobrasileiro.Nesta faseatecnologiajáfoivalidadaetestadaosuficiente,ehámaiorsegurança emadotá-ladeformaeficiente.

Os conservadores sãopessoasquenão estãomuitoatentasàstecnologiasrecentes,etendemaadotá-lasmaistardiamente, porémcomestaadoção tardiaacontecendoaindaemgrandeescala.

Porfim,os céticos compõemogrupode pessoasmaistradicionais,nãosuscetíveisa mudançassignificativas

nomododeutilizaremseusveículos, elevarãomaistempoparaaadoção dosveículoselétricos.

Acurvadeadoçãodetecnologia ocorresemprequealgonovosurge,e ociclocompletotemduraçãodiferenteparacadatecnologia.Umfatorcrucialparaumamaioraceitaçãodaeletromobilidade,equepodereduziro tempodeadoção,éaboaexperiência deusuário,tantonadisponibilização deinformaçõessobrecarregadores disponíveisquantonaqualidadedo serviçooferecido.

Namobilidadeelétrica,osagentes responsáveispeladisponibilização dasinformaçõessobrecarregadorese pelaqualidadeedisponibilidadedos serviçossãobemdefinidos:elessão oeMSP– eMobilityServiceProvider (provedordeserviçosdeeletromobilidade)eoCPO– ChargePointOperator

Fig.1–Curvadociclodevidadeadoraçãodetecnologia(fonte:https://www.zup. com.br/blog/curva-de-adocao-da-inovacao)

FotoVolt-Julho-2023 Veículoselétricos 72
RafaelCunha*
EntusiastasVisionáriosPragmáticosConservadoresCéticos

MICRO INVERSOR

KITFOTOVOLTAICOCOMPLETO

CONFIRA+DE15VANTAGENS

Cashback,DescontoProgressivo, SeguroInstalaçãoeMontagem, SeguroMaterial,Pós-venda, Financiamentoemais.

KITSCOMPLETOS

PARASUAUSINASOLAR

ONGRID

OFFGRID

DRIVERBOMBASOLAR

CARREGADOR

VEICULARWALLBOX

BAIXEAREVISTA FOTOVOLTAICA

Informaçõescompletas sobreprodutos SerranaSolar

Aponteacâmera doseucelular e CONHEÇA ASERRANA
julho23.Imagensilustrativas

(operadordopontoderecarga).OpapeldoeMSPéodefacilitarajornada dousuáriodocarregador,disponibilizandoaplicativoeplataformacom atualizaçãoemtemporealdosdados sobreoscarregadoresdisponíveise informaçõeseprocessodecobrança darecarga,gerandovalorpeladisponibilizaçãodoserviçoderecarga.Já oCPOtemopapeldeatuarnaoperacionalizaçãodasrecargas,ouseja, disponibilidadedosequipamentos, manutenção,conexãodoscarregadorescomoeMSP,suportetécnicoao usuário,configuraçõesdoscarregadoresparamelhoratenderàsrecargase ascondiçõestécnicasdainstalação.

Aboaexperiênciadousuárioé essencialparaadisseminaçãodatecnologia,portantodevesertrabalhada desdeoiníciodejornadanoprocesso derecargaatéofinaldoprocesso.A primeirainterfacecomousuárioé feitapeloeMSPeoacompanhaatéo finaldarecarga,comopagamento,daí aimportânciadeumaboacondução desteprocesso.

Ainterfacedoaplicativodeveser intuitivaeamigável,demodoquea pessoaconsigaencontrarfacilmente osrecursosdequenecessitaparaconfigurarseuusuárioeacessarocarregador.Oacessoainformaçõesemtempo realtambéméessencialparaoprocessodedecisãodousuáriosobrequal carregadorescolher.Assim,asinformaçõesreaisdevemserapresentadas nainterface.

Alémdeinformaçõesclaras,ousuáriodeveconseguirrealizarcadastrose teropçõessimplificadasdepagamento, porexemplodeformaautomáticacom ocartãodecrédito.Umaquebradeste processodigitalpodegerarumaexperiêncianãomuitoagradável,comoter quesedeslocaratéocaixadoestabelecimentopararealizaropagamento.

Afacilidadedeacessoàsinformaçõestambémdeveestarpresenteno momentodeumafalhaououtroproblema,demodoqueousuáriorapidamenteconsigaumacessoaosuporte técnicooumesmoumarápidaorien-

taçãosobreousodo equipamento.

Dooutroladodeve estaroCPOprestando umserviçodequalidade,iniciandopor garantiradisponibilidadedoequipamento, oqueincluio funcionamento desteduranteo ciclodarecarga, eaestabilidade naconectividade àinternet,pois estesdadosserão fundamentais paraqueousuáriopossaacompanharsuarecargamesmoà distância.

Alémdacondiçãofísicadocarregador,éimportantequeestesejabem sinalizado,cominstruçõessuficientes sobreomododeuso,comvagaexclusivaparaelétricos, hotspot (redeaberta de wifi)e,sepossível,comumacoberturaparaproteçãodechuvaousol.

OCPOéaindaoresponsávelpor prestarinformaçõesdeoperaçãodo carregadoremcasodedúvidasdo usuário,edisponibilizarumcanalde contatopararesoluçãodeproblemas

Apesardemuitosdosproblemas aquilistadospareceremdefácilsolução,aoperaçãoemseuconjuntopode setornarumpoucocomplexa,acomeçarpelaconectividadedoscarregadoresàinternet.Muitasregiõesdo Paísaindanãopossuemboacobertura, principalmenteemrodovias,oqueexigesoluçõestécnicasmaisrobustas… Aindaassim,nãoseeliminamtotalmenteasintermitênciasnaconexão,o quepodegeraranecessidadedemais

FotoVolt-Julho-2023 Veículoselétricos 74
quepossamocorrer. Fig.4–Vagasinalizadaeexclusivaparaveículoselétricos(fonte:https://unbox.ph/wheels/list-ev-charging-stationsin-metro-manila) Operação dasrecargas ChargePoint Operator Monitoramento edados eMobility ServiceProvider Fig.2–DiferençaentreCPOeeMSPnaprestaçãodeserviçosaousuário Fig.3–Aplicativoparalocalizaçãoeativaçãodecarregadordeveículoselétricos

umaaçãodeoperaçãoporpartedo usuário emalgunscasos,ocarregadorpodeficarliberadoquando offline, jáemoutrosénecessárialiberaçãopor meiodeumcartãoespecífico,quegeralmenteficaempossedeumresponsávelnolocal.Outropontoquecomumentegeraperturbaçãonoprocesso éofatodenemtodososcarregadores permitiremtotalacionamentoremoto, demodoquecasoumdisjuntorouDR internodesarme,énecessárioodeslocamentodeumaequipeparaarecuperaçãodaoperação,aopassoqueuma motorizaçãoevitariataldeslocamento.

AprimeiraeletrovianoBrasilfoi inauguradaemmeadosde2017.De láparacáhouvemuitaevoluçãoem tecnologiadosequipamentosenacapacitaçãoprofissionaledeempresas paraatuaçãonoramo,alémdetodoo conhecimentoeaprendizadocoletado aolongodasoperações,oquetorna ausabilidadeeoprocessomaissimplificadosnosdiasdehoje,apesarde problemasoperacionaisaindanãoseremrarosparaosusuários.Fatoéque osvisionáriosdehojejápossuemuma maiorfacilidadedoqueosentusiastas datecnologia,graçasaos feedbacks e novosinvestimentosemmelhorianos serviçoseáreadecobertura.Asatisfaçãodosusuárioséomelhormeiode garantirocrescimentoorgânicodesse mercado,dandosegurançaaosnovos entrantes,principalmenteàsmassas compostasporpessoasmaisreceosas equenãoestãointeressadasnatecnologia,emsi,masemumdeslocamento maislimpoesempercalços.

* RafaelCunhaéengenheiroeletricistaeCOOda startupmovE Eletromobilidade.Nestacoluna, apresentaediscuteaspectosdamobilidadeelétrica: mercado,estrutura,regulamentos,tecnologias, afinidadesentre veículoselétricosegeração solarfotovoltaica,eassuntoscorrelatos. E-mail: veletricos@arandaeditora.com.br,mencionando noassunto“Coluna VeículosElétricos”.

FotoVolt-Julho-2023 75

Bateriadesegundavida serátestadaem UFVdaUnicamp

AUniversidadeEstadualdeCampinas,aUnicamp,anunciourecentementearealizaçãodeumaprovade conceito(PoC)comumprotótipode umabateriadesegundavidaemuma desuasusinassolaresfotovoltaicasinstaladasemCampinas,ondehá530kWp depotênciasolarinstaladaedistribuída emvárioslocaisetelhadosdocampus.

APoC,últimaetapadapesquisa,a qualélideradapeloCPQDemparceriacomaCPFLEnergiaeafabricante chinesaBYD,noescopodachamada públicadaAneel,lançadaem2019e voltadaàcriaçãodesoluçõesnaáreade mobilidadeelétricaeficiente,visafazer avaliaçõesdestinadasagarantiraqualidadedaenergiadaredeelétricacom

lítio-íonemcarroelétricoédeaproximadamenteapenas8a10anos.

Segundoopesquisadordaáreade sistemasdeenergiadoCPQD,Vitor Arioli,odesenvolvimentodoprojeto começoucomarealização,emlaboratório,deváriosensaiosemediçõesem bateriasdeônibuselétricosdegradadas,fornecidaspelaBYD.“Abateriade lítio-íonécompostaporváriascélulas, queformamumpack”,explica.“Otrabalhonolaboratórioenvolveuaanálise decercade500célulasfornecidaspela BYDe,combasenisso,desenvolvemos umametodologiaparaavaliaçãoeseleçãodascélulasmaisadequadaspara comporumabateriadesegundavida”, destacaArioli.

Alémdametodologia,oCPQDdesenvolveualgoritmoseoprotótipoda própriabateriadesegundavida – oque incluihardware,mecânicaeosistema degerenciamentoconhecido comoBMS(doinglês Battery ManagementSystem).Realizou tambémumaPoCemsuas instalaçõesemCampinase testesdeciclagemparaaceleraroprocessodeenvelhecimentoedeterminarotempo realdeduraçãodeumabaterianasuasegundavida.

tambémmobilidadeelétrica.Zaninacreditaqueatecnologiasejaempregadaem veículosdegrandeporte,comoônibus ecaminhões.EmconjuntocomaWEG, especializadanafabricaçãodemotores elétricos,ospesquisadoresdaUnicamp submeteramrecentementeumapropostadeprojetonoprogramafederalRota 2030,deincentivoàinovaçãonacadeia produtivaautomotiva,paraodesenvolvimentoeaproduçãodebaterias desódiode1ampère-hora(Ah),com módulosdearmazenamentoenergético de1,2quilowatt-hora(kWh),adequadas paraequiparcarroselétricoshíbridos.

Atualmente,asbateriasdelítioé apontadacomoatecnologiamaiseficienteparaarmazenarenergia,sendo capazesdeestocar30%maisenergia doqueumabateriadesódio.Também realizamumnúmeromaiordeciclos decargaedescargadeenergia.Noentanto,osódioéconsideradouminsumomaisacessível.Alémdisso,prevê-se queaaltademandademercadopelo lítionospróximosanosesuasreservas limitadasimpulsionarãoousodeoutrastecnologias.

ousodessabateriadesegundavida,de acordocomogerentedesoluçõesem sistemasdeenergiadoCPQD,AristidesFerreira.Comotérminodaprova deconceito,previstoparasetembro,a tecnologiaestaráprontaparasertransferidaparaaempresaresponsávelpela fabricaçãoecomercializaçãonomercadodabateriadesegundavida.

Comoabateriaéoprincipalcomponentedeumveículo100%elétrico,o desafiodoprojetoéestenderporpelo menosmais5a10anosseuusoemváriasaplicações,comooarmazenamento deenergiageradaporsistemasfotovoltaicoseoutrasfontesintermitentesou mesmopara backup emestaçõesdetelecomunicações.Issoporque,dependendodouso,aduraçãodeumabateriade

Pesquisadoresdesenvolvem soluçãodearmazenamento àbasedesódio

UmaequipedepesquisadaUnicamp-UniversidadeEstadualde Campinas,sobaliderançadeHudson Zanin,professordaFeec-Unicamp, estádesenvolvendooprimeiroprotótipobrasileirodeumabateriadesódio. Oprojetoérealizadonoâmbitodo Cine-CentrodeInovaçãoemNovas Energias,apoiadopelaFapespeaShell.

Ainiciativavisacriarumasolução alternativadearmazenamentodeenergia,principalmentevoltadaaaplicações estacionárias,eocuparáreasdemercadoespecíficas,comooarmazenamento deenergiasolarfotovoltaicaeeólica,e

SegundoZanin,ofuncionamento dasbateriasdesódioedelítioéparecido:osíonstransportameestocam elétronsduranteosprocessosdecarga edescargadeenergia;adiferençaé queoíondesódioémaiordoqueode lítioe,portanto,temmaisdificuldade parapenetraraestruturadoseletrodos, exigindoodesenvolvimentodeeletrodosquefacilitemessaoperação.Nesse contexto,umapesquisarealizadaduranteodoutoradoemengenhariaelétricadeCarlaMartinsReal,soborientaçãodeZanin,demonstraopotencial deumnovomaterialparaaconstrução deeletrodos,formadopornanotubos decarbonocomnanopartículasde pentóxidodenióbio,quepoderiaaumentaracapacidadeeavelocidade detransporteeestocagemdecargas elétricasdosíonsdesódio.Umartigo sobreotemafoipublicadoemagosto de2022noJournalofEnergyStorage (www.sciencedirect.com/science/ article/abs/pii/S2352152X22008027).

FotoVolt - Julho - 2023 76 Pesquisa & inovação
ProjetodoCPQD,daCPFLedaBYDfaráprovadeconceitoparaaprovar usodabateriaveiculardesegundavidaparaarmazenarenergiasolar

OESPAÇODAENERGIA SOLARFOTOVOLTAICA

Amaiorexibiçãoeconferênciada indústriasolarnaAméricadoSul

EXPOCENTERNORTE,SÃOPAULO,BRASIL

IntersolarSouthAmerica–maioreventosolardaAméricaLatina–enfocaosramosdefotovoltaicos,produçãoFVe tecnologiastermossolares.Simultaneamente,noCongressoIntersolarSouthAmerica,especialistasrenomadosfalamdos temasmaisatuaisdosetor.

Ovisitanteencontraráacompletacadeiaprodutivadossetoresfotovoltaicoetermossolar–desdecélulasemódulosFVa equilíbriodesistemas,componentes,rastreamento,atéaplicaçõesedistribuidoras.Marcasglobaiselocaisapresentarão suastecnologiasdeúltimageraçãoemostrarãopossibilidadesdelucrar,economizareacompanharosavançosdo mercadosolar.

INSCRIÇÕESABERTAS

Façasuacredencialgratuita:www.intersolar.net.br

Produtos

Módulosfotovoltaicos

A3SUNapresentourecentementetrês novosmódulosfotovoltaicosqueestarãodisponíveisnomercadoem2024, baseadosemtecnologiadeheterojunção(HJT)3SUNCore-H,desenvolvida pelaempresa,quecombinasilíciocristalinocomcamadasdesilícioamorfo. Osmódulos3SUNsãoproduzidosna Itália,semousodechumboouflúor eemtemperaturasreduzidas,oque permite,segundoaempresa,oferecer garantiadedesempenhode30anos.

O 3SUNM40 édedicadoacoberturas de edifíciosresidenciais e comerciais/industriais,comcapacidadede440-480W edesignquevisaminimizaroscustos deinstalação.Deacordocomaempresa,o 3SUNM40 Bold,porsuavez,tambémdestinadoaedifíciose,emgeral,à geraçãodistribuída,temvidaútilcomprovadaatétrêsvezesmaiordoque ospadrõesIEC-InternationalElectrotechnicalCommission,capacidadede 430-470Weeficiência deaté24,5%,oferece altorendimentode energiatantoemlatitudesmaisbaixas, geralmentecaracterizadasporclimasexcessivamentequentes,quantoaNorte, caracterizadoporcondiçõesclimáticas adversas,comoneveevento,alémde baixaluminosidade.Porfim,o 3SUN B60,módulodeduplafacedestinado aosegmentodeutilidadepública,com capacidadede640-680Weeficiência deaté24%,possuiconfiguraçãovidrovidrocomgradebrancaentreascélulas paragarantirmelhorreflexãodaluz.

Contacomfatordebifacialidadede 95%emateriaiscombinadoscomrevestimentosantirreflexosqueminimizam asperdasdevidoàreflexãodaluz.

www.3sun.com

Microinversor

AFotusdistribuiomicroinversor M12-2000,fabricadopelaTechPower. Oequipamentotempotênciamáxima

desaídade2000W,podendosuportar até4módulosde600W,econtacom 4MPPTsindividuais.AtensãoCAéde 220Veinstalaçãocom baixatensão CC,reduzindoriscosde acidentese incêndio,segundoaempresa.Possui rapidshutdown integrado;até4microinversoresporcabotronco;16A decorrentedeentrada;proteçãoIP67, sendototalmenteprotegidocontrapoeiraeimersãoemáguatemporária;e Wi-Fiintegradocomalcancedeaté 100mparacomunicaçãoemonitoramento.Afabricanteoferecegarantiade 15anoseoaplicativoRCMI,queforneceaosusuáriosarmazenamentoeexibiçãodedadosemaltavelocidade.

www.fotus.com.br

Plataformadeprojetos

Aplataforma inSun évoltadaparao projetodeusinasfotovoltaicas.Integra normativaslegais,catálogodeprodutosatualizadoecondiçõesclimáticas específicasdoPaís.Segundoaempresa,osistemapermiteainstaladorese projetistasfazeremprojetosfotovoltaicosemmenosdeumahora.O inSun criaautomaticamenteedifícios3D,que podemsermodificadospormeiode encaixeautomatizado,epermiteanálisedesombras,configuraçõeselétricas, análisesestatísticasdeacordocoma legislaçãovigenteeaindadefinição doperfildecargaparacalcularoROI (retornodoinvestimento).Outraferramentaéapossibilidadedeexportação doprojetocompletocomsimulações deprodução,arquivosdwgedesenhos simplesecompartilhamentodainstalaçãocomoclienteatravésdoaplicativo inSundisponívelnaAppStoreeno GooglePlay.

Segundoa empresa, todaadocumentação

égeradacomosdadosdosmódulos, estruturas,inversoresebateriasfornecidosdiretamentepelosfabricantes.

https://insunhub.com/pt/

Stringbox

ASopranofornece stringbox CCpara proteçãodosistemafotovoltaicona

geraçãoemcorrentecontínua,sendo definidadeacordocomascaracterísticasdainstalação.Écompostaporum DPSCCeumdisjuntorCC.Aempresa forneceprodutoscom1a4 strings,tensãodeoperaçãomáximade1000Vcc, dispositivodeproteçãocontrasurto DPSde1000Vcc,de1a4disjuntores, correntepor string de32A,seccionadorade32AccegraudeproteçãoIP 40e65.

www.soprano.com.br

Fontedealimentação

Odispositivodefontedealimentação CP-S.124/20.0,daABB,visafornecer conexãoseguraecomeficiênciaenergéticaparasistemasdearmazenamento debateria.Asoluçãoconectaabateria earede,incluindoconversoresdeenergiaAC-DC,transformadoresecomutadores.Deacordocom aempresa,alinha CP-S.1 écompacta, comeconomiade espaçodeaté50%,e combinaeficiênciae perdadeenergiareduzida,tornandoasoluçãoeconômica paraaplicaçõesdegrandeescala.Com eficiênciadeaté94%,a CP-S.124/40.0 podeeconomizaraté1,4toneladasde CO2 duranteumavidaútiltípicadedez anosemcomparaçãocomdispositivos padrãocomeficiênciade92%,afirmaa ABB.Odesignincorporarevestimento PCBAecertificaçãomarítima,tornando osistemaadequadoparaaplicações solares,marítimaseeólicas.

www.abb.com

FotoVolt-Julho-2023 78

Eficiênciaenergéticae assinaturadeenergiasolarASunMobi,queatuanoserviçodeassinaturadeenergia solar,lançourecentemente umacartilhagratuitaque mostracomopadariaserestaurantespodemreduzira contadeluzeimplementar políticasdesustentabilidadea partirdemedidasdeeficiênciaenergéticaeusodenovas tecnologiasparaaquisição decréditosdeenergialimpa, alémdesistemasinteligentes decontroleemonitoramentodeconsumo.Segundoa

Abip-AssociaçãoBrasileira daIndústriadePanificaçãoe ConfeitariaeaAbrasel-AssociaçãoBrasileiradeBarese

Restaurantes,despesascom energiaelétricaestãoentreos maiorescustosdosetor,em funçãodoprocessodefabricação,conservaçãoeconforto térmico.Oobjetivodo ebook émostrarcomoocontrolee aotimizaçãodoconsumode energiaestãoligadosdireta-

menteàimplementaçãode hábitosmaisconscientese inteligentesnousodosequipamentosmaiscríticosdos estabelecimentos,como,por exemplo,ar-condicionado, grandes freezers efornoselétricos.ASunMobitambém forneceumaplicativoeum sistemademonitoramentodo consumoaosassinantes,para acompanhamentodosgastos deeletricidadeeemissão dealertasemcasodepicos deconsumodosaparelhos elétricos.Osistematambém permitegerarrelatórioscom informaçõessobreocomportamentodousuárioemrelaçãogastosdeenergia,comvistasàconscientização.Acartilhapodeserbaixada gratuitamentenositehttps:// materiais.sunmobi.com.br/ lp-ebook-mais-eficienciaenergetica-para-restaurantese-padarias

H2Vesiderurgia -Deacordo comrelatóriopublicadopelo thinktank

Agora,ohidrogênioverde tendeaserumelementoimportanteparaviabilizaradescarbonizaçãodaprodução globaldeaçoeferroatéo iníciodadécadade2040.De

tencialbrasileiro deprodução dehidrogênio verdemerece destaque,jáque oBrasiltem grandedisponibilidadede energiarenovável,emfunção principalmente docrescimentodageração solareeólica.Oestudo afirmaqueétecnicamente viávelemissõeslíquidaszero àsiderurgiaatéohorizonte consideradonolevantamento. Aosexportadores,sobretudo aquelescomgrandecapacidadeemenergiarenovável (casodoBrasil) valedestacar aindaqueoPaíséosegundo maiorexportadordeminério deferro,atrásdaAustrália , orelatóriorecomendaexportar“hidrogênioincorporado”naformadeaçoeferro verdes.Alémdisso,oestudo destacaqueastecnologiase estratégiasnecessáriaspara atingirozerolíquidojáexistem,maséprecisoquegovernoseempresascombinem seusesforçosparaimplantálasrapidamente.Dentreas estratégicas,estãolistadasa eficiêncianousodosmateriais,oaumentodarecicla-

gem,aprodução deaçocombase emhidrogênio verde,alémda bioenergiaede algumasabordagensdecaptura earmazenamentodecarbono. Orelatórioafirmatambémque ocomérciodeferroverde podereduziroscustosda transformaçãoglobaldoaço, sendovantajosotantoparaexportadorescomoimportadores,hajavistaqueotransporte dehidrogênioincorporado comoferroverdeserásignificativamentemaisbaratodo queotransportedehidrogênioeseusderivadospornavio.Eparaosimportadores, oferroverdepodeaumentar acompetitividadedaproduçãodeaçocombaixoteorde carbono,ajudandoamanter osempregoslocaisnosetor siderúrgico.Paraimpulsionar estecenário,osanalistasda Agorarecomendamaconstruçãodeparceriasentreexportadoreseimportadores.Apublicaçãopodeseracessadaem www.agora-energiewende. de/en/publications/15insights-on-the-global-steeltransformation-1/.

deenergiaalemão
acordocomorelatório,opoÍndicedeanunciantes 65 .......................................... 81 13 55 57 26e27 19 31 79 33 ..................................... 16 25 48 .................................. 2ªcapa 60 69 41 10e11 51 70 71 24 ....................................... 34 15 50 ..................................... 36 23 53 49 45 7 17 59 61 ....................................... 35 43 3ªcapa ....................................... 56 38e39 4ªcapa 73 37 4e5 70 30 75 .............................................. 18 47 FotoVolt-Julho-2023 Publicações 80 2P Absolar Boltinox Chint Cobrecom DahSolar DominioSolar Dutoplast Ecoenergy Elgin Embrastec Foxess Geodesign Growatt Haina Hoymiles Huawei Inox-Par JASolar JRPainéis Ludufix Marvitec Megatron Metallight MiOmega MoEnergy Nansen Newfix Novemp NTCSomar Ourolux Perfilmaster Perkus Pextron Renesola RibeiroSolar Romagnole Romiotto Saj SenseSolar SerranaSolar Sofar Solis Tecap Techlux Trael Tsun Valmont
ABSOLAR:
transiçãoenergética
A ABSOLAR éaúnicaassociaçãoquereúnetodos oselosdacadeiasolarfotovoltaicaesuastecnologias agregadas.Tudoparatrazer informaçãoexclusiva, relacionamento e negócios paraasuaempresa. São maisde50benefícios queoassociadoacessaemum portalexclusivodeformarápida,ágilenapalmadamão! Évocê100%conectado,24horas, comtudooquemaisprecisa! FalecomaABSOLAR: 11 3197-4560 | 98943-8958 associativo@absolar.org.br www.absolar.org.br ideia dois Networking
construindoa
paravocê!
PlantãodeDúvidas
Especialistasà disposição
Eventos

Aenergiasolareopapel doBrasilnageopolítica internacional

Ocrescimentocontinuadodaenergiafotovoltaica fortaleceráasustentabilidadeeampliaráa liderançabrasileiranageopolíticainternacionalda transiçãoenergéticaedocombateàsmudançasclimáticas”.

Emborapossuadesafiosinternos depolíticaspúblicasparaaaceleraçãodesuatransiçãoenergética,o Brasildefinitivamentevoltouabuscar seuespaçodeprotagonismogeopolítico nodesenvolvimentosustentáveleno combateaoaquecimentoglobal.Sinal clarodestamudançadeposturabrasileiranoâmbitointernacionaléaconfirmaçãodoPaíscomosededaConferênciadaOrganizaçãodasNaçõesUnidas sobreMudançasClimáticas(COP30), em2025,queserárealizadanacidade deBelém,capitaldoestadodoPará.

ApoiadapelaAbsolar-Associação BrasileiradeEnergiaSolarFotovoltaica, aescolhadoPaísparaserpalcocentral domaisimportanteeventosobremudançasclimáticasdoplanetatambém reforçaopapelestratégicodosetorsolarfotovoltaicobrasileironodesenvolvimentosustentável,socioeconômico eambiental,comotecnologiachaveno combateaoaquecimentoglobalque ameaçaahumanidade.

Osnúmerosfalamporsi:desde2012, afontesolarevitouaemissãodemais de39,1milhõesdetoneladasdeCO2 na geraçãodeeletricidade,alémdeeconomizaráguanosreservatóriosdashidrelétricas,recursocadavezmaisprecioso, devidoaosseusmúltiplosusosparaa sociedade(abastecimentohumano,agriculturaecriaçãoanimal,processosprodutivos,entreoutros).Adicionalmente, atecnologiafotovoltaicaajudaaindana reduçãodousodetermelétricasfósseis, maiscarasepoluentes,paraageração

deeletricidade,aliviandocustosatodos osconsumidoresbrasileirosemitigando asemissõesdepoluentesatmosféricos danososparaasaúde.

Emcomplementoaestaimportante contribuiçãoambiental,osetorsolar trouxeaoBrasil,nomesmoperíodo, robustascontribuiçõessocioeconômicas:forammaisdeR$151,7bilhõesem novosinvestimentos,gerandomaisde 918,4milnovosempregosdequalidade econtribuindocomumaarrecadação aoscofrespúblicosdemaisdeR$44,5 bilhõesemtributos.

Ao naldavidaútildemaisde25 anos,osequipamentossolarestambém possuemaltoíndicedereciclagem,a exemplodosmódulosfotovoltaicos,principalcomponentedossistemas.Segundo estudodaPVCycle,entidadeindependenteresponsávelpeloprogramavoluntáriodereciclagemdeequipamentos fotovoltaicosdosetor,até96%domódulofotovoltaicopodeserrecuperado ereaproveitadoemnovasatividades produtivas,pormeiodareciclagem.

UmlevantamentodaUniversidade deBerkeley,nosEUA,mostraqueeste valorémuitosuperioraopotencialde reciclagemdeeletrodomésticoseequipamentoseletrônicoscomunsemmuitas residênciasdomundo,comogeladeiras (75%),smartphones(87%)ecomputadores(90%).Paralatinhasdealumínio, esteíndiceéde97%,segundodadosda Abralatas-AssociaçãoBrasileirados FabricantesdeLatasdeAlumínio.Ou seja,ummódulofotovoltaicoéquasetão

reciclávelcomoumalatinhadealumínio,boanotíciaparaasustentabilidade delongoprazodafontesolar.

Outravantagemestánapossibilidade deinstalaçãodesistemassolares utuantes,emespelhosd’água,queajudama reduzirematé70%aevaporaçãohídrica, segundoestudosinternacionais.

Porterumdosmelhoresrecursos solaresdomundo,oBrasiltambémsai nafrentenaprodutividadedossistemassolares.Deacordocomanálise doFraunhoferISEde2021,umausina fotovoltaicainstaladanoterritórionacionalproduzirá,emmédia,19vezesmais energiadurantesuaoperaçãodoque aquelausadanasuafabricação.Ouseja, emmenosde1,3anodefuncionamento, aeletricidadegeradapelosistemasolar compensatodaaenergiaconsumidano seuprocessodeprodução,umgrande superávitenergético.

Atualmenteasolaréasegundamaior fontenamatrizelétricabrasileira,com maisde30,6GWempotênciainstaladaoperacional,oequivalentea14,3% detodaapotênciainstaladadoBrasil. Assim,ocrescimentocontinuadoda energiafotovoltaicafortalecerá,cada vezmais,asustentabilidadeeampliará aliderançabrasileiranageopolíticainternacionaldatransiçãoenergéticaedo combateàsmudançasclimáticas,além depromoveraatraçãodemaisinvestimentosnacionaiseinternacionaisao País,aaberturademaisempregosverdes eageraçãoderendaaosbrasileiros.

* BárbaraRubimévice-presidentedeGeração DistribuídadaAbsolareCEOdaBrightStrategies, RodrigoSauaiaéCEOdaAbsolareRonaldo KoloszuképresidentedoConselhodeAdministração daAbsolar.

FotoVolt-Julho-2023
SolarFVemfoco 82
BárbaraRubim,RodrigoSauaiaeRonaldoKoloszuk *

Turn static files into dynamic content formats.

Create a flipbook
Issuu converts static files into: digital portfolios, online yearbooks, online catalogs, digital photo albums and more. Sign up and create your flipbook.