MSA BA2 Technologies Project

Page 1

BA2 Technologies Part C

Alexandra Cristina Iordache

Manchester School of Architecture

1.1 Appraisals: Climate & Site

Week 1
1) Appraisal
& Evaluations 2) Climate 3) Site
Comparisons

1.2 Environmental Strategies - Massing, Form,

Week 1
1) Initial Creative Drivers Comparisons & Evaluations 2) Annotated Drawings (1:200) 3) General Arrangement Isometrics Arrangement

1.3 Appraisals: Construction, Materials & Structures

1) Initial Creative Drivers

2i) Structural Design (Axo/ Isometric)

2iii) Skin - Elemental Build Up (Axo/ Isometric)ometric)

2ii) General Arrangement (Plan and Elevation/ Section)

2iv) Skin - Typical Build-ups & Zones

Week 1
SHEEP’S WOOL

1.4 Initial Integrative Building Concept

Week 1
1) Initial Creative Drivers Comparisons & Evaluations 2) Annotated Drawings 3) General Arrangement

2.1 Iterative Testing - Environmental Performance: Glazing Amount

1) Quantitative Testing

Iteration 1. (Benchmark 100%)

Iteration 2. (Benchmark 50%)

Iteration 3. (Benchmark 25%)

Week 2

2.2 Iterative Testing - Environmental Performance: Glazing Distribution

1) Quantitative Testing

Iteration 1. (Evenly Distributed)

Iteration 2. (No Skylights)

Iteration 3. (Regular Pattern)

Final Iteration

Week 2

2.3 Iterative Testing - Environmental Quality: ‘Spatiality’ +

Week 2
Materiality 1) Qualitative Testing
External Cladding Iteration External Visuals Internal Cladding Iteration

2.4 Integrative Environmental Design - Tactics

Week 2
1) Environmental Tactics 2) Typical Bay Isometric 1:50 3) Isometric Drawings - GA

3.1 Integrative Detail Study - Iteration/ Ideation (1/2)

Week 3
1) Detail Design Development 2) Sketch Development/ Ideation

3.2 Integrative Detail Study - Iteration/ Ideation (2/2)

Week 3
1) Detail Design Development 2) Sketch Development/ Ideation

3.3 Integrative Detail Study - Synthesis & Argument

1) Summary 2) Detailed Envelope Design - Annotated 3D Drawing/ Model

Week 3
3) Annotated Thumbnail Drawings

3.4 Integrative Project Synopsis - Synthesis & Argument

1) Integrative Design Summary

Week 3

Bibliography

Technological Research & Inspiration

• 2019. UK’s first environmentally friendly road on housing development. [online] Available at: <https://www.pbctoday.co.uk/news/planning-construction-news/environmentally-friendly-roaddevelopment/57289/> [Accessed 24 November 2021].

• Architizer. 2021. An Architect’s Guide To: Metal Cladding - Architizer Journal. [online] Available at: <https://architizer.com/blog/product-guides/product-guide/eantka-metal-cladding/> [Accessed 24 November 2021].

• ArchDaily. 2021. 8 Examples of Wind Powered Architecture. [online] Available at: <https://www. archdaily.com/956556/8-examples-of-wind-powered-architecture> [Accessed 25 November 2021].

• Archipro.co.nz. 2021. Cladding and sustainability: what are the best options? - Cladding and Roofing NZ » archipro.co.nz. [online] Available at: <https://archipro.co.nz/articles/claddingand-roofing/cladding-and-sustainability-what-are-the-best-options-archipro> [Accessed 26 November 2021].

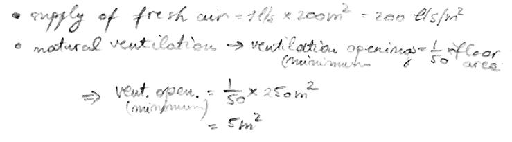
• Climasoft. 2021. Dimensionare - Ventilatierecuperarecaldura. [online] Available at: <https://www. ventilatierecuperarecaldura.ro/dimensionare> [Accessed 30 November 2021].

• 2021. Perforated metal facades | Dezeen. [online] Dezeen. Available at: <https://www.dezeen. com/tag/perforated-metal-facades/> [Accessed 3 December 2021].

• Svbwg.org.uk. 2021. SVBWG - The Scottish Vernacular Buildings Working Group. [online] Available at: <https://www.svbwg.org.uk/> [Accessed 3 December 2021].

• A&DS Materials Library. 2021. Material Archives - A&DS Materials Library. [online] Available at: <https://materials.ads.org.uk/category/material/?material=&recommended_ uses=&origin=SCO> [Accessed 3 December 2021].

• ArchDaily. 2021. Why It’s Effective To Wrap Architecture In Zinc. [online] Available at: <https://www. archdaily.com/913777/why-its-convenient-to-wrap-architecture-in-zinc?ad_medium=gallery> [Accessed 3 December 2021].

• Reilly, E., 2018. The Advantages of Metal Cladding Panels. [online] Gilcrest Manufacturing. Available at: <https://www.gilcrestmanufacturing.com/news/technical-news/advantages-metalcladding-panels/> [Accessed 3 December 2021].

• Scottishwood.co.uk. 2021. [online] Available at: <https://www.scottishwood.co.uk/larch-cladding> [Accessed 3 December 2021].

• Dubey, A., 2021. Energy Consumption & Carbon Footprint of different materials - Chizel. [online] Truventor Blog. Available at: <https://www.truventor.ai/blogs/energy-consumption-carbonfootprint-of-different-materials/> [Accessed 3 December 2021].

• Team, S., 2021. Zinc Shingles, Copper Shingles, Stainless Steel Shingles. [online] SIG Zinc & Copper. Available at: <https://www.sigzincandcopper.co.uk/zinc-shingles-copper-shinglesstainless-steel-shingles-what-you-need-to-know/> [Accessed 3 December 2021].

• Russwood | Timber Specialists | Cladding, Decking, Flooring & Interior. 2021. Scotlarch Sustainable Cladding. [online] Available at: <https://www.russwood.co.uk/cladding/products/ scotlarch/> [Accessed 3 December 2021].

• ArchDaily. 2021. Zinc-Coated Buildings: 20 Recyclable and Durable Facades. [online] Available at: <https://www.archdaily.com/909487/zinc-coated-buildings-20-recycled-and-durable-facades> [Accessed 3 December 2021].

Site Research

• Digimap.edina.ac.uk. 2021. Digimap. [online] Available at: <https://digimap.edina.ac.uk/os> [Accessed 23 December 2021].

Architectural Research & Inspiration

• Frearson, A., 2015. Metal-clad building provides facilities for local entrepreneurs. [online] Dezeen. Available at: <https://www.dezeen.com/2015/06/21/architecture-00-metal-cladcommunity-building-sheffield-provides-facilities-local-entrepreneurs-manor-works/> [Accessed 23 November 2021].

• Archdaily.com. 2021. Cultural Center | Tag | ArchDaily. [online] Available at: <https://www.archdaily. com/tag/cultural-center?ad_source=search&ad_medium=search_result_all> [Accessed 25 November 2021].

• Stevens, S., 2021. 11 Examples of Community Architecture at Its Best. [online] gb&d magazine. Available at: <https://gbdmagazine.com/examples-of-community-architecture/> [Accessed 26 November 2021].

• Brillon, J., 2021. Nate Dalesio completes upstate house covered in corkboard panels. [online] Dezeen. Available at: <https://www.dezeen.com/2021/11/28/nate-dalesio-cork-haven-houseupstate-new-york/?li_source=LI&li_medium=bottom_block_1> [Accessed 26 November 2021].

• ArchDaily. 2021. Top 100 | ArchDaily. [online] Available at: <https://www.archdaily.com/tag/ top100> [Accessed 29 November 2021].

• 2021. Public Bakehouse - 2016 Oslo got a public bakehouse at Losæter in Bjørvika.. [online] Available at: <https://loseter.no/bakehus-i-bjorvika/?lang=en> [Accessed 30 November 2021].

• Griffiths, A., 2021. Kyle House is a remote Scottish holiday home with a “monastically simple” interior. [online] Dezeen. Available at: <https://www.dezeen.com/2018/11/29/kyle-house-grasscottish-holiday-home-renovation-minimal-interior/> [Accessed 1 December 2021].

• ArchDaily. 2021. 3 Square House / Studio Puisto. [online] Available at: <https://www.archdaily. com/932483/3-square-house-studio-puisto> [Accessed 2 December 2021].

• Crook, L., 2021. 10 cosy cottages in the Scottish countryside. [online] Dezeen. Available at: <https://www.dezeen.com/2018/12/26/cosy-cottages-scotland-countryside-architecture/> [Accessed 2 December 2021].

• ArchDaily. 2021. The “Blanche” Chalet / ACDF Architecture. [online] Available at: <https://www. archdaily.com/791890/the-blanche-chalet-acdf-architecture?ad_medium=gallery> [Accessed 3 December 2021].

• Astbury, J., 2021. Branch Studio uses plywood and perforated metal for Arts Epicentre. [online] Dezeen. Available at: <https://www.dezeen.com/2020/02/19/branch-studio-arts-epicentreaustralia-architecture/> [Accessed 3 December 2021].

• ArchDaily. 2021. Villa P / N+P Architecture. [online] Available at: <https://www.archdaily. com/804918/villa-p-norkaer-plus-poulsen-architects> [Accessed 3 December 2021].

• Frearson, A., 2021. Riverside Museum by Zaha Hadid Architects | Dezeen. [online] Dezeen. Available at: <https://www.dezeen.com/2011/06/10/riverside-museum-by-zaha-hadidarchitects/> [Accessed 3 December 2021].

• ArchDaily. 2021. The House on the Cliff / GilBartolome Architects. [online] Available at: <https:// www.archdaily.com/784245/the-house-on-the-cliff-gilbartolome-architects> [Accessed 3 December 2021].

• ArchDaily. 2021. Tverrfjellhytta / Snøhetta. [online] Available at: <https://www.archdaily. com/180932/tverrfjellhytta-snohetta?ad_medium=widget&ad_name=re commendation> [Accessed 3 December 2021].

• ArchDaily. 2021. Sauna Construction Details: Examples of Small-Scale Wooden Architecture. [online] Available at: <https://www.archdaily.com/961448/sauna-construction-details-examplesof-small-scale-wooden-architecture> [Accessed 3 December 2021].

• Dualchas.com. 2021. Isle Of Muck Community Centre | Dualchas. [online] Available at: <https:// www.dualchas.com/our-projects/community/isle-of-muck-community-centre> [Accessed 4 December 2021].

Bibliography

Technological Research & Inspiration

• 2019. UK’s first environmentally friendly road on housing development. [online] Available at: <https://www.pbctoday.co.uk/news/planning-construction-news/environmentally-friendly-roaddevelopment/57289/> [Accessed 24 November 2021].

• Architizer. 2021. An Architect’s Guide To: Metal Cladding - Architizer Journal. [online] Available at: <https://architizer.com/blog/product-guides/product-guide/eantka-metal-cladding/> [Accessed 24 November 2021].

• ArchDaily. 2021. 8 Examples of Wind Powered Architecture. [online] Available at: <https://www. archdaily.com/956556/8-examples-of-wind-powered-architecture> [Accessed 25 November 2021].

• Archipro.co.nz. 2021. Cladding and sustainability: what are the best options? - Cladding and Roofing NZ » archipro.co.nz. [online] Available at: <https://archipro.co.nz/articles/claddingand-roofing/cladding-and-sustainability-what-are-the-best-options-archipro> [Accessed 26 November 2021].

• Climasoft. 2021. Dimensionare - Ventilatierecuperarecaldura. [online] Available at: <https://www. ventilatierecuperarecaldura.ro/dimensionare> [Accessed 30 November 2021].

• 2021. Perforated metal facades | Dezeen. [online] Dezeen. Available at: <https://www.dezeen. com/tag/perforated-metal-facades/> [Accessed 3 December 2021].

• Svbwg.org.uk. 2021. SVBWG - The Scottish Vernacular Buildings Working Group. [online] Available at: <https://www.svbwg.org.uk/> [Accessed 3 December 2021].

• A&DS Materials Library. 2021. Material Archives - A&DS Materials Library. [online] Available at: <https://materials.ads.org.uk/category/material/?material=&recommended_ uses=&origin=SCO> [Accessed 3 December 2021].

• ArchDaily. 2021. Why It’s Effective To Wrap Architecture In Zinc. [online] Available at: <https://www. archdaily.com/913777/why-its-convenient-to-wrap-architecture-in-zinc?ad_medium=gallery> [Accessed 3 December 2021].

• Reilly, E., 2018. The Advantages of Metal Cladding Panels. [online] Gilcrest Manufacturing. Available at: <https://www.gilcrestmanufacturing.com/news/technical-news/advantages-metalcladding-panels/> [Accessed 3 December 2021].

• Scottishwood.co.uk. 2021. [online] Available at: <https://www.scottishwood.co.uk/larch-cladding> [Accessed 3 December 2021].

• Dubey, A., 2021. Energy Consumption & Carbon Footprint of different materials - Chizel. [online] Truventor Blog. Available at: <https://www.truventor.ai/blogs/energy-consumption-carbonfootprint-of-different-materials/> [Accessed 3 December 2021].

• Team, S., 2021. Zinc Shingles, Copper Shingles, Stainless Steel Shingles. [online] SIG Zinc & Copper. Available at: <https://www.sigzincandcopper.co.uk/zinc-shingles-copper-shinglesstainless-steel-shingles-what-you-need-to-know/> [Accessed 3 December 2021].

• Russwood | Timber Specialists | Cladding, Decking, Flooring & Interior. 2021. Scotlarch Sustainable Cladding. [online] Available at: <https://www.russwood.co.uk/cladding/products/ scotlarch/> [Accessed 3 December 2021].

• ArchDaily. 2021. Zinc-Coated Buildings: 20 Recyclable and Durable Facades. [online] Available at: <https://www.archdaily.com/909487/zinc-coated-buildings-20-recycled-and-durable-facades> [Accessed 3 December 2021].

Site Research

• Digimap.edina.ac.uk. 2021. Digimap. [online] Available at: <https://digimap.edina.ac.uk/os> [Accessed 23 December 2021].

Architectural Research & Inspiration

• Dualchas.com. 2021. Raasay Community Centre | Dualchas. [online] Available at: <https:// www.dualchas.com/our-projects/community/raasay-community-centre> [Accessed 4 December 2021].

• SheepWool Insulation. 2021. About | SheepWool Insulation. [online] Available at: <https://www. sheepwoolinsulation.com/about/> [Accessed 4 December 2021].

• ‘Building to Suit the Climate, A Handbook’

• 101 Rules of Thumb for Sustainable Buildings and Cities

• The Environmental Design Pocketbook

Turn static files into dynamic content formats.

Create a flipbook
Issuu converts static files into: digital portfolios, online yearbooks, online catalogs, digital photo albums and more. Sign up and create your flipbook.