CHANGEMENT À L’HORIZON
LE POINT SUR LES FRIGORIGÈNES
LES PLUS RÉCENTES NOUVELLES DE L’INDUSTRIE

![]()
LE POINT SUR LES FRIGORIGÈNES
LES PLUS RÉCENTES NOUVELLES DE L’INDUSTRIE

Achetez une thermopompe, un générateur d’air chaud à gaz ou un appareil de traitement de l’air Brock, et courez la chance de gagner une unité supplémentaire pour une installation future.





VOUS POURRIEZ
ÉGALEMENT
GAGNER UN PRIX
SECONDAIRE!
Gagnez une unité. Concluez plus d’affaires. Voici comment participer :
• Achetez un générateur d’air chaud à gaz, une thermopompe ou un appareil de traitement de l’air Brock pour obtenir un bulletin de participation au tirage.
• Obtenez une participation SUPPLÉMENTAIRE lorsque vous faites votre achat sur Wolseley Express.
• La période de participation est du 1er octobre 2022 au 31 janvier 2023.
Apportez la chaleur avec Brock et PARTICIPEZ POUR GAGNER! Visitez
WolseleyExpress.com/brock pour en savoir plus ou Scannez pour voir les produits Brock
Ne manquez jamais une AUBAINE! Scannez pour vous inscrire à notre liste de diffusion dès aujourd’hui.

Éditorial
Nouvelles de l’industrie
Le point sur les frigorigènes
Des solutions légèrement inflammables, mais plus respectueuses de l’environnement
PAR IAN McTEER
Produits de CVC
Aperçu de produits récemment lancés dans l’industrie de la mécanique du bâtiment
Répertoire des grossistes au Québec
Pour trouver l’entrepreneur que vous cherchez plus facilement et plus rapidement
Avantages de la conception à contrecourant
Les échangeurs de chaleur tirent grandement parti d’une configuration à flux inversé
PAR JOHN SIEGENTHALER
Index des annonceurs 4

6 8 14 15 20

Saviez-vous que la Corporation des entreprises en traitement de l’air et du froid (CÉTAF) a récemment publié le guide Bonnes pratiques en réfrigération à l’attention des professionnels de l’industrie de la réfrigération au Québec, lesquels doivent composer avec plusieurs changements depuis quelques années, entre autres en matière de règlements, codes et permis? Élaboré par des experts du domaine et validé par les instances pertinentes, ce nouveau guide fournit de précieux renseignements sur l’interprétation et la mise en application d’aspects souvent complexes, comme la compréhension erronée d’un terme ou la difficulté à s’y retrouver parmi les nombreuses exigences des règlements, codes et programmes.
Tout comme le thème principal de ce numéro, le guide aborde le choix des frigorigènes. Ce choix du meilleur produit repose sur un effort planétaire qui perdure depuis plus de 30 ans, après la découverte d’un trou dans la couche d’ozone au-dessus de l’Antartique. Dans sa chronique (page 8), Ian McTeer nous rapporte la bonne nouvelle que des études récentes auraient permis de confirmer la « refermeture » de ce trou. Voilà qui est encourageant, et qui vient valider l’importance d’aller de l’avant avec des solutions plus écologiques. Le guide de la CÉTAF aborde également la norme FÉACF (facteur énergétique annuel de la chambre froide) et les consignes relatives aux installations sous pression au Québec. Il est à noter que l’ouvrage sera bonifié dans les prochains mois pour traiter des autres normes et codes relatifs à la réfrigération. Les membres de la CÉTAF peuvent télécharger le guide gratuitement dans la partie Intranet du site www.cetaf.qc.ca
L’équipe de PCC profite de cette dernière édition de l’année – qui inclut, selon notre habitude, la plus récente édition du Répertoire des grossistes au Québec (pages 15 à 18) – pour vous souhaiter une très agréable période des Fêtes. D’ici notre retour sur papier en 2023, nous vous invitons à consulter votre PCCyberbulletin (abonnement gratuit en ligne), ainsi que nos capsules d’information publiées régulièrement sur notre site Internet (www.pccmag.ca) et sur Twitter (@monpccmag), afin de demeurer informés sur l’évolution de notre industrie.
Enfin, nous vous signalons que notre édition de mars 2023 contiendra la rubrique annuelle unique à notre publication « Des mots à votre image ». Il s’agit d’une vitrine permettant aux annonceurs de présenter leurs produits ou services de façon originale et à prix avantageux. En outre, la visibilité de ce numéro se verra optimisée par le très attendu Salon MCEE (Mécanex/Climatex/Expolectriq/Éclairage) – qui se tiendra les 19 et 20 avril au Palais des congrès de Montréal – comme son tirage sera plus élevé pour distribution aux visiteurs de l’événement. Nous vous invitons à communiquer avec nous pour en savoir plus.


Rédacteur en chef
C.P. 51058
Pincourt, QC, J7V 9T3 www.pccmag.ca
Service aux lecteurs
Pour s’inscrire au magazine papier et numérique ou pour faire une modification, contactez Urszula Grzyb, directrice de la diffusion Tél: (416) 510-5180 Télécopieur: (416) 510-6875
Courriel: UGrzyb@annexbusinessmedia.com
Courrier: 111 Gordon Baker Rd., Suite 400, Toronto, ON M2H 3R1
RÉDACTEUR EN CHEF : Luc Boily 450 622-6035
LBoily.pcc@videotron.ca
DIRECTRICE ARTISTIQUE : Emily Sun esun@annexbusinessmedia.com
DIRECTEUR DE CONTENU : Doug Picklyk DPicklyk@hpacmag.com
DIRECTRICE DE LA DIFFUSION : Urszula Grzyb UGrzyb@annexbusinessmedia.com
ÉDITEUR : Peter Leonard PLeonard@hpacmag.com
ANNEX BUSINESS MEDIA
DIRECTEUR DE L’EXPLOITATION Scott Jamieson SJamieson@annexbusinessmedia.com
Entente de publication postale no : 40065710
Enregistrement no : 10815
Le magazine Pomberie Chauffage Climatisation est publié cinq fois par année par Annex Business Media. Le magazine PCC est la plus importante publication francophone s’adressant aux entrepreneurs en mécanique du bâtiment du Québec et à leurs fournisseurs.
ISSN: 0017-9418
Le contenu, sous droit d’auteur © 2022 d’Annex Business Media, ne peut être reproduit entièrement ou en partie sans permission.
SERVICES AUX ABONNÉS : Pour vous abonner, renouveler votre abonnement ou modifier votre adresse ou de l’information concernant votre dossier, veuillez vous rendre au www.pccmag.ca
Prix d’un abonnement annuel : au Canada, 40 $ CDN; à l’extérieur du Canada, 80 $ US. Prix pour un exemplaire au Canada : 5 $ CDN. Pomberie Chauffage Climatisation est publié cinq fois par année.
PRÉFÉRENCES POSTALES : De temps à autre, nous mettons notre liste d’abonnés à la disposition de compagnies et d’organisations ciblées dont les produits et services pourraient vous intéresser. Si vous souhaitez que votre information demeure confidentielle, nous vous prions de communiquer avec nous de l’une des façons suivantes : tél.: 800 387-0273; téléc.: 416 442-2191; courriel: vmoore@annexbusinessmedia.com Le magazine PCC reçoit du matériel non sollicité (incluant des lettres au rédacteur en chef, communiqués de presse, articles promotionnels et images) de temps en temps. Le magazine PCC, ses filiales et ses délégataires peuvent employer, reproduire, éditer, republier, distribuer, stocker et archiver ces présentations non sollicitées entièrement ou en partie de n’importe quelle façon et dans n’importe quel média, sans compensation d’aucune sorte. AVIS:
Le magazine PCC, le magazine HPAC, Annex Business Media, leurs employés, dirigeants, directeurs et actionnaires (reconnus en tant qu’« éditeur ») n’assument aucune responsabilité ou engagement pour des réclamations résultant des produits annoncés. L’éditeur se réserve également le droit de limiter la responsabilité pour des erreurs éditoriales, des omissions et des inadvertances, à une correction imprimée dans une parution ultérieure. Le contenu éditorial du magazine PCC est rédigé pour le personnel de gestion mécanique de l’industrie qui possède une formation dans les domaines mécaniques dans lesquels il travaille. Les instructions imprimées par les fabricants, les fiches signalétiques et les avis ont toujours priorité sur les énoncés éditoriaux. Nous reconnaissons l’aide financière du gouvernement du Canada par l’entremise du Fonds du Canada (FCP) pour nos activités d’édition.
FIER MEMBRE DE :






Vous pouvez maintenant inspecter des conduites loin d’une source d’énergie. L’adaptateur de batterie Gen-Pack offre une charge allant jusqu’à 12 heures, pour les endroits où l’accès à l’électricité est limité. Le Gen-Pack est vendu séparément.
Et ce n’est pas tout ! Vous pouvez également enregistrer sur une clé USB ou envoyer l’enregistrement à vos clients grâce à l’émetteur Wi-Fi intégré. De plus, vous pouvez connaître la distance parcourue par la caméra grâce au compteur de distance à l’écran.
Pour plus d’information, contactez les Agences Rafales au 514 905-5684 ou visitez le drainbrain.com/français.
Nettementlesplusrobustes

Félicitations à tous les participants
Les gagnants de la deuxième édition du concours national d’installation de systèmes hydroniques Sweet Heat – organisé par le magazine HPAC – ont été dévoilés par John Siegenthaler le 15 septembre dernier lors du Sommet Hydronique moderne qui s’est déroulé à Vaughan en Ontario. 30 projets ont été soumis cette année, dans les deux secteurs suivants : Résidentiel et Commercial. Voici les deux gagnants : Family Tradition Propane Services à Oakhill en NouvelleÉcosse (Résidentiel) pour son projet de rénovation d'une maison centenaire à Oakhill; et South Island Mechanical à Victoria en ColombieBritannique (Commercial) pour son projet de centrale énergétique de quartier à Langford. Rappelons que chaque gagnant remporte 3000 $ en achats chez le grossiste EMCO de sa localité. Félicitations aux gagnants, merci à tous les participants et la meilleure des chances l’an prochain.

Préparer la main-d’œuvre de demain
Le Service d’apprentissage du Canada offre jusqu’à 20 000 $ d’aide financière aux petites ou moyennes entreprises à la recherche d’apprentis pour construire leur future main-d’œuvre. Il offre également un accès gratuit au service de jumelage employeursapprentis, un accès gratuit à des programmes de mentorat et un
accès gratuit à de la formation sur la diversité et l’inclusion. Il est possible de s’inscrire en ligne ( www.apprenticesearch.com ) à titre d’employeur et de chercheur d’emploi. On peut également s’inscrire pour recevoir des mises à jour sur le programme par courriel, des informations sur l’embauche d’un apprenti ou de l’aide pour devenir apprenti.

Garantie de construction résidentielle (GCR) a déployé une campagne numérique cet automne visant à encourager les consommateurs à effectuer les vérifications nécessaires lorsqu’ils sont en processus d’acquérir une propriété neuve. Deux sujets importants y ont été abordés : l’accréditation de l’entreprise auprès de GCR et la protection des acomptes par la réglementation. Regroupant trois courtes vidéos, la campagne a eu comme mandat d’expliquer au public – en mettant en parallèle des situations du quotidien sur un ton humoristique – l’importance d’éviter de prendre des risques lorsqu’il s’agit d’acquérir une habitation neuve. Afin d’aider les consommateurs à faire un choix éclairé quant à l’entreprise qui construira leur habitation neuve, GCR a mis à leur disposition le Répertoire des entreprises accréditées : un outil gratuit en ligne comprenant des informations pertinentes sur chaque entreprise en construction résidentielle neuve accréditée au plan de garantie obligatoire. Parmi ces informations, soulignons les non-conformités relevées lors des inspections menées par GCR, le
nombre de bâtiments enregistrés ainsi que le nombre de dossiers de réclamations reconnus. Rappelons que l’accréditation chez GCR d’une entreprise qui souhaite bâtir des habitations neuves assujetties au Règlement sur le plan de garantie des bâtiments résidentiels neufs est obligatoire selon la loi, tout comme l’enregistrement de chacun des bâtiments qu’elle construit. Soulignons qu’il est également obligatoire que l’entreprise détienne la licence appropriée de la Régie du bâtiment du Québec (1.1.1. ou 1.1.2.). GCR tient aussi à rappeler que la protection des acomptes pour les habitations neuves couvertes par le plan de garantie obligatoire est fixée à 50 000 $ au maximum.

Ralph
En hommage à sa contribution au Conseil consultatif canadien de la plomberie et de la mécanique ainsi qu’à l’ensemble de l’industrie, le PDG de l’Institut canadien de plomberie et de chauffage (ICPC) Ralph Suppa a récemment été honoré par ses pairs canadiens et américains en recevant un Prix Joseph K. Seidner 2022. « Ayant récemment annoncé son départ à la retraite, ce prix ne pouvait pas mieux tomber », a fait valoir l’ICPC par voie de communiqué. Depuis son arrivée à l’ICPC en 1988, M. Suppa a dirigé le Conseil canadien de l’hydronique, le Conseil consultatif de l’industrie de la plomberie, le Conseil consultatif canadien de la plomberie ainsi que d’autres conseils et comités au sein
de l’association. L’autre Prix Joseph K. Seidner de l’année a été décerné au Comité canadien de réglementation de la plomberie (CCRP) pour sa précieuse contribution au cours des deux dernières années, particulièrement pendant la pandémie de COVID-19, où il a joué un rôle clé dans la protection de la santé et la sécurité des Canadiens. Le CCRP sert de tribune à l’industrie, aux instances de réglementation et aux agences d’homologation des produits afin de leur permettre d’échanger de nouveaux concepts, de discuter de politiques et d’examiner les nouvelles technologies qui ont un impact sur les normes de plomberie et sur les tests d’homologation des produits de plomberie. Le comité surveille également le bon fonctionnement des réseaux d’approvisionnement en eau et des systèmes d’assainissement.

Éric Gagnier
La Corporation des maîtres mécaniciens en tuyauterie du Québec (CMMTQ) a fait savoir que son collaborateur et ami, Éric Gagnier – conseiller technique en plomberie à la Régie du bâtiment du Québec (RBQ) depuis 2005 – a pris la direction de la retraite cet été. Les 16 années précédentes (1989-2005), Éric avait été inspecteur en plomberie. Toute l’équipe de la CMMTQ le remercie chaleureusement pour sa précieuse collaboration au fil des années, tant pour la rédaction d’articles techniques, de fiches Bonnes pratiques, de guides que la présentation de conférences lors de différents événements, y compris le Salon Mécanex/Climatex/Expolectriq/ Éclairage (MCEE), dont la prochaine édition est prévue pour les 19 et 20 avril 2023 au Palais des congrès de Montréal. L’équipe de PCC lève également son chapeau à ce travailleur rigoureux, compétent et informé –jamais plus loin qu’à un coup de fil ou
un courriel – ainsi que cet individu à l’écoute et généreux de son temps. Bonne suite de vie!
Le fabricant de produits de chauffage électrique et de contrôles électroniques Stelpro a annoncé avoir conclu une entente selon laquelle il est devenu le fournisseur national officiel des produits de chauffage électrique Nedco depuis le mois de septembre. Fournisseur de Nedco au Québec depuis plus de 20 ans, Stelpro étend ainsi sa portée d’un océan à l’autre. Ce faisant, les clients de Nedco ont désormais accès au catalogue complet de produits résidentiels, commerciaux et institutionnels de Stelpro, et ils peuvent tirer parti du soutien de son équipe de vente expérimentée.

L’entreprise familiale Alex Leclerc de Donnacona au Québec – spécialisée dans le domaine de la plomberie, du chauffage et du gaz – a annoncé avoir choisi Procore comme plateforme de gestion des projets de construction. Soulignons que cette plateforme offre un soutien en français (aux ventes, à la formation et au service à la clientèle). Après une recherche et une évaluation approfondies, l’entreprise a choisi Procore comme premier logiciel de gestion des projets de construction. La compagnie s’en servira pour soumettre des offres, approuver des engagements, suivre les demandes d’information et répondre aux éléments de liste de travaux avec les outils de gestion de projet pro Procore. Elle utilisera des outils
comme les plans, les QTR, les livrables et le rapport journalier pour fournir un aperçu de l’état d’avancement des projets en temps réel, ainsi que pour assurer un flux continu d’informations entre les chantiers et le bureau.

NOUVEAU
PRÉSIDENT
D’UPONOR
AMÉRIQUE DU NORD
Le fabricant de tuyaux en PEX et distributeur de produits en PP-RCT Uponor Corporation a récemment procédé à la nomination d’Andres Caballero à la présidence de sa division Solutions pour bâtiments Amérique du Nord et membre du conseil de direction d’Uponor. M. Caballero possède une vaste expérience dans des postes de direction, y compris une dizaine d’années chez Honeywell International inc., où il a dirigé divers services mondiaux, dont les solutions environnementales, les solutions de commande, les solutions de bâtiment, les solutions de domotique Honeywell Homes et le service des capteurs et commandes. Il a également fondé et dirigé trois entreprises de services de conseil en gestion, de technologies d’intelligence artificielle et de musique.

Le distributeur de produits de plomberie nord-américain
BMI Canada inc. de Boisbriand annonce le départ à la retraite de Mike Lavoie d’ici la fin de cette année, après avoir passé plus de 30 ans dans l’industrie, dont les 17 dernières chez BMI. La direction lève son chapeau à cet employé passionné et dévoué qui a réussi à bâtir des relations étroites et à long terme avec les clients et les fournisseurs.

PAR IAN McTEER
Après avoir acheté la Guardian Refrigerator Company en 1918, Billy Durant a incorporé l’entreprise à General Motors (GM) et l’a rebaptisée Frigidaire. En 1929, Frigidaire avait vendu plus d’un million de réfrigérateurs. Le problème rencontré à l’époque –qui empêchait Billy de dormir la nuit – était la nature désagréable des frigorigènes comme le dioxyde de soufre, le chlorure de méthyle et même l’ammoniac. Ce faisant, GM a créé une filiale pour explorer des frigorigènes de rechange. Le scientifique Thomas Midgley a formé une équipe de chercheurs, laquelle a développé le dichlorodifluorométhane, de marque Fréon 12 (R-12). L’équipe était absolument convaincue de la sécurité de ce produit. M. Midgley en avait même fait la démonstration publique en inspirant du R-12 à pleins poumons, puis en expirant le produit chimique sur la flamme d’une bougie : pas d’incendie, pas d’explosion et pas de malaise pour le cobaye. Cette solution devait être sûre, non? Le produit chimique a donc été jugé sécuritaire. Néanmoins, à l’insu de tous, y compris M. Midgley, la couche d’ozone était attaquée par ce gaz.
Lorsque la climatisation résidentielle est devenue plus populaire et abordable au début des années 1980, certains fabricants de climatiseurs ont choisi de fournir des systèmes à trois composants chargés de frigorigène R-22. Le serpentin de l’évaporateur contenait une charge latente de vapeur dont la majeure partie se trouvait dans l’unité extérieure. Les entrepreneurs achetaient un ensemble de conduites interconnectées en cuivre préchargées et préisolées (de la longueur et de la dimension requises pour le projet). Ces réseaux

préchargés étaient populaires, car aucun soudage ni purge du réseau n’étaient nécessaires.
Néanmoins, les réseaux préchargés comportaient les problèmes frustrants suivants :
• Les grossistes manquaient souvent d’ensembles de conduites courts, obligeant les installateurs à acheter des ensembles plus longs. La tuyauterie en excès devait être enroulée (horizontalement) quelque part dans la salle mécanique.
• Les conduites étaient souvent raides et difficiles à plier en raison d’une manipulation et d’un stockage inappropriés.
• Les conduites étaient trop
souvent de forme irrégulière.
• L’isolation des conduites se révélait souvent inadéquate, ce qui occasionnait la formation de condensats à l’extérieur.
Pour éviter certains des problèmes associés aux ensembles de conduites préchargées, certains entrepreneurs (y compris moimême) achetaient un ensemble de base contenant uniquement les raccords en laiton, puis fabriquaient un ensemble de conduites selon les spécifications des fabricants à partir de cuivre en vrac et d’isolation de meilleure qualité. Des coudes étaient même soudés au besoin pour réaliser des installations propres et bien adaptées aux locaux.
FIGURE 1
potentiel de destruction de l'ozone (PDO)
potentiel de réchauffement planétaire (PRP)
Ammoniac (NH3 ) 0 0
Dioxide de carbone (CO2 ) 0 1
Hydrocarbures
(Propane C 3 H 8 , Butane C 4 H 10 ) 0 3
Eau (H2O) 0 0
Chlorofluorocarbones (CFC) 1 4680-10 720
Hydrochlorofluorocarbones (HCFC) 0,02-0,06 76-12 100
Perfluorocarbures (PFC) 0 5820-12 010
Hydrofluorocarbures (HFC) 0 122-14 310
Tableau comparatif ozone/réchauffement
En raccordant la section du serpentin de l’évaporateur à la tuyauterie fabriquée sur place, la conduite d’aspiration, la conduite de liquide et le serpentin de l’évaporateur étaient remplis d’air. De la vapeur devait donc être injectée dans ces composants avant de les raccorder à l’unité extérieure, afin de rétablir la pression avant de libérer l’essentiel de la charge dans le réseau entièrement ouvert. Une fois en marche, le système de mesure du tube capillaire devait être chargé pour qu’il surchauffe.
IGNORANCE
Selon mon expérience, trop de systèmes préchargés s’avéraient, en fait, surchargés. Au démarrage, une quantité de frigorigène devait donc être expulsée du réseau. D’ailleurs, un fabricant fournissait même un tableau informant l'installateur du nombre de secondes pendant lesquelles le robinet d’aspiration devait être ouvert, laissant le frigorigène s’évacuer dans l’atmosphère. Cette procédure permettait de corriger le volume de la charge pour un ensemble de composants donné.
De nombreux appels pour service d’entretien en raison d’unités défectueuses ont nécessité le retrait de grandes quantités de R-22 dans des unités après qu’un autre technicien ait chargé une seule unité avec une quantité de R-22 qui aurait pu remplir plusieurs unités. Pourquoi? Parce que la théorie dominante parmi les techniciens mal formés était que pour empêcher le serpentin de l’évaporateur de givrer, il suffisait d’ajouter plus de R-22. « Pompez jusqu’à ce que vous lisiez 70 sur la jauge bleue. » M. Midgley avait convaincu les techniciens du CVC/R (ainsi que ceux utilisant des frigorigènes chlorés comme agent d’expansion) que les décharges de R-22 dans l’atmosphère étaient inoffensives.
Les manuels de réfrigération de mon époque affirmaient : « Il n’est pas recommandé d’économiser le frigorigène dans les petits systèmes. Le faible coût du frigorigène ne justifie pas le temps nécessaire à son stockage. Le technicien de service d’entretien peut l’évacuer dans l’air ou dans un système d’échappement approuvé… jamais dans un système d’évacuation des eaux usées ». Bien sûr, le technicien était averti de porter des lunettes et des gants, en particulier lors de l’évacuation dans l’atmosphère. Quel gâchis!
Alors que notre industrie s’est empressée de vendre les
Frigorigène
Groupe sécuritaire
Point d'autoinflammation
Vitesse de propagation
Chaleur deCombustion
2
Tableau de classification de l’inflammabilité
avantages du refroidissement central (et il y en a plusieurs), la relation complexe entre un réseau de conduits bien conçu et correctement installé, et l’unité de réfrigération censée fonctionner de concert avec lui n’était pas été entièrement comprise.
Bien trop souvent, ce manque de compréhension, apparemment anodin, a occasionné des pannes prématurées du système, souvent causées par une surcharge. Inévitablement, des quantités de frigorigène chloré (grandes et petites) étaient régulièrement expulsées dans l’atmosphère.
QUELQUES BONNES NOUVELLES
Des études scientifiques récentes indiquent que le trou d’ozone dans l’Antarctique s’est refermé. Nous faisons certainement ce qu’il faut en éliminant le chlore des frigorigènes. En récupérant les frigorigènes – même en provenance de petits systèmes – nous démontrons que nous prenons au sérieux les efforts entamés en 1988 pour réduire leur dommage environnemental. Il n’y a pas de retour en arri è re. L’équipement de récupération de frigorigènes se révèle désormais un outil important dans la trousse de chaque technicien et installateur. Malheureusement, les frigorigènes continuent de s’échapper dans l’atmosphère, le plus souvent à cause de fuites dans les réseaux, de dommages physiques et d’incendies.
Bien que le problème de l’appauvrissement de la couche d’ozone ait été en grande partie résolu, les scientifiques craignent que les frigorigènes ne causent d’autres dommages en contribuant au réchauffement climatique. Les frigorigènes chlorés tels que le R-12 ont été progressivement supprimés dans les années 1990, et les hydrochlorofluorocarbones (HCFC) sont à l’heure actuelle , soit supprimés, soit en élimination progressive. Le frigorigène de remplacement le plus courant du HCFC-22 est un hydrofluorocarbures (HFC). Même si son potentiel de destruction de l’ozone (PDO) est nul, le R-410a a un potentiel de réchauffement planétaire (PRP) inconfortablement élevé de 2088. Pour contrer l’énigme PDO/PRP, les scientifiques et les ingénieurs développent de meilleures méthodes d’utilisation de certains des produits chimiques que M. Midgley a dénigrés de façon systématique comme étant
trop dangereux pour la consommation publique.
Les frigorigènes naturels tels que l’ammoniac et le CO 2 , ainsi que les hydrocarbures tels que le propane (R-290) et l’isobutane (R-600a) sont de retour dans des applications spécialisées qui intègrent de nouvelles normes de sécurité destinées aux concepteurs, installateurs et techniciens d’équipements.
A2L LÉGÈREMENT INFLAMMABLES
Au fil du temps, les unités vieillissantes contenant des frigorigènes HCFC et HFC devront être remplacées. Je pense que notre industrie fera un effort concerté pour adopter des produits synthétiques à faible PRP. Les frigorigènes à base d’hydrocarbures ne seront probablement pas utilisés dans les applications de climatisation résidentielles et commerciales, du moins pas à court terme. Pourquoi?
Les normes élaborées par l’ASHRAE et l’ ULC spécifient la quantité de charge du système qui peut être libérée dans une zone donnée en fonction de la limite inférieure d'inflammabilité (L II) du frigorigène.
Une trop grande quantité de frigorigène inflammable s’échappant dans une zone trop petite pourrait excéder la LII permise. Dans le cas du R-290, la LII dans l’air s’élève à 2,1 %. Les systèmes nécessitant un gros volume de R-290 ou de R-600a se révèlent tout simplement trop dangereux. Cependant, le récent congélateur horizontal que je me suis procuré –et qui contient 1,6 oz de R-600a – ne pose aucun problème. Une fuite de 1,64 oz dans la zone de 8000 pi cu 3 de ma maison signifie que la LII ne sera jamais atteinte.
ÉLÉMENTS À GARDER À L’ESPRIT
Développer un frigorigène qui respecte les normes environnementales, se comporte de manière traditionnelle dans la plupart des systèmes et est relativement sûr à utiliser s’avère une tâche titanesque. La norme ASHRAE 34 classe les frigorigènes selon leur toxicité et leur inflammabilité.
• La toxicité – ou la caractéristique
FIGURE 3 Frigorigène Composition ASHRAE 34 Classification RCL* (g/m3) PRP* Glissement
*RCL : Limite de concentration du frigorigène *PRP : Potentiel de réchauffement planétaire
Caractéristiques des frigorigènes R-410a, R-32 et R-454-B
« Les scientifiques craignent que les frigorigènes ne causent d'autres dommages en contribuant au réchauffement climatique. »
toxique inhérente d’une substance – est in diquée par un code alphabétique. La lettre « A » indique une toxicité plus faible tandis que la lettre « B » indique une toxicité plus élevée.
• L’inflammabilité décrit la capacité d’une substance à brûler. Le chiffre 1 indique qu’un frigorigène ne propagera pas la flamme, tandis que les mentions 2, 2L ou 3 indiquent que le frigorigène brûlera (ou même explosera).
• Les frigorigènes A2L, par contre, ont été formulés pour être difficiles à allumer. L’énergie d’inflammation mesure la quantité d’énergie d’arc nécessaire pour enflammer un mélange inflammable de gaz et d’air. Les A2L nécessitent généralement 100 fois plus d’énergie d’arc qu’un frigorigène A3 tel que le R-290. Cela signifie que les articles de tous les jours –comme les perceuses sans fil ou les générateurs d’air chaud électriques – ne les enflammerontpas.
• Les A2L nécessitent des niveaux de concentration plus élevés dans l’air pour atteindre leur LII, et ils ont une chaleur de combustion beaucoup plus faible. Ainsi, un événement de combustion est moins susceptible de se propager avec eux.
La manipulation de tout frigorigène nécessite l’ utilisation de pratiques de sécurité bien établies. Avec les A2L, les préoccupations concernant l’inflammabilité et la toxicité doivent toujours demeurer à l’esprit en tenant compte des points suivants :
• Il existe un risque d’inflammation d’une fuite de frigorigène pendant le fonctionnement. Il importe donc de localiser et réparer toute fuite.
• Il existe un risque d’inflammation du frigorigène pendant l’entretien.
• Les incendies structurels causant une destruction catastrophique du système libéreront les frigorigènes A2L.
• Si, par exemple, du R-32 devait s’enflammer au contact d’une torche pendant une procédure d’entretien, du fluorure d’hydrogène serait libéré, lequel s’avère toxique.
• Méfiez-vous des situations où de l’A2L est libéré dans un véhicule de service lors d’un transit ou d’une fuite importante dans un espace confiné.
NATURE DES CHANGEMENTS L’agence des États-Unis pour la protection de l’environnement (USEPA) est autorisée à réduire progressivement la production de frigorigènes HFC à partir de cette année. Initialement, les fabricants de HFC à fort PRP – comme le R-134a, le R-410a et le R-404a – étaient tenus de réduire progressivement la production de 10 % le 1 er janvier 2022. D’ici 2024, une réduction progressive de 60 % sera appliquée et, nul doute que le prix de tels HFC deviendra astronomique. Même les frigorigènes les plus récents – tels que le mélange HFO/HFC (Hydro Fluro Olefin) Solstice et Chemours Opteon XL41 d’Honeywell
Exigences et questions A1 A2L
Puis-je réutiliser des conduites existantes?
Oui–lorsque de la bonne dimension et étanches
Capteurs de fuite intégrés? Non Oui
Étiqueté comme inflammable? Non Oui
Retrait du frigorigène en toute sécurité pour réparation ou remplacement?
Requis Requis
Purge du circuit avec de l'azote? Bonne pratique Requise
Commentaires
Les A2L sont compatibles avec les POE (toujours vérifier la compatibilité auprès du fabricant)
Unités susceptibles d'avoir une stratégie d'atténuation en cas de fuite (démarrage d'un ventilateur de dilution d'air, verrouillage du fonctionnement de l'unité, etc.)
Triangle d'avertissement ISO, symbole de flamme et étiquetage (informations de charge, de pression de test et de données d'évacuation à l’installateur)
Utiliser du matériel de récupération compatible avec les A2L
Répéter si nécessaire
Système d'évacuation Requis Requis La sortie de la pompe ne doit pas être à proximité d'une source d'inflammation
Test de fuite et de pression Requis Requis Pas différent de ce que vous faites maintenant
Couleur du cylindre Rose Gris/Vert/Rouge Les cylindres A2L comportent une bande rouge dans le haut
Stockage des bouteilles Debout, empêcher de basculer
Formation requise
Meilleurepratique
– sont toujours considérés comme des frigorigènes de transition. Jusqu’à ce que le PRP se rapproche de zéro, les scientifiques continueront à chercher d’autres solutions. Au moment où vous lirez ces lignes, le R-454B et le R-32 sont probablement adoptés pour les applications de climatisation résidentielle et commerciale. Carrier et Johnson Controls ont annoncé leur intention de construire des équipements utilisant le R-454B, tandis que Daikin, Lennox et Panasonic préfèrent le R-32. Bien que le R-32 pur soit un frigorigène HFC, son faible PRP (675) le qualifie pour les applications résidentielles et commerciales.
REMARQUE : Les frigorigènes A2L ne sont PAS des produits de remplacement direct. Ils ne peuvent être utilisés qu’avec un équipement spécialement conçu pour eux dans le cadre d’applications désignées, telles que déterminées par le fabricant de l’équipement. Jusqu’à présent, les unités avec du A2L offre le même rendement qu’avec du R-410a. Le R-410a, classé comme frigorigène A1, est composé d’une base de R-32, auquel a été ajouté du R-125 pour supprimer l’inflammabilité, mais au détriment du PRP (voir la Figure 3 ).
TECHNICIENS ET INSTALLATEURS
Qu’implique cette gamme de changements? Comme pour toute nouveauté, certaines des activités
CVC quotidiennes des techniciens
Debout, empêcher de basculer
Toutes les soupapes des bouteilles A2L peuvent s'ouvrir et se refermer pour rétablir la pression (la température de stockage ne doit pas dépasser 50 °C). Interdiction de fumer dans les véhicules de service (une ventilation peut être nécessaire)
Absolument requise Exigences d'installation et d'entretien telles que stipulées par les fabricants d'équipement
Exigences et autres différences du A2L
et installateurs devront changer, mais pas tant que ça. Les procédures d’installation des équipements avec du A2L sont similaires à celles des produits A1, bien que chacun doive respecter les instructions du fabricant, les réglementations gouvernementales et les codes locaux qui lui sont propres.
De toute évidence, toute personne manipulant des A2L doit suivre la formation appropriée offerte par les fabricants, les écoles de métiers et les organisations telles que l’ICCCR (HRAI) et ESCO.
Les principales différences concernent l’inspection de sécurité préalable à l’installation.
La charge maximale pour l’équipement A2L est limitée par les pieds cubes d’air dans les locaux.
L’espace doit être suffisamment grand et contenir suffisamment d’air pour maintenir le pourcentage de LII en dessous de celui requis pour soutenir la combustion si la charge entière venait à se vider.
La norme ASHRAE 15 et 15.2 (une nouvelle norme pour les applications résidentielles) ont été mises à jour ou sont en voie de l’être.
Les nouvelles normes ULC publiées en 2019 couvrent les normes de conception et d’essai pour les équipements de CVC/R.
La norme B52 du Canada ainsi que les codes du bâtiment provinciaux seront bientôt mis à jour pour inclure les A2L.
De nombreux outils utilisés par les techniciens et les installateurs travaillant actuellement avec le R-410a conviennent au A2L : jauges, collecteurs et balances. Les outils tels que les détecteurs de fuites, les machines de récupération et les pompes à vide devront être certifiés pour une utilisation avec les A2L. Les jauges numériques peuvent nécessiter une mise à jour du logiciel. Les cylindres d’A2L seront livrés avec un filetage à gauche, nécessitant un adaptateur de tuyau pour le raccordement au cylindre.
La Figure 4 est un tableau regroupant certaines autres exigences et différences des A2L. Prenez note, comme ces changements s’en viennent, vaut mieux être préparé.
Ian McTeer est un consultant en CVC comptant 35 ans d’expérience dans l’industrie. Plus récemment, il était représentant sur le terrain pour Trane Canada DSO. M. McTeer est mécanicien en réfrigération et technicien gazier, classe 1.
Informations supplémentaires (en anglais) sur les produits et ressources de formation de l’ICCCR : hrai.ca/refrigerant-landscape ESCO: escogroup.org/training/ lowgwprefrigerant.aspx
Recrutez votre future main-d’oeuvre avec le soutien du Service d’apprentissage du Canada pour les petites et moyennes entreprises.
• Accès gratuit au service de jumelage employeurs-apprentis
• Accès gratuit à des programmes de mentorat
• Accès gratuit à de la formation sur la diversité et l’inclusion

Faites votre demande de subvention à : RechercheApprentis.com/CAS

*SEO, certaines conditions s’appliquent. Consultez le site Web pour plus de détails.
L’INDUSTRIE DE LA MÉCANIQUE DU BÂTIMENT

GRIGNOTEUSE À VITESSE VARIABLE
La nouvelle grignoteuse M12 Fuel de calibre 16 à vitesse variable de Milwaukee se veut un outil compact et léger de 12 V qui offre la même capacité de coupe que ses concurrents de 18 V. Réalisant des coupes rapides et nettes dans l’acier doux de calibre 16, l’outil convient à l’acier inoxydable de calibre 18 et l’aluminium de calibre 12. Il possède aussi la puissance nécessaire pour les gaines spiralées de calibre 22. milwaukeetool.ca/fr

COMMANDE DE THERMOPOMPES À DISTANCE
La plateforme Symphony 3.0 – portail pour entrepreneur et plateforme de confort domiciliaire – du fabricant de thermopompes géothermiques et eau-eau WaterFurnace International est désormais offerte pour les unités des séries 3, 5 et 7. Ses capacités Wi-Fi et sa gestion infonuagique procurent aux installateurs, aux techniciens et aux propriétaires une panoplie d’options de surveillance, de diagnostic et d’intervention à distance à partir d’un téléphone, d’une tablette ou d’un ordinateur (température, programme jusqu’à six zones, consommation d’énergie...). waterfurnace.com / master.ca

Le nouveau ventilateur récupérateur d’énergie (VRE) modèle S de la série EV Premium de RenewAire a été conçu pour les applications résidentielles et commerciales légères (jusqu’à 2500 pi ca.) nécessitant un apport en air frais. Une des particularités de ce modèle écoénergétique est qu’il permet d’éviter l’installation d’un ventilateur d’évacuation dans la salle de bains des constructions neuves tout en récupérant la chaleur pour préchauffer l’air extérieur entrant (conformément à la norme ASHRAE 62). renewaire.com / master.ca / enertrak.com
CONDITIONNEMENT ET TRAITEMENT DE

La nouvelle unité NS18 de Napoléon s’avère à la fois une thermopompe et un appareil de traitement d'air. Elle est dotée d'un compresseur à onduleur variable et d'une technologie d'injection de vapeur permettant de chauffer la maison à des températures aussi basses que -30 °C (-22 °F). Silencieuse et facile d’installation, la NS18 est compatible avec tous les thermostats de thermopompe courants, ainsi que les thermostats intelligents et les systèmes domotiques alimentés au 24 V. napoleon.com/fr/ca

Équipée de la technologie intelligente Greenspeed brevetée, la thermopompe Infinity 24 est le produit de Carrier qui offre la plus haute efficacité énergétique avec un taux de rendement énergétique saisonnier (SEER) jusqu’à 24 et un coefficient de performance saisonnier en période de chauffe (HSPF) jusqu’à 13. Le compresseur à vitesse variable de l’unité permet de réguler la puissance selon les besoins de la maison (réglage de la capacité à toute intensité entre 25 et 100 %). carrier.com/residential/fr

Le CoilPro CC-400HF de Goodway se révèle idéal pour le nettoyage des condenseurs (refroidis à l’air) et des refroidisseurs (de gaz et à sec). Il suffit de le brancher au réseau et de le raccorder à un tuyau d’eau de 3/4 po pour un fonctionnement en continu. L'unité comprend un bras flexible comportant trois sections pour le nettoyage derrière les serpentins, ainsi qu’un pulvérisateur avec une buse à 90 degrés pour atteindre les zones difficiles d'accès. goodway.com
ALMA
RÉAL HUOT INC.
150 rue des Hautes-Herbes, Alma, QC, G8E 1J4 TÉL.: 418-480-3333 TÉLÉC.: 418-668-0871 realhuot.ca
ANJOU
POWRMATIC DU CANADA LTÉE (SIÈGE SOCIAL)
9500 boul. Ray-Lawson, Anjou, QC, H1J 1L1 TÉL.: 514-493-6400 TÉLÉC.: 514-493-8722 powrmatic.ca
WOLSELEY PLOMBERIE ET CVC/R
10040 Louis-H Lafontaine, Anjou, QC, H1J 2T3 TÉL.: 514-329-5353 TÉLÉC.: 514-329-5365 wolseleyexpress.com
BLAINVILLE
RBL A/C
50 Émilien-Marcoux, local 101, Blainville, QC, J7C 0B5 TÉL.: 450-420-1444 TÉLÉC.: 450-420-3444 rblac.com
BOUCHERVILLE
LE GROUPE MASTER INC.
160-1350 rue Nobel, Boucherville, QC, J4B 5H3 TÉL.: 450-650-2500 TÉLÉC.: 450-449-6929 master.ca/fr
LE GROUPE MASTER INC. (SIÈGE SOCIAL)
1675 boul. de Montarville, Boucherville, QC, J4B 7W4 TÉL.: 514-527-2301 TÉLÉC.: 514-527-8439 master.ca/fr
PRODUITS CHIMIQUES LTÉE
1271 rue Ampère, Boucherville, QC, J4B 5Z5 TÉL.: 450-655-1344 TÉLÉC.: 450-655-5428 magnor.ca
BROSSARD
LE GROUPE MASTER INC. G-9005 boul. du Quartier, Brossard, QC, J4Y 0A8 TÉL.: 450-659-5111 TÉLÉC.: 450-659-9407 master.ca/fr
VAGUE & VOGUE
3365 boul. Matte, Brossard, QC, J4Y 2P4 TÉL.: 450-463-6302 TÉLÉC.: 450-651-7492 vagueetvogue.com
WOLSELEY PLOMBERIE ET CVC/R
3365 boul. Matte, Brossard, QC, J4Y 2P4 TÉL.: 450-651-9011 TÉLÉC.: 450-651-7492 wolseleyexpress.com
CHICOUTIMI
ATLANTIS POMPELAC
1582 boul. Saint-Paul, Chicoutimi, QC, G7J 3C5 TÉL.: 418-696-1721 TÉLÉC.: 418-696-5148 atlantispompe.com
EMCO CORPORATION
525 rue des actionnaires,
Chicoutimi, QC, G7J 5B3
TÉL.: 418-543-5553 TÉLÉC.: 418-543-7469 emcoltd.com
GRO-MEC INC.
1911 rue des Outardes, parc Industriel, Chicoutimi, QC, G7K 1C3
TÉL.: 418-549-5961 TÉLÉC.: 418-549-2329 gromec.com
TRANE CANADA INC.
526 rue Marcel-Portal, Chicoutimi, QC, G7J 4P2
TÉL.: 418-549-5735 TÉLÉC.: 418-549-5738 trane.com/Chicoutimi
WOLSELEY CVC/R
1910 rue des Outardes, Chicoutimi, QC, G7K 1H1
TÉL.: 418-543-6531 TÉLÉC.: 418-543-1689 wolseleyexpress.com
DORVAL
FLOCOR INC.
1820 ch. Saint-François, Dorval, QC, H9P 2P6
TÉL.: 514-683-7282 TÉLÉC.: 514-683-5352 flocor.ca
WESTLUND
655, av. Lépine, Dorval, QC, H9P 2R2
TÉL.: 514-633-1955 TÉLÉC.: 514-636-1730 westlundpvf.com
DRUMMONDVILLE
DESCHÊNES & FILS LTÉE/MONTRÉAL
1775 rue Janelle, Drummondville, QC, J2C 5S5
TÉL.: 819-477-7171 TÉLÉC.: 819-477-7389 deschenes.ca
MIDBEC LTÉE
1725 boul. Lemire, Drummondville, QC, J2C 5A5
TÉL.: 819-477-1070 TÉLÉC.: 819-477-0848 midbec.com
GATINEAU
CONVEX ENERGY
20-142 rue de Varennes, Gatineau, QC, J8T 8G5
TÉL.: 819-568-4412 TÉLÉC.: 819-568-8490 convexenergy.ca
DES ROSIERS DISTRIBUTEURS & MONDEAU
130 rue Jean-Proulx, Gatineau, QC, J8Z 1V3
TÉL.: 819-770-7110 TÉLÉC.: 819-770-7411 boone.ca
WOLSELEY PLOMBERIE ET CVC/R
100-162 rue de Varennes, Gatineau, QC, J8T 8G4
TÉL.: 819-246-5590 TÉLÉC.: 819-246-5373 wolseleyexpress.com
GRANBY
CRANE SUPPLY
1065 boul. Industriel, Granby, QC, J2J 2B8
TÉL.: 450-378-7995 TÉLÉC.: 450-378-2439 cranesupply.com
DESCHÊNES & FILS LTÉE/MONTRÉAL
865 rue Bernard, Granby, QC, J2J 0H6
TÉL.: 450-378-3210 TÉLÉC.: 450-378-9645 deschenes.ca
VAGUE & VOGUE
554 rue Matton, Granby, QC, J2G 9G5 TÉL.: 450-375-8863 TÉLÉC.: 450-375-9938 vagueetvogue.com
WOLSELEY PLOMBERIE ET CVC/R
554 rue Matton, Granby, QC, J2G 9G5 TÉL.: 450-375-8863 TÉLÉC.: 450-375-9938 wolseleyexpress.com
JOLIETTE
DESCHÊNES & FILS LTÉE/MONTRÉAL
230 boul. de l’Industrie, Joliette, QC, J6E 8V1 TÉL.: 450-759-8880 TÉLÉC.: 450-759-8033 deschenes.ca
VAGUE & VOGUE
1302 rue de Lanaudière, Joliette, QC, J6E 3P2 TÉL.: 450-759-4311 TÉLÉC.: 450-759-2565 vagueetvogue.com
WOLSELEY PLOMBERIE ET CVC/R
1302 rue de Lanaudière, Joliette, QC, J6E 3P2 TÉL.: 450-759-4311 TÉLÉC.: 450-759-2565 wolseleyexpress.com
JONQUIÈRE
LE GROUPE MASTER
2155 rue de la Peltrie, Jonquière, QC, G8A 1K2 TÉL.: 418-602-6811 master.ca/fr
WOLSELEY PLOMBERIE
2424, rue Cantin, Jonquière, QC, G7X 8S6 TÉL.: 418-547-2135 TÉLÉC.: 418-547-5135 wolseleyexpress.com
LACHINE
WOLSELEY PLOMBERIE ET CVC/R
2080 32e Avenue, Lachine, QC, H8T 3H7 TÉL.: 514-634-7995 TÉLÉC.: 514-344-9341 wolseleyexpress.com
LASALLE
CRANE SUPPLY
7800 rue Elmslie, LaSalle, QC, H8N 3E5 TÉL.: 514-766-8541 TÉLÉC.: 514-766-7138 cranesupply.com
LAVAL
ALBERT VIAU DIV. DE EMCO
2140 Le Chatelier, Laval, QC, H7L 5B4 TÉL.: 514-336-3920 TÉLÉC.: 514-336-3980 emcowaterworks.com
BRENNAN INDUSTRIES
1100 rue Berlier, Laval, QC, H7L 3R9 TÉL.: 514-339-1139 TÉLÉC.: 514-339-2601 brennaninc.com
DESCAIR INC.
3175 boul. Industriel, Laval, QC, H7L 4P8 TÉL.: 450-629-1501 TÉLÉC.: 450-629-7082 descair.ca
DESCHÊNES & FILS LTÉE/MONTRÉAL
3155 boul. Industriel, Laval, QC, H7L 4P8 TÉL.: 450-629-3939 TÉLÉC.: 450-629-4680 deschenes.ca
DESCHÊNES & FILS LTÉE - ESPACE PLOMBERIUM LAVAL
4595 Autoroute 440 O, Laval, QC, H7P 0J7 TÉL.: 514-370-5511 TÉLÉC.: 514-370-6541 espaceplomberium.com
EMCO CORPORATION
3700 rue Desserte, Laval, QC, H7P 6A9 TÉL.: 450-978-0354 TÉLÉC.: 450-978-1475 emcoltd.com
EMCO DELUXAIR
3285 av. Jean-Béraud, Laval, QC, H7T 2L2 TÉL.: 514-739-5684 TÉLÉC.: 514-733-4861 emco.ca
ENERTRAK INC.
2875 rue Jules Brillant, Laval, QC, H7P 6B2 TÉL.: 450-973-2000 TÉLÉC.: 450-973-7988 enertrak.com
EPG/FUSIONEX
2855 rue Étienne-Lenoir, Laval, QC, H7R 6J4 TÉL.: 450-963-3010 TÉLÉC.: 450-963-6811 hdpe.ca
LE GROUPE MASTER LAVAL
1415 rue Berlier, Laval, QC, H7L 3Z1 TÉL.: 450-629-6423 TÉLÉC.: 450-629-6692 master.ca/fr
LE GROUPE MASTER VENTILATION
1503 rue Berlier, Laval, QC, H7L 3Z1 TÉL.: 450-786-1650 TÉLÉC.: 450-786-1647 master.ca/fr
MIDBEC LTÉE
2932 boul. Industriel, Laval, QC, H7L 4C4 TÉL.: 450-629-5559 TÉLÉC.: 450-629-3665 midbec.com
NOBLE QUÉBEC, LAVAL
3327 boul. Industriel, Laval, QC, H7L 4S3 TÉL.: 450-667-7800 TÉLÉC.: 450-667-4673 nobleqc.ca
PRO KONTROL
1989 rue Michelin, Laval, QC, H7L 5B7 TÉL.: 450-973-7765 TÉLÉC.: 450-973-6186 prokontrol.com
THALASSA DOMICILE
A15-3700 rue Desserte, Laval, QC, H7P 6A9 TÉL.: 450-978-1687 TÉLÉC.: 450-978-5581 emcoltd.com
VAGUE & VOGUE
4200 rue Louis-B. Mayer, Laval, QC, H7P 0G1 TÉL.: 450-663-5331 TÉLÉC.: 450-663-1854 vagueetvogue.com
WOLSELEY LAVAL WATERWORKS
1239 boul. Dagenais, Laval, QC, H7L 6E3 TÉL.: 450-688-9292 wolseleyexpress.com
WOLSELEY PLOMBERIE ET CVC/R
4200 rue Louis-B. Mayer, Laval, QC, H7P 0G1 TÉL.: 450-663-5331 TÉLÉC.: 450-663-1854 wolseleyexpress.com
WWG/TOTALINE
1163 autoroute 440, Laval, QC, H7L 3W3 TÉL.: 450-662-3592 TÉLÉC.: 450-662-9510 wwgtotaline.ca
LÉVIS
DESCHÊNES & FILS LTÉE – LACROIX DÉCOR
150-1610 rue Alphonse-Desjardins, Lévis, QC, G6V 0H1 TÉL.: 418-833-3338 TÉLÉC.: 418-833-8057 deschenes.ca
DESCHÊNES & FILS LTÉE/QUÉBEC
36 RUE JACQUES-NAU, LÉVIS, QC, G6V 9J4 TÉL.: 418-833-7800 TÉLÉC.: 418-833-9361 deschenes.ca
LE GROUPE MASTER INC.
1984 5e Rue, Lévis, QC, G6W 5M6 TÉL.: 418-834-5565 TÉLÉC.: 418-834-5562 master.ca/fr
RÉAL HUOT INC.
777 RUE PERREAULT, LÉVIS, QC, G6W 7Z9 TÉL.: 418-476-0116 TÉLÉC.: 418-686-0068 realhuot.ca
LONGUEUIL
DESCAIR INC.
596 rue Jean-Neveu, Longueuil, QC, J4G 1P1 TÉL.: 450-670-3141 TÉLÉC.: 450-670-7027 descair.ca
EAUDACE
750 rue Jean-Neveu, Longueuil, QC, J4G 1P1 TÉL.: 450-646-9595 TÉLÉC.: 450-646-9533 emcoltd.com
ENERTRAK INC.
620 rue Giffard, Longueuil, QC, J4G 1T8 TÉL.: 450-679-9993 TÉLÉC.: 450-679-8654 enertrak.com
LE GROUPE MASTER INC.
638 rue Giffard, Longueuil, QC, J4G 1T8 TÉL.: 450-928-0090 TÉLÉC.: 450-928-9762 master.ca/fr
LENNOX PARTSPLUS
2655 boul. Jacques-Cartier, Longueuil, QC, J4N 1L7 TÉL.: 450-805-0475 TÉLÉC.: 450-805-0476 lennoxpros.com/partsplus
MAXIVENT DISTRIBUTION INC.
2255 de la Province, Longueuil, QC, J4G 1G3
TÉL.: 450-646-5488 TÉLÉC.: 450-646-5572 maxivent.ca
MIDBEC LTÉE
100 boul. Curé Poirier O, Longueuil, QC, J4J 2E9
TÉL.: 450-463-0011 TÉLÉC.: 450-463-1570 midbec.com
NOBLE QUÉBEC, LONGUEUIL
750 rue
Jean-Neveu, Longueuil, QC, J4G 1P1
TÉL.: 450-670-4600 TÉLÉC.: 450-670-1776 nobleqc.ca
PRO KONTROL
908 rue Jean-Neveu, Longueuil, QC, J4G 2M1
TÉL.: 450-679-0203 TÉLÉC.: 450-845-6186 prokontrol.com
TTI CLIMATISATION CHAUFFAGE INC.
690 rue Jean-Neveu, Longueuil, QC, J4G 1P1
TÉL.: 450-651-2511 TÉLÉC.: 450-651-6541 tticlimatisation.com
WOLSELEY PLOMBERIE ET CVC/R
860 rue Jean-Neveu, Longueuil, QC, J4G 2M1
TÉL.: 450-674-1511 TÉLÉC.: 450-651-7492 wolseleyexpress.com
WWG/TOTALINE
2672 boul. Jacques Cartier E, Longueuil, QC, J4N 1P8
TÉL.: 450-670-6111 TÉLÉC.: 450-670-3111 wwgtotaline.ca
MASCOUCHE
DESCHÊNES & FILS LTÉE - ESPACE
PLOMBERIUM MASCOUCHE
10 montée Masson, Mascouche, QC, J7K 3B5
TÉL.: 450-474-3881 TÉLÉC.: 450-474-2406 espaceplomberium.com
RÉAL HUOT INC.
1250 av. de la Gare, Mascouche, QC, J7K 2Z2 TÉL.: 450-474-4181 TÉLÉC.: 450-474-5611 realhuot.ca
WOLSELEY PLOMBERIE
2875 Chemin Gascon, Mascouche, QC, J7L 3X7 TÉL.: 450-471-1994 TÉLÉC.: 450-471-9652 wolseleyexpress.com
MIRABEL
M.I. VIAU & FILS LTÉE
14311 rte Sir-Wilfrid-Laurier, Mirabel, QC, J7J 2G4
TÉL.: 450-436-8221 TÉLÉC.: 450-436-5964 miviau.com
MONT-LAURIER
RÉAL HUOT INC.
145 rue Godard, Mont-Laurier, QC, J9L 3T5
TÉL.: 819-623-6060 realhuot.ca
MONT-ROYAL
BATIMAT
8300 av. Devonshire, Mont-Royal, QC, H4P 2P7
TÉL.: 514-735-1979 TÉLÉC.: 514-735-9688 emcoltd.com
suite de la page 15
MONTRÉAL
DESCAIR INC.
8335 boul. Saint-Michel, Montréal, QC, H1Z 3E6 TÉL.: 514-744-6751 TÉLÉC.: 514-744-1180 descair.ca
DESCHÊNES & FILS LTÉE - ESPACE PLOMBERIUM ACADIE
9150 boul. de l’Acadie, Montréal, QC, H4N 2T2 TÉL.: 514-385-1212 TÉLÉC.: 514-385-6262 espaceplomberium.com
DESCHÊNES & FILS LTÉE - ESPACE PLOMBERIUM BÉLANGER
1452 rue Bélanger E, Montréal, QC, H2G 1A7 TÉL.: 514-729-1821 TÉLÉC.: 514-729-2941 espaceplomberium.com
DESCHÊNES & FILS LTÉE/MONTRÉAL
2020 rue Saint-Patrick, Montréal, QC, H3K 1A9 TÉL.: 514-932-3191 TÉLÉC.: 514-933-4198 deschenes.ca
DESCHÊNES & FILS LTÉE/MONTRÉAL
100-3901 rue Jarry E, Montréal, QC, H1Z 2G1 TÉL.: 514-374-3110 TÉLÉC.: 514-374-5141 deschenes.ca
EMCO CORPORATION
5205 boul. Métropolitain E, Montréal, QC, H1R 1Z7 TÉL.: 514-723-3626 TÉLÉC.: 514-723-3972 emcoltd.com
GROUPE DESCHÊNES INC.
250-3901 rue Jarry E, Montréal, QC, H1Z 2G1 TÉL.: 514-253-3110 TÉLÉC.: 514-253-5600 groupedeschenes.com
LE GROUPE MASTER INC.
220 rue Bridge, Montréal, QC, H3K 2C3 TÉL.: 514-527-6811 TÉLÉC.: 514-527-5571 master.ca/fr
MIDBEC LTÉE
8448 boul. Saint-Laurent, Montréal, QC, H2P 2M3 TÉL.: 514-270-5775 TÉLÉC.: 514-276-5674 midbec.com
NELCO INC.
5510 rue Saint-Jacques, Montréal, QC, H4A 2E2 TÉL.: 514-481-5614 TÉLÉC.: 514-481-3355 nelco.ca
NOBLE QUÉBEC, MONT-ROYAL
8288 ch. Devonshire, Montréal, QC, H4P 2P7 TÉL.: 514-735-5740 TÉLÉC.: 514-735-5748 nobleqc.ca
PMF (MATÉRIAUX DE PLOMBERIE) INC.
7245 rue Saint-Jacques, Montréal, QC, H4B 1V3 TÉL.: 514-484-8002 TÉLÉC.: 514-484-2519 plomberiepmf.com
RODWICK
8395 rue Bougainville, Montréal, QC, H4P 2G5 TÉL.: 514-735-5544 TÉLÉC.: 514-735-5570 rodwick.com
SHAFTER BROS. INC.
259 av. Van Horne, Montréal, QC, H2V 1H9 TÉL.: 514-274-8347 TÉLÉC.: 514-274-2058 steamexperts.com
SUTTON PLUMBING & HEATING
2174 av. Clifton, Montréal, QC, H4A 2N6 TÉL.: 514-488-2581 TÉLÉC.: 514-488-7876 suttonplumbing.ca
WOLSELEY PLOMBERIE
7711 17e Avenue, Montréal, QC, H2A 2S4 TÉL.: 514-729-7566 TÉLÉC.: 514-729-4156 wolseleyexpress.com
WOLSELEY PLOMBERIE ET CVC/R
1290 rue Mill, Montréal, QC, H3K 2B4 TÉL.: 514-935-5331 TÉLÉC.: 514-935-8067 wolseleyexpress.com
MONTRÉAL-NORD
PRIMO INSTRUMENT INC.
4407 rue Charleroi, MontréalNord, QC, H1H 1T6 TÉL.: 514-329-3242 TÉLÉC.: 514-329-3750 primoinc.com
PIERREFONDS
VAGUE & VOGUE
14915 boul. de Pierrefonds, Pierrefonds, QC, H9H 4M5 TÉL.: 514-620-3125 vagueetvogue.com
POINTE-CLAIRE
DESCHÊNES & FILS LTÉE/MONTRÉAL
5 av. du Plateau, Pointe-Claire, QC, H9R 5W1 TÉL.: 514-630-6330 TÉLÉC.: 514-630-3627 deschenes.ca
WOLSELEY MONTRÉAL INDUSTRIAL
179 boul. Brunswick, Pointe-Claire QC, H9R 5N2 TÉL.: 514-630-6820 TÉLÉC.: 514-630-6834 wolseleyindustrial.ca
QUÉBEC
ATLANTIS POMPE
1844 boul. Hamel O, Québec, QC, G1N 3Z2 TÉL.: 418-681-7301 TÉLÉC.: 418-681-5183 atlantispompe.com
BEN HUOT
250 4e Rue, Québec, QC, G1L 2S3 TÉL.: 418-529-9545 TÉLÉC.: 418-529-7459 emcoltd.com
DESCAIR INC.
190-275 rue Métivier, Québec, QC, G1M 3X8 TÉL.: 418-681-2333 TÉLÉC.: 418-681-8668 descair.ca
DESCHÊNES & FILS LTÉE – LACROIX DÉCOR
1105 rue des Rocailles, Québec, QC, G2K 2K6 TÉL.: 418-627-4771 TÉLÉC.: 418-627-2740 deschenes.ca
DESCHÊNES & FILS LTÉE/QUÉBEC
1105 rue des Rocailles, Québec, QC, G2K 2K6 TÉL.: 418-627-4711 TÉLÉC.: 418-627-9898 deschenes.ca
EMCO CORPORATION
1507 rue du Chinook, Québec, QC, G2K 0M7
TÉL.: 418-681-4671 TÉLÉC.: 418-681-5762 emcoltd.com
ENERTRAK INC.
100-210 Fortin, Québec, QC, G1M 0A4 TÉL.: 418-871-9105 TÉLÉC.: 418-871-2898 enertrak.com
FLOCOR INC.
765 av. Godin, Québec, QC, G1M 2W8 TÉL.: 418-650-5766 TÉLÉC.: 418-266-0252 flocor.ca
LE GROUPE MASTER QUÉBEC
130-220 rue Fortin, Québec QC, G1M 3S5 TÉL.: 418-683-2587 master.ca/fr
LEADAIR
1841b boul. Wilfrid-Hamel, Québec, QC, G1N 3Y9 TÉL.: 418-808-7540 TÉLÉC.: 418-688-1302 leadair.ca
MIDBEC LTÉE
5280 boul. Wilfrid-Hamel, Québec, QC, G2E 2G9 TÉL.: 418-522-2222 TÉLÉC.: 418-263-0990 midbec.com
POWRMATIC DU CANADA LTÉE
365 rue Fortin, Québec, QC, G1M 1B2 TÉL.: 418-683-2708 TÉLÉC.: 418-683-8860 powrmatic.ca
PRO KONTROL
90-850 boul. Pierre-Bertrand, Québec, QC, G1M 3K8 TÉL.: 418-682-2421 TÉLÉC.: 418-687-9564 prokontrol.com
QUÉBEC AQUEDUC
100-1800 Léon-Harmel, Québec, QC, G1N 4R9 TÉL.: 418-681-7575 TÉLÉC.: 418-681-5757 emcowaterworks.com
QUÉBEC DELUXAIR
1511 rue du Chinook, Québec, QC, G2K 0M7 TÉL.: 418-681-4671 TÉLÉC.: 418-681-5762 deluxair.ca
RBL A/C INC.
115-2252, Léon-Harmel, Québec, QC, G1N 4L2 TÉL.: 418-907-1300 TÉLÉC.: 450-420-3444 rblac.com
THALASSA DOMICILE
1509 rue du Chinook, Québec, QC, G2K 0M7 TÉL.: 819-377-0950 TÉLÉC.: 819-377-0820 emcoltd.com
TRANE CANADA INC.
280-850 boul. Pierre-Bertrand, Québec, QC, G1M 3K8
TÉL.: 418-622-5300 TÉLÉC.: 418-622-0987 trane.com/QCCity
VAGUE & VOGUE
1080 rue des Rocailles, Québec, QC, G2K 2L1
TÉL.: 418-627-9412 TÉLÉC.: 418-627-7211 vagueetvogue.com
WOLSELEY PLOMBERIE
1080 rue des Rocailles, Québec, QC, G2K 2L1 TÉL.: 418-627-9412 TÉLÉC.: 418-780-0811 wolseleyexpress.com
WOLSELEY QUEBEC CVC/R
1775 boul. Leon Harmel, Québec, QC, G1N 4K4
TÉL.: 418-687-3036 wolseleyexpress.com
WWG/TOTALINE
150-595 boul. Pierre Bertrand, Québec, QC, G1M 3T8
TÉL.: 418-872-4222 TÉLÉC.: 418-872-0766 wwgtotaline.ca
REPENTIGNY
DESCHÊNES & FILS LTÉE/MONTRÉAL
610 rue Lavoisier, Repentigny, QC, J6A 8J6
TÉL.: 450-657-7577 TÉLÉC.: 450-657-7571 deschenes.ca
EAUDACE
560 rue Lavoisier, Repentigny, QC, J6A 7P1
TÉL.: 450-581-5512 TÉLÉC.: 450-581-2330 emcoltd.com
RIMOUSKI
DESCAIR INC.
451 rue des Façonniers, Rimouski, QC, G5M 1X2
TÉL.: 418-721-0023 TÉLÉC.: 418-724-3922 descair.ca
DESCHÊNES & FILS LTÉE/QUÉBEC
451 rue des Façonniers, Rimouski, QC, G5M 1X2 TÉL.: 418-723-6515 TÉLÉC.: 418-724-3922 deschenes.ca
EMCO CORPORATION
505 2e Rue E, Rimouski, QC, G1M 0A1
TÉL.: 418-723-0164 TÉLÉC.: 418-723-0186 emco.ca
RÉAL HUOT INC.
461 rue des Façonniers, Rimouski, QC, G5M 1X2 TÉL.: 418-723-0515 realhuot.ca
WOLSELEY PLOMBERIE ET CVC/R
351 rue des Chevaliers, Rimouski, QC, G5L 1X3 TÉL.: 418-722-7944 TÉLÉC.: 418-722-7661 wolseleyexpress.com
ROUYN
VAGUE & VOGUE
1095 av. Abitibi, Rouyn, QC, J9X 7C2 TÉL.: 819-764-6776 TÉLÉC.: 819-764-3749 vagueetvogue.com
WOLSELEY PLOMBERIE
1095 av. Abitibi, Rouyn, QC, J9X 7C2 TÉL.: 819-764-6776 TÉLÉC.: 819-764-3749 wolseleyexpress.com
ROUYN-NORANDA
WESTLUND
750C rue Saguenay, RouynNoranda, QC, J9X 7B5 TÉL.: 819-763-0851 westlundpvf.com
SAINT-ALPHONSE-DE-GRANBY
EMPIRE CANADA INC.
199 des Alouettes, Saint-Alphonse-deGranby, QC, J0E 2A0 TÉL.: 450-375-5551 TÉLÉC.: 450-375-6661 empirecanada.ca
SAINT-BRUNO-DE-MONTARVILLE
RBL A/C INC.
3-1365 Marie-Victorin, Saint-Bruno-deMontarville, QC, J3V 6B7 TÉL.: 450-651-0610 TÉLÉC.: 450-420-3444 rblac.com
SAINT-EUSTACHE
LA BOUTIQUE DE PLOMBERIE DÉCORATION
25
471 25e Avenue, Saint-Eustache, QC, J7P 4Y1 TÉL.: 450-473-8492 TÉLÉC.: 450-473-4479 emco.ca
NOBLE QUÉBEC, ST-EUSTACHE
471 25e Avenue, Saint-Eustache, QC, J7P 4Y1 TÉL.: 450-473-8492 nobleqc.ca
SAINT-GEORGES
DESCAIR INC.
9550 11e Avenue, Saint-Georges, QC, G5Y 8E8 TÉL.: 418-228-3699 TÉLÉC.: 418-227-2982 descair.ca
DESCHÊNES & FILS LTÉE/QUÉBEC
9550 11e Avenue, Saint-Georges, QC, G5Y 8E8 TÉL.: 418-228-1611 TÉLÉC.: 418-227-2982 deschenes.ca
WOLSELEY PLOMBERIE ET CVC/R
975, 98e Rue, Saint-Georges, QC, G5Y 8G2 TÉL.: 418-228-6307 TÉLÉC.: 418-228-6425 wolseleyexpress.com
SAINT-HUBERT
DESCAIR INC.
2910 boul. Losch, Saint-Hubert, QC, J3Y 3V6 TÉL.: 450-670-3145 TÉLÉC.: 450-670-3148 descair.ca
DESCHÊNES & FILS LTÉE/MONTRÉAL
4545 boul. Sir Wilfrid-Laurier, SaintHubert, QC, J3Y 3X3 TÉL.: 450-656-2223 TÉLÉC.: 450-656-6213 deschenes.ca
EMCO CORPORATION
60-3330 2e Rue, Saint-Hubert, QC, J3Y 8Y7 TÉL.: 450-676-1847 TÉLÉC.: 450-676-2385 emcoltd.com
EMCO DELUXAIR
20-3330 2e Rue, Saint-Hubert, QC, J3Y 8Y7 TÉL.: 450-445-9374 TÉLÉC.: 450-445-9316 emcoltd.com
RÉAL HUOT INC.
5430 rue J.A. Bombardier, SaintHubert, QC, J3Z 1H1 TÉL.: 450-656-8401 TÉLÉC.: 450-656-3603 realhuot.ca
SAINT-HYACINTHE
DESCHÊNES & FILS LTÉE/MONTRÉAL
6400 av. Choquette, SaintHyacinthe, QC, J2S 8L1 TÉL.: 450-773-4450 TÉLÉC.: 450-773-0339 deschenes.ca
JULMAR
7425 rue Pion, Saint-Hyacinthe, QC, J2R 1P6 TÉL.: 450-796-4555 TÉLÉC.: 450-796-4692 emcoltd.com
SAINT-JEAN-SUR-RICHELIEU
DESCHÊNES & FILS LTÉE/MONTRÉAL
655 rue Boucher, Saint-Jean-surRichelieu, QC, J3B 8P4 TÉL.: 450-349-1119 deschenes.ca
EMCO AQUEDUC
600-A boul. Industriel, Saint-Jean-surRichelieu, QC, J3B 4S7 TÉL.: 450-346-8990 TÉLÉC.: 450-346-5528 emcowaterworks.com
JULMAR
600 rue Saint-Jacques, Saint-Jean-surRichelieu, QC, J3B 2M5 TÉL.: 450-346-6841 TÉLÉC.: 450-346-1971 emcoltd.com
SAINT-JÉRÔME
DESCHÊNES & FILS LTÉE - ESPACE PLOMBERIUM SAINT-JÉRÔME
1075 boul. du Grand-Héron, SaintJérôme, QC, J5L 1G2 TÉL.: 450-436-2318 TÉLÉC.: 450-436-8311 espaceplomberium.com
DESCHÊNES & FILS LTÉE/MONTRÉAL 1075 boul. du Grand-Héron, SaintJérôme, QC, J5L 1G2 TÉL.: 450-432-5550 TÉLÉC.: 450-432-9990 deschenes.ca
LE GROUPE MASTER INC.
701 rue Gérard-Bruneau, SaintJérôme, QC, J5L 0E3
TÉL.: 450-438-2210 TÉLÉC.: 450-438-1498 master.ca/fr
WOLSELEY PLOMBERIE ET CVC/R 2018 rue Saint-Georges, SaintJérôme, QC, J7Y 1M8 TÉL.: 450-436-5550 TÉLÉC.: 450-438-3086 wolseleyexpress.com
SAINT-JULES
LES FOURNAISES T.J.
324 rue Giguère, Saint-Jules, QC, G0N 1R0 TÉL.: 418-397-0114 lesfournaisestj.com
SAINT-LAURENT
AIRTECHNI INC.
5046 boul. Thimens, SaintLaurent, QC, H4R 2B2 TÉL.: 450-687-0034 TÉLÉC.: 450-687-0038 airtechni.com
DESCAIR INC.
6602 av. Vanden-Abeele, SaintLaurent, QC, H4S 1Y3 TÉL.: 514-332-3461 TÉLÉC.: 514-332-5084 descair.ca
EMPIRE CANADA INC.
2320 Cohen, Saint-Laurent, QC, H4R 2N8 TÉL.: 514-745-1080 TÉLÉC.: 514-745-4172 empirecanada.ca
G.MITCHELL CIE LTÉE
763 boul. Lebeau, Saint-Laurent, QC, H4N 1S5 TÉL.: 514-332-8929 TÉLÉC.: 514-332-8925 gmitchell.ca
LE GROUPE MASTER SAINT-LAURENT
6455 rue Abrams, Saint-Laurent, QC, H4S 1X9 TÉL.: 514-331-9999 TÉLÉC.: 514-333-7491 master.ca/fr
LE GROUPE MASTER SAINT-LAURENT (VENTES)
451 boul. Lebeau, Saint-Laurent, QC, H4N 1S2 TÉL.: 514-277-7021 TÉLÉC.: 514-277-1916 master.ca/fr
LENNOX PARTSPLUS
7900 rte Transcanadienne, SaintLaurent, QC, H4T 1A5 TÉL.: 514-336-3090 TÉLÉC.: 514-336-1998 lennoxpros.com/partsplus
SNOWDON HVAC
7457 rte Transcanadienne, SaintLaurent, QC, H4T 1T3 TÉL.: 514-336-6867 TÉLÉC.: 514-336-5581 snowdonhvac.com
TRANE CANADA INC.
3535 boul. Pitfield, Saint-Laurent, QC, H4S 1H3 TÉL.: 514-337-3321 TÉLÉC.: 514-337-3880 trane.com/Montreal
WATERITE INC.
1850 rue Beaulac, Saint-Laurent, QC, H4R 2E7 TÉL.: 514-335-4581 TÉLÉC.: 514-335-3587 waterite.com
WWG/TOTALINE
655 rue Gougeon, Saint-Laurent, QC, H4T 2B4 TÉL.: 514-856-9811 TÉLÉC.: 514-856-9182 wwgtotaline.ca
SAINT-LÉONARD
ATLANTIS POMPE
6950 rue Jarry E, Saint-Léonard, QC, H1P 3C1 TÉL.: 514-448-7331 TÉLÉC.: 514-448-7964 atlantispompe.com
LE GROUPE MASTER ST-LÉONARD
6935 rue Jarry E, Saint-Léonard, QC, H1P 2K8 TÉL.: 514-329-9999 TÉLÉC.: 514-329-1982 master.ca/fr
NOBLE QUÉBEC, ST-LÉONARD 9455 boul. Langelier, SaintLéonard, QC, H1P 0A1 TÉL.: 514-727-7040 TÉLÉC.: 514-729-1577 nobleqc.ca
SAINT-ROMUALD
LE GROUPE MASTER LÉVIS
190-1984 5e Rue, Saint-Romuald, QC, G6W 5M6 TÉL.: 418-834-5565 master.ca/fr
SAINTE-ANNE-DE-BELLEVUE
ITM INSTRUMENTS INC.
20 800 boul. Industriel, Sainte-Anne-deBellevue, QC, H9X 0A1
TÉL.: 514-457-7280 TÉLÉC.: 514-457-4329 itm.com
SAINTE-FOY
RÉAL HUOT INC.
2550 rue Dalton, Sainte-Foy, QC, G1P 3S4
TÉL.: 418-651-2121 TÉLÉC.: 418-651-8216 realhuot.ca
WOLSELEY CVC/R
1775 rue Léon-Harmel, Sainte-Foy, QC, G1N 4K4 TÉL.: 418-687-3036 TÉLÉC.: 418-687-4188 wolseleyexpress.com
SAINTE-JULIE
WOLSELEY STE-JULIE WATERWORKS
1600 Montee Sainte-Julie, SteJulie, QC, J4G 1S8 TÉL.: 450-651-9011 wolseleyexpress.com
SEPT-ÎLES
CRANE SUPPLY
188 rue Napoléon, Sept-Îles, QC, G4R 3M5
TÉL.: 418-962-9791 TÉLÉC.: 418-962-3911 cranesupply.com
WOLSELEY PLOMBERIE
440 av. Québec, Sept-Îles, QC, G4R 1J7
TÉL.: 418-968-9955 TÉLÉC.: 418-962-0957 wolseleyexpress.com
SHERBROOKE
ATLANTIS POMPE
434 boul. Industriel, Sherbrooke, QC, J1L 2S8
TÉL.: 819-347-1941 TÉLÉC.: 819-347-2019 atlantispompe.com
DESCHÊNES & FILS LTÉE - SHERBROOKE
151 rue Léger, Sherbrooke, QC, J1L 2G8
TÉL.: 819-823-1000 TÉLÉC.: 819-823-6991 deschenes.ca
LE GROUPE MASTER SHERBROOKE (SALES OFFICE ONLY)
161 rue Léger, Sherbrooke, QC, J1L 1M2 TÉL.: 819-346-0707 master.ca/fr
RÉAL HUOT INC.
151 rue Léger, Sherbrooke, QC, J1L 2G8 TÉL.: 819-823-1000 TÉLÉC.: 819-820-2124 realhuot.ca
VAGUE & VOGUE
230 rue Léger, Sherbrooke, QC, J1L 1M1
TÉL.: 819-562-2662 TÉLÉC.: 819-562-2887 vagueetvogue.com
WOLSELEY PLOMBERIE
230 rue Léger, Sherbrooke, QC, J1L 1M1
TÉL.: 819-562-2662 TÉLÉC.: 819-562-2887 wolseleyexpress.com
WWG/TOTALINE
4066 rue Lesage, Sherbrooke, QC, J1L 0B6
TÉL.: 819-569-8557 TÉLÉC.: 819-569-6661 wwgtotaline.ca
de la page 17
SOREL
JULMAR
349 boul. Poliquin, Sorel, QC, J3P 7W1
TÉL.: 450-742-4525 TÉLÉC.: 450-742-1026 emcoltd.com
TERREBONNE
EPL EASTERN SERVICE CENTRE 973 des Forges, Terrebonne, QC, J6Y 0J9
TÉL.: 450-621-5636 TÉLÉC.: 450-965-8034 emco.ca
LE GROUPE MASTER
112-3130 boul. des Entreprises, Terrebonne, QC, J6X 4J8 TÉL.: 450-471-1676 TÉLÉC.: 450-471-7869 master.ca/fr
WOLSELEY PLOMBERIE
2875 Chemin Gascon, Terrebonne, QC, J7L 3X7 TÉL.: 450-471-1994 TÉLÉC.: 450-471-9652 wolseleyexpress.com
TROIS-RIVIÈRES
AQUEDUC
2740 boul. Mauricien, TroisRivières, QC, G9A 5C9 TÉL.: 819-697-3626 TÉLÉC.: 855-930-0528 emcowaterworks.com
DESCHÊNES & FILS LTÉE – LACROIX DÉCOR
2212 rue Louis-Allyson, TroisRivières, QC, G8Z 4P3
TÉL.: 819-693-0996 TÉLÉC.: 819-693-5291 deschenes.ca
DESCHÊNES & FILS LTÉE/QUÉBEC
2204 rue Louis-Allyson, TroisRivières, QC, G8Z 4P3
TÉL.: 819-693-2244 TÉLÉC.: 819-693-2250 deschenes.ca
EMCO CORPORATION
2400 rue Sidbec-Sud, TroisRivières, QC, G8Z 4H1 TÉL.: 819-375-4743 TÉLÉC.: 819-375-5763 emcoltd.com
EMCO DELUXAIR
2875 rue Sidbec Nord, TroisRivières, QC, G8Z 3X8 TÉL.: 819-840-2121 TÉLÉC.: 819-375-5763 emcoltd.com
G.MITCHELL CIE LTÉE
6705 rue du Relais, Trois-Rivières, QC, G8Y 7S1 TÉL.: 819-314-0080 TÉLÉC.: 514-332-8925 gmitchell.ca
LE GROUPE MASTER TROIS-RIVIÈRES
2490 boul. des Récollets, TroisRivières, QC, G8Z 3X7 TÉL.: 819-693-7022 TÉLÉC.: 819-693-7027 master.ca/fr
THALASSA DOMICILE
2950 boul. Saint-Jean, TroisRivières, QC, G9B 2M9 TÉL.: 819-377-0950 TÉLÉC.: 819-377-0820 emco.ca
WESTLUND
2700 rue Charbonneau, TroisRivières, QC, G9A 5C9 TÉL.: 819-377-7231 TÉLÉC.: 819-377-7985 westlundpvf.com
WOLSELEY PLOMBERIE ET CVC/R
2325 rue Girard, Trois-Rivières, QC, G8Z 2M3 TÉL.: 819-378-4076 TÉLÉC.: 819-378-0752 wolseleyexpress.com
WOLSELEY TROIS-RIVIÈRES WATERWORKS 2325 rue Girard, Trois-Rivières, QC, G8Z 2M3 TÉL.: 819-694-6871 wolseleyexpress.com
VAL-D’OR
WOLSELEY PLOMBERIE
1200 rue Léo-Fournier, Val-d’Or, QC, J9P 6X8 TÉL.: 819-825-6216 TÉLÉC.: 819-825-5056 wolseleyexpress.com
WOLSELEY VAL D’OR WATERWORKS
1200 rue Léo-Fournier, Val D’Or, QC, J9P 6X8 TÉL.: 819-825-7180 wolseleyexpress.com
VALLEYFIELD
WOLSELEY PLOMBERIE
530-2 boul. des Érables, Valleyfield, QC, J6T 6G4 TÉL.: 450-373-8577 TÉLÉC.: 450-373-4998 wolseleyexpress.com
VANIER
LE GROUPE MASTER INC.
130-220 rue Fortin, Vanier, QC, G1M 3S5 TÉL.: 418-683-2587 TÉLÉC.: 418-683-5562 master.ca
VAUDREUIL
WOLSELEY PLOMBERIE 3570 boul. de la Cité-des-Jeunes, Vaudreuil, QC, J7V 8P2 TÉL.: 450-455-4141 TÉLÉC.: 450-455-1661 wolseleyexpress.com
VICTORIAVILLE
DESCHÊNES & FILS LTÉE/MONTRÉAL
910 boul. Pierre-Roux E, Victoriaville, QC, G6T 2H6 TÉL.: 819-751-7171 TÉLÉC.: 819-751-1154 deschenes.ca
J.U. HOULE LTÉE
20 rue François-Bourgeois, Victoriaville, QC, G6T 2G8 TÉL.: 819-758-5235 TÉLÉC.: 819-758-4168 juhoule.com






Il vous suffit de remplir le formulaire ci-dessous et l’envoyer par télécopieur au 450 622-6125 ou par courriel au LBoily.pcc@videotron.ca pour recevoir votre abonnement gratuit.
Nom Titre
Compagnie
Adresse Ville
Téléphone Télécopieur Courriel
Nature de vos activités professionnelles :
Désirez-vous recevoir notre bulletin électronique mensuel PCCyberbulletin ?
Date Signature
recevoir également la

PAR JOHN SIEGENTHALER
LES ÉCHANGEURS DE CHALEUR TIRENT GRANDEMENT PARTI D’UNE CONFIGURATION À FLUX INVERSÉ

Les échangeurs de chaleur, peu importe leur type et leur dimension, permettent à la chaleur de se déplacer d’un fluide à un autre sans aucun contact entre ces fluides. Ils ajoutent une polyvalence considérable à la conception de systèmes hydroniques. Leurs applications courantes comprennent le chauffage de l’eau domestique, la fonte de la neige et les soussystèmes hydroniques pour le chauffage des planchers de garage.
Les échangeurs de chaleur à plaques planes ont conquis une grande partie du marché, plus précisément, les modèles en acier inoxydable à « plaques brasées » (BPHX), lesquels sont maintenant offerts par plusieurs fournisseurs dans une multitude de dimensions. Ces derniers conviennent parfaitement aux applications résidentielles et commerciales d’envergure modérée. Ce type d’échangeur de chaleur comporte une pile de plaques en acier inoxydable préformées sur lesquelles du cuivre est collé autour du périmètre et aux points de contact entre les plaques adjacentes. Ce concept est illustré à la Figure 1.

Constitution typique d’un échangeur de chaleur en acier inoxydable à « plaques brasées » (BPHX).
La pile de plaques est ensuite comprimée et chauffée dans un four à environ 2000 °F pour braser les surfaces et les périmètres ensemble. La plupart des fabricants d’échangeurs de chaleur à plaques brasées ont normalisé la dimension des plaques à 3 x 8 po, 5 x 12 po et 10 x 20 po. Pour une dimension de plaque donnée, le taux d’échange de chaleur est augmenté en ajoutant des plaques à la « pile », laquelle devient l’échangeur de chaleur en tant que tel. Les échangeurs de chaleur à plaques brasées sont généralement nommés selon le nombre et la dimension nominale de leurs plaques. Par exemple, un échangeur

Modèles d’échangeur de différentes dimensions.
de chaleur à plaques brasées 5 x 12 x 40 compte 40 plaques de 5 x 12 po. Une plaque unique forme l’arrière de l’échangeur de chaleur (sans trous). Une autre plaque unique forme l’avant de l’échangeur de chaleur, laquelle assure la transition vers les quatre raccords de tuyauterie. La Figure 2 illustre des exemples d’échangeurs de chaleur en acier inoxydable à plaques brasées : d’une unité 5 x 12 x 100 à une relativement petite unité 3 x 8 x 10.
LA DIRECTION DU FLUX EST IMPORTANTE
En imaginant que les canaux entre les plaques sont numérotés – pour visualiser le flux chaud/froid – le



3 22
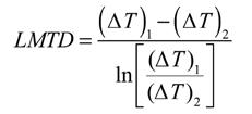
logarithmique » (LMTD). La Formule 1 ci-dessous permet d’effectuer ce calcul.
Formule 1 :

Où :
LMDT = différence de température moyenne logarithmique (°F) (∆T)1 = différence de température entre les deux fluides à une extrémité de l’échangeur de chaleur (°F) (∆T)2 = différence de température entre les deux fluides à l’autre extrémité de l’échangeur de chaleur (°F)
ln [ ] = logarithme népérien de la quantité entre crochets
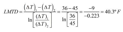
Voici un exemple d’utilisation de la formule 1 basé sur les valeurs de la Figure 4 . La valeur (∆T) 1 correspond à la température à l’extrémité supérieure de l’échangeur de chaleur, soit 122-77 = 45 °F. La valeur (∆T) 2 correspond à la température à l’extrémité inférieure de
ces deux configurations ainsi que les changements de température inhérents à chacune.
Vous pouvez remarquer que la différence de température entre le fluide chaud et le fluide froid change considérablement selon l’endroit où elle est mesurée dans l’échangeur de chaleur. Pour l’échangeur de chaleur à flux parallèle, la différence de température du côté gauche –où les deux fluides entrent – s’avère considérable. Par contre, cette différence diminue rapidement à mesure que les fluides échangent de la chaleur et se déplacent vers les orifices de sortie. On remarque également une variation de la différence de température entre les fluides lorsqu’ils se déplacent dans l’échangeur de

Tout nouveau SUPPORT ProLiftMC
Augmentez votre efficacité et protégez votre monde. Grâce à son ingéniosité mécanique (système en instance de brevet) et ses montants à ressort haute performance, ProLiftMC permet de soulever et d’abaisser les échelles en déployant jusqu’à 50 % moins d’effort, réduisant ainsi les risques de blessures au dos et aux épaules. Apprenez-en plus au adriansteel.com.
l’échangeur de chaleur, soit 104-68 = 36 °F. Voici le résultat :

Qu’arriverait-il si nous inversions les extrémités de l’échangeur : (∆T)1 = 36 °F et (∆T)2 = 45 °F? Nous obtiendrions le même résultat. En voici la démonstration :

Plus la valeur LMTD est élevée dans un échangeur de chaleur, meilleur est son transfert thermique (lorsque toutes les autres conditions demeurent inchangées).
La théorie du transfert thermique peut également être utilisée pour démontrer un concept très important dans la réalité des échangeurs de chaleur. À savoir, la valeur LMTD d’un échangeur de chaleur configuré à contrecourant sera toujours supérieure à celle du même échangeur de chaleur configuré en flux parallèle (aux mêmes conditions d’entrée et de sortie pour les deux flux).

Cela signifie que les échangeurs de chaleur doivent toujours être configurés à contrecourant lorsque l’objectif est de maximiser le taux de transfert thermique. La Figure 5 illustre un schéma de tuyauterie où l’échangeur de chaleur est configuré à contrecourant.
Vérifiez toujours vos schémas de tuyauterie – ou les schémas que vous approuvez pour utilisation par d’autres – pour vous assurer que tous les échangeurs de chaleur sont raccordés à contrecourant. Vérifiez également que toutes les installations que vous inspectez, qui comprennent des échangeurs de chaleur, sont configurées à contrecourant.
Bien qu’il soit possible d’estimer manuellement le rendement de l’échangeur de chaleur, les calculs sont complexes et prennent du temps. Les praticiens modernes utilisent l’un des nombreux outils logiciels d’échangeurs de chaleur offerts par les fabricants pour évaluer rapidement des scénarios hypothétiques afin de sélectionner le meilleur modèle.
Dans la plupart des cas, on choisira un échangeur de chaleur à plaques brasées dimensionné pour obtenir un taux
Échangeur de chaleur à plaques brasées ��-= robinet d'isolement/purge IC•Clf0!1J-•

d'isolement avec robinet de purge
en amont des deux orifices d’entrée de tout échangeur de chaleur. Vous pouvez voir ce composant sur le schéma de la Figure 5 , ainsi que des robinets d’isolement et de purge. Ces robinets s’avéreront très pratiques si nous devons isoler un côté ou l’autre de l’échangeur de chaleur pour nettoyer chimiquement le tartre des surfaces internes, par exemple.
2. Toujours supporter les échangeurs de chaleur pour réduire les contraintes sur les raccords. Plusieurs types de supports sont offerts, du simple crochet en acier au support directement boulonné sur les goujons filetés fournis avec certains échangeurs de chaleur.
3. Enfin, si l’échangeur de chaleur doit fonctionner avec des fluides refroidis – dont la température se situe sous le point de rosée intérieur – on doit s’assurer qu’il est entièrement enveloppé d’une isolation en mousse élastomère ou d’un autre matériau d’isolation imperméable à la vapeur.
Si vous optez pour une configuration de tuyauterie à contrecourant et suivez les détails de conception mentionnés ci-dessus, il ne vous restera qu’à admirer le rendement incroyable des échangeurs de chaleur à plaques brasées modernes.
John Siegenthaler, PE, compte plus de 40 ans d’expérience en conception de systèmes de chauffage hydroniques modernes.





Voici les chaudières électriques Vitotron 100
Profitez de la fiabilité Viessmann avec la simplicité du chauffage électrique.



+ Pas de combustion – éléments chauffants électriques seulement
+ Prêts à l’emploi – appareils compacts pouvant être installés pratiquement n’importe où
+ Installation simple et rapide – sans conduit de ventilation ni raccordement au gaz
+ Entretien réduit – moins de pièces mobiles que les chaudières au gaz/mazout
+ Plusieurs dimensions et capacités (de 4 à 14,4 kW) – solution idéale pour les maisons écoénergétiques
+ Fonctionnement silencieux – convient même aux zones plus sensibles au bruit
des solutions de chauffages intelligentes simplifiées
En savoir plus
